Psicología Experimental
Recepción: 30 Abril 2018
Aprobación: 15 Octubre 2018
Resumen: Estudios previos en roedores sugieren que el consumo de azúcares en la adolescencia disminuye el valor de los estímulos palatables en la adultez, llevando a un déficit motivacional. Se presentan dos experimentos en ratas macho en el que se exploran los efectos motivacionales de largo término del consumo adolescente de una solución azucarada al 5%. En comparación con un grupo control, las ratas experimentales pesaron más en la adultez y mostraron un impacto emocional atenuado ante la devaluación y la omisión de un estímulo palatable. El segundo experimento mostró una preferencia menor por una solución de sacarosa al 4% en una prueba de preferencia de 2 horas. El menor impacto emocional ante eventos de frustración y la menor preferencia por la sacarosa son resultados consistentes con la hipótesis de déficit motivacional en la adultez. Esta condición podría ser uno de los mecanismos asociados a la propensión al sobrepeso en adultos.
Palabras clave: Motivación, Frustración, Adolescencia, Sobrepeso.
Abstract: Previous studies in rodents suggest that consumption of sugar during adolescence decreases the value of these palatable stimuli in adulthood, leading to a motivational deficit associated with higher intake. A set of experiments were conducted in male rats where the long-lasting motivational effects of adolescent intake of a 5% sucrose solution were assessed. In comparison to a control group when tested in adulthood, experimental rats were heavier and showed an attenuated emotional impact towards the devaluation and omission of an expected reinforcer. A second experiment showed less preference for a 4% sucrose solution in a 2-hour preference test. The attenuated emotional impact before frustrating events and the less sucrose preference are consistent with the hypothesis of motivational deficit in adulthood. This condition might be one of the mechanisms associated with the trend to overweight condition in adults.
Keywords: Motivation, Frustration, Adolescence, Overweight.
Introducción
Diversas investigaciones indican que las experiencias acontecidas en la adolescencia pueden producir cambios verificables a largo plazo, extendiéndose incluso hasta la adultez (e.g., Kending, 2014; Kending, Boakes, Rooney, & Corbit, 2013; Naneix, Darlot, Coutureau, & Cador, 2016). En las ratas, la adolescencia abarca los cambios biológicos y comportamentales sucedidos entre los días post-natales (DPN) 28 y 42, aunque algunos cambios ontogenéticos que señalan el comienzo de la adolescencia pueden observarse desde el DPN 20, y los últimos cambios el DPN 55 (ver Spear 2000). Se observa un incremento en la interacción social (e.g., Primus & Kellogg, 1989), incremento en las conductas de riesgo y de búsqueda de la novedad (e.g., Adrian, Chiarotti, & Laviola, 1998), cambios fisiológicos en el sistema mesocorticolímbico dopaminérgico (e.g., Matthews, Bondi, Torres, & Moghaddam, 2013) y la formación de redes neurales que actuarán como el sustrato biológico del valor de incentivo de los reforzadores (ver Spear, 2000).
Estudios previos evidencian que en la adolescencia se presentan niveles superiores de consumo de bebidas azucaradas en comparación con los niveles de consumo adulto, tanto en humanos (Krebs-Smith, 2001) como en ratas (Wurtman & Wurtman, 1979). Investigaciones recientes realizadas con modelos animales indagaron el efecto que el acceso a bebidas azucaradas durante la adolescencia tiene sobre aspectos biológicos y conductuales en la adultez. Vendruscolo, Gueye, Darnaudéry, Ahmed y Cador (2010) expusieron a un grupo de ratas desde el DPN30 a una solución de agua azucarada al 5% o agua (grupo control) durante 16 días en sus jaulas hogar. Al evaluarlas en la adultez (DPN 60) hallaron un menor consumo y adquisición enlentecida de la respuesta consumatoria tanto de la sacarina como de la maltodextrina, así como una motivación disminuida para trabajar por sacarina. Los autores concluyeron que el consumo excesivo de sacarosa en la adolescencia llevaría a una disminución del valor motivacional tanto de soluciones dulces como no dulces en la adultez, debido a una activación excesiva del sistema de recompensa cerebral en esta etapa de la ontogenia. Naneix y cols. (2016) realizaron el mismo tratamiento adolescente y hallaron que produjo una disminución de la preferencia por la sacarosa y la sacarina, y menor impacto hedónico de la sacarosa en la adultez.
Mientras que la evidencia sugiere que el consumo de azúcar en la adolescencia disminuye el valor de los estímulos palatables en la adultez, ninguno de los estudios previos analizó sus posibles efectos en las respuestas a situaciones que involucran cambios inesperados del reforzador. Numerosas investigaciones muestran que eventos que exponen al sujeto ante discrepancias negativas entre el reforzador esperado y obtenido gatillan una respuesta comportamental, emocional y neurobiológica aversiva denominada frustración (Amsel, 1992; Flaherty, 1996). El Contraste Sucesivo Negativo consumatorio (CSNc) es un protocolo experimental que permite estudiar las respuestas de frustración ante la devaluación del reforzador. Consiste en exponer a los animales del grupo experimental al consumo de una sustancia preferida (e.g., 32% de agua azucarada), durante días sucesivos (fase de precambio) y luego cambiarla a una menos preferida (e.g., 4%; fase de postcambio). El efecto de contraste negativo se expresa en una disminución abrupta y transitoria de la respuesta consumatoria del grupo experimental, por debajo de los niveles del grupo control (Flaherty, 1996). En la Extinción consumatoria (Ec) se expone al animal a la omisión total del reforzador (i.e., un bebedero vacío), y se observa una supresión abrupta y progresiva de la respuesta consumatoria (Mustaca, Freidin, & Papini, 2002).
Diversos estudios han indagado los efectos del consumo adolescente de sacarosa sobre distintos aspectos del valor absoluto de los incentivos – consumo, respuestas orofaciales ante su infusión – (e.g., Naneix et al., 2016; Vendruscolo et al., 2010). No obstante, no se registran trabajos que hayan abordado las consecuencias sobre su valor relativo – respuestas ante la violación de expectativas de reforzador –. El propósito de este estudio es profundizar el entendimiento de las alteraciones motivacionales de largo término producidas por el consumo adolescente de bebidas azucaradas en ratas. En el experimento 1 se evaluaron las consecuencias sobre el peso y las respuestas en los protocolos de CSNc y Ec. La hipótesis fue que si el tratamiento adolescente produjera un déficit motivacional, se esperaría encontrar sobrepeso adulto en las ratas expuestas al tratamiento adolescente y una disminución en la respuesta de frustración ante la devaluación u omisión del incentivo. Si bien la asociación esperada entre déficit motivacional y sobrepeso podría resultar contraintuitiva, es esperable que animales que experimentan un menor impacto hedónico al ingerir alimentos incrementen su consumo para obtener los mismos efectos que sujetos controles. Comprender las consecuencias que la exposición temprana a reforzadores palatables posee sobre variables motivacionales podría incrementar nuestro conocimiento sobre los factores ambientales que contribuyen a la propensión al sobrepeso.
Experimento 1
Sujetos
Se utilizaron 42 ratas macho naive de la cepa Wistar provenientes de 10 madres, criadas en el bioterio del Instituto de Investigaciones Médicas (IDIM) de la Universidad de Buenos Aires. En el día DPN30, al inicio del protocolo de exposición adolescente a la sacarosa, los animales pesaron entre 60 y 103 gr. Al DPN 80, antes de la privación de alimento, el peso osciló entre 227 y 417 gr. Durante el protocolo de exposición adolescente a la sacarosa estuvieron alojados en jaulones de acero inoxidable (35 x 30 x 23 cm) que contenían entre 10 y 11 animales cada uno, en la sala de cría. A partir del DPN 46 hasta el 80 estuvieron alojados en los mismos jaulones de a 5 o 6 animales por jaulón, en la sala de alojamiento. Los animales se mantuvieron agrupados debido a que el aislamiento durante la adolescencia afecta las respuestas al contraste de incentivo (Cuenya, Mustaca, & Kamenetzky, 2015), y produce hiperfagia en la adultez (ver Fone & Porkess, 2008). Tanto la sala de cría como de alojamiento se mantuvieron bajo un ciclo luz-oscuridad de 12 horas (luces encendidas desde las 07:00) y tanto la humedad como la temperatura (≈22°C) fueron controladas. En el DPN 81 fueron individualizadas en jaulas de policarbonato transparentes (40 × 22 × 20 cm) y privadas de alimento hasta alcanzar el 83-85% de su peso ad libitum, con acceso libre al agua. El aislamiento durante la adultez no altera las respuestas al contraste de incentivo (Cuenya, Fosacheca, Mustaca, & Kamenetzky, 2012) y posibilita un control adecuado del nivel de privación. Durante el entrenamiento, las ratas fueron alimentadas con una cantidad restringida de comida dependiendo de su peso, al menos 20 minutos luego de cada ensayo. El experimento se llevó a cabo durante la fase de luz, entre las 15:00 y las 17:30. Los métodos y protocolos se realizaron en sintonía con las guías para el uso y cuidado de animales de laboratorio del U.S. National Institutes of Health, y fueron aprobados por la Comisión Institucional para el Cuidado y Uso de Animales de Laboratorio del IDIM.
Aparatos
Cajas de condicionamiento
Las ratas fueron entrenadas en cuatro cajas de condicionamiento ubicadas en un cubículo de atenuación del sonido (MED Associates). Cada caja mide 24.1 cm de largo, 29.2 cm de ancho y 21 cm de alto. El suelo es de barras de aluminio (0.4 cm de diámetro, con una separación de 1.1 cm entre ellas). En el centro de una de las paredes laterales hay un agujero de 5 cm con una profundidad de 3.5 cm, a través del cual se puede introducir un bebedero desde el exterior. El tiempo de contacto con el bebedero (TB) fue la variable dependiente. Cuando el animal introduce su cabeza en el cubículo que contiene el pico del bebedero, interrumpe un haz de luz generado por un circuito de fotoceldas y se registra automáticamente el TB en un ordenador. El TB correlaciona positiva y significativamente con la cantidad de líquido ingerido en mililitros (Mustaca et al., 2002), y permite evaluar la respuesta de acercamiento al bebedero en pruebas en las que se omite el reforzador presentando un bebedero vacío. Las soluciones de sacarosa (peso/peso) se prepararon disolviendo azúcar comercial en agua destilada.
Procedimiento
Exposición a sacarosa durante la adolescencia
Entre los DPN 30 y 46, los animales tuvieron acceso permanente a alimento y agua de grifo. La mitad tuvo acceso a una segunda botella que contenía una solución de sacarosa al 5% (condición Sacarosa, n = 21), mientras que el resto sólo accedió a dos botellas de agua (condición Agua, n = 21). La solución de sacarosa se preparó disolviendo azúcar comercial en agua de grifo (p/p). La asignación a los grupos se realizó contrabalanceando la camada de pertenencia, de forma tal que ambas condiciones tuvieran animales de todas las camadas. El peso de los animales fue registrado diariamente durante los días que duró la exposición adolescente a la sacarosa. El DPN 46 se retiró la solución de sacarosa, dejando sólo el agua disponible.
Contraste Sucesivo Negativo consumatorio (CSNc) y Extinción consumatoria (Ec)
Contraste Sucesivo Negativo consumatorio (CSNc) y Extinción consumatoria (Ec) REFERENCIAS
Adrian, W., Chiarotti, F., & Laviola, G. (1998). Elevated novelty seeking andpeculiar d-amphetamine sensitization in periadolescent mice compared with adult mice. Behavioral Neuroscience, 112, 1152–66. W. Adrian F. Chiarotti G. Laviola 1998 Behavioral Neuroscience Elevated novelty seeking andpeculiar d-amphetamine sensitization in periadolescent mice compared with adult mice112 1152 1166 Amsel, A. (1992). Frustration theory. Cambridge, UK: Cambridge University Press. Appleton. Traducción al castellano en Madrid: Alianza, 1984. A. Amsel 1992 Frustration theory Cambridge, UKCambridge University Press. AppletonTraducción al castellano en Madrid: Alianza, 1984 Annicchiarico, I., Glueck, A.C., Cuenya, L., Kawasaki, K., Conrad, S.E., & Papini, M.P. (2016). Complex effects of reward upshift on consummatory behavior. Behavioural Processes, 129, 54-67. I. Annicchiarico A.C. Glueck L. Cuenya K. Kawasaki S.E. Conrad M.P. Papini 2016 Behavioural Processes Complex effects of reward upshift on consummatory behavior129 54 67 Avena, N.M., Rada, P., & Hoebel, B.G. (2008). Evidence for sugar addiction: Behavioral and neurochemical effects of intermittent, excessive sugar intake. Neuroscience & Biobehavioral Reviews, 32, 20-39. N.M. Avena P. Rada B.G. Hoebel 2008 Neuroscience & Biobehavioral Reviews Evidence for sugar addiction: Behavioral and neurochemical effects of intermittent, excessive sugar intake32 20 39 Cuenya, L., Annicchiarico, I., Serafini, M., Glueck, A., Mustaca, A. E., & Papini, M. R. (2015). Effects of shifts in food deprivation on consummatory successive negative contrast. Learning and Motivation, 52, 11-21. L. Cuenya I. Annicchiarico M. Serafini A. Glueck A. E. Mustaca M. R. Papini 2015 Learning and Motivation Effects of shifts in food deprivation on consummatory successive negative contrast52 11 21 Cuenya, L., Fosacheca, S., & Mustaca, A.E. (2013). Individual differences in frustration responses. Revista Argentina de Ciencias del Comportamiento, 5, 3-14. L. Cuenya S. Fosacheca A.E. Mustaca 2013 Revista Argentina de Ciencias del Comportamiento Individual differences in frustration responses5 3 14 Cuenya, L., Fosacheca, S., Mustaca, A., & Kamenetzky, G. (2012). Effects of isolation in adulthood on frustration and anxiety. Behavioural Processes, 90, 155-160. L. Cuenya S. Fosacheca A. Mustaca G. Kamenetzky 2012 Behavioural Processes Effects of isolation in adulthood on frustration and anxiety90 155 160 Cuenya, L., Mustaca, A., & Kamenetzky, G. (2015). Postweaning isolation affects responses to incentive contrast in adulthood. Developmental Psychobiology, 57, 177-188. L. Cuenya A. Mustaca G. Kamenetzky 2015 Developmental Psychobiology Postweaning isolation affects responses to incentive contrast in adulthood57 177 188 Flaherty, C.F. (1996). Incentive relativity. Cambridge, UK: Cambridge University Press. C.F. Flaherty 1996 Incentive relativity Cambridge, UKCambridge University Fone, K.C.F., & Porkess, M.V. (2008). Behavioural and neurochemical effects of post-weaning social isolation in rodents – Relevance to developmental neurpsychiatric disorders. Neuroscience and Biobehavioral Reviews, 32, 1087-1102. K.C.F. Fone M.V. Porkess 2008 Neuroscience and Biobehavioral Reviews Behavioural and neurochemical effects of post-weaning social isolation in rodents – Relevance to developmental neurpsychiatric disorders32 1087 1102 Frazier, C.R., Mason, P., Zhuang, X., & Beeler, J.A. (2008). Sucrose exposure in early life alters adult motivation and weight gain. PloS one, 3, e3221. C.R. Frazier P. Mason X. Zhuang J.A. Beeler 2008 PloS one ucrose exposure in early life alters adult motivation and weight gain3, e3221 Kending, M.D. (2014). Cognitive and behavioural effects of sugar consumption in rodents. A review. Appetite, 80, 41-54. M.D. Kending 2014 Appetite Cognitive and behavioural effects of sugar consumption in rodents. A review80 41 54 Kending, M.D., Boakes, R.A., Rooney, K.B., & Corbit, L.H. (2013). Chronic restricted access to 10% sucrose solution in adolescent and young adult rats impairs spatial memory and alters sensitivity to outcome devaluation. Physiology & Behavior, 120, 164-172. M.D. Kending R.A. Boakes K.B. Rooney L.H. Corbit 2013 Physiology & Behavior Chronic restricted access to 10% sucrose solution in adolescent and young adult rats impairs spatial memory and alters sensitivity to outcome devaluation120 164 172 Krebs-Smith, S.M. (2001). Choose beverages and foods to moderate your intake of sugars: measurement requires quantification. The Journal of nutrition, 131, 527S-535S. S.M. Krebs-Smith 2001 The Journal of nutrition Choose beverages and foods to moderate your intake of sugars: measurement requires quantification131 527S 535S Matthews, M., Bondi, C., Torres, G., & Moghaddam, B. (2013). Reduced presynaptic dopamine activity in adolescent dorsal striatum. Neuropsychopharmacology, 38, 1344–1351. M. Matthews C. Bondi G. Torres B. Moghaddam 2013 Neuropsychopharmacology Reduced presynaptic dopamine activity in adolescent dorsal striatum38 1344 1351 Mustaca, A.E., Freidin, E., & Papini, M.R. (2002). Extinction of consummatory behavior in rats. International Journal of Comparative Psychology, 15, 1-10. A.E. Mustaca E. Freidin M.R. Papini 2002 International Journal of Comparative Psychology Extinction of consummatory behavior in rats15 1 10 Naneix, F., Darlot, F., Coutureau, E., & Cador, M. (2016). Long lasting deficits in hedonic and nucleus accumbens reactivity to sweet rewards by sugar overconsumption during adolescence. European Journal of Neuroscience, 43, 671–680. F. Naneix F. Darlot E. Coutureau M. Cador 2016 European Journal of Neuroscience Long lasting deficits in hedonic and nucleus accumbens reactivity to sweet rewards by sugar overconsumption during adolescence43 671 680 Primus, R.J., & Kellogg, C.K. (1989). Pubertal-related changes influence the development of environment-related social interaction in the male rat. Developmental Psychobiology, 22, 633–43. R.J. Primus C.K. Kellogg 1989 Developmental Psychobiology Pubertal-related changes influence the development of environment-related social interaction in the male rat22 633 643 Reichelt, A.C., Killcross, S., Hambly, L.D., Morris, M.J., & Westbrook, R.F. (2015). Impact of adolescent sucrose access on cognitive control, recognition memory, and parvalbumin immunoreactivity. Learning & Memory, 22, 215-224. A.C. Reichelt S. Killcross L.D. Hambly M.J. Morris R.F. Westbrook 2015 Learning & Memory Impact of adolescent sucrose access on cognitive control, recognition memory, and parvalbumin immunoreactivity22 215 224 Sato, N., Shimizu, H., Shimomura, Y., Uehara, Y., Takahashi, M., & Negishi, M. (1991). Sucrose feeding at weaning alters the preference for sucrose in adolescence. Experimental and Clinical Endocrinology & Diabetes, 98, 201-206. N. Sato H. Shimizu Y. Shimomura Y. Uehara M. Takahashi M. Negishi 1991 Experimental and Clinical Endocrinology & Diabetes Sucrose feeding at weaning alters the preference for sucrose in adolescence98 201 206 Spear, L.P. (2000). Neurobehavioral changes in adolescence. Current directions in psychological science, 9, 111-114. L.P. Spear 2000 Current directions in psychological science Neurobehavioral changes in adolescence9 111 114 Vendruscolo, L.F., Gueye, A.B., Darnaudéry, M., Ahmed, S.H., & Cador, M. (2010). Sugar overconsumption during adolescence selectively alters motivation and reward function in adult rats. PLoS ONE, 5, 1-9. L.F. Vendruscolo A.B. Gueye M. Darnaudéry S.H. Ahmed M. Cador 2010 PLoS ONE Sugar overconsumption during adolescence selectively alters motivation and reward function in adult rats5 1 9 Wilmouth, C.E., & Spear, L.P. (2009). Hedonic sensitivity in adolescent and adult rats: Taste reactivity and voluntary sucrose consumption. Pharmacology Biochemistry and Behavior, 92, 566-573. C.E. Wilmouth L.P. Spear 2009 Pharmacology Biochemistry and Behavior Hedonic sensitivity in adolescent and adult rats: Taste reactivity and voluntary sucrose consumption92 566 573 Wurtman, J.J., & Wurtman, R.J. (1979). Sucrose consumption early in life fails to modify the appetite of adult rats for sweet foods. Science, 205, 321-2. J.J. Wurtman R.J. Wurtman 1979 Science Sucrose consumption early in life fails to modify the appetite of adult rats for sweet foods205 321 322
<!-- /* Font Definitions */ @font-face {font-family:"Cambria Math"; panose-1:2 4 5 3 5 4 6 3 2 4;} @font-face {font-family:Calibri; panose-1:2 15 5 2 2 2 4 3 2 4;} /* Style Definitions */ p.MsoNormal, li.MsoNormal, div.MsoNormal {margin:0cm; margin-bottom:.0001pt; font-size:12.0pt; font-family:"Calibri",sans-serif;} p.Tituloespanol, li.Tituloespanol, div.Tituloespanol {mso-style-name:"Titulo espanol"; margin:0cm; margin-bottom:.0001pt; line-height:120%; text-autospace:none; font-size:20.0pt; font-family:"Arial",sans-serif; color:black; text-transform:uppercase; letter-spacing:.2pt; font-weight:bold;} p.TEXTO, li.TEXTO, div.TEXTO {mso-style-name:TEXTO; margin:0cm; margin-bottom:.0001pt; text-align:justify; line-height:17.0pt; text-autospace:none; font-size:11.0pt; font-family:"Arial",sans-serif; color:black;} p.TituloIngles, li.TituloIngles, div.TituloIngles {mso-style-name:"Titulo Ingles"; margin:0cm; margin-bottom:.0001pt; line-height:120%; text-autospace:none; font-size:14.0pt; font-family:"Arial",sans-serif; color:black; text-transform:uppercase; letter-spacing:.15pt; font-style:italic;} p.autores, li.autores, div.autores {mso-style-name:autores; margin:0cm; margin-bottom:.0001pt; line-height:120%; text-autospace:none; font-size:11.0pt; font-family:"Arial",sans-serif; color:black; font-style:italic;} p.autoreslinea, li.autoreslinea, div.autoreslinea {mso-style-name:"autores linea"; margin:0cm; margin-bottom:.0001pt; line-height:120%; text-autospace:none; border:none; padding:0cm; font-size:11.0pt; font-family:"Arial",sans-serif; color:black; font-style:italic;} p.autoresCV, li.autoresCV, div.autoresCV {mso-style-name:"autores CV"; margin:0cm; margin-bottom:.0001pt; text-align:justify; line-height:120%; text-autospace:none; font-size:7.5pt; font-family:"Arial",sans-serif; color:black; font-style:italic;} p.bibliografia, li.bibliografia, div.bibliografia {mso-style-name:bibliografia; margin-top:0cm; margin-right:0cm; margin-bottom:0cm; margin-left:11.35pt; margin-bottom:.0001pt; text-align:justify; text-indent:-11.35pt; line-height:10.0pt; text-autospace:none; font-size:8.0pt; font-family:"Arial",sans-serif; color:black;} .MsoChpDefault {font-family:"Calibri",sans-serif;} @page WordSection1 {size:612.0pt 792.0pt; margin:36.0pt 36.0pt 36.0pt 36.0pt;} div.WordSection1 {page:WordSection1;} /* List Definitions */ ol {margin-bottom:0cm;} ul {margin-bottom:0cm;} -->
Consumo Adolescente de Bebidas Azucaradas y sus Efectos Motivacionales en la Adultez: Un Modelo Animal
Adolescent Consumption of Sweetened Beverages and Their Motivational Effects in Adulthood: An Animal Model
Ilarraz, Constanza1; Serafini, Matías1; Laurito, Micaela1; Cuenya, Lucas1
1CONICET - Universidad de Buenos Aires, Facultad de Medicina, Instituto de investigaciones Médicas A. Lanari, Argentina. Instituto de investigaciones Médicas (IDIM), Laboratorio de Psicología Experimental y Aplicada. Universidad Abierta Interamericana, Facultad de Psicología y Relaciones Humanas, Centro de Altos Estudios en Ciencias Humanas y de la Salud. Argentina. Email: lucascuenya@gmail.com
RESUMEN
Estudios previos en roedores sugieren que el consumo de azúcares en la adolescencia disminuye el valor de los estímulos palatables en la adultez, llevando a un déficit motivacional. Se presentan dos experimentos en ratas macho en el que se exploran los efectos motivacionales de largo término del consumo adolescente de una solución azucarada al 5%. En comparación con un grupo control, las ratas experimentales pesaron más en la adultez y mostraron un impacto emocional atenuado ante la devaluación y la omisión de un estímulo palatable. El segundo experimento mostró una preferencia menor por una solución de sacarosa al 4% en una prueba de preferencia de 2 horas. El menor impacto emocional ante eventos de frustración y la menor preferencia por la sacarosa son resultados consistentes con la hipótesis de déficit motivacional en la adultez. Esta condición podría ser uno de los mecanismos asociados a la propensión al sobrepeso en adultos.
Palabras clave:
Motivación - Frustración - Adolescencia - Sobrepeso
ABSTRACT
Previous studies in rodents suggest that consumption of sugar during adolescence decreases the value of these palatable stimuli in adulthood, leading to a motivational deficit associated with higher intake. A set of experiments were conducted in male rats where the long-lasting motivational effects of adolescent intake of a 5% sucrose solution were assessed. In comparison to a control group when tested in adulthood, experimental rats were heavier and showed an attenuated emotional impact towards the devaluation and omission of an expected reinforcer. A second experiment showed less preference for a 4% sucrose solution in a 2-hour preference test. The attenuated emotional impact before frustrating events and the less sucrose preference are consistent with the hypothesis of motivational deficit in adulthood. This condition might be one of the mechanisms associated with the trend to overweight condition in adults.
Key words:
Motivation - Frustration - Adolescence - Overweight
Introducción
Diversas investigaciones indican que las experiencias acontecidas en la adolescencia pueden producir cambios verificables a largo plazo, extendiéndose incluso hasta la adultez (e.g., Kending, 2014; Kending, Boakes, Rooney, & Corbit, 2013; Naneix, Darlot, Coutureau, & Cador, 2016). En las ratas, la adolescencia abarca los cambios biológicos y comportamentales sucedidos entre los días post-natales (DPN) 28 y 42, aunque algunos cambios ontogenéticos que señalan el comienzo de la adolescencia pueden observarse desde el DPN 20, y los últimos cambios el DPN 55 (ver Spear 2000). Se observa un incremento en la interacción social (e.g., Primus & Kellogg, 1989), incremento en las conductas de riesgo y de búsqueda de la novedad (e.g., Adrian, Chiarotti, & Laviola, 1998), cambios fisiológicos en el sistema mesocorticolímbico dopaminérgico (e.g., Matthews, Bondi, Torres, & Moghaddam, 2013) y la formación de redes neurales que actuarán como el sustrato biológico del valor de incentivo de los reforzadores (ver Spear, 2000).
Estudios previos evidencian que en la adolescencia se presentan niveles superiores de consumo de bebidas azucaradas en comparación con los niveles de consumo adulto, tanto en humanos (Krebs-Smith, 2001) como en ratas (Wurtman & Wurtman, 1979). Investigaciones recientes realizadas con modelos animales indagaron el efecto que el acceso a bebidas azucaradas durante la adolescencia tiene sobre aspectos biológicos y conductuales en la adultez. Vendruscolo, Gueye, Darnaudéry, Ahmed y Cador (2010) expusieron a un grupo de ratas desde el DPN30 a una solución de agua azucarada al 5% o agua (grupo control) durante 16 días en sus jaulas hogar. Al evaluarlas en la adultez (DPN 60) hallaron un menor consumo y adquisición enlentecida de la respuesta consumatoria tanto de la sacarina como de la maltodextrina, así como una motivación disminuida para trabajar por sacarina. Los autores concluyeron que el consumo excesivo de sacarosa en la adolescencia llevaría a una disminución del valor motivacional tanto de soluciones dulces como no dulces en la adultez, debido a una activación excesiva del sistema de recompensa cerebral en esta etapa de la ontogenia. Naneix y cols. (2016) realizaron el mismo tratamiento adolescente y hallaron que produjo una disminución de la preferencia por la sacarosa y la sacarina, y menor impacto hedónico de la sacarosa en la adultez.
Mientras que la evidencia sugiere que el consumo de azúcar en la adolescencia disminuye el valor de los estímulos palatables en la adultez, ninguno de los estudios previos analizó sus posibles efectos en las respuestas a situaciones que involucran cambios inesperados del reforzador. Numerosas investigaciones muestran que eventos que exponen al sujeto ante discrepancias negativas entre el reforzador esperado y obtenido gatillan una respuesta comportamental, emocional y neurobiológica aversiva denominada frustración (Amsel, 1992; Flaherty, 1996). El Contraste Sucesivo Negativo consumatorio (CSNc) es un protocolo experimental que permite estudiar las respuestas de frustración ante la devaluación del reforzador. Consiste en exponer a los animales del grupo experimental al consumo de una sustancia preferida (e.g., 32% de agua azucarada), durante días sucesivos (fase de precambio) y luego cambiarla a una menos preferida (e.g., 4%; fase de postcambio). El efecto de contraste negativo se expresa en una disminución abrupta y transitoria de la respuesta consumatoria del grupo experimental, por debajo de los niveles del grupo control (Flaherty, 1996). En la Extinción consumatoria (Ec) se expone al animal a la omisión total del reforzador (i.e., un bebedero vacío), y se observa una supresión abrupta y progresiva de la respuesta consumatoria (Mustaca, Freidin, & Papini, 2002).
Diversos estudios han indagado los efectos del consumo adolescente de sacarosa sobre distintos aspectos del valor absoluto de los incentivos – consumo, respuestas orofaciales ante su infusión – (e.g., Naneix et al., 2016; Vendruscolo et al., 2010). No obstante, no se registran trabajos que hayan abordado las consecuencias sobre su valor relativo – respuestas ante la violación de expectativas de reforzador –. El propósito de este estudio es profundizar el entendimiento de las alteraciones motivacionales de largo término producidas por el consumo adolescente de bebidas azucaradas en ratas. En el experimento 1 se evaluaron las consecuencias sobre el peso y las respuestas en los protocolos de CSNc y Ec. La hipótesis fue que si el tratamiento adolescente produjera un déficit motivacional, se esperaría encontrar sobrepeso adulto en las ratas expuestas al tratamiento adolescente y una disminución en la respuesta de frustración ante la devaluación u omisión del incentivo. Si bien la asociación esperada entre déficit motivacional y sobrepeso podría resultar contraintuitiva, es esperable que animales que experimentan un menor impacto hedónico al ingerir alimentos incrementen su consumo para obtener los mismos efectos que sujetos controles. Comprender las consecuencias que la exposición temprana a reforzadores palatables posee sobre variables motivacionales podría incrementar nuestro conocimiento sobre los factores ambientales que contribuyen a la propensión al sobrepeso.
Experimento 1
Sujetos. Se utilizaron 42 ratas macho naive de la cepa Wistar provenientes de 10 madres, criadas en el bioterio del Instituto de Investigaciones Médicas (IDIM) de la Universidad de Buenos Aires. En el día DPN30, al inicio del protocolo de exposición adolescente a la sacarosa, los animales pesaron entre 60 y 103 gr. Al DPN 80, antes de la privación de alimento, el peso osciló entre 227 y 417 gr. Durante el protocolo de exposición adolescente a la sacarosa estuvieron alojados en jaulones de acero inoxidable (35 x 30 x 23 cm) que contenían entre 10 y 11 animales cada uno, en la sala de cría. A partir del DPN 46 hasta el 80 estuvieron alojados en los mismos jaulones de a 5 o 6 animales por jaulón, en la sala de alojamiento. Los animales se mantuvieron agrupados debido a que el aislamiento durante la adolescencia afecta las respuestas al contraste de incentivo (Cuenya, Mustaca, & Kamenetzky, 2015), y produce hiperfagia en la adultez (ver Fone & Porkess, 2008). Tanto la sala de cría como de alojamiento se mantuvieron bajo un ciclo luz-oscuridad de 12 horas (luces encendidas desde las 07:00) y tanto la humedad como la temperatura (≈22°C) fueron controladas. En el DPN 81 fueron individualizadas en jaulas de policarbonato transparentes (40 × 22 × 20 cm) y privadas de alimento hasta alcanzar el 83-85% de su peso ad libitum, con acceso libre al agua. El aislamiento durante la adultez no altera las respuestas al contraste de incentivo (Cuenya, Fosacheca, Mustaca, & Kamenetzky, 2012) y posibilita un control adecuado del nivel de privación. Durante el entrenamiento, las ratas fueron alimentadas con una cantidad restringida de comida dependiendo de su peso, al menos 20 minutos luego de cada ensayo. El experimento se llevó a cabo durante la fase de luz, entre las 15:00 y las 17:30. Los métodos y protocolos se realizaron en sintonía con las guías para el uso y cuidado de animales de laboratorio del U.S. National Institutes of Health, y fueron aprobados por la Comisión Institucional para el Cuidado y Uso de Animales de Laboratorio del IDIM.
Aparatos
Cajas de condicionamiento. Las ratas fueron entrenadas en cuatro cajas de condicionamiento ubicadas en un cubículo de atenuación del sonido (MED Associates). Cada caja mide 24.1 cm de largo, 29.2 cm de ancho y 21 cm de alto. El suelo es de barras de aluminio (0.4 cm de diámetro, con una separación de 1.1 cm entre ellas). En el centro de una de las paredes laterales hay un agujero de 5 cm con una profundidad de 3.5 cm, a través del cual se puede introducir un bebedero desde el exterior. El tiempo de contacto con el bebedero (TB) fue la variable dependiente. Cuando el animal introduce su cabeza en el cubículo que contiene el pico del bebedero, interrumpe un haz de luz generado por un circuito de fotoceldas y se registra automáticamente el TB en un ordenador. El TB correlaciona positiva y significativamente con la cantidad de líquido ingerido en mililitros (Mustaca et al., 2002), y permite evaluar la respuesta de acercamiento al bebedero en pruebas en las que se omite el reforzador presentando un bebedero vacío. Las soluciones de sacarosa (peso/peso) se prepararon disolviendo azúcar comercial en agua destilada.
Procedimiento
Exposición a sacarosa durante la adolescencia
Entre los DPN 30 y 46, los animales tuvieron acceso permanente a alimento y agua de grifo. La mitad tuvo acceso a una segunda botella que contenía una solución de sacarosa al 5% (condición Sacarosa, n = 21), mientras que el resto sólo accedió a dos botellas de agua (condición Agua, n = 21). La solución de sacarosa se preparó disolviendo azúcar comercial en agua de grifo (p/p). La asignación a los grupos se realizó contrabalanceando la camada de pertenencia, de forma tal que ambas condiciones tuvieran animales de todas las camadas. El peso de los animales fue registrado diariamente durante los días que duró la exposición adolescente a la sacarosa. El DPN 46 se retiró la solución de sacarosa, dejando sólo el agua disponible.
Contraste Sucesivo Negativo consumatorio (CSNc) y Extinción consumatoria (Ec)
Una vez que los animales alcanzaron el 83% del peso ad libitum en el DPN 88 aproximadamente, los grupos Sacarosa y Agua se dividieron entre las condiciones del CSNc: control y experimental. La asignación de los animales se realizó de forma tal que las condiciones no difirieran en sus pesos promedio. Durante la fase de precambio del CSNc (10 días), los animales de la condición experimental recibieron una solución de sacarosa al 32% en ensayos diarios de 5 minutos cada uno, mientras que los controles obtuvieron la solución al 4%. Desde el día 11 hasta el 15 inclusive (fase de postcambio), todos los animales tuvieron acceso a la solución al 4%. Las soluciones de sacarosa (peso/peso) se prepararon mezclando azúcar comercial en agua destilada. Se utilizaron estas concentraciones por ser las más utilizadas en la literatura (Annicchiarico, et al., 2016; Cuenya, et al., 2015; Flaherty, 1996). En cada ensayo los animales eran trasladados de a cuatro desde la sala de alojamiento a la sala de evaluación, contrabalanceando el orden de la tanda. De este modo, el diseño experimental del CSNc quedó conformado por cuatro grupos (la numeración corresponde a la solución de sacarosa recibida en las fases de pre y postcambio): Sac 4-4 (n = 10), Agua 4-4 (n = 11), Sac 32-4 (n = 11) y Agua 32-4 (n = 10). En los días 16, 17 y 18 se realizó la Ec en los sujetos correspondientes a los grupos control en el CSNc (i.e., animales con 15 ensayos previos con el 4%). Las ratas fueron expuestas a ensayos de 5 min cada uno de acceso a un bebedero vacío, midiendo el TB. Se decidió excluir de esta prueba a los sujetos de los grupos experimentales del CSNc para que la experiencia previa no modificara sus respuestas en la Ec. De esta forma, el diseño experimental de la Ec quedó conformado por los sujetos Sacarosa (n = 10) y Agua (n = 11).
Análisis de datos
Para el análisis de datos se empleó el paquete estadístico IBM SPSS 21. Para el análisis de los pesos en la adolescencia se utilizó un modelo mixto de ANOVA, con factor intrasujeto Día Postnatal (16) y factor intersujeto Preexposición (Sacarosa vs Agua). El peso adulto se comparó con la prueba t de Student para muestras independientes y se computó el tamaño del efecto con g de Hedges. Los datos del CSNc se analizaron con modelos mixtos de ANOVA por separado para la fase de pre y postcambio. Se contó con un factor intrasujeto (Ensayo, 10 en el precambio y 5 en el postcambio) y dos factores intersujeto: Preexposición (Sacarosa vs Agua) y Contraste (Control vs Experimental). El ANOVA para el análisis de la Ec contó como factor intrasujeto al factor Ensayo (3) y como factor intersujeto Preexposición (Sacarosa vs Agua). Se empleó la corrección de Greenhouse-Geisser, con la consecuente corrección de los grados de libertad, cuando los datos no cumplieron el supuesto de esfericidad. Se computó el eta cuadrado parcial (ηp2) para obtener el tamaño del efecto de los factores. Se realizó el método pairwise comparison para detectar diferencias individuales como prueba post hoc. El nivel de significación alpha se estableció en .05.
Resultados y Discusión
Pesos
No se observaron diferencias en los pesos de los sujetos en ninguna de las mediciones realizadas en el período adolescente, mostrando un incremento parejo y progresivo entre las condiciones. Un ANOVA de medidas repetidas mostró un efecto principal del factor intrasujeto Día Postnatal, F(9.1, 364.06) = 135.76, p < .001, ηp2 = 0.77, evidenciando un incremento significativo del peso, mientras que no se observó efecto principal significativo del factor intersujeto Preexposición, F(1, 40) = 0.65, p < .42, ηp2 = 0.01, ni tampoco de la interacción entre ambos, F(9.1, 364.06) = p < 1, ηp2 = 0.003. En el DPN 80, luego de individualizar a los animales, se obtuvo el peso promedio de los dos primeros días. Se observó que los sujetos con preexposición a la sacarosa pesaron más que los controles, con una media de 337.17 y 316.57, respectivamente. Esta diferencia mostró un tamaño del efecto mediano, aunque no arribó a la significación estadística, t(40) = -1.77, p < .09, g = 0.54. Al eliminarse del análisis un caso del grupo Sacarosa con un peso considerablemente por debajo de la media de su grupo (227 gr, z = -2.55), se observa que los animales con preexposición tuvieron un peso promedio en la adultez significativamente superior, t(39) = -2.48, p < .02, g = 0.77.
Contraste Sucesivo Negativo consumatorio (CSNc)
Precambio
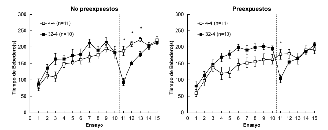
La respuesta consumatoria en el precambio mostró un incremento paulatino tanto en ratas con y sin preexposición adolescente, y un nivel de adquisición de la conducta más pronunciado en los sujetos entrenados con una solución del 32% que con una del 4%, evidenciando efecto de la magnitud del reforzador sobre la respuesta (ver Fig. 1). En primer lugar, se comparó el TB de las condiciones en el ensayo 1 con el fin de evaluar si la exposición adolescente a una solución azucarada altera la respuesta inicial ante estas soluciones en la adultez. Un ANOVA con factores intersujeto Preexposición y Contraste realizado sobre el TB del ensayo 1 no mostró efecto principal significativo de ninguno de los factores ni de sus interacciones, Fs < 1.77, ηs < 0.04. Al analizar el TB de todos los ensayos del precambio, se halló un efecto principal significativo asociado al factor Ensayo, F(5.32, 191.6) = 54.41, p < .001, ηp2 = 0.6, y del factor Contraste, F(1, 36) = 7.49, p < .02, ηp2 = 0.17, sin efecto principal significativo del factor Preexposición ni de las interacciones, Fs < 1.37, ηp2 < 0.03.
Postcambio
En la fase de postcambio, cuando todos los animales tuvieron acceso al 4%, se observó una disminución abrupta y transitoria del TB de los grupos 32-4 con respecto a los 4-4 en sujetos con y sin preexposición (ver Fig. 1). Al compararse las curvas entre ambas condiciones, se observa que en la condición con preexposición adolescente a la sacarosa, el efecto de contraste negativo (i.e., menor TB en el 32-4) se encuentra presente durante 1 día, mientras que en ratas sin preexposición se observa durante 3 ensayos. Al realizar un ANOVA se obtuvo efecto principal significativo de Ensayo, F(3.23, 122.98) = 59.71, p < .001, ηp2 = 0.61, Contraste, F(1, 38) 12.91 = p < .001, ηp2 = 0.25, mientras que el efecto principal de Preexposición no alcanzó la significación, F(1, 38) = 3.24, p < .09, ηp2 = 0.79. Con respecto a las interacciones, se observó significación en Ensayo x Contraste, F(3.23, 122.98) =28.03, p < .001, ηp2 = 0.42, y Ensayo x Preexposición, F(3.23, 122.98) =3.61, p < .02, ηp2 = 0.08, mientras que no se halló significación asociada a la interacción Contraste x Preexposición y a la triple interacción Ensayo x Contraste x Preexposición, Fs < 1.98, ηp2s < 0.05.

Si bien no se halló efecto significativo de la triple interacción, se realizaron comparaciones planeadas para cada uno de los ensayos, ya que en el marco de un protocolo de CSNc existen hipótesis direccionales (i.e., menor TB en 32-4) en los dos primeros días de postcambio que podrían no ser capturadas por análisis globales que abarquen una mayor cantidad de ensayos. La prueba pairwise comparison arrojó diferencias significativas entre los no pre-expuestos 32-4 vs 4-4 en los días 11, p < .001, ηp2 = 0.42, día 12, ηp2 = 0.36, p < .001, y día 13, p < .003, ηp2 = 0.21. Por el contrario, la comparación entre los pre-expuestos 32-4 vs 4-4 mostró significación estadística únicamente en el día 11, p < .001, ηp2 = 0.31, y una significación marginal en el 12, p < .06, ηp2 = 0.09. Por su parte, los grupos 4-4 pre-expuestos consumieron significativamente menos que los 4-4 no pre-expuestos, F(1, 38) = 5.15 , p < .03, ηp2 = 0.11, específicamente en el ensayo 12, p < .03, ηp2 = 0.12, y ensayo 13, p < .001, ηp2 = 0.31. Entre los grupos 32-4 de ambas condiciones de preexposición no se observaron diferencias, F(1, 38) = 0.07, p < .79, ηp2 = 0.002.
Extinción consumatoria (Ec)
En la Fig. 2 se observa una disminución abrupta y progresiva del TB a lo largo de esta prueba en ambas condiciones, con una menor persistencia en los animales del grupo Sacarosa. El ANOVA arrojó efecto principal significativo de Ensayo, F(2, 38) = 7.32, p < .01, ηp2 = 0.27, y Preexposición, F(1, 19) = 6.84, p < .02, ηp2 = 0.26, sin interacción entre ambos, F(2, 38) = 0.21, p < .81, ηp2 = 0.01.

Experimento 2
Con el fin de evaluar la preferencia por una solución al 4% de animales con o sin preexposición adolescente a la sacarosa, se realizó una prueba de preferencia en la jaula hogar 24 horas después de finalizado el protocolo de Ec. Si, tal como sugieren los datos del Experimento 1, la preexposición deteriora el impacto motivacional del 4%, se esperaría hallar en animales expuestos a este protocolo una menor preferencia en comparación con los sujetos no pre-expuestos
Sujetos
Se emplearon los mismos animales que en el experimento 1, en las mismas condiciones de alojamiento y privación de alimento
Procedimiento
Veinticuatro horas después de finalizado el protocolo de Ec, los animales tuvieron acceso durante 2 horas en sus jaulas hogar a 2 botellas, una con agua y otra con solución azucarada al 4%. Las botellas fueron colocadas de forma tal que ambas fueran igualmente accesibles para los animales, contrabalanceando su posición en el lado derecho o izquierdo de la jaula. Se registró el peso en gramos de líquido antes y después de la prueba.
Se obtuvo la proporción de consumo de sacarosa en relación al consumo total de líquidos como indicador de la preferencia por el 4% a través de la siguiente fórmula: Proporción de consumo de sacarosa = Consumo en gramos de sacarosa / (Consumo en gramos de sacarosa + consumo en gramos de agua). En esta fórmula, valores equivalentes a 0.5 significan igual preferencia por la sacarosa y el agua, valores superiores a 0.5 indican preferencia por la sacarosa, y valores inferiores a 0.5 preferencia por el agua. Finalmente, se obtuvo la cantidad de gramos de solución de sacarosa consumidos por cada 100 g de peso corporal.
Análisis de datos
Para determinar la preferencia por la solución, se comparó la media de la proporción de consumo de 4% con el valor 0.5 (i.e., sin preferencia) a través de la prueba t de Student para una muestra. Para comparar las proporciones de consumo de 4%, se empleó la prueba t de Student para muestras independientes, utilizando la corrección de Welch por la no homogeneidad de varianzas. Para la comparación de la cantidad de gramos consumidos de solución por cada 100 g de peso corporal se empleo la prueba t de Student para muestras independientes. Se calcularon los tamaños del efecto con la d de Cohen y la g de Hedges. El nivel de significació
Para determinar la preferencia por la solución, se comparó la media de la proporción de consumo de 4% con el valor 0.5 (i.e., sin preferencia) a través de la prueba t de Student para una muestra. Para comparar las proporciones de consumo de 4%, se empleó la prueba t de Student para muestras independientes, utilizando la corrección de Welch por la no homogeneidad de varianzas. Para la comparación de la cantidad de gramos consumidos de solución por cada 100 g de peso corporal se empleo la prueba t de Student para muestras independientes. Se calcularon los tamaños del efecto con la d de Cohen y la g de Hedges. El nivel de significación alpha se fijó en .05.
Resultados
No se hallaron diferencias en el nivel de preferencia entre los animales que en el Exp. 1 fueron 32-4 en el CSNc y los que fueron 4-4 y atravesaron por la Ec, t(40) = 0.9, p < .38, g = 0.27, por lo que los datos de la prueba de preferencia fueron analizados en conjunto, comparando sujetos con o sin preexposición adolescente a la sacarosa. Tal como se observa en la Fig. 3, ambos grupos mostraron una marcada preferencia por la solución azucarada al 4% en relación al agua, que resultó ser significativa tanto para animales pre-expuestos, t(20) = 18.35, p < .001, d = 4, como para los no pre-expuestos, t(20) = 70.33, p < .001, d = 15.34. Cuando se compararon los grupos entre sí, se observó que la proporción de consumo fue significativamente mayor en los animales no pre-expuestos, t(23.59) = 2.69, p < .02, g = 0.83. Finalmente, también se observó que la cantidad de gramos de solución consumida por cada 100 g de peso corporal fue significativamente menor en los animales pre-expuestos (M = 24.7, DE = 10.25) en comparación a la condición control (M = 31.1, DE = 8.41), t(40) = 2.20, p < .04, g = 0.68.

Discusión General
Los resultados obtenidos en ambos experimentos fueron consistentes con la hipótesis que sugiere que la exposición adolescente a bebidas azucaradas produce efectos motivacionales de largo término verificables en la adultez. En primer lugar, se observó que los animales expuestos a sacarosa al 5% en su adolescencia tendieron a ser más pesados en la adultez en comparación a los animales no pre-expuestos. Estos hallazgos son consistentes con lo encontrado por Reichelt, Killcross, Hambly, Morris y Westbrook (2015), quienes también observaron sobrepeso en sujetos adultos que fueron expuestos a una solución de sacarosa al 10% durante 2 horas diarias entre los DPN 28 y 56. Sin embargo, las diferencias en el peso podrían reflejar no solo variaciones motivacionales y de ingesta, sino otras alteraciones que modifiquen la tasa metabólica, tal como el nivel de actividad general. Estudios previos muestran que los animales adultos con o sin exposición adolescente a la sacarosa no difieren en su nivel de actividad general en una prueba de campo abierto (Frazier, Mason, Zhuang, & Beeler, 2008; Reichelt et al., 2015) ni en una prueba de actividad en una rueda circular (Frazier et al., 2008). En este estudio, la ingesta de alimento y líquido de los animales adultos en sus jaulas hogar no fue medida, pero investigaciones previas mostraron un incremento en la ingesta de soluciones azucaradas cuando los animales tenían acceso libre y prolongado (e.g., Sato et al., 1991). El sobrepeso observado en los animales expuestos a la sacarosa podría estar asociado con alteraciones motivacionales de largo término que impactan en el nivel de ingesta.
Respecto del valor absoluto del reforzador (i.e., la respuesta consumatoria ante su presentación), no se encontraron diferencias hacia la solución al 32%, pero al analizar las respuestas hacia la solución al 4% se halló que los animales pre-expuestos a la sacarosa tuvieron un menor TB en comparación a los sujetos controles en algunos ensayos de la fase de postcambio. Estos datos son consistentes con lo obtenido en el Experimento 2, donde se halló una preferencia significativamente menor hacia una solución azucarada al 4% en animales con tratamiento adolescente. Otros estudios reportaron hallazgos similares: por ejemplo, Naneix y cols. (2016), utilizando un protocolo parecido de exposición adolescente, también encontraron una preferencia menor por una solución de sacarosa al 5% y por una de sacarina al 0.13%. El mismo patrón fue hallado por Vendruscolo y cols. (2010). Estas diferencias en la ingesta no parecen ser resultado de una deficiencia en el procesamiento sensorial primario de las soluciones palatables. En primer lugar, no se hallaron diferencias en el TB en los primeros ensayos de precambio. Por otro lado, ambas condiciones mostraron efecto de magnitud del reforzador durante el precambio (i.e., mayor TB ante el 32% que ante el 4%). Además, investigaciones recientes sobre el mismo tratamiento adolescente no hallaron diferencias de activación del núcleo talámico gustatorio y la corteza insular en la adultez inducida por la sacarosa, áreas neurales involucradas en la detección periférica y el procesamiento sensorial inicial (Naneix et al., 2016).
No queda claro por qué no se halló una respuesta consumatoria menor hacia la solución al 32%. En relación a este punto, cabe tener en cuenta que las predicciones sobre las consecuencias de la exposición adolescente al azúcar sobre la ingesta adulta dependen de las características de la situación consumatoria. Sato y cols. (1991) encontraron que los animales expuestos a una solución azucarada al 10% entre los DPN 21 y 42 mostraron un consumo adulto más elevado de una solución al 30% cuando el acceso a la misma fue continuo. Como sugieren Frazier y cols. (2008), el déficit motivacional es expresado en tareas que demandan esfuerzo para obtener el reforzador; pero cuando este permanece disponible, los animales muestran un consumo incrementado, explicando así el sobrepeso adulto. En el CSNc los animales deben adquirir la conducta de aproximación en ensayos restringidos de 5 minutos. Debido a esta característica, se espera un menor TB en los animales pre-expuestos a la sacarosa como expresión de un déficit motivacional. Sin embargo, es posible que los parámetros del protocolo (e.g., tiempo del ensayo, cantidad de ensayos necesarios para adquirir la respuesta, cantidad de ensayos con la misma solución) hayan dificultado la observación de un menor consumo de solución al 32%
Los protocols de CSNc y Ec también permitieron evaluar el valor relativo del reforzador y las respuestas de frustración ante su devaluación u omisión. En el CSNc se halló que los animales expuestos a la sacarosa en la adolescencia tuvieron un efecto de contraste negativo de menor duración que los controles. Mientras que estos últimos tuvieron un efecto de contraste negativo de 3 ensayos tal como es esperado en condiciones normales (e.g., Cuenya et al., 2012; Cuenya, Fosacheca, & Mustaca, 2013), los animales pre-expuestos a la sacarosa tuvieron el efecto durante el primer día de postcambio, lo que sugiere una respuesta de frustración atenuada ante la devaluación inesperada de un reforzador. Sin embargo, estos datos, por sí solos, constituyen un apoyo modesto a la hipótesis del estudio. El análisis estadístico global no arrojó efecto significativo en la triple interacción de los factores y no se hallaron diferencias ante la devaluación del incentivo al compararse ambos grupos 32-4. Por su parte, los datos en la Ec sí mostraron un apoyo robusto a la hipótesis del estudio. Los animales expuestos a la sacarosa en su adolescencia tuvieron un menor TB a lo largo de los ensayos de Ec, sugiriendo un impacto emocional atenuado ante la pérdida del reforzador esperado. Juntos, los datos configuran un patrón de resultados tendientes a confirmar la hipótesis del déficit motivacional generado por el tratamiento adolescente, asociado con un menor impacto emocional ante situaciones estresantes como la pérdida de un reforzador esperado.
Una limitación del presente estudio, que debe ser tenida en cuenta con el fin de matizar la generalización de los datos, es que fue realizado únicamente en machos, al igual que la mayoría de los estudios sobre relatividad de los incentivos en ratas (Cuenya et al., 2013; Cuenya et al., 2015; Flaherty, 1996; Mustaca et al., 2002). Existe la posibilidad que las alteraciones motivacionales por exposición adolescente a la sacarosa reportadas no sean generalizables a hembras. Los escasos trabajos que han indagado el dimorfismo sexual en estos efectos han reportado la existencia de diferencias entre hembras y machos. Reichelt y cols. (2016) hallaron un efecto opuesto en hembras: mayor disposición a palanquear por igual magnitud de reforzador (Reichelt et al., 2016). En estudios realizados con humanos, se halló que hombres con grandes volúmenes de consumo de azúcar mostraban mayores problemas inhibitorios en tareas cognitivas comparados con hombres sin ese nivel de consumo, mientras que en mujeres tales diferencias no se observaron (Ames et al., 2014). Estos antecedentes, aunque escasos, advierten que el patrón de consecuencias de la exposición a altas cantidades de azúcar podría variar en función del sexo, por lo que las generalizaciones de los datos del presente estudio deben circunscribirse a machos. Futuras investigaciones del equipo indagarán las diferencias entre hembras y machos en los efectos reportados.
La adolescencia es un período ontogenético sensible, donde se desarrollan los circuitos meso-córtico-límbicos responsables de la formación de los subsistemas motivacionales. Tanto adolescentes humanos (e.g., Krebs-Smith, 2001) como roedores (e.g., Wurtman, & Wurtman, 1979) consumen mayor cantidad de azúcar que los adultos, dada su mayor sensibilidad a reforzadores palatables (Wilmouth, & Spear, 2009). Su consumo en exceso puede producir alteraciones conductuales y neurobiológicas comparables a las adicciones (e.g., Avena, Rada, & Hoebel, 2008), hiperestimulando la actividad límbica y pudiendo afectar el neurodesarrollo y las respuestas al alimento palatable.
Conclusión
El incremento de la disponibilidad de alimentos altamente palatables, especialmente en su forma de bebidas azucaradas, es una condición ambiental creciente en la sociedad moderna, particularmente entre los adolescentes. Los hallazgos en modelos animales sugieren que el consumo de azúcar en este período no sólo se asocia a consecuencias médicas, sino también psicológicas de largo término constatables en la adultez. Un efecto como el déficit motivacional hacia reforzadores palatables podría llevar a los individuos a aumentar su consumo e incrementar la propensión al sobrepeso. Estos resultados resaltan la necesidad de una revisión de los aspectos nutricionales de un grupo en desarrollo como son los adolescentes.
REFERENCIAS
Adrian, W., Chiarotti, F., & Laviola, G. (1998). Elevated novelty seeking andpeculiar d-amphetamine sensitization in periadolescent mice compared with adult mice. Behavioral Neuroscience, 112, 1152–66.
Amsel, A. (1992). Frustration theory. Cambridge, UK: Cambridge University Press. Appleton. Traducción al castellano en Madrid: Alianza, 1984.
Annicchiarico, I., Glueck, A.C., Cuenya, L., Kawasaki, K., Conrad, S.E., & Papini, M.P. (2016). Complex effects of reward upshift on consummatory behavior. Behavioural Processes, 129, 54-67.
Avena, N.M., Rada, P., & Hoebel, B.G. (2008). Evidence for sugar addiction: Behavioral and neurochemical effects of intermittent, excessive sugar intake. Neuroscience & Biobehavioral Reviews, 32, 20-39.
Cuenya, L., Annicchiarico, I., Serafini, M., Glueck, A., Mustaca, A. E., & Papini, M. R. (2015). Effects of shifts in food deprivation on consummatory successive negative contrast. Learning and Motivation, 52, 11-21.
Cuenya, L., Fosacheca, S., & Mustaca, A.E. (2013). Individual differences in frustration responses. Revista Argentina de Ciencias del Comportamiento, 5, 3-14.
Cuenya, L., Fosacheca, S., Mustaca, A., & Kamenetzky, G. (2012). Effects of isolation in adulthood on frustration and anxiety. Behavioural Processes, 90, 155-160.
Cuenya, L., Mustaca, A., & Kamenetzky, G. (2015). Postweaning isolation affects responses to incentive contrast in adulthood. Developmental Psychobiology, 57, 177-188.
Flaherty, C.F. (1996). Incentive relativity. Cambridge, UK: Cambridge University Press.
Fone, K.C.F., & Porkess, M.V. (2008). Behavioural and neurochemical effects of post-weaning social isolation in rodents – Relevance to developmental neurpsychiatric disorders. Neuroscience and Biobehavioral Reviews, 32, 1087-1102.
Frazier, C.R., Mason, P., Zhuang, X., & Beeler, J.A. (2008). Sucrose exposure in early life alters adult motivation and weight gain. PloS one, 3, e3221.
Kending, M.D. (2014). Cognitive and behavioural effects of sugar consumption in rodents. A review. Appetite, 80, 41-54.
Kending, M.D., Boakes, R.A., Rooney, K.B., & Corbit, L.H. (2013). Chronic restricted access to 10% sucrose solution in adolescent and young adult rats impairs spatial memory and alters sensitivity to outcome devaluation. Physiology & Behavior, 120, 164-172.
Krebs-Smith, S.M. (2001). Choose beverages and foods to moderate your intake of sugars: measurement requires quantification. The Journal of nutrition, 131, 527S-535S.
Matthews, M., Bondi, C., Torres, G., & Moghaddam, B. (2013). Reduced presynaptic dopamine activity in adolescent dorsal striatum. Neuropsychopharmacology, 38, 1344–1351.
Mustaca, A.E., Freidin, E., & Papini, M.R. (2002). Extinction of consummatory behavior in rats. International Journal of Comparative Psychology, 15, 1-10.
Naneix, F., Darlot, F., Coutureau, E., & Cador, M. (2016). Long lasting deficits in hedonic and nucleus accumbens reactivity to sweet rewards by sugar overconsumption during adolescence. European Journal of Neuroscience, 43, 671–680.
Primus, R.J., & Kellogg, C.K. (1989). Pubertal-related changes influence the development of environment-related social interaction in the male rat. Developmental Psychobiology, 22, 633–43.
Reichelt, A.C., Killcross, S., Hambly, L.D., Morris, M.J., & Westbrook, R.F. (2015). Impact of adolescent sucrose access on cognitive control, recognition memory, and parvalbumin immunoreactivity. Learning & Memory, 22, 215-224.
Sato, N., Shimizu, H., Shimomura, Y., Uehara, Y., Takahashi, M., & Negishi, M. (1991). Sucrose feeding at weaning alters the preference for sucrose in adolescence. Experimental and Clinical Endocrinology & Diabetes, 98, 201-206.
Spear, L.P. (2000). Neurobehavioral changes in adolescence. Current directions in psychological science, 9, 111-114.
Vendruscolo, L.F., Gueye, A.B., Darnaudéry, M., Ahmed, S.H., & Cador, M. (2010). Sugar overconsumption during adolescence selectively alters motivation and reward function in adult rats. PLoS ONE, 5, 1-9.
Wilmouth, C.E., & Spear, L.P. (2009). Hedonic sensitivity in adolescent and adult rats: Taste reactivity and voluntary sucrose consumption. Pharmacology Biochemistry and Behavior, 92, 566-573.
Wurtman, J.J., & Wurtman, R.J. (1979). Sucrose consumption early in life fails to modify the appetite of adult rats for sweet foods. Science, 205, 321-2.