
Recepção: 12 Janeiro 2014
Revised: 25 Maio 2015
Aprovação: 28 Julho 2015
DOI: https://doi.org/http://dx.doi.org/10.15446/abc.v21n1.48170
Resumo: Sideroxylon obtusifolium , conhecida como quixaba, é utilizada para diversos fins medicinais, dentre eles em casos de inflamações e infecções bacterianas, com isso, o estudo teve por objetivo investigar a atividade anti-inflamatória tópica e antibacteriana do extrato metanólico obtido das folhas de S. obtusifolium . A prospecção fitoquímica do extrato revelou a presença de diversas classes, entre eles: Fenóis; Taninos Pirogálicos, Flavonoides, Catequinas e alcaloides. Os polifenóis e flavonóides presentes neste extrato foram quantificados em 150,3 mg equivalentes de ácido gálico/g de extrato e 98,5 mg equivalentes de quercetina/g de extrato, respectivamente. Os resultados obtidos através dos testes de microdiluição e modulação mostraram potencial atividade antibacteriana quando associados a gentamicina e amicacina para cepas multirresistentes de Staphylococcus aureus . Para cepas de Escherichia coli , houve sinergismo frente ao antibiótico amicacina havendo antagonismo para gentamicina, o mesmo efeito foi observado para Pseudomonas aeruginosas em ambos antibióticos. Nos testes para inflamação aguda através dos modelos de edema de orelha induzido por óleo de cróton e fenol, o extrato apresentou um potente efeito antiedematogênico significativo ( p < 0,05). Diante dos resultados, podem-se observar atividades biológicas de S. obtusifolium , o que condiz com seu uso na terapia popular.
Palavras-chave: anti-inflamatória, antibacteriana, prospecção fitoquímica, Sideroxylon obtusifolium.
Abstract: Sideroxylon obtusifolium , known as “quixaba”, is used for various medicinal purposes, including in cases of inflammation and bacterial infections, therefore, the study aimed to investigate the topical antibacterial and anti-inflammatory activity of the methanol extract obtained from the leaves of S. obtusifolium . The phytochemical screening of the extract revealed the presence of several classes, including Phenols; Tannins, Flavonoids, catechins and alkaloids. Polyphenols and flavonoids present in this extract were quantified in 150.3 mg of gallic acid equivalents / g extract and 98.5 mg of quercetin equivalents / g extract, respectively. The results obtained by the microdilution tests have shown potential and modulation antibacterial activity when associated gentamicin, and amikacin for multidrug-resistant strains of Staphylococcus aureus . For Escherichia coli , there was synergism for amikacin, gentamicin having antagonism, the same effect was observed for Pseudomonas aeruginosa on both antibiotics. In tests for acute models of inflammation by ear edema induced by croton oil, and phenol, the extract had a potent antiedematogenic significant effect ( p < 0.05). Therefore, the results can be observed biological activities of S. obtusifolium , which is consistent with its use in popular therapy.
Keywords: anti-inflammatory, antibacterial, chemical elucidation, Sideroxylon obtusifolium.
Resumen: Sideroxylon obtusifolium conocida como quixaba, se utiliza para diversos fines medicinales, incluso en los casos de infecciones bacterianas y la inflamación, por lo tanto, este estudio tuvo como objetivo investigar la actividad antiinflamatoria tópica y antibacteriana del extracto de metanol obtenido de las hojas de S. obtusifolium . El tamizaje fitoquímico del extracto reveló la presencia de varias clases, incluyendo: fenoles; taninos pirogálicos, flavonoides, catequinas y alcaloides. Los polifenoles y flavonoides presentes en este extracto se cuantificaron en 150,3 mg de equivalentes de ácido/g de extracto gálico y 98,5 mg de extracto de quercetina equivalentes/g, respectivamente. Los resultados obtenidos por los ensayos de microdilución han mostrado actividad potencial y la modulación antibacteriana cuando se asocia gentamicina, amikacina y para las cepas resistentes a múltiples fármacos de Staphylococcus aureus . Para Escherichia coli , solo se obtuvo sinergismo con amikacina, y se observo antagonismo para gentamicina, este mismo efecto fue observado para Pseudomonas aeruginosa en ambos antibióticos. En las pruebas de modelos agudos de inflamación por edema de la oreja inducido por aceite de crotón, y el fenol, el extracto tuvo un efecto significativo antiedematogenic potente ( p <0,05). Por lo tanto, los resultados muestran actividad biológica de S. obtusifolium , que es coherente con su uso en terapia popular.
Palabras clave: antiinflamatorio, antibacterial, prospección fitoquímica, Sideroxylon obtusifolium.
Citation / Citar este artículo como: Aquino P, Gomes Figueredo F, Pereira N, Nascimento E, Martin A, Veras H, Oliveira C, Ferreira S, Leandro L, Silva M, Menezes I. Avaliação da atividade anti-inflamatória tópica e antibacteriana do extrato metanólico das folhas de Sideroxylon obtusifolium . Acta biol. Colomb. 2016;21(1):131-140. doi: http://dx.doi.org/10.15446/abc.v21n1.48170
INTRODUÇÃO
O uso de plantas para fins medicinais é uma prática antiga, com registro desde épocas milenares (Veiga-Júnior, 2008). No Brasil, mesmo com o avanço da indústria farmacêutica, muitos habitantes (principalmente da área rural), ainda se utiliza das plantas, empregando-as para o alivio ou cura de algumas enfermidades (Badke et al., 2011).
As plantas produzem substâncias conhecidas como princípios ativos, que são compostos químicos originados durante o seu metabolismo, e são capazes de provocar algum tipo de atividade biológica quando introduzidos por qualquer via no organismo animal, inclusive no homem (Boscolo e Valle, 2008).
Sideroxylon obtusifolium (Roem. & Schult.) conhecida como quixabeira, é uma espécie da flora da caatinga (Pedrosa et al., 2012). As folhas e principalmente as cascas são usadas geralmente na forma de chás, na terapia popular para vários fins terapêuticos como adstringente tônica, antiinflamatória, tratamento de úlcera duodenal, gastrite, azia, lesão genital, cólicas, problemas renais e problemas cardíacos. Estudos farmacológicos comprovam a ação hipoglicemiante e ação contra micro-organismos, fazendo com que S. obtusifolium seja considerada uma espécie importante no uso da terapia tradicional (Agra et al., 2007; Beltrão et al., 2008; Araújo-Neto et al., 2010; Pedrosa et al., 2012; Leandro et al., 2013).
As pesquisas sobre esta planta ainda são escassas, principalmente em relação ao estudo das folhas, por isso há um interesse de buscar os compostos presentes nesta parte da planta e comprovar por meio de modelos experimentais, o uso desta para diversos fins na medicina popular. Com isso, o presente trabalho teve por objetivo investigar a atividade anti-inflamatória tópica e antibacteriana do extrato metanólico obtido das folhas de S. obtusifolium , bem como fazer uma triagem dos componentes químicos presentes nesta parte da planta.
MATERIAL E MÉTODOS
Local de realização do estudo
O estudo foi realizado no Laboratório de Farmacologia da Universidade Regional do Cariri, Crato-CE, Brasil e no Laboratório de Microbiologia da Faculdade Leão Sampaio, Juazeiro do Norte-CE, Brasil.
Material vegetal
As folhas de S. obtusifolium foram coletadas no municipio de Jardim-CE, no mês de outubro de 2013. Uma amostra representativa da espécie foi depositada no Herbário Caririense Dárdano de Andrade-Lima (HCDAL) do Departamento de Ciências Biológicas (URCA) sobre registro: 10.648.
Preparação do extrato metanólico
Para preparação dos extratos foram coletadas e pesadas 300 g das folhas de S. obtusifolium que permaneceram submersas em metanol separadamente por 72 h. Após esse período, o eluente foi filtrado e concentrado em condensador rotativo a vácuo e banho-maria (Brasileiro et al., 2006). O rendimento do extrato bruto foi de 17 %.
Ensaios Químicos
Prospecção fitoquímica
Os testes fitoquímicos foram realizados seguindo o método descrito por Matos (1997). Os ensaios se baseiam na observação visual da alteração de cor ou formação de precipitado após a adição de reagentes específicos.
Determinação de fenóis totais
As concentrações para a determinação de fenóis totais foram determinadas a partir da adição de 125 μL de cada uma das soluções do extrato metanólico das folhas de S. obtusifolium (EMSO) em que foram inicialmente preparadas, obedecendo a uma ordem decrescente de concentrações (5, 3, 1, 05, 0, 25 mg/mL), sendo posteriormente adicionado 125 μL do reagente Folin-Ciocalteau à 10 % mais 1,25 mL de carbonato de sódio completando as 2 mL com água destilada. Posteriormente as soluções permaneceram em temperatura ambiente por aproximadamente 45 minutos sem a presença de luminosidade, em seguida foi realizada a leitura dos testes, as absorbâncias mensuradas foram através do espectofotômetro com filtro em 765 nm. Como padrão para o teste foi utilizado o ácido gálico afim de que seus valores sirvam de comparação para a determinação dos compostos fenólicos presentes nas soluções, expressas a partir da quantidade de ácido gálico presentes em cada miligrama do extrato em estudo (Singleton et al., 1999). A média das leituras dos testes foi utilizada através dos resultados expressos em miligramas de ácido gálico por grama de extrato. A curva de calibração de ácido gálico foi determinada utilizando diferentes concentrações desta substância (400, 300, 200, 100 e 50 μg/mL).
Determinação de flavonóides
A determinação de flavonóides seguiu a metodologia proposta por Woisky e Salatino (1998), onde foram pipetados 2mL do EMSO nas diferentes concentrações (1000, 500, 250, 100, 50 μg/mL) em tubos de ensaios individualmente. Após a adição do extrato, adicionou-se aos tubos 1 mL de cloreto de alumínio 5 % m/v em etanol a 80 % e 2 mL de metanol. Preparou-se o branco utilizando 4 mL de metanol e 1 mL de cloreto de alumínio. Aguardou-se 30 minutos em ambiente escuro e procedeu-se a leitura, sendo que foram utilizadas as concentrações de, 100, 50, 25, 15 e 10 μg/mL para a construção da curva de calibração de quercetina. A partir da equação da reta obtida, realizou-se o cálculo do teor de flavonóides, expresso em quercetina/g do extrato.
Atividade anti-inflamatória tópica através de modelos de edema de orelha induzidos por agentes irritantes
Animais
Os animais utilizados foram camundongos albinos ( Mus musculus ) variedade Swiss, machos, pesando entre 20-30 g, provenientes do Biotério da Faculdade Leão Sampaio e da Faculdade Estácio de Medicina de Juazeiro do Norte, Ceará, Brasil, foram mantidos em caixas de propileno, a temperatura média de 26 ± 2 °C, com ciclos claro/escuro de 12/12 h, recebendo ração (Labina, Purina®) e água a vontade. Não foram observados em nenhuma concentração do extrato testada (25 mg/mL e 50 mg/mL), efeitos colaterais ou morte dos animais, na via de aplicação utilizada. O projeto com protocolos referentes a este estudo foi submetido à Comissão de Ética no uso de animais da Universidade Regional do Cariri, com parecer: 00099/2014.1.
Substancias, reagentes e soluções
As substâncias e reagentes utilizados durante os procedimentos experimentais farmacológicos foram: acetona P.A (Dinâmica, Brasil), fenol 99 % (Sigma- EUA), Indometacina (Merck Sharp e Dohme, Brasil), Óleo de Cróton (Sigma, EUA) e Solução Fisiológica de NaCl 0,9 % (Farmace, Brasil).
Edema de orelha induzido pela aplicação única de óleo de cróton
Este modelo é muito utilizado para avaliar a atividade anti-inflamatória tópica por tratamento agudo. O EMSO foi avaliado neste modelo, sendo que grupos de camundongos Swiss (n = 6) tiveram suas orelhas direitas tratadas topicamente, com 20 μL de acetona (controle), indometacina 100 mg/mL (2 mg/orelha), EMSO na concentração (25/50) mg/mL (0,5 mg/1 mg por orelha), esperando 15 minutos para absorção. Em seguida, 20 μL de óleo de croton 5 % (v/v) em acetona, foram aplicados topicamente na orelha direita e 20 μL do veículo acetona na orelha esquerda. Após quatro horas, os animais foram sacrificados por deslocamento cervical e discos de 6 mm de diâmetro foram obtidos das orelhas através de um punch (perfurador de couro metálico) para avaliação do edema (Tubaro et al., 1985).
Edema de orelha induzido por fenol
Neste modelo, que se assemelha a uma dermatite de contato, as orelhas direitas dos camundongos (n = 6/grupo) foram tratadas, topicamente, com 20 μL do agente irritante fenol 10 % (v/v), em acetona. Previamente, em torno de quinze minutos antes da aplicação do agente irritante, as orelhas direitas foram tratadas topicamente com 20 μL do EMSO nas concentrações de 25/50 mg/mL (0,5 mg/1 mg por orelha), acetona (controle) e indometacina 100 mg/mL (2 mg/orelha). Após uma hora, os animais foram sacrificados por deslocamento cervical e discos de 6 mm de diâmetro foram obtidos das orelhas para avaliação do edema (Young et al., 1984; Crummey et al., 1987).
Quantificação do edema
Os discos de 6 mm de diâmetro obtidos das orelhas direitas e esquerdas dos animais, tratadas respectivamente com o agente irritante e o veículo do mesmo, tiveram suas massas mensuradas com a utilização de uma balança analítica. O edema de orelha foi expresso em percentual, utilizando como cálculo a subtração da massa (em gramas) do disco obtido da orelha direita com a massa (em gramas) do disco obtido da orelha esquerda, dividindo em seguida com a massa (em gramas) do disco obtido da orelha esquerda, multiplicando o resultado por 100.
O cálculo do efeito inibitório médio da inflamação de cada tratamento procedeu-se com a subtração da média do percentual de edema do grupo submetido a tratamento: EMSO e Indometacina com a média do percentual de edema do grupo controle negativo (acetona), dividindo o resultado obtido com a média do grupo controle negativo e multiplicando o resultado por 100.
Análise estatística dos dados
Os dados apresentados foram expressos em média ± erro padrão da média (EPM). Para os ensaios que possuíram três ou mais grupos e uma única avaliação das amostras, as diferenças obtidas entre os grupos foram submetidas à análise de variância (ANOVA) de uma via, seguindo-se do teste de Student-Newman-Keuls utilizando o software GraphPad Prism 6.0. Foram consideradas diferenças significativas valores de p < 0,05.
Atividade antibacteriana e determinação da concentração inibitória mínima
Os micro-organismos (Tabela 1) utilizados nos testes foram obtidos através do Laboratório de Microbiologia e Biologia Molecular (LMBM) da Universidade Regional do Cariri (URCA). Foram utilizadas linhagens padrão de bactérias Escherichia coli ATCC 10536; Staphylococcus aureus ATCC 25923; Pseudomonas aeruginosa ATCC 15442 e multirresistentes da espécie Escherichia coli 27, Staphylococcus aureus 358 e Pseudomonas aeruginosa 03. Antes dos ensaios, as linhagens foram cultivadas a 37 ºC por 24 horas em Brain Heart Infusionbroth – BHI (concentração indicada pelo fabricante).

A atividade antibacteriana foi avaliada pela metodologia de microdiluição em caldo, com base no documento M7- A6 (NCCLS 2002) para bactérias. Previamente, as cepas bacterianas foram ativadas em meios Brain Heart Infusion Broth (BHI), durante 24 h a 37 ºC. Após este pré-cultivo ocorreu à padronização do inoculo, que consistiu na preparação de uma suspensão bacteriana em BHI com turvação correspondente a 0,5 da Escala McFarland (1 x 108 Unidades Formadoras de Colônias/mL). Em seguida essa suspensão foi diluída até 1 x 106 Unidades Formadoras de Colônias/ mL em caldo BHI a 10 %, e volumes de 100 μL foram então homogeneizados em placa de microdiluição com 96 poços, acrescido de diferentes concentrações dos extratos (512 – 8 μg/mL), resultando num inóculo final de 5 x 105 Unidades Formadoras de Colônias/mL (NCCLS, 2002).
Os extratos foram solubilizados inicialmente em água destilada estéril e dimetil sulfóxido (DMSO) de forma que foi obtido a solução estoque de 1024 μg/mL. Os testes foram efetuados em triplicata. As placas foram incubadas a 37 ºC durante 24 h. Para revelação dos resultados, foi preparada uma solução indicadora de resazurina sódica em água destilada na concentração de 0,01 %. Após a incubação, 25 μL da solução indicadora foram adicionados em cada cavidade e as placas foram incubadas por 1 h em temperatura ambiente. O controle negativo do teste foi realizado com o caldo BHI (Javadpour et al., 1998).
A concentração inibitória mínima (CIM) foi definida como a menor concentração capaz de inibir completamente o crescimento microbiano, nos poços de microdiluição conforme detectado a olho nu. A leitura dos resultados para determinação da CIM foi considerada como positiva para os poços que permaneceram com a coloração azul e negativa os que obtiveram coloração vermelha.
Atividade moduladora
A modulação foi realizada de acordo com a metodologia descrita no teste de microdiluição com BHI a 10 %. Foram acrescidos juntamente com as bactérias, antibióticos da classe dos aminoglicosídeos (amicacina e gentamicina). O teste foi acompanhado de um controle positivo que consistiu na solução do micro-organismos com os antibióticos. Foi realizado um teste somente com os meios sem as bactérias e fungos, para verificação de contaminação (Coutinho et al., 2008).
Análise estatística dos resultados de microbiologia
Os testes foram feitos em triplicata, e os resultados expressos como a média geométrica. A análise estatística foi aplicada à análise de variância (ANOVA) de duas vias seguido pelo teste de Bonferroni utilizando o software GraphPad Prism 6.0 .
RESULTADOS
Ensaios Químicos
Na prospecção fitoquímica do EMSO foi possível identificar a presença de diversas classes de substâncias (Tabela 2).

Na determinação dos fenóis totais pelo método Folin– Ciocalteu foram encontrados no EMSO a quantidade de 150,3 mg/g expressos como equivalentes de ácido gálico por grama de extrato bruto. Com a determinação da curva de calibração, realizada com a leitura da absorbância das diversas concentrações de ácido gálico, foi obtida a seguinte equação: y = 1,953x+0,0899, R² = 0, 9951, a qual pode ser aplicada para a determinação dos fenóis totais em equivalentes microlitros de ácido gálico/g de extrato.
A curva de calibração para determinação dos flavonóides foi obtida após a leitura das diversas soluções de quercetina com concentração determinada, gerando a seguinte equação: y = 15,348x + 0,2073 e R² = 0,9851, aplicadas para determinação dos flavonóides como miligrama equivalente de quercetina/g de extrato. Encontrou-se no EMSO uma quantidade de 98,5 mg/g de flavonóides.
Atividade antibacteriana
Foi realizado o procedimento para a determinação do CIM (Concentração Inibitória Mínima), com as bactérias de linhagem padrão e multirresistentes ( Escherichia coli; Staphylococcus aureus , e Pseudomonas aeruginosa ) e foram obtidos resultados ≥ 1024μg/mL, concentração considerada clinicamente irrelevante. Um ensaio piloto utilizando apenas o DMSO foi realizado, mas nenhuma atividade antibacteriana ou moduladora foi verificada, indicando não apresentar toxicidade.
Em relação à avaliação da atividade moduladora do extrato, associadas aos aminoglícosídeos, os resultados demonstraram que o EMSO apresentou sinergismo quando combinado com a gentamicina e amicacina frente à linhagem multirresistente de Staphylococcus aureus 358, p < 0,001. Na linhagem de Escherichia coli 27 houve efeito sinérgico apenas na associação do extrato com a amicacina ( p < 0,001) enquanto que com a gentamicina houve antagonismo, efeito similar com a linhagem da Pseudomonas aeruginosa 03 para ambos antibióticos (Fig. 1).

Two Way ANOVA, seguida do teste Bonferroni *** = p < 0,001 vs antibiótico.
Atividade anti-inflamatória tópica
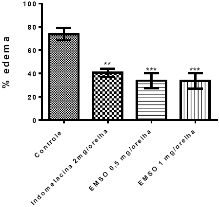
Foram realizados dois modelos de inflamação tópica, o edema de orelha induzido pela aplicação única de óleo de cróton e o edema de orelha induzido por fenol. A figura 2 mostra o edema induzido pela aplicação única do óleo de cróton; de acordo com a análise estatística o EMSO, em ambas as concentrações, e a indometacina reduziram significativamente o edema, p < 0,001, p < 0,01 respectivamente.

Análise estatística: One-Way ANOVA seguido pelo teste de Student-Newman-Keuls. ** p < 0,01, *** p <0,001 em comparação o grupo controle negativo
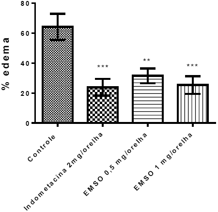
O EMSO 25 e 50 mg/mL aplicado por via tópica demonstrou redução significativa no percentual de edema de orelha após 1 hora da aplicação tópica de fenol 10 % em acetona, comparada com o grupo tratado com o veículo ( p < 0,01, p < 0,001). O grupo tratado com indometacina também demonstrou redução significativa (p < 0,001) comparada com o veículo (Fig. 3).

Análise estatística: One-Way ANOVA seguido pelo teste de Student-Newman-Keuls. ** p < 0,01, *** p < 0,001 em comparação o grupo controle negativo
DISCUSSÃO
Os resultados mostraram elevada quantidade de fenóis totais presentes nas folhas S. obtusifolium . Os fenóis totais constituem grupos bastante heterogêneos, e proteger plantas contra fatores externos é uma das suas principais atividades. Estes compostos podem reduzir o risco de várias doenças (Pereira et al., 2009), devido a seu poder antioxidante principalmente por inibirem a peroxidação lipídica e a lipooxigenase (Soares, 2002). Essas informações são úteis para correlacionar esta atividade a atividade antiinflamatória, visto que já é comprovado na literatura que extratos vegetais ricos em metabólitos secundários reduzem inflamações por eliminar superóxidos que participam da cascata da inflamação (Desmarchelier et al., 1999; Vatten e Shett, 2005).
Os flavonóides formam um grupo muito diversificado entre os produtos de origem natural, são metabólitos polifenólicos secundários com atividades biológicas muito diversas, sendo cada vez mais explorados na indústria farmacêutica (Simões et al., 2004; Werz, 2007). Semelhante a este estudo, Silva (2008) evidenciou compostos flavonóides na casca e folha de S. obtusifolium , e um estudo realizado por Araújo-Neto (2010) revelou quantidades altas de flavonóides em frações derivados do extrato etanólico da casca de S. obtusifolium .
Nos testes da atividade moduladora foram evidenciados efeitos sinérgicos e antagônicos, diferindo dos resultados de um trabalho anterior do nosso grupo, no qual analisou-se o extrato metanólico e hexânico da casca de S. obtusifolium para atividade antibacteriana. Neste trabalho o extrato metanólico não apresentou grau de modulação clinicamente relevante para Escherichia coli e Staphylococcus aureus , mostrando efeito somente para cepas de Pseudomonas aeruginosa , quando combinado com amicacina. (Leandro et al., 2013). Os diferentes metabólitos presentes em ambas as partes podem ter influenciado nestes resultados (Silva, 2008; Araújo-Neto et al., 2010).
As bactérias Gram-negativas apresentam múltiplos mecanismos de resistência a várias classes de antibióticos. Linhagens multirresistentes expressam enzimas capazes de provocar alterações na estrutura do antibiótico fazendo-o perder a sua funcionalidade através de reações como a acetilação, poliadenilação e fosforilação. Mecanismos como bomba de efluxo expulsa o antibiótico do o espaço periplasmático, impedindo-o que atinja o seu local de ação. As porinas, presentes na membrana plasmática das bactérias, são proteínas que formam canais com água; rege a entrada de alguns elementos, incluindo antibióticos, mudanças na conformação pode levar a membrana externa não permite a passagem de esses agentes para o espaço periplásmico (Tafur et al., 2008).
Os antagonismos observados entre os antibióticos e os compostos do EMSO podem ser associados a fatores como a quelação do antibiótico ou de ligação dos compostos a locais específicos dos antibióticos, desse modo reduzindo o seu espectro de atividade. Isto indica que o antagonismo é devido a um efeito sinérgico multi-alvo, pois os constituintes de um extrato podem afetar a atividade destes antibióticos interferindo com vários alvos, cooperando em um efeito antagônico ou sinérgico (Wagner e Ulrich-Merzenich, 2009).
É conhecida a ação sinérgica de produtos naturais junto a antimicrobianos normalmente utilizados no tratamento terapêutico, determinando uma diminuição na sua CIM. Os metabólitos presentes no EMSO bem como em outros extratos dos produtos naturais podem aumentar a absorção de antibióticos devido ao aumento da permeabilidade da membrana celular, bem como causar interferência no funcionamento das enzimas bacterianas. Este método está associado ao uso de drogas e plantas, utilizando uma abordagem com uma ou várias combinações de extratos, que podem atingir não apenas um único alvo, mas vários ao mesmo tempo, os diferentes componentes terapêuticos cooperam de uma forma sinérgica (Wagner e Ulrich- Merzenich, 2009; Coutinho et al., 2010; Matias et al., 2010; Figueredo et al., 2013).
Flavonóides são eficazes contra micro-organismos, podem tanto formar complexos de proteínas solúveis que se aderem à parede celular bacteriana como também causar ruptura da membrana plasmática de micro-organismos. Além disso, alguns estudos têm demonstrado sinergismo entre antibióticos convencionais e flavonóides contra cepas bacterianas resistentes (Tsuchiya et al., 1996; Cushnie e Lamb, 2005).
Os antibióticos da classe dos aminoglicosídeos são parte importante da terapia antibacteriana desde seu descobrimento, na década de 40. Ao se ligarem ao ribossomo bacteriano todos os aminoglicosídeos atuam exercendo seu efeito bactericida pelo mesmo mecanismo da ação, impedindo a síntese de proteínas. Portanto, torna-se necessário a penetração no interior da célula bacteriana para que possam exercer seu mecanismo de ação. Para que isto ocorra é necessário que o aminoglicosídeo interaja com a superfície celular, seja transportado por meio da membrana e por fim realize o acoplamento com o ribossomo (Oliveira et al., 2006).
A toxicidade celular é comum para todos muitos antibióticos da classe dos aminoglicosídeos. A nefrotoxicidade e a ototoxicidade são efeitos tóxicos frequentes dos aminoglicosídeos (Oliveira et al., 2006; Rang et al., 2007). A combinação dos extratos com os aminoglicosídeos pode ser uma alternativa para minimizar os efeitos colaterais dessa classe uma vez que associação acarreta em um efeito sinérgico reduzindo significativamente a CIM destas drogas, diminuindo a dose necessária para que haja sucesso terapêutico (Figueredo et al., 2013).
Modelos de indução de inflamação pelos agentes químicos presentes neste trabalho são muito úteis para verificar o potencial de muitos produtos aplicados por via tópica, além de elucidar propriedades terapêuticas das mesmas nos processos inflamatórios cutâneos devido à aplicação das substâncias diretamente no foco inflamatório (Vane e Warner, 2000).
O agente irritante óleo de cróton, extraído das sementes de Croton tiglium , possui como seu maior constituinte o 13-acetato de 12-o-tetracanoilforbol (TPA) sendo utilizado em modelos empregados para avaliar a resposta inflamatória, uma vez que este agente induz inflamação cutânea e hiperproliferação celular, assemelhando-se a doenças de pele, como a psoríase. Estudos confirmaram que a inflamação aguda induzida por a administração tópica a partir de óleo de cróton aumenta à permeabilidade vascular, causa vasodilatação pela liberação de histamina, estimulando a migração de neutrófilos e macrófagos (Tubaro et al., 1985; De Young et al., 1989).
Os ésteres de forbol como o TPA ativam a cascata de inflamação do ácido araquidônico, por meio da cicloxigenase e lipoxigenase (COX-2 / LOX). A ativação da via da MAPK pela proteína quinase C, promove a ativação de alguns fatores de transcrição nuclear, como o NF-κB e a AP-1, os quais têm um papel central na regulação de diversas proteínas pró-inflamatórias, tais como algumas citocinas (IL-1, IL-2, IL-6, IL-8, TNF-α), enzimas pró-inflamatórias, como COX-2 e iNOS, e moléculas de adesão (Pungeró et al., 1998; Chi et al., 2003; Murakawa et al., 2006; Badilla et al., 2007; Ferreira et al., 2010).
Um modelo animal de inflamação tópica é o edema de orelha induzido pela aplicação tópica do fenol que tem semelhança à dermatite de contato que acontece em humanos, sendo um bom modelo para ser usado com o intuito de simulação da mesma (Lim et al., 2004).
Este modelo induz formação de um intenso edema após 1hora de aplicação do agente flogistico. Os mecanismos que explicam a irritação da pele causada pelo fenol seriam o rompimento por efeito direto da membrana plasmática dos queratinócitos, liberando a IL-1α pré-formada, IL-8, TNF-α, mediadores inflamatórios como os metabólitos do ácido araquidônico e de radicais livres. O fenol difere do óleo de cróton, pois este induz as citocinas inflamatórias envolvendo fatores de transcrição nuclear através de vias que dependem da proteína quinase C. Porém, apesar da inflamação ser desencadeada por vias diferentes, ambos os modelos, compartilham do envolvimento dos metabólitos do Ácido araquidônico e espécies reativas de oxigênio, na resposta inflamatória instalada (Wilmer et al., 1994).
Araújo-Neto et al. (2010) demonstraram a atividade anti-inflamatória da entrecasca do extrato etanólico de S. obtusifolium utilizando o modelo de edema de pata induzido pela carragenina, muito usado para triagem de compostos com potêncial atividade anti-inflamatória. Foi verificada potêncial efeito anti-inflamatório desta planta, condizendo com os resultados mostrados neste trabalho.
A triagem química do EMSO mostrou-se rica em flavonoides; vários estudos demonstraram que essa classe age na diminuição da permeabilidade capilar, inibindo a infiltração de leucócitos e nos estágios iniciais do processo inflamatório. Podem atuar inibindo a proliferação de linfócitos e a produção de citocinas como a TNF- α e IL-1 (Biesalski, 2007).
Flavonoides como a santina e ermanina inibiram o desenvolvimento de edema de orelha induzido por PMA em camundongos. Em uma hora de exposição, santina inibiu a inflamação em 80,5 %, ermanina em 95,1 %. (Abad et al., 1995).
Diversos Flavonoides podem interagir na COX, LOX e fosfolipase A2, além de modularem a enzima formadora de óxido nítrico (NO) (Cazarolli et al., 2008; Lopez et al., 2008), o que pode justificar o efeito redutor de edema observado nos resultados deste trabalho.
CONCLUSÃO
O estudo revelou o potencial terapêutico do extrato metanólico das folhas de Sideroxylon obtusifolium , demonstrando ter ação moduladora da atividade antibacteriana, possível atividade antioxidante e antiinflamatória. Fato este, devido aos metabólitos presentes com reconhecida atividade biológica. No entanto pesquisas adicionais precisam ser realizadas com intuito de verificar as substâncias isoladas presentes no extrato que apresentam estas atividades, servindo esta pesquisa como parâmetro para futuros estudos relacionado à espécie supracitada.
Agradecimentos
Agradecemos a colaboração e esforço de todos os autores, a Faculdade Leão Sampaio e a Universidade Regional do Cariri que deram apoio e fomento para realização deste trabalho.
Referências
Abad MJ, Bermejo P, Villar A. Activity of flavonoids extracted from Tanacetum microphyllum DC. (Compositae) on soybean lipoxygenase and prostaglandin synthetase. Gen Pharmacol. 1995;26(4):815–819. Doi:10.1016/0306-3623(94)00242-F
Agra MF, Baracho GS, Basílio IJ, Nurit K, Barbosa DA. Sinopse da flora medicinal do cariri paraibano. Oecol Bras. 2007;4(3):323-330.
Araújo-Neto V, Bomfim RR, Oliveira VOB, Passos AMPR, Oliveira JPR, Lima CA, et al. Therapeutic benefits of Sideroxylon obtusifolium (Humb. ex Roem. & Schult.) T.D. Penn., Sapotaceae, in experimental models of pain and inflammation. Rev Bras Farmacogn. 2010:20(6):933-938. Doi:10.1590/S0102-695X2010005000043
Badilla B, Cambronero J, Cicció JF. Determination of topical antiinflammatory activity of the essential oil and extracts of Lippia alba (Mill.) N.E. Brown (Verbenaceae), using the model of mouse ear edema induced by TPA and AA. Pharmacogn Mag. 2007;3(11):139-144.
Badke MR, Bodó MLD, Silva FM, Ressel LB. Plantas Medicinais: O saber sustentado na prática do cotidiano popular. Esc Anna Nery. 2011;15(1):132-139. Doi:10.1590/S1414-81452011000100019
Beltrão AES, Tomaz ACA, Beltrão FAS, Marinho P. In vitro biomass production of Sideroxylon obtusifolium (Roem & Schult). Rev Bras Farmacogn. 2008;18:696-698. Doi:10.1590/S0102-695X2008000500010
Biesalski HK. Polyphenols and inflammation: basic interactions. Curr Opin Clin Nutr Metab Care. 2007;1(6):724-8.
Boscolo OH, Valle LS. Plantas de uso medicinal em Quissamã, Rio de Janeiro, Brasil. Iheringia: Sér Bot. 2008;63(2):263-277.
Brasileiro BG. Antimicrobial and cytotoxic activities screen in gof some Brazilian medicinal plants used in Governador Valadares district. Rev Bras Ciên Farm. 2006;42: 195-202.
Cazarolli LH, Zanatta L, Alberton EH, Figueiredo MSRB. Flavonoids: prospective drug candidates. Mini Rev Med Chem. 2008;8(13):1429-40. Doi:10.2174/138955708786369564
Chi YS, Lim H, Park H, Kim HP. Effects of wogonin, plant flavone from Scutellaria radix , on skin inflammation: in vivo regulation of inflammation-associated gene expression. Biochem. Pharmacol. 2003;66(7):1271-1278. Doi:10.1016/S0006-2952(03)00463-5
Coutinho HDM, Costa JGM, Siqueira-Júnior JP, Lima EO. In vitro anti-staphylococcal activity of Hyptis martiusii Benth against methicillin-resistant Staphylococcus aureus-MRSA strains. Rev Bras Farmacogn. 2008;18:670-675. Doi:10.1590/S0102-695X2008000500005.
Coutinho HDM, Costa JGM, Falcão-Silva VS. Effect of Momordica charantia L. in the resistance to aminoglycosides in methicilin-resistant Staphylococcus aureus . Comp Immunol Microbiol Infect. 2010;33(6):467-471. Doi:10.1016/j.cimid.2009.08.001
Crummey A, Harper GP, Boyle EA, Mangan FR. Inhibition of arachidonic acid-induced ear edema as a model for assessing topical antiinflammatory compounds. Agents Actions. 1987;20:69-76.
Cushnie TPT, Lamb AJ. Detection of galangininduced cytoplasmic membrane damage in Staphylococcus aureus by measuring potassium loss. J Ethnopharmacol. 2005;101(1-3):243-248. Doi:10.1016/j.jep.2005.04.014
De Young LM, Kheifets JB, Ballaron SJ, Young JM. Edema and cell infiltration in the phorbol ester-treated mouse ear are temporally separate and can be differentially modulated by pharmacologic agents. Agents Actions. 1989;26(3-4):335-341.
Desmarchelier C, Romão RL, Coussio J, Ciccia G. Antioxidant and free radical scavenging activities in extracts from medicinal trees used in the ‘Caatinga’ region in northeastern. J Ethnopharmacol. 1999;67(1):69–77. Doi:10.1016/S0378-8741(98)00200-1
Ferreira FS, Saraiva BRA, Araruna MKA, Menezes IRA, Costa JGM, Coutinho H DM, et al. Topical anti-inflammatory activity of body fat from the lizard Tupinambis merianae . J Ethnopharmacol. 2010;130(3):514–520. Doi: 10.1016/j. jep.2010.05.041
Figueredo FG, Ferreira EO, Lucena BFF, Torres CMG, Lucetti DL, Lucetti ECP, et al. Modulation of the Antibiotic Activity by Extracts from Amburana cearensis A. C. Smith and Anadenanthera macrocarpa (Benth.) Brenan Biomed Res Int. 2013;1:1-5. Doi:10.1155/2013/640682
Javadpour MM. New antimicrobial peptides with low mammalian cell toxicity. J Med Chem. 1996;39(16):3107–3113. Doi:10.1021/jm9509410
Leandro LMG, Aquino PEA, Macedo RO, Rodrigues FFG, Guedes TTM, Frutuoso, AD, et al. Avaliação da atividade antibacteriana e modulatório de extratos metanólico e hexânico da casca de Sideroxylon obtusifolium . e-ciência. 2013;1(1):1-10.
Lim H, Park H, Kim HP. Inhibition of contact dermatitis in animal models and suppression of proinflammatory gene expression by topically applied flavonoid, wogonin. Arch Pharmacal Res. 2004;27(4):442-448. Doi:10.1007/BF02980087
López-Posadas R, Ballester I, Abadía-Molina AC, Suárez MD, Zarzuelo A, Martínez-Augustin O, et al. Effect of flavonoids on rat splenocytes, a structure-activity relationship study. Biochem Pharmacol. 2008;76(4):495-506. Doi:10.1016/j.bcp.2008.06.001
Matias EEF, Santos KKA, Almeida TS, Costa JGM, Coutinho HDM. Enhancement of Antibiotic Activity by Cordia verbenacea DC. Latin Am J Pharm. 2010;29(6):1049–1052.
Matos FJA. Introdução à Fitoquímica Experimental. 2ª Ed. Fortaleza: Edições UFC; 1997. 141 p.
Mensor LL, Menezes FS, Leitão GG, Reis AS, Coube CS, Leitão SG. Screening of brazilian plant extracts for antioxidant activity by the use of DPPH free radical method. Phytother Res. 2001;15(2):127-30.
Murakawa M, Yamaoka K, Tanaka Y, Fukada Y. Involvement of tumor necrosis factor (TNF-α) in phorbol ester 12-o-tetradecanoylphorbol-13-acetate (TPA)– induced skin edema in mice. Biochem Pharmacol. 2006;71(9):1331-1336. Doi:10.1016/j.bcp.2006.01.005
NCCLS (National Committee For Clinical Laboratory Standards). Methods for Dilution Antimicrobial Susceptibility Tests for Bacteria that grow aerobically. 6ª ed. Wayne, PA: NCCLS Approved Standart M7-A6; 2003. p. 50-62.
Passos OA, Raith M, Kuster RM, Rocha LM, Hamburger M, Potterat O. Metabolite profiling of the leaves of the Brazilian folk medicine Sideroxylon obtusifolium . Planta Med. 2012;78:703-710. Doi:10.1055/s-0031-1298269
Oliveira JFP, Cipullo JP, Burdmann EA. Nefrotoxicidade dos aminoglicosídios. Rev Bras Cir Cardiovasc. 2006;21(4):444-452. Doi:10.1590/S0102-76382006000400015
Pedrosa KM, Gomes DS, Lucena CM, Pereira DD, Silvino GS, Lucena RFP. Uso e disponibilidade local de Sideroxylon obtusifolium (Roem. & Schult.) T.D. Penn. (Quixabeira) em três regiões da depressão sertaneja da Paraíba, Nordeste do Brasil. Bio Far. 2012;12:158-183.
Pereira AV, Almeida TC, Beltrame FL, Costa ME, Garrido LH. Determinação de compostos fenólicos em amostras comerciais de chás verde e preto– Camellia sinensis (L.) Kuntze, Theaceae. Acta Sci. 2009;31(2):119-124. Doi:10.4025/actascihealthsci.v31i2.6233
Pungeró V, Turull A, Queralt J. Arachidonic acid (AA) and tetradecanoylphorbol acetate (TPA) exert systemic effects when applied topically in the mouse. Inflammation. 1998;22(3):307-314. Doi:10.1023/A:1022352200273
Rang HP, Dale MM, Ritter JM Flower RJ. Farmacologia. 6 ed. São Paulo: Elsevier; 2007. 808 p.
Silva MD. Estudo Farmacobotânico de Três Espécies Medicinais da Caatinga em Pernambuco. Recife. (Dissertação de mestrado). Pernambuco, Brasil: Programa de Pós-Graduação em Botânica–Universidade Federal Rural de Pernambuco; 2008. p. 17-60.
Simões CMO, Schenkel EP, Gosmann G, Mello JCP, Mentz LA, Petrovick PR. Farmacognosia da Planta ao Medicamento. 5ª ed. Editora da UFSC: Santa Catarina; 2004. p. 1102.
Singleton VL, Orthofer R, Lamuelaraventós RM. Analysis of total phenols and other oxidation substrates and antioxidants by means of Folin-Ciocalteau reagent. Methods Enzymol. 1999;299:152-178. Doi:10.1016/S0076-6879(99)99017-1.
Soares SE. Phenolic acids as antioxidants. Rev Nutr Campinas. 2002;15(1):71-81.
Tafur JD, Torres JA, Villegas MV. Mechanisms of antibiotic resistance in Gram negative bactéria. Infect. 2008;12(3):217-226.
Tsuchiya H, Sato M, Miyazaki T, Fujiwara S, Tanigaki S, Ohyama, M. Comparative study on the antibacterial Activity of phytochemical flavanones against methicillinresistant Staphylococcus aureus . J Ethnopharmacol. 1996;50(1):27-34. Doi:10.1111/j.2042-7158.1994.tb05709.x
Tubaro A, Dri P, Delbello G, Zilli C, Della-Loggia R. The croton oil test revisted. Agents Actions. 1985;17:347-349.
Vane JR, Warner TD. Nomenclature for COX-2 inhibitors. Lancet. 2000;356:1373-1374.
Vattem DA, Shetty K. Biological funcionality of ellagic acid: a review. J Food Biochem. 2005;29(3):234-266. Doi: 10.1111/j.1745-4514.2005.00031.x
Veiga-Júnior VF. Estudo do consumo de plantas medicinais na Região Centro-Norte do Estado do Rio de Janeiro: aceitação pelos profissionais de saúde e modo de uso pela população. Rev Bras Farmacogn. 2008;18(2):308-313. Doi:10.1590/S0102-695X2008000200027
Wagner H, Ulrich-Merzenich G. Synergy research: approaching a new generation of phytopharmaceuticals. Phytomedicine. 2009;16(2-3):97-110. Doi: 10.1016/j.fitote.2010.11.016
Werz O. Inhibition of 5-lipoxygenase product synthesis by natural compounds of plant origin. Planta Med. 2007;73(13):1331-57. Doi:10.1055/s-2007-990242
Wilmer JL, Burleson FG, Kayama F, Kauno J, Luster MI. Cytokine induction in human epidermal keratinocytes exposed to contact irritants and its relation to chemical – induced inflammation in mouse skin. J Invest Dermatol. 1994;102(6):915-922. Doi:10.1111/1523-1747.ep12383512
Woisky RG, Salatino A. Analysis os propolis: some parameters ond procedures for chemical quality control. J Apicul Res. 1998;37(2):99-105.
Young JM, Spires DA, Bedord CJ, Wagner B, Ballaron S J, De Young LM. The mouse ear inflammatory response to topical arachidonic acid. J Invest Dermatol. 1984;82:367-371.
Autor notes
fgfigueredo@gmail.com
Informação adicional
Associate Editor: Francisco José Martínez
Pérez.