Resumen: La cuenca del río Duero se localiza al noroeste del Estado de Michoacán, cuenta con una superficie de 2531.3 km2. Se realizó un diagnóstico de la situación actual de la operación, calidad y cantidad de agua de manantiales de la cuenca. En total se identificaron 52, de los cuales se aforaron 49 que aportaron un gasto acumulado de 8.526 m3/s. Las aguas son aprovechadas principalmente para fines agrícolas, consumo urbano, acuacultura y recreativo. El volumen de agua anual que se genera por los manantiales es de 268876 Mm3, lo que satisface ampliamente las necesidades de la región. La calidad química de los manantiales es excelente para los distintos usos, no así la calidad bacteriológica. En términos de su estado de conservación y operación, sólo el 27 % de ellos, presenta problemas serios de un manejo eficiente, lo que pone en riesgo su sustentabilidad.
Palabras clave:sustentabilidadsustentabilidad, aguas superficiales aguas superficiales, gestión hídrica gestión hídrica.
Abstract: The Duero river basin is located northwest of the state of Michoacán, with an area of 2531.3 km2. A diagnosis of the current situation of its operation, quality and quantity of water from its springs was performed. A total of 52 were identified, of which 49 were afored, yielding a cumulative expenditure of 8.526 m3/s. The waters are mainly exploited for agricultural, urban consumption, aquaculture and recreation. The annual volume of water generated by the springs is 268 876 Mm3, which more than meets the needs of the region. The chemical quality of the springs is excellent for the different uses but not the bacteriological quality. In terms of its condition and operation, only 27 % of them has serious problems of efficient management, which threatens its sustainability.
Keywords: sustainability, surface water, water management.
MANANTIALES DE LA CUENCA DEL RÍO DUERO MICHOACÁN: OPERACIÓN, CALIDAD Y CANTIDAD

Recepción: 01 Junio 2015
Aprobación: 01 Septiembre 2015
La escasez y la contaminación del agua en un gran número de regiones de México, es un factor condicionante para el desarrollo económico y social. En este sentido, se hace necesario establecer acciones que promuevan un manejo adecuado del agua y la preservación de las fuentes de abastecimiento, al evitar su uso ineficiente, contaminación e incluso conflictos de carácter social por su acceso (SEMARNAT 2009).
En este contexto, la política hídrica se ha diseñado para lograr que el país cuente con agua en cantidad y calidad suficiente, reconozca su valor estratégico, la utilice de manera eficiente y proteja los cuerpos de agua para preservar el ambiente y garantizar un desarrollo sustentable.
Así también, dentro de los objetivos específicos del Programa Hídrico Visión 2030 (SEMARNAT 2009), del Estado de Michoacán de Ocampo, destaca el manejo integral y sustentable del agua en cuencas y acuíferos, así como la restauración y conservación de la calidad de las aguas superficiales y subterráneas.
Los manantiales son afloramientos de agua subterránea en superficie, cuando tienen una buena calidad, puede usarse para consumo humano entre otros usos. La calidad natural del agua depende de las condiciones geológicas del medio en el que circule debido a que antes de surgir a la superficie terrestre recorre kilómetros entre las rocas, sedimentos, suelos y en muchos casos se ha enriquecido con minerales y sustancias que los seres vivos necesitan. En este recorrido, el agua podría mejorar su calidad debido a que algunos elementos podrían removerse naturalmente, sin embargo también podría contaminarse por la influencia de las actividades antropogénicas. En la cuenca del río Duero, el agua proveniente de manantiales es la principal fuente de abastecimiento en la zona y estos son los principales aportadores al caudal del río Duero, después de los escurrimientos pluviales (CONAGUA 2009).
La región, está caracterizada por un ambiente volcánico, destacando estructuras de tipo estratovolcán, volcanes en escudo y conos cineríticos. Todos ellos con un alto grado de fracturas (Silva y Ramos 1998). Hay que tener presente que la cuenca se ubica dentro de una provincia geológica caracterizada por su alta densidad volcánica (Hasenaka y Carmichael 1985).
A pesar de que la cantidad de agua que surge de los manantiales podría resultar suficiente para satisfacer las necesidades de los distintos usuarios, ésto no ocurre debido al manejo inadecuado en su distribución, aunado a procesos acelerados de contaminación del agua. Por otro lado, los conflictos por las fuentes de abastecimiento de agua originadas de manantiales se presentan cotidianamente en la cuenca en virtud de que no se da una adecuada gestión del recurso (Seffo 2002).
Como un elemento importante de gestión y negociación que coadyuve al manejo sustentable del recurso agua, el objetivo de esta investigación fue realizar un diagnóstico de la situación que guarda la operación, calidad y cantidad de agua de los manantiales en la cuenca a efecto de emitir propuestas integrales de solución a conflictos locales en función del conocimiento de este recurso hídrico.
La cuenca del río Duero se localiza en el noroeste del estado de Michoacán, delimitada por las coordenadas 19º40’ y 20º15’ latitud norte y 101º45’ y 102º45’ longitud oeste a una altitud media de 2000 msnm, con una superficie de 2531.3 km2.
Pertenece a la jurisdicción de la región administrativa número VIII Lerma-Santiago-Pacífico, en la Región Hidrológica 12 Lerma-Santiago y específicamente en la denominada zona hidrológica río Lerma-Chapala (Fig. 1).

El río Duero, nace en los manantiales del poblado de Carapan en la región conocida como “La cañada de los once pueblos” perteneciente al municipio de Chilchota, cruza por los Valles de Zamora y Guadalupe y la Ciénega de Chapala (porción Michoacán), se une al río Lerma en los límites estatales de Michoacán y Jalisco, cerca de la población de Ibarra en el municipio de Briseñas, con un recorrido total de 75 km en línea recta.
El área de estudio se localiza dentro de la provincia geológica denominada Faja Volcánica Transmexicana (FVTM), específicamente hacia el límite oeste del denominado Campo Volcánico Michoacán – Guanajuato (CVMG) caracterizado por la presencia de una alta concentración de elementos volcánicos, entre los que predominan los conos volcánicos pequeños.
Según Hasenaka y Carmichael (1985) el sistema de fracturas y alineamientos volcánicos con orientación NE-SW presente en la parte sur del CVMG, es concordante con el movimiento relativo Cocos - Norteamérica (NE-SW).
La cuenca del río Duero forma parte de este sistema volcánico, en el que destacan estructuras volcánicas de tipo estratovolcán de composición generalmente andesítico-basáltico como son los cerros de La Beata y de San Isidro. Además de volcanes en escudo como el cerro Patámban y conos cineríticos como el Curutarán, La ladera y La cantera.
Este volcanismo es causante de la formación de valles fluviales parcialmente cerrados como el de Guadalupe y el de Zamora, que limitan con la región lacustre de la Ciénega de Chapala. Ejemplos representativos del sistema estructural regional se observan en la figura 2, la ocurrencia de los manantiales está asociada al control estructural regional.

La determinación de la actual situación operativa de cada manantial se realizó mediante una ficha descriptiva oficial de la Comisión Nacional del Agua (CONAGUA; Fig. 3). Con esta ficha se obtuvieron los datos de: nombre del sitio, coordenadas, instalaciones asociadas, uso del agua, comportamiento del caudal, acceso, estado de conservación, valores sectoriales, amenazas, impactos y presiones.

Para obtener los datos de cantidad de agua que aporta cada uno de los manantiales censados se realizaron aforos (mayo-junio, 2013) con tres métodos distintos: flujómetro, aforo con flotador y aforo con vertedor. El procedimiento empleado se determinó con base en las condiciones presentes de accesibilidad, área y velocidad de flujo en cada sitio.
Cuando la sección del canal y la velocidad del flujo fueron de fácil medición se utilizó el flujómetro flowatch modelo AM10608, que es un instrumento compacto para medir gastos en ríos, canales y descargas de aguas residuales. El medidor de flujo incorpora una propela de precisión acoplada directamente a un contador de seis dígitos que registra cada revolución de la propela y lo despliega en forma similar a un odómetro.
La relación velocidad-número de vueltas, se determinó al medir el número de segundos que tarda la hélice en dar cierto número de vueltas para diferentes velocidades. Con el número de vueltas se consulta la gráfica que viene impresa en el flujómetro, transformando el número de revoluciones en velocidad (cm/seg).
Para obtener el gasto que pasa por la sección transversal de la corriente mediante el flujómetro, se dividió la sección transversal en tres franjas verticales (debido a que la velocidad media en una corriente no es uniforme). En cada una de ellas se midió la velocidad media del flujo. El producto del área por la velocidad, proporcionó el valor de gasto.
Cuando la velocidad del flujo era muy baja, se utilizó el método del flotador. Para ello, se eligió un tramo del cauce a medir de cuatro metros de longitud para el recorrido del flotador (fragmento de madera, para este caso), se colocaron marcas tanto al final como al principio del tramo. Posteriormente, se arrojó el flotador al menos 3 m aguas arriba de la marca inicial, para que adquiriera la velocidad de la corriente antes de llegar a ésta. En el momento de pasar por la marca inicial se comenzó a contar el tiempo que tardó en llegar a la marca colocada al final del tramo.
La velocidad se estimó dividiendo la distancia del tramo entre el tiempo que tardó el flotador en recorrerla. Este valor se corrigió por un factor de reducción ya que se considera que la velocidad media fluctúa desde 85 % hasta 95 % de la velocidad superficial, por lo que se acepta el promedio de 90 %. El área de la sección transversal de la corriente se determinó por la suma del área de cada una de las franjas verticales.
Finalmente el gasto se obtuvo mediante la siguiente fórmula:
[1]Donde:
Q = Gasto (m3/s).
A = Área de sección transversal (m2).
V = Velocidad en el tramo (m/s).
0.9 = Factor de reducción.
Cuando no se dan las condiciones anteriores, se hace necesario la construcción de una estructura aforadora tipo vertedor. Para éste caso se realizó una escotadura triangular sobre una pantalla de madera que se interpuso en la corriente de agua. En estos vertedores solamente se toma en cuenta la carga hidráulica (h) que se graduó verticalmente en cm aguas arriba por un costado con un ángulo de abertura de 90 º.
Para el cálculo del gasto se utilizó la ecuación:
[2]Donde:
Q = Gasto (m3/s).
h = Carga hidráulica.
En algunos casos, se aprovecharon las estructuras presentes en los manantiales que fueron consideradas como vertedores rectangulares sin contracción lateral.
Para aforar con estos vertedores es necesario conocer: la longitud de la cresta (L) y la carga hidráulica sobre la cresta del vertedor (h). Dicha carga se midió con una escala graduada aguas arriba del vertedor.
La ecuación utilizada para el vertedor rectangular fue:
[3]Donde:
Q = Gasto (m3/s).
L = Longitud de la cresta.
h = Carga hidráulica.
La determinación de algunos parámetros físicoquímicos se realizó in situ en cada uno de los manantiales, utilizando un multisensor Hydrolab (Surveyor 4), el cual está compuesto por un sensor con siete puertos (Data Sonde DS5) y una computadora de despliegue y análisis de información. Los datos registrados fueron: temperatura, pH, conductividad eléctrica, salinidad, sólidos totales disueltos (STD) y cloruros. El período de muestreo comprendió del 29 de mayo al 26 de junio de 2013.
La determinación de los demás elementos químicos (Ca+2 , Mg+2 , Na+, K+ y HCO–3, Cl– y SO4–2) fueron realizados en el Laboratorio de Suelos y Aguas del Centro Interdisciplinario de Investigación para el Desarrollo Integral Regional (CIIDIR) del Instituto Politécnico Nacional (IPN), Unidad Michoacán, siguiendo los métodos estándar internacionales (APHA 1999).
Se utilizó el diagrama de Piper y de Stiff como representación gráfica para obtener una visualización sencilla y lo más completa posible de composición y características químicas de las aguas.
Los análisis microbiológicos que se realizaron fueron: bacterias mesófilas aerobias (BMA), según los procedimientos indicados en la Norma Oficial Mexicana NOM 092-SSA1-1994 (SSA 1995), con el método por el número más probable.
El medio de cultivo utilizado fue el agar cuenta estándar. Además se determinó el número más probable de coliformes totales y de Escherichia coli , con base en lo señalado en la Norma Oficial Mexicana NOM 112-SSA1-1994 (SSA 1995). Para esta determinación se utilizó una técnica fluorogénica, en la que se emplea el caldo lauril sulfato adicionado con MUG (Metil umbeliferil B-D-glucuronido). El muestreo se efectuó en el mes de junio de 2013.
Derivado de la información recabada de cada ficha descriptiva en términos de la operación y conservación de cada manantial se desprende lo siguiente: fueron registrados un total de 52 manantiales. Sin embargo, sólo fue posible obtener información en 49, localizándose la mayoría de ellos (27) en la parte alta de la cuenca, en la jurisdicción del municipio de Chilchota (Fig. 4).

Respecto a la infraestructura, en 41 de los manantiales destaca la presencia de lavaderos, equipos de bombeo, tanque de depósito, áreas recreativas, estanques para la práctica acuícola, canales de riego, casetas de vigilancia y cerca perimetral, sólo en nueve de ellos no se presenta lo anterior
El uso del agua es preponderantemente agrícola y en menor proporción de consumo urbano, acuícola y recreativo o su combinación y en todos los casos el caudal presenta un comportamiento estable en el año, es decir no se agota en su totalidad.
El acceso a los mismos, no ofreció restricción alguna y en cuanto al estado operativo y de conservación, el 18 % se encontró en muy buen estado, 41 % como aceptable, 14 % como bueno y 27 % como deficiente.
En 43 % de los manantiales se presentaron amenazas de impacto negativo por la presencia de una fuente de contaminación, ya sea por aguas residuales, actividades agropecuarias, crecimiento demográfico o actividades recreativas.
Para obtener los volúmenes de agua, se aforaron 49 manantiales, en tres de ellos no existieron las condiciones para la medición. En 33 sitios se utilizó como método de medición el flujómetro, en ocho se empleó el vertedor, en cuatro el flotador, en dos el medidor automático de gasto y dos aforos combinados y en uno se dedujo del título de concesión. El volumen de gasto total obtenido fue de 8.532 m3/s (Cuadro I).

Destacan los manantiales de Camécuaro, La Luz, Chilchota, Tanaquillo y Cupatziro, como los de mayor registro de gasto, todos por encima de 0.5 m3/s.
Entre mayo y junio del 2013, se obtuvo un total de 49 muestras de agua para su análisis químico, provenientes de un igual número de manantiales. Los resultados obtenidos para cada muestra se exponen en el cuadro II.


Los valores de conductividad eléctrica obtenidos están en rangos de 110 y 318 mS/m, Lo que ubica a estas aguas de excelente calidad en términos de salinidad. El rango para STD fue de 90 a 243 mg/L, estos valores permiten suponer que el agua ha tenido una permanencia en el subsuelo relativamente corta. El pH de las aguas estudiadas se encuentra entre 7 y 7.5, es decir aguas de alcalinidad básica y dentro de los límites permisibles.
La salinidad es una medida de la cantidad de sales disueltas en el agua. La salinidad y la conductividad eléctrica están relacionadas porque la cantidad de iones disueltos aumentan los valores de ambas. Las sales y también otras sustancias afectan la calidad del agua potable o de riego. También influyen en la biota acuática y cada organismo tolera un rango determinado de valores de salinidad.
Los valores más altos de salinidad corresponden a los manantiales El Tanque (170 ppm), La Yerbabuena (150 ppm) y Urepetiro (130 ppm). Por tanto, existe una relación directa entre la salinidad, conductividad y sólidos totales disueltos.
La temperatura del agua muestreada se presenta en rangos de 17 ºC hasta de 29 ºC, el promedio fue de 21 ºC. En general, los valores máximos se asocian al control estructural que influye en este parámetro, evidenciando comunicación con el sistema de fallas geológicas regionales.
Por lo que se refiere a los nitratos, a excepción del manantial de la Yerbabuena (12.67 mg/L) y Calicanto (10.31 mg/L), todos los sitios presentaron condiciones por debajo del límite máximo permisible, es decir por debajo de los 10 mg/L que indica la norma oficial mexicana. Sin embargo, debido a que los valores promedio de nitratos en aguas subterráneas son normalmente inferiores a 3-4 mg/L, se considera que la mayoría de sitios tiene alguna influencia de fuentes antropogénicas de contaminación, esto se comprueba con los resultados de los análisis bacteriológicos, donde sólo tres muestras no tienen coliformes totales y Escherichia coli .
El ion cloruro se encuentra con frecuencia en las aguas naturales y residuales, en concentraciones que varían desde unas pocas partes por millón, hasta varios gramos por litro. Este ion ingresa al agua en forma natural mediante el lavado que las aguas de lluvia realizan sobre el suelo. Sin embargo, cuando la superficie de contacto entre el agua y los materiales del suelo es relativamente baja, en las aguas superficiales la concentración de cloruros tiende a ser baja, salvo que haya sido afectada por eventos antropogénicos o variaciones climáticas. El cloruro residual es una sustancia altamente soluble y estable, con muy pocas excepciones todos los seres humanos lo ingieren, por lo cual frecuentemente se utiliza como indicador de contaminación antropogénica en estudios de evaluación ambiental. De acuerdo con la reglamentación vigente, establecida en la Norma Oficial Mexicana Modificada NOM 127-SSA1-1994 (SSA 2000), la concentración máxima permisible para aguas de consumo humano es de 250 mg/L. El agua de los manantiales analizados presenta concentraciones inferiores a dicho límite, con los valores más altos de 173.6, 111, 97.59 y 94.45 mg/L para los manantiales de El Tanque, La Audiencia, Urepetiro y La Yerbabuena respectivamente, mientras que los valores más bajos se observan en Orandino (14.91 mg/L) y La Estancia (14.94 mg/L).
De acuerdo con la clasificación de Piper, se definieron las distintas facies químicas de agua prevalecientes en la cuenca. Las muestras analizadas en su totalidad corresponden a aguas bicarbonatadas cálcicas, mostrando como procesos principales el intercambio catiónico y la mezcla de aguas (Fig. 5). Por lo que se puede decir que son aguas que no han tenido mucho tiempo de contacto, o en otra palabras, que son de reciente infiltración.

Los diagramas de Stiff permitieron visualizar de mejor manera los cambios de los principales iones durante el periodo de muestreo. En ellos, se representan la concentración de aniones (hacia la derecha) y cationes (hacia la izquierda) en semirrectas paralelas, uniendo los extremos generando un polígono. El valor de concentración se expresa en miliequivalentes por litro (meq/L). Por conveniencia, todas las sales (sodio y potasio) se representan con el sodio. En la figura 6 se muestra de manera gráfica el comportamiento de tres localidades representativas del tipo de facie química predominante en la zona que son clasificados como bicarbonatada magnésica cálcica.

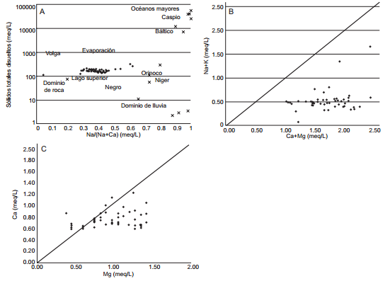
Los factores que controlan la composición de solutos del agua son la lluvia, el intemperismo de roca y los procesos de evaporación y precipitación (Appelo y Postma 1993). La figura 7A muestra la interacción agua-roca como el principal proceso evolutivo del agua subterránea del área de estudio. Los manantiales en la cuenca del río Duero está en el dominio de roca. Modificada de Appelo y Postma (1993).
En la figura 7B se observa que los cationes magnesio y calcio se encuentran en concentraciones mayores con relación al sodio y potasio, siendo dicho dominio el carácter del tipo de facie química dominante, bicarbonatada magnésica cálcica. Al graficar la relación entre el calcio y el magnesio se visualiza de manera muy clara que el magnesio es el catión que se encuentra en la mayoría de las muestras analizadas (Fig. 7C).

El análisis microbiológico, se realizó en 25 sitios representativos de la cuenca. Los resultados obtenidos se muestran en el cuadro III.

La totalidad de las muestras analizadas no cumplen con la Norma Oficial Mexicana Modificada NOM-127-SSA1-1994 (SSA 2000), para el caso del agua de uso y consumo humano. En esta norma se establece que el agua destinada a dicho propósito, requiere de ausencia total de estos indicadores, por lo cual es necesario un proceso de potabilización en las mismas.
En general la presencia de coliformes totales y Escherichia coli es un indicador de la actividad antropogénica, así como también de las amenazas, impactos y presiones a las que pueden estar sometidos los manantiales en términos de la presencia de una fuente de contaminación, ya sea por aguas residuales, actividades agropecuarias, crecimiento demográfico, actividades recreativas, etc.
El deterioro de la calidad microbiológica del agua se ha convertido en un motivo de preocupación a nivel regional dado crecimiento agrícola en el ámbito del cultivo de frutillas (fresa, zarzamora, frambuesa, etc.), cuyos estándares de inocuidad son muy estrictos. El agua es fundamental en el cumplimiento de este requisito.
La problemática que enfrentan los manantiales es muy variada, por lo que es necesario emprender una serie de trabajos para su restauración, protección y mejor aprovechamiento, tales como el cercado perimetral, la reforestación, la limpieza de maleza acuática, el mantenimiento de la infraestructura disponible, la reubicación de abrevaderos y lugares de lavado de ropa.
Los manantiales presentes en la cuenca del río Duero son abundantes y de buena calidad química, no así en términos microbiológicos ya que se encontró la presencia de E. coli en un porcentaje importante de ellos, haciéndolos de alto riesgo a la salud humana, por lo que para su uso doméstico requiere de un proceso de potabilización.
El caudal total medido acumulado en manantiales fue de 8.526 m3/s, lo que es suficiente para cubrir las demandas de los diversos sectores económicos. Sin embargo, es importante reconocer que al ser parte del caudal del río Duero, su deterioro es inmediato ya que al mismo se vierten de manera directa descargas de aguas residuales lo que provoca su contaminación.
La principal familia de agua de los manantiales en la Cuenca del río Duero es la bicarbonatada cálcica y como proceso evolutivo es el intercambio iónico que toma las características químicas de la roca de contacto.
tsilva09@hotmail.com










