INVESTIGACIÓN ORIGINAL

Recepción: 14 Abril 2016
Aprobación: 15 Noviembre 2016
DOI: https://doi.org/10.17151/luaz.2017.45.11
Resumen: En el humedal El Burro ubicado en la ciudad de Bogotá (Colombia), se describió la estructura y diversidad florística de la zona terrestre, para el establecimiento de estrategias de restauración ecológica. Utilizando un muestreo estratificado, se realizaron 15 parcelas de 200 m2 para plantas leñosas con DAP ≥ 1 cm y para herbáceas se siguió el método de cuadrante de 1 m2, con un total de 61 unidades de muestreo. Se identificaron las unidades de vegetación de pastizal y vegetación arbórea y arbustiva mixta, en las cuales se registraron 51 especies incluidas en 45 géneros y 30 familias. El pastizal se encuentra dominado por la especie introducida Pennisetum clandestinum, con presencia de individuos arbustivos y arbóreos de Baccharis bogotensis, Acacia melanoxylon, Acacia decurrens y Salix humboldtiana, entre otras. La unidad de vegetación arbórea y arbustiva mixta se caracteriza por la presencia de las especies Caesalpinia spinosa, Cotoneaster pannosus, A. decurrens, A. melanoxylon y Pittosporum undulatum. La evaluación de las condiciones actuales del ecosistema permitió evidenciar que aun cuando en las dos unidades de vegetación se observa la presencia de especies vegetales nativas en estado de desarrollo juvenil, se deben implementar estrategias para superar la barrera que impone el pastizal con respecto al destino de las semillas y la sobrevivencia de plántulas, que permitan acelerar la regeneración de estos ecosistemas.
Palabras clave: Área protegida, barreras restauración, pastizal, vegetación arbórea, arbustiva mixta.
Abstract: In El Burro wetland, located in the city of Bogota (Colombia), the floristic structure and diversity of the terrestrial area were described for establishing ecological restoration strategies. Using a stratified sampling, fifteen 200 m2 plots for woody plants with DBH ≥ 1 cm and for herbaceous plants were made following the 1 m2 quadrant method with a total of 61 sample units. Vegetation grassland and tree and shrub vegetation mixed units were identified, from which 51 species included in 45 genera and 30 families were recorded. The pasture is dominated by the exotic Pennisetum clandestinum species, with the presence of shrubby and arboreal individuals of Baccharis bogotensis, Acacia melanoxylon, Acacia decurrens and Salix humboldtiana, among others. The arboreal vegetation and mixed tree and shrub unit is characterized by the presence of Caesalpinia spinosa, Cotoneaster pannosus, A. decurrens, A. melanoxylon and Pittosporum undulatum. The assessment of current conditions of the ecosystem showed that, even though in the two units of vegetation the presence of native plant species in juvenile development is observed, strategies must be implemented to overcome barrier imposed by the pasture with respect to the destination of seeds and seedling survival which allow accelerating the regeneration of these ecosystems.
Keywords: Protected area, restoration barriers, pasture, arboreal vegetation, mixed shrub.
INTRODUCCIÓN
La restauración ecológica de áreas protegidas se realiza con el fin de restablecer su integridad ecológica y la de sus alrededores mediante la recuperación de los procesos ecológicos clave, la reducción de la influencia de especies invasoras, el restablecimiento de la hidrología natural o de otras condiciones físicas y químicas que soportan la estructura y función de los ecosistemas, el mantenimiento o recuperación de las especies nativas y hábitat degradados o perdidos, que ayuden a mitigar el cambio climático mediante el almacenamiento y secuestro de carbono, así como proteger y aumentar sus servicios ecosistémicos (Keenleyside et al., 2012).
Los humedales urbanos requieren especial atención para su conservación y recuperación, ya que son componentes estructurales en paisajes urbanos y constituyen conexiones claves para procesos ecológicos que se desarrollan en las ciudades (Vásquez, 2016). Además, estas áreas urbanas son relevantes por los servicios ecosistémicos que ofrecen y su contribución al bienestar humano, asociados con el aporte a la diversidad biológica, filtración de aire, regulación del microclima, reducción del ruido, evacuación de aguas pluviales, tratamiento de aguas residuales, recreación, valores culturales y estética del paisaje (Bolund & Hunhammar, 1999; Kusch et al., 2008; RAMSAR, 2012).
Actualmente en Bogotá, se cuenta con quince humedales urbanos declarados como áreas protegidas de orden distrital (Alcaldía Mayor de Bogotá D.C., 2004), que se constituyen como elementos importantes dentro de la estructura ecológica principal y regional, en los que es vital continuar con la rehabilitación de sus funciones ecológicas relacionadas con los servicios ambientales que prestan al entorno urbano (Vargas et al., 2012). Dentro de estos servicios resaltan la regulación del microclima local y de los caudales hídricos, la fijación de nitrógeno y carbono, la provisión de sumideros de nutrientes y agentes tóxicos y la descomposición de la materia orgánica (van der Hammen et al., 2008).
Dentro de los humedales urbanos de Bogotá, el humedal El Burro es estratégico por su ubicación, pues al encontrarse en uno de los sectores más secos de la ciudad, es fundamental su función como regulador ambiental, hídrico y de humedad relativa (DAMA, 2006). Este humedal sufrió diversas transformaciones y disminuyó su área en los últimos sesenta años, pasando de 171,5 ha a 18,8 ha actualmente (INGETEC, 2007). Los principales factores de pérdida y alteración se asocian a los procesos de relleno para urbanización, la disposición inadecuada de escombros y basuras, la fragmentación del área del humedal para la construcción de una vía principal, la disminución de caudales afluentes al humedal, el vertimiento de aguas de conexiones erradas que provienen de las áreas urbanizadas cercanas; así como actividades de pastoreo a los que han sido sometidos los terrenos periféricos del humedal durante muchos años y su consecuente terrización, colmatación y presencia de especies invasoras (INGETEC, 2007) y colonizadoras agresivas.
Ante la situación de degradación de este humedal, desde la década de los 90 se han iniciado acciones de protección, recuperación y educación ambiental, que ha contado con apoyo financiero de entidades privadas y del Estado, con aportes de la comunidad científica y universitaria mediante el desarrollo de proyectos de investigación y una fuerte participación comunitaria (van der Hammen et al., 2008). Sin embargo, es importante el desarrollo de procesos de restauración ecológica que ayuden a superar los tensionantes o barreras que impiden su regeneración. Una fase inicial de este proceso consiste en la evaluación del estado actual del ecosistema, que permita dar paso a la comprensión entre los factores de alteración y los atributos del ecosistema, y precisar posteriormente los objetivos de restauración (Vargas, 2011; Vargas et al., 2012). Esta línea base incluye entre otros aspectos, la descripción de los aspectos importantes de la biodiversidad como la composición de especies y la estructura de la comunidad (SER, 2004).
Los humedales urbanos del distrito capital cuentan con los estudios de vegetación de Hernández-R. y Rangel-Ch. (2009) en el humedal Jaboque y las caracterizaciones de la cobertura vegetal como parte de los puntos de referencia para la formulación de los planes de manejo ambiental (PMA) de los humedales Jaboque (ADESSA y EAB, 2006), Torca-Guaymaral (Guillot y González, 2007a), Córdoba (Guillot y González, 2007b),Tibanica (Hernández y Nates, 2007), El Burro (Guillot y González, 2008), La Vaca (PUJ y EAB, 2009a), Techo (PUJ y EAB, 2009b), Capellanía (CI Colombia y EAB, 2010a), Juan Amarillo (CI Colombia y EAB, 2010b) y La Conejera (FHLC y EAB, 2012).
El objetivo general de este estudio fue caracterizar la zona terrestre o franja de terreno no inundable (DAMA, 2006) del humedal El Burro, con base en la descripción de su composición y estructura florística. Se busca contribuir con información que sirva de base para definir las estrategias de restauración ecológica, que permitan acelerar el restablecimiento del ecosistema.
MÉTODOS
Área de estudio
El estudio se realizó en El Burro, un humedal andino de planicie de origen fluviolacustre, que se caracteriza por estar ubicado en la sabana de Bogotá (Colombia), por debajo de los 2.700 msnm, con un espejo múltiple y áreas inundables morfométricamente no uniformes (DAMA, 2006). Se localiza en la localidad de Kennedy, entre los 4°38’33’’ N y 74°9’1’’ W (Figura 1). Tiene una extensión de 18,8 ha (González, 2008) y se encuentra fraccionado en dos partes por una vía principal (Avenida Ciudad de Cali); una noroccidental y otra suroriental, cerca de urbanizaciones, bodegas y depósitos de maquinaria pesada (INGETEC, 2007).

El humedal se encuentra ubicado en una zona relativamente seca del suroccidente de la ciudad, con un volumen de precipitación anual promedio de 564 mm y, un régimen de precipitación bimodal con periodos lluviosos entre abril-mayo y octubre-noviembre; la temperatura media mensual de 14,7°C; la humedad relativa media anual es de 80%; la evaporación presenta un valor total anual de 1.066 mm y la velocidad del viento tiene un valor promedio de 2,3 m/s (Chenut, 2008).
Teniendo en cuenta la compatibilidad entre la vegetación nativa de la sabana de Bogotá y el área en el que se ubica el humedal, se toma como referente para la franja terrestre las coberturas vegetales de bosques y matorrales de zonas inundables que se originaron producto de la erodación del río Bogotá y sus afluentes en el sedimento de la laguna de la sabana, y los bosques de planicie no inundable (van der Hammen et al., 2008).
De acuerdo con los inventarios realizados por van der Hammen (1998), en el bosque de zona inundable la especie dominante es Alnus acuminata, acompañada de Acinodendron reclinatum, Ageratina fastigiata, Cestrum buxifolium, Prunus serotina, Baccharis revoluta, Ludwigia peruviana y varias hierbas higrófilas; en el bosque de planicie no inundable domina Ilex kunthiana y Vallea stipularis, y son muy abundantes Myrcianthes leucoxyla, Symplocos theiformis, Prunus serotina, Alnus acuminata, Smallanthus pyramidalis y Baccharis latifolia.
Definición de unidades de vegetación
El método de análisis visual, mediante el empleo de criterios de interpretación como tono, textura, color y forma, garantiza un nivel de precisión suficiente para la definición de clases de cobertura (Erencin, 2000; Jayakumar et al., 2002; Aldana y Bosque, 2008). En el presente estudio, las unidades vegetales se obtuvieron mediante digitalización en pantalla sobre imágenes satelitales Digital Globe® de febrero del 2014, disponibles para aplicaciones online del software Google Earth® v. 7.1.2.2041, utilizando como guía los datos de campo para la identificación de los límites entre las unidades. Los polígonos capturados fueron posteriormente procesados y analizados mediante el software ArcGIS® v. 10.1.
Composición y estructura florística
El estudio se llevó a cabo en el primer semestre del 2014. La vegetación de la zona terrestre se caracterizó usando un muestreo aleatorio estratificado. Para el muestreo del estrato arbóreo y arbustivo, se utilizaron 15 parcelas de 200 m2 (50 x 4 m), de las cuales 10 fueron ubicadas en la unidad de vegetación de pastizal y las 5 restantes en la vegetación arbórea y arbustiva mixta. Para todos los individuos con una altura superior a 1 m y DAP > 1 cm, se registraron los datos de altura (h), diámetro a la altura del pecho (DAP) y dos diámetros de cobertura midiendo los dos ejes principales de la copa del individuo (Castellanos-Castro y Bonilla, 2011). Para la vegetación herbácea se utilizaron 61 cuadrantes de 1 m2 (44 en el pastizal y 17 en la vegetación arbórea y arbustiva mixta), ubicados aleatoriamente, donde se registró la presencia y la cobertura de todos los individuos vegetales con una altura menor a 1 m. Todos los individuos fueron identificados taxonómicamente y los ejemplares de las especies colectadas fueron depositados en el Herbario del Jardín Botánico de Bogotá José Celestino Mutis, bajo la serie de numeración de la autora (ALG).
Análisis de datos
En las unidades de vegetación, la diversidad se analizó con los índices de diversidad de Simpson (1-D) y Shannon-Wiener (H’), de equitatividad (J) y α de Fisher (Magurran, 2004). Para determinar diferencias en los índices de Simpson y Shannon-Wiener entre las unidades de vegetación, se realizó la prueba t de Hutcheson (P = 0,05) (Magurran, 2004).
A partir de la información de las parcelas de 200 m2, se calcularon los parámetros estructurales utilizando los métodos propuestos por Rangel-Ch. y Velásquez (1997), para describir la densidad relativa; frecuencia relativa; área basal; cobertura, cuya área se calculó usando la fórmula de un óvalo (Prieto et al., 1995); e índice de valor de importancia – IVI, usando los valores relativos de frecuencia, densidad y área basal. Con la información de los cuadrantes de 1 m2 se calculó la frecuencia relativa, definida como el número de cuadrantes donde aparece la especie, en relación con el número total de cuadrantes muestreados. La información registrada fue digitalizada y procesada en los programas Excel® y Past® versión 3.10 (Hammer, 2015).
RESULTADOS Y DISCUSIÓN
Composición florística
En la zona terrestre del humedal El Burro se identificaron dos unidades de vegetación que presentan una fisionomía propia. Un pastizal con un cubrimiento del 88% del área total, que contiene una leve cobertura de árboles y arbustos distribuidos de forma dispersa y una unidad de vegetación arbórea y arbustiva mixta, con una superficie del 12% (Figura 2).

La evaluación del estado actual de la zona terrestre del humedal El Burro, como fase inicial del proceso de restauración ecológica, permitió la identificación de 51 especies, incluidas en 30 familias, de las cuales 28 corresponden a especies nativas (Anexo 1).
Con respecto a la caracterización diagnóstica del PMA del humedal (Guillot & González, 2008), se evidenció un incremento de 39 especies. De estas especies, las que tienen hábito arbustivo y arbóreo hacen parte de los procesos de restablecimiento de las coberturas vegetales adelantados por las ONG y la comunidad aledaña, en las zonas terrestre y de ronda (INGETEC, 2007).
El 43% de la riqueza total de especies registradas pertenecen a Fabaceae (8), Asteraceae (7), Rosaceae (3), Solanaceae (3) y Verbenaceae (3). Estas familias también registraron el mayor número de géneros (Tabla 1).

En el pastizal la familia Fabaceae agrupó el 19% de las especies, seguida de Asteraceae (16%), Rosaceae y Verbenaceae (7% cada una). En la vegetación arbórea y arbustiva mixta, las familias con mayor porcentaje de especies fueron Fabaceae (20%), Rosaceae y Salicaceae (las dos con 10%).
Las familias más abundantes corresponden a Fabaceae y Asteraceae, esta última característica de ecosistemas perturbados (López et al., 2015), lo cual coincide con otros estudios desarrollados en los humedales de Bogotá (ADESSA y EAB, 2006; Guillot y González, 2007a; Guillot y González, 2007b; Hernández y Nates, 2007; Guillot y González, 2008; PUJ y EAB, 2009a; PUJ y EAB, 2009b; CI Colombia y EAB, 2010a; CI Colombia y EAB, 2010b; FHLC y EAB, 2012; Azula, 2014; Zabaleta, 2014).
Diversidad
La unidad de vegetación con mayor diversidad arbórea y arbustiva la obtuvo el pastizal, determinada por los índices de Shannon-Wiener (2,56) y α de Fisher (7,99) (Tabla 2). Al comparar el pastizal y la vegetación arbórea y arbustiva mixta, se observó que la diversidad de especies, estimada mediante el índice de Shannon-Wiener, difiere significativamente (t262 (2) = 0,65, p<0,05).

La comparación de estos índices con los obtenidos por otros autores se dificulta, debido a las diferencias en los métodos y las zonas de muestreo dentro del humedal. Por lo anterior, es necesario establecer los elementos base y las condiciones bajo las cuales se deben calcular los índices, para que aspectos como zona y área de muestreo, hábito (arbóreo, arbustivo, herbáceo) y categorías de tamaño, que inciden en el resultado final permitan realizar comparaciones entre ecosistemas similares (Cantillo et al., 2004).
Estructura
Pastizal
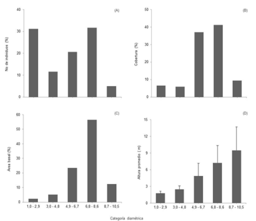
En el pastizal se distinguen los estratos arbóreo, arbustivo y herbáceo. En los primeros estratos la densidad promedio en parcelas fue de 20±13 individuos. El histograma que representa la estructura horizontal (Figura 3A), indica un cierto desequilibrio en la distribución de individuos en las clases diamétricas intermedias, y la mayor cantidad de individuos estuvo acumulada en la cuarta clase diamétrica (6,8-8,6 cm), representando el 32% del total registrado.
La mayor densidad relativa la registraron las especies A. melanoxylon (21%) y A. decurrens (19%). Estas especies fueron introducidas inicialmente en los humedales de Bogotá para alinderar las tierras y secar el cuerpo de agua (van der Hammen et al., 2008), y se caracterizan por tener un comportamiento invasor, que les permite establecerse rápidamente en un ambiente diferente al de su origen, lo que resulta en cambios en la estructura y la dinámica del ecosistema nativo (Hussain et al., 2011). Asimismo, se ha evidenciado que los cambios en las propiedades abióticas y bióticas del suelo, favorecen la germinación, el crecimiento y la capacidad competitiva de estas especies, lo que a su vez tiene consecuencias negativas sobre las especies vegetales nativas, reduciendo su crecimiento e impidiendo su establecimiento (Lorenzo y Rodríguez-Echeverría, 2015; Morris et al., 2011).
Las especies más frecuentes fueron Baccharis bogotensis (70%) y Alnus acuminata (40%). La mayoría de individuos de B. bogotensis han sido reintroducidos. Sin embargo, en la parte noroccidental del humedal se ha evidenciado la presencia de algunos individuos que han colonizado el área por regeneración natural, lo que puede estar relacionado con su gran capacidad de colonizar y su fácil adaptación, que contribuye a acelerar los procesos de sucesión en terrenos perturbados y sustratos empobrecidos (Hernández et al., 2012; Camacho y Mejía, 2011). En cuanto a la especie A. acuminata, propia de los ecosistemas de humedal (van der Hammen et al., 2008), su importancia radica en la capacidad de generar relaciones de simbiosis con ectomicorrizas fijadoras de nitrógeno, lo que le facilita colonizar suelos pobres (Mahecha, 2010).
En cuanto a la cobertura, los individuos de la cuarta clase diamétrica (6,8 - 8,6 cm), presentaron los valores más altos (Figura 3B). Las especies que se destacaron en cuanto a sus valores de cobertura relativa fueron A. melanoxylon (27%), Salix humboldtiana (26%) y A. decurrens (23%). La especie S. humboldtiana ha sido utilizada como colonizador en programas de recuperación (Giraldo et al., 2009), dada su característica de alcanzar tallas considerables en pocos años (González y Cadenazzi, 2015).
En las parcelas muestreadas, el promedio del área basal fue de 0,05±0,07 y del DAP de 4,0±2,2 cm. Los individuos de la cuarta clase diamétrica (6,8 - 8,6 cm), tuvieron el mayor aporte al valor de área basal (56%) (Figura 3C). Las especies con mayor valor promedio de DAP fueron Myrcianthes rhopaloides (8,9±0), que debido a su lento crecimiento y alta tasa de sobrevivencia le permite asegurar su persistencia (León et al., 2008), A. melanoxylon (7,6±0,8), A. decurrens (7,3±0,9) y S. humboldtiana (6,3±0,4). Las especies con mayor peso ecológico (IVI) fueron: B. bogotensis (32,7), A. melanoxylon (26) y A. decurrens (23,3).
La altura promedio en el total de parcelas muestreadas fue de 3,6±2,8 m. Los individuos con diámetros entre 8,7 y 10,5 cm presentaron la mayor altura promedio con 9,5 m (Figura 3D). La especie con mayor altura promedio fue A. melanoxylon (10,4±1,6), seguida de S. humboldtiana (6,7±0,4), A. decurrens (4,6±0) y Smallanthus pyramidalis (3,2±0,1), especie pionera de vida corta que contribuye a la fertilidad del suelo debido al aporte de hojarasca (Pinzón, 2009).

En el estrato herbáceo la especie más frecuente fue P. clandestinum (98%), seguida de Juncus effusus (20%), Holcus lanatus (18%), Sonchus oleraceus (16%) y Senecio madagascariensis (14%). De acuerdo con el porcentaje de cobertura, sobresale la especie P. clandestinum (81%), que ha sido reportada como una especie dominante en los humedales de Bogotá al ocupar considerables áreas (Montenegro-S et al., 2006; Hernández-R. y Rangel, 2009; Bejarano y Bonilla, 2009; Rosselli & Stiles, 2012; Díaz-Espinosa et al., 2012) y en complejos de humedales en Cundinamarca y Risaralda (Rodríguez y Dueñes, 2015; Walteros, 2016).
A pesar de ser de hábito terrestre, P. clandestinum ha logrado colonizar la zona de transición y borde (Díaz-Espinosa et al., 2012) con alto grado de sedimentación y colmatación, llegando incluso a penetrar el interior del cuerpo de agua (Caro et al., 2012). Por lo anterior, se considera como la principal especie invasora de estos ecosistemas, cuyo comportamiento agresivo afecta el desarrollo de la vegetación natural en la interfase terrestre-acuática, disminuyendo la diversidad del área (van der Hammen et al., 2008) y cuya competencia se convierte en un factor decisivo en la sobrevivencia y desarrollo de plántulas nativas (Vargas et al., 2008).
Dentro de las especies nativas registradas, se encuentran herbáceas anemócoras como J. effusus y Verbena litoralis, esta última considerada potencialmente invasora en los humedales de Bogotá por la capacidad de formar parches (Vargas et al., 2012); la herbácea zoócora Physalis peruviana; árboles y arbustos anemócoros como A. acuminata, B. latifolia, S. pyramidalis, Vallea stipularis, B. bogotensisy Dodonaea viscosa; y árboles y arbustos zoócoros como Juglans neotropica, Morella parvifolia, Morella pubescens, Myrsine coriacea, Hesperomeles heterophylla, M. rhopaloides, Duranta mutisii, Xylosma spiculifera y Abatia parviflora.
En pastizales es común la utilización de acciones enfocadas a la formación de núcleos de dispersión por medio de la plantación y siembra de individuos de especies arbustivas y herbáceas atrayentes de animales dispersores y polinizadores, que al ser de ciclo corto sirven de alimento para los organismos descomponedores, reciclando la materia orgánica en el suelo (Reis et al., 2010; Vargas et al., 2012). Para Meli & Dirzo (2013), el sombreado de los individuos arbóreos y arbustivos nativos reintroducidos en pastizales abandonados, podría ser importante para competir con los pastos y facilitar la regeneración de especies tolerantes a la sombra. En bosques altoandinos de Colombia, la nucleación con especies como Lupinus bogotensis y Phytholacca bogotensis, ha demostrado que facilita el crecimiento y supervivencia de otras especies nativas (Gómez, 2011), y específicamente para el caso de L. bogotensis, al disminuir la intensidad de luz tiene la capacidad de afectar la sobrevivencia de pastos invasores (Díaz et al., 2004).
Vegetación arbórea y arbustiva mixta
En esta unidad de vegetación se evidencian los estratos arbóreo, arbustivo y herbáceo. En los primeros estratos, las parcelas muestreadas registraron una densidad promedio de 24±10 individuos. Las especies con alta densidad relativa fueron A. melanoxylon (25%); Cotoneaster pannosus (14%), que es una de las especies más comunes en Bogotá debido a su vistosidad y buena adaptación (Mahecha, 2010), cuyas bajas necesidades hídricas la hacen tolerante a las sequías (Sánchez de Lorenzo-Cáceres, 2008); Caesalpinia spinosa (13%), que se caracteriza por responder al déficit hídrico con una estrategia tolerante a la sequía, manteniendo bajos potenciales hídricos y elevada capacidad de recuperación de los mismos (Cordero, 2015); y D. viscosa (12%), que debido a la buena producción de hojarasca, es útil para la restitución de procesos ecosistémicos relacionados con la formación y retención de suelo (Martínez et al., 2006).
Las especies más frecuentes fueron A. melanoxylon (80%), A. decurrens y Pittosporum undulatum (60% cada una), esta última utilizada para la protección de cuerpos de agua, como refugio de pequeñas aves silvestres, alimento de entomofauna (Mahecha et al., 2012), y con propósitos ornamentales en los humedales; pero debido al alto reporte de invasión mundial, ha sido considerada como potencialmente invasora en estos ecosistemas (Díaz-Espinosa et al., 2012).
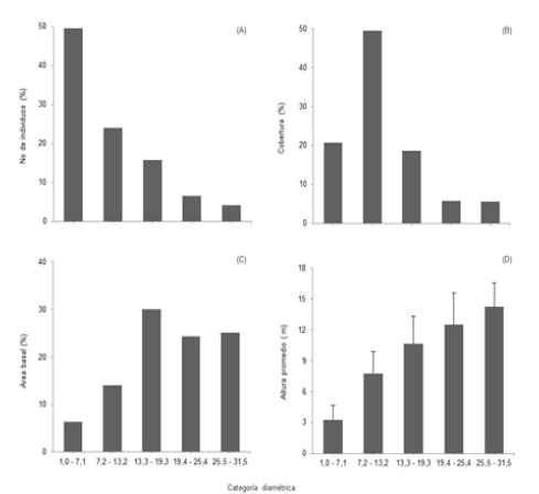
El patrón de distribución de individuos es equilibrado (Figura 4A), pues se muestra que existe una mayor densidad de individuos en la primera clase diamétrica (50%) y disminuye gradualmente a medida que las clases se van incrementando, confirmando que la mayoría corresponde a individuos en etapas tempranas de crecimiento y desarrollo. Los individuos de la segunda clase diamétrica (7,2-13,2 cm), presentaron los valores más altos de cobertura (Figura 4B) y los ubicados en la tercera clase diamétrica (13,3-19,3 cm), tuvieron el mayor aporte al valor total de área basal con 30% (Figura 4C). Las especies con mayor valor de cobertura relativa fueron C. spinosa (40%) y A. melanoxylon (20%).
El DAP de las especies muestreadas en promedio fue de 10,1±4,2 cm y las que registraron los valores más altos fueron F. soatensis (23,9±0), una especie utilizada como alimento para aves y para la conservación de aguas y suelo (Mahecha, 2010); Sambucus nigra (19,1±0), utilizada en reconstrucción de hábitats, teniendo en cuenta que sus frutos son muy apetecidos por la fauna silvestre (Pemán et al., 2013), pero que ha demostrado tener una alta capacidad invasiva porque transforma los hábitats de los humedales de Bogotá (Díaz-Espinosa et al., 2012); A. melanoxylon (16,9±6,6) y A. decurrens (14,9±11). Las especies más importantes estructuralmente de acuerdo con los valores de IVI fueron: A. melanoxylon (54,6), A. decurrens (27,4), P. undulatum (21,3), C. spinosa (19,9) y C. pannosus (18,2).
La altura promedio para las parcelas muestreadas fue de 7,2±2,8 cm. Los individuos con diámetros entre 25,5 y 31,5 cm presentaron la mayor altura promedio (14,2 m, figura 4D). Las especies con mayor altura promedio fueron S. nigra (14,3±0), A. melanoxylon (10,7±3,2), Ficus soatensis (10,2±0) y A. decurrens (10,2±6,3).

En el estrato herbáceo la especie más frecuente fue P. clandestinum (94%), seguida de Tradescantia fluminensis (24%) y Conium maculatum (12%). Las especies con mayor cobertura relativa fueron P. clandestinum (65%), seguida de T. fluminensis (17%).
En algunos cuadrantes muestreados se evidenció una capa de hojarasca formada por las especies A. decurrens y A. melanoxylon, que de acuerdo con algunos reportes donde se establece una lenta descomposición, puede conllevar a la acumulación de materia orgánica y alteración en los ciclos de carbono y nitrógeno (Lorenzo y Rodríguez-Echeverría, 2015; Castro-Díez et al., 2014; Liao et al., 2008). En áreas reforestadas con acacia en Bogotá, se ha recomendado la remoción de la capa de hojarasca que estas especies forman, con el fin de permitir el arribo de propágulos y generar microhábitats propicios para el establecimiento y colonización de diversas especies nativas (Solorza, 2012).
Dentro de las especies nativas identificadas, se encuentran los arbustos anemócoros B. bogotensis y D. viscosa, y los árboles y arbustos zoócoros D. mutisii, Myrcianthes leucoxyla, X. spiculifera, A. parviflora, C. buxifolium y L. lycioides; los cuales pueden llegar a facilitar la recuperación de las áreas de transición.
En el humedal, existe un potencial de restauración ecológica frente a la disponibilidad de especies vegetales nativas y la oferta de propágulos. Sin embargo, se requiere superar la barrera que impone el pastizal, en relación con el destino de los propágulos (Vargas, 2011), teniendo en cuenta que impide la llegada de semillas de especies nativas al suelo (Holl et al., 2000) y afecta la sobrevivencia de las plántulas por la competencia por agua y nutrientes (Holl, 2002). Para superar esta barrera, es importante la implementación de varias acciones en el pastizal dominado por la especie P. clandestinum, que incluyan su erradicación manual, la competencia con especies nativas y la aplicación de tratamientos de sombra para lograr un control efectivo (Vargas, 2011; Vargas et al., 2012). Lo anterior aumentará la probabilidad de un cambio en el patrón sucesional y la facilitación de la recolonización por parte de especies nativas (León y Corredor-Velandia, 2007).
CONCLUSIONES
En el humedal El Burro se identificaron dos unidades de vegetación que albergan 51 especies vegetales. La primera unidad vegetal corresponde a un pastizal dominado por la especie introducida P. clandestinum, con presencia de individuos arbustivos y arbóreos de B. bogotensis, A. melanoxylon, A. decurrens y S. humboldtiana, entre otras. La segunda hace referencia a una unidad de vegetación arbórea y arbustiva mixta, que se caracteriza por la presencia de individuos de C. spinosa, C. pannosus, A. decurrens, A. melanoxylon y P. undulatum.
A partir de los resultados de este estudio, se puede establecer que aun cuando en el pastizal y en la vegetación arbórea y arbustiva mixta se registra la presencia de especies nativas en estado de desarrollo juvenil, se debe continuar con la implementación de técnicas de nucleación que involucren la reintroducción de individuos de especies nativas de hábito arbóreo, arbustivo y herbáceo como M. leucoxyla, S. pyramidalis, Verbesina crassiramea, Viburnum triphyllum, D. viscosa, D. mutissi, X. spiculifera, L. bogotensis y P. bogotensis, entre otras.
Se debe buscar que las especies a reintroducir sean inductores de procesos de restauración ecológica, cuyas funciones estén asociadas a la oferta de alimento para la fauna, la recuperación de los suelos, la fijación de nitrógeno y el reciclaje de la materia orgánica. Asimismo, se requiere el control periódico de individuos de especies exóticas que puedan desarrollar un comportamiento invasor dentro del humedal como son A. decurrens, A. melanoxylon y P. undulatum.
POTENCIAL CONFLICTO DE INTERESES
Ninguno
ANEXOS





Agradecimientos
Agradezco a la Subdirección Científica del Jardín Botánico de Bogotá José Celestino Mutis por la financiación y apoyo a la investigación, y al investigador Gustavo Morales del Jardín Botánico por su colaboración en la determinación taxonómica de algunas de las especies vegetales.
REFERENCIAS
Alcaldía Mayor de Bogotá D.C. Decreto190 de 2004, por medio del cual se compilan las disposiciones contenidas en los Decretos Distritales 619 de 2000 y 469 de 2003, que conforman el Plan de Ordenamiento Territorial (POT) de Bogotá D.C. (2004).
Aldana, A. y Bosque, J. (2008). Cartografía de la cobertura/uso de la tierra del Parque Nacional Sierra de La Culata, estado Mérida-Venezuela. Revista Geográfica Venezolana, 49 (2), 173-200. Recuperado de Link
Asociación para el Desarrollo Social y Ambiental – ADESSA y Empresa de Acueducto, Alcantarillado y Aseo de Bogotá - EAB. (2006). Plan de Manejo Ambiental Humedal Jaboque. Componente ecológico. Vegetación (pp. 1-33). Bogotá, D.C.
Azula, M.C. (2014). Actualización de la caracterización biótica y física de la Zona de Manejo y Preservación Ambiental (ZMPA) del Parque Ecológico Distrital de Humedal Tibanica. Jardín Botánico de Bogotá José Celestino Mutis.
Bejarano, P.A. y Bonilla, M.A. (2009). Dinámica espacio-temporal del humedal Juan Amarillo entre 1950-2005. Acta Biológica Colombiana, 14(1), 87-106. doi: 10.15446/abc
Bolund, P. y Hunhammar, S. (1999). Ecosystem services in urban areas. Ecological Economics, 29, 293-301. doi: 10.1016/S0921-8009(99)00013-0
Camacho, C. y Mejía, A.M. (2011). Restauración ecológica del Campus de la Institución Universitaria Politécnico Grancolombiano. Poliantea, (12), 242-270. doi: 10.15765/plnt.v7i12.163
Cantillo, E., Rodríguez, K. y Avella, E. (2004). Diversidad y caracterización florística - estructural de la vegetación arbórea en la Reserva Forestal Cárpatos (Guasca - Cundinamarca). Colombia Forestal, 8 (17), 5-21.doi: Link
Caro, A., Díaz, A. y Díaz, J. (2012). Pennisetum clandestinum. En Díaz-Espinosa et al. (Eds.). Catálogo de plantas invasoras de los humedales de Bogotá (pp. 87-91). Bogotá D.C., Colombia: Universidad Nacional de Colombia. Facultad de Ciencias. Departamento de Biología. Grupo de Restauración Ecológica.
Castellanos-Castro, C. y Bonilla, M.A. (2011). Grupos funcionales de plantas con potencial de uso para la restauración en bordes de avance de un bosque altoandino. Acta Biológica Colombiana, 16 (1), 153-174. Disponible en Link
Castro-Díez, P., Godoy, O., Alonso, A., Gallardo, A. y Saldaña, A. (2014). What explains variation in the impacts of exotic plant invasions on the nitrogen cycle? A meta-analysis. Ecology Letters, 17(1), 1-12. doi: 10.1111/ele.12197
Chenut, P. (2008). Aspectos climáticos, geológicos y geomorfológicos. Descripción físico-biótica. En Instituto de Estudios Ambientales - IDEA& Empresa de Acueducto, Alcantarillado y Aseo de Bogotá - EAB. Plan de Manejo Ambiental Humedal El Burro. Bogotá D.C., Colombia.
Conservación Internacional - CI Colombia y Empresa de Acueducto, Alcantarillado y Aseo de Bogotá - EAB. (2010a). Plan de Manejo Ambiental Humedal Capellanía. Diagnóstico. Componente ecológico en vegetación. (pp. 86-106). Bogotá, D. C., Colombia.
Conservación Internacional - CI Colombia y Empresa de Acueducto, Alcantarillado y Aseo de Bogotá - EAB. (2010b). Plan de Manejo Ambiental Humedal Juan Amarillo. Componente ecológico en vegetación. (pp. 128-153). Bogotá, D. C., Colombia.
Cordero, I. (2015). Respuesta ecofisiológica de Caesalpinia spinosa (Mol.) Kuntze a condicionantes abióticos, bióticos y de manejo, como referente para la restauración y conservación del bosque de nieblas de Atiquipa (Perú). Tesis doctoral. Universidad Complutense de Madrid, Madrid, España. Recuperado de Link
Departamento Técnico Administrativo del Medio Ambiente - DAMA. (2006). Política de humedales del Distrito Capital (Primera edición). Bogotá D.C., Colombia: Alcaldía Mayor de Bogotá. Recuperado de Link
Díaz, A.M., Bonilla, M.A. y Vargas, O. (2004). Competencia entre pastos exóticos y plantas nativas: una estrategia para la restauración del bosque altoandino. Acta Biológica Colombiana, 9 (2), 103. doi: 10.15446/abc
Díaz-Espinosa, A., Díaz-Triana, J. y Pinzón, Y. (2012). Elaboración del catálogo. Categorías generales de especies. En Díaz-Espinosa et al. (Eds.). Catálogo de plantas invasoras de los humedales de Bogotá (pp. 26-41). Bogotá D.C., Colombia: Universidad Nacional de Colombia. Facultad de Ciencias. Departamento de Biología. Grupo de Restauración Ecológica.
Erencin, Z. (2000). C-factor mapping using remote sensing and GIS. (Trabajo de investigación) (p. 25). Alemania: Geographisches Institut der Justus-Liebig-Universität Giessen and Soil Science Division International Institute for Aerospace Survey and Earth Sciences Enschde, The Netherlands. Recuperado de Link
Fundación Humedal La Conejera - FHLC & Empresa de Acueducto, Alcantarillado y Aseo de Bogotá - EAB. (2012). Plan de Manejo Ambiental Humedal La Conejera. Aspectos Ecológicos - Flora (pp. 91-104).
Giraldo, L.A., Ríos, H.F. y Polanco, M.F. (2009). Efecto de dos enraizadores en tres especies forestales promisorias para la recuperación de suelos. Revista de Investigación Agraria y Ambiental - RIAA, (1), 41-47. Recuperado de Link
Gómez, P.A. (2011). Efecto de la densidad de siembra sobre las interacciones biológicas entre las leguminosas Lupinus bogotensis y Vicia benghalensis con las nativas Solanum oblongifolium y Viburnum tinoides en parcelas experimentales de restauración ecológica del bosque altoandino. Tesis de maestría. Universidad Nacional de Colombia. Facultad de Ciencias, Bogotá D.C., Colombia. Recuperado de Link
González, E. (2008). Aspectos generales. Descripción físico-biótica. En Instituto de Estudios Ambientales - IDEA & Empresa de Acueducto, Alcantarillado y Aseo de Bogotá - EAB. Plan de Manejo Ambiental Humedal El Burro.
González, S. y Cadenazzi, M. (2015). Recolonización natural por bosque ribereño en margen izquierda del embalse de Salto Grande: Identificación de especies pioneras. Agrociencia Uruguay, 19 (1), 1-13. Recuperado de Link
Guillot, G. y González, E. (2007a). Aspectos ecológicos. Vegetación. En Instituto de Estudio Ambientales - IDEA & Empresa de Acueducto, Alcantarillado y Aseo de Bogotá - EAB. Plan de Manejo Ambiental del Humedal Torca-Guaymaral (pp. 80-83). Bogotá, D.C., Colombia.
Guillot, G. y González, E. (2007b). Caracterización diagnóstica. Aspectos ecológicos. En Instituto de Estudio Ambientales - IDEA y Empresa de Acueducto, Alcantarillado y Aseo de Bogotá - EAB. Plan de Manejo Ambiental del Humedal Córdoba (pp. 90-99). Bogotá, D.C., Colombia.
Guillot, G. y González, E. (2008). Caracterización diagnóstica. Estructura y características de la cobertura vegetal. En Instituto de Estudio Ambientales - IDEA y Empresa de Acueducto, Alcantarillado y Aseo de Bogotá - EAB (pp. 88-95). Bogotá, D.C., Colombia.
Hammer, Ø. (2015). Past (Versión 3.10) [Windows]. Oslo, Noruega: University of Oslo. Recuperado de http://folk.uio.no/ohammer/past/
Hernández, C. y Nates, J. (2007). Componente ecológico. Flora terrestre. En Instituto de Estudio Ambientales - IDEA y Empresa de Acueducto, Alcantarillado y Aseo de Bogotá - EAB. Plan de Manejo Ambiental del Parque Ecológico Distrital Humedal Tibanica (p. III3-III12). Bogotá, D.C., Colombia.
Hernández, L.L., Roa, O.M. y Cortés, F. (2012). Efecto de la aplicación de nutrientes sobre el crecimiento de dos especies nativas en un borde de robledal de Arcabuco, Boyacá, Colombia. Boletín Red Colombiana de Restauración Ecológica, 6 (2), 11-12. Recuperado de http://redcre.com/wp-content/uploads/2014/09/Boletin-REDCRE-Vol-6-No-2-Junio-2012.pdf
Hernández-R., J. y Rangel-Ch., O. (2009). La vegetación del humedal Jaboque (Bogotá, D.C.). Caldasia, 31(2), 355-379. doi: 10.15446/caldasia
Holl, K. D. (2002). Effect of shrubs on tree seedling establishment in an abandoned tropical pasture. Journal of Ecology, 90, 179-187. Recuperado de Link
Holl, K.D., Loik, M.E., Lin, E.H. & Samuels, I.A. (2000). Tropical montane forest restoration in Costa Rica: overcoming barriers to dispersal and establishment. Restoration Ecology, 8 (4), 339-349. Recuperado de Link
Hussain, M., González, L. & Reigosa, M. (2011). Allelopathic potential of Acacia melanoxylum on the germination and root growth of native species. Weed Biology and Management, 11, 18-28. doi: 10.1111/j.1445-6664.2011.00401.x
INGETEC S.A. (2007). Diseño para la reconformación física y rehabilitación ecológica de la ZR y ZMPA del humedal El Burro (Consultoría). Bogotá, D.C.: Empresa de Acueducto, Alcantarillado y Aseo de Bogotá - EAB.
Jayakumar, S., Arockiasamy, D.I. & Britto, S.J. (2002). Conserving forests in the Eastern Ghats through remote sensing and GIS – A case study in Kolli hills. Current Science, 82 (10), 1259-1267. Recuperado de Link
Keenleyside, K.A., Dudley, N., Cairns, S., Hall, C.M. & Stolton, S. (2012). Ecological restoration for protected areas: principles, guidelines and best practices. Gland, Switzerland: International Union for Conservation of Nature and Natural Resources - IUCN. Recuperado de Link
Kusch, A., Cárcamo, J. y Gómez, H. (2008). Aves acuáticas en el humedal urbano de Tres Puentes, Punta Arenas (53° S), Chile Austral. Anales Instituto Patagonia, 36 (2), 45-51. Recuperado de Link
León M., O.A. y Corredor-Velandia, S. (2007). Disturbios experimentales. En O. Vargas (Ed.). Guía metodológica para la restauración ecológica del bosque altoandino (Primera edición, pp. 108-110). Bogotá D.C., Colombia: Universidad Nacional de Colombia. Facultad de Ciencias. Departamento de Biología. Grupo de Restauración Ecológica. Recuperado de Link
León, O.A., Díaz, A.M. y Vargas, O. (2008). Generación de doseles. Un primer paso para la restauración ecológica. En O. Vargas (Ed.). Estrategias para la restauración ecológica del bosque altoandino: el caso de la Reserva Forestal Municipal de Cogua, Cundinamarca (Segunda edición, pp. 173-185). Bogotá D.C., Colombia: Universidad Nacional de Colombia. Facultad de Ciencias.
Liao, C., Peng, R., Luo, Y., Zhou, X., Wu, X., Fang, C. & Chen, J. (2008). Altered ecosystem carbon and nitrogen cycles by plant invasion: a meta-analisis. New Phytologist, 177(3), 706-714. doi: 10.1111/j.1469-8137.2007.02290.x
López, L.E., Becoche, J.M., Macías, D.J., Ruiz, K., Velasco, A. y Pineda, S. (2015). Estructura y composición florística de la Reserva Forestal - Institución Educativa Cajete, Popayán (Cauca). Revista Luna Azul, 41, 131-151. Recuperado de Link
Lorenzo, P. y Rodríguez-Echeverría, S. (2015). Cambios provocados en el suelo por la invasión de acacias australianas. Ecosistemas, 24(1), 59-66. doi: 10.7818/ECOS.2015.24-1.10
Magurran, A.E. (2004). Measuring biological diversity (Primera edición). Oxford, UK: Blackwell Publishing. Recuperado de Link
Mahecha, G.E. (2010). Arbolado urbano de Bogotá (Primera edición). Bogotá D.C., Colombia: Secretaría Distrital de Ambiente y Jardín Botánico de Bogotá José Celestino Mutis.
Mahecha, G.E., Ovalle, A., Camelo, D., Rozo, A. y Barrero, D. (2012). Vegetación del territorio CAR, 450 especies de sus llanuras y montañas (Segunda edición). Bogotá D.C., Colombia: Corporación Autónoma Regional de Cundinamarca - CAR.
Martínez, G., Orozco, A. y Martorell, C. (2006). Efectividad de algunos tratamientos pre-germinativos para ocho especies leñosas de la Mixteca Alta Oaxaqueña con características relevantes para la restauración. Boletín de la Sociedad Botánica de México, (79), 9-20. Recuperado de Link
Meli, P. & Dirzo, R. (2013). Effects of grasses on sapling establishment and the role of transplanted saplings on the light environment of pastures: Implications for tropical forest restoration. Applied Vegetation Science, 16(2), 296-304. doi: 10.1111/j.1654-109X.2012.01217.x
Montenegro-S, A.L., Ávila Parra, Y.A., Mendivelso-Ch., H.A. y Vargas, O. (2006). Potencial del banco de semillas en la regeneración de la vegetación del humedal Jaboque, Bogotá, Colombia. Caldasia, 28(2), 285-306. Recuperado de Link
Morris, T.L., Esler, K.J., Barger, N.N., Jacobs, S. M. & Cramer, M.D. (2011). Ecophysiological traits associated with the competitive ability of invasive Australian acacias. Diversity and Distributions, 17 (5), 898-910. doi: 10.1111/j.1472-4642.2011.00802.x
Pemán, J., Cosculluela, J. y López, A. (2013). Sambucus nigra L. En Pemán et al. Producción y manejo de semillas y plantas forestales. España: Ministerio de Agricultura, Alimentación y Medio Ambiente. doi: 10.13140/2.1.1888.6727
Pinzón, E.G. (2009). Activación de la sucesión vegetal de especies promisorias parcela experimental permanente vereda Pueblo Viejo parte alta Facatativá (Colombia). Revista Brasilera de Agroecología, 4(2), 4021-4022. Recuperado de Link
Pontificia Universidad Javeriana - PUJ y Empresa de Acueducto, Alcantarillado y Aseo de Bogotá - EAB. (2009a). Plan de Manejo Ambiental del Humedal de La Vaca.Componente biótico y ecológico. Vegetación. Bogotá, D.C., Colombia.
Pontificia Universidad Javeriana - PUJ & Empresa de Acueducto, Alcantarillado y Aseo de Bogotá - EAB. (2009b). Plan de Manejo Ambiental del Humedal Techo. Componente biótico y ecológico. Vegetación (pp. 85-94). Bogotá, D. C., Colombia.
Prieto, A., Rangel, J.O., Rudas, A. y Palacios, P. (1995). Aspectos estructurales y tipos de vegetación de la isla Mocagua, río Amazonas. Caldasia, 17 (82-85), 463-479.
RAMSAR. Principios para la planificación y el manejo de los humedales urbanos y periurbanos. Pub. L. No. Resolución XI.11 (2012). Recuperado de Link
Rangel-Ch., J.O. y Velásquez, A. (1997). Métodos de estudio de la vegetación. En Rangel et al. Colombia Diversidad Biótica II (pp. 59-87). Universidad Nacional de Colombia, Instituto de Ciencias Naturales y Ministerio de Medio Ambiente, Instituto de Hidrología, Meteorología y Estudios Ambientales - IDEAM.
Reis, A., Bachara, F. & Tres, D. (2010). Nucleation in tropical ecological restoration. Scientia Agricola, 67 (2), 244-250. doi: 10.1590/S0103-90162010000200018
Rodríguez, N. y Dueñes, M. (2015). Evaluación y seguimiento de los planes de manejo de los humedales formulados e implementados en la jurisdicción de CORPOGUAVIO. Universidad Nacional Abierta y a Distancia - UNAD. Recuperado de Link
Rosselli, L. & Stiles, G. (2012). Wetland habitats of the Sabana de Bogotá Andean Highland Plateau and their birds. Aquatic Conservation:Marine and Freshwater Ecosystems, 22 (3), 303-317. doi: 10.1002/aqc.2234
Sánchez de Lorenzo-Cáceres, J.M. (2008). Selección de plantas ornamentales con bajas necesidades hídricas (p. 39). Presentado en III Congreso de Asproga. Innovaciones tecnológicas. Jardinería sostenible, Santiago de Compostela, España: Asociación de Productores de Plantas Ornamentales de Galicia. Recuperado de Link
Society for Ecological Restoration - SER International. (2004). Principios de SER International sobre la restauración ecológica. Society for Ecological Restoration International. Recuperado de Link
Solorza, J.H. (2012). Evaluación de la regeneración de Acacia decurens, Acacia melanoxylon y Ulex europaeus en áreas de proceso de restauración ecológica. Revista Luna Azul, (34), 66-80.
van der Hammen, T. (1998). Plan ambiental de la cuenca alta del río Bogotá. Análisis y orientaciones para el ordenamiento territorial. Bogotá D.C., Colombia: Corporación Autónoma Regional de Cundinamarca - CAR.
Van der Hammen, T., Stiles, F.G., Rosselli, L., Chisacá, M.L., Camargo, G., Guillot, G. y Rivera, D. (2008). Protocolo de recuperación y rehabilitación ecológica de humedales en centros urbanos (Primera edición). Bogotá D.C., Colombia: Secretaría Distrital de Ambiente.
Vargas, J.O. (2011). Restauración ecológica: biodiversidad y conservación. Acta Biológica Colombiana, 16 (2), 221-246. doi: 10.15446/abc
Vargas, O., Díaz, A., Trujillo, L., Velasco-Linares, P., Díaz-Martín, R., León, O. y Montenegro, A. (2008). Barreras para la restauración ecológica. En O. Vargas (Ed.). Estrategias para la restauración ecológica del bosque altoandino: el caso de la Reserva Forestal Municipal de Cogua, Cundinamarca (Segunda edición, pp. 57-82). Bogotá D.C., Colombia: Universidad Nacional de Colombia. Facultad de Ciencias. Departamento de Biología. Grupo de Restauración Ecológica.
Vargas, O., Díaz, J.E., Reyes, S.P. y Gómez, P.A. (2012). Guías técnicas para la restauración ecológica de los ecosistemas de Colombia. Bogotá D.C., Colombia: Universidad Nacional de Colombia. Facultad de Ciencias. Departamento de Biología. Grupo de Restauración Ecológica. Recuperado de Link
Catálogo de plantas invasoras de los humedales de Bogotá
Vásquez, A. (2016). Infraestructura verde, servicios ecosistémicos y sus aportes para enfrentar el cambio climático en ciudades: el caso del corredor ribereño del río Mapocho en Santiago de Chile. Revista de geografía Norte Grande, (63), 63-86. doi: 10.4067/S0718-34022016000100005
Walteros, J.M. (2016). Estudio socio-ecológico del complejo de humedales de la microcuenca Dalí, cuenca alta del Río Otún. Tesis de Maestría en Ciencias Ambientales. Universidad Tecnológica de Pereira, Pereira, Colombia. Recuperado de http://repositorio.utp.edu.co/dspace/handle/11059/6210
Zabaleta, Á.M. (2014). Actualización de la caracterización biótica y física de la Zona de Manejo y Preservación Ambiental (ZMPA) del Parque Ecológico Distrital de Humedal La Vaca. Jardín Botánico de Bogotá José Celestino Mutis.
Información adicional
Para citar este artículo:: González-Pinto, A.L. (2017) Estructura
y diversidad florística de la zona terrestre de un humedal urbano en Bogotá
(Colombia)