Artículo
Received: 03 June 2021
Accepted: 24 March 2022
DOI: https://doi.org/10.25100/iyc.v24i2.11301
Abstract: Surface texturing has been used in diverse applications to improve the tribological performance of mechanical components in contact. In particular, the imposition of a deterministic texture on metal surfaces through machining processes has energy costs associated with the consumption of electrical power, the wear of cutting tools and the inherent losses due to the transformation of electrical energy into mechanical energy, among others. Quantifying the energy consumption in texturing processes helps to evaluate the viability of increasing the areas to be textured, i.e., the total volume of material to be removed from the pieces. In this work, the surface texturing process of AISI 1080 and AISI 52100 steels with five geometric patterns was studied, with emphasis on the analysis of energy consumption in the machining center. Electrical energy consumptions between 31.8 and 52.3 Wh per mm2 of textured area were recorded and correlations between energy consumption, material, geometric design of the texture and textured area were established from the experimental data. An increase of 14% in energy consumption was found by rising the textured area for AISI 1080 steel, as opposed to AISI 52100 steel, which showed a reduction of energy consumption of 20.8 % when the textured area increased.
Keywords: computerized numerical control, energy consumption, machining, surface texturing.
Resumen: La texturización superficial ha sido empleada en diversas situaciones con el propósito de mejorar el desempeño tribológico de componentes mecánicos en contacto. En particular, la imposición de una textura determinística en superficies metálicas mediante procesos de mecanizado tiene unos costos energéticos asociados al consumo de potencia eléctrica, al desgaste de las herramientas de corte y a las pérdidas propias de la transformación de la energía eléctrica en energía mecánica, entre otras. Es, por lo tanto, pertinente cuantificar el consumo energético en el proceso de texturización con el propósito de evaluar la viabilidad de aumentar las áreas a texturizar, esto es, incrementar el volumen de material a remover de las piezas. En este trabajo se estudió el proceso de texturizado superficial con cinco patrones geométricos de un conjunto de pines fabricados en aceros AISI 1080 y AISI 52100, con énfasis en el análisis del consumo energético en el centro de mecanizado. Durante la texturización se registraron consumos de energía eléctrica entre 31.8 y 52.3 Wh por mm2 de área texturizada y a partir de los datos experimentales se establecieron correlaciones entre el consumo de energía, el material, el diseño geométrico de la textura y el área texturizada. Se encontró un aumento del 14% del consumo de energía al aumentar el área texturizada para el acero AISI 1080 en oposición al acero AISI 52100, en el cual disminuyó 20.8% el consumo energético al aumentar el área texturizada.
Palabras clave: consumo de energía, control numérico computarizado, texturizado de superficies, mecanizado.
1. Introducción
El concepto de tribología fue introducido en 1966 por el departamento de educación y ciencia del Reino Unido en un reporte conocido como el reporte de Jost 1. La tribología es el estudio de la ciencia e ingeniería de la interacción de superficies en movimiento relativo incluyendo el estudio y la aplicación de los principios de fricción, lubricación y desgaste. En el informe se reportó que se puede reducir en un 38% la emisión de gases contaminantes implementando un uso racional y eficiente de la energía, un área en la que la tribología puede contribuir. También se reportó que en el mundo la tribología tiene el potencial de ahorrar a corto plazo 21.5 EJ de energía, 1460 Mt de CO2 y 455000 millones de euros, y a largo plazo se puede ahorrar 46 EJ de energía, 3140 Mt de CO2 y 973000 millones de euros 2.
La fricción y el desgaste son parámetros muy importantes para evaluar el rendimiento tribológico de componentes mecánicos, y el acabado superficial juega un papel crucial al influir sobre ambos parámetros. Se han realizado extensos estudios sobre modificaciones de la superficie para lograr un rendimiento tribológico beneficioso, y se ha identificado el texturizado de la superficie como uno de estos métodos, el cual ha atraído mucha atención recientemente. En la mayoría de los estudios y aplicaciones tribológicas, el término "texturizado de superficies" se refiere a la producción de superficies artificiales con asperezas regulares que tienen forma, tamaño y distribución determinados 3.
La búsqueda de un mejor desempeño tribológico de superficies en contacto deslizante operando en condiciones de deficiente o nula lubricación es una necesidad cotidiana en numerosos sistemas de ingeniería 4-7. Estudios muestran que superficies con una textura definida y diseñadas con una intención preestablecida, han sido utilizadas en varias aplicaciones para la reducción de la fricción y desgaste con miras a una disminución en el consumo de energía 8-10. Un caso con la reducción de fricción es el estudio de Uddin & Liu, quienes propusieron una textura definida en forma de estrella que reduce el coeficiente de fricción bajo condiciones de lubricación hidrodinámica en un 80%, 64%, 9% y 16% en comparación con formas de elipse, chevron, triángulo y círculo, respectivamente 11. Otros estudios han tenido en cuenta por ejemplo el efecto combinado de la imposición de textura a las superficies y la variación de la temperatura de operación, como lo muestra el trabajo de Tala-Ighil y Fillon 12.
Los métodos de texturización de superficies se pueden clasificar en 5 grupos: micro mecanizado de energía térmica, texturizado electroquímico, conformación plástica, micro/nano acabado y micro mecanizado mecánico. En lo que se refiere a este último, el mecanizado con chorro de agua abrasivo, micro rectificado y micro granallado abrasivo son formas típicas de crear superficies texturizadas por remoción de material 13. En los métodos por remoción de material es común encontrar procesos industriales de mecanizado tradicional como torneado, fresado o rectificado para obtener acabados superficiales. Sin embargo, las características morfológicas son de gran tamaño, en escalas de μm a mm, y el acabado superficial de la pieza depende de numerosos factores que son imposibles de controlar 14. Las trayectorias de las herramientas influyen en la eficiencia de mecanizado, la calidad de la superficie y la precisión de la forma 15. Otro método de remoción es el mecanizado por control numérico computarizado (CNC), el cual tiene como ventaja que permite un mejor control en la trayectoria de las herramientas y en la calidad de la forma de la textura diseñada. Además, en comparación con otros métodos como el texturizado láser no necesita generar calor que puede causar deformación térmica al formar la textura.
Aizawa et al imprimieron un patrón de microcavidades de 0.08 mm en una lámina de aluminio mediante estampado CNC con el uso de una matriz microtexturizada 16, Cho & Park mecanizaron cinco densidades de texturizado de superficie en POM utilizando mecanizado CNC y las probaron en una configuración deslizante pin disco 17. Otra forma de remoción de material para el texturizado con formas definidas es el grabado por láser, que es una alternativa al micro fresado en la fabricación de matrices 18.
En la literatura se reportan diversas ventajas asociadas a texturizar la herramienta de corte en la búsqueda de mejorar el proceso de mecanizado. Kawasegi et al, por ejemplo, combinaron el estudio de texturas superficiales con los procesos de mecanizado en torno, creando micro texturas en las superficies de las herramientas, logrando así disminuir la fuerza de corte al reducir la fricción en la cara de corte 19. Sugihara & Enomoto mejoraron las propiedades antiadhesivas de las herramientas de corte para evitar la adhesión de la viruta y la resistencia al desgaste y aumentar así la vida útil de la herramienta 20. Para facilitar la penetración y retención del lubricante en la herramienta, Sun y colaboradores emplearon láser para fabricar micro-hoyuelos y micro-surcos en la superficie de ataque de herramientas de carburo 21, y otros estudios como el de Orra & Choudhury se han centrado en optimizar el ángulo de corte para obtener una máxima reducción de viruta implementado micro texturas en la superficie de los insertos y así han mejorado el rendimiento en procesos de torneado en duro 22.
No obstante, lo anterior no es frecuente encontrar estudios en la literatura especializada al respecto del análisis de la eficiencia energética en procesos de micro mecanizado y, por lo tanto, de texturizado, que son importantes en el área de tribología para la reducción de la fricción, el desgaste y el consumo de energía en procesos industriales. Es necesario realizar un análisis del desempeño energético del centro de mecanizado y del proceso en general, incluyendo la duración de las herramientas para hallar un proceso de texturizado de superficies barato y efectivo. En este trabajo se definió un conjunto de cinco texturas que siguen un patrón determinístico, las cuales fueron fabricadas por un proceso de mecanizado controlado por CNC y se evaluó el consumo energético de acuerdo con el área a texturizar.
2. Metodología
La metodología usada para conocer el consumo energético en la texturización del conjunto de superficies consistió en cuatro etapas, las cuales se muestran en el diagrama de flujo de la Figura 1.

2.1. Etapa 1: Diseño de texturas
Como se mencionó en la sección anterior, múltiples estudios demuestran el efecto positivo que tiene la imposición de texturas sobre el desempeño tribológico de las superficies de trabajo en pares tribológicos. El diseño de las texturas analizadas en el presente trabajo responde a la identificación de parámetros morfológicos hallados en la piel de diferentes serpientes (Python Regius, Red Tail Boa, entre otras), las cuales han sido objeto de análisis biomiméticos debido a sus características únicas en términos de control de fricción y desgaste. En la caracterización morfológica de las pieles se encontró la existencia de algunos parámetros que explican la existencia de un coeficiente de fricción anisotrópico para las especies estudiadas 23,24. Con base en estos parámetros se inspiraron las texturas diseñadas y evaluadas en el presente trabajo. Mayores detalles sobre la caracterización de las pieles y el diseño de las texturas se pueden encontrar en los trabajos de Ballesteros et al 25 y Toro et al 26.
Las muestras estudiadas fueron tres pines con diámetro de 6 mm con protuberancias elípticas (Pin A, Pin B y Pin C) y dos pines con diámetro de 10 mm con ranuras de forma ondulada (Onda D y Onda E). Para el diseño se consideraron dos relaciones geométricas: λ y FAR. λ es la relación entre la distancia de elementos de textura tanto en el eje x como el eje y y FAR es la relación de aspecto de los elementos de textura. En la Tabla 1 se describen las relaciones λ y FAR y en la Figura 2 se relacionan con los parámetros geométricos de diseño.


Para el diseño de las elipses se hicieron variaciones en su relación de aspecto y en el diseño de ranuras de ondas se modificó la separación entre las ondas (λy). En la Figura 3 y la Tabla 2 se presentan las dimensiones de las elipses y las ranuras diseñadas. El espesor (t) de las ranuras fue de 0.3 mm y su profundidad 30 µm. La altura (h) de las elipses fue 20 μm. Se midieron para estos diseños CAD el área texturizada (At) que se refiere al área total de los elementos de textura y el área mecanizada (Am) que se refiere al área que tuvo remoción de material. En el caso de las texturas de elipses el área mecanizada es igual al área del pin (Ap) menos el área de la textura (At). En las texturas de ranuras At=Am. El porcentaje de área mecanizada (%Am) está dado por (Am x 100) /Ap.


2.2. Etapa 2: Planeación del proceso
En esta etapa se determinó el uso del centro de mecanizado CNC de cinco ejes Leadwell V-40iT ubicado en el Laboratorio de Simulación, Modelamiento y Prototipos del ITM, un equipo que cuenta con un control Heidenhain, 25 HP (18.6 kW), 10000 RPM (revoluciones por minuto) velocidad máxima del husillo y un espacio de trabajo de 800x500x400 mm en X, Y y Z, respectivamente. En la fabricación de los modelos se eligieron dos tipos de materiales: para los pines con elipses se empleó acero AISI 1080 los cuales fueron mecanizados con fresa de 0.4 mm de diámetro, esta herramienta permite trabajar en materiales con durezas hasta 60 HRC. Para los pines con ondas se utilizó un acero AISI 52100 y una fresa de 0.3 mm de diámetro que soporta durezas hasta 68 HRC 27. Como herramienta de trabajo se implementó una fresa cilíndrica de carburo de tungsteno con recubrimiento de nitruro de aluminio titanio (AlTiN). Se consideró la recomendación de avance de corte por parte del fabricante dependiendo del material a mecanizar y se trabajó a 10000 RPM, límite máximo del centro de mecanizado sin utilizar un multiplicador.
2.3. Etapa 3: Estrategias de mecanizado y código
Se utilizó el software CAM SprutCAM 11® para la generación de estrategias de mecanizado del conjunto de pines. Para los pines con elipses se inició con una operación de planeado para luego poder realizar un mecanizado de fondo plano (ver Figura 4 a) con una fresa cilíndrica de 0.4 mm de diámetro, cortes equidistantes de 0.007 mm hasta alcanzar una profundidad total de 0.02 mm con un avance de 32 mm/min y 10000 RPM. En la Figura 4b se puede observar la trayectoria de mecanizado de los pines con ondas, los cuales se programaron con una estrategia que consistió en el seguimiento de una de las aristas de la onda con el borde de la herramienta, para esto se usó una fresa cilíndrica de 0.3 mm de diámetro, una profundidad de corte de 0.005 mm hasta alcanzar una profundidad total de 0.03 mm, con un avance de 26 mm/min y 10000 RPM.

Las trayectorias usadas se basaron en un estudio de mecanizado de una misma geometría con diferentes trayectorias con el software CAM que muestran que está permite reducir el consumo energético 26, donde luego de un proceso de selección a partir de varios ensayos se evaluó una trayectoria que disminuyera el consumo de energía.
2.4. Etapa 4: Medición consumo de energía eléctrica y caracterización
La potencia consumida durante cada texturizado fue medida con el analizador de redes Fluke 1735 Power Logger para medición hasta 34.5 MW y un error del 1.5% del valor medido. El analizador se conectó previamente a la línea principal de corriente de la máquina con el fin de medir corriente total consumida sin discretizar por componentes de consumo. Para la medición del consumo de energía se realizaron 5 repeticiones para los ensayos del pin A, 4 repeticiones para los pines B y C y 17 repeticiones para las ondas D y E. Para presentar los resultados de las medidas fue necesario realizar una normalización respecto al área mecanizada de tal manera que fueran independientes de ella, tal como se presenta en la Ec.1, esto debido a la pequeña área de cada pin texturizado. Igualmente, la potencia de corte fue estimada a partir del volumen de material removido (Ec.2) 29.
Donde 𝑃𝑐 es la Potencia de corte cuando 𝑎𝑒 representa la profundidad de corte radial [mm], 𝑎𝑝 la profundidad de corte axial [mm], 𝑉𝑓 la velocidad de avance de la mesa [mm/min] y 𝐾𝑐 es la fuerza de corte especifica [N/mm2] que depende de las propiedades de los materiales involucrados.
Luego del proceso de texturizado se caracterizaron las superficies tanto de los pines mecanizados como de la herramienta en microscopio electrónico de barrido JEOL JSM-7100F ubicado en el Laboratorio de Microscopía del Instituto Tecnológico Metropolitano.
3. Resultados y discusión
3.1. Caracterización morfológica de las superficies texturizadas
En la Figura 5 y la Tabla 3 se muestran las medidas de los parámetros de la textura y las áreas tanto para pines con textura con ranuras (ondas) como con protrusiones (elipses).


Las medidas arrojaron un porcentaje de área de mecanizado (%Am) para las elipses entre en 5 y 10% mayores al estimado en el diseño. Los patrones que más se aproximaron fueron aquellos de FAR mayor, en este caso 2.5, y cuando el tamaño de las elipses es mayor tanto en eje x como en eje y. En el caso de las ranuras cuando λ es mayor hay una mejor respuesta y se obtuvo un porcentaje de área de mecanizado (%Am) apenas entre 1 y 5% mayor al estimado por diseño. Se evidenciaron también marcas dejadas por la herramienta utilizada en el proceso de mecanizado de los pines. Estos resultados indican que la geometría, la escala y la repetición de los elementos de textura se lograron alcanzar con las condiciones del mecanizado elegidas para las herramientas, esto es, la trayectoria, la velocidad del husillo y la velocidad de avance, entre otros. Los diseños proyectados no se lograron mecanizar con un mayor grado de exactitud debido, principalmente, a la excentricidad de la pinza (pieza que sujeta la herramienta de corte). Dicha excentricidad podría corregirse con una pinza de alta precisión, pero no fue posible conseguirla para herramientas del diámetro utilizado.
La Figura 6 muestra en mayor detalle el texturizado: en la Figura 6a se pueden identificar algunos desprendimientos y acumulación de material al borde de las protrusiones y en la superficie de éstas una morfología rugosa debido al mecanizado inicial o planeado del pin antes de realizar el microtexturizado. La Figura 6b presenta ranuras bien definidas en las que se mantienen las medidas de diseño, pero se aprecia una mayor cantidad de material sobrante (rebaba) en los bordes. En la superficie del pin texturizado con ondas se evidenciaron también las marcas de mecanizado por torneado.
Las rebabas observadas en la superficie son un producto del proceso de mecanizado, las cuales son difíciles de evitar por completo en este proceso, pero con un proceso posterior de pulido superficial se remueven fácilmente.

3.2. Consumo energético en función del diseño de las texturas
En la Figura 7 se muestra el consumo de potencia eléctrica a lo largo del tiempo necesario para el mecanizado de cada textura en los aceros AISI 1080 y 52100, respectivamente. Al inicio del proceso de texturizado típicamente se evidencia un elevado consumo de potencia el cual está relacionado con el pico de aceleración donde la herramienta alcanza las RPM programadas, en este pico la herramienta aún no se encuentra en contacto con los pines a texturizar, razón por la cual dichos datos no se tienen en cuenta en el análisis. Luego de este pico se encuentra un consumo de potencia constante de alrededor de 3750 W para todas las pruebas realizadas La disminución de potencia que se observa en la Figura 7a para el Pin A después de 150 segundos se debe a factores externos de la red, particularmente, los analizadores de redes son hechos para medir las variaciones de voltaje, por lo que hace que la medida sea susceptible a caídas del voltaje en la red por aumento en la carga debido al consumo de potencia por dispositivos conectados a la misma red y fuera del centro de mecanizado. Al final de la curva donde se desacelera la herramienta se observa una perturbación de la potencia. La diferencia de tiempo de mecanizado es similar para los tres pines con elipses ya que tienen un área texturizada aproximadamente similar (ver Figuras 3 y 5). Para la Figura 7bb, la diferencia de los tiempos de mecanizado se debe a que se tiene mayor área a texturizar (la onda E presenta un área 4.6 veces mayor que la onda D).
La energía consumida fue medida y registrada con el analizador y puede estimarse como el área bajo la curva de potencia contra tiempo, en la Tabla 4 se reportan los valores calculados y promediados de consumo de energía medida para el mecanizado de cada pin, así como los valores de energía específica y potencia de corte para el texturizado. La Figura 7 presenta las curvas de consumo típicas de un proceso de mecanizado CNC, pero en los procesos convencionales se distingue un escalón que diferencia el consumo en stand by ocasionado por el funcionamiento de los motores de diferentes sistemas independiente del trabajo que esté realizando la herramienta, de la potencia de corte que se presenta solo cuando la herramienta efectivamente está removiendo material de la pieza de trabajo; las figuras mencionadas no presentan el escalón mencionado, solo presenta el consumo en stand by de la máquina empleada.
Cabe resaltar que la medida obtenida no permite diferenciar la potencia necesaria por componentes, es decir, no se tiene un estimado de cuánta energía se relaciona con la remoción de material. Lo anterior se da por el hecho de que los experimentos son realizados en un proceso de micro texturización, es decir, la cantidad de material removido es muy pequeña, lo que hace que la producción de viruta sea tan baja que la potencia útil de corte es mínima (magnitudes de mW) lo que sobrepasa la resolución de los elementos de medida. Por lo tanto, para el análisis de consumo de energía se reportó la potencia total consumida por todos los componentes de la máquina y la potencia de corte se calculó teóricamente (ver Tabla 4) considerando la Ec.2, lo que permitió entender que no se diferencia la potencia de corte del consumo en stand by, dada a la poca cantidad de material removido. Aun así, la predicción de potencia de corte fue menor para el material con menores propiedades mecánicas por su tratamiento químico, térmico y/o mecánico, tal como era de esperarse. Sin embargo, puede notarse una exigencia ligeramente mayor para los pines de ondas.

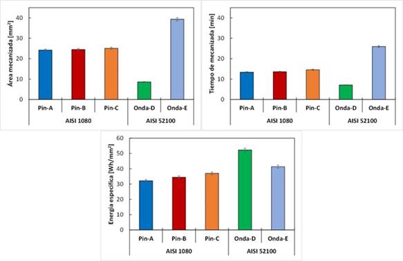
Los resultados reportados en la Tabla 4 muestran la proporcionalidad directa entre el tiempo de mecanizado que toma cada textura y el consumo energético de su fabricación, el cual es dependiente del área de la superficie a texturizar y del material. El tiempo de mecanizado depende del diseño de la textura y de la estrategia de mecanizado, desde allí podrán explorarse alternativas de mejora. En la Tabla 4 se presentan también los resultados de la predicción de potencia de corte requerida para la texturización. Se observa que el tiempo y el consumo están relacionados: para las elipses cuando el área a mecanizar es aproximadamente 80% el tiempo es de 13.5 min aproximadamente y si aumenta el área hasta 89% el tiempo aumenta a 14.6 min. Para la textura de ondas el tiempo de mecanizado es menor cuando se tiene menor número de ondas (mayores valores de λ), pero si se mira el número de ondas de cada pin con respecto al tiempo, da igual para ambas texturas, aproximadamente 3.6 min por onda. Así que sí hay una relación directa entre área a mecanizar y tiempo. La energía específica en el texturizado de elipses aumenta a medida que aumenta el área a mecanizar, a diferencia del texturizado de ondas en el que la energía específica disminuye cuando aumenta el número de ondas.
En la Figura 7a se puede ver que primero el Pin A y el B tienen aproximadamente la misma área a mecanizar, pero como el tamaño de las elipses es diferente aumenta el consumo de energía de manera diferencial ya que el pin C tiene mayor área a mecanizar. Específicamente, en el mecanizado de los pines del material AISI 52100 se evidenció en las medidas que al aumentar el número de ondas disminuyó el consumo de energía.

En la Figura 8 se observa la relación entre área mecanizada, tiempo de mecanizado y energía específica de mecanizado con respecto a los pines con protrusiones de elipses y los pines con ranuras de ondas. Los pines de elipses muestran que hay un aumento del tiempo y energía cuando aumenta el área a texturizar. En las superficies con ranuras el tiempo de mecanizado aumenta también, pero la energía disminuye al aumentar el número de ondas, esto se debe a que el tipo de patrón influye en la cantidad de área removida, esto es, en promedio para las elipses se obtuvo 1.67 mm2/min y para las ondas 1.2 mm2/min, de acuerdo con esto se afecta menor área con un diseño de ondas.

3.3. Relación entre consumo de energía y durabilidad de las herramientas
En la Tabla 5 se presentan los resultados del área mecanizada asociada al consumo de las herramientas de corte. Se emplearon en total 23 fresas durante esta evaluación del consumo energético. Para las texturas Pin A, Pin B y Pin C, mecanizadas en acero AISI 1080 se gastaron 3 fresas, el resto se empleó en la texturización del acero AISI 52100, 6 en la elaboración de las ondas D y 14 en ondas E, en estas condiciones de mecanizado se alcanzaron los mejores rendimientos de las herramientas, logrando longitudes de corte continuo de hasta 72.4 cm para una remoción total de material de 1048.5 mm3. El cambio de una herramienta se llevó a cabo al observar desprendimiento del recubrimiento de su superficie. En las herramientas usadas para mecanizar el acero AISI52100 se presentó un desgaste abrasivo más intenso, mientras que en las que estuvieron en contacto con acero AISI 1080 el daño fue moderado. A modo de ejemplo, en la Figura 9 se presenta una imagen de una fresa de 0.4 mm de diámetro utilizada en el proceso de texturizado del acero AISI 1080, en la cual se evidencia el desgaste en uno de los bordes de ataque y el desprendimiento parcial del recubrimiento.
Se hace evidente que el consumo de herramientas de corte es notoriamente sensible al material y/o tratamiento del pin texturizado, esto es, a sus propiedades mecánicas como la dureza, notándose que un pequeño cambio en la potencia de corte estimada puede representar un aumento representativo del costo específico por herramienta para el texturizado, y debe tenerse en cuenta en el futuro (Ver Tabla 5).


Los resultados de consumo de energía y de herramientas (Tabla 5) muestran que para el caso del acero AISI 1080 el área a mecanizar es proporcional al consumo de energía y que una herramienta puede mecanizar un área entre 100 y 120 mm2 aproximadamente. En el caso del acero AISI 52100, el área que mecaniza una herramienta es aproximadamente 6 veces menor lo que indica que hay un efecto importante de la dureza del material y la geometría de la textura. Igualmente, el consumo de energía específica es mayor para el AISI 52100, aunque se reduce cuando hay mayor número de ranuras como se observa en la Figura 8.
En los casos industriales se utiliza una velocidad del husillo cercana a las 30000 RPM, para los resultados reportados en la Tabla 5 se desarrollaron con la velocidad máxima dada por el centro de mecanizado sin contar con un multiplicador, valor de 10000 RPM. Por esta razón la velocidad del husillo no es una variable de análisis en el presente estudio y se recomienda profundizar en la relación entre la duración de la herramienta y la velocidad del husillo en otras investigaciones.
En síntesis, en el presente trabajo se implementó una metodología para la cuantificación del consumo energético en el proceso de texturización de superficies metálicas por micro mecanizado, mediante la cual fue posible evidenciar la variación en la energía específica de cada proceso de texturizado considerando el área total removida. La aplicación de este tipo de metodologías ayuda a controlar el impacto energético que tiene la fabricación de componentes mecánicos por medio de procesos de micro mecanizado. El paso siguiente en la investigación es la implementación de métodos holísticos de diseño de texturas, en los cuales se involucren las limitaciones del consumo de energía y el desgaste de las herramientas como parámetros de toma de decisión.
4. Conclusiones
Este trabajo presenta el análisis del consumo energético de un proceso de texturizado superficial mediante mecanizado CNC de un conjunto de pines metálicos con cinco patrones geométricos en dos aceros diferentes. Los experimentos evidenciaron que el texturizado de aceros de mediana dureza como el AISI 1080 permite que una sola herramienta alcance rendimientos de mecanizado de hasta 120 mm2 en comparación con el texturizado del acero AISI 52100 en el que, el área máxima mecanizada fue de sólo 19.7 mm2 removidos por una herramienta.
El consumo de energía específico en el acero AISI 1080 aumentó 14% al aumentar el área a remover, a diferencia del AISI 52100 en el que al aumentar el área texturizada disminuyó el consumo específico de energía en alrededor de 10.9 Wh/mm2 (20.8%).
Al comparar el proceso de texturizado para ambos aceros se observó un aumento del orden de 40% en el consumo específico de energía de mecanizado del acero AISI 52100 con respecto al AISI 1080. Por otro lado, el área mecanizada por herramienta en el AISI 52100 fue aproximadamente una sexta parte de la correspondiente en el AISI 1080. Este comportamiento se relacionó tanto con las propiedades mecánicas de los aceros como con las diferencias en los diseños de las texturas.
5. Agradecimientos y/o Declaración de financiación
Se agradece a Minciencias por su apoyo a la formación del estudiante de doctorado Miyer Valdes con el programa “Excelencia Doctoral del Bicentenario de la Corte II”.
6. Referencias
Jost H, Schofield J. Energy Saving through Tribology: A Techno-Economic Study. Proceedings of the Institution of Mechanical Engineers. 1981;195(1):151-173. Doi: 10.1243/PIME_PROC_1981_195_016_02
Holmberg K, Erdemir A. Influence of tribology on global energy consumption, costs and emissions. Friction. 2017;5(3):263-284. Doi: 10.1007/s40544-017-0183-5
Lu P, Wood R. Tribological performance of surface texturing in mechanical applications-a review. Surface Topography: Metrology and Properties. 2020;8(4):43001. Doi: 10.1088/2051-672x/abb6d0
Archard J. Elastic deformation and the laws of friction. Proceedings of the Royal Society of London. Series A, Mathematical and Physical Sciences. 1957;243(1233):190-205. Doi: 10.1098/rspa.1957.0214
Cuervo P. Análisis experimental del efecto del proceso de reperfilado sobre el desgaste y fatiga por contacto de rodadura de riel en el sistema rueda-riel en el Metro de Medellín [Tesis de maestría]. Medellín: Universidad Nacional de Colombia; 2014.
Stachowiak GW, Batchelor AW, editors. Engineering Tribology. In: Engineering Tribology (Fourth Edition). Fourth Edition. Boston: Butterworth-Heinemann; 2014. Doi: 10.1016/B978-0-12-397047-3.00020-5
Albagachiev A, Gurskii B, Luzhnov Y, Romanova A, Chichinadze A. Economic and ecological issues in tribology. Russian Engineering Research. 2008;28(10):959-964. Doi: 10.3103/S1068798X08100092
Abdel-Aal H, Mansori M. Tribological analysis of the ventral scale structure in a Python regius in relation to laser textured surfaces. Surface Topography: Metrology and Properties. 2013;(1):015001. Doi: 10.1088/2051-672x/1/1/015001
Abdel-Aal H. Functional surfaces for tribological applications: inspiration and design. Surface Topography: Metrology and Properties. 2016;4(4):043001. Doi: 10.1088/2051-672x/4/4/043001
Bruzzone A, Costa H, Lonardo P, Lucca D. Advances in engineered surfaces for functional performance. CIRP Annals - Manufacturing Technology. 2008;57(2):750-769. Doi: 10.1016/j.cirp.2008.09.003
Uddin Y, Liu M. Design and optimization of a new geometric texture shape for the enhancement of hydrodynamic lubrication performance of parallel slider surfaces. Biosurface and Biotribology. 2016;2(2):59-69. Doi: 10.1016/j.bsbt.2016.05.002
Tala-ighil N, Fillon M. Tribology International A numerical investigation of both thermal and texturing surface effects on the journal bearings static characteristics. Tribology International. 2015;90:228-239. Doi: 10.1016/j.triboint.2015.02.032
Ranjan P, Hiremath S. Role of textured tool in improving machining performance: A review. Journal of Manufacturing Processes. 2019;43(parta):47-73. Doi: 10.1016/j.jmapro.2019.04.011
Benardos P, Vosniakos G. Predicting surface roughness in machining: A review. International Journal of Machine Tools and Manufacture. 2003;43(8):833-844. Doi: 10.1016/S0890-6955(03)00059-2
Zhang X, Xie J, Xie H, Li L. Experimental investigation on various tool path strategies influencing surface quality and form accuracy of CNC milled complex freeform surface. International Journal of Advanced Manufacturing Technology. 2012;59(5-8):647-654. Doi: 10.1007/s00170-011-3515-z
Aizawa T, Tamaki M, Fukuda T. Large area micro-texture imprinting onto metallic sheet via CNC stamping. Procedia Engineering. 2014;81:1427-1432. Doi: 10.1016/j.proeng.2014.10.168
Cho M, Park S. Micro CNC surface texturing on polyoxymethylene (POM) and its tribological performance in lubricated sliding. Tribology International. 2011;44(7-8):859-867. Doi: 10.1016/j.triboint.2011.03.001
Orazi L, Montanari F, Campana G, Tomesani L, Cuccolini G. CNC paths optimization in laser texturing of free form surfaces. Procedia CIRP. 2015;33:440-445. Doi: 10.1016/j.procir.2015.06.100
Kawasegi N, Sugimori H, Morimoto H, Morita N, Hori I. Development of cutting tools with microscale and nanoscale textures to improve frictional behavior. Precision Engineering. 2009;33(3):248-254. Doi: 10.1016/j.precisioneng.2008.07.005
Sugihara T, Enomoto T. Crater and flank wear resistance of cutting tools having micro textured surfaces. Precision Engineering. 2013;37(4):888-896. Doi: 10.1016/j.precisioneng.2013.05.007
Sun J, Zhou Y, Deng J, Zhao J. Effect of hybrid texture combining micro-pits and micro-grooves on cutting performance of WC/Co-based tools. International Journal of Advanced Manufacturing Technology. 2016;86(9-12):3383-3394. Doi: 10.1007/s00170-016-8452-4
Orra K, Choudhury S. Tribological aspects of various geometrically shaped micro-textures on cutting insert to improve tool life in hard turning process. Journal of Manufacturing Processes. 2018;31:502-513. Doi: 10.1016/j.jmapro.2017.12.005
Zuluaga E. Desarrollo de superficies determinísticas inspiradas en piel de serpiente mediante técnicas de texturizado mecánico para aplicaciones tribológicas [Tesis de maestría]. Medellín: Universidad Nacional de Colombia; 2020.
Cuervo P, López D, Cano J, Sánchez J, Rudas S, Estupiñán H, Toro A, Abdel-Aal H. Development of low friction snake-inspired deterministic textured surfaces. Surface Topography: Metrology and Properties. 2016;4(2):024013. Doi: 10.1088/2051-672X/4/2/024013
Ballesteros LM, Zuluaga E, Cuervo P, Rudas JS, Toro A. Tribological behavior of polymeric 3D-printed surfaces with deterministic patterns inspired in snake skin morphology. Surf Topogr Metrol Prop. 2021;9(1):014002. Doi: 10.1088/2051-672X/abe211
Toro A, Abdel-Aal HA, Cuervo P, Ballesteros LM, Rudas S, Isaza C, et al. Influence of surface morphology and internal structure on the mechanical properties and tribological response of Boa Red Tail and Python Regius snake skin. J Mech Behav Biomed Mater. 2021;119:104497. Doi: 10.1016/j.jmbbm.2021.104497
YG-1. yg-1.kr. Catalog YG-1. 2018 [citado 2021 may]. Disponible en: https://www.yg1.kr/por/support/catalog.asp
Pavanaskar S, Pande S, Kwon Y, Hu Z, Sheffer A, McMains S. Energy-efficient vector field based toolpaths for CNC pocketmachining. Journal of Manufacturing Processes. 2015; 20(part 1): 314-320. Doi: 10.1016/j.jmapro.2015.06.009
Casillas AL. Máquinas cálculos de taller. 40a ed.: Máquinas España; 1943.
Notas: