RESUMEN: En este artículo se presenta una metodología para el estudio del incremento de llantas usadas y su recolección. Se comienza desde el modelamiento con dinámica de sistemas para visualizar el crecimiento del parque automotor y estimar la generación de llantas usadas en la ciudad de Bogotá. Posteriormente se diseña un Sistema de Información Geográfica ―SIG― con los puntos críticos de generación de llantas usadas, en donde se georreferencia también la malla vial de la ciudad y una ruta de recolección de estos residuos especiales. El SIG muestra los puntos críticos, los puntos de recolección y los potenciales puntos para ampliar la cobertura de rutas en diferentes localidades de la ciudad. Finalmente se determinan las rutas de recolección en las zonas donde se presenta la mayor cantidad de puntos críticos sin atender, siendo estos: Engativá, Bosa y Barrios Unidos. De esta forma se pretende aportar al diseño de rutas para la recolección y manejo de llantas usadas en Bogotá y otras ciudades con similar problemática.
Palabras clave: SIGSIG,llantas usadasllantas usadas,dinámica de sistemasdinámica de sistemas.
ABSTRACT: This paper presents a methodology for the study of the increase of used tires generation and their collection. It starts from the modeling with systems dynamics to visualize the growth of the vehicle fleet and estimate the generation of used tires in the city of Bogotá. Subsequently, a Geographic Information System -GIS- was designed with the critical points of generation of used tires, where the city vehicle fleet and a collection route for this special waste were georeferenced. The GIS shows the critical points, the collection points and the potential points to expand the collection routes in different locations in the city of Bogota. Finally, the collection routes are determined in the areas where the greatest number of critical points without attention are present which are Engativá, Bosa and Barrios Unidos. In this way the intention is to contribute to the design of routes for the collection and management of used tires in Bogotá and other cities with similar problems.
Key words: GIS, used tires, system dynamics.
Investigaciones
METODOLOGÍA BASADA EN SIG Y MODELAMIENTO PARA LA RECOLECCIÓN DE LLANTAS USADAS EN BOGOTÁ
METHODOLOGY BASED ON GEOGRAPHICAL INFORMATION SYSTEM -GIS- AND MODELING FOR THE COLLECTION OF USED TIRES IN BOGOTÁ
Recepción: 26 Mayo 2017
Aprobación: 28 Agosto 2018
El crecimiento poblacional a nivel mundial trae consigo el incremento de la tasa de generación de residuos sólidos tanto urbanos como industriales y especiales. Dentro de los especiales se encuentran las llantas usadas, las cuales son un tipo de residuo que va asociado al parque automotor de las ciudades. De acuerdo con información suministrada por la Secretaría Distrital de Movilidad, que gestiona el Registro Distrital de Automotores (RDA(, en Bogotá el parque automotor crece a una tasa mayor que la del incremento poblacional; entre 2010 y 2016, la cantidad de vehículos de todo tipo creció entre el 4,5 y el 9 % año a año; influyendo directamente en la generación de llantas usadas. En ese mismo orden, la recolección y gestión de este tipo de residuo es cada vez un tema de mayor complejidad por el tratamiento o la disposición final que se requiere dependiendo de las características de los residuos y su composición. Tradicionalmente el método de disposición final de residuos convencionales más utilizado en Colombia es el relleno sanitario. No obstante, en los rellenos sanitarios, existen restricciones para algunos residuos. Dentro de los residuos prohibidos se encuentran las llantas usadas, ya que por su composición y volumen deben recibir un tratamiento especial. Se entiende como llanta usada, a aquella que técnicamente ha finalizado su uso y vida útil en vehículos automotores y se ha convertido en un residuo sólido (Decreto 442 de 2015).
Las llantas usadas tienen un factor muy relevante que influye en su gestión, ya que su volumen se convierte en un residuo difícil de transportar y de disponer. Por esto, en Colombia, son consideradas como un residuo especial. Por tal motivo deberían ser regresadas a los productores para favorecer el reciclaje, el aprovechamiento como agregado asfáltico o el reencauche (Peláez, Velásquez y Giraldo, 2017); evitando así las quemas de las mismas a cielo abierto, la acumulación en espacios públicos o su uso como combustible en actividades informales o industriales.
En 2015, la Secretaría Distrital de Gobierno y Ambiente y la Autoridad Nacional de Licencias Ambientales (ANLA( lideraron la recolección de 9346 llantas usadas que se encontraban abandonadas en el espacio público; identificando puntos críticos en las localidades de Kennedy, Suba, Barrios Unidos, Antonio Nariño, Puente Aranda, Rafael Uribe y Ciudad Bolívar. Siendo esto, alivios sintomáticos que no resuelven el problema.
Existen métodos controlados de reciclaje de las llantas usadas que buscan aprovechar cada uno de sus componentes principales (acero, caucho y fibra textil); no obstante, para lograr esto, es necesario contar con un sistema que permita en mayor medida la recolección de este tipo de residuo. Aunque existen programas posconsumo para llantas que tienen establecidos diferentes puntos de recolección en la ciudad, no se han establecido los suficientes puntos ni las rutas que los conecten y que a la vez cumplan con lo establecido en el Decreto 1457 de 2010 (donde se establecen los sistemas de recolección selectiva y gestión ambiental de llantas usadas).
Teniendo en cuenta los argumentos anteriormente mencionados y que el uso de Sistemas de Información Geográfico (SIG( integrados con metodologías de modelamiento y simulación se han aplicado para diferentes sectores tales como el desarrollo urbano (Xu and Coors, 2012), gestión de residuos de demolición (Wu et al., 2016), recuperación de residuos orgánicos (Lakota and Stajnko, 2013) y sostenibilidad regional (Wan et al., 2017) entre otros, siempre visto como una propuesta innovadora de gestión, se propone entonces un marco metodológico sobre cómo deben diseñarse los sistemas de recolección basados en SIG en los que se permitan ubicar los puntos de recolección y las posibles rutas para mitigar el problema. De igual manera es necesario analizar el incremento del parque automotor y la tasa de generación de llantas usadas, para tal fin se obtuvo un modelo matemático con la metodología de dinámica de sistemas para la estimación de generación y gestión de llantas usadas en función del parque automotor de Bogotá.
Con el propósito de desarrollar un marco de referencia, para la recolección de residuos especiales como las llantas usadas, se ha elaborado la siguiente propuesta metodológica cuya organización sistemática se describe en la siguiente figura:

La dinámica de sistemas es una metodología para el análisis y resolución de problemas, desarrollada por Jay Forrester (1999) presentada en diferentes publicaciones. En dinámica de sistemas se concibe cualquier aspecto del mundo como la interacción causal entre atributos que lo describen. De esta forma se construyen representaciones sistémicas con flechas y puntos, denominadas diagramas causales, que capturan todas las hipótesis propuestas por el modelador (Ibarra y Redondo, 2015). Para la construcción de modelos de simulación se sigue un proceso sistémico (Redondo et al., 2018). A continuación, se describen los pasos para la construcción del modelo: inicialmente se parte de la conceptualización y la hipótesis dinámica, la cual se sintetiza en el diagrama causal del modelo (figura 2A). Posteriormente se construye el diagrama de niveles y flujos, y se obtienen las ecuaciones que constituyen el modelo matemático que representa la situación. En la figura 2B se muestra un modelo que representa una situación en la que hay una variable de estado X, a la cual se asocian dos variables de flujo: una de entrada (F in) y una de salida (F out), con una variable auxiliar o de decisión que permite el cálculo de flujos.

Las siguientes son las ecuaciones que se obtienen del modelo teórico presentado en la figura 2.

Los SIG son una de las tecnologías modernas más aplicadas para capturar, almacenar, manipular, analizar y mostrar datos espaciales. Estos datos son habitualmente organizados en capas temáticas en forma de mapas digitales (Chalkias and Lasaridi, 2011). Estos mapas o datos geográficos constan de coordenadas geográficas reales asociadas, así como de datos alfanuméricos o descriptivos que se asocian para formar una base de datos integrada y georreferenciada (Bosque-Sendra, 1997). Un SIG es capaz de proporcionar un manejo efectivo, mostrar y manipular información geográfica y espacial (Kinobe, 2015). Por esto, hoy en día, juega un rol importante en la comprensión y solución de problemas de ingeniería y gestión. De igual manera su aplicación en el área de gestión de residuos ha tomado relevancia; de ahí que se ha aplicado en el diseño de rutas de recolección, ubicación de rellenos, rutas selectivas y residuos peligrosos (Chalkias and Lasaridi, 2011; Che et al., 2013; De Feo and De Gisi, 2014; Gallardo et al., 2014).
Para este artículo se ha compilado la información de las 20 localidades que conforman la ciudad de Bogotá, así como los puntos de recolección que se ubican dentro de cada una de ellas. Bogotá es la ciudad capital de Colombia, hoy cuenta con un estimado de 8’080000 habitantes en su área urbana (figura 3) y un área de 307,36 km2 de superficie.

El parque automotor de la ciudad de Bogotá ha tenido una dinámica de crecimiento con una tasa mayor a la del crecimiento de su población. De acuerdo con la información reportada por la Secretaría Distrital de Movilidad, entre 2010-2016, la tasa de crecimiento de vehículos ha oscilado entre el 4,5 y el 9 %. Para la alimentación y validación del modelo se tomó como base la información registrada de cuatro clases de vehículos, que representan el 75 % del parque automotor de la ciudad (SDM, 2016). La tabla 1 muestra la información de los vehículos utilizados en el modelo. La figura 4 plantea los datos graficados de la tabla 1, los cuales evidencian un crecimiento exponencial del parque automotor seleccionado.


En esta fase se describen las relaciones causales que se identificaron como partes principales del problema.
La figura 5 muestra la conceptualización del problema en un diagrama causal compuesto por tres bucles de realimentación, que presentan la estructura genérica del sistema estudiado. La polaridad de las relaciones causales que conforman los bucles de realimentación, significan aumento o disminución del valor cuantificable de la variable. Un signo positivo (+) cuando aumenta o un signo negativo (-) cuando disminuye, esto se interpreta de la siguiente manera: cuando la variable de la que parte la flecha aumenta, la variable a la que llega el sentido de la flecha puede aumentar o disminuir según el contexto y la hipótesis de modelado. Esta metodología se encuentra ampliamente descrita en Aracil y Gordillo (1997) y Sterman (2000).

En el diagrama causal de la figura 5 el bucle R representa la relación que existe entre el crecimiento neto de la cantidad de vehículos y el parque automotor en Bogotá, que incrementa año tras año.
El bucle B de la derecha representa la cantidad de llantas que se recolectan en función de la cantidad de llantas acumuladas, lo que está relacionado de manera directa con la generación de llantas provenientes del parque automotor. De igual manera representa la cantidad de llantas que se pueden disponer sin control, en función de la acumulación de llantas usadas.
En esta fase, el diagrama causal mostrado en la sección anterior es reelaborado y convertido en un diagrama de niveles y flujos que es el lenguaje de simulación con dinámica de sistemas. En la figura 6 se expone el modelo desarrollado. Este diagrama de niveles y flujos fue construido con el software Vensim PLE.

A partir del diagrama de niveles y flujos se deben construir las ecuaciones que representan la evolución temporal de las variables de estado del sistema. De esta forma se plantea que el parque automotor Y está en función del crecimiento neto de vehículos C, y se expresa de la siguiente manera:

donde C=u.Y
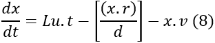
Asimismo, la generación de llantas X se expresa de la siguiente manera:

En donde G representa la generación de llantas en función de las llantas en uso (Lu), y la tasa de generación (t). Las llantas en uso (Lu), resultan del producto entre la cantidad de vehículos (Y) y el número de llantas (n).
R representa el flujo de recolección de llantas que depende de una tasa de recolección (r) y un tiempo de demora. El modelo matemático propuesto es el siguiente:


Para la simulación del modelo propuesto se tuvo en cuenta los datos reportados del parque automotor de la clase de vehículos seleccionados. De igual manera se estimó una tasa de generación de llantas usadas de las cuatro clases de vehículos con base en el índice de generación de llantas usadas (IGLL( de la Secretaría Distrital de Ambiente de Bogotá. Los parámetros empleados para el escenario base de simulación (BAU( (por sus siglas en inglés Business as usual) se presentan en la tabla 2.

Para la simulación del modelo se utilizó el método de Euler establecido por el software utilizado: se tomó como tamaño de paso de simulación a 0,0625; la unidad de tiempo fue años y el tiempo de simulación fue entre 2010-2030. Se establecieron cuatro escenarios de simulación distintos que permitieron la comprensión del comportamiento del sistema bajo la variación del parámetro tasa de recolección de llantas. En los escenarios obtenidos se evidencian: el cambio de la recolección de llantas y la cantidad de llantas dispuestas sin control bajo los escenarios simulados. Los escenarios fueron: escenario inicial BAU; escenario A con eficiencia de recolección del 30 %; escenario B con una eficiencia de recolección del 50 % y escenario C con una eficiencia de recolección del 90 %.
Hoy en día, la meta establecida de recolección para los programas posconsumo de llantas usadas es del 30 %. Sin embargo no existe un seguimiento y control para verificar este cumplimiento, por lo que se estima que este porcentaje sea inferior al 20 %. Debido a esto, la simulación del modelo (figuras 7, 8) señala la disminución de llantas dispuestas sin control al aumentar la eficiencia en la recolección.


Por medio de las herramientas digitales se pueden realizar distintos modelos que permiten tener un mejor manejo de los espacios y una gestión adecuada de diferentes residuos especiales como, por ejemplo, las llantas usadas. Para el diseño de esta metodología se tuvieron en cuenta algunas de las etapas propuestas por Wu et al. (2016):
(i) la primera etapa consiste en definir los límites geográficos del área de estudio.
Para ello se tuvieron en cuenta, como base de esta investigación, los límites de las 20 localidades de la ciudad. Del mismo modo se incluye la malla vial de la ciudad, información extraída directamente de la Infraestructura de Datos Espaciales del Distrito Capital (IDECA(. Adicionalmente a la información anterior se le realizó una topología con el fin de determinar errores y excepciones. En orden de definir el alcance de esta investigación se seleccionaron como fuente de generación de llantas usadas: automóviles; buses; busetas y camionetas; excluyendo los buses pertenecientes al sistema integrado de transporte y TransMilenio.
(ii) La segunda etapa consiste en el diseño de la base de datos.
Se realizó una recopilación de la información de los 38 puntos críticos de generación de llantas usadas, definidos previamente por la Secretaria Distrital de Ambiente en 2016. Se tomaron 96 puntos de recolección autorizados, establecidos por el programa posconsumo Rueda Verde de la Asociación Nacional de Industriales (ANDI(. Además se determinaron 60 establecimientos con potencial de convertirse en nuevos puntos de recolección, en función de los puntos críticos, para ampliar la tasa de recolección de llantas.
(iii) La tercera etapa consiste en la visualización de datos.
Esta se inicia con la georreferenciación mediante el uso de la herramienta Google Maps para realizar la ubicación espacial de los puntos críticos, puntos de recolección autorizados y los nuevos puntos de recolección; consecutivamente se hizo la superposición de la información, incluyendo la división por localidades y la malla vial de la ciudad. Seguido a esto, se obtuvieron los archivos KML y se transformaron posteriormente al software ArcGIS 10.3. Lo anterior, permitió observar la correlación geográfica entre los puntos críticos y los puntos de recolección autorizados; además de verificar el potencial de eficiencia de la ubicación de los nuevos puntos de recolección.
(iv) La última etapa consiste en determinar las rutas de recolección en las zonas donde se presenta la mayor cantidad de generación de llantas usadas.
Para este proceso se tomaron los puntos críticos, puntos de recolección autorizados y puntos nuevos de recolección establecidos previamente. Luego a través de Google Maps se trazó la ruta con la herramienta “Trazar una línea” seguida de “Agregar una ruta”, para ello se debe tener en cuenta la selección de los puntos de recolección para la ruta que se asignan en función de los puntos críticos; es decir que cada punto nuevo de recolección y cada punto de recolección autorizado debe estar cercano a los puntos críticos que tenga la zona. Seguido a lo anterior, y teniendo establecidos los puntos de recolección a utilizar, se seleccionan uno a uno hasta obtener la ruta; lo que al finalizar generará también las indicaciones de cada una.
La Secretaria Distrital de Ambiente identificó diferentes puntos críticos de acumulación de llantas usadas en Bogotá en 2016. Estos puntos se encuentran mayormente distribuidos en las localidades de Engativá, Bosa y Barrios Unidos. Por su parte la ANDI estableció más de 96 puntos de recolección mediante el programa de gestión de devolución de productos posconsumo Rueda Verde. Con base en ello la figura 9 muestra la distribución espacial de los puntos críticos y los puntos de recolección autorizados, evidenciando que en las localidades donde hay una mayor tendencia de generación de llantas usadas no se tiene una relación entre estos puntos.

Así pues, se observa que en el suroeste de la localidad de Engativá se hallan densificados alrededor de 10 puntos críticos que no se encuentran cercanos a los puntos de recolección autorizados. De igual manera en la localidad de Bosa no hay ningún punto de recolección autorizado, aunque se debe resaltar que esta localidad tiene alrededor de 13 puntos críticos que no pueden ser dispuestos en ningún establecimiento autorizado. En cuanto a la localidad de Barrios Unidos, a pesar de que tiene puntos de recolección autorizados estos están distanciados de los puntos críticos; por esta razón, no existe una eficiencia en la recolección de las llantas usadas.
Dado lo anterior, se puede señalar que existe muy poca relación entre los puntos críticos y de recolección autorizados. Pues hay que considerar que los puntos de recolección abiertos a la comunidad para que dispongan sus residuos, deben estar ubicados en cercanías de las zonas con mayor generación de los mismos. Además de las localidades mencionadas anteriormente, es posible hacer una relación en toda la ciudad: en donde se observa una gran cantidad de puntos de recolección autorizados, pero que no se encuentran ubicados cerca a puntos críticos. De esto se puede resaltar que en las localidades donde hay mayor cantidad de establecimientos autorizados es donde se tienen menos puntos críticos, por lo que una posible solución es la de incrementar los puntos de recolección para aumentar la eficiencia en la recolección y disminuir la tasa de disposición de llantas sin control; aportando así a la gestión de llantas usadas en la ciudad.
Como se mencionó, es importante aumentar el número de establecimientos autorizados para obtener una mayor eficiencia en la recolección de llantas usadas. Para ello se establecieron 61 nuevos puntos de recolección en toda la ciudad. Estos se ubicaron en función de los puntos críticos establecidos por la Secretaria Distrital de Ambiente. Es así como en la figura 10 se puede evidenciar el aumento en la densidad de puntos nuevos sumados a los puntos de recolección autorizados. Adicionalmente se tuvieron en cuenta las localidades críticas de Engativá, Bosa y Barrios Unidos, en las cuales los puntos nuevos de recolección tienen potencial para ser usados en las rutas de recolección. De ellos cuatro de Engativá, cinco de Bosa y uno de Barrios Unidos harán parte de la ruta de recolección, junto a los otros puntos de recolección autorizados que se encuentran en esas zonas.

Finalmente para la recolección de las llantas usadas se establecieron diferentes rutas de recolección para las tres localidades críticas, estas rutas tienen como fin optimizar la recolección de llantas usadas de forma diferenciada a otros flujos de residuos (figura 11), facilitando así la gestión y el manejo de este residuo como lo indica la Resolución 1457 de 2010 del Ministerio de Ambiente. De esta manera las rutas propuestas serán una herramienta que permitirá el control y manejo ambiental para el cumplimiento de las metas de recolección por parte de los productores.

Para la localidad de Engativá se obtuvo una ruta de 13 km con un tiempo de recorrido de 39 minutos. Para su trazado se tuvo como parte primordial el suroriente de la localidad, ya que es la zona más crítica; del mismo modo se utilizaron dos puntos de recolección autorizados y dos nuevos puntos de recolección. Es importante mencionar que se priorizaron las zonas con mayor densidad de puntos críticos para el trazado de esta ruta. Para la localidad de Bosa se estableció una ruta de 9 km con un tiempo de recorrido de 40 minutos. La ruta abarca gran parte del área de la localidad con cinco nuevos puntos de recolección, ya que en esta localidad se encuentran diversos puntos autorizados. Por último, para la localidad de Barrios Unidos se trazó una ruta de 7 km con un tiempo de 18 minutos. Para esta localidad, a pesar de que se establecieron nuevos puntos de recolección, se utilizó solo uno debido a que los otros tres puntos de la ruta son puntos autorizados.
Este artículo desarrolló una propuesta metodológica para estimar la generación de llantas usadas y visualizar distintos escenarios de aumento de recolección que se requieren para establecer un programa de posconsumo más robusto. Los resultados encontrados permiten visualizar la tendencia de crecimiento del parque automotor y estimar que la generación de llantas usadas en los próximos quince años seguirá en aumento. De esta forma se requiere la implementación de nuevos puntos de recolección para aumentar la eficiencia de recolección y disminuir la problemática de disposición de llantas en el espacio público.
Por otro lado se determinó que no existe una ubicación estratégica de los puntos de recolección autorizados puesto que se hallaron localidades con una densidad de puntos autorizados alta, mientras que en otras no se encontró ninguno; para lo que se propone realizar estudios previos a la hora de poner puntos de recolección, teniendo en cuenta también las zonas donde se dispone este residuo en el espacio público. Adicionalmente este trabajo permite incentivar el uso de herramientas como Google Maps, que es de acceso abierto, siendo una valiosa herramienta para tener en cuenta en el establecimiento de nuevos puntos de recolección y diseño de microrutas para la recolección selectiva tanto de llantas usadas como de otro tipo de residuos. Asimismo, cabe resaltar que esta metodología propuesta puede ser reproducida o implementada en otras ciudades con similar problemática.












