Artículo de investigación
Recepción: 21 Junio 2023
Aprobación: 25 Septiembre 2023
Resumen: El transformador de distribución es un dispositivo de gran importancia, de su confiabilidad depende la disponibilidad de energía eléctrica en determinada área y la operación económica de la empresa eléctrica. El presente trabajo propone una metodología para determinar los modos y efectos de falla e identificar la causa raíz de diferentes modos de falla en los transformadores de distribución. Se combinaron métodos cómo el análisis de criticidad, el de modos y efecto de fallas y el análisis causa raíz, utilizando herramientas estadísticas. Se aplicó la metodología tomando como caso de estudio el registro del control de operaciones de transformadores de distribución en el taller Planta Maceo, de la provincia de Ciego de Ávila durante el año 2022 identificando las cusas raíces dominantes en cada uno de los modos de fallas graves del transformador y brindando información fundamental para la toma de decisionesa las empresas de distribución de energía eléctrica.
Palabras clave: Análisis causa raíz, estado técnico, modos de falla, transformadores de distribución.
Abstract: The transformer is a device of great importance in an electrical network, its reliability depends not only on the availability of electrical energy in a certain area, but also affects the economic operation of the electric company. The most common failures in a transformer can occur in different parts or components due to mechanical and electrical problems or thermal stress caused by different conditions, can eventually cause a short circuit and be catastrophic and costly. In the present work, a study of the most common failures that occur in the distribution transformer is carried out, taking as a case study the distribution transformer operations control record in the workshop Planta Maceo, in the province of Ciego de Avila during the year 2022. A methodology will also be used to determine the failure modes and the root cause of the failures in these distribution transformers, based on different analyses; which will allow perfecting the diagnosis of their technical condition to reduce the high failure rate of transformers and the increase of their useful life.
Keywords: Root cause analysis, technical condition, failure modes, distribution transformers.
Introducción
Poner fuera de servicio un transformador de distribución representa un serio problema para las empresas distribuidoras de energía eléctrica, ya que ello siempre trae consigo una interrupción del servicio más o menos prolongada en sectores con impacto social o económico. No obstante, el caso se vuelve más dramático cuando la interrupción de la operación del transformador es causada intempestivamente por una falla del equipo, pues a los inconvenientes arriba mencionados, tendríamos que añadir el costo de reparación o reposición del transformador, por lo que resulta de vital importancia el monitoreo del estado técnico de estos equipos en una red de distribución.
Los métodos de diagnóstico de transformadores están en constante desarrollo, y se basan normalmente en análisis de los indicadores químicos del aceite, utilizando, por ejemplo, el metanol (MeOH) y 2-furfural (2FAL) como indicadores del estado de envejecimiento del transformador [1, 2], otras investigaciones han estado dirigidas a la identificación y el análisis de pulsosde descargas parciales (DP), en las últimas dos décadas, se han desarrollado algunas herramientas de procesamiento basadas en el dominio del tiempo, dominio de frecuencia o dominios híbridos para detectar y analizar señales de DP, la transformada de Fourier, la transformada de Fourier de corto tiempo, la transformada de onda y la transformada de Gabor son algunos ejemplos de técnicas utilizadas [3]. Más recientemente se está utilizando en todo el mundo el Análisis de respuesta de frecuencia (FRA),la confiabilidad de este método se ha demostrado para diagnosticar la condición del transformador, especialmente las vibraciones mecánicas. La técnica de FRA se realiza comparando el resultado de respuesta en la condición inicial del transformador con su condición actual. La interpretación de la condición del transformador a partir de la respuesta se basa en sub-bandas de frecuencia. Cada sub-banda de frecuencia indica cualquier la vibración de cualquier parte del transformador y fallas eléctricas [4, 5, 6, 7, 8].
En [7, 9, 10, 11], se presenta un enfoque proactivo del diagnóstico a partir de la detección de fallas de cortocircuito en los bornes de entrada de trasformadores de fuerza basado en la corriente del neutro o en un modelo del tranformador. La modelación del transformador utilizando elementos finitos también ha sido utilizada con este fin [12]. Sin embargo, se ha observado que, debido al costo relativamente bajo de los transformadores de distribución (en comparación con los transformadores de potencia), las empresas de servicios públicos realizan muy pocos esfuerzos para averiguar la causa de las averías de los transformadores. A la falta de investigar la causa raíz, podría atribuirse a una de las razones por las que se producen más averías, inmediatamente o en un periodo muy corto, tras sustituir un transformador dañado [13, 14, 15]. En el caso de Cuba se han encontrado muy pocas referencias en la literatura sobre el tema del diagnóstico y la identificación de las causas de las fallas en los transformadores de distribución, en [16], se ofrece un análisis histórico de las fallas en los transformadores de distribución en Cuba, centrándose en su manifestación física, a partir de las inspecciones post-averías realizadas a los equipos en los talleres;el objetivo principal es proporcionar una herramienta útil para que los especialistas puedan detectar y analizar estas fallas de manera precisa.
En [17], se presenta una variante cubana-venezolana de método de diagnóstico para grandes transformadores, desarrollada a partir del estudio de las fallas más comunes e importantes a tener en cuenta en los mismos; este estudio desemboca en la matriz de fallas y en la obtención de los parámetros óptimos que rigen desde el punto de vista económico y de su efectividad, el comportamiento y la estructura del sistema de diagnóstico diseñado; el método requiere la medición de parámetros en cada transformador, por lo que puede aplicarse en transformadores de potencia ubicados en subestaciones, pero difícilmente puede aplicarse, en la práctica, a transformadores de distribución debido a su cantidad y ubicación descentralizada en una red de distribución. Un estudio realizado en la provincia de Holguín con la información estadística de las fallas en transformadores de distribución en el período 2009-2013 identifica los municipios con mayor cantidad de fallas en transformadores, las causas más frecuentes y los equipos con mayor nivel de averías por fabricante, sin embargo el estudio de los modos y efectos de falla, así como la aplicación del análisis causa raíz en transformadores de distribución no ha sido abordado anteriormente por ninguno de los referentes mencionados.
En el presente trabajo se propone una metodología para determinar los modos de falla y la causa raíz de las fallas en transformadores de distribución y la identificación de la causa dominante, el mismo está estructurado en tres secciones, en Materiales y métodos se muestran gráficamente y se analizan los resultados del procesamiento de la información estadística de los registros de falla de la Empresa Eléctrica de Ciego de Ávila, ordenados por municipio, fabricante, diagnóstico en el taller después de ocurrida la falla y causa de falla registrada por la Empresa Eléctrica; en la sección Resultados y discusión se describen los pasos para la implementación de la metodología propuesta y su aplicación basada en la información estadística procesada; por último se presentan la conclusiones.
Materiales y métodos
Adquisición y procesamiento de datos
Para la adquisición de los datos necesarios a emplear en el presente trabajo se realizaron diferentes gestiones y visitas a instituciones y empresas para satisfacer las necesidades exigidas en la metodología planteada. Se visitó el taller Planta Maceo de la provincia de Ciego de Ávila y se obtuvo el registro de control de operaciones de transformadores de distribución en el taller, documento que debe brindar una detallada información sobre la descripción de cada transformador recibido en la entidad y el diagnóstico del estado técnico de los mismos. También se visitó la Empresa Eléctrica de Ciego de Ávila en varias ocasiones para obtener otros datos de interés para el análisis y la investigación en cuestión
Procesamiento y análisis de los datos adquiridos
Con el registro de control de operaciones de transformadores de distribución y utilizando el diagrama de Pareto que no es más que una gráfica para organizar los datos de forma que estos queden en orden descendente de izquierda a derecha separados por barras, se representó la información procesada a partir de los datos adquiridos, lo cual permite asignar un orden de prioridades en la toma de decisiones. El diagrama facilita el estudio de las fallas, hay que tener en cuenta que tanto la distribución de los efectos como sus posibles causas no es un proceso lineal, sino que el 20 % de las causas totales hace que sean originados el 80 % de los efectos pronosticados.
Fueron realizados varios diagramas de Pareto atendiendo a diferentes puntos de vista, siendo los siguientes casos: se realizó por los municipios de la provincia de Ciego de Ávila, por el fabricante del transformador, por el diagnóstico de su estado técnico, por las causas de las fallas ocurridas, en el municipio Ciego de Ávila por los circuitos en que se encuentran ubicados dichos transformadores de distribución y por los meses del año. Las figuras 1 a), b), c), d), e) y f), muestran los resultados.
En la figura 1 a), se aprecia el diagrama realizado teniendo en cuenta los diferentes municipios de la provincia se puede observar que los municipios Ciego de Ávila, Ciro Redondo, Morón y Venezuela son los que causan el 79.2 % de los efectos por lo que serán de mayor atención desde el punto de vista del análisis, y hay que aclarar que en el municipio de Morón está incluida la zona de Cayo Coco.

Para el caso de la representación del diagrama de Pareto que se muestra en la figura 1 b), realizado teniendo en cuenta los diferentes modelos según fabricante de transformadores de distribución; dentro de la gran variedad de los mismos que están presentes, se hace notar que los transformadores del fabricante Latino tienen el 95.8 % de las fallas ocurridas ya que en los últimos tiempos todos los transformadores fallados se han sustituido por transformadores de estefabricante, en el caso de Toshiba y Magnetrón tienen la misma cantidad de ocurrencias con 3 al igual que Aichi y Hitachi con 2 y Rymel, Moloney y Prolec con 1. Para la conformación del diagrama de Pareto atendiendo al diagnóstico del estado técnico de los transformadores de distribución, se tuvo en cuenta la clasificación del diagnóstico que emite el taller de transformadores de la provincia de Ciego de Ávila, quedando definidos los siguientes estados técnicos:
C.C.E.E: Cortocircuito entre Espiras
O.K: Recuperados
S: Sobrecarga
C.C.E: Cortocircuito Externo
P.A: Problemas en el Aislamiento
F.C: Falso Contacto
C.C.S: Cortocircuito en el Secundario
C: Contaminación
C.C.A: Árboles
En la figura 1 c), se puede observar dicho diagrama y se muestra que el 85.6 % de los efectos está dado por los Cortocircuitos Externos, Sobrecargas, Recuperados y Cortocircuito entre Espiras. Para la realización del diagrama de Pareto desde el punto de vista de las causas de fallas de los transformadores de distribución que se muestra en la figura 1 d), se tomó como referencia la información obtenida en la empresa Eléctrica de Ciego de Ávila y sus definiciones. Luego de la observación detallada del diagrama de Pareto presentado en la figura 1 d), se hace notar que el 97.5 % de los efectos están representados por problemas internos; cortocircuitos externos y sobrecargas; en el caso de otras causas hay que aclarar que muchas fallas están en este acumulado debido al desconocimiento de las mismas, y no están reconocidas.
En el caso de la elaboración del diagrama de Pareto por los circuitos en que se encuentran ubicados dichos transformadores de distribución en el municipio Ciego de Ávila, se tuvieron en cuenta los nombres actuales de cada circuito; para esclarecer los que representan el 80% de los efectos, en la figura 1 e), se muestran los resultados del mismo. En el caso de la elaboración del diagrama de Pareto por los meses del año, se tuvo en cuenta el registro de control de operaciones de transformadores de distribución en el taller; en la figura 1 f), se ve el resultado del mismo y los meses que representan el 86.7 % de los efectos son mayo, agosto, enero, marzo, junio, y Julio; es necesario aclarar que como se muestra en la figura 1 f), en los meses de octubre, noviembre y diciembre los datos no están disponibles.
Resultados y discusión
Aplicación de metodología para el análisis de causa dominante
La aplicación de la metodología para determinar el origen de fallas en transformadores de distribución debe estar precedida de una evaluación de los estudios realizados, análisis en detalle de las instalaciones, y procesamiento de la información existentes en las bases de datos. El esquema metodológico para el análisis de fallas en transformadores a partir del procesamiento de la información se divide en las siguientes etapas:
El primer paso para el análisis de fallas en equipos, es la división de la instalación de estudio en sus bloques funcionales o partes constructivas. Dado que el estudio está centrado sobre el transformador, la figura 2, muestra la división del equipo en sus bloques funcionales.

A partir de los bloques funcionales con los que cuenta el transformador, los modos de falla fueron determinados por la no operación de estos elementos, mostrándose en la figura 3. Otro factor que produce la indisponibilidad del transformador, es la desinstalación del equipo por error de los técnicos en terreno. Para incluir estos casos se designó un modo de falla como mala manipulación, considerando que, aunque no cumple con la definición de modo de falla, si conlleva a la indisponibilidad del transformador.

Paso 3: Consiste en estimar la probabilidad de los modos de falla.
Con los modos de falla definidos, se debe determinar la probabilidad de estos, para lo cual se calcula la probabilidad de cada una de las causas raíz o suceso básico en el árbol de falla (cortocircuito, sobrecarga, sobretensión, etc.) de los modos de falla.
La probabilidad de cada suceso básico (Px) respecto al universo equivalente, se calcula a través de la ecuación (1):
(1)Donde:
XocuNúmero de ocurrencias del suceso básico.Neq_iNúmero equivalente proporcional a los transformadores instalados.Para calcular el equivalente proporcional a los transformadores actualmente instalados, se utiliza la ecuación (2):
(2)Donde:
TRANFiNúmero de transformadores instalados.TRANF f/añoNúmero de transformadores fallados por año.De acuerdo a los datos obtenidos las probabilidades de ocurrencia de las fallas se reflejan en la tabla 1.

El paso siguiente será calcular la probabilidad de ocurrencia de cada modo de falla, por medio de la aplicación del álgebra de Boole. A continuación, se muestra, a modo de ejemplo, el árbol de fallas correspondiente al modo de falla del tanque del transformador, los árboles de fallas fueros elaborados partir de la información obtenida de las referencias [18, 19, 20, 21].
Árbol de falla del tanque: Se identificaron cada una de las causas del modo de falla del tanque, como se muestra en la figura 4.

Los posibles eventos considerados son perforaciones debido a oxidaciones que presenta el tanque por la pérdida de pintura, que originan fugas de aceite o el abombamiento del tanque por el fallo de la válvula del mismo y por generación de gases debida a sobrepresiones, originadas por arcos eléctricos causados por deficiencias en los pararrayos o problemas de aterramiento, las descargas parciales, sobrecalentamiento y los que están asociados a otras causas.
El cálculo de la probabilidad de falla del tanque se realiza por medio de la ecuación (3):
(3)Donde:
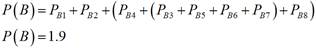
P(T)0.02P(T)Probabilidad de falla del tanque.PT1, PT2, PT3, PT4, PT5, PT6, PT7Probabilidad de falla de cada suceso básico del árbol de fallas del tanque.El subsistema de falla de los bushings considera tres ramas principales del origen de las posibles causas de las fallas, la primera originada por corto circuitos externos que originan la pérdida de conexión, la segunda corresponde a los eventos relacionados con otras causas y la tercera corto circuito debido a sobretensiones, que causa en algunos casos la fractura de aisladores; las fallas de aislamiento interno dadas por las sobretensiones que debido a las deficiencias en los pararrayos y el sistema de aterramiento produce arcos eléctricos, los puntos calientes provocados por sobrecargas, el sobrecalentamiento del transformador, y las descargas parciales que aparecen por la mala manipulación; y la contaminación, que provoca la falla del aislamiento externo. El cálculo de la tasa de falla de los bushings se realiza por medio de la ecuación (4):
(4)Donde:
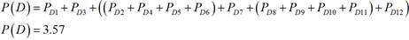
P(B)Probabilidad de falla de los bushings.PB1, PB2, PB3, PB4, PB5, PB6, PB7, PB8Probabilidad de falla de cada suceso básico del árbol de fallas de los bushings.La falla de los devanados es principalmente causada por la pérdida del aislamiento sólido o deterioro del aceite aislante, causados por arcos eléctricos, sobrecalentamiento, humedad y descargas parciales. La falla de aislamiento facilita la falla del devanado por causas externas como sobretensiones, sobrecorrientes, sobrecarga, etc. Por medio del álgebra de Boole se obtiene la ecuación (5), para el cálculo de la probabilidad de falla:
(5)Donde:
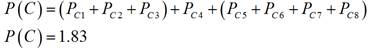
P(D)Probabilidad de falla de los devanados.PD1, PD2, PD3, PD4, PD5, PD6, PD7, PD8, PD9, PD10, PD11, PD12Probabilidad de falla de cada suceso básico del árbol de fallas de los devanados.La pérdida de rigidez dieléctrica es debido a causas que originan gases como son los arcos eléctricos ocasionados por las deficiencias en el sistema de aterramiento y dificultades en los pararrayos; la oxidación del aislante, sobrecalentamiento y descargas parciales por mala manipulación y humedad debido al deterioro de empaques; también influyen los elementos relacionados con otras causas. La ecuación (6), identifica el cálculo que debe ser realizado para la probabilidad de falla.
(6)Donde:
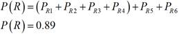
P(R)Probabilidad de falla de aislamiento.PR1, PR2, PR3, PR4, PR5, PR6Probabilidad de falla de cada suceso básico del árbol de fallas del aislamiento.Los eventos de falla del cambia tap están relacionados con las causas de origen en el lado de alta tensión: sobretensiones, sobrecorrientes en combinación con los efectos originados por la falla del aislamiento interno y los elementos asociados a otras cusas. La ecuación (7), identifica el cálculo que debe ser realizado para la probabilidad de falla.
(7)Donde:
P(C)Probabilidad de falla del cambia tap.PC1, PC2, PC3, PC4, PC5, PC6, PC7, PC8Probabilidad de falla de cada suceso básico del árbol de fallas del cambia tap.Las causas del modo de falla que pueden presentarse en el núcleo del transformador son perforación, oxidación, desajuste o pérdida de la sujeción por tornillos y prensas, así como por otras causas, estos tienen sus orígenes en las sobretensiones, sobrecargas, empaques deteriorados y cortocircuitos.
La ecuación (8), permite el cálculo de la probabilidad de este modo de falla.
(8)Donde:
P(N)Probabilidad de falla del núcleo.PN1, PN2, PN3, PN4, PN5, PN6, PN7, PN8, PN9Probabilidad de falla de cada suceso básico del árbol de fallas del núcleo.Diagrama de Ishikawa para las fallas de un transformador de distribución
En la figura 5, se presenta el diagrama de Ishikawa o diagrama de causa y efecto de las fallas en los transformadores de distribución en la provincia Ciego de Ávila; basado en los modos de fallas determinados y en las causas raíces o sucesos básicos que provocan la indisponibilidad del transformador de distribución debido a las fallas que se presentan en el mismo se establecieron las interrelaciones entre un efecto y sus posibles causas para la conformación de este diagrama donde se muestran con mayor claridad las causas y subcausas de cada modo de falla que conllevan a una falla en el transformador de distribución.

Conclusiones
Existen problemas de carencia de datos y falta de especificaciones en la base de datos de transformadores fallados en la Empresa Eléctrica de Ciego de Ávila y en el registro de control de operaciones de transformadores de distribución del taller de transformadores Planta Maceo de la provincia. En muchos casos no hay coincidencias entre las causas de falla de los transformadores que se registran en la Empresa Eléctrica y el diagnóstico del estado técnico que se emite en el taller, no se profundiza en la investigación de la causa raíz de cada uno de estos eventos de fallas.
La metodología propuesta para el análisis de la causa dominante en las fallas de los transformadores de distribución permite identificar las cusas raíces dominantes en cada uno de los modos de fallas graves del transformador de distribución, brindando información fundamental para la toma de decisiones relacionada con la operación, el mantenimiento y la reaparación de los transformadores a las empresas de distribución de energía eléctrica.
Fueron determinados los modos de fallas y la causa raíz o suceso básico de las fallas en los transformadores de distribución de la provincia de Ciego de Ávila y se identificaron las causas de fallas de mayor incidencia durante el año 2022, estableciendo que las más frecuentes fueron las debidas a problemas externos al transformador.
Referencias
Jalbert, Jocelyn; et al. "Methanol Marker for the Detection of Insulating Paper Degradation in Transformer Insulating Oil". Energies [online]. 2019, vol. 12, n. 20. ISSN 1996-1073. Disponible en: https://www.mdpi.com/1996-1073/12/20/3969
Couyade, J. M.; et al. "Accelerated ageing test facility for MV/LV distribution transformers: results and discussion". In: CIRED 2021 - The 26th International Conference and Exhibition on Electricity Distribution: CIRED 2021 - The 26th International Conference and Exhibition on Electricity Distribution [online]. 2021. ISBN 978-1-83953-591-8. Disponible en: https://ieeexplore.ieee.org/document/9692605
Yan, Y.; et al. "An Automatic Tool for Partial Discharge De-Noising via Short-Time Fourier Transform and Matrix Factorization". IEEE Transactions on Instrumentation and Measurement [online]. 2022, vol. 71, p. 1-12. ISSN 1557-9662. Disponible en: https://ieeexplore.ieee.org/document/9927494
Youssef, M. M.; et al. "An Overview on Condition Monitoring & Health Assessment Techniques for Distribution Transformers". In: 2022 6th International Conference on Green Energy and Applications (ICGEA): [online]. 2022, s. 187-192. ISBN 978-1-6654-2052-5. Disponible en: https://ieeexplore.ieee.org/document/9791900
Sangineni, R.; et al. "A Non-Intrusive and Non-Destructive Technique for Condition Assessment of Transformer Liquid Insulation". IEEE Transactions on Dielectrics and Electrical Insulation [online]. 2022, vol. 29, n. 2, p. 693-700. ISSN 1558-4135. Disponible en: https://ieeexplore.ieee.org/document/9730864
Li, S.; et al. "Research on Extraction Method of On-line Detection Signal of Transformer Winding Deformation Based on Frequency Response Method". In: 2019 14th IEEE Conference on Industrial Electronics and Applications (ICIEA): [online]. 2019, s. 2193-2197. ISBN 2158-2297. Disponible en: https://ieeexplore.ieee.org/document/8833719
Sha, Y.; et al. "Research on On-line Detection Technology of Transformer Winding Deformation". In: 2021 IEEE Electrical Insulation Conference (EIC) [online]. 2021, vol. 21, n. 21, p. 112-115. ISBN 2576-6791. Disponible en: https://www.ncbi.nlm.nih.gov/pmc/articles/PMC8587817/
Thango Bonginkosi, A.; et al. "A Novel Approach to Assess Power Transformer Winding Conditions Using Regression Analysis and Frequency Response Measurements". Energies [online]. 2022, vol. 15, n. 7. ISSN 1996-1073. Disponible en: https://www.mdpi.com/1996-1073/15/7/2335
Ashok, K.; et al. "Online Detection of Inter-Turn Winding Faults in Single-Phase Distribution Transformers Using Smart Meter Data". IEEE Transactions on Smart Grid [online]. 2021, vol. 12, n .6, p. 5073-5083. ISSN 1949-3061. Disponible en: https://ieeexplore.ieee.org/document/9509340
Ehsanifar, Ali; et al. "Transformer inter-turn winding fault detection based on no-load active power loss and reactive power". International Journal of Electrical Power & Energy Systems [online]. 2021, vol. 130, e107034. ISSN 0142-0615. Disponible en: https://www.sciencedirect.com/science/article/abs/pii/S0142061521002738
Leal, G.; et al. "Comparison of Online Techniques for the Detection of Inter-Turn Short-Circuits in Transformers". In: 2021 XIX Workshop on Information Processing and Control (RPIC): [online]. 2021, p. 1-6. Disponible en: https://ieeexplore.ieee.org/document/9648509
Subramaniam, Aravinth; et al. "Online condition monitoring and diagnosis techniques for dry type transformers incipient fault analysis through finite element modelling". In: 2016 IEEE Transportation Electrification Conference and Expo, Asia-Pacific (ITEC Asia-Pacific): [online]. 2016, p. 24-28. Disponible en: https://ieeexplore.ieee.org/abstract/document/7512916
Arumugam, Saravanakumar. "Failure Diagnosis and Root-Cause Analysis of In-Service and Defective Distribution Transformers". Energies [online]. 2021, vol. 14, n. 16, e4997. ISSN 1996-1073. Disponible en: https://www.mdpi.com/1996-1073/14/16/4997
Arabul, Ahmet Yigit; et al. "Experimental investigation on creep characteristic of the spacer between winding turns of power transformers". Transactions of the Institute of Measurement and Control. 2021, vol. 43, n. 5, p. 1019-1027. ISSN 0142-3312. Disponible en: https://journals.sagepub.com/doi/abs/10.1177/0142331219884459?journalCode=tima
Ali Reza, Abbasi. "Fault detection and diagnosis in power transformers: a comprehensive review and classification of publications and methods". Electric Power Systems Research [online]. 2022, vol. 209, e107990. ISSN 0378-7796. Disponible en: https://www.sciencedirect.com/science/article/abs/pii/S0378779622002176
Dora Terrero, Janer; Hernández Areu, Orestes. "Un análisis sobre las fallas de transformadores de distribución en cuba". Ingeniería Energética. 2002, vol. 23, n. 2, p. 10-15. ISSN 1815-5901. Disponible en: https://rie.cujae.edu.cu/index.php/RIE/article/view/226/224
Pérez Barrios, Rómulo José; et al. "Métodos modernos de diagnóstico para grandes transformadores en tiempo real".Ingeniería Energética . 2002, vol. 23, n. 1, p. 38-46. ISSN 1815-5901. Disponible en: https://rie.cujae.edu.cu/index.php/RIE/article/view/245
Jing, Li; et al. "Modified failure mode and effects analysis under uncertainty: A rough cloud theory-based approach". Applied Soft Computing. 2019, vol. 78, p. 195-208. ISSN 1568-4946. Disponible en: https://www.sciencedirect.com/science/article/abs/pii/S1568494619300936
Jaspreet, Singh, et al. "Distribution transformer failure modes, effects and criticality analysis (FMECA)". Engineering Failure Analysis [online]. 2019, vol. 99, p. 180-191. ISSN 1350-6307. Disponible en: https://www.sciencedirect.com/science/article/abs/pii/S1350630717308750
Arush, Singh; et al. "An Innovative Fuzzy Modeling Technique For Transformer’s Failure Modes And Effects Analysis". In: 2020 International Conference on Electrical and Electronics Engineering (ICE3). B.m.: IEEE, 2020, p. 240-245. ISBN 1-72815-846-X. Disponible en: https://ieeexplore.ieee.org/abstract/document/9122822
Bin, Zhou; et al. "Risk priority evaluation of power transformer parts based on hybrid FMEA framework under hesitant fuzzy environment". Facta Universitatis, Series: Mechanical Engineering. 2022, vol. 20, n. 2, p. 399-420. ISSN 2335-0164. Disponible en: http://casopisi.junis.ni.ac.rs/index.php/FUMechEng/article/view/10540
Notas de autor
* Autor de correspondencia: jose.montejo@reduc.edu.cu
Declaración de intereses