Resumen: La maldad, rasgo presente en la conducta humana, es un indispensable tópico de estudio para la psicología, cuyo objetivo fundamental, con relación a este rasgo, es evaluar y comprender el daño que puede causar a los individuos. Objetivo: Construir un instrumento con el propósito de medir la maldad y que posea indispensables propiedades psicométricas, como validez y confiabilidad. Material y métodos: El estudio fue de tipo instrumental en una muestra no probabilística, mediante la aplicación online de la Escala de Maldad (ESMA-31), que consta de 31 ítems con 4 dimensiones: egoísmo, idealismo, sadismo y omisión de ayuda. La muestra estuvo conformada por 403 estudiantes de Psicología de una universidad pública de Lima, cuyas edades fluctuaron entre 18 y 31 años. Para la construcción de la escala se consideraron las 6 dimensiones y los 36 ítems de la primera versión. Resultados: El coeficiente omega tuvo un valor entre 0,70 y 0,74; y el alfa ordinal, entre 0,82 y 0,93. Respecto a la validez de contenido, los valores V de Aiken estuvieron entre 0,89 y 1,00 (p = 0,001). El análisis factorial confirmatorio evidenció cuatro dimensiones con adecuados índices de ajuste [χ2/gl = 2; SRMR = 0,064; CFI = 0,955; TLI = 0,951; RMSEA = 0,054]. Conclusiones: El instrumento presenta evidencias de validez de contenido y de estructura interna, además de una adecuada consistencia interna de las puntuaciones.
Palabras clave: maldad, confiablidad, validez, psicometría, escala.
Abstract: Introduction: Evil is present in people's behavior, therefore, it constitutes an indispensable subject of study for psychology to study it in order to evaluate and understand the damage it can cause to many individuals. Objective:To construct an instrument to measure malice, malevolence or meanness identifying its main psychometric properties such as validity and reliability. Material and Methods: The study was instrumental in a non-probabilistic sample, through the online application of the Meanness Scale (ESMA-31) consisting of 31 items with 4 dimensions: selfishness, idealism, sadism, and omission of help. The sample consisted of 403 psychology students from a public university in Lima, aged between 18 and 31 years. For the construction of the scale, the 6 dimensions and 36 items of the first version were used. Results:The scale presented an omega coefficient between 0.70 and 0.74, and an ordinal alpha between 0.82 and 0.93. Regarding content validity, Aiken V values were between 0.89 and 1.00, p = 0.001. Confirmatory factor analysis evidenced four dimensions with adequate fit indices [χ2/gl = 2, SRMR = 0.064, CFI = 0.955, TLI = 0.951 and RMSEA = 0.054]. Conclusions: The instrument presents evidence of content and internal structure validity, in addition to adequate internal consistency of scores.
Keywords: evil, reliability, validity, psychometrics, scale.
Artículo original
Construcción y validez de la Escala de Maldad en estudiantes universitarios limeños
Construction and validity of the Malice Scale in university students from Lima

Recepción: 22 Mayo 2023
Aprobación: 17 Septiembre 2023
La maldad es una conducta nociva muy frecuente en la sociedad, donde se observa que individuos o grupos dañan a los demás; esta conducta se puede presentar desde el acoso escolar hasta el homicidio. Actos como el abuso sexual, la violencia juvenil, la tortura, el genocidio, así como el asesinato, son manifestaciones de maldad (1). El término se asemeja con el de la agresión y la violencia porque implica lastimar al otro; sin embargo, su diferenciación radica en que la maldad es planificada y posee una mayor intencionalidad (2).
La Oficina de las Naciones Unidas Contra la Droga y el Delito (UNODC) (3) señaló que, entre los años 2015 y 2017, el número de homicidios en todo el mundo se incrementó en un 4 %, siendo los países de América Latina los que lograron las mayores cifras en comparación con otras regiones. Asimismo, el Instituto Nacional de Estadística e Informática (INEI) (4) indica que, en 2018, el Perú registró 2487 muertes violentas relacionadas a hechos delictivos dolosos; esta es una tasa de 7,6 muertes por cada 100 000 habitantes, siendo la delincuencia común una de las principales causas de estos decesos.
Algunos miembros de la sociedad peruana se ven inmersos en innumerables delitos; asimismo, se puede apreciar a la maldad expresada en actos de violencia psicológica o en la manipulación de la pareja (5). En este contexto, es importante señalar que los registros sobre insultos o bromas ofensivas están vinculados con víctimas menores de edad o mujeres, encontrándose un reporte de violencia psicológica en adolescentes (63,2 %) y en mujeres (67,6 %) (6).
La maldad se refiere a las acciones voluntarias donde se daña, maltrata, humilla, deshumaniza o destruye a las personas; o al uso del poder para fomentar o permitir que se lastime a los demás. Asimismo, se evidencia cuando las personas tratan a los demás sin considerar su humanidad (7).
Book et al. (8) señalan que entender la naturaleza de la maldad ha sido un reto que involucra el estudio de los rasgos antisociales asociados a consecuencias negativas y un enfoque vinculado a tres rasgos de la personalidad conocidos como la triada oscura, conformada por el maquiavelismo, el narcisismo y la psicopatía (9), entendiéndose metafóricamente el lado oscuro como el elemento más negativo de las relaciones interpersonales (10). La personalidad oscura incluye a los rasgos subclínicos que pueden abarcar a una gran parte de la población, y no solamente a las personas diagnosticadas con un trastorno. Además, se ha sugerido una tétrada oscura, que incluye al sadismo como otro rasgo antisocial (11).
Los términos «psicopatía» y «maldad» han sido ampliamente relacionados en diversos estudios e investigaciones. Por ejemplo, en la propuesta de McCord y McCord (12), se enfatiza que los psicópatas poseen características como la incapacidad de amar o de sentir remordimiento, acompañadas de rasgos agresivos que son significativamente consistentes con las características del constructo de maldad; tal es así que Patrick et al. (13) proponen un modelo triárquico de la psicopatía con tres componentes: audacia, maldad y desinhibición. Según Patrick (14), la maldad está caracterizada por una empatía deficiente, desprecio y falta de apego por los demás, rebeldía, búsqueda de emociones, explotación y empoderamiento a través de la crueldad.
Es notable destacar que la triada oscura posee como dimensión a la psicopatía (9), la cual contiene como factor a la maldad (13), y esta última puede considerar al sadismo como un elemento suyo (15), aunque, según la tétrada, el sadismo también es una categoría relevante (11).
Según Stone (16), la maldad es identificable cuando el individuo comete un asesinato, y puede ser distinguida en 22 niveles (donde mayor sea el daño provocado, más alto puntuará). Esta escala evalúa la maldad basándose en la historia de vida, los rasgos de personalidad y la historia criminal del evaluado, donde el evaluador, basándose en la revisión de la literatura, lo ubica en uno de los niveles. En este caso, la escala en construcción evalúa la maldad desde el mínimo acto que implique daño, no necesariamente el homicidio.
Baumeister (15) señala que el mal se puede expresar de forma idealista, egoísta, sádica e instrumental; adicionalmente, Zimbardo (7) refiere que el mal por inacción también genera mucho daño a las personas; por otro lado, Mann et al. (17) y Shu et al. (18) consideran a la deshonestidad como un elemento importante. Bajo este contexto, se han identificado las siguientes dimensiones respecto a la maldad:
· Egoísmo. Baumeister (15) lo define como la sobrevaloración de uno mismo y el estado de encontrarse hipersensible a la crítica, y que el sujeto egoísta puede llegar a lastimar cuando siente una amenaza, aunque esta no sea real. La persona percibe como aceptable el herir a otros porque se siente diferente y superior a los demás (19).
· Idealismo. Baumeister (15) indica que esta dimensión está constituida por conductas dañinas que se realizan porque se asume que los fines buenos y deseables justifican los medios violentos u opresivos. Además, Baumeister y Vohs (20) señalan que lo realizan personas motivadas por grandes ideales, donde se identifica a la violencia como un medio necesario para alcanzar algo bueno y positivo; por ello mismo justifican sus conductas inadecuadas (2).
· Sadismo. Es la tendencia a ejecutar un comportamiento cruel y degradante de larga duración, donde actos de índole físico, sexual o psicológico se realizan con el objetivo de afirmar el propio poder o placer mediante el daño causado a otros (21).
· Mal instrumental. Se evidencia en el uso de un conjunto particular de medios malvados para perseguir objetivos (dinero, poder, sexo, bienes, etc.) que podrían obtenerse con medios aceptables (20).
· Omisión de ayuda. Según Zimbardo (7), esta actitud se da cuando la persona acepta o se exime de interferir con las conductas que provocan daño a otros. Se asume una actitud pasiva porque se considera que el mundo es así, por tanto, poco o nada se puede hacer para cambiarlo (22).
· Deshonestidad. Se define como aquellos comportamientos donde se transgrede una norma social, formal o informal, para el propio beneficio personal y a costa de la sociedad (17,18), sin la presencia de responsabilidad o culpabilidad por los hechos.
Por lo expresado, se hace necesario disponer de instrumentos que puedan medir este constructo, tomando en cuenta que las pruebas psicológicas son los más utilizados para recopilar datos del comportamiento de los individuos. Estas pruebas deben cumplir estrictos estándares científicos de validez y confiabilidad, de tal forma que ayuden a los profesionales e investigadores a tomar decisiones (23).
Moshagen et al. (22) emplean el término general «rasgos oscuros» para referirse a los rasgos subclínicos de personalidad que están relacionados con comportamientos ética, moral y socialmente cuestionables, y que provocan sufrimiento a otros. De igual manera, se entiende el término «factor oscuro de la personalidad» como la predisposición general a incrementar la propia utilidad personal provocando malévolamente el daño a los demás.
Según Livia y Ortiz (24), en el Perú existe una escasez de pruebas psicológicas con evidencias de validez y fiabilidad, habiéndose identificado una ausencia de instrumentos que midan la maldad. Miller (25), por su parte, señala que este constructo ha estado implicado en la psicología filosófica y social en mayor proporción. Por estas razones, en el presente estudio se busca construir y validar un instrumento que mida la maldad, de tal forma que brinde un soporte científico para evaluar este aspecto en la población peruana.
La presente investigación, siguiendo los lineamientos de Montero y León (26), fue un estudio de tipo instrumental porque estudió las propiedades psicométricas de la escala, como la validez y la confiabilidad.
Participaron 403 universitarios, 94 (23,3 %) hombres y 309 (76,7 %) mujeres, de 18 a 31 años de edad (M = 23,25; DE = 2,638), provenientes de la Facultad de Psicología de una universidad nacional del Lima Metropolitana. Según Nunnally (27), para la construcción de pruebas psicológicas, por cada ítem de la escala debe haber mínimo 10 participantes; asimismo, Gardner (28) sugiere emplear una muestra superior a 400 participantes; por ende, la cantidad de la muestra en nuestro estudio fue de 403 participantes, número aceptable para evaluar las propiedades psicométricas.
La Escala de Maldad (ESMA-31) es un instrumento que pretende medir la variable maldad en estudiantes universitarios. Está conformada por 31 ítems, cuyo tipo de respuesta fue la escala Likert con una gradación de 1 a 5. Las dimensiones que componen la escala son cuatro: idealismo (14 ítems), sadismo (6 ítems), omisión de ayuda (5 ítems inversos) y egoísmo (5 ítems). A mayor puntaje, mayor es la presencia de maldad en la persona. Las edades de aplicación fueron de 18 a 31 años; y el tiempo de administración fue aproximadamente de 15 minutos.
Para la construcción de la Escala de Maldad, se siguieron los aspectos propuestos por Muñiz y Fonseca (29).
La presente escala se construyó porque se consideró que no existía otro instrumento que sea capaz de evaluar el constructo maldad. La escala se aplica a una población universitaria; sin embargo, puede ser aplicada en otros contextos, siempre y cuando se realicen más estudios para su validación. La escala sirve como un elemento de tamizaje para identificar el grado de maldad que presentan las personas en una determinada población. Su uso es de preferencia en investigación.
Se define la variable luego de una exhaustiva revisión en la literatura, donde se discrimina entre conceptos moralistas y éticos, y otros que tengan mayor evidencia científica. Es por ello que se asume el concepto de Zimbardo (7); y en el caso de las seis dimensiones establecidas, cuatro se basan en la teoría de Baumeister (15) (egoísmo, sadismo, idealismo y mal instrumental); la dimensión omisión de ayuda se sustenta en las investigaciones de Zimbardo (7); y la última, deshonestidad, se incluye por aportaciones de Man et al. (17) y Shu et al. (18).
También se identificó que la variable maldad se relaciona con la triada y tétrada oscura, así como el término psicopatía; sin embargo, no se les considera como elementos similares.
Al momento de la construcción del instrumento, se determinó que la forma de aplicación de la escala sería online debido a la coyuntura de la COVID-19; además, la mayoría de los centros universitarios llevaban sus clases 100 % de forma virtual. A los sujetos se les solicitó que participen de forma voluntaria, estando en su decisión formar parte de la muestra (30, 31). La aplicación se realizó a estudiantes universitarios de 18 a 31 años de edad, rango etario que se consideró aceptable, porque se concentra en sujetos mayores de edad y porque a más edad implicaría que presenten otras características más diferenciadas en su accionar.
En el caso de la elaboración de ítems, se prefirió optar por oraciones de una longitud no mayor a 12 palabras. El contenido debía hacer referencia a conductas que se hayan presentado en algún momento de su vida y que reflejen la variable maldad; así también, el tipo de respuesta que se optó fue el de Likert de cinco alternativas, por considerarlo con mayores opciones de respuesta, a diferencia del dicotómico que restringiría más la respuesta del evaluado.
Luego de establecer las seis dimensiones, se empezó a determinar la redacción de los ítems (tabla 1).

Se optó primero ir por la validez de contenido por criterio de nueve jueces, quienes indicaron que los ítems 2, 3, 4, 5, 6, 10, 11, 12, 16 y 19 debían ser modificados en su redacción; por ende, al realizarse los cambios, se estableció la segunda versión de la escala (tabla 2).

En esta etapa se elaboró el formulario online para poder recopilar las respuestas de los participantes. Se desarrolló con mucho cuidado, velando por la correcta ortografía y la presentación ordenada de los ítems.
Se efectuó un estudio piloto con 100 participantes, en el cual, debido al análisis factorial exploratorio, de los 36 reactivos se eliminaron los ítems 4, 10, 16, 24 y 18 por presentar pesos factoriales menores de 0,30. De este modo, los seis factores identificados desde la teoría fueron replanteados, y se establecieron solo cuatro: egoísmo, idealismo, sadismo y omisión de ayuda, cada uno con 5, 6, 14 y 6 ítems, respectivamente (tabla 3).

La recolección de datos se llevó a cabo vía online, empleando formularios virtuales que contenían un consentimiento informado, un cuestionario sociodemográfico y la Escala de Maldad (ESMA-31) (ver anexo). En el consentimiento informado, se especificaban los objetivos de la investigación, las garantías del anonimato, que la participación era voluntaria y el participante podía abandonarla cuando lo considere pertinente; si se presentaba alguna inquietud o disconformidad, podrían comunicarse al correo señalado. El consentimiento se estableció al iniciar la aplicación y se podía seleccionar: «Sí acepto participar» o «No acepto participar». Asimismo, se recopiló más de 400 aplicaciones, valor necesario en casos de construcción.
Se realizó una segunda validación de contenido por criterio de jueces, el cual está especificado en el apartado de los resultados. Posteriormente, con las puntuaciones recopiladas, se llevó a cabo el análisis factorial exploratorio y el análisis factorial confirmatorio, propios de la evidencia de validez del constructo. Luego se halló la confiabilidad por consistencia interna.
Los lineamientos y los procedimientos que se siguieron durante el desarrollo de la investigación no afectaron ni atentaron contra la dignidad de los participantes. La inclusión de los participantes fue previa consulta por medio de un consentimiento informado. La información recogida fue confidencial y almacenada con códigos y sin los datos de identificación; asimismo, en los resultados publicados, no se mostró ninguna información que genere la identificación de las personas que participaron en el estudio. Además, la investigación fue aprobada por el Comité de Ética de la Universidad Nacional Federico Villarreal.
Se evaluó la validez de contenido con el método de criterio de jueces y se calculó el índice de acuerdo con la valoración de los especialistas con el coeficiente V de Aiken (32), que es aceptable cuando su valor es mayor o igual a 0,80 (33), además de los intervalos de confianza al 95 % (34).
Culminada la recolección de información con 403 individuos, se elaboró una base de datos en el software SPSS versión 25; luego se exportó la base de datos al software de programación RStudio versión 4.0.5 para efectuar el análisis estadístico de los ítems, explorando la media, la desviación estándar, los coeficientes de asimetría, la curtosis y los índices de discriminación. Se evaluó la estructura interna de la Escala de Maldad mediante el análisis factorial exploratorio con el estimador ULS (35), y el análisis factorial confirmatorio con el estimador de mínimos cuadrados ponderados con media y varianza ajustada (WLSMV), mediante la medida ordinal de los ítems (36). Por último, se emplearon los coeficientes omega (37) y alfa para estimar la consistencia interna.
El análisis de los ítems examinó la media, la desviación estándar, la asimetría y la curtosis de cada uno de ellos. Los ítems 4, 7, 24 y 30 presentaron una asimetría por fuera de los rangos con valores superiores a +/– 3 (38). Por otro lado, la desviación estándar osciló entre 0,35 y 0,99, y la media varió entre 1,05 y 2,43, lo que señala que los sujetos de la muestra tienden a puntuar bajo. Asimismo, para determinar la homogeneidad de los ítems, se llevó a cabo la correlación ítem-test. Los valores de correlación resultantes se ubicaron entre 0,33 y 0,74, lo que sugiere que los ítems discriminan bastante bien, a excepción del ítem 28 (Intervengo cuando veo acciones injustas), que presentó un valor de 0,17 (tabla 4).

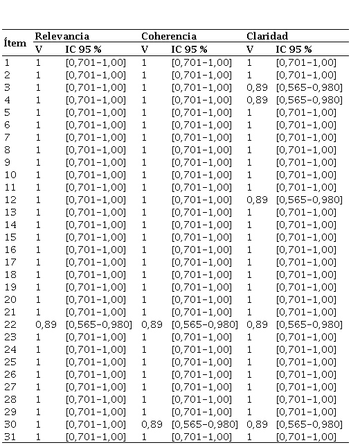
Los jueces fueron nueve profesionales de la carrera de Psicología: cuatro psicólogos de la Dirección de Investigación Criminal de la Policía Nacional del Perú (Dirincri), un psicólogo del Instituto Nacional Penitenciario del Perú (INPE), un psicólogo perito de parte, y tres docentes universitarios del curso de Investigación Metodológica. Para la valoración de los ítems, se requirió que los jueces consideren tres categorías: relevancia, coherencia y claridad, siendo la calificación de 1 si cumple con el criterio y 0 si no lo cumple.
En la tabla 5, se observa que la gran mayoría de los ítems alcanzaron, en las tres categorías, índices admisibles de 1,00, a excepción del ítem 22, que en las tres categorías obtuvo 0,89.

De acuerdo con la prueba de esfericidad de Bartlett (χ2= 2403,1; p < 0,001), se encontró que la matriz de correlaciones difiere de una matriz de identidad, y el valor del KMO (0,93) señala que las evidencias de correlaciones, en gran porcentaje, son ampliamente robustas para formar factores.
Para determinar el número de factores que explique la varianza común de los ítems que entran en el análisis, se aplicó el método paralelo; se consideraron los valores propios de cada factor (eigen values) y la proporción de la varianza total. En la figura 1 se observa el gráfico del número de factores, donde se evidencia la presencia de cuatro factores.

En la tabla 6, se observan los cuatro factores que se han retenido, alcanzando a explicar el 43 % de la varianza de los datos recogidos. El valor fue aceptable por ser una escala recién construida.

La estructura factorial de la escala se presenta en la tabla 7. Se consideró que el ítem debe obtener un valor mínimo de carga factorial de 0,30 para que se identifique con un determinado factor. Se empleó el método de cuadrados ponderados (ULS) y el tipo de rotación varimax. Con respecto a la descripción del primer factor identificado como idealismo, comprende los ítems 6, 10, 13, 15, 16, 17, 18, 19, 20, 21, 22, 23, 29 y 31. El segundo factor corresponde a sadismo y está formado por los ítems 7, 24, 25, 26, 27 y 30. El tercer factor representa a la omisión de ayuda e incluye los ítems 1, 9, 11, 12, 14 y 28. Finalmente, el cuarto factor es egoísmo, el cual considera los ítems 2, 3, 4, 5 y 8. Los pesos factoriales de los ítems obtuvieron valores entre 0,33 y 0,76.

Además, se reportó la comunalidad de cada indicador, la cual señaló qué ítems son los que menos explican el modelo. El cuantificador bajo de la comunalidad refiere qué cantidad de la variabilidad del ítem no es capaz de ser explicado por los factores extraídos. Los resultados señalan que todos los ítems explican su variabilidad original, siendo el ítem 13 el que puntuó más bajo, capaz de representar solo el 20 % de su variabilidad inicial.
Para comprobar la estructura factorial de la escala, se estableció un análisis factorial confirmatorio basado en el modelo de ecuaciones estructurales, con el propósito de determinar si el modelo de medida especificado es consistente con la realidad.
Los parámetros que se obtienen a partir de la base de datos que contiene los 31 ítems coinciden con la estructura teórica del modelo de la escala. El método de estimación de parámetros empleado fue el WLSMV (figura 2).

En esta figura se evidencia que todas las saturaciones entre los ítems y su factor son significativas (coeficiente ubicado entre la flecha unidireccional del factor al ítem) y hay cuatro factores latentes: idealismo, sadismo, omisión de ayuda y egoísmo.
Asimismo, los ítems 6, 10, 13, 15, 16, 17, 18, 19, 20, 21, 22, 23, 29 y 31 saturan en el factor idealismo; 7, 24, 25, 26, 27 y 30, en el factor sadismo; los enunciados 1, 9, 11, 12, 14 y 28, en el factor omisión de ayuda; y los ítems 2, 3, 4, 5 y 8, en el factor egoísmo.
En la tabla 8, se aprecian los índices de ajuste. El valor de chi cuadrado fue de 903,032; y el de los grados de libertad, 428. Estos resultados permitieron realizar un análisis de los índices ajuste. En la tabla 8 se visualiza que el índice de ajuste de la prueba chi cuadrado fue p < 0,05, lo cual indica que fue significativo; sin embargo, de mayor relevancia será la medida parsimoniosa que tuvo un valor de 2, lo cual indica un buen ajuste. Asimismo, los demás índices de ajuste, como el RMSEA, SMR, TLI, CFI, obtuvieron resultados dentro de lo esperado.

En la tabla 9, se observa que los indicadores de consistencia interna señalan que los valores del coeficiente omega estuvieron entre 0,74 y 0,90; los valores del alfa ordinal, entre 0,82 y 0,93; y los valores de la confiabilidad compuesta, entre 0,74 y 0,89; en cada una de las dimensiones.

El objetivo general del presente estudio fue determinar las propiedades psicométricas de la Escala de Maldad en estudiantes de Psicología de una universidad pública de Lima Metropolitana por la escasez de estudios que existen del constructo de maldad en el país.
El análisis ítem-test encuentra valores superiores a 0,34. Para Ebel (39), índices superiores a 0,30 son aceptables, lo que corrobora que los ítems son capaces de diferenciar a las personas que poseen un alto y un bajo puntaje en la escala (40). Por el contrario, el ítem 28 (Intervengo cuando veo acciones injustas) presenta un coeficiente de correlación de 0,17, considerado un ítem a mejorar (39). Esto puede deberse a que es un ítem inverso y a que la dimensión omisión de ayuda puede, en ocasiones, no considerarse como actos de maldad.
En cuanto a la evidencia de validez basada en el contenido, se encuentra que, según los nueve expertos, la V de Aiken presenta en las categorías de relevancia, coherencia y claridad valores adecuados y la significancia es de p = 0,001. Según Escurra (33), los p < 0,05 indican valores válidos. Por ello, se asume que los jueces consideraron que los ítems son capaces de medir la variable maldad en estudiantes universitarios.
Asimismo, en evidencia de la validez basada en la estructura interna, se identifican cuatro factores, con pesos factoriales adecuados por encima de 0,30 (41), donde un ítem de la dimensión de mal instrumental se eliminó y los demás pasaron al factor idealismo; esto se debe a que los ítems reflejan la maldad en acciones que buscan obtener algún beneficio (20). Del mismo modo, dos de los ítems de deshonestidad fueron eliminados, y tres de ellos pasaron a la dimensión omisión de ayuda, porque estos evidenciaron que la pasividad en las acciones puede reflejar la presencia de maldad (7). La varianza explicada fue de 43 %. Según Pérez y Medrano (42), la varianza explicada es una condición necesaria, pero no se considera un criterio decisivo por las múltiples soluciones factoriales. En el presente primer estudio de la escala, el 43 % explica la capacidad de la prueba de medir la variable maldad.
El análisis factorial confirmatorio valida la estructura interna, quedando conformada la escala por 31 ítems y cuatro factores (idealismo, sadismo, omisión de ayuda y egoísmo); lo cual fue corroborado por lo revisado en la literatura. Estos cuatro factores reflejan con mayor énfasis la variable maldad, porque cada uno desde su posición explica la maldad desde diferentes panoramas: i) idealismo, medios incorrectos para alcanzar fines deseables ante la sociedad (15); ii) sadismo, placer por el dolor ajeno (21); iii) omisión de ayuda, falta de intervención ante la presencia de maldad (7); y iv) egoísmo, donde se lastima a los demás porque uno se considera superior al resto (19).
Del mismo modo, los índices de ajuste respaldan la estructura planteada al ser adecuados: χ2/gl = 2 (43); CFI = 0,955 y TLI = 0,951 (superiores a 0,95); y SRMR = 0,064 y RMSEA = 0,054 (valores inferiores a 0,70) (44). Los índices de ajuste resultaron, en general, satisfactorios y permiten pronosticar un panorama favorable para posteriores investigaciones con la variable maldad.
Con respecto a la propiedad psicométrica de la confiabilidad basada en la consistencia interna, se evidencian coeficientes de confiabilidad favorables superiores a 0,70 en cada una de las dimensiones (45); se asume entonces que las puntuaciones de la prueba son confiables.
Las limitaciones del estudio se identifican desde la construcción de la escala, porque la variable engloba una temática controversial, no obstante, necesaria de estudiar para la psicología. Además, durante el desarrollo del estudio, los tiempos de pandemia impidieron llevar a cabo la recopilación de la base de datos de forma presencial, lo cual puede conllevar sesgos en los resultados. Otra dificultad fue el acceso a la muestra, ya que solo se accedió a estudiantes de Psicología de una universidad en específico, donde las mujeres tenían un porcentaje más representativo.
Se recomienda que para posteriores investigaciones se intente demostrar más evidencias de validez, como en el caso de la validez concurrente, así como ampliar la muestra y el rango de edad para que más profesionales puedan acceder a la prueba. La aplicación puede realizarse de forma online y presencial, y revisar las diferencias significativas en sus resultados.
Es importante que se desarrollen más investigaciones con la ESMA-31 porque, al ser este su primer estudio, requiere de réplicas para corroborar el modelo factorial o refutarlo.

https://revistas.upch.edu.pe/index.php/RNP/article/view/4973/5192 (pdf)
Ninguno
Correspondencia: Cynthia Cárdenas. Correo electrónico: 2013001267@unfv.edu.pe Celular: 927944450











