Artigos

Recepción: 15 Mayo 2024
Aprobación: 07 Septiembre 2025
Publicación: 31 Diciembre 2025
Resumo:
Objetivo da pesquisa: O objetivo deste artigo é analisar o processo de implementação das Compras Públicas Sustentáveis (CPS) por parte de Instituições Federais de Ensino Superior (IFES) localizadas na região Sul do Brasil, após a promulgação da Lei n. 14.133/2021.
Enquadramento teórico: modelos de implementação de CPS e referencial norteador para elaboração de critérios de sustentabilidade.
Metodologia: Trata-se de estudo multicasos, mediante aplicação de questionário (survey) a gestores de compras de 17 (dezessete) IFES, complementado com pesquisa documental, em que se realizou a análise de editais de licitações.
Resultados: A implementação das CPS ainda é incipiente, apenas sete IFES implementaram algumas práticas em mais de 75% de suas compras. Em geral, não se observou a existência de planos estratégicos, mas sim a ocorrência de ações pontuais e tentativas de adequação às demandas normativas, motivadas pelas alterações legais. A inserção dos critérios sustentáveis foi explorada de maneira tímida nos editais analisados, em que há maior incidência de critérios da dimensão ambiental. Não foi constatada inovação nas práticas de CPS em seus editais.
Palavras-chave: Licitações sustentáveis, Critérios de sustentabilidade, Gestão ambiental.
Abstract:
Research objective: The objective of this article is to analyze the implementation process of Sustainable Public Procurement (SPP) by Federal Higher Education Institutions (Fhei) located in the Southern region of Brazil, after the promulgation of Law no. 14133/2021.
Theoretical framework: SPP implementation models and guiding framework for developing sustainability criteria.
Methodology: This is a multi-case study, using a survey with the purchasing managers of the seventeen Fhei, complemented with documentary research, in which the analysis of bidding notices was carried out.
Results: The implementation of SPP is still incipient, only seven Fhei have implemented some practices in more than 75% of their purchases. In general, the existence of strategic plans was not observed, but rather the occurrence of specific actions and attempts to adapt to regulatory demands, motivated by legal changes. The inclusion of sustainable criteria was explored timidly in the notices analyzed, with a greater incidence of criteria from the environmental dimension. No innovation was found in SPP practices in their notices.
Keywords: Sustainable Tenders, Sustainability criteria, Environmental management.
Resumen:
Objetivo de la investigación: El objetivo de este artículo es analizar el proceso de implementación de Compras Públicas Sostenibles (CPS) en Instituciones Federales de Educación Superior (IFES) ubicadas en la región Sur de Brasil, después de la promulgación de la Ley n. 14.133/2021.
Marco teórico: modelos de implementación de CPS y marco rector para el desarrollo de criterios de sostenibilidad.
Metodología: Se trata de un estudio multicaso, mediante la realización de un cuestionario (encuesta) a los responsables de compras de 17 (diecisiete) IFES, complementado con una investigación documental, en la que se llevó a cabo el análisis de los avisos de licitación.
Resultados: La implementación de CPS es aún incipiente, solamente siete IFES han implementado alguna práctica en más del 75% de sus compras. En general, no se observó la existencia de planes estratégicos, sino la ocurrencia de acciones específicas e intentos de adaptación a exigencias regulatorias, motivados por cambios legales. La inclusión de criterios sostenibles se explora tímidamente en las convocatorias analizadas, con mayor incidencia de criterios provenientes de la dimensión ambiental. No se encontró ninguna innovación en las prácticas de CPS en sus avisos.
Originalidad: Las principales innovaciones se refieren a la realización de un estudio multicaso, reuniendo a un conjunto importante de IFES de Brasil; y el desarrollo de un instrumento de recolección de datos que abarque las principales normativas y referentes de CPS en el país.
Aportes teóricos y prácticos: Contribuir para la actualización de cómo los organismos públicos están adoptando los principios y objetivos sustentables de la Nueva Ley de Licitaciones, abriendo espacio para mejorar la política de adquisiciones públicas en Brasil.
Palabras clave: Licitaciones sostenibles, Criterios de sostenibilidad, Gestión ambiental..
INTRODUÇÃO
As Compras Públicas Sustentáveis (CPS) – também conhecidas como licitação sustentável, eco aquisições, compras públicas verdes e/ou compras ambientais amigáveis – referem-se ao procedimento administrativo formal que contribui para o desenvolvimento sustentável, mediante a inserção de critérios ambientais, econômicos e sociais nas aquisições de bens, contratações de serviços e execução de obras pelo setor público (Trindade, Antunes, & Partidário, 2017; Paes, Zucoloto, Rosa, & Costa, 2019). As CPS são consideradas como um importante instrumento econômico de política ambiental, tendo em vista o papel indutor que o Estado exerce sobre a inovação e diversificação em bens e serviços sustentáveis, a partir de sua elevada demanda de bens e serviços (Moura, 2016; Biermann, Kanie, & Kim, 2017).
Segundo a Organização para a Cooperação e Desenvolvimento Econômico (OECD) (2023), as compras do setor público representavam em média, para os países-membros, 13% do PIB em 2019. No Brasil, o consumo do Governo atingiu 18% do PIB em 2022 (Instituto de Pesquisa Econômica Aplicada [IPEA], 2024). Mais especificamente, as compras do governo federal movimentaram, em 2022, R$ 255 bilhões por meio de 193,7 mil processos, levando-se em consideração todas as modalidades de contratação (Brasil, 2023).
Esse instrumento passou a ganhar maior espaço na agenda internacional, a partir do protocolo de Marekesh, assinado em 2003, no qual foram propostas sete forças-tarefas visando a alterações no padrão de consumo em todos os níveis de governo, sendo uma dessas forças as CPS (Programa das Nações Unidas para o Meio Ambiente [UNEP], 2003). Atualmente, as CPS fazem parte dos Objetivos de Desenvolvimento Sustentável (ODS), enquadrando-se no ODS 12, “Consumo e Produção Responsáveis”, que prevê na meta 12.7 “[...] promover práticas de compras públicas sustentáveis, de acordo com as políticas e prioridades nacionais” (Programa das Nações Unidas [PNUD], 2023).
No Brasil, as CPS tomaram forma com a promulgação da Lei n. 12.349/2010 (Brasil, 2010), que altera o artigo 3º da Lei n. 8.666/1993 (Brasil, 1993), incluindo como terceira finalidade legal da licitação a promoção do Desenvolvimento Nacional Sustentável (DNS). Mais recentemente, a Nova Lei de Licitações e Contratos (NLLC) n. 14.133/2021 (Brasil, 2021) traz o DNS como princípio a ser observado na aplicação da lei e reforça essa orientação, dispondo que os incentivos à inovação e à sustentabilidade ambiental são objetivos do processo licitatório.
Essa mudança criou a necessidade de haver ajustamento no processo de compra pública brasileiro para atender a esse novo marco legal, ocasionando uma nova forma de planejar, executar e controlar as licitações, e, consequentemente, tornando o processo de compra ainda mais difícil. A partir dessa modificação, o papel das compras públicas como agente de desenvolvimento sustentável é materializado, passando a ser função do gestor buscar atingir tal objetivo (Nascimento, Souza, Zittei, & Lugoboni, 2019; Torres, 2021).
Em pesquisa sobre o tema em pauta, observou-se que alguns estudos passaram a ser realizados para avaliar o grau de comprometimento com as CPS a partir do novo marco legal de 2010, como os de Cristóvam e Fernandes (2018), Nascimento et al. (2019), bem como as pesquisas de Gallon, Flores, Trevisan e Kneipp (2019). Esses trabalhos demonstraram um movimento positivo e de boa aceitação em implementar a diretriz do DNS, porém com muitas dificuldades para efetivá-la, em virtude dos custos dos produtos sustentáveis mais elevados, conflitando com o princípio da economicidade; falta de capacitação das equipes de compras e/ou de cultura organizacional para incorporar critérios ambientais nas licitações, assim como escassez de fornecedores habilitados que cumprem com os requisitos ambientais.
Nesse contexto, o presente estudo tem como objetivo analisar o processo de implementação das CPS pelas IFES da região Sul do Brasil, dando ênfase na verificação da estratégia utilizada e nos potenciais fatores que interferem nessa implementação. Além disso, investiga quais são os critérios de sustentabilidade mais utilizados e como esses vêm sendo aplicados, após a promulgação da Lei n. 14.133/2021.
Para tanto, nesta pesquisa foram realizados dois exercícios empíricos mediante estudo multicasos com a totalidade das IFES da região Sul do país. No primeiro, foi realizado um levantamento (survey) junto aos gestores responsáveis pelas compras nas instituições selecionadas, buscando levantar os principais elementos que envolvem as práticas da CPS. No segundo exercício, realizou-se pesquisa documental, mediante análise de 35 (trinta e cinco) editais de pregão eletrônico, referentes à aquisição de material de consumo em geral, a fim de verificar quantos e quais critérios foram adotados, bem como qual foi a forma que esses critérios foram inseridos nos processos de compras.
A escolha das IFES deu-se em virtude de que são consideradas instituições de excelência em governança pública e são vetores de disseminação de práticas ambientais e processos inovativos, representando, portanto, um adequado e oportuno locus de investigação (Bizerril, Rosa & Carvalho, 2019). Este estudo traz como principal contribuição a atualização da compreensão de como órgãos públicos estão adotando os princípios e objetivos sustentáveis da Nova Lei de Licitações, abrindo espaço para aprimoramento da política de compras públicas no país. Considera-se que a realização de um estudo multicasos, que reúne um conjunto importante de IFES do Brasil, e a elaboração de um instrumento de coleta de dados que contempla os principais normativos e referências das CPS no país são as principais inovações deste trabalho.
No que diz respeito à organização deste texto, além desta introdução, o artigo apresenta três seções. A primeira seção traz a revisão de literatura, discutindo as orientações para implementação e adoção de critérios sustentáveis nas licitações. Na segunda seção, apresenta-se a metodologia. Na terceira seção, realiza-se a análise dos resultados. Em seguida, são apresentadas as considerações finais.
A IMPLEMENTAÇÃO DAS CPS E A ADOÇÃO DE CRITÉRIOS DE SUSTENTABILIDADE
O processo de implementação das CPS requer novas capacidades dos órgãos públicos, tendo em vista que altera o modo tradicional de realizar compras públicas, geralmente focado na relação custo-benefício e de forma departamentalizada. Segundo Roos (2012), a implementação das CPS envolve uma abordagem holística da organização, a fim de alinhar os objetivos organizacionais com os objetivos do desenvolvimento sustentável.
Dado essa nova concepção de compra pública, as Nações Unidas vêm desenvolvendo metodologias e manuais que visam a nortear os procedimentos para a aplicação das CPS (UNEP, 2003; ICLEI, 2015; IADS, 2023). O Brasil possui uma extensa experiência na proposição de diretrizes e de promoção de programas, cujo objetivo é disseminar atividades voltadas para a sustentabilidade, entre elas a implementação das CPS (Lima & Almeida, 2021).
Nesse âmbito, podem ser destacados o Programa Agenda Ambiental da Administração Pública (A3P) e o Plano de Gestão de Logística Sustentável (PGLS) – Instrução Normativa n. 10 (SLTI, 2012). O primeiro fomenta a inclusão de programas da agenda ambiental nos planos plurianuais, dedicando dotação orçamentária própria para execução dos projetos. Já o PGLS, estabelece práticas de sustentabilidade e racionalização de gastos e processos na Administração Pública, como a atualização do inventário de bens e materiais do órgão ou entidade e identificação de similares de menor impacto ambiental para substituição. Mais recentemente, a Advocacia Geral da União (AGU) elaborou o Guia Nacional de Contratações Sustentáveis, para orientar a implementação das CPS (AGU, 2023).
Considerando a existência de diferentes metodologias de implementação das CPS, a Figura 1 apresenta uma proposição de modelo básico, a partir das contribuições de Roos (2012), ICLEI (2015), AGU (2023) e demais normativas legais para o caso brasileiro. Embora apresentem nuances em relação ao número de fases do processo e tipos de ações a serem desenvolvidas em cada fase, os modelos convergem na perspectiva que as CPS exigem uma estratégia de planejamento, dividida em etapas (ou fases), que necessariamente contempla: análise situacional, diálogo e capacitação entre os stakeholders envolvidos, avaliação do mercado fornecedor, proposição de critérios de sustentabilidade e monitoramento/fiscalização.

O modelo contempla quatro fases. Na primeira, busca-se analisar o perfil de bens e serviços que a instituição está comprando, alinhar objetivos das compras com o Plano de Desenvolvimento Institucional e com o PGLS, e avaliar as potenciais soluções sustentáveis existentes no mercado. A segunda fase refere-se ao planejamento das CPS propriamente dito, que abrange o estabelecimento de metas, capacitação das equipes de compras e público interno que demandará os bens e serviços, bem como elaboração de indicadores e de critérios de sustentabilidade.
Na sequência, chega-se ao estágio da implementação das CPS, em que será realizada a licitação. Nesse momento, são colocadas em prática as ações pensadas nas duas fases anteriores, como a aplicação dos critérios de sustentabilidade. Uma questão relevante sobre a terceira etapa é fazer um balanceamento entre os critérios aplicados e os princípios legais que envolvem o processo licitatório. Isso porque a última etapa relaciona-se com a avaliação da CPS, fase em que são verificados os critérios, o cálculo dos indicadores e são comunicados os resultados para os stakeholders. Cabe destacar que o modelo se aplica, sobretudo, aos casos em que já existe um PGLS, mas que a inexistência dele não inviabiliza a aplicação do modelo.
Essa síntese de normativos, programas e manuais, por um lado, permite a orientação da implementação das CPS; por outro lado, demonstra um cenário complexo, que impõe grandes desafios aos gestores públicos. Nesse sentido, identifica-se ainda inúmeras barreiras e condições que tendem a dificultar a adoção da prática de CPS. No relatório do IADS (2023), que analisa as CPS no âmbito do Mercosul, as principais dificuldades citadas foram: a) escassez de pessoal para planejar as CPS; b) as normas específicas de compras que dificultam a incorporação de outros critérios, visto que são direcionadas para a contratação com base no menor preço; c) pouca compreensão do conceito de CPS por parte dos compradores, gestores de compras e fornecedores; e e) mercado fornecedor restrito e com poucos incentivos para cumprir critérios de sustentabilidade.
A adoção de critérios de sustentabilidade nas CPS
A efetivação das CPS depende da imposição de critérios de sustentabilidade nos processos de compras. O princípio de sustentabilidade a ser perseguido está relacionado com o de desenvolvimento sustentável, que abarca os pilares econômico, social e ambiental (Feil e Schreiber, 2017). Dessa forma, os critérios de sustentabilidade nas CPS englobam elementos e exigências que perpassam os três pilares da sustentabilidade mencionados. O critério ambiental pode ser definido como as obrigações relacionadas à composição (insumos utilizados) e/ou do processo produtivo do bem/serviço, como: utilização de energias renováveis, material reciclado, uso eficiente de energia, cadeias curtas de produção, economia circular e logística reversa.
O critério social engloba ações que garantam o cumprimento de direitos trabalhistas e direitos humanos, como o trabalho decente. Contempla ainda ações que priorizam comunidades que convivem de forma mais harmoniosa com o meio ambiente ou promovem a geração de emprego e renda, priorizando populações mais vulneráveis, tais como agricultura familiar, cooperativas de trabalhadores, populações/comunidades tradicionais e micro e pequenas empresas (Araújo; Teixeira, 2018).
O critério econômico está relacionado com o desenvolvimento econômico – ou seja, com geração de emprego e renda –, bem como com desenvolvimento científico e tecnológico. Esse critério também envolve questões inerentes à eficiência do processo produtivo (menor relação custo-benefício). Nesses termos, o critério econômico acaba se conectando com os critérios social e ambiental (Weetman, 2019).
Segundo Biermann et al. (2017), a proposição dos critérios de sustentabilidade nas CPS depende de um planejamento de sua implementação, momento em que é possível identificar as necessidades da organização, analisar fornecedores, especificar os produtos ou serviços e avaliar os riscos envolvidos em cada tipo de compra, ou seja, a exigência dos critérios de sustentabilidade ambiental na especificação do produto e na fase de aceitabilidade da proposta no edital. A recomendação dos autores está alinhada às fases 1 e 2 do modelo básico disposto na Figura 1. Porém, de acordo com Torres (2021), a Nova Lei de Licitações e Contratos (NLLC) prevê em seu art.42 (…), “§ 1,º que o edital pode exigir certificação ambiental como condição de aceitabilidade da proposta e para aceitação de material”, e, em seu art.17 (…), “§6º, III para aceitação de corpo técnico (pessoas) apresentado por empresa para fins de habilitação”.
A principal referência brasileira no estabelecimento de critérios sustentáveis é a IN n. 01/SLTI/MPOG/2010. Além dessa norma, tem-se o Decreto n. 7.746/2012 (que regulamenta o art. 3º da Lei n. 8.666/1993) e as Leis n. 123/2006 e n. 12.440/2011, que possuem critérios no âmbito social. Todas essas regras são embasadas por uma série de marcos políticos que foram sendo desenvolvidos nas últimas décadas, visando a priorizar ações de sustentabilidade ambiental, como, por exemplo, a Política Nacional de Mudanças Climáticas (Lei n. 12.187/2009). Com efeito, uma das características desse marco legal brasileiro das CPS é possuir uma melhor definição em relação aos critérios da dimensão ambiental da sustentabilidade.
Em que pese a existência de base normativa, há ainda grandes desafios na sua implementação e controversas na compreensão de alguns critérios ambientais. Segundo Nascimento et al. (2019), as exigências de requisitos de sustentabilidade podem aumentar os custos da compra, pois muitos produtos sustentáveis podem ser mais caros que os convencionais.
A NLLC buscou superar essa dificuldade ao destacar que o processo licitatório terá como um dos objetivos assegurar a seleção da proposta apta a gerar o “resultado mais vantajoso”, o que permite que seja avaliada, além da vantajosidade, a sua aptidão para gerar resultados, devendo ainda observar os critérios concernentes aos impactos ambientais, inclusive no que se refere ao “ciclo de vida do objeto”. De acordo com Dumont et al. (2023), buscar o resultado de contratação mais vantajoso, como objetivo, revela uma verdadeira mudança de paradigma nas contratações públicas, pois, ao se adotar o ciclo de vida do objeto como uma variável a ser levada em consideração na análise da vantajosidade da proposta, por exemplo, a NLLC deixa claro que a complexidade da seleção engloba também uma avaliação da durabilidade da solução apresentada pela proposta de determinada licitante, já que produtos e serviços mais baratos, de maneira generalizada, podem se revelar, a longo prazo, mais onerosos aos cofres públicos, por serem menos duráveis, sendo passíveis de gerar necessidade de substituição.
Justen Filho (2021) explica que, apesar da nova diretriz estabelecida pela lei, a seleção da proposta mais vantajosa apta a gerar o “resultado mais vantajoso” é um objetivo complexo num procedimento licitatório. Tal complexidade se justifica justamente pela máxima importância atribuída ao objetivo em questão: a vantajosidade é elemento tão importante para o processo licitatório que tem o poder de mitigar outros princípios que regem as licitações, como é o caso de situações em que o princípio da formalidade, que pressupõe a observância de determinados procedimentos formais para garantir a participação de um licitante num certame específico, é relativizado em prol de se garantir a satisfação do interesse público com a contratação da melhor proposta disponível. Dado essa complexidade, os órgãos públicos vêm utilizando o guia da AGU (2023) como referência para a adoção de critérios e para obter maior segurança junto aos órgãos de controle.
Tais dificuldades na proposição de critérios de sustentabilidade foram apontadas em estudos que avaliaram a operacionalização das CPS em IFES brasileiras nos últimos cinco anos. As principais dificuldades se concentraram em aspectos financeiros, em relação ao nível de conhecimento e de capacitação por parte dos requisitantes de compras e/ou atores envolvidos nas compras e no que diz respeito à cultura do mercado (incluindo a disponibilidade de produtos sustentáveis).
No caso dos problemas de ordem financeira, Silva e Gomes (2019) argumentam que os custos dos produtos considerados sustentáveis são superiores aos dos produtos comuns, fazendo com que haja menor interesse para as compras sustentáveis. Nessa seara, o princípio clássico da economicidade presente na legislação ainda impera. Aliado a isso, tem-se a influência da redução do orçamento público, impondo restrições às despesas das IFES. Essa realidade também pode representar uma restrição ao investimento em soluções mais sustentáveis, particularmente quando é necessário mais dispêndio inicial de capital para considerar a sustentabilidade.
Ao citar o nível de conhecimento dos requisitantes de compras, Sturmer, Garcia, Pereira e Peres (2022) relatam que, na maioria dos casos, não existem informações suficientes disponíveis sobre os impactos ambientais ao longo do ciclo de vida dos bens ou serviços oferecidos. Dessa forma, Paes et al. (2019) destacam que os compradores não possuem dados para avaliar efetivamente o grau de sustentabilidade de um produto, dificultando a comparação entre produtos ou sua correta especificação.
Por fim, as pesquisas relataram que ainda há uma incipiente disponibilidade de fornecedores que atendam às exigências ambientais, trazendo restrições para aquisição de bens e serviços ditos sustentáveis, deduzindo-se daí que as CPS ainda não estão conseguindo induzir o comportamento do setor produtivo (Kihara, Moura-Leite & Lopes, 2019; Soares, Deglinomeni & Rosa, 2021).
Em termos de proposição de critérios sustentáveis, as pesquisas evidenciaram que as IFES deram ênfase para duas categorias: i) exigência de certificação ou rotulagem ambiental (ISO 14000, EU Ecolabel, PROCEL); e ii) atendimento de legislação específica (ABNT, INMETRO e ANVISA) (Silveira, Oliveira, Silva & Santos, 2020; Bernardi, Pires & Peters, 2021; Soares et al., 2021). Essa prática demonstra que, por um lado, a intervenção regulatória do Estado pode contribuir com a disseminação da informação relativa a produtos sustentáveis; por outro lado, como é cultural no caso da Administração pública brasileira, há uma prevalência de seguir a legislação, em virtude do risco de ser autuado pelos órgãos de controle, limitando o espaço para inovação.
METODOLOGIA
A presente pesquisa se caracteriza como qualitativa, de natureza descritiva e exploratória, a partir de estudo multicasos. De acordo com Gil (2019), diferentemente de um estudo de caso, que se caracteriza pelo amplo detalhamento de poucos objetos, oferecendo maior nível de profundidade e conhecimento acerca destes, os estudos multicasos analisam vários casos paralelos, permitindo comparações entre as unidades e o levantamento de evidências relevantes e de maior confiabilidade se comparado aos estudos de casos únicos.
As unidades de análise referem-se às 17 (dezessete) IFES (universidades e institutos federais) situadas na região Sul do Brasil, relacionadas à Lei Orçamentária Anual (LOA) de 2022, discriminadas na Tabela 1. Esse conjunto de instituições corresponde a 16% do total de IFES no país que administraram um orçamento equivalente a 8% do orçamento geral destinado às IFES em 2022.
Para melhor responder ao objetivo da pesquisa, optou-se pela realização de dois exercícios empíricos. No primeiro exercício, aplicou-se um questionário (tipo survey) aos gestores de licitação de cada IFES. O questionário foi enviado por correio eletrônico no período de julho a setembro de 2023. O instrumento foi elaborado com base nas diretrizes dispostas na IN 01/2010 (SLTI/MPOG, 2010), no Decreto n. 7.746/2012 (Brasil, 2012) e no Guia Nacional de Contratação Sustentável (AGU, 2023), de forma a atender o objetivo da pesquisa.
O questionário foi construído prioritariamente com base em declarações, sobre as quais os respondentes deveriam apresentar sua posição. Dessa forma, foram utilizados, basicamente, variáveis qualitativas ordinais, contempladas em questões elaboradas, usando como base a escala Tipo Likert de cinco pontos, de forma a solicitar a posição do respondente num contínuo, partindo de “concordo totalmente” a “discordo totalmente”. As categorias da escala foram adaptadas de acordo com as variáveis investigadas nas questões. Assim, foram utilizadas, por exemplo, categorias como “sempre utiliza” e “nunca utiliza”, bem como “muito importante” e “não é importante”. A pesquisa seguiu os parâmetros do Conselho Nacional de Ética em Pesquisa (CONEP).
No segundo exercício, mediante pesquisa documental, foram analisados 35 (trinta e cinco) editais de licitação de pregões eletrônicos dos anos de 2022 e 2023, buscados no Portal de Compras do Governo Federal (2024), cujo objeto visava à aquisição de material de consumo em geral (composto de materiais de escritório, de limpeza e de laboratório) pelas IFES em estudo. A escolha desse objeto foi decorrente do fato que essa categoria de compra é a mais frequente e comum a todas as instituições, possibilitando desse modo, que todas as IFES pudessem ter um edital para análise.
Para selecionar os editais a serem analisados, foram informados os anos de 2022 e 2023 e utilizados a palavra-chave “consumo” e o código da Unidade Administrativa de Serviços Gerais (UASG) referente às IFES analisadas. A UASG mostra informações básicas dos órgãos cadastrados no sistema em que são realizadas as operações de compras governamentais, permitindo que sejam selecionadas apenas as licitações da instituição pública desejada, retornando desta busca o total dos 35 (trinta e cinco) editais de licitação.
O exercício se propôs a analisar a especificação de cada item constante do termo de referência, com vistas a fazer um levantamento de quantos itens possuíam ou não a inserção de critérios sustentáveis. Além disso, para verificar de que maneira esses critérios foram inseridos nos editais após a promulgação da Lei n. 14.133/2021, a análise tomou como base o disposto na IN n. 01/2010 (SLTI/MPOG, 2010) e o Guia da AGU (AGU, 2023). Com essa metodologia, a análise de editais buscou complementar as informações dos gestores, realizada no primeiro exercício.
A análise dos dados deu-se pelo exercício da análise descritiva, com auxílio de planilhas eletrônicas. Foram analisados: frequência dos fenômenos, graus de concordância/discordância e cruzamento de respostas para caracterizar as práticas das CPS nas IFES investigadas. Também se procurou classificar e quantificar os diferentes critérios ambientais utilizados nos editais.
A Tabela 1 apresenta um sumário descritivo das IFES investigadas, buscando caracterizá-las em relação ao seu tamanho (orçamento) e no que diz respeito à estrutura do setor de compras. Observa-se que das 17 (dezessete) IFES da região, cinco podem ser consideradas grandes e consolidadas (orçamento superior a R$ 1 bilhão, com mais de 40 anos de existência) e quatro menores, novas e presentes no interior (orçamento de até R$ 400 milhões, com menos de 15 anos).

Nesses termos, há uma heterogeneidade entre as IFES, o que reflete na sua cultura organizacional, no perfil do processo de compras (tipo de demanda, centralização das compras, organização do setor de compras) e no desempenho do setor. Em relação a esse último aspecto, observa-se que as IFES com setores de compras mais enxutos (menores) realizaram um número maior de processos de compra em 2022. Na média, há 15 servidores no setor de compras (o menor com 5 e o maior com 30 servidores), realizando média de 134 processos de compras no ano (variando de um mínimo de 20 a um máximo de 268 processos). Compreende-se que a composição dos setores de compra e sua respectiva relação de processos/servidores, pode interferir na qualidade dos processos, conforme será discutido e aprofundado na seção seguinte.
RESULTADOS
A presente seção está dividida em três partes. Na primeira é analisado o processo de implementação das CPS nas IFES da região Sul, em seus diferentes tipos e fases, buscando tanto verificar quais estratégias essas instituições vêm adotando, quanto avaliar quais fatores interferem nesse processo. Na segunda parte, são apresentadas as práticas de adoção de critérios de sustentabilidade. Salienta-se que os resultados das duas primeiras partes consideram as respostas dos gestores de compras no levantamento realizado. Na terceira parte, é avaliado o perfil de critérios adotados pelas IFES, a partir da análise dos editais de compras.
Estratégias de implementação das CPS
O primeiro aspecto analisado refere-se ao nível de implementação das CPS, utilizando como parâmetro a IN nº 01/2010 (SLTI/MPOG), que regulamenta as CPS no país, nos três tipos de editais de licitação: aquisições de bens, contratação de serviços comuns e de obras e serviços de engenharia. Observa-se, na Tabela 2, que a implementação das CPS ainda é incipiente nas IFES da região Sul, sendo que apenas duas IFES (11%) integralizaram 100% nos três tipos de processos de CPS.

Quando se analisa por tipo de processo, e considerando um nível acima de 75% de integralização, a situação melhora, encontrando-se sete IFES (41%) para processos de “aquisição de bens”, onze IFES (65%) para “contratação de serviços”, e nove IFES (53%) para “obras e serviços de engenharia”. Destaca-se que uma universidade ainda não iniciou a implementação das CPS em nenhum dos três processos.
Dado esse grau de implementação, a Tabela 3 apresenta as estratégias de implementação que vêm sendo adotadas pelas IFES e que são sugeridas pela literatura, sintetizadas no modelo básico da Figura 1. Considerando as respostas “concordo parcialmente” e “totalmente”, observou-se que 46% das IFES utilizam os procedimentos recomendados. Não foi verificado caso em que uma IFES utilize todas as estratégias sugeridas ou que não esteja adotando nenhuma estratégia. Isso demonstra que, em comparação com a Tabela 2, mesmo aquelas IFES que ainda estão num estágio muito inicial, vêm planejando a implementação das CPS.
Dentre os procedimentos mais adotados, destacaram-se a utilização de ações baseadas em orientações constantes na legislação (ação V) e o emprego de uso de manuais e guias (ação VI). Essas ações estão afinadas com resultados encontrados em outros estudos que investigaram as CPS antes da promulgação da NLLC, como os de Lavor e Turatti (2019), Madeira et al. (2019) e de Silveira et al. (2020), em que há uma prevalência por parte das instituições em seguir a legislação, dado a insegurança jurídica que ainda ocorre nesse tipo de compra, em que há risco de ser autuado. Tal comportamento acaba limitando o espaço para inovação, mesmo após a promulgação da NLLC, em que destaca em seu inciso IV, no artigo 11, que o processo licitatório tem como um dos seus objetivos “incentivar a inovação e o desenvolvimento nacional sustentável”.
Por outro lado, percebeu-se que as CPS ainda não receberam prioridade pelas IFES, pois os procedimentos com menor indicação referem-se à falta de definição ou clareza de princípios, objetivos e metas, inexistência de plano de ação e escassez de capacitação de servidores (ações II, III, IV e VIII). Dado esse padrão de estratégias adotadas, pode-se aventar que as IFES da região Sul necessitam aprimorar e desenvolver mais o segundo estágio do modelo de implementação da Figura 1, que se refere ao planejamento.

Os resultados evidenciados podem estar revelando algumas restrições para implementação das CPS, conforme apontados pela literatura. Dessa forma, o Quadro 1 apresenta os fatores mais mencionados pelas IFES, em termos de causar dificuldades e também facilitar a operacionalização das CPS, seja interna ou externamente à instituição. Em relação aos fatores internos, verificou-se que a capacitação dos servidores envolvidos (no setor de compras) é um elemento central para o avanço das CPS, pois foi indicado tanto em termos de facilitar como de dificultar o processo. Nesse quesito, a capacitação pode ser ampliada para envolver os servidores que fazem o requerimento das compras, ampliando seu nível de conhecimento.
Considera-se também que, com maior capacitação, pode-se contribuir para desenvolver metodologias de adoção das CPS, muito mencionada como fator dificultador. Dessa forma, as IFES devem investir na melhoria da cultura organizacional, conforme evidenciado por Paes et al. (2019) e Silva e Gomes (2019), no sentido de promover os princípios de sustentabilidade, visando a garantir maior compromisso individual dos servidores e maior apoio das chefias. Ressalta-se, ainda, que a capacitação pode ser um instrumento adicional para criar maior responsividade dos servidores vinculados às CPS (Fogaça et al., 2021).

O fator externo que se sobressai é o mercado fornecedor. Conforme Kihara et al., 2019 e Soares et al. (2021), os produtores e prestadores de serviços ainda não atendem os requisitos de sustentabilidade exigidos pela legislação, o que sugere que ações complementares à adoção de critérios ambientais nas compras públicas precisam ser priorizadas pelas políticas públicas voltadas ao DNS.
Adoção de critérios de sustentabilidade
Neste bloco são abordadas questões inerentes à aplicação de critérios de sustentabilidade das CPS nas IFES. A Tabela 4 apresenta o nível de frequência de utilização dos critérios de sustentabilidade em relação às diferentes fases do edital. Verifica-se que a maior incidência (sempre utilizado ou utilizado com frequência) ocorre nas “obrigações impostas à contratada” e na “especificação do objeto ou item”, ambas com 59% das IFES. De acordo com Gallon et al. (2019), após a constatação da existência de uma solução sustentável, desde que disponibilizada de forma competitiva pelo mercado, inicia-se a especificação técnica do objeto, por meio da elaboração do termo de referência ou projeto básico, seguindo os critérios de sustentabilidade escolhidos.

Em relação aos objetos de licitação, a Tabela 5 expõe que os critérios de sustentabilidade “sempre utilizados” ou “utilizados com frequência” ocorrem em 59% das IFES em todos os objetos, com exceção da aquisição de materiais de consumo em geral, que alcançou 47% das IFES. Segundo Gallon et al. (2019), a maior frequência de uso de critérios na “aquisição de material permanente em geral” deve-se ao fato de que existe uma maior clareza quanto às exigências que podem legalmente ser solicitadas nos editais. Nesse ínterim, o guia da AGU (2023) traz os critérios que podem ser exigidos para material permanente, por exemplo, o Selo Procel, que garante que o equipamento possui um menor consumo de energia, além de certificados de qualidade e padrões de desempenho do INMETRO e ABNT.
No que se refere à “contratação de serviços comuns”, o referido guia destaca que deverão ser observadas as normas técnicas, de saúde, de higiene e de segurança do trabalho, do Ministério do Trabalho e Emprego. Além disso, é preciso priorizar o emprego de mão de obra, materiais, tecnologias e matérias-primas de origem local para execução dos serviços.

Quanto aos tipos de critérios de sustentabilidade e a frequência com que são utilizados no âmbito das IFES, os resultados do Quadro 2 demonstram que 76% dos gestores “sempre utilizam” ou “utilizam com frequência” os critérios de sustentabilidade: “atendimento das especificações determinadas pela ANVISA”, “atendimento aos requisitos ambientais do INMETRO”, “atendimento às normas da ABNT”, “eficiência no consumo de água e/ou energia” e “preferência por micro e pequena empresa”. A predominância de critérios de verificação obrigatória nos procedimentos de compras e contratações sustentáveis reforça o caráter extremamente protocolar das CPS, isto é, um critério de sustentabilidade só é aplicado, caso ele já esteja previsto em alguma norma. Por outro lado, Bernardi et al. (2021) consideram que, quando a normativa já traz com clareza as regras a serem adotadas, facilita a implementação da política pública.

Na análise geral da adoção de critérios de sustentabilidade pelas IFES, observou-se que o critério da dimensão ambiental foi o mais utilizado. O critério ambiental foi mencionado por 76% das instituições em termos de “sempre utilizam” ou “utilizam com frequência”. O critério social foi mencionado por 59% das IFES e o critério econômico foi o menos utilizado, com apenas oito respostas nestes dois níveis, ou 47% das IFES. Esses resultados sugerem que os critérios ambientais já estão mais bem instruídos/assimilados e possuem maiores referências normativas, encorajando seu uso (Eliseu, Hollnagel e Bueno, 2019).
Análise dos editais de licitações
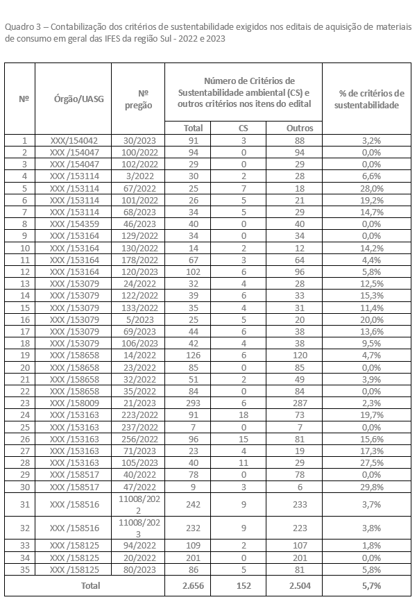
A análise dos editais consistiu em verificar quantos, quais e de que forma são inseridos os critérios de sustentabilidade ambiental nos documentos selecionados, buscando complementar os dados obtidos e analisados na seção anterior. No Quadro 3, observa-se que 12 IFES (71% do total) realizaram algum processo de compra de aquisição de materiais de consumo em geral nos anos de 2022 e 2023.

Na análise dos 35 editais, observou-se que, do total de 2.656 itens, apenas 152 itens possuíam a inserção de critérios de sustentabilidade ambiental em seu descritivo, o que representa uma porcentagem média de 5,7%. Dado a relevância das CPS e a sustentabilidade constarem como diretriz a ser seguida, considera-se um percentual baixo de aproveitamento do potencial sustentável. Mais surpreendente ainda é o fato de que em nove editais (25% do total) não apareceu nenhum item com inserção de sustentabilidade ambiental no descritivo dos itens. Esses resultados corroboram com os estudos de Lavor e Turatti (2019) e de Soares et al. (2021), nos quais foi constatada a baixa adoção de critérios de sustentabilidade nos editais analisados ainda pela Lei 8.666/93.
Ressalta-se que as IFES com mais de 25% de inserção de critérios em seus editais de licitações correspondem àquelas que possuem maior nível de implementação das CPS, demonstrando que a cultura organizacional e a expertise têm relevância na sua implementação. No trabalho de Silva e Gomes (2019), a falta de uma cultura organizacional e experiência da instituição para a realização de CPS era uma das principais barreiras encontradas para efetivar tal instrumento ainda na antiga lei de licitações.
Em relação ao tipo de critérios exigidos nas licitações, confirmou-se que as principais exigências se referem ao registro e certificação de produtos ou da empresa frente aos órgãos de controle externo, como ANVISA, INMETRO, ABNT; e das exigências legais impostas pela própria IN n. 01/2010 (SLTI/MPOG, 2010). Esse perfil de critério exigido vai ao encontro das respostas dos gestores, expostas no Quadro 2.
Pode-se constatar, assim, que os critérios de sustentabilidade ambiental inseridos nos editais de licitações selecionados demonstraram compatibilidade com os estudos de Soares et al. (2021) e com os resultados obtidos na aplicação do questionário quando os servidores concordam que a implementação das CPS ainda é estritamente para o cumprimento das exigências legais e impostas pelos órgãos de controle externo.
Por fim, foi avaliada a forma de inserção dos critérios de sustentabilidade, com o intuito de verificar qual a maneira mais utilizada nos editais selecionados. Nesses termos, observou-se que tal formato é livre, não havendo uma forma definida, a maioria preferiu utilizar um texto padrão no meio do edital contemplando alguns critérios sustentáveis, de acordo com a IN n. 01/2010 (SLTI/MPOG, 2010). Tal formato, muitas vezes, coincidiu com a seguinte forma:
“1. Será dada prioridade para produtos reciclados e recicláveis e para bens, serviços e obras que considerem critérios compatíveis com padrões de consumo social e ambientalmente sustentáveis (artigo 7º, XI, da Lei nº 12.305, de 2010 – Política Nacional de Resíduos Sólidos), devendo ser observadas, ainda, as Instruções Normativas SLTI/MPOG ns. 01/2010 e 01/2014, bem como os atos normativos editados pelos órgãos de proteção ao meio ambiente.
2. Deverá ser observado o que prescreve o Art. 5º da Instrução Normativa SLTI/MPOG nº 01, de 19/01/2010...” (Editais de licitação IFES, 2022/2023)....”
O texto citado constou genericamente que, em muitos editais verificados, mesmo que os procedimentos não contemplassem aquisições que se enquadrassem nessas orientações, o que parece é que se trata da adoção de um texto padrão sem a análise de fato quanto às exigências dos critérios sustentáveis para cada item do edital.
CONSIDERAÇÕES FINAIS
Este estudo, de caráter descritivo e exploratório, pretendeu aprofundar o conhecimento no campo das CPS e teve como objetivo principal analisar o processo de implementação das CPS pelas IFES da região Sul do Brasil, dando ênfase na verificação da estratégia utilizada e nos potenciais fatores que dificultam essa implementação. Além disso, investigou quais os critérios de sustentabilidade mais utilizados e como esses vêm sendo aplicados, após a promulgação da Lei n. 14.133/2021.
Observou-se que a implementação das CPS nas IFES selecionadas, mesmo após a promulgação da Lei n. 14.133/2021, ainda é incipiente. Foi constatado que apenas sete instituições implementaram algumas práticas em mais de 75% de suas compras. Nesses termos, o que se tem como padrão é a ocorrência de ações pontuais e tentativas de adequação às demandas normativas, motivadas pelas alterações legais, especialmente o estabelecimento da IN nº 01/2010- MPOG/SLTI, considerada o principal mecanismo que incitou a adoção da prática na esfera federal.
Com relação às estratégias de implementação das CPS, foi verificado que não existe uma política de compra sustentável formalmente elaborada no âmbito das instituições. Em geral, as ações e compras envolvendo critérios de sustentabilidade são escassas e não ocorrem de uma forma coordenada ou estratégica, apoiada numa política ou programa elaborado e planejado no âmbito de cada organização.
No que se refere à adoção de critérios de sustentabilidade, observou-se que há maior incidência de critérios da dimensão ambiental, principalmente os de exigências legais e dos órgãos de controle externo. Tais critérios são mais aplicados na fase da especificação do objeto ou do item no edital em licitações de material permanente e de contratação de serviços comuns. No geral, a inserção dos critérios sustentáveis foi explorada de maneira tímida pelas IFES.
Nesse sentido, apurou-se que as IFES da região Sul do Brasil não vêm mobilizando esforços para inovar nas CPS em seus editais, pois tendem a seguir as mesmas práticas já adotadas por outras instituições, que é o atendimento das exigências legais e dos órgãos de controle externo. A análise dos editais revelou inclusive, a utilização de cláusulas padrão de sustentabilidade, indicando um sintoma claro de uma abordagem burocrática e "pro forma", em detrimento de uma incorporação estratégica e efetiva da sustentabilidade, como preconiza a NLLC.
Esse contexto demonstra uma necessidade de reavaliar a implementação das CPS, visando a convergir entendimentos e interesses entre órgãos reguladores, mercado fornecedor e policymakers da área fiscal do governo federal (orçamento). Adicionalmente, com base na análise dos fatores que interferem na implementação das CPS, além de ampliar a disseminação da cultura da sustentabilidade interna à instituição pública, é necessário fortalecer as CPS por meio de outros mecanismos complementares (políticas públicas) que permitam induzir um movimento mais rápido por parte dos fornecedores a inserirem critérios sustentáveis de produção. Embora reconheça-se o grande avanço da diretriz estabelecida pela nova lei de licitação, ela sozinha, sem outros complementos, terá grandes dificuldades de ser efetiva.
Em que pese essas conclusões, o estudo possui como limitação o próprio perfil da pesquisa (levantamento), em que as respostas podem não representar fielmente a realidade. O estudo buscou contornar essa limitação, mediante a análise dos editais. Outra limitação refere-se à exclusividade das IFES da região Sul do Brasil, não sendo possível, desse modo, generalizar os resultados a instituições de características e regiões distintas a estas.
Algumas novas questões surgiram no decorrer desta pesquisa, que podem ser consideradas em estudos futuros, tais como: necessidade de avaliar, qualitativa e quantitativamente, as condições oferecidas pelo mercado fornecedor para a prática das compras públicas sustentáveis; e a necessidade de avaliar, de forma aprofundada e por meio de estudos comparativos, os resultados e impactos que as compras sustentáveis proporcionam às organizações e à sociedade.
REFERÊNCIAS
Advocacia-Geral da União (AGU) (2023). Consultoria-Geral da União. Guia Nacional de Contratações Sustentáveis. 6 ed. Brasília: AGU. Disponível em: https://www.gov.br/agu/pt-br/composicao/cgu/cgu/guias/guia-de-contratacoes-sustentaveis-set-2023.pdf. Acesso em: 12 abr. 2023.
Araújo, G. C. de., & Teixeira, C. E. (2018). Análise das Compras Públicas Sustentáveis na Secretaria do Meio Ambiente do Estado de São Paulo. Revista Gestão & Regionalidade, 34 (100).
Bernardi, L. A., Pires, P. T. L., & Peters, E. L. (2021). Análise dos critérios ambientais nas compras públicas. Revista Desenvolvimento e Meio Ambiente da UFPR, 58, 363-382.
Biermann, F., Kanie, N., & Kim, R. E. (2021). Global governance by goal-setting: the novel approach of the UN Sustainable Development Goals. Current Opinion in Environmental Sustainability, 26 (27), 26-31.
Bizerril, M. X. A., Rosa, M. J., & Carvalho, T. (2018). Construindo uma universidade sustentável: uma discussão baseada no caso de uma universidade portuguesa. Avaliação, v. 23, n. 2, p. 424-447.
Brasil. Lei n° 8.666, de 21 de junho de 1993. Regulamenta o art. 37, inciso XXI, da Constituição Federal, institui normas para licitações e contratos da Administração Pública e dá outras providências. Diário Oficial da República Federativa do Brasil.
Brasil. Lei nº 12.349 de 15 de dezembro de 2010. Altera as Leis n. 8.666/93, 8.958/94, e 10.973/04; e revoga o 1º do art. 2° da Lei nº 11.273/06. Brasília, DF: Senado Federal. 2010b.
Brasil. Lei n° 14.133, de 1º de abril de 2021. Estabelece normas gerais de licitação e contratação para as Administrações Públicas diretas, autárquicas e fundacionais da União, dos Estados, do Distrito Federal e dos Municípios. Diário Oficial da República Federativa do Brasil. Brasília, DF, 02 de abril de 2021.
Brasil. Ministério da Gestão e da Inovação em Serviços Públicos. Painel de compras do Governo Federal, 2023. Disponível em: http://paineldecompras.economia.gov.br. Acesso em: 14 fev. 2023.
Cristóvam, J. S. S., & Fernandes, H. (2018). Licitações públicas e sustentabilidade: uma análise de aplicação de critérios ambientais nas compras dos órgãos públicos federais em Florianópolis (SC). Rev. Direito Econ. Socioambiental, Curitiba, 9(2), 370-392.
Eliseu, C. R., Hollnagel, H. C., & Bueno, R. L. P. (2019). Compras governamentais: panorama atual e desafios. Revista Científica Hermes, [S. l.], 23, 51-75.
Feil, A. A., & Schreiber, D. (2017). Sustentabilidade e Desenvolvimento Sustentável: Desvendando as Sobreposições e Alcances de seus Significados. Cadernos EBAPE.BR, 15(3).
Fogaça, N. et al. Relações entre desempenho, bem-estar no trabalho, justiça e suporte organizacional: uma perspectiva multinível. RAM. Revista de Administração Mackenzie, v. 22, 2021.
Gallon, I., Flores, G. M., Trevisan, M., & Kneipp, J. M. (2019). Análise dos critérios de sustentabilidade aplicados nas licitações de uma universidade pública federal. Revista De Gestão Ambiental e Sustentabilidade, 8(2), 315-334.
Gil, A. C. (2019). Como Elaborar Projetos de Pesquisa. 6. ed. São Paulo: Atlas.
Instituto Argentino para el Desarrollo Sustentable (IADS). (2023). Proyecto Piloto Compras Públicas Sustentables en el MERCOSUR: Las Compras Públicas en el MERCOSUR - Propuesta para la incorporación de criterios de sustentabilidad. Argentina. Disponível em: http://www.iadsargentina.org/pdf/Documento_base.pdf. Acesso em: 25 out. 2023.
Governos Locais pela Sustentabilidade (ICLEI). (2015). Manual Procura+ Um Guia para Implementação de Compras Públicas Sustentáveis. 3. ed. São Paulo. Disponível em: https://e-lib.iclei.org/wp-content/uploads/2018/10/Manual_Procura_BR_final.pdf. Acesso em: 23 fev. 2023.
Instituto de Pesquisa Aplicada (2024). Ipeadata. Brasília: IPEA.
Justen Filho, M. (2021). Comentários à lei de Licitações e contratações administrativas. [livro eletrônico] São Paulo: Thomson Reuters, Brasil.
Kihara, B. M. T., Moura-Leite, R., & Lopes, C. J. (2019). Compras e Contratações Sustentáveis das Universidades Federais Brasileiras. Rev. FSA, Teresina, v. 16, n. 1, art. 2, p. 27-53.
Lavor, A. A. A. de, & Turatti, L. (2019). IFCE-campus Iguatu’s public procurements: analysis from the perspective of sustainability. Revista Brasileira De Ciências Ambientais (RBCIAMB), (51), 41-61.
Lima, N. B., & Almeida, L. A. (2021). Gestão Sustentável na Administração Pública: uma análise no Tribunal de Justiça do Tocantins. Revista Gestão & Sustentabilidade Ambiental, 10(1), 81-102.
Moura, A. M. M. (2016). Aplicação dos instrumentos de política ambiental no Brasil: avanços e desafios. In: MOURA, A. M. M. Governança Ambiental no Brasil: instituições, atores e políticas públicas. Brasília: IPEA.
Nascimento, J. O. do, Souza, L. A. M. de, Zittei, M. V. M., & Lugoboni, L. F. (2019). Licitações sustentáveis na justiça do trabalho. Organizações e Sustentabilidade, 7(2), 99-113.
Organisation For Economic Co-Operation And Development (OECD) (2023). Government at a Glance 2017. OECD Publishing, Paris. Disponível em: https://doi.org/10.1787/3d5c5d31-en. Acesso em: 05 jul. 2023.
Paes, C. O., Zucoloto, I. E., Rosa, M., & Costa, L. (2019). Práticas, Benefícios e Obstáculos nas Compras Públicas Sustentáveis: Uma Revisão Sistemática de Literatura. Environmental and Social Management Journal, 13(2), 21-39.
Programa das Nações Unidas (PNUD). Objetivos de desenvolvimento sustentável. Disponível em: https://brasil.un.org/pt-br/sdgs. Acesso em: 10 abr. 2023.
Roos, R. (2012). Sustainable Public Procurement: Briefing Note. Discussion paper prepared by Rita Roos on behalf of the United Nations Procurement Capacity Development Centre and the United Nations Environment Programme.
Silva, A. M. M., Gomes, J. M. A. (2019). Barreiras na Implementação da Política de Compras Públicas Sustentáveis. Rev. FSA, 16(5), 203-224.
Silveira, G. B., Oliveira, K. D. da S., Silva, A. L. I. F., & Santos, I. C. (2020, Oct./Dec.). A estratégia de incorporação dos critérios de compras públicas sustentáveis em uma universidade federal. Iberoamerican Journal of Strategic Management (IJSM), 19(4), 172-195.
Soares, C. S., Deglinomeni, R. L., & Rosa, F. S. da. (2021). Compras públicas sustentáveis: análise dos critérios de sustentabilidade e sua aplicação nas universidades federais no Rio Grande do Sul. RACEF, 12(1), 59-74.
Sturmer, R., Garcia, E., Pereira, E., & Peres, F. (2022). Compras públicas: uma revisão sistemática dos riscos e desafios. AtoZ: novas práticas em informação e conhecimento, 11, 1 - 11.
Torres, R. C. L. de. (2021). Leis de licitações públicas comentadas / Ronny Charles Lopes de Torres. (Juspodivm (Ed.); 12th ed.). Juspodivm.
Trindade, P. C., Antunes, P, & Partidário, P. (2017). SPP toolbox: Supporting sustainable public procurement in the context of socio-technical transitions. Sustainability, 10(1), 1-26.
United Nations Environment Programme (UNEP). About the Marrakech Process 2003. Disponível em: http://www.unep.fr/scp/marrakech/about. Acesso em: 05 jul. 2023.
United Nations Environment Programme (UNEP). The Impacts of Sustainable Procurement: Eight Illustrative Case Studies. Paris: UNEP DTIE, 2023. Disponível em: http://www.unep.fr/scp/procurement/docsres/projectinfo/StudyonImpactsofSPP.Pdf. Acesso em: 23 jun. 2023.
Weetman, C. (2019). Economia Circular. SP: Autêntica.
Información adicional
redalyc-journal-id: 3515