ARTÍCULOS

DOI: https://doi.org/10.30972/crn.28284322
Resumen:
El trabajo estudia el Factor de Forma (FF), en el Área Metropolitana de Mendoza (AMM) y sus seis jurisdicciones político-administrativas (denominadas departamentos), como parte de la problemática del desarrollo ambiental y energéticamente sostenible del sector edilicio en ciudades de la región árida del centro-oeste de Argentina.
Metodológicamente se calculó la superficie de envolvente y volumen para los edificios construidos en el área de estudio, en sistemas de información geográfica (SIG), que permitieron obtener resultados y analizar estadísticamente la variable FF (considerando para su cálculo una o dos superficies horizontales de pérdida), categorizada en función de una escala de valores en tres categorías. La evaluación indica, para todos los departamentos, predominancia de construcciones en la Categoría 2. Los resultados han permitido desarrollar información significativa disponible para estudios futuros de estrategias y prospectivas de carácter energético. Las conclusiones del estudio espacial evidencian que es posible elaborar estrategias energéticas, basadas en los edificios existentes, identificando construcciones con valores de FF superiores a 1.20 y departamentos que requieren una prioridad de intervención.
Palabras clave: Morfología edilicia, eficiencia energética, relación envolventes/volumen.
Abstract:
This work studies the Form Factor (FF), in the Metropolitan Area of Mendoza (AMM) and its six political-administrative jurisdictions (called departments), as part of the problem of environmental and energy-sustainable development of the building sector in cities placed on the arid region of central-western Argentina.
Methodologically, the surface area and volume were calculated for the buildings constructed in the study area, based on the Geographic Information Systems (GIS), which allowed obtaining results and statistically analyze the variable FF (considering for its calculation one or two horizontal loss surfaces) categorized according to a scale of values in three categories. The evaluation indicates, for all the departments, predominance of constructions in category 2. The results have allowed the development of significant information which will be available for future studies of energy strategies and prospects. The conclusions of the spatial study show that it is possible to develop energy strategies, based on existing buildings, identifying constructions with FF values greater than 1.20 and departments that require an intervention priority.
Keywords: Building morphology, energy efficiency, surface to volume ratio (S/V).
Resumo:
O trabalho estuda o Fator de Forma (FF), na Área Metropolitana de Mendoza (AMM) e suas seis jurisdições político-administrativas (chamados de departamentos), como parte do problema do desenvolvimento ambiental e energeticamente sustentável do setor edilício nas cidades da região árida do centro-oeste da Argentina.
Metodologicamente, a superfície da envolvente e o volume dos edifícios construídos na área de estudo foram calculados em Sistemas de Informação Geográfica (SIG), o que permitiu obter resultados e analisar estatisticamente a variável FF (considerando para o seu cálculo uma ou duas superfícies horizontais de perda), categorizada de acordo com uma escala de valores em três categorias. A avaliação indica, para todos os departamentos, predominância de construções na categoria 2. Os resultados permitiram o desenvolvimento de informações significativas disponíveis para estudos futuros de estratégias e prospectivas de carácter energético. As conclusões do estudo espacial evidenciam que é possível elaborar estratégias energéticas, baseadas nos edifícios existentes, identificando construções com valores de FF superiores a 1.20 e departamentos que requerem uma prioridade de intervenção.
Palavras-chave: Morfologia edilícia, eficiência energética, relação envolvente/volume.
Introducción
Más de la mitad de la población mundial (el 57 %) reside en centros urbanos, aunque en América Latina la población urbana alcanza el 81.1 %. Argentina ha experimentado al respecto un crecimiento desde 1950, ya que se incrementó del 64.7 % al 92.4 % en 2019 (CEPAL, 2019; Banco Mundial, 2019). El aumento de la población urbana, la fuerte expansión de las ciudades y las actividades antropogénicas, especialmente en los países en desarrollo, adquieren relevancia en la relación hábitat y energía.
En Argentina la mayor parte de la energía que se utiliza proviene de fuentes de energía no renovable, con un aumento sostenido del consumo anual en los últimos años, que superó en 2018 el máximo histórico de invierno (CAMMESA, 2019). El sector residencial nacional consume el 25 % de la energía total, siendo el segundo consumidor de energía más importante después del transporte (Gobierno de Argentina, 2019). En la provincia de Mendoza, el consumo del sector edilicio residencial representa el 28 % de la demanda energética total, con una eficiencia (Consumo Neto/Consumo Útil) del 55 %. Del 100 % de energía utilizada en el sector, el 41,1 % es utilizada para calefacción y el 32,6 %, para calentamiento de agua (Ministerio de Ambiente y Obras Públicas de Mendoza, 1998). El consumo de energía en la edificación es principalmente dependiente de las condiciones del clima urbano y de la morfología urbano-edilicia. El uso de la energía en el ambiente construido es, sin lugar a dudas, uno de los aspectos esenciales para ser abordado por planificadores y diseñadores.
Muchos estudios científicos han discutido y señalado que la morfología urbano-edilicia es un tema clave para determinar el consumo general de energía en las ciudades (Owens, 1986; Givoni, 1998, Breheny, 1996; Droege, 2007; Jones, Williams & Lannon, 2000; Ratti, Raydan & Steemers, 2003; Steemers, 2003). Desde la década de 1960 la relación entre forma y rendimiento energético del entorno construido ha sido ampliamente estudiada. Se plantearon analogías morfológicas entre la vegetación y las edificaciones en diferentes zonas climáticas, se desarrolló el concepto de “Forma Óptima” y se determinó el efecto del volumen en la capacidad de almacenamiento de calor (Olgyay, 2015). En el libro Sol y Arquitectura se establece un Coeficiente de Forma que relaciona la superficie total de las paredes y el techo (en contacto con el aire exterior) con el volumen habitable (Bardou & Arzoumanian, 1980), y se destaca la importancia de dichas envolturas en las necesidades energéticas. Posteriormente Arquitectura y clima en zonas áridas (Papparelli et al., 2001) presenta el FF como la relación entre la superficie de la envolvente (piso, techos y paredes) y el volumen contenido por estas superficies (NHBC Foundation, 2016). Se han desarrollado además otros factores morfológicos edilicios (Filippín & Flores Larsen, 2009; Allard, Olofsson & Nair, 2017; Esteves, A., Esteves, M., Mercado, Barea & Gelardi, 2018).
El FF se ha correlacionado con el uso de energía profundizado en la morfología edilicia (Depecker, Menezo, Virgone, & Lepers, 200; Ratti, Baker & Steemers, 2005; Salvatia, Cocha & Morgantia, 2017) y su impacto en edificios residenciales con diferentes propiedades de envoltura térmica para distintas zonas climáticas regionales (Danielski, Fröling & Joelsson, 2012). Dicha relación se estudió en departamentos en torre, y se concluyó que la forma eficiente está representada por valores de FF entre 0.6m²/m³ y 1.2m²/m³ (Esteves, 2013). Para una casa unifamiliar típica del norte europeo es 0.8 m²/m³ - 1.0 m²/m³ (Lylykangas, 2009) y para una casa pasiva el FF recomendado es ≤ 0.8 m²/m³ - 0.5m²/m³ (2002 y 2009, respectivamente) (EnEV, 2019).
Algunas ciudades han incorporado el FF como requisito en nuevas urbanizaciones, alquiler o venta de viviendas (UNECE, 2018). En el AMM no existe legislación al respecto; por lo tanto, es importante conocer la situación actual para poder legislar a futuro.
Numerosos modelos y herramientas están disponibles en la actualidad para evaluar la demanda energética potencial a escala edilicia. Sin embargo, la complejidad de la temática a escala urbana (Frayssinet et al., 2018) ha llevado a la formulación de modelos estadísticos alternativos que exploran la correlación entre variables espaciales y patrones de energía (Lee & Lee, 2014; Yin, Mizokami & Maruyama, 2013; Rodríguez-Álvarez, 2016; Delmastro, Mutani & Schranz, 2016; Martins, Faraut & Adolphe, 2019).
Para el AMM se ha desarrollado un modelo estadístico de regresión lineal múltiple que permitió evaluar el potencial solar de entornos urbanos, determinar a escala urbana las variables significativas urbanas y edilicias, desarrollar indicadores energéticos e identificar las alternativas morfológicas más eficientes energéticamente para la calefacción de espacios (Arboit, Diblasi, Fernández Llano & De Rosa, 2008). Se desarrollaron herramientas para evaluar el efecto de la forma urbana sobre la demanda energética en la situación actual y simulado distintos escenarios futuros de evolución de la ciudad (Arboit, Mesa, Diblasi, Fernandez Llano & de Rosa, 2010), y se llegó a conclusión de que una de las variables de mayor importancia en la conservación de energía es el FF. Otros modelos de regresión lineal multivariado permitieron identificar de una amplia gama de variables las más influyentes en el consumo de energía en edificios (Walter & Sohn, 2016). En dichos estudios, uno de los desafíos principales para desarrollar un análisis robusto y detallado es la disponibilidad de datos energéticos y la información del entorno construido (Caputo & Pasetti, 2017). En este sentido, la determinación del FF para el AMM a escala edilicia aporta a la construcción de una base de datos local.
A escala urbana, los datos generados en sistemas de información geográfica (SIG) son vinculados con modelos estadísticos (Li, 2018; De Jaeger, Reynders, Ma & Saelens, 2018; Nageler et al., 2017). Algunos modelos han permitido estimar el consumo de energía de edificios residenciales para calefacción de espacios (Torabi, Toniolo, Mutani & Lombardi, 2018). Recientemente para el AMM se ha modelado la distribución espacial del consumo de energía (gas por red) residencial a escala urbana (Mutani, Fontanive & Arboit, 2018), y queda pendiente el objetivo de profundizar el conocimiento de las posibilidades de maximizar la eficiencia energética de los edificios urbanos, considerando las variables morfológicas principales, entre ellas el FF, a fin de completar los resultados de la investigación, extraer conclusiones y elaborar estrategias que permitan a futuro generar propuestas normativas transferibles que tiendan a mejorar las posibilidades de mayor eficiencia energética en los edificios urbanos.
Presentación del caso de estudio
El Área Metropolitana de Mendoza, ubicada a -32.85 latitud, -68.85 longitud y 870 msnm, es el conglomerado urbano más importante de la región, conformado por seis departamentos administrativos: Capital, Godoy Cruz, Guaymallén, Las Heras, Luján de Cuyo y Maipú, dentro del denominado Oasis Norte (figura 1). Presenta inviernos templado-fríos, con valores de 1384°C día anuales de calefacción (B18) y 163°C día anuales de enfriamiento (B23), contando con un generoso recurso solar (4.58 Kwh/m2 día a 5.55 Kwh/m2) y con predominio de cielos claros (Servicio Meteorológico Nacional, 2019).

Ubicación de los Departamentos del AMM, en el oasis de cultivo con aprovechamiento hídrico.
Fuente: elaboración propia en colaboración con Cohn, R.; basada en información de Dirección General de Catastro MendozaMetodología
La investigación se desarrolló sobre la base de la recopilación de la información cartográfica disponible en entorno SIG y del análisis de datos catastrales urbano-edilicios (Dirección Provincial de Catastro, 2010, actualizada a 2012 para Capital y Guaymallén). Los datos se refieren tanto a unidades volumétricas como a lotes catastrales. En la unidad volumétrica edilicia es posible identificar número de pisos, calcular áreas y volumen (suponiendo una altura promedio por piso), por cada lote. Estos datos posibilitaron la confección de mapas base para el AMM, y permitirán la vinculación con datos de población y vivienda (INDEC, 2019), usos del suelo y consumos.
Determinación de valores constructivos
La superficie de las envolventes se consideró como la sumatoria de áreas expuestas de la envolvente de un edificio. Su cálculo es determinante en los intercambios térmicos entre el exterior y el interior de un edificio, ya que a mayor superficie de las envolventes existe una mayor capacidad para transferencia de calor entre exterior e interior.
- En una primera etapa, para la totalidad de los casos de estudio se calculó la sumatoria de las superficies que constituyen la envolvente exterior del edificio, computando dos superficies horizontales de pérdida (pisos y cubiertas) y la totalidad de superficies verticales (paredes). En el caso de edificios adyacentes, se elimina el área común de las paredes entre ambos edificios.

- En una segunda etapa, se calculó la sumatoria de las superficies que constituyen la envolvente exterior con una superficie horizontal de pérdida (cubiertas) y la totalidad de superficies verticales que presentan intercambio térmico con el ambiente (contacto con el exterior). No se consideraron las superficies de piso, ya que su conductancia exterior está condicionada por las características del suelo. Por lo tanto, se calculó una alternativa (sin suelo), ya que el efecto térmico del suelo reduce las fluctuaciones diarias y estacionales de temperatura. Se espera incluir a futuro la profundidad de la cimentación, la forma de vinculación con la tierra y el tipo de suelo.

El volumen edilicio se calculó como la superficie de la base (piso), por el número de pisos (o niveles), por una altura promedio de cada piso (3 m).

El volumen está correlacionado positivamente con la capacidad para almacenar energía, mientras las pérdidas a igualdad de forma son inversamente proporcionales al volumen.
Determinación del Factor de Forma
El Factor de Forma (FF) expresa la relación de forma del edificio, entre el área expuesta de la envolvente de un edificio y su volumen interior. Se expresa en m2/m3.

El Factor de Forma permite cuantificar la relación entre la forma de un edificio y su capacidad de intercambio térmico con el exterior. A mayor superficie de la envolvente, mayor es la superficie de intercambio térmico con el ambiente exterior. El Factor de Forma involucra también un factor de escala (dos formas cúbicas tienen valores de FF distintos en función de sus dimensiones), y se relaciona de manera inversamente proporcional con la compacidad (definida como el cociente entre el volumen edilicio y las superficies que constituyen la envolvente).
Cálculo de Variables FFSV y FFSVx1: el cálculo de superficie de envolvente (SV y SVx1) y volumen edilicio permitió obtener los valores de FF (FFSV y FFSVx1) para los edificios analizados (469117 unidades), que corresponden aproximadamente al 89 % del total del área metropolitana. Las variables FFSV y FFSVx1 se expresan como fracción (figura 2):


Se presentan ejemplos morfológicos simplificados de las variables FFSV y FFSVx1.
Fuente: elaboración propia basada en Bardou &Arzoumanian, 1980; Olgyay, 2015Posteriormente se categorizaron las edificaciones en función de una escala de valores en tres categorías: Categoría 1: <0.60; Categoría 2: de 0.60 a 1.20 y Categoría 3: >1.20.
Análisis estadístico
A partir de los valores de FF y para las categorías definidas se calcularon distintas medidas resúmenes (de posición y dispersión, entre otras), y las correlaciones entre las variables FF se compararon con los valores medios de cada departamento usando análisis de varianza no paramétrico. Se construyeron gráficos de densidades a partir de las categorías definidas sobre el FF.
Resultados
Análisis edilicio de las variables FFSV y FFSVx1

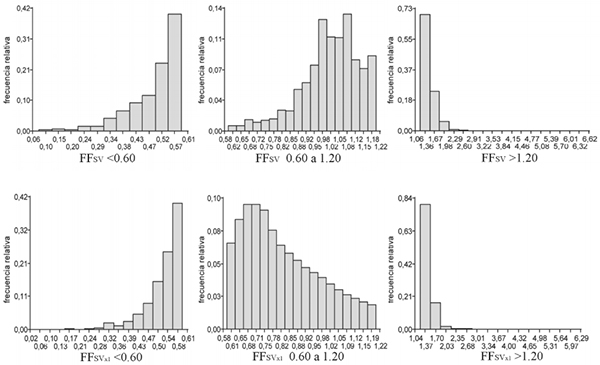
Valores de FFSV en la edilicia.
Fuente: elaboración propia con colaboración de Fontanive, M., con datos de la Dirección General de Catastro Mendoza, 2010En las figuras 3 y 4 se muestran los resultados de valores de FFSV yFFSVx1, para cada edificio analizado en el AMM (correspondiente al cálculo de FF con dos y una superficie de pérdida horizontal SV y SVx1, respectivamente).

Valores de FFSVx1 en la edilicia.
Fuente: elaboración propia con colaboración de Fontanive, M., con datos de la Dirección General de Catastro Mendoza, 2010El FF se calculó para 469117 de un total aproximado de 528401 unidades construidas localizadas en el AMM. Los resultados indican un valor medio edilicio de FFSV de 1.17 y un valor medio edilicio de FFSVx1 de 0.85. En la figura 5 se presentan algunos ejemplos representativos.

Morfologías edilicias del AMM.
Fuente: elaboración propia con colaboración de Fontanive, M., con datos de la Dirección General de Catastro Mendoza, 2010En la tabla 1 se muestran los resultados de los valores medios de FF para 469117 edificaciones analizadas. Existiendo una correlación muy alta entre FFSV y FFSVx1 (r=0.98).

Valores FF y FFSVx1
Fuente: elaboración propiaEl 50 % de los datos centrales para FFSV están entre 1 y 1.30. La mediana es de 1.11 para FFSV y 0.79 para FFSVx1; para este último el 50 % de los datos están entre 0.67 y 0.98.
Categorización de la edilicia en función del factor de forma
En la figura 6 se presentan gráficos de puntos para la categorización de las edificaciones en tres tipologías, en función de los valores de FFSV y FFSVx1: Categorías 1: <0.60, Categoría 2: de 0.60 a 1.20 y Categoría 3: >1.20; y en la figura 7, un histograma para cada una de las categorías antes mencionadas.

Gráfico de puntos para las categorías definidas para el FF.
Fuente: elaboración propiaDe las 469117 unidades analizadas con datos catastrales del AMM, la categoría con mayor representatividad es la 2, con un 63.23 % de la edilicia para FFSV (valor medio 1.01 y mediana 1.03); el 50 % de la edilicia en esta categoría presenta valores de entre 0.95 y 1.10. Existen 12232 datos con valores de FFSV≤0.5, lo que representa un 2.61 % de las edificaciones analizadas en el AMM. Para FFSVx1 el 79.79 % de la edilicia queda clasificada en la Categoría 2 (valor medio 0.82 y mediana 0.79) (tabla 2).

Valores categorizados para FFSV y FFSVx1.
Fuente: elaboración propia

Histograma para cada categoría de FFSV y FFSVx1.
Fuente: elaboración propiaEn la figura 8 se observa un gráfico continuo, en donde visualmente se detectan las áreas con concentración de edilicia categorizada.

Análisis de densidad, número de edificaciones categorizadas por unidad de área.
Fuente: elaboración propiaAnálisis del FF por departamento
Del total de edificaciones analizadas, el 26.43 % corresponde al departamento de Guaymallén (124001 unidades); el 21.22 %, a Godoy Cruz (99564 unidades); el 16.33 %, a Las Heras (76593 unidades); el 14.07 %, a Capital (66015 unidades); el 12.52 %,a Maipú (58720 unidades) y el 9.43 %, a Luján de Cuyo (44224 unidades). Los resultados para todos los departamentos indican valores medios de FF predominantes para la Categoría intermedia 2. Se ofrece un resumen de los valores categorizados FFSV y FFSVx1 por departamento (tabla 3).

Resumen valores categorizados para FFSV y FFSVx1 por departamento.
Fuente: elaboración propiaEl test no paramétrico de Kruskal-Wallis indica que el valor medio FFSV de la edilicia es significativamente distinto en todos los departamentos del AMM. Para FFSV y FFSVx1 las edificaciones del departamento de Las Heras presentan altos valores y las de Capital, bajos valores (tabla 4).

Test de Kruskall-Wallis. Medias ajustadas por departamento.
Fuente: elaboración propia Medias con una letra común son significativamente diferentes (p > 0.0001)En el análisis de los resultados para FFSV por departamento, Capital tiene el mayor porcentaje de edilicia en la Categorías 1: <0.60 comparando con el resto, en este departamento se concentra el 64.28 % de la edilicia de dicha categoría. Los departamentos de Las Heras, Maipú, Luján de Cuyo y Guaymallén poseen menor porcentaje de edificaciones en la Categoría 1 (0.14 %, 0.22 %, 0.31 % y 0.35 %, respectivamente). Todos los departamentos poseen un alto porcentaje de edificaciones en la Categoría 2 (superiores al 60 %), siendo Capital el que presenta el mayor porcentaje: 65.99 %, seguido por Guaymallén y Godoy Cruz, que poseen el 63.88 % y el 63.77 % de su edilicia en la Categoría 2. Los departamentos con mayores porcentajes de edificaciones en la Categoría 3 son Las Heras (39.12 %), Maipú (37.95 %) y Luján de Cuyo (37.45 %). Dentro de la Categoría 3, el departamento con mayores valores medios de FFSV (1.46) es Capital (tabla 3).
En el análisis de los resultados para FFSVx1 (sin considerar superficie de pisos), en Capital el 17.59 % de la edilicia se ubica en la Categoría 1 (representando un 24.33 % del total edilicio en dicha categoría); para el resto de los departamentos el porcentaje en la Categoría 1 es menor al 9 %. Todos los departamentos poseen el mayor porcentaje de edificaciones en la Categoría 2 (superiores al 70 %), siendo Las Heras el que presenta el mayor porcentaje, con el 82.82 % de su edilicia en esta categoría. En la Categoría 3, Capital tiene los valores medios más altos de FFSVx1 (1.44) y Godoy Cruz, los valores medios más bajos (1.40) con una mediana de 1.34.
El 50 % central de los datos en los cinco departamentos excepto Capital oscilan entre 1.00 y 1.32 para FFSV, mientras en Capital FFSV varía entre 0.92 y 1.26 (tabla 5).

FFSV y FFSVx1 entre Q1 y Q3 están comprendidas el 50 % de las edificaciones.
Fuente: elaboración propiaCONCLUSIONES
La investigación ha posibilitado la determinación del FF a escala edilicia para el AMM, conocer los valores en la situación actual y mapear dicha variable. Es importante el conocimiento de valores típicos a escala local, a fin de legislar a futuro incorporaciones del FF como requisito para nuevas construcciones, ampliaciones o para definir estrategias para implementar en refuncionalizaciones. Se concluye que a escala edilicia, el valor medio edilicio de FFSV es de 1.17 y el valor de medio FFSVx1 es de 0.85. La categorización de la edilicia en función del FFSV permitió determinar que el 63.23 % de ellas poseen valores entre 0.60 y 1.20 (Categoría 2).
En el análisis por departamentos para FFSV, Capital es el que tiene el mayor porcentaje de edilicia con Categoría 1 (64.28 %), comparando con el resto, debido a la presencia de tipologías edilicias en altura. Del total de construcciones edilicias analizadas, Capital concentra el 77.95 % de edificios >9 de niveles; el 91.80 % de las construcciones entre 6-9 niveles y el 71.26 % entre 3-5 niveles. En dicho departamento la estrategia posible para refuncionalizaciones debe priorizar ingresos energéticos en invierno dentro de los bloques urbanos a través de aberturas, que permitan además una mayor ganancia solar directa, ventilación e iluminación natural.
En situaciones de alta densidad de construcción, la limitante en el acceso solar (como resultado del enmascaramiento sólido que impone el volumen del edificio) es la principal dificultad que hay que resolver. Dicha estrategia debe ser complementada con tecnología, a partir de acristalamiento, protección solar (en verano y estaciones intermedias) y menor valor de conductividad de muros. Capital es además el departamento con mayores valores medios de FFSVx1 en la Categoría 3. Del total de edificaciones de la Categoría 3 para FFSVx1 están ubicadas en Capital el 100 % de las edificaciones >5 de niveles y el 54.20 % entre 3-5 niveles. En el caso de edificios en altura, las pérdidas por superficies horizontales de cada edificio son comparativamente menores a las pérdidas por muro, donde la estrategia de aislación de envolventes debe priorizarse en superficies verticales (paredes). Se pueden obtener altos porcentajes de ahorro de energía convencional mediante la implementación de estrategias morfológicas y tecnológicas destinadas a optimizar el uso del recurso solar de la región (Arboit & de Rosa, 2013).
Los departamentos de Las Heras, Maipú, Luján de Cuyo, Guaymallén y Godoy Cruz deben priorizar valores bajos de FF (tipologías residenciales, en línea, apareadas o pequeños grupos compactos). Dichos departamentos poseen menores porcentajes de edificaciones en la Categoría 1 para FFSV, mientras que para FFSVx1 los menores porcentajes se ubican en Las Heras y Luján de Cuyo. Existe un bajo porcentaje de formas cercanas al ideal en dichos departamentos, si se considera el valor FF ≤0.6.
Los departamentos de Las Heras, Maipú y Luján de Cuyo, con valores medios más altos de FFSV y FFSVx1, deben priorizar la implementación de estrategias para resolver las pérdidas energéticas a través de sus envolventes. Para edificaciones con valores altos de FF podrían incorporarse estrategias de aislación en sus envolventes en superficies horizontales y verticales. Esta estrategia debe ser incorporada también en Guaymallén y Godoy Cruz.
Considerando FFSV, Las Heras es el departamento con mayor porcentaje de edilicia en la Categoría 3, con el 39.12 %, siendo el porcentaje relevante, al definir estrategias de optimización de consumo de energía y cuando se trata de minimizar los perímetros de pérdidas de las envolventes edilicias. No obstante, las edificaciones ubicadas en el departamento de Las Heras poseen la media y mediana más baja de FFSV en la Categoría 3 y una representatividad del 17.76 % considerando el número de edificaciones (29964 unidades) en dicha categoría, en relación con los restantes departamentos. El departamento de Capital posee el valor medio más alto (FFSV =1.46) en la Categoría 3, comparado con el resto de los departamentos. El 11.87 % de las edificaciones (20022 unidades) Categoría 3 están ubicadas en Capital. Sin embargo, el mayor número de edificaciones (44356 unidades) en esta categoría se ubican en Guaymallén, con un 26.29 %, seguido por Godoy Cruz con un 21.06 % (35535 unidades), que sumadas alcanzan el 47.35 % de las edificaciones con valores de FFSV mayores a 1.2.
Porcentajes elevados en la tercera categoría (que comprenden el 35.97 % de las edificaciones del AMM para FFSV) indicarían buenas posibilidades de acceso al recurso solar sobre superficies verticales potencialmente colectoras y principalmente sobre techos (de las edificaciones). En zonas urbanas de baja densidad, la disponibilidad de energía en los techos es considerablemente mayor que en las paredes orientadas al norte. Por esta razón, es esencial para maximizar el uso de energía solar para calefacción de espacios incorporar estrategias para mejorar las ganancias solares y la implementación de colectores solares para el calentamiento de agua y generación fotovoltaica. Se ha demostrado previamente en zonas de baja densidad del AMM que el FF influye significativamente en el rendimiento energético, considerando el Ahorro Potencial de Energía, el Factor de Asoleamiento Volumétrico, el Factor de Asoleamiento Útil y el Factor de Asoleamiento Efectivo (Arboit et al., 2008). Estas estrategias, combinadas con el manejo de otras variables de la morfología edilicia, como orientación, pueden incluso compensar las pérdidas de calor asociadas con una menor conservación energética en la edilicia (Arboit et al., 2010).
El estudio a escala edilicia de FFSV y FFSVx1 computando dos y una superficies horizontales de pérdida (pisos y cubiertas o solo cubiertas) permitió posteriormente concluir que las diferencias entre las variables FFSV y FFSVx1 (presuponiendo una aislación completa de pisos) son aproximadamente el 25.93 % de las construcciones analizadas (121660 unidades construidas que pasarían de la Categoría 3 a la Categoría 2). Esto es importante en las nuevas construcciones y renovaciones urbanas, ya que, si consideramos refuncionalizaciones, es difícil implementar dicha mejora. Para un modelo de ciudad de alta densidad FFSV y FFSVx1 se acercan (el impacto de suelo no es tan grande). Para una ciudad de baja densidad como el AMM, la incidencia del estudio de FFSV es mayor incluso en el área central de la ciudad de alta densidad, con tipología en altura, ya que estas poseen espacios de servicio en subsuelos (generalmente el piso habitable inferior no está en contacto con el suelo), por lo que aumentan las fluctuaciones diarias y estacionales de temperatura, si se compara con las tipologías de viviendas unifamiliares de baja densidad. La aislación de pisos sería otra estrategia útil, principalmente en construcciones nuevas con tipologías dispersas de baja densidad.
Existe un potencial significativo para el ahorro de energía en el AMM, y los resultados presentados anteriormente permiten debatir sobre la necesidad de incorporar indicadores energéticos específicos en los códigos de edificación. Considerando el aspecto metodológico, el estudio en entorno SIG posibilitó cuantificar la variable FF (de 469117 unidades), elaborar una base de datos y generar documentos cartográficos. Finalmente, el estudio permitirá vincular los resultados con otras variables urbano-edilicias ya estudiadas para el AMM y generar un modelo de evaluación del comportamiento energético del parque edilicio residencial a escala urbana.
El conocimiento de la situación actual del FF a escala edilicia en el AMM aporta los datos necesarios a fin de evaluar a futuro la relación entre dicha variable y eficiencia energética, aprovechamiento solar, disipación térmica, entre otros. Asimismo, los mapeos y conclusiones generados por la presente investigación pueden utilizarse como una herramienta para apoyar la priorización de acciones relacionadas con directrices y prácticas de regulación urbana.
Agradecimientos. Financiamiento de los Proyectos: 1. PIP CONICET 11220130100407 “Reingeniería de intervención territorial en el área metropolitana de Mendoza, orientando el desarrollo a un modelo urbano sustentable y sostenible” 2016-2020; 2. PUE CONICET 22920170100036 “Patrimonio cultural de Mendoza. Registro, análisis y prospectiva de bienes cultural-ambientales como recurso de desarrollo local e innovación socio-cultural” 2017-2022 y 3. PPI-FAUD-Universidad de Mendoza “Morfología urbano-edilicia y sostenibilidad energético-ambiental en ciudades forestadas con climas secos” 2016-2019. Se agradece la colaboración y los aportes técnicos de Manuela Fontanive (Politecnico di Torino), con experticia en SIG como parte de prácticas profesionales supervisadas realizadas en INCIHUSA-CONICET.
Referencias bibliográficas
ALLARD, I.; OLOFSSON, T. & NAIR, G. (2017). Energy Performance Indicators in the Swedish Building Procurement Process. Sustainability, 9 (10), 1877, 1-23. https://doi.org/10.3390/su9101877
Arboit, M.; Diblasi, A.; Fernández Llano, J. C. & de Rosa, C. (2008). Assessing the solar potential of low density urban environments in andean cities with desert climates - The case of the city of Mendoza, in Argentina. Renewable Energy, 33 (8), 1733-1748. https://doi.org/10.1016/j.renene.2007.11.007
Arboit, M.; Mesa, A.; Diblasi, A.; Fernandez Llano, J. C. & de Rosa, C. (2010). Assessing the solar potential of low density urban environments in andean cities with desert climates - The case of the city of Mendoza, in Argentina. 2nd.Part. Renewable Energy, 35 (7), 1551-1558. https://doi.org/10.1016/j.renene.2009.11.027
Arboit, M. & de Rosa, C. (2013). Lineamientos y estrategias para la sostenibilidad energética del sector edilicio urbano en zonas de climas secos. Evaluación comparativa de la actualización del Código Urbano y de Edificación de la Ciudad de Mendoza, Argentina. Revista de Urbanismo, 28, 94-113. DOI: 10.5354/0717-5051.2013.21561
BANCO MUNDIAL. NACIONES UNIDAS. Perspectivas de la urbanización mundial [en línea]. [Consultado 1 de octubre de 2019]. Recuperado de: https://datos.bancomundial.org/indicador/SP.URB.TOTL.IN.ZS?locations=AR1W&most_recent_value_desc=false
BARDOU, P. & ARZOUMANIAN, V. (1980). Sol y Arquitectura. Traducido de: Archi de Soleil, 1978. Barcelona: Editorial Gustavo Gili.
BREHENY, M. (1996). Centrists, decentrists and compromisers: views on the future of the urban form. En: Jenks, M.; Burton & E. Williams K. The Compact city: a sustainable urban form? (13-35). London: E & FN Spon.
CAMMESA (Compañía Administradora del Mercado Mayorista Eléctrico). Descargas de Informes [en línea]. [Consultado 21 de junio de 2019]. Recuperado de: http://portalweb.cammesa.com/default.aspx
CAPUTO, P. & PASETTI, G. (2017). Boosting the energy renovation rate of the private building stock in Italy: Policies and innovative GIS-based tools. Sustainable Cities and Society, 34, 394-404. http://dx.doi.org/10.1016/J.SCS.2017.07.002
CEPAL (Comisión Económica para América Latina y el Caribe). América Latina y el Caribe: Estimaciones y proyecciones de población [en línea]. [Consultado 1 de octubre de 2019]. Recuperado de: https://www.cepal.org/es/temas/proyecciones-demograficas/estimaciones-proyecciones-poblacion-total-urbana-rural-economicamente-activa.
DANIELSKI, I.; FRÖLING, M. & JOELSSON, A. (2012). The impact of the shape factor on final energy demand in residential buildings in nordic climates. World Renewable Energy Forum, WREF 2012, Including World Renewable Energy Congress XII and Colorado Renewable Energy Society (CRES) Annual Conference, 4260-4264. Recuperado de: http://www.diva-portal.org/smash/get/diva2:532979/FULLTEXT01.pdf
DE JAEGER, I.; REYNDERS G., MA, Y. & SAELENS, D. (2018). Impact of building geometry description within district energy simulations. Energy, 158 (1), 1060-1069. https://doi.org/10.1016/j.energy.2018.06.098
Delmastro, C.; Mutani, G. & Schranz, L. (2016). The evaluation of buildings energy consumption and the optimization of district heating networks: a GIS-based model. International Journal of Energy and Environmental Engineering, 7 (3), 343-351. https://doi.org/10.1007/s40095-015-0161-5
DEPECKER, P.;MENEZO, C.; VIRGONE, J. & LEPERS, S. (2001). Design of buildings shape and energetic consumption. Building and Environment, 36 (5), 627-635. https://doi.org/10.1016/S0360-1323(00)00044-5
DIRECCIÓN GENERAL DE CATASTRO MENDOZA [en línea]. Datos 2010. [Consultado 1 junio 2017]. Recuperado de: https://www.atm.mendoza.gov.ar/portalatm/zoneTop/catastro/ catastro.jsp
DROEGE, P. (2007). The Renewable City: A comprehensive guide to an urban revolution. UK: Wiley & Sons, Incorporated, John.
ENEV (Energie Einspar verordnung). (2019). German Building Code for the energy performance of the buildings. Recuperado de: http://www.enev-online.de/
ESTEVES, A. (2013). Arquitectura sustentable: desarrollo y evaluación de factores que relacionan el diseño arquitectónico con el desempeño ambiental y económico del edificio en climas templado-continentales (tesis doctoral en Arquitectura). Universidad de Mendoza, Argentina.
ESTEVES, A.; ESTEVES, M. J.; MERCADO M. V.; BAREA G. & GELARDI D. (2018). Building Shape that Promotes Sustainable Architecture. Evaluation of the Indicative Factors and Its Relation with the Construction Costs. Architecture Research, 8 (4), 111-122 DOI:10.5923/j.arch.20180804.01
FILIPPÍN, C. & FLORES LARSEN, S. (2009). Analysis of energy consumption patterns in multi-family housing in a moderate cold climate. Energy Policy, 37, 3489-3501. http://dx.doi.org/10.1016/j.enpol.2009.03.065
FRAYSSINE, L.; MERLIER. L.; KUZNIK, F.; HUBERT, J.; MILLIEZ, M. & ROUX, J.J. (2018). Modeling the heating and cooling energy demand of urban buildings at city Scale. Renewable and Sustainable Energy Reviews, 81 (2), 2318-2327. https://doi.org/10.1016/j.rser.2017.06.040
GIVONI, B. (1998). Climate considerations in building and urban design. USA: John Wiley & Sons, Inc.
GOBIERNO DE ARGENTINA. Balances Energéticos Anuales del Ministerio de Hacienda [en línea]. [Consultado 1 de octubre de 2019]. Recuperado de: https://www.argentina.gob.ar/energia/hidrocarburos/balances-energeticos
INDEC (Instituto Nacional de Estadística y Censos de la República Argentina) [en línea]. [Consultado 1 de octubre de 2019]. Recuperado de: https://www.indec.gob.ar/
JONES, P.; WILLIAMS, J. & LANNON, S. (2000). Planning for a sustainable city: An energy and environmental prediction model. Journal of Environmental Planning and Management, 43 (6), 855-872. https://doi.org/10.1080/09640560020001728
LEE, S. & LEE, B. (2014). The influence of urban form on GHG emissions in the US household sector. Energy Policy, 68, 534-549. https://doi.org/10.1016/j.enpol.2014.01.024
LI, C. (2018). GIS for Urban Energy Analysis. Comprehensive geographic information systems. In book: Reference Module in Earth Systems and Environmental Sciences. Doi: 10.1016/B978-0-12-409548-9.09652-4
MARTINS, T., FARAUT, S. & ADOLPHE, L. (2019). Influence of context-sensitive urban and architectural design factors on the energy demand of buildings in Toulouse, France. Energy and Buildings, 190 (1), 262-278. https://doi.org/10.1016/j.enbuild.2019.02.019
MINISTERIO DE AMBIENTE Y OBRAS PÚBLICAS DE MENDOZA (1998). Estudio Energético Integral de la Provincia de Mendoza. Mendoza.
Mutani, G.; Fontanive, M. & Arboit, M. (2018). Energy-use modelling for residential buildings in the metropolitan area of Gran Mendoza (AR). Italian Journal of Engineering Science: Tecnica Italiana, 61 (2), 74-82. Recuperado de: http://iieta.org/sites/default/files/Journals/TI-IJES/61+1.02_04.pdf
HOCHENAUER, C.(2017). Novel validated method for GIS based automated dynamic urban building energy simulations. Energy, 139 (15), 142-154. https://doi.org/10.1016/j.energy.2017.07.151
NHBC FOUNDATION (2016). The challenge of shape and form. Understanding the benefits of efficient design. NF 72 [en línea]. [Consultado 1 de octubre de 2019]. Recuperado de: https://www.nhbcfoundation.org/wp-content/uploads/2016/10/NF-72-NHBC-Foundation_Shape-and-Form.pdf
OLGYAY, V. (2015). Design with Climate: Bioclimatic Approach to Architectural Regionalism - New and expanded Edition. US: Princeton University Press. First published in 1963
OWENS, S. (1986). Energy, planning and urban form. London: Pion Ltd.
PAPPARELLI, A.; DE ROSA, C.; KURBÁN, A.; CÚNSULO, M.; LELIO G.; VILAPRIÑO, R. Y SOLANES, F. (2001). Arquitectura y Clima en Zonas Áridas. 2da. edición. San Juan: Editorial Fundación UNSJ. ISBN 950-605-136-4.
RATTI C.; RAYDAN D. & STEEMERS K. (2003). Building form and environmental perfor- mance: archetypes, analysis and arid climate. Energy Buildings, 35, 49-59. https://doi.org/10.1016/S0378-7788(02)00079-8
RATTI, C.; BAKER, N. & STEEMERS, K. (2005). Steemers, Energy consumption and urban texture. Energy and Buildings, 37 (7), 762-776. https://doi.org/10.1016/j.enbuild.2004.10.010
RODRÍGUEZ-ÁLVAREZ, J. (2016). Urban Energy Index for Buildings (UEIB): A new method to evaluate the effect of urban form on buildings' energy demand. Landscape and Urban Planning, 148, 170-187. https://doi.org/10.1016/j.landurbplan.2016.01.001
STEEMERS, K. (2003). Energy and the city: density, buildings and transport, Energy Buildings, 35, 3-14. https://doi.org/10.1016/S0378-7788(02)00075-0
Torabi, S.; Toniolo, J.; Mutani, G. & Lombardi, P. (2018). A GIS-statistical approach for assessing built environment energy use at urban scale. Sustainable Cities and Society, 37, 70-84. https://doi.org/10.1016/j.scs.2017.10.002
YIN, Y.; MIZOKAMI, S. & MARUYAMA, T. (2013). An analysis of the influence of urban form on energy consumption by individual consumption behaviors from a microeconomic viewpoint. Energy Policy, 61, 909-919. http://dx.doi.org/10.1016/j.enpol.2013.06.054
Notas de autor
Doctora en Arquitectura e Investigadora Independiente del Instituto de Ciencias Humanas, Sociales y Ambientales del Consejo Nacional de Investigaciones Científicas y Técnicas (INCIHUSA- CONICET). Directora de proyectos REDES, PICT, PIP, PPI e integrante de proyectos en equipos nacionales e internacionales de investigación.
Licenciada en Matemática y magíster en Estadística Aplicada. Docente investigadora en la Universidad Nacional de la Patagonia Austral y directora del Instituto de Trabajo, Economía y Territorio. Asociada en cátedras del área de Álgebra Básica y Superior en el Departamento de Ciencias Exactas y Naturales y en “Diseño experimental y técnicas de muestreo” de la Maestría en Manejo y Gestión de Recursos Naturales.
Licenciada en Ingeniería Civil, doctora en Energía y profesora Adjunta de Física de Edificios y Sistemas Energéticos en el Departamento Energia, Politecnico di Torino. Integra el consejo científico del Responsible Risk Resilience Centre (R3C) y el Programa de Doctorado en Urban and Regional Development, Politecnico di Torino.