Artículos originales
Received: 22 April 2019
Accepted: 23 May 2019
DOI: https://doi.org/10.18273/revint.v37n2-2019003
Abstract:
We gather some classical results and examples that show strict inclusion between the families of unital rings, rings with enough idempotents, rings with sets of local units, locally unital rings, s-unital rings and idempotent rings.
MSC2010: 1602, 16D99, 16S99, 16U99.
Keywords: Unital ring, rings with enough idempotents, rings with sets of local units, locally unital ring, s-unital ring, idempotent ring.
Resumen: Recopilamos algunos resultados clásicos y ejemplos que muestran una inclusión estricta entre las familias de anillos unitarios, anillos con suficientes idempotentes, anillos con conjuntos de unidades locales, anillos localmente unitarios, anillos s-unitarios y anillos idempotentes.
Palabras clave: Anillo unitario, anillos con suficientes idempotentes, anillos con conjuntos de unidades locales, anillo localmente unitario, anillo s-unitario, anillo idempotente.
1. Introduction
In many presentations of ring theory, authors make the assumption that all rings are unital, that is that they possess a multiplicative identity element. There are, however, lots of natural constructions in ring theory which share all properties of unital rings except the property of having a multiplicative identity. Such constructions include ideals, infinite direct sums of rings, and linear transformations of finite rank of an infinite dimensional vector space. For many examples of rings lacking a multiplicative identity there still exist weaker versions of identity elements. The purpose of the present article is to gather some classical results and examples of rings having different degrees of weak forms of identity elements, ordered in hierarchy. To be more precise, we wish to show the following strict inclusions of families of rings:

In our presentation, we will begin with the class of rings and narrow down our results and examples until we reach the class of unital rings.
2. Idempotent and s-unital rings
Definition 2.1. Throughout this article, R denotes an associative ring. We do not assume that R has a multiplicative identity. Let ℤ denote the set of integers and let ℕ denote the set of positive integers.
Definition 2.2. The ring R is called idempotent if R2 = R. Here R2 denotes the set of all finite sums of elements of the form rs for r, s ∈ R.
Example 2.3. It is easy to construct rings which are not idempotent. In fact, let A be any non-zero abelian group. Define a multiplication on A by saying that ab = 0 for all a, b ∈ A. Then A2= {0} ≠ A.
Another generic class of examples is constructed in the following way. If R is a ring and I is a two-sided ideal of R, with I2 ⊊ I, then I is a ring which is not idempotent. This holds for many rings R, for instance when R = ℤ and I is any non-trivial ideal of R.
The next definition was introduced by Tominaga in 10 and 11.
Definition 2.4. Let M be a left (right) R-module. We say that M is s-unital if for every m ∈ M the relation m ∈ Rm (m ∈ mR) holds. If M is an R-bimodule, then we say that M is s-unital if it is s-unital both as a left R-module and as a right R-module. The ring R is said to be left (right) s-unital if it is left (right) s-unital as a left (right) module over itself. The ring R is said to be s-unital if it is s-unital as a bimodule over itself.
Example 2.5. The following example shows that there exist idempotent rings that are neither left nor right s-unital. Let G = {e, g} denote the associative semigroup defined by the relations e · e = e and e · g = g · e = g · g = g. Let K denote a field and put v = (1,0) and v = (0,1) in K x K. Let R denote the twisted semigroup ring (K x K)[G] where the multiplication is defined by

for xi, x2, y1, y2 ∈ K x K. Then R is associative. Indeed, take

A straightforward calculation shows that

and

Also R is neither left nor right s-unital. In fact, take x1, y2 ∈ K x K. If g(x1+ x2g) = g, then e1x1g = g, so that e1x1 = (1, 1) in K x K which is a contradiction. In the same way (x1+ x2g)g = g leads to x1e2= (1,1) in K x K which is a contradiction. However, R is idempotent since for all (k, l) G K x K, the following relations hold:

and

Example 2.6. The following example (inspired by [7, Exercise 1.10]) shows that there are lots of examples of rings which are left (right) s-unital but not right (left) s-unital. Let A be a unital ring with a non-zero multiplicative identity 1.
(a) Let Bldenote the set A x A equipped with componentwise addition and multiplication defined by the relations
(a, b)(c, d) = (ac, ad)
for a, b, c, d ∈ A. Now we show that Bi is associative. Take a, b, c, d, e, f ∈ A. Then,
((a, b)(c, d))(e, f) = (ac, ad)(e, f) = (ace, acf),
and
(a, b)((c, d)(e, f)) = (a, b)(ce, cf) = (ace, acf).
It is clear that any element of the form (1, a), for a ∈ A, is a left identity for Bl. However, Blis not right unital. Indeed, since (0,1) ∉ {(0, 0)} = (0,1)Blit follows that Blis not even right s-unital. For each n ∈ ℕ let Cndenote a copy of Bl, and put
Then C is left s-unital but not left unital. Since none of the Cnare right s-unital it follows that C is not right s-unital.
(b) Let Brdenote the set A x A equipped with component wise addition and multiplication defined by the relation
(a, b)(c, d) = (ac, bc)
for a, b, c, ∈ A. Now we show that Br is associative. Take a, b, c, d, e, f ∈ A. Then,
((a, b)(c, d))(e ,f) = (ac, bc)(e, f) = (ace, bce),
and
(a, b)((c, d)(e, f)) = (a, b)(ce, de) = (ace, bce).
It is clear that any element of the form (1, a), for a ∈ A, is a right identity for Bl. However, Bris not left unital. Indeed, since (0,1) ∉ {(0, 0)} = Br (0,1) it follows that Br is not even left s-unital. For each n ∈ ℕ let Dndenote a copy of Brand
Then D is right s-unital, but not right unital. Since none of the Dnare left s-unital, it follows that D is not left s-unital.
Definition 2.7. If e', e'' ∈ R, then put e' V e" = e' + e" - e'e".
Proposition 2.8. Let M be a left (right) R-module. Then M is left (right) s-unital if, and only if, for all n ∈ ℕ and all m1,...,mn ∈ M there is e ∈ R such that for all i ∈ {1,..., n} the relation em¡ = mi (mie = mi) holds.
Proof. We follow the proof of [11, Theorem 1]. The "if" statements are trivial. Now we show the "only if" statements.
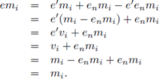
First, suppose that M is a left R-module which is s-unital. Take n ∈ ℕ and m1,..., mn ∈ M. Take en ∈ R such that enmn = mn, and for every i ∈ {1,...,n - 1} put vi = mi - enmi. By induction there is an element e' ∈ R such that for every i ∈ {1,..., n - 1} the equality e 'vi = vi holds. Put e = e' V en. Then
emn = e'mn + enmn - e 'enmn = e 'mn + mn - e'mn = mn,
and for every i ∈ {1,..., n - 1} we get that

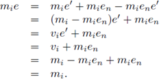
Now suppose that M is a right R-module which is s-unital. Take n ∈ ℕ and m1,..., mn ∈ M. Take en ∈ R such that mnen = mn, and for every i ∈ {1,...,n - 1} put vi = m¡ - m¡en. By induction there is an element e' ∈ R such that for every i ∈ {1,..., n - 1} the equality v¡e ' = v¡ holds. Put e = en V e '. Then
mne = mne′ + mnen − mnene′ = mne′ + mn − mne′ = mn,
and for every i ∈ {1,..., n - 1} we get that

Proposition 2.9. Let M be an R-bimodule and suppose that e', e '' ∈ R. Let X be a subset of M such that for all m ∈ X the relations e'm = me '' = m hold. Then; for all m ∈ X the following relations hold:
(e’’ V e’ )m = m(e’’ V e’ ) = m.
Proof. This is essentially the proof of [9, Lemma 1]. Take m G X. Then
(e '' V e ')m = (e' + e'' - e ''e')m = e'm + e''m - e ''e'm = m + e''m - e''m = m,
and
m(e '' V e ') = m(e ' + e'' - e ''e') = me' + me'' - me''e' = me' + m - me ' = m.
Proposition 2.10. Let M be an R-bimodule. Then M is s-unital if, and only if, for all n ∈ ℕ and all m1,..., mn ∈ M there is e ∈ R such that for all i ∈ {1,..., n} the relation emi = mie = miholds.
Proof. The "if" statement is trivial. Now we show the "only if" statement. Take n ∈ ℕ and mi,..., mn ∈ M. From Proposition 2.8 it follows that there are e', e '' ∈ R such that for all i ∈ {1,..., n} the relations e mi = mie = mi hold. The claim now follows from Proposition 2.9 if we put e = e '' V e' and X = {m1,..., mn}.
Proposition 2.11. The ring R is left (right) s-unital if, and only if, for all n ∈ ℕ and all r1,..., rn ∈ R there is e ∈ R such that for all i ∈ {1,..., n} the relation eri = ri (rie = ri) holds.
Proof. This follows from Proposition 2.8.
Proposition 2.12. The ring R is s-unital if, and only if, for all n ∈ ℕ and all r1,..., rn ∈ R there is e ∈ R such that for all i ∈ {1,..., n} the relations eri = rie = rihold.
Proof. This follows from Proposition 2.10.
Definition 2.13. An element e ∈ R is called idempotent if e2 = e.
Definition 2.14. We say that R is left (right) locally unital if for all n ∈ N and all
r1,...,rn ∈ R there is an idempotent e ∈ R such that for all i ∈ {1,...,n} the equality eri = rj (rie = ri) holds. We say that R is locally unital if it is both left locally unital and right locally unital.
Example 2.15. Let R denote the ring of real valued continuous functions on the real line with compact support. Then R is s-unital, but neither left nor right locally unital.
3. Locally unital rings
The next definition was introduced by Ánh and Márki in 4.
Definition 3.1. The ring R is said to be locally unital if for all n ∈ ℕ and all r1,...,rn ∈ R there is an idempotent e ∈ R such that for all i ∈ {1,...,n} the equalities eri = rie = ri hold.
Proposition 3.2. Suppose that e , e ∈ R are idempotents, and put e = e V e . Then e2 = e + e 'e '' - e 'e ''e ' - e ' 'e 'e '' + e ' 'e 'e ''e '. If either of the following equalities hold,
(i) e′e′′ = e′,
(ii) e′e′′ = e′′,
(iii) e′′e′ = e′′,
(iv) e′′e′ = e′,
(v) e′e′′ = e′′e′,
then e is idempotent.
Proof. A straightforward calculation shows that

Now we show the last part. If (i) holds, then
e′e′′ − e′e′′e′ − e′′e′e′′ + e′′e′e′′e′ = e′ − (e′)2− e′′e′ + e′′(e′)2= e′ − e′ − e′′e′ + e′′e′ = 0.
If (ii) holds, then
e′e′′ − e′e′′e′ − e′′e′e′′ + e′′e′e′′e′ = e′′ − (e′′)2− (e′′)2+ (e′′)3= e′′ − e′′ − e′′ + e′′ = 0.
If (iii) holds, then
e′e′′ − e′e′′e′ − e′′e′e′′ + e′′e′e′′e′ = e′e′′ − e′e′′ − (e′′)2+ (e′′)2= −e′′ + e′′ = 0.
If (iv) holds, then
e′e′′ − e′e′′e′ − e′′e′e′′ + e′′e′e′′e′ = e′e′′ − (e′)2− e′e′′ + (e′)2= −e′ + e′ = 0.
If (v) holds, then

Proposition 3.3. A ring is locally unital in the sense of Definition 2.14 if, and only if, it is locally unital in the sense Definition 3.1.
Proof. The "only if" statement is immediate. Now we show the "if" statement. We use the argument from the proof of [6, Proposition 1.10] (see also [4, Example 1]). Suppose that R is a ring which is locally unital in the sense of Definition 2.14. Take n ∈ ℕ and r1,...,rn ∈ R. Since R is right locally unital, there is an idempotent e’ ∈ R such that for all i ∈ {1,..., n} the equality rie’ = ri holds. Since R is left locally unital, there is an idempotent e’’ ∈ R such that e’’e’ = e’, and for all i ∈ {1,...,n} the equality e’’ri = ri holds. Put e = e’ V e’’. From Proposition 3.2 it follows that e is idempotent. From Proposition 2.9, with X = {ri,...,rn}, it follows that for all i ∈ {1,...,n} the equalities eri = rie = ri hold. So, R is locally unital in the sense of Definition 3.1.
4. Regular rings
Definition 4.1. The ring R is called regular if for every r ∈ R there is s ∈ R such that r = rsr.
The next proposition is [4, Example 1].
Proposition 4.2. Every regular ring is locally unital.
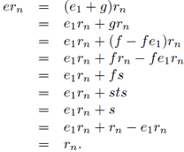
Proof. We proceed in almost the same way as in the proof of Proposition 2.8. Let R be a regular ring. Take n ∈ ℕ and r1,...,rn ∈ R. First we show that R is left locally unital. By induction there is an idempotent e1 ∈ R such that for all i ∈ {1,..., n - 1} the equality e1ri = ri holds. Put s = rn - e1rn. Since R is regular, there is t ∈ R such that s = sts. Put f = st. Then f is idempotent and

Put g = f - fe1. Then e1g = ge1 = U and
g2 = f2 - f2e1 - fe1f + fe1fe1 = f - fe1 = g.
Let e = e1 + g. Then e is an idempotent. Take i ∈ {1,..., n - 1}. Then,

Finally,

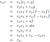
Now we show that R is right locally unital. By induction there is an idempotent e1 ∈ R such that for all i ∈ {1,..., n - 1} the equality rie1 = ri holds. Put s = rn - rne1. Since R is regular, there is t ∈ R such that s = sts. Put f = ts. Then f is idempotent, and

Put g = f - e1f. Then e1g = ge1 = 0 and
g2 = f2 - e1f2 - fe1f + e1fe1f = f - e1f = g.
Let e = e1+ g. Then e is an idempotent. Take i ∈ {1,..., n - 1}. Then,

Finally,

5. Rings with sets of local units
The next definition was introduced by Abrams in 2.
Definition 5.1. Suppose that E is a set of commuting idempotents in R which is closed under the operation V from Definition 2.7. Then E is called a set of local units for R if for all r ∈ R there is e ∈ E such that er = re = r.
Remark 5.2. In [2, Definition 1.1] the condition that E is closed under V was not included. However, since this was intended (personal communication with G. Abrams) we chose to include it here.
Proposition 5.3. If R has a set of local units E, then for all n ∈ N and all r1,...,rn ∈ R there is e ∈ E such that for all i ∈ {1,..., n} the equalities eri = rie = riholds.
Proof. Take n ∈ ℕ and r1,...rn ∈ R. By induction there is e1, e2 ∈ E such e2rn = rne2 = rn, and for all i ∈ {1,..., n - 1} the relations e1ri= rie1= ri hold. Put e = e1 V e2. Then, since e1e2 = e2e1, we get that
ern = e1rn + e2rn - e1e2rn = e1rn + rn - e1rn = rn
and
rne = rne1 + rne2 - rne2e1 = rne1 + rn - rne1 = rn,
and for all i ∈ {1,..., n - 1} we get that
eri = e1ri + e2ri - e2e1ri = ri + e2ri - e2ri = ri
and
rie = rie1 + rie2 - rie1e2 = ri + rie2 - rie2 = ri.
Proposition 5.4. If a ring has a set of local units, then it is locally unital.
Proof. This follows from Proposition 5.3.
Example 5.5. According to [4, Example 1] there are regular rings that do not possess sets of local units in the sense of Definition 5.1.
Definition 5.6. If e, f ∈ R are idempotent, then e and f are said to be orthogonal if ef = fe = 0.
6. Rings with enough idempotents
The following definition was introduced by Fuller in 5.
Definition 6.1. The ring R is said to have enough idempotents in case there exists a set
of orthogonal idempotents in R (called a complete set of idempotents for R) such that

Example 6.2. There exist rings which have sets of local units in the sense of Definition 5.1, but which does not have enough idempotents in the sense of Definition 6.1. To exemplify this we recall the construction from [1, Example 1.6]. Let F denote the field with two elements, and let R be the ring of all functions f : ℕ → F. For each n ∈ ℕ define fn ∈ R by fn(n) = 1, and fn(m) =0, if m ≠ n. For all finite subsets S of ℕ, define fS ∈ R via
Then I = {fS | S is a finite subset of ℕ} is an ideal of R. Since R is unital, Zorn's lemma implies the existence of a maximal proper ideal M of R with I ⊆ M. Since all elements in R, and hence also in M, are idempotent, it follows that M is a ring with E = M as a set of local units. Seeking a contradiction, suppose that M has a complete set of idempotents {ej}j∈J. Since I, and hence M, contains all fn, for n ∈ ℕ, it follows that
Since M is a proper ideal, we get that 1R ∉ M, and thus it follows that J is an infinite set. Choose any partition J = K ∪ L, with K ∩ L = ∅, and K and L infinite. Define
and
Since the ejare pairwise orthogonal, we get that eKeL = 0. But M is a maximal ideal of R. Therefore M is a prime ideal of R, and thus eK ∈ M or eL ∈ M. Suppose that eK ∈ M. Since {ej}j∈Jis a complete set of idempotents, there must exist a finite set J' of J with
which is a contradiction. Analogously, the case when eL ∈ M leads to a contradiction. Therefore, M is not a ring with enough idempotents.
Definition 6.3. If M is a left (right) R-module, then M is called left (right) unital if there is e ∈ R such that for all m ∈ M the relation em = m (me = m) holds. In that case e is said to be a left (right) identity for M. If M is an R-bimodule, then M is called unital if it is unital both as a left R-module and a right R-module. The ring R is said to be left (right) unital if it is left (right) unital as a left (right) module over itself. The ring R is called unital if it is unital as a bimodule over itself.
Example 6.4. The ring Bl (or Br) from Example 2.6 is a ring which is left (or right) unital, but not right (or left) unital.
Example 6.5. There are many classes of rings that are neither left nor right unital but still have enough idempotents. Here are some examples:
infinite direct sums of unital rings;
category rings where the category has infinitely many objects (see e.g. [8, Proposition 4]);
Leavitt path algebras with infinitely many vertices (see e.g. [3, Lemma 1.2.12(iv)]).
Proposition 6.6. Let M be an R-bimodule. Then M is unital if, and only if, there is e ∈ R such that for all m ∈ M the relations em = me = m hold.
Proof. The "if" statement is trivial. The "only if" statement follows from Proposition 2.9 if we put X = M.
Proposition 6.7. The ring R is unital if, and only if, there is e G R such that for all r R the relations er = re = r hold.
Proof. This follows from Proposition 6.6 if we put M = R. 0
Remark 6.8. Proposition 6.7 can of course be proved directly in the following way. Let e’ (or e’’) be a left (or right) identity for R as a left (or right) module over itself. Then e' = e’e’’ = e’’.
We end the article with the following remark, which connects unitality and s-unitality.
Proposition 6.9. If R is left (right) s-unital and right (left) unital, then R is unital.
Proof. First suppose that R is left s-unital and right unital. Let f be a right identity of R and take r ∈ R. From Proposition 2.8 it follows that there is e ∈ R with er = r and ef = f. But since f is a right identity of R it follows that ef = e. Thus e = f and hence fr = er = r so that f is a left identity of R. Now suppose that R is right s-unital and left unital. Let f be a left identity of R and take r ∈ R. From Proposition 2.8 it follows that there is e ∈ R with re = r and fe = f. But since f is a left identity of R it follows that fe = e. Thus e = f and hence rf = re = r so that f is a right identity of R.
References
[1] Abrams G.D., "Rings with local units", Thesis (Ph.D.), University of Oregon, 1981, 82p.
[2] Abrams G.D., "Morita equivalence for rings with local units", Comm. Algebra 11 (1983), No. 8, 801-837.
[3] Abrams G.D., Ara P. and Molina M. S., Leavitt Path Algebras, Springer Lecture Notes, London, 2017.
[4] Ánh P.N. and Márki L., "Morita equivalence for rings without identity", Tsukuba J. Math. 11 (1987), No. 1, 1-16.
[5] Fuller K.R., "On rings whose left modules are direct sums of finitely generated modules", Proc. Amer. Math. Soc. 54 (1976), 39-44.
[6] Komatsu H., "The category of s-unital modules", Math. J. Okayma univ. 28 (1986), No. 1, 65-91.
[7] Lam T.Y., Exercises in classical ring theory, 2nd edition, Springer-Verlag, New York, 2003.
[8] Lundström P., "Separable Groupoid Rings", Comm. Algebra 34 (2006), 3029-3041.
[9] Mogami I. and Hongan M., "Note on commutativity of rings", Math. J. Okayama univ. 20 (1978), 21-24.
[10] Tominaga H., "On decompositions into simple rings",Math. J. Okayama univ . 17 (1975), No. 2, 159-163.
[11] Tominaga H., "On s-unital rings",Math. J. Okayama univ . 18 (1976), 117-134.
Notes
Author notes
* E-mail: patrik.nystedt@hv.se