Resumen: Se evaluaron los parámetros físico-químicos y microbiológicos de un proceso de estabilización de heces humanas provenientes del uso de “baños secos” de Pamplona Alta (Lima- Perú) durante los meses de agosto y setiembre del 2015 (Mindreau, 2016). Se estudiaron veinticinco tratamientos por triplicado siguiendo un protocolo ya aplicado en otros tipos de residuos (excretas de vacunos, equinos, etc.) mediante la inoculación de bacterias ácido lácticas (BAL) de una solución denominada “Biolac” y activada con melaza como fuente energética. Se seleccionó el tratamiento T9 (2.5% de “Biolac”, 10% de melaza) por ser el más eficiente, viable y seguro biológicamente, con estabilidad físico-química, y de mejor rendimiento y ahorro en insumos. Por su efecto acelerado (tres días) se recomienda introducirlo al mercado de saneamiento sostenible.
Palabras clave:Bacterias ácido lácticas (BAL)Bacterias ácido lácticas (BAL),“baño seco”“baño seco”,“Biolac”“Biolac”,“estabilización”“estabilización”,heces humanasheces humanas,saneamiento sosteniblesaneamiento sostenible.
Abstract: The physico-chemical and microbiological parameters of a process for the stabilization of human feces from “dry toilets” used in Pamplona Alta (Lima-Perú) were evaluated during the months of August and September of 2015 (Mindreau, 2016). Twenty five different treatments were studied by triplicated and following a protocol applied in former studies for other type of excretes (feces from bovines, equines, etc.) by the inoculation of lactic acid bacteria (LAB) from a solution called “Biolac” and activated with molasses as source. The T9 treatment (2.5% of “Biolac”, 10% of molasses) was selected because it was the most efficient, viable and biologically safe treatment, with physico-chemical stability and best performance and saving in supplies. Due to its accelerated effect (three days) it was recommended to be introduced to the sustainable sanitation market.
Keywords: Lactic acid bacteria (LAB), dry toilets, BIOLAC, stabilization, human faeces, sustainable sanitation.
Artículos originales
ESTABILIZACIÓN DE HECES HUMANAS PROVENIENTES DE BAÑOS SECOS POR UN PROCESO DE FERMENTACIÓN ÁCIDO LÁCTICA
STABILIZATION OF HUMAN FECES FROM DRY TOILETS BY A LACTIC ACID FERMENTATION PROCESS

Recepción: 17/06/2016
Aprobación: 14/11/2016
En la periferia de la ciudad de Lima dos millones de personas sobreviven sin acceso a un inodoro. X-Runner (ASOCIACION SANISOL) es una empresa que instala “baños secos” a familias sin acceso al alcantarillado y ofrece el servicio de recolección de residuos. Ha diseñado “baños secos”, a nivel doméstico y de uso portátil, que no necesitan alcantarillado, y para evitar que miles de familias depositen los desechos cerca de sus casas, incluyen un servicio de recolección semanal; los desechos después son utilizados para la elaboración de compost o abono orgánico. Realizar el proceso total de higienización y compostaje les demora alrededor de unos seis meses.
El presente estudio se enfocó en la disposición final de las heces recolectadas por la empresa y planteó una nueva ruta para el tratamiento de estos residuos mediante una estabilización acelerada de las heces por medio de la fermentación ácido láctica que se viene estudiando como un método alternativo y/o complementario al compostaje que aprovecha además de otros tipos de microorganismos (Chandna et al., 2013; Hassen et al., 2001; Hayat et al., 2013).
Los tratamientos se ensayaron en el Laboratorio de Fisiología Animal y Bioremediación “Luis Basto Acosta” de la Universidad Nacional Agraria La Molina (UNALM) donde se inoculó un insumo bacteriano denominado “Biolac”, enriquecido con melaza como suplemento energético, el cual resultó efectivo gracias a su contenido de Lactobacillus sp. entre otras cepas presentes en el consorcio microbiano. Este sistema podría ser una alternativa más eficiente al proceso de compostaje que viene manejando la empresa y que les demora alrededor de seis meses para poder obtener un producto tratado.
Una vez por semana y durante cinco semanas consecutivas se recogieron muestras de heces procedentes de los baños secos instalados por la empresa X-Runner en el asentamiento humano Pamplona Alta (Lima-Perú) como parte de su servicio y acopiadas en un depósito ubicado en el distrito aledaño de Villa El Salvador (Lima-Perú) donde son deshidratadas mezclándolas con viruta de madera y tratadas por medio del compostaje.
Se hizo un ensayo previo en el que se trabajó en la dilución (masa:volumen) de 5:1 (5 de heces mezcladas con viruta por 1 de agua destilada) y durante los días posteriores de análisis se revisó la consistencia. Las heces diluidas con agua destilada se denominaron “heces pre-tratadas” (HP).
En la Figura 1 se muestra el flujograma del pre tratamiento de las HP y su posterior tratamiento con fermentación ácido láctica.
A modo de biorreactores se usaron jarras de 4 litros de capacidad, teniendo cada una un volumen de trabajo de 3 litros. Por seguridad, se dejó 1 litro libre para dar espacio a los gases generados en la degradación celular para la formación de biomasa durante el inicio del bio- proceso.
Las variantes del tratamiento tuvieron diferentes proporciones de heces pre-tratadas (HP), así como de melaza y “Biolac” agregados cada uno según concentraciones de 2.5%, 5%, 10% y 15% como se indica en la Tabla 1 y con ello poder evaluar la viabilidad del inóculo bacteriano (“Biolac”) según el porcentaje de concentración de sustrato (HP y melaza) para cada una de las veinticinco variantes.
Según un cronograma se trabajaron de manera consecutiva cinco variantes del tratamiento con tres repeticiones por cada semana hasta completar las veinticinco variantes planteadas, monitoreando a temperatura de ambiente (20°C) cada uno de los cinco días del proceso la variación del pH con un pH-metro y la variación del porcentaje de ácido láctico por medio de valoración ácido-base titulando NaOH 0.1 N. hasta obtener el cambio de color con indicador fenolftaleína al 1%. La temperatura se mantuvo estable a lo largo de todo el desarrollo experimental.
Para obtener los valores del porcentaje de ácido láctico titulable se usó la siguiente ecuación (Peralta, 2010):
Ecuación (1)GB: Gasto de bureta en mL de NaOH hasta darse el cambio de color (punto de viraje).
N: Normalidad del NaOH (0.1 meq-g/ mL).
FC: Factor de conversión del ácido láctico (0.09 g/ meq-g).
m: Peso de la alícuota.
De las veinticinco variantes del tratamiento se eligió la de mejor comportamiento para los fines del estudio considerando tanto la tasa de caída de pH (mayor y más rápida); como la tasa de aumento de porcentaje de ácido láctico (mayor y más rápida); una mejor apreciación organoléptica (disminución de olores desagradables y/o generación de aroma aceptable, mejor consistencia, color tinto); un menor consumo de insumos (Inóculo: “Biolac”; Sustrato: melaza); y un mejor rendimiento (un mayor porcentaje de heces estabilizadas por dosis y con menor consumo de insumos), con miras a alcanzar un tratamiento que sea viable a mayor escala.
El diseño estadístico empleado para comparar los datos de pH de las variantes del tratamiento según las dosis de Biolac y melaza en la elaboración y selección del fertilizante orgánico fue un Análisis de Varianza (p< 0.05) para un Diseño Completo al Azar (DCA) en arreglo factorial de 5x5 con tres repeticiones. Para determinar diferencias significativas entre los tratamientos, se aplicó la prueba de la agrupación de Tukey y la de Mínimos Cuadrados para las Medias. Para realizar estos análisis estadísticos se utilizó el Statistical Analysis Software (SAS) versión 8.2.

Se colectaron muestras para los análisis microbiológicos los cuáles fueron realizados por el Laboratorio de Ecología Microbiana y Biotecnología “Marino Tabusso” de la Universidad Nacional Agraria La Molina (UNALM).
La estabilidad respecto al pH del producto elaborado con la variante del tratamiento seleccionado se dio en un tiempo de treinta días, mediante una evaluación final de pH en el día 30.

Las condiciones iniciales de la muestra proveniente de heces frescas pre tratadas fueron de un pH entre 7.0 a 7.3 y de un porcentaje de acidez titulable de 0.1%
El pH inicial se encuentra dentro del rango promedio según Rose et al., 2015. Lo que se buscó con el pre-tratamiento fue diluir las excretas para favorecer las condiciones para que se dé la fermentación ácido láctica, mejorando la homogenización de la mezcla y el fraccionamiento de las excretas para aumentar la relación área/superficie de contacto con las bacterias favoreciendo así el rendimiento del bio-proceso, como ya ha sido estudiado para Lactobacillus(Millsap et al., 1997; Vadillo-Rodríguez et al, 2004).
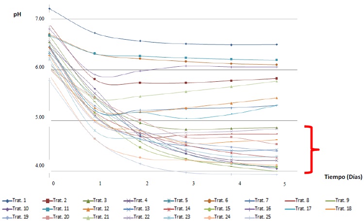
Se determinó que los valores de pH para las veinticinco variantes del tratamiento se encuentran en el rango de pH entre 5.0 - 7.0 al inicio de la fermentación. Las variantes-control de melaza al 0% (T1, T6, T11, T16 y T21), así como los controles de “Biolac” al 0% (T2, T3, T4 y T5), dieron valores mayores a 6.0. Se procedió a la evaluación del pH desde el día 0 hasta el día 5. Las variantes resaltadas T1, T6, T11, T16 y T21 mostraron valores de pH cercanos a los iniciales, así como características organolépticas de olores a putrefacción, con presencia de burbujas en la superficie de las muestras. Según García (2008) esto se debe a que las condiciones iniciales de pH mayores a 5.0 y la temperatura de incubación de 40°C favorecen el desarrollo de la flora bacteriana que normalmente es inhibida por las bacterias ácidos lácticos (presentes en el “Biolac”. Sin embargo, la ausencia de la fuente carbonada fácilmente fermentable (melaza) hizo que se dieran condiciones no deseadas. Dichos tratamientos fueron descartados.
Los valores de pH en las variantes T2, T3, T7, T8, T12, T13, T17, T18, T22 y T23 resultaron ser mayores o cercanos a 4.5 no cumpliendo con uno de los requisitos necesarios para su selección. Además se observó la presencia de burbujas en la cubierta de plástico y espacios libres hacia el interior de las muestras como resultado de los gases generados. Estos tratamientos tampoco fueron seleccionados y se descartaron. Según Madigan et al. (2004) la producción de burbujas de anhídrido carbónico es indicadora de microorganismos heterofermentadores. Al parecer el porcentaje de 2.5% y 5% de la fuente carbonada melaza no fue el suficiente para permitir el dominio de las bacterias de fermentación homoláctica provenientes del “Biolac”, evidenciando una reducida presencia de microorganismos ácido lácticos.
Según Boucourt et al. (2006) durante el proceso fermentativo, las relaciones ecológicas que se implantan posibilitan que unos microorganismos ácido lácticos surjan como dominantes numéricos y otros disminuyan en su número o desaparezcan. Así mismo, este proceso de ajuste ecológico en las fermentaciones mixtas puede ser consecuencia de la competencia por los nutrientes y de la producción de sustancias antimicrobianas, como los ácidos orgánicos, bacteriocinas y peróxido de hidrógeno (Boucourt et al., 2006). Según García (2008) es necesario un período de incubación de 48 horas para que se pueda producir un crecimiento adecuado de las bacterias ácido láctico y el consiguiente descenso del pH hasta un valor cercano a 4.0. Fue después de 48 horas del inicio del proceso de fermentación cuando se notó un descenso pronunciado del pH, siendo además observada una estabilidad en la tendencia de este parámetro.
En la Figura 2 se muestran las distintas variantes del tratamiento en las que se puede diferenciar dos grandes grupos, las que están por encima de pH 5.0 y las que están por debajo del mismo (indicadas por la corchea por ser las de mayor interés), las cuales se comienzan a diferenciar a partir del día 2 del tratamiento (T25, T9, T10, T24, T5, T15, T14, T23, T19).
En la figura 3 se muestra la variación promedio del porcentaje de acidez titulable del ácido láctico para las veinticinco variantes del tratamiento durante los cinco días del proceso de fermentación. La corchea indica las variantes más interesantes en su aumento del porcentaje de ácido láctico (T14, T5, T10, T13, T15, T4, T25, T9, T19).
Se observa un notorio aumento del % de ácido láctico en todas las variantes del tratamiento en el día 2, el cual vuelve a ascender en el día 4 en T1, T5, T9, T10, T13, T14, T19, T20, T22, lo cual podría deberse al ajuste ecológico en el sistema (Boucourt et al., 2006). El parámetro del porcentaje del ácido láctico titulable genera los cambios de pH hacia la acidez, originando condiciones de antagonismo que no permiten el desarrollo de bacterias putrefactivas y patógenas. La permeabilidad de la membrana externa de las bacterias Gram-negativas es incrementada cuando las células son expuestas a sustancias ácidas como el ácido láctico, sufriendo daño de esta manera. (Alakomi et al., 2000). Con este parámetro evaluado se indica la cantidad de ácido producido por las bacterias lácticas durante la fermentación en las variantes seleccionadas. La variante T14 muestra el mayor contenido de ácido láctico, sin embargo no presenta el menor pH comparado con los demás tratamientos. Esto podría deberse como indica Garcés et al. (2004) a que además de la presencia de ácido láctico halla una menor cantidad de otros ácidos, como ácido acético, en una fermentación láctica, y sea por eso que en las variantes

con valores menores de pH pueda haber presencia de ácido acético que influya en generar un pH menor. Así mismo, Martínez et al. (2008) indican que el patrón de fermentación observado en el estiércol a un pH de 4.2, muestra la presencia de los siguientes ácidos: Grasos, acético, propiónico, butírico, y el ácido láctico en una mayor proporción, siguiéndole el ácido acético. Por ello, también estos otros ácidos puedan promover la caída del pH.
En la Figura 4 se demuestra que no existen diferencias significativas en cuanto al grado de interacción de los factores melaza (M0, M2.5, M5, M10 y M15, según su porcentaje de melaza) y “Biolac” (B0, B2.5, B5, B10 y B15, según su porcentaje de “Biolac”) sobre el parámetro pH al quinto día de evaluación y término del proceso de fermentación. Esto se puede observar en las rectas paralelas para las concentraciones de 0% y 2.5% de “Biolac” para las distintas concentraciones del factor melaza, lo que indica que no hubo interacción y también se pueden apreciar las rectas paralelas continuas en las concentraciones del factor melaza 0% 2.5%, 5% y 10% para todas las concentraciones del factor “Biolac”. Para el caso de las concentraciones del factor “Biolac” en el intervalo entre 5% y 15% se observa que existe diferencia significativa para el factor melaza en las concentraciones de 10% y 15%.
Se seleccionó la variante T9 ya que poseía la mejor tasa de descenso de pH y su valor se mantenía constante y estable a partir del segundo día. Así mismo, poseía una tasa de aumento de % de ácido láctico titulable importante siendo constante en esa tendencia desde el tercer día. Los olores fueron ácidos a partir del tercer día y se vio que presentó buena consistencia. Por el lado económico planteó ser muy favorable porque se destacó de otros tratamientos de resultados similarmente interesantes pero más caros por tener un mayor consumo en el uso de insumos (T10, T14, T15, T25) y un menor rendimiento al estabilizar un menor porcentaje de excreta.
Las variantes T24 y T25 tuvieron una buena respuesta en la estabilidad y tasa de caída del pH aunque su % de acidez titulable bajó en el día 5. Así mismo, las variantes T14 y T15 presentaron una mejor respuesta en la estabilidad y tasa de aumento del % de acidez titulable. La variante T9, por otro lado, presentó un perfil más interesante porque además de estar en el rango más aceptable de pH y % de acidez, presentó un mejor potencial en la optimización de recursos (utiliza sólo 2.5% de “Biolac” y 10% de melaza) y de rendimiento (estabiliza un 87.5% de HP) en caso sea llevado a una escala comercial, por lo que implique un importante ahorro en los costos.
En la Tabla 2 se muestran los resultados del análisis microbiológico del blanco (excreta fresca) en el día 0 para verificar la presencia de microorganismos

patógenos y se muestran los resultados del análisis microbiológico del producto estabilizado T9 para verificar la reducción de microorganismos patógenos en el día 5 del proceso. Se realizaron ensayos por triplicado del estabilizado T9 (información no disponible) para obtener así un promedio de la presencia de coliformes (Totales, fecales y E. coli) y se verificó según estos resultados que al ir avanzando con el aislamiento fue E. coli, la principal cepa presente como contaminante y la más resistente.
Se comprueba así mismo una reducción de patógenos del 99.9% lo cual confirma un efecto de estabilización en la excreta y lo acerca a cumplir el Decreto Supremo N.° 003-2010-MINAM para coliformes termotolerantes de efluentes provenientes de PTAR domésticas o municipales (NMP/100 mL: 104). Así mismo, cumple con los estándares DS Nº 002-2008- MINAM para parásitos de agua (información no disponible).
Así mismo, se verifica el aumento en el día 5 de Lactobacillus por el “Biolac” inoculado.
La estabilidad del producto T9 se dio en base al monitoreo del pH, así como del
% de ácido láctico titulable en la muestra. Según las mediciones de pH que se realizaron en el lapso de los 30 días de haber inoculado la muestra con 2.5% de “Biolac” y 10% de melaza, el pH se mantuvo estable con un valor de 4.05 hasta el día 20, luego del cual descendió incluso hasta dar un valor de pH 3.85 en el día 30 de evaluación.


Las heces humanas pueden ser estabilizadas e inhibidas de patógenos por medio de la fermentación ácido láctica gracias a la inoculación de “Biolac” con melaza en proporciones adecuadas.
Mediante el pre-tratamiento diluyendo las heces con agua en la proporción peso:volumen de 5:1 (5 de excreta por 1 de agua) y por medio del tratamiento ácido es posible obtener un producto estabilizado líquido por lo menos desde el tercer día de fermentación, teniendo un pH ácido y estable por un período de 30 días, parámetro que garantiza se mantenga estabilizado el sistema.
El tratamiento T9 cuya composición es de 2.5% de Biolac, 10% de melaza y 87.5% de heces pre-tratadas, resultó ser la mejor combinación, ya que presentó un descenso notorio de pH a 4.0 desde el día 2 y se mantuvo estable por un período de 30 días.
Se determinó que el parámetro más interesante del pH para los fines del estudio fue entre 4.0-4.5. Estos valores fueron evidentes con el descenso abrupto del pH al segundo día de ser inoculadas las muestras.
El porcentaje de ácido láctico titulable determinado en el estabilizado T9 tuvo una variación de 0.3% del día 0 hasta 2.7 % en el día 5, el cual sobresalió de entre la mayoría de los tratamientos ensayados.
Según los análisis microbiológicos y parasitológicos el producto de la variante T9 tuvo una reducción de coliformes totales, fecales y E. coli en un 99.9%, disminuyendo su alto riesgo para la salud y pudiendo ser considerada para su vertido en suelos como enmienda agrícola y para la recuperación de áreas verdes (Mindreau et al., 2016).
Agradecemos a la ASOCIACIÓN SANISOL por autorizar el trabajo dentro de su empresa, compartir el conocimiento de sus operaciones en su gestión y proceso de saneamiento, así como por permitir recoger muestras de sus instalaciones para los tratamientos y análisis que se llevaron a cabo y a todos sus colaboradores del área de acopio de residuos por su apoyo y buena fe para el proyecto.
Al técnico Eberth Vicente Armas y a los asistentes de investigación del Laboratorio de Fisiología Animal y Bioremediación “Luis Basto Acosta” de la UNALM por el apoyo en el trabajo de laboratorio.
Agradecemos también al Mg. Sc. Guillermo Aguirre Yato y al Biólogo Roberto Ramos por sus sugerencias y críticas al borrador de este trabajo en su versión de tesis de grado.





