Artículos y ensayos científicos
Recepção: 19 Setembro 2015
Aprovação: 01 Março 2016
Resumen:
Comunicación organizacional: Media Training y el modelado cultural dominante en Brasil
Con mayor frecuencia, las organizaciones modernas se han percatado de la necesidad de tener en cuenta los aspectos culturales en la preparación de sus líderes para relacionarse cotidianamente con los medios de comunicación. El presente estudio tuvo como objetivo investigar los modelos culturales y la pertinencia de la acción de la Capacitación en Medios de (Media Training) desde la perspectiva de la cultura brasileña. A través de la investigación exploratoria, cualitativa, con la ayuda del método histórico-crítico, se realizaron entrevistas entre los años 2013 y 2015 con los profesionales en Media Training y los ejecutivos que participaron en la capacitación, trabajando en el Estado de Sao Paulo. Los resultados del estudio indican que los modelados culturales son factores esenciales en la construcción de la imagen de la organización para lograr una ventaja competitiva. Como resultado, se generaron dos hipótesis explicativas, que muestra los hechos y los fenómenos percibidos en el tema en cuestión.
Palabras clave: Comunicación Organizacional, Cultura brasileña, Modelado cultural, Media Training.
Resumo: Cada vez mais as organizações modernas têm percebido a necessidade de se levar em conta os aspectos culturais ao preparar suas lideranças para o relacionamento cotidiano com a mídia. O presente trabalho buscou investigar as modelagens culturais e a relevância da atuação do Media Training na perspectiva da cultura brasileira. Por meio de pesquisa exploratória, de natureza qualitativa, com o auxílio do método histórico-crítico, foram realizadas entrevistas entre os anos de 2013 e 2015 com profissionais de Media Training e executivos submetidos ao treinamento, atuantes no Estado de São Paulo. Os resultados da pesquisa indicam as modelagens culturais como fatores essenciais na construção da imagem organizacional para o alcance de vantagem competitiva. Em decorrência, foram geradas duas hipóteses explicativas, mostrando os fatos e fenômenos percebidos na temática em questão.
Palavras-chave: Comunicação Organizacional, Cultura Brasileira, Modelagens Culturais, Media Training.
Abstract:
Organizational Communication:Media Training and the Dominants Modeling Cultures in Brazil
Increasingly modern organizations have realized the need to know culture’s points to prepare the leaders for everyday relationship with the media. This actual study investigated the Brazilian culture modeling and the performance of the Media Training professionals. Through this exploratory research, qualitative nature, assisted by historical-critical method, were conducted interviews between 2013 and 2015 with Media Training actives in the state of São Paulo. The results of this research indicate the Brazilian culture modeling like essential factors in the building of the organization image as an element of competitive advantage. As a conclusion, two explana
Keywords: Organizational Communication, Brazilian Culture, Culture Modeling, Media Training.
Comunicação Organizacional: Media Training e as modelagensculturais dominantes no Brasil
Nas últimas duas décadas tem crescido o número de empresas que buscam os serviços de assessoria em comunicação com o intuito de formar porta-vozes para comunicação junto ao mercado por intermédio da ocupação de espaço na imprensa. Segundo a Associação Brasileira de Treinamento e Desenvolvimento (ABTD), o mercado encontra-se em franca expansão e, de acordo com pesquisa realizada pela empresa Treinamento e Desenvolvimento Gerencial (MOT), a previsão indica que os orçamentos para investir em treinamento e desenvolvimento deveriam crescer, em média, 12,3% em 2015, comparado a 2014.
O crescimento desse mercado fez com que, além dos profissionais autônomos, empresas prestadoras de serviços nas áreas da comunicação passassem a oferecer treinamento especializado tanto para formação da imagem organizacional da empresa quanto para o gerenciamento de crises.
Esse profissional, denominado genericamente de Media Training, com a diversidade de suas atribuições passou a ser denominado também de Media Coaching, sendo que ambos atuam no relacionamento com a imprensa, mas com metodologias diferentes como aponta o Quadro I.

Com base no quadro anterior, pode-se conceber as atividades do Media Training voltadas para um grupo que procura objetivos em comum, enquanto o Media Coaching é mais especializado e direcionado a uma única pessoa, geralmente os porta-vozes.
Comumente, na preparação do Media Training parte-se da conscientização da importância do relacionamento com a imprensa e como se torna possível alcançar confiança com o jornalista e com os assessores, até chegar ao momento em que o agente fica mais à vontade.
Em ambos os casos, a tarefa desses profissionais visa, essencialmente, auxiliar os porta-vozes a aprimorar suas práticas relacionadas à comunicação com seus diferentes públicos, assim como esclarecer quaisquer dúvidas que possam surgir em determinadas situações para se evitar possíveis danos à reputação e, consequentemente, à imagem da organização.
Nesse artigo será utilizada a denominação Media Training (MT) também para as atividades de Media Coaching, visto que, além de serem complementares, essa distinção, embora continuamente presente nas atividades dos profissionais, nas publicações acadêmicas quase sempre é omitida (Lucas, 2007; Barbeiro, 2008).
A Abrangência do Significado MT
Historicamente, orientações para os dirigentes de empreendimentos sobre a forma de se comunicar adequadamente com os superiores, subordinados e rivais sempre existiu e, genericamente, o MT sempre esteve presente nos impérios, nas cortes, nas associações e corporações na forma de conselhos e regras de conduta para que o relacionamento se tornasse produtivo e vantajoso no que se refere aos interesses do comunicador.
Essas orientações podem ser encontradas na literatura oral e escrita dos antigos impérios do Oriente e do Ocidente. Diz a tradição oriental que o livro Calila e Dimna (Al-Mukafa, 1992) teve como objetivo ensinar sabedoria na forma de se comunicar tendo como ilustração as artimanhas do mundo animal. Na tradição ocidental, os denominados sábios ensinaram a arte da comunicação para aqueles que buscavam ascender política e socialmente. Na democracia grega, os antigos sofistas ensinavam que a virtude cidadã era aprendida por meio do discurso (Cassin, 1990); Aristóteles, autor da Arte Retórica, foi preceptor do menino Alexandre, que viria a conquistar praticamente toda a Europa conhecida de seu tempo; Sêneca foi preceptor de Nero, que se tornou imperador de Roma. No período renascentista, Maquiavel (1979) oferecia conselhos aos Médici sobre a arte de conquista e como manter o poder com o uso sábio das palavras, e assim fizeram tantos outros autores que ensinavam a arte de bem falar e representar.
Essas orientações, regra geral, voltam-se para o estudo da natureza humana em suas características de grandeza e de carência acompanhadas de técnica de convencimento.
Após a Segunda Revolução Industrial, ocorrida entre 1850-1870, a comunicação passa a fazer parte do universo das empresas e se voltam inicialmente para encontrar a melhor maneira de se comunicar com a finalidade de alcançar vantagens perante o mercado, acentuadamente, no recém-formado setor de marketing na década de 30. Esses estudos aperfeiçoaram sobremaneira as práticas comunicativas nas empresas. O Instituto Carnegie desenvolveu técnicas baseadas no estudo da natureza humana sobre a arte de bem se comunicar ao considerar que:
A facilidade de expressão é meio caminho andado para a distinção. Põe o indivíduo em foco, eleva seus ombros e sua cabeça acima da multidão. E o homem que sabe falar bem consegue, em geral, ainda mais créditos do que realmente possui (Carnegie, 1967:3).
A partir de então, a expansão das atividades de comunicação nas empresas resultou no surgimento do profissional de relações públicas. De acordo com Chinem (2006), o fundador das relações públicas foi o jornalista americano Ivy Lee, que ressaltou a importância de se trabalhar um bom relacionamento com a imprensa utilizando atividades de comunicação empresarial. Confiante em sua proposta, em 1906, Lee abandonou o jornalismo e abriu o primeiro escritório de relações públicas em Nova York, tendo como um de seus primeiros clientes o magnata e empresário John D. Rockfeller. John Rockfeller, considerado “persona não grata” por boa parte da população norte-americana do início do século XX, teve agravada ainda mais sua imagem negativa pelo acidente ocorrido em sua empresa, Pensilvânia Railroad. A atuação de Ivy Lee e sua equipe foram eficientes:
A Pensilvânia Railroad sumiu das manchetes escandalosas. A transparência no trato com a imprensa e a confissão honesta das dificuldades técnicas da ferrovia em prestar um serviço sem falhas acalmaram o ímpeto sensacionalista dos jornais, que passaram a tratar os acidentes com mais respeito e compreensão (Chaparro apud Chinem, 2006:24).
No Brasil, sobretudo a partir da década de 70, as atividades de comunicação empresarial passam a ser incorporadas em decorrência de as empresas multinacionais utilizarem o serviço de comunicação em seu país de origem, as quais eram voltadas para a comunicação interna entre gestores, diretores e funcionários, além de favorecer o relacionamento entre empresas e veículos de comunicação de massa.
A partir dos anos 80, devido a fatores relacionados à redemocratização política, à informatização das empresas jornalísticas e, sobretudo, ao processo de redução dos postos de trabalhos para jornalistas nos veículos tradicionais de comunicação, ocorreu uma migração desses profissionais para os setores públicos e privados.
Nesse novo contexto, os profissionais de jornalismo e relações públicas passam a desempenhar atividades mais especificas de comunicação e, dentre elas, as de MT, as quais se iniciam quando, nos anos 80, a filial brasileira da indústria química multinacional Rhodia lança seu plano de comunicação integrada: “um documento que pregava a implantação de uma política de comunicação, alinhada à reabertura política brasileira e que integrava na empresa ações de imprensa, relações públicas e de comunicação de marketing:
Neste novo cenário brasileiro, a comunicação empresarial ganhou novos contornos e, não somente a Rhodia, mas também outras empresas brasileiras incluíram em seus planejamentos estratégicos diversas ferramentas jornalísticas de comunicação, dentre elas o media training, cujo objetivo está em treinar a alta direção para o relacionamento adequado com a imprensa (Chinem, 2006:21).
Atualmente, por intermédio do treinamento de mídia, seja para políticos, jogadores de futebol, profissional autônomo ou vinculado a uma empresa, o profissional de MT propicia orientações sobre como aproveitar da melhor maneira as oportunidades de divulgar suas mensagens em um espaço midiático considerado espontâneo, já que não são anúncios, e sim espaços jornalísticos que existem na imprensa conforme a confiança, audiência e credibilidade depositada pela sociedade.
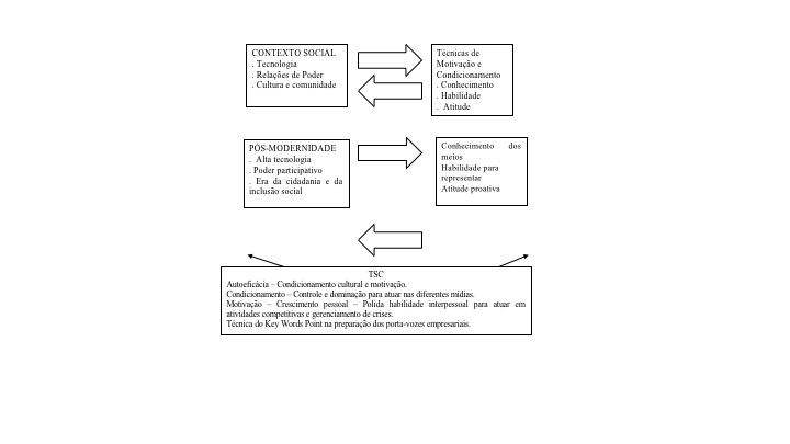
O MT contemporâneo atua de maneira ampla como psicólogo, comunicólogo, produtor de estilo, etc., atuações estas em consonância com as características do ambiente externo: a cultura, o ramo de atividade e as expectativas do público por meio da comunicação. Nessa perspectiva, a Teoria Social Cognitiva (TSC), pelo seu caráter abrangente de unir condicionamento e motivação, torna-se pertinente para a análise das modelagens culturais com os diferentes aspectos da tecnologia.
Assim, a adoção genérica do termo MT para as atividades de Media Coaching busca favorecer o caráter expressivo das ações empregadas pelos profissionais de comunicação tanto na condição de porta-voz das empresas quanto em relação aos demais stakeholders.
Revisão da Literatura
A temática Media Training pode ser considerada atual e relevante em decorrência das inúmeras publicações tanto nacionais quanto internacionais. As publicações internacionais recentes, acentuadamente em periódicos norte-americanos se voltam para a formação da imagem pública das organizações e, dentre esses trabalhos pode-se destacar Barnow (2000), Hwang (2003), Kaplan (2005), Kuduvalli (2008), Meredith Belbin (2011), Bazanini et al (2015).
Esses dois grupos, regra geral, seja nas publicações de caráter mais prescritivos, seja nas publicações mais reflexivas, tanto nacionais quanto internacionais, prevalece o conceito de que os Media Training são profissionais imprescindíveis se tomados em seus aspectos psicológicos e sociológicos nas tarefas dos executivos para a formação da imagem organizacional em razão, principalmente, das contínuas transformações comunicacionais.
Desse modo, a revisão da literatura e a conduziu a adoção da TSC para explicar essas mudanças tendo como substrato as atividades dos profissionais de MT.
Na entrevista preliminar, os MT destacaram as mudanças nos meios de comunicação e a necessidade de o comunicador ser motivado e aceitar as formas de condicionamento para atingir performances cada vez mais avançadas.
Com base nessa pesquisa inicial, optou-se por analisar as transformações comunicacionais conjuntamente aos conceitos de modernidade e pós-modernidade com as suas nuances de compressão do tempo e do espaço, passagem da sociedade do espetáculo para o infoentretenimento.
O uso da abordagem do TSC nas atividades dos MT envolve aspectos relacionados tanto ao condicionamento cultural quanto à motivação para operar nas mídias tradicionais e nas redes sociais:
Os avanços nas formas de comunicação vêm desempenhando papel nas transformações das ideias, valores e formas de comportamento. Recursos advindos do uso do rádio, internet e sistemas de vídeo em tempos de transmissão de satélites têm promovido mudanças em como as pessoas comunicam-se, educam, trabalham, relacionam-se e lidam com o cotidiano. A modelação simbólica usualmente funciona como mensageira de inovações para áreas amplamente dispersas (Bandura, 2006:115).
Portanto, o modelo teórico da TSC parte da articulação de dois componentes – os determinantes psicossociais para mudança e os mecanismos motivacionais e condicionantes, os quais permitem alcançar um modelo operativo e criativo nos diversos cenários, conforme Quadro II.

Essa articulação se complementa quando o entrelaçamento dos referenciais da TM relacionados mais diretamente ao desenvolvimento tecnológico e decorrentes desses, as transformações comunicacionais tendo como parâmetros.
O método histórico-crítico como opção metodológica para pesquisas em comunicação, na concepção de Halliday (1993), possui algumas características que são consideradas adequadas, acentuadamente quando se busca analisar a expressividade nas atividades comunicativas.
O método histórico-crítico consiste em um modo próprio de raciocínio, que não é indutivo (do particular para o geral) nem dedutivo (do geral para o particular), mas trata-se do raciocínio adutivo, no mais simples sentido de aduzir respostas às questões específicas, de modo a obter uma análise para explicativo satisfatório.
Halliday (1993) destaca as especificidades do próprio método implícitas na dicotomia que se estabelece entre exatidão e expressividade.
O método histórico-crítico não permite chegar ao máximo de exatidão nas conclusões, por outro, ganha em poder de expressividade. Por expressividade entenda-se a qualidade de lançar novas luzes sobre o que realmente importa no objeto de pesquisa (Halliday 1993:73).
Assim, o método histórico-crítico possibilita pesquisar a comunicação humana, relacionada ao contexto na qual foi produzida, e ao mesmo tempo sua avaliação crítica da coisa pesquisada, em termos de exatidão e expressividade.
Na presente pesquisa, o método histórico-crítico permite lançar novas luzes sobre as atividades do MT contemporâneo ao resgatar a expressividade contida nas orientações e recomendações dos pensadores do passado para os dirigentes de empreendimentos implícitos nos mais diferentes cenários, como, por exemplo, os treinamentos em comunicação praticados pelos sofistas, os conselhos de Maquiavel e as técnicas de relações humanas do Instituto Carnegie. Para efeito didático, o resgate desses comunicadores será concebido como atuação do MT em sentido lato, enquanto os profissionais atuantes na prestação de serviços de comunicação para preparar pessoas para se relacionar adequadamente com a mídia, após o surgimento da Internet, serão classificados como MT em sentido estrito.
Esse resgate histórico permite aduzir respostas para se analisar as mudanças na atuação do MT em sentido estrito e, consequentemente, as transformações comunicacionais, bem como as novas tecnologias presentes no cenário de nossa pós-modernidade no treinamento dos executivos. Para se estabelecer as primeiras reflexões e aduzir respostas referentes às transformações comunicacionais e suas repercussões nas atividades profissionais de MT, a pesquisa parte do impacto das novas tecnologias, dos conceitos de modernidade e pós-modernidade e da evolução nas teorias da comunicação a partir das primeiras décadas do século XX.
Modelagens culturais na sociedade brasileira
Um dos principais pressupostos da cultura diz respeito ao modo como as nossas formas de ser, o jeito como pensamos, agimos e reconhecemo-nos, estão altamente investidas pelas modelagens culturais que incessantemente nos atravessam e dependem dos entrecruzamentos de forças sociais, principalmente as mídias, tecnologias e formas de recepção das mensagens.
Na atuação dos profissionais de Media Training a cultura constitui elemento determinante para o sucesso da comunicação empresarial, visto que, na cultura organizacional estão presentes os pressupostos básicos que um dado grupo inventou, descobriu ou desenvolveu no processo de aprendizagem, em decorrência dos problemas de adaptação externa e integração interna.
As modelagens culturais como produto de determinada sociedade, expressam seu imaginário por meio de sua cultura organizacional como propõe Freitas (1999):
(...) as organizações leem o que se passa em seu ambiente e (re) elaboram respostas que sirvam a seus objetivos. As organizações são espaços de comportamento controlados, ou seja, é de sua natureza controlar e direcionar a ação.
No imaginário organizacional moderno presentes na cultura brasileira apresentam-se as ideias referentes aos cinco grandes temas institucionais que passaram a predominar a partir da década de noventa, conforme descrição de Gracioso (1995:66):
1. Valorização do consumidor: respeito aos compromissos assumidos com o mercado – abertura ao diálogo;
2. Ecologia: respeito à natureza, preocupação com a proteção e preservação do meio ambiente;
3. Empresa cidadã: integração na comunidade, participação nas grandes causas de interesse coletivo e associação com os grandes momentos de alegria nacional;
4. Ética nos negócios: interpretação cuidadosa do que é moral ou imoral, e não apenas meramente legal ou ilegal.
Ainda segundo o autor, esses cinco grandes temas institucionais devem ser aplicados visando à promoção de um comportamento social comprometidas com o destino cultural da comunidade na qual se encontra inserida.
Portanto, nessa perspectiva a cultura organizacional representa um conjunto de representações imaginárias sociais que se constroem e reconstroem nas relações cotidianas dentro da organização e que se expressam em termos de valores, normas, significados e interpretações, visando um sentido de direção e unidade, tornando a organização fonte de identidade e de reconhecimento para seus membros. (Freitaas, 1999:97).
Particularmente, em relação à cultura brasileira, pode-se considerar algumas características ou traços que influenciam a sua integração, seus conflitos, a prática social e a reprodução cultural de seus indivíduos, bem como influenciam decisivamente a cultura organizacional.
Dentre esses traços culturais, na perspectiva de Silva (2003) e Freitas (1997) pode-se destacar: hierarquia, personalismo, patrimonialismo, formalismo e jeitinho brasileiro”.
A hierarquia constitui um dos traços característicos da cultura brasileira que expressa a tendência à centralização do poder, ao distanciamento nas relações entre diferentes grupos sociais e passividade e aceitação dos grupos inferiores.
O patrimonialismo corresponde a um traço cultural brasileiro, caracterizado pela despreocupação do interesse coletivo, pela ausência de espírito público, de espírito do bem comum, de solidariedade comunal e coletiva e pela carência de instituições corporativas em prol do interesse do ‘lugar’, da ‘vila’, da ‘cidade’ (Vianna, 1974).
O formalismo representa uma maneira tácita de aceitar normas e regras, mas com uma prática distorcida, ou seja, cria-se à prática do faz de conta, expressa simbolicamente pelo ditado “é para inglês ver” (Vianna, 1974).
O personalismo constitui outro traço marcante da cultura brasileira, ou seja, a sociedade brasileira está fundada nas relações pessoais que orientam o comportamento individual e coletivo, do qual decorrem as relações como resultados dos sentimentos de afeto, respeito, cordialidade e consideração que aproximam uma pessoa da outra, formando uma verdadeira rede social que subordina e condiciona o indivíduo (Damata, 1990). A pesquisa de Souza (2000) aponta que o maior orgulho do brasileiro é a convivência de raças distintas, ou seja, o Brasil é um país multicultural, através da miscigenação racial ocorrida por séculos e presentes até os dias atuais. Assim duas características importantes da cultura brasileira é o personalismo comportamental, e paradoxalmente, desenvolvida e praticada por diversas etnias, Byington (2013) ao discorrer sobre a identidade brasileira, aponta para a presença do arquétipo da alteridade no solo brasileiro, no qual, os brasileiros são o símbolo da miscigenação.
Nessa mixagem cultural, surge o “jeitinho brasileiro”, que pode ser concebido como um mecanismo social apreendido que independe da educação, status social e renda e representa flexibilidade, adaptabilidade e é um meio de navegação social que, em sua radicalidade, adquire o sentido de “malandragem” (Damata, Ibidem). O “jeitinho brasileiro” nas ações empreendedoras foi assunto investigado por Pedroso, Massukado-Nakatani e Mussi (2009), sendo que para os autores o jeitinho brasileiro se configura uma forma de gerenciar o empreendimento, apesar de não ser eficiente com ausência de outros atributos, como conhecimento econômico e capacidade técnica.
Esses traços culturais constituem um mote para a atuação dos profissionais de Media Training na proposição de valores culturais presentes na configuração organizacional para comunicação com os diferentes stakeholders.
Metodologia
Quanto às hipóteses, esta pesquisa se caracteriza como exploratória-descritiva, de natureza qualitativa e amostra por conveniência.
A pesquisa exploratória é realizada em áreas nas quais há pouco conhecimento científico ou sistematizado sobre o assunto (Vergara, 2000). Por se referir ao estudo ainda pouco explorado no ambiente acadêmico busca estudar conceitos que relacionam a comunicação com a sociologia e a psicologia presentes na abordagem proposta pela Teoria Social Cognitiva (TSC) que servirá como marco teórico.
A pesquisa descritiva expõe características de determinada população ou determinado fenômeno (Vergara, Ibidem). Nesse trabalho, trata-se de uma pesquisa que busca expor a percepção dos MT e executivos submetidos ao treinamento como base para explicar o fenômeno estudado.
Para Mattar (1996), a pesquisa exploratória visa gerar hipóteses e não verificá-las ao possibilitar uma ampliação dos conhecimentos sobre o problema em estudo.
Por sua natureza de sondagem, essa pesquisa não comporta hipóteses iniciais que, todavia, serão formuladas ao final do trabalho. Assim, não se formulou hipóteses antecipadamente para serem testadas. Contudo, essas hipóteses foram formuladas no final do estudo, na tentativa de explicar os fatos e fenômenos observados.
Inicialmente foi realizada revisão da literatura sobre a temática da comunicação organizacional e MT para posteriormente ser definida a arquitetura da pesquisa e seus respectivos instrumentos e etapas componentes do trabalho de pesquisa.
A Figura 1 resume as etapas e a sequência que foram adotadas para a condução da pesquisa, ou seja, duas atividades principais: a primeira, voltada para a definição; a segunda, para obtenção de informações. Essas duas etapas foram realizadas sobre o objeto, a teoria e a metodologia de análise, que possibilitaram a interpretação e análise dos resultados e, finalmente, o registro das conclusões do trabalho.

Representação gráfica do processo de elaboração do trabalho
Elaborado pelo autorEntão, considerando que a realização das entrevistas da terceira etapa (com os MT e os executivos) seria a que mais geraria informações para identificação tanto das técnicas empregadas quanto da percepção dos profissionais de MT sobre as principais mudanças ocorridas na profissão e a especificidade de atuação na cultura brasileira como detalha o Quadro III.

Além da visão dos profissionais do Media Training referente ao quadro anterior, torna-se relevante a percepção dos executivos submetidos ao treinamento para as mídias sobre o surgimento das novas tecnologias referente à recepção das mensagens que contribuem para o estabelecimento de uma comunicação inovadora e eficaz junto aos diferentes públicos, como traz o Quadro IV.

Resultados da Pesquisas
Os resultados da pesquisa acentuaram os aspectos prescritivos da atuação dos profissionais de MT e de modo geral, apenas reafirmam o conhecimento já construído, particularmente em perspectiva de conhecimento técnico. Em relação aos aspectos reflexivos predomina a visão originária dos antigos sofistas segundo a qual, o discurso quando efetivo, se constitui em um “Deus todo poderoso” pelo seu caráter de astúcia e pragmatismo referenciados no pensamento de inúmeros autores (Maquiavel, 1979; Cassin, 1990; Carnegie, 1967; Halliday, 1987, dentre outros).
Resultados da Pesquisa com os MT
Em uma primeira leitura, os resultados da pesquisa com os profissionais de MT enfatizam a necessidade de atualização constante e confirmam as primeiras constatações por ocasião da reunião da entrevista preliminar de que o treinamento consiste em motivar e treinar os executivos para se situarem na complexidade da sociedade e, consequentemente, estarem pronto para agir em casos de resultados inesperados, conforme tópicos abaixo.
1. As principais mudanças ocorridas na comunicação empresarial se referem ao nível macro da empresa, ao estilo e ao aumento do nível de profissionalização decorrentes da necessidade de transparência e espontaneidade.
2. Com exceção do E3 (Entrevistado 3) que afirmou que não houve mudanças na mídia nos últimos anos, os demais entrevistados destacaram a revolução na comunicação decorrente das redes sociais e importância das interações regulares, planejamento estratégico e conhecimento da linguagem do público específico.
3. A relação entre meio e mensagem necessita que o comunicador entenda a cultura e as especificidades de cada veículo de comunicação, possua conhecimentos básicos de semiótica, retórica e linguística. A técnica Key Words Points é bastante útil ao porta-voz.
4. As dificuldades para se prever o resultado de uma intervenção do MT receberam respostas díspares dos entrevistados: sim, não, depende. Sim, porque a edição pode deturpar o contexto. Não, porque os propósitos são traçados preliminarmente. Depende, porque na pós-modernidade as ambiguidades e ironias podem capturar acontecimentos inesperados.
5. Com exceção do E1 que ainda não realizou treinamento para as mídias sociais, os demais entrevistados afirmaram que as redes sociais possuem especificidades próprias. Três dos entrevistados declararam que jamais se deve calar nas redes sociais; o outro entrevistado esclareceu que a principal característica do discurso nessas situações deve ser a ambiguidade que pode ocorrer tanto no silêncio quanto na manifestação.
6. A pior atitude nas redes sociais está em deixar espaço para que se tenham dúvidas em relação à imagem da empresa e possuir um discurso padrão para todos os públicos.
7. Os casos citados como ilustrativos foram o da Unilever (anexo 1), que se calou as críticas num primeiro momento, mas apesar da repetição das denúncias na imprensa tradicional e das paródias e memes nas redes sociais a crise foi facilmente superada, das Motos Dafra (anexo 2), que se calou e teve sérios problemas com sua imagem, o da Coca-Cola (anexo 3) que respondeu o deboche com outro deboche e o caso da Spoletto (anexo 4), que assim como a Coca-Cola respondeu ao deboche com outro deboche foram vistas como casos bem sucedidos.
8. Tais casos traz uma reflexão sobre a cultura brasileira, o humor pode ser uma das alternativas para se combater e provocar uma crise midiática, pois tem similaridades com o “jeitinho brasileiro”. Diferentemente de outros países, talvez a resposta humorística da Ades e da Coca-Cola que funcionou no Brasil, não funcionaria em muitos países europeus.
9. Em situações rotineiras, diante da opinião pública jamais se deve calar, entretanto, existem situações em que o calar é necessário quando se está com problema de justiça ou quando o calar remete ao discurso ambíguo e, para isso, o mais importante é saber como a imprensa funciona.
10. O futuro da MT tende a ser promissor porque a mídia é um stakeholder importante e não apenas um canal para transmitir mensagens públicas.
Resultados da Pesquisa com os executivos
As respostas abaixo ressaltam a importância da atualização dos executivos para atuar na defesa dos interesses da organização que representam pela assimilação de novos conhecimentos e desenvolvimento de habilidades e atitudes consonantes com as exigências do contexto social.
1. O treinamento propiciou aprendizagem teórica e prática. O teórico voltado aos aspectos sociais e psicológicos relacionados ao estágio da comunicação atual. O prático com simulação de entrevistas para rádio, TV, jornal e Web.
2. Essas práticas foram realizadas por meio de grupos que colocavam o executivo sob pressão, com procedimentos bastante semelhantes às técnicas de reportagem, tais como: microfone sem som; interromper o entrevistado no meio de sua fala, fazer gestos contrários ao enunciado apresentado, olhar para os lados para desconcentrar o falante, apresentar memes nas redes sociais que precisam ser combatidos.
3. O aprendizado extraído dessas atividades práticas é que não se deve em nenhum momento ser impetuoso, não mentir e ao mesmo tempo não falar tudo sobre o assunto e ser conciso.
4. O treinamento mostrou como a imagem da empresa está diretamente relacionada à apresentação pública do executivo que vai desde vestuário adequado, linguagem ambígua sem ser confusa e postura proativa sem ser agressivo.
5. A contribuição em relação ao conhecimento anterior é que o CHA (conhecimentos, habilidades e atitudes) representa a essência do treinamento.
Em relação ao conhecimento: possuir visão sistêmica da comunicação, conhecimentos de retórica, linguística e fluência e inglês. A despeito das habilidades: conhecer técnicas de relacionamento interpessoal, acentuadamente, os momentos em que se deve falar com fluência, ser lacônico ou mesmo calar. Em relação às atitudes: foco no resultado, ser proativo, conciliador e comprometido.
6. É preciso que o aprendizado seja permanente. As atualizações devem ser constantes, pois as mudanças são contínuas. As competências propostas pelo CHA estão sujeitas às mudanças na cultura da sociedade e nas tecnologias utilizadas nos meios de comunicação.
Com base nas respostas dos entrevistados, a atuação do profissional do MT pode ser sintetizada no modelo representado na Figura 2.

Discussão dos Resultados
Apesar das respostas dos entrevistados se voltarem para os aspectos prescritivos e técnicos, algumas reflexões críticas podem ser metodologicamente propostas.
Para Churchill (1999), a pesquisa exploratória apoia na definição do problema, estabelecimento de prioridades, clarificação de conceitos, desenvolvimento de hipóteses e até a eliminação de ideias pouco viáveis.
Nesta pesquisa, a prioridade foi extrair os elementos expressivos na atuação do MT, bem como a clarificação dos conceitos contidos na classificação do MT em sentido lato e sentido estrito. As ideias pouco viáveis dizem respeito a não pertinência das teorias relacionadas aos efeitos ilimitados da mídia em nossa contemporaneidade.
As respostas dos remetem à análise de que a sociedade em rede e as novas tecnologias produzem variáveis que devem ser levadas em consideração em cada situação: as prescrições do tipo “se acontecer isso, faça aquilo”, perdeu muito de sua eficácia. Todavia, a prescrição, válida como procedimento para o iniciante (como por exemplo, a técnica Key Word Points, citada pelos entrevistados), deve evoluir para a reflexão e autodomínio na atuação do MT.
Assim, com base no posicionamento prescritivo assumido pelos entrevistados, duas hipóteses podem ser aventadas:
Hipótese 1: “Ser proativo perante ao ‘jeitinho brasileiro’ ”
Nas sociedades em redes, os jornais impressos e online, emissoras de rádio e TV não são mais onipotentes na difusão em grande escala da comunicação; inversamente, a internet e as redes sociais predominam em termos de hábito de consumo de mídia (IAB, 2012).
Detectar que uma notícia, piada ou opinião está começando a se espalhar e pode se viralizar é crucial para a gestão de crises e imagem. Além disso, analisar o fluxo de conversas sobe uma marca e seus concorrentes na linha do tempo permite compreender as estratégias dos concorrentes, relações de causa-efeito entre campanhas, buzz e vendas e uma série de outros indicadores interessantes (Medina, 2012:93).
A postura proativa do comunicador empresarial deve estar presente nas diferentes fases de uma crise.
Na fase do gerenciamento, o monitoramento serve como um satélite que detecta o sinal vermelho de uma possível crise que está se iniciando, ou que, de fato, já se iniciou. Também nesta fase a ferramenta tem a função de indicar a evolução da crise e o movimento da opinião pública, assim como detectar se a crise está ganhando novos rumos e evoluindo, ou perdendo força em relação ao público (Teixeira, 2013:125).
Contudo, o gerenciamento não se encerra na aparente solução da crise. As mensagens postadas nas redes sociais podem estar presentes por longos períodos nos sites de busca e ser rememoradas a qualquer momento. Em referência à linguagem empregada, as crises de imagem nas redes sociais tendem a ser veiculadas com deboche, ironia e paródia. Os casos citados pelos MT (Unilever, Motos Dafra e Coca-Cola) foram tratados não de maneira autoritária ou polêmica, mas acentuadamente de forma lúdica pelos concorrentes, o que mostra a informalidade e o humor do “jeitinho brasileiro”, segundo trabalho de Flach (2012) ao descrever os atributos do “jeitinho brasileiro”, sendo que tais atributos aparecem nos casos citados pelos MT.
Diante disso, a questão não se resume à espiral do silêncio, isto é, se a empresa deve se calar ou responder enfaticamente, mas se o comunicador empresarial, pela ação de monitoramento contínuo das mensagens, possui conhecimento para responder habilmente essas situações, seja se calando ou respondendo enfaticamente com seriedade ou ironia.
Então, ocorre que a postura passiva pode acarretar sérios problemas na reputação da empresa se, diante de uma crise, o comunicador empresarial não avaliar corretamente a situação e apenas se calar, uma vez que em situações impactantes o público tende a ficar ávido por explicações:
Uma crise repentina cria um vácuo de informações. Alguma coisa aconteceu, mas ninguém sabe o quê – pelo menos inicialmente. As pessoas ficam ansiosas por notícias. Assim como a natureza odeia o vácuo, o espaço sem informação tende a se preencher com o quer que apareça, mesmo que não passe de especulação e boatos (Luecke, 2010:92).
Nesse sentido, o silêncio pode ser bastante prejudicial à empresa, mas, inversamente, se a resposta for imediata e não alcançar o âmago da crise, o não silêncio pode ser tão contraproducente quanto o silêncio, ou seja, “o jeitinho brasileiro” é imprevisível e precisa ser monitorado, apenas seguir manuais não mostra ser muito eficiente numa cultura onde a espontaneidade e a informalidade são características.
A questão, portanto, não se resume ao silêncio ou não silêncio, mas aos recursos comunicativos que o comunicador dispõe em termos de conhecimento, habilidade e atitudes criativas para responder de forma proativa (responder não respondendo, responder formalmente ou na linguagem do espetáculo) à comunidade na qual a empresa está inserida, no caso brasileiro, compreender os atributos e características do “jeitinho brasileiro”.
Hipótese 2: A ambiguidade da cultura brasileiracomo qualidades comunicativas
O cenário pós-moderno caracteriza-se pela impossibilidade de se eliminar as incertezas e se alcançar alta previsibilidade das ações realizadas, em virtude de os resultados estarem submetidos a fatores endógenos e exógenos que não podem ser totalmente controlados.
Assim, discurso e prática são aspectos que não se sobrepõem necessariamente e nem sempre se opõem, mas são complementares para a compreensão da realidade (Magnani, 1986). Com sua prática e seu discurso, os profissionais de MT e os executivos que atuam como porta-vozes das organizações contribuem para a produção e reprodução do conhecimento e das distintas performances da comunicação empresarial na cultura brasileira.
– “É preciso preparar as pessoas para saber atuar nas diferentes mídias. Uma fala desprecavida do executivo pode pôr tudo a perder. O executivo porta-voz da empresa precisa ser um vendedor, um político e um ator”.
Portanto, a flexiblidade, ou seja, “o jeitinho brasileiro”, a capacidade de ser ambíguo sem parecer contraditório, constituiu qualidades desejadas do comunicador empresarial. Nessa perspectiva, a posição do MT denominado de MT5 em relação à questão 2 é bastante esclarecedora:
– “Quais foram as principais mudanças em seu treinamento de mídia ocorrida nesses últimos anos? ”
– “É preciso preparar as pessoas para saber atuar nas diferentes mídias. Uma fala desprecavida do executivo pode pôr tudo a perder. O executivo porta-voz da empresa precisa ser um vendedor, um político e um ator”.
Essas habilidades dotam o comunicador de recursos para aproveitar os efeitos conotativos da linguagem presentes nas técnicas teatrais. Abordagens mais recentes, no âmbito dos chamados estudos da recepção, como por exemplo Hall (2005), ao discorrer sobre a codificação e a decodificação de mensagens mediáticas, embora reconheça a força hegemônica dos media, admite, por outro lado que o processo hegemônico depende, diretamente, da atitude do público durante a decodificação de mensagens que apresentam sentido denotativo e vários sentidos conotativos.
Da fusão dessas duas hipóteses é possível conceber que as artes cênicas reforçam o personalismo por constituir um espaço de expressão privilegiado para o comunicador ao promover aumento de repertório, argumentação na oratória e, ainda, segurança diante do imprevisto, pois, diante de um texto, o ator precisa interpretá-lo, contextualizá-lo e comunicá-lo aos outros, de maneira espontânea e natural.
Comumente, ocorrem situações inesperadas em que o ator necessita dominar os imprevistos e ser capaz de improvisar uma ação, visto que na condição de porta-voz, além de conhecimento técnico, necessita também de inteligência emocional diante das contingências, sendo que essa conquista ao ser operacionalizada requer as qualidades do vendedor, do político e do ator. Como vendedor apresenta positivamente a imagem da organização; na condição de político, negocia com a mídia e os demais stakeholders e, finalmente, como ator representa papéis dramáticos ou comedidos para que a empresa se torne persona grata diante da sociedade.
Na sociedade em redes, o MT para alcançar a comunicação eficaz, atua tanto em nível estratégico quanto operacional e ao formar as fontes em nível operacional e decisório possibilita unificar o conceito da organização, congregar interesses e evitar sua fragmentação. Portanto, a comunicação eficaz ocorre não mais por meio de algo que se diz para um mercado passivo, mas pela qualidade e performance das relações que serão estabelecidas aos diferentes stakeholders e pela credibilidade gerada por uma rede de relações articulada pela empresa com seus clientes, funcionários, fornecedores, etc.
Como descrito no Quadro II “Características da TSC”, o comunicador empresarial atua de forma intencional para se antecipar às situações que potencialmente podem se transformar em oportunidade de mercado ou mesmo em uma possível crise por meio de contínuas ações e reflexões auto investigadoras de seu comportamento numa bidirecionalidade dinâmica com base na dialogicidade que se estabelece entre a empresa e o ambiente.
Em síntese, as modelagens culturais permitem ao comunicador organizacional captar as mensagens explícitas e implícitas presentes no ambiente e reativamente elaborar ou mesmo reelaborar respostas que sirvam a seus objetivos, visto que, as organizações são espaços de comportamento controlados, ou seja, constitui tarefa essencial do profissional de Media Training controlar e direcionar a ação em direção aos diferentes públicos. Assim, na pós-modernidade, apenas conhecer não é suficiente no jogo da performance em constante exposição e, consequentemente, com cada vez menos privacidade, o mundo contemporâneo vai se tornando mais transparente em todos os sentidos. Surge daí a necessidade do porta-voz nessa situação de exposição de contínuas ameaças à reputação e à imagem da empresa, bem como a importância de o MT possuir conhecimentos dos diversos níveis da linguagem, saber ser ambíguo e, concomitantemente, possuir atributos do vendedor, do político e do ator em consonância com os ditames da cultura do ambiente.
Considerações finais
A cultura representa elemento determinante na comunicação organizacional. Os fatores determinantes na cultura brasileira como a hierarquia, o personalismo, o formalismo e o jeitinho brasileiro constituem procedimentos considerados legítimos nas relações interpessoais entre os stakeholders.
As respostas dos entrevistados permitem estabelecer reflexões pertinentes segundo a qual a atuação do profissional de MT pode ser comparada a postura dos antigos sofistas, postura essa que ressalta a fragilidade do real perante à força persuasiva do discurso na consciência humana alicerçada em fatores culturais.
Ao final desse artigo pode-se considerar que o emprego da TSC se mostrou adequado para analisar a atuação do MT pelo seu caráter de integração entre dois aspectos essenciais presentes na persuasão do pensamento sofista: motivação e condicionamento cultural. O primeiro, para alcançar cada vez mais níveis de performance mais elevado, o segundo, para se adaptar continuamente as exigências do contexto no qual está inserido.
Portanto, na atuação dos profissionais de Media Training, as escolhas das modelagens culturais dependem, primordialmente, dos entrecruzamentos de forças sociais, principalmente as mídias, tecnologias e formas de recepção das mensagens e, nesse sentido, harmonizar as ações da empresa com a hierarquia, o personalismo, o formalismo e o “jeitinho brasileiro” se tornam imprescindíveis por contemplar aspectos essenciais da cultura brasileira.
Dentre as limitações presentes nessa pesquisa, pode-se ressaltar que a análise apresentada não é conclusiva, principalmente pela adoção do método histórico-crítico.
O método histórico-crítico na pesquisa da comunicação humana, por um lado, propicia com base no contexto avaliar criticamente o objeto pesquisado da coisa pesquisada sendo que, em decorrência, constitui-se em instrumento para produzir conhecimento e fomentar discernimento sobre o processo social da comunicação, e por outro lado, privilegia a expressividade em detrimento da mais rigorosa exatidão, ao fazer um determinado recorte do passado, somente nos aspectos que o pesquisador considera essenciais.
Referências
Al-Mukafa, I. (1975). Calila e Dimna, Rio de Janeiro: Apex.
Anderson, P. (1999). As origens da pós-modernidade. Rio de Janeiro:Jorge Zahar Editor.
Argenti, P. (2006). Comunicação empresarial: a construção da identidade, imagem e reputação, Rio de Janeiro: Elsevier.
Bandura, A (2008). Teoria Social Cognitiva. Porto Alegre:Artmed.
Barbeiro, H (2008). Media training: como usar a imprensa ao seu favor. São Paulo:Saraiva.
Barnow, Burt S. (2000). “Exploring the Relationship Between PerformanceManagement and Program Impact: A case Study of the Job Training Partnership Act”, in: Journal of Policy Analysis and Management, v. 19, n. 1, 118-141.
Bazanini, R. et al. (2015). “Organizational Communication: Relevance of Symbolic Aspects in Strategies Employed By Professional Media Training Relationship Building with Various Stakeholders”, in: Business and Management Review, Special Issue, v. 4, n. 8, 527-538, March.
Bazanini, R.; Ribeiro, H. L.; Bazanini, H. L. (2013). “Relevância das atividades do profissional de Media Training na perspectiva da teoria dos stakeholders”, in: SEMEAD-Seminários em Administração, Anais do XVI SEMEAD,Universidade de São Paulo: FEA/USP.
Bueno, W. C. (2005). A Comunicação Empresarial Estratégica: definindo os contornos de um conceito Conexão – comunicação e cultura, UCS, Caxias do Sul, v. 4, n. 7, 11-20.
Byington, C. A. B. (2013). “A identidade brasileira e o complexo de vira-lata: uma interpretação da psicologia simbólica junguiana”, in: Junguiana, 31 (1), 71-80.
Carnegie, D. (1967). Como Fazer Amigos e Influenciar Pessoas. Rio de Janeiro: Companhia Editora Nacional.
Cassin, B. (1990). Ensaios Sofísticos. São Paulo: Siciliano.
Chinem, R. (2006). Comunicação Empresarial: Teoria e o dia a dia das Assessorias de Comunicação. São Paulo:Horizonte.
Churchill, G. A. (1999). Marketing Research: Methodological Foundations. 7ª ed. The Dryden Press.
Curvello, J.J. (2009) “A comunicação organizacional como fenômeno, como processo e como sistema”, in: Organicom - Revista Brasileira de Comunicação Organizacional e Relações Públicas, Nº 10, 33-47.
Damatta, R. (1990). Carnavais, malandros e heróis: para uma sociologia do dilema brasileiro. Rio de Janeiro:Editora Guanabara.
Flach, L. (2012). “O jeitinho brasileiro: analisando suas características e influências nas práticas organizacionais”, in: Gestão & Planejamento-G&P, 13 (3).
Freitas, A. B. (1997). “Traços brasileiros para uma análise organizacional”, in: Motta F. C. P.; Caldas, M. P. Cultura organizacional e cultura brasileira. São Paulo: Atlas.
Freitas, M. E. (1999). Cultura organizacional: identidade, sedução e carisma. Rio de Janeiro, Editora FGV.
Gracioso, F. (1995). Propaganda institucional: nova arma estratégica da empresa. São Paulo: Atlas.
Halliday, T.L. (1993). “Uma opção metodológica para pesquisas em comunicação”, in: Revista Brasileira de comunicação.Vol XVI, n. 2, 66-77, julho/dezembro.
Hwang, A.S (2003). “Training Strategies in the Management of Knowledge”, in: Journal of Knowledge Management, v. 7, n. 3, 92-104.
Kaplan, R. S.; Norton, D. P (2005). Creating the Office of Strategy Management. Division of Research, Harvard Business School.
Lacerda, R. (2014). Construindo Audiência em Redes Sociais. Disponível em:http://webinsider.uol.com.br/2011/09/16/construindo-audiencia-em-redes-sociais/. Acesso em 04/06/2014.
Lucas, L. (Org.) (2007). Media Training: como agregar valor ao negócio melhorando a relação com a imprensa. São Paulo: Summus.
Luecke, R. (2010). Gerenciando a crise. Rio de Janeiro: Record.
Magnani, J. G. C. (1986). “Discurso e representação ou de como os baloma de Kiriwana podem se encarnar nas atuais pesquisas”, in: Cardoso, Ruth (org.) A aventura antropológica: teoria e pesquisa. Rio de Janeiro: Paz e Terra, 127-140.
Maquiavel, N (1979). O Príncipe-Maquiavel: curso de introdução à ciência política. Brasília-DF:Editora da Universidade de Brasília.
Medina, B. (2012). “Inteligência Artificial: o grande diferencial competitivo para classificação de informações e extração automática de conhecimento das redes sociais”, in: Silva, T. (org). Para entender o monitoramento de mídias sociais. [S.l..s.n.], 91-107. Disponível em: http://www.slideshare.net/tarushijio/para-entender-monitoramento-de-midias-sociais. Acessado em 17/12/2013.
Meredith Belbin, R. (2011). “Management Teams: Why they Succeed or Fail”, in: Human Resource Management International Digest, v. 19, n. 3, 25-38.
Miranda, F.A. (2008) “Jornalismo e polifonia: a reportagem como trama de vozes na construção da identidade de Felipe Klein”, in: Revista Mediação, ano 8, v. 1, n. 7, 61-78.
Moreira, H. (2011). “Competição, inovação e mudanças: gerenciando a comunicação num ambiente organizacional complexo”, in: Revista Universitas - Arquitetura e Comunicação Social, Brasília, v. 8, n. 1, 83-91.
Nogueira, N. (2007). “A prova dos dez ou agregando valor as marcas e empresas pela divulgação jornalística”, in: Lucas, Luciane (org). Media Training: como agregar valor ao negocio melhorando o relacionamento com a imprensa. São Paulo: Summus.
Pedroso, J. P. P., Massukado-Nakatani, M. S., & Mussi, F. B. (2009). “A relação entre o jeitinho brasileiro e o perfil empreendedor: possíveis interfaces no contexto da atividade empreendedora no Brasil”, in: Revista de Administração Mackenzie, 10 (4).
Recuero, R. (2009). Redes sociais na internet (Coleção Cibercultura), Porto Alegre:Sulina.
Silva, W. R. (2003). Teoria das Organizações Cooperativas: organizações e contexto cultural brasileiro. Viçosa, UFV. (Apostila do Curso Lato Sensu em Gestão de Cooperativas).
Siqueira jr., A. I. (2013). Metodologias de Media Training desenvolvidas pelas assessorias de comunicação. Dissertação de mestrado em comunicação social. Universidade Municipal de São Caetano do Sul – USCS, S.C.Sul, São Paulo, SP.
Souza, J. (2000). “Democracia racial e multiculturalismo: a ambivalente singularidade cultural brasileira”, in: Revista Estudos Afro-Asiáticos, 38, 135-155.
Stewart, S. (2009). Media Training 101: A Guide to Meeting the Press. United States of America:John Wiley&Sons, Inc.
Teixeira, P.B. (2013). Caiu na rede. E agora? Gestão de Crises nas Redes Sociais. São Paulo:Évora.
Thomaz, J.C.; Brito E. P. Z. (2014). “Reputação corporativa: construtos formativos e implicações para a gestão”, in: Revista de administração contemporânea. [online]. vol. 14, n. 2, 229-250. Disponível em: http://www.congressousp.fipecafi.org/web/artigos132013/551.pdf. Acesso em 14/05/2014.
Torquato, G. (2002). Tratado de Comunicação: Organizacional e Política. São Paulo: Thomson Learning.
Vergara, S.C. (2000). Projetos e relatórios de pesquisa em administração. São Paulo: Atlas.
Viana, F. (2001). De cara com a mídia: comunicação corporativa, relacionamento e cidadania. Rio de Janeiro:Negócio Editora.
Vianna, O. (1974). Instituições políticas brasileiras. Belo Horizonte/São Paulo/Niterói: Itatiaia/EDUSP/EDUFF.
Anexo 1 – Memes do suco Ades

A empresa emitiu um comunicado oficial:
Comunicado importante para os nossos consumidores
Na data de hoje, 18.3.13, a ANVISA publicou a Resolução RE 1005, em que decidiu de forma preventiva suspender a produção de novas unidades de ADES na linha TBA3G, uma das 11 linhas de fabricação de ADES. A ANVISA também suspendeu a distribuição, comercialização e consumo de todos os lotes fabricados nesta linha TBA3G, identificados com as iniciais AG
A Unilever informa que:
(i) o problema de qualidade, já informado ao público em 13.3.13, limita-se a 96 unidades de Ades sabor maçã, 1,5 litros, lote AGB25, produzidas na linha TBA3G na fábrica de Pouso Alegre;
(ii) desde o dia 13.3.13, nenhum produto fabricado na linha TBA3G foi distribuído ao mercado. A linha encontra-se inativa;
(iii) já identificou a causa do problema de qualidade e implementou as medidas corretivas correspondentes;
(iv) já iniciou o cumprimento das determinações da ANVISA publicadas no dia de hoje, incluindo a retirada do mercado das unidades produzidas na linha TBA3G;
(v) está colaborando com a ANVISA com o fornecimento de todas as informações necessárias para a revogação da interdição cautelar que possibilitará o retorno da fabricação na linha TBA3G, bem como a liberação para a distribuição, comercialização e consumo dos lotes de ADES com iniciais AG (exceto AGB25);
(vi) todos os demais produtos ADES não correspondentes aos lotes com iniciais AG permanecerão no mercado, encontrando-se em perfeitas condições para consumo.
Estamos seguros de que nossa plena colaboração com as autoridades pertinentes resultarão em uma rápida solução para o benefício do consumidor.
Unilever Brasil
Fonte: http://www.unilever.com.br/aboutus/imprensa/2012/comunicado_para_imprensa.aspx
Anexo 2 - Paródia da Dafra Motos
A Dafra Motos teve problemas com um comercial lançado na TV e postado no YouTube em 2009. O vídeo foi parodiado. As falas do ator Wagner Moura foram trocadas por dublagens não autorizadas com críticas debochadas à marca. A empresa exigiu judicialmente, e o YouTube tirou a paródia do ar. Mesmo assim, muitos internautas já haviam copiado o vídeo, que ainda pode ser encontrado em alguns blogs.

Texto original do vídeo:
“Eu tive um sonho. Cada brasileiro poderia ir e vir como quisesse. Esse sonho é de todos vocês e de todas elas também. A Dafra é feita para você Paulo que quer tecnologia, design, preço justo. Rafa não quer pagar a mesma coisa e continuar pegando ônibus” “ Daniela, você que queria estar em três lugares ao mesmo tempo” São 250 pontos espalhados pelo Brasil, e você Alves”
Paródia do texto original do vídeo:
“A Dafra vai fod** você Paulo. Olha isso tudo foi mal feito, nas coxas. O Rafa comprou essa moto e está andando de ônibus. Daniela, você vai carregar essas compras, na cabeça de minha beng* Não sei quantos mil trouxas espalhados pelo Brasil e você Alves sempre quis dar o c*né, a hora é essa; Pimenta no c* dos outros é refresco”.
Anexo 3 – As rimas da Coca-Cola
Um internauta fez rimas criticando o refrigerante e a empresa respondeu da mesma maneira:

Anexo 4 – Spoleto na “Porta dos Fundos”
O Canal do Youtube “Porta dos fundos” postou um vídeo com ironias ao atendimento dos funcionários da rede de restaurantes “Spoleto” alegando ser um atendimento ruim, rápido e sem carisma nenhum.

A Spoleto se uniu ao canal “Porta dos Fundos” e encomendou o vídeo “ Spoleto 2- O retorno”, com o mesmo humor e ator no qual a empresa diz fazer de tudo para que os funcionários atendem bem o clientes e alerta para quando isso não acontecer, comunicar ao SAC da empresa.

Notas
Autor notes