
Recepción: 15 Diciembre 2015
Aprobación: 17 Marzo 2016
Resumen: Este texto se centra en las matemáticas en la formación profesional. Después de explicar el concepto ‘boundary crossing’ en relación con la teoría de la actividad histórico-cultural, se estudia cómo ello se puede contemplar a nivel del saber con la teoría antropológica de lo didáctico y sus conceptos de institución, sujeto y praxeología. El texto pretende proveer dos herramientas útiles para una epistemología que se propone investigar el saber matemático tal como está presente en los escenarios profesionales, cualquiera que sea la naturaleza y el nivel de cualificación de la profesión: una pauta de análisis del saber que se desarrolla al emplear una técnica matemática, ilustrándola con un ejemplo de cálculus en dos contextos diferentes; un modelo de los efectos sobre las praxeologías de la circulación inter-institucional.
Palabras clave: Teoría antropológica de lo didáctico, tecnología de una técnica, circulación inter-institucional, transposición.
Abstract: The focus of this paper is on vocational training programs, which means previous investigation about mathematics in vocational settings. We start by explaining the term ‘boundary crossing’ in relation with the cultural, historical, activity theory approach. We then present a way to address the same issue within the anthropological theory of the didactic, using the key concepts of institution and praxeology. We develop an analysis grid of knowledge produced by users when they employ a mathematical technique and a general model of the changes human knowledge is submitted to when moving from one institution to another. Our approach is relevant to any level of professional qualification, from engi- neering to professions socially viewed as poorly qualified.
Keywords: Anthropological theory of the didactic, technology of a technique, inter-institutional circulation, transposition.
I. INTRODUCCIÓN: ¿BOUNDARY CROSSING?
El campo de investigación en que se centra este texto estudia los fenómenos de enseñanza y aprendizaje de las matemáticas en el marco de la formación profesional. La expresión “boundary crossing ” en el título remite a un conjunto importante de trabajos que se ubican en este campo de investigación con refe- rencia a la teoría de la actividad histórico-cultural (véase por ejemplo el número especial 86 de la revista Educational Studies in Mathematics). Esta teoría (en adelante TAHC) es un desarrollo de la teoría de la actividad, al que ha contribuido considerablemente Y. Engeström (2001). Engeström y sus colaboradores (1995) conceptualizan ‘boundary crossing ’ como un proceso de producción de conocimientos que ocurre cuando miembros de una comunidad se trasladan a otra comunidad, trayendo con ellos el sistema de sus maneras de actuar e interactuar, sus herramientas, normas y lenguaje e interactuando con el otro sistema. La hipótesis de la TAHC es que el encuentro entre estos dos contextos socio-culturales favorece el intercambio y desarrollo de conocimientos, tanto a nivel de las comunidades como de los individuos. Si el término ‘boundary ’ refiere a diferencias socioculturales que resultan en discontinuidades en el actuar e interactuar (Akkerman & Bakker 2011), el concepto de ‘boundary crossing ’ conlleva la idea que, para un sujeto, vivir estas discontinuidades resulta en aprendizaje y desarrollo.
Este enfoque es específicamente relevante para la formación profesional, donde el estudiante encuentra no solamente disciplinas o materias escolares, sino también contextos profesionales, tanto dentro como fuera de la escuela. Por ejemplo, Roth (2014) se interesa en un programa de capacitación para electricistas en una escuela universitaria canadiense. Dicho programa incluye clases de matemáticas, de ciencias, clases prácticas (talleres) y periodos de prácticas en una empresa. Roth centra su investigación en el problema siguiente: ¿cómo cambia el estudiante cuando vive la necesidad de cruzar fronteras (boundary crossing)?
Cultural-historical activity theory allows us to think about what happens to an individual who participates within an activity over time and whose trajectories takes it through/across different activities in the course of a day, week, month, or year. (Roth, 2014: 179)1
Cabe subrayar la índole psicológica de este problema, como de la teoría misma. Si bien la TAHC permite tomar en cuenta una cierta dimensión social, lo hace desde el punto de vista de los individuos y de sus contribuciones a la vida social, por medio de su participación, individual y colectiva, en ‘interconnected activity systems ’ (Engeström 2001). La Teoría Antropológica de lo Didáctico (en adelante TAD) contempla lo social desde un punto de vista opuesto: destaca el papel que desempeñan las organizaciones sociales de diferentes niveles en las actividades humanas. En mi opinión, estas teorías no son contradictorias, sino que se complementan: pueden por ejemplo encontrarse en el estudio de comunidades laborales estables consideradas como ‘activity systems’ e instituciones, cada teoría aportando aclaraciones distintas. Aquí no defiendo más allá esta tesis, cabe considerarla como una hipótesis.
En este texto, se postula que, antes de estudiar los cambios del estudiante cuando cruza fronteras, es necesario indagar sobre las diferencias entre los contextos socio-culturales de referencia. ¿Sería este postulado incongruente en el marco de la TAHC? No puedo contestar esta pregunta por ahora. En cambio, como lo veremos en la sección siguiente, es una consecuencia evidente de los principios generales de la TAD. Más concretamente, nos centramos en los recur- sos cognitivos socialmente compartidos en cada contexto. Desde el primer trabajo de Chevallard sobre la transposición didáctica (1985) y su desarrollo, en el epílogo de la reedición de 1991, la hipótesis fundamental de la TAD es que, al circular de un contexto a otro, el saber no permanece invariable. La problemática que definimos en este texto es precisamente la siguiente: al ser empleado en un entorno profesional, el saber matemático sufre transformaciones que se deben indagar y tomar en cuenta para el diseño de la formación profesional, cualquiera que sea la naturaleza y el nivel de cualificación de la profesión, desde ingeniería hasta trabajos que se consideran socialmente como no-calificados. Vemos a continuación que la TAD provee de herramientas útiles para abordar esta problemática.
II. CONCEPTOS CLAVE DE LA TEORÍA ANTROPOLÓGICA DE LO DIDÁCTICO
1. INSTITUCIÓN Y SUJETOS
La TAD destaca las determinaciones sociales de los fenómenos que estudia. No se habla de contexto socio-cultural ni tampoco de participante en una comunidad, sino de institución y sujeto, dos conceptos básicos de esta teoría que no se pueden definir independientemente. Una institución es una organización social estable en el seno de la cual se realizan ciertas actividades sociales, bajo ciertas restricciones. Por un lado, la institución crea un marco vinculante para las actividades que se desarrollan en su seno, por otro, las hacen posibles proporcionando ciertos recursos materiales, organizativos y cognitivos.
Los participantes en dichas actividades tienen que convertirse en sujetos de la institución, es decir someterse a sus restricciones. Cabe subrayar que la TAD emplea el término “sujeto” en su sentido etimológico latino: sub-jectus (literalmente arrojado debajo de), participio pasado de subjacere que significaba someter. Este sentido resulta muy diferente del que se le da en otros dominios como la sicología o la gramática, destacándose en la definición de sujeto la dimensión de “restricción” que imponen las influencias sociales. El término sujeto no remite a un individuo concreto, sino a un conjunto de actividades, expectativas y restricciones institucionales que caracterizan una posición del sujeto dentro de la institución.2 Un individuo se vuelve sujeto de una institución cuando ocupa una de las posiciones (de sujeto) presentes en dicha institución, intentando adaptarse al contrato3 que caracteriza esta posición.
Para ilustrar estas consideraciones, tomemos el ejemplo del programa de capacitación que investiga Roth (2014): en dicho programa, el individuo-estudiante tiene que convertirse en sujeto de varias instituciones: las clases de matemáticas, de ciencias, el taller-clase, la empresa durante su periodo de práctica. Roth encuentra también instituciones de mayor extensión social, en la dimensión educativa la escuela universitaria, las disciplinas escolares de matemáticas y ciencias; en la dimensión profesional el sistema canadiense de control de las instalaciones eléctricas, regulado por el “National Electrical Code of Canada”.
En su vida, un individuo circula entre varias instituciones, experimentando así el “cruce de fronteras”. Generalmente, tiene que evolucionar y aprender para ocupar una nueva posición en una nueva institución, porque las sujeciones son diferentes, como también lo son los recursos materiales y cognitivos puestos a su disposición. Vamos a ver a continuación que, como lo destaca Chevallard (1985, 1991), de una institución a otra, las diferencias en el ámbito cognitivo son más amplias de lo que se puede suponer, debido a la actividad cognitiva institucional. Cabe concluir esta sección con el concepto de ‘persona’ que en el marco de la TAD permite tomar en cuenta el proceso de desarrollo individual que conoce cada ser humano a lo largo de su vida. Se construye como persona a través de su recorrido entre instituciones, una persona original que nunca se limita a las posiciones de sujeto que ocupa, ni tampoco satisface totalmente a las expectativas institucionales. ‘ Persona’ resulta el concepto de la TAD más cercano al sujeto de otros enfoques, pero su sentido no se debate mucho en este marco teórico.
2. LA COGNICIÓN INSTITUCIONAL, OBJETO DE LA ANTROPOLOGÍA EPISTEMOLÓGICA
La idea de cognición institucional parece contradictoria en ciertos círculos de investigación educativa que consideran la cognición como una actividad estric- tamente cerebral. Se considera aquí la cognición como el proceso de desarrollo de recursos para abordar las tareas que se encuentran en el entorno humano. Si este desarrollo se ubica a nivel social, se trata de producir nuevos recursos socialmente compartidos. Cabe sostener que, siendo organizaciones estables, las instituciones crean las condiciones necesarias para una inventiva vista como esencialmente colaborativa, para la transformación de invenciones puntuales en innovaciones socialmente reconocidas, para la difusión geográfica y para la transmisión entre generaciones. Las instituciones producen saberes nuevos que reconocen como legítimos (institucionalizados), es decir que aprenden. También mediatizan estos saberes, es decir crean condiciones para que (ciertos de sus) sujetos se los apropien. Estos procesos de desarrollo cultural constituyen la cognición institucional, el objeto de investigación de lo que Chevallard (1985, reedición 1991: 210) nombra la antropología epistemológica.
A partir de los razonamientos anteriores, se puede advertir el fenómeno epis- temológico siguiente: el cruce de fronteras inter-institucionales afecta generalmente los recursos cognitivos producidos por una institución que viajan a otra para ser empleados o enseñados:
Los procesos transpositivos –didácticos, y más generalmente institucionales– son, como uno lo imagina, la motivación esencial de la vida de los saberes, de su diseminación y de su funcionalidad adecuada. Y no se sabría señalar suficientemente, en este aspecto, hasta qué punto la manipulación transpositiva de los saberes es una condición sine qua non del funcionamiento de nuestras sociedades, cuya negligencia –en beneficio principalmente de la pura producción del saber– puede ser criminal (ibídem: 214)
Pero antes de continuar con esta cuestión, presentaré el modelo de los recursos que propone la TAD, es decir, el concepto de praxeología.
3. EL MODELO PRAXEOLÓGICO DE CHEVALLARD
En esta parte, la atención se centra en la noción de praxeología tal y en cómo se presenta en los textos fundadores de la TAD (Chevallard, Bosch, Gascón, 1997; Chevallard, 1999). Este modelo se representa como
y se compone de dos bloques:
• El saber-hacer o la praxis
, donde
T es un tipo de tareas,
una técnica, es decir un conjunto de procedimientos (no necesariamente un algoritmo) que permite tratar ciertas tareas del tipo T (posiblemente no todas), en ciertos dispositivos y con ciertos medios.
• El saber o el logos
, donde
representa la tecnología de
, es decir el discurso racional que se elabora para justificar, hacer inteligible y producir esta técnica; la teoría es la tecnología de la tecnología.
De lo anterior, cabe subrayar algunos elementos:
Se notará enseguida que una segunda función de la tecnología es la de explicar, volver inteligible, esclarecer la técnica. Si la primera función –justificar la técnica– consiste en asegurar que la técnica hace bien lo que pretende, esta segunda función consiste en exponer por qué esto resulta ser adecuado. [. . .] Finalmente, una segunda función corresponde a un empleo más actual del término tecnología: la producción de técnicas (Chevallard, 1999: 226-227).
Puede advertirse en estas líneas cierta ambigüedad en torno a los verbos utilizados: justificar, explicar, producir, o por lo menos cierta laxitud para interpretar lo que significan. Volveremos a ello en el apartado III.
incluye el bloque de la praxis como componente de plena legitimidad de lo cognitivo institucional; además, leyendo desde la izquierda, explicita el papel generador de las actividades problemáticas en el desarrollo de la cultura humana. Pone de manifiesto que para indagar la organización praxeológica (el conjunto de recursos praxeológicos) de una institución no basta centrar el estudio en los discursos y mucho menos en la teoría o los conceptos. En cuanto a la educación matemática, tal enfoque representa una ruptura con la organización clásica de las matemáticas académicas que se distingue por hacer hincapié en las teorías, en relegar a un segundo plano sus aplicaciones para abordar ciertos problemas y en qué tipos de tareas y técnicas asociadas no se destacan como objetos cruciales.III. ¿QUÉ NECESIDADES BUSCA SATISFACER LA TECNOLOGÍA DE LA TÉCNICA?
Al volver al origen de la reflexión que se presenta aquí, se observa que existen investigaciones sobre los conocimientos necesarios para la resolución de problemas matemáticos (Castela, 2005) con la siguiente hipótesis: para utilizar las técnicas matemáticas con cierta eficiencia son imprescindibles algunos conocimientos que no se formulan en definiciones y teoremas. Estas primeras investigaciones desembocaron en una proposición relativa a la evolución del modelo praxeológico (Castela, 2008). Se propuso incluir explícitamente en la tecnología de una técnica un componente práctico, compuesto de conocimientos dedicados a las necesidades prácticas que surgen del empleo de una técnica en la resolución de problemas. Dichos conocimientos generalmente no derivan de teorías, no se validan por demostraciones, sino de manera empírica, en el seno de la actividad del matemático (véase III.2. para ejemplos de tales conocimientos en el primer contexto de ilustración). No obstante esta propuesta inicial, fue el trabajo finalizado en 2009 con A. Romo Vázquez en el marco de su tesis de doctorado, el que arrojó la pauta de análisis de las funciones de la tecnología que se presentan ahora.
1. DIFERENCIAR SEIS FUNCIONES DE LA TECNOLOGÍA
En su tesis, Romo Vázquez (2009) estudia el lugar de las matemáticas en los proyectos de ingeniería realizados en el marco de la formación de ingenieros. Uno de los proyectos, centrado sobre una situación de Control de Servicio, nos llevó a interesarnos por la enseñanza de la transformada de Laplace. Dependiendo de la institución, esta enseñanza se realiza en el marco de un curso de matemáticas o bien de una rama de la ingeniería, la Automática (o Teoría de control) en nuestro caso. Resultado de tal interés, se compararon tres textos, uno de los cuales proviene de un curso de Control de Servicio Continuo destinado a la formación de técnicos superiores (se analiza un ejemplo en la sección III.2) y, encontramos en este último un discurso tecnológico (es decir un discurso racional compartido) muy desarrollado que toma en cuenta explícitamente el contexto de la automática donde se emplean las técnicas matemáticas enseñadas.
Para analizar el texto, distinguimos seis funciones posibles de la tecnología referidas al bloque práctico
: describir, facilitar, motivar, evaluar, validar y explicar (Castela y Romo Vázquez, 2011).
Describir la técnica
La producción de una descripción de la técnica se considera como un hecho de saber. Implica la concepción de sistemas semióticos, en particular de un vocabulario adaptado que contribuye al desarrollo de las interacciones entre los usuarios y, a la vez, a los procesos de institucionalización y transmisión.
Facilitar la aplicación de la técnica
Esta función remite a los saberes que favorecen la utilización de la técnica con eficacia y también con cierta comodidad. Concierne específicamente a los usuarios desarrollar este campo de saberes. Se producen así reelaboraciones de la descripción inicial que la adaptan al contexto institucional de empleo y abarcan la memoria de las experiencias acumuladas.
Motivar la técnica y sus componentes
Los saberes relativos a la motivación contribuyen a la comprensión de los fines:
¿para qué se hace tal acción? ¿Cuál es el efecto buscado? Dicen también algo acerca del tipo de tareas, puesto que analizan los objetivos esperados. Estos saberes justifican racionalmente las acciones porque desentrañan sus razones de ser. Permiten anticipar las etapas de la técnica y juegan un papel heurístico importante cuando es menester adaptarla.
Evaluar la técnica
Se trata aquí de saberes que atañen al campo de la eficacia y a los límites de la técnica respecto a las diferentes tareas del tipo T, en comparación con otras disponibles, si es que las hubiera. Pueden también informar acerca de la ergo- nomía de la técnica desde el punto de vista de los usuarios. Las funciones evaluar, facilitar y motivar están íntimamente asociadas: poner en evidencia ciertas dificultades (evaluar) puede producir mejorías (facilitar) que apoyan la motivación por la evaluación.
Validar la técnica
Esta función corresponde a lo que se entiende con el verbo justificar en los textos que hemos citado al inicio de este apartado. Estos saberes establecen que la técnica produce efectivamente aquello que dice que produce.
Explicar la técnica
Se trata aquí de una comprensión de las causas: ¿por qué la técnica hace bien lo que se espera que haga? ¿Cómo es que tal acción produce tal efecto? Parece que este empleo del verbo “explicar” coincide con el de la cita anterior de Chevallard (1999: 227). No obstante, es posible considerar que motivar, como también explicar, son dos aspectos complementarios del volver inteligible dicha cita.
Existen validaciones que no explican (por ejemplo, ciertas demostraciones de geometría analítica); a la vez, existen explicaciones que en una institución dada no se reconocen como validaciones, pero se acepta que contribuyen a que el sujeto comprenda las causas de lo ocurrido con la tarea matemática. Estas explicaciones en las que se encuentran insertadas las técnicas se apoyan sobre los recursos de un contexto cultural compartido.
Cabe señalar que esta lista de seis funciones no se debe considerar como exhaustiva. Por ejemplo, en los trabajos de Solares (2012) y Covián (2013) aparece en contextos laborales la necesidad de controlar la implementación efectiva de la técnica que realiza un individuo, considerando que él puede equivocarse en su actividad.
2. UNA ILUSTRACIÓN EN DOS INSTITUCIONES
A continuación, nos centramos en un tipo de tareas “Descomponer una función racional p(x)/q(x) en una suma de fracciones simples” para analizar la praxeología asociada en dos instituciones diferentes: un curso de matemáticas y un curso de control automático de servicio que proveen a sus estudiantes con recursos en la web.
Un texto de licenciatura de matemáticas de la ULPGC (Universidad de Las Palmas de Gran Canaria) titulado “Métodos de integración”4
El tipo de tareas que consideramos a continuación se motiva explícitamente en dicho texto desde el tipo “Resolver la integral para una función f ” y la técnica “Hallar una primitiva de f ” que introduce a su vez un nuevo tipo de tareas con la técnica “Clasificar las funciones conocidas que admiten primitivas elementales en clases, según un patrón general que sabemos resolver mediante una operación específica; cualquier otra función que no presente las características de los elementos de alguna de las clases establecidas, se intenta transformar en un elemento de alguna de éstas mediante un número finito de manipulaciones.” (p. 2). El autor evalúa esta técnica, destacando que no es siempre exitosa; como lo vimos antes, una técnica no es necesariamente eficaz para todas las tareas de un tipo.
Una clase que se contempla en el texto es la de Funciones racionales por la cual aparece el tipo de tareas en que nos centramos “Descomponer una función racional p(x)/q(x) en una suma de fracciones simples”. El texto señala (p. 25) un primer paso de las técnicas que describe adelante: factorizar los polinomios y simplificar de manera que para ambos, el coeficiente del término de mayor grado sea 1 (polinomios mónicos). Falta alguna motivación de esta transformación que resulta en fracciones simples de denominador (x-a)k o (x²+bx+c)k. Sin embargo, tiene una razón de ser que remite a la determinación de la primitiva: es más fácil integrar
que
. Cabe subrayar esta ausencia porque en la segunda institución que se analiza, los polinomios involucrados en este tipo de tareas no son mónicos.
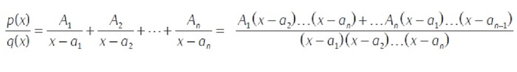
El autor distingue entre 4 subclases de funciones racionales. La primera (los factores de q(x) son lineales y nunca se repiten) basta para ilustrar más allá las funciones de la tecnología. La descripción de la técnica es la siguiente (p. 26):
q (x) = (x – a1) (x – a2) . . . (x – an) con ai ≠ aj, siempre que i ≠ j. En ese caso, escribimos

donde A1 , A2 , . . . An son números reales que se determinan igualando numeradores y resolviendo las ecuaciones que se obtienen, para distintos valores arbitrarios de x, como se ilustra en el siguiente ejemplo.
En dicho ejemplo se ve un empleo de la técnica. El autor precisa que es preferibleelegir valores de x que anulen algún factor, es decir propone una estrategiaque facilita el empleo de esta técnica.Prosigue esta evaluación con una observación en que presenta una segundatécnica basada en la derivada de q(x).
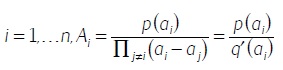
Para cada

Respecto a ésta técnica, el autor precisa (p. 28):
Esta fórmula para calcular los coeficientes Ai puede ser más ventajosa que resolver sistemas de ecuaciones lineales, en particular si q(x) es un polinomio de grado muy grande. […] Finalmente, téngase en cuenta que en la deducción de la fórmula se utilizó el que q (x) es un producto de factores lineales todos distintos, y, por lo tanto, esta fórmula no sirve para calcular los Ai de los casos que siguen a continuación.
El autor de este texto sigue con las otras tres clases con la misma alternancia de descripción, evaluación y sugerencias que facilitan el empleo de las técnicas. Por supuesto se puede considerar que este discurso tecnológico tiene objetivos didácticos, que se destina a aprendices. No obstante, él explicita ciertos conocimientos de los matemáticos expertos respecto al empleo de las técnicas enseñadas en este curso.
Cabe considerar ahora la función de validación, la cual para las matemáticas resulta necesariamente de demostraciones, apoyándose en una teoría. Veamos lo que dice el autor (p. 26):
Que tal descomposición [de una fracción racional como suma de fracciones simples] es siempre posible es un importante teorema del álgebra […] que utiliza, a su vez, el no menos importante teorema fundamental del álgebra según el cual todo polinomio, con coeficientes reales, puede factorizarse en un producto de polinomios de grado 1 o 2, irreducibles y con coeficientes reales.
De hecho, una teoría del cuerpo de los números complejos como cuerpo algebraicamente cerrado es menester para validar las técnicas que se consideran en este texto, las cuales suponen establecida la existencia de la descomposición.Para demostrar el teorema de descomposición, al final del texto (pp. 31-32), el autor se ubica en este cuerpo y emplea además un teorema de la aritmética delos polinomios complejos. Entonces, en las praxeologías que hemos encontrado en una institución de matemáticas académicas, la noción de teoría según la TAD no es diferente de la noción usual en las ciencias.Finalmente, el mismo texto nos provee de un ejemplo de discurso tecnológico de explicación que, hoy en día, no es válido en una institución matemática académica. El autor evoca (pp. 1-2) los trabajos de Leibniz:
El símbolo
se atribuye a la inventiva de Leibniz (1646-1716), quien quiso representar con éste una suma infinita de rectángulos, cada uno de altura dada porel valor de la función f y base infinitamente pequeña o de valor infinitesimal dx. Eluso que Leibniz dio a estos dx fue más que notacional: él consideró dx como una variable a valores infinitesimales positivos (en el sentido de ser un número positivo menor que cualquier número finito positivo) y operó con éste de igual manera que con cualquier otra cantidad numérica para obtener muchas de las fórmulas del cálculo diferencial e integral que conocemos hoy.
Pero no los desarrolla mucho, sino que promueve el uso de dx a la manera de Leibniz, incluso para la deducción de fórmulas de integración, como por ejemplo du = g’(x).dx. Y bien se sabe que en los textos de física, incluso académica, tal uso de la notación diferencial constituye la norma.
Un curso de Control de Servicio Continuo destinado a la formación de técnicos superiores5 (recursos en línea de los IUT-Instituts Universitairesde Technologie-Francia)
Como se ha dicho, en la tesis de doctorado de Romo Vázquez (2009) se estudió la enseñanza de la transformada de Laplace en tres textos: un curso de matemáticas y dos de Automática (Teoría de Control). Me centro aquí en uno de estos dos, se pueden encontrar más detalles en Castela y Romo Vázquez (2011). Algunas explicaciones acerca de los temas de automática o teoría de control son necesarias. El problema en juego es la regulación automática de sistemas (p.ej., calentando la instalación con la temperatura controlada): si una cantidad tiene que permanecer constante, un calibrador electrónico mide su valor; cuando alguna variación es registrada, un proceso de regulación apropiado es provoca- do para volver al valor deseado. Entre menos tiempo sea necesario para recuperar la cantidad de este valor, más eficiente es el sistema de control. Las evoluciones temporales de los sistemas involucrados son descritas por ecuaciones diferenciales (lineales en el manual considerado), convertidas en algebraicas una vez utilizada la transformada de Laplace y fácilmente solucionadas, con una fracción racional F (p).
Por último, se tiene que regresar a la función temporal, esto es, aplicar la transformada de Laplace inversa. El manual en línea recomienda usar una tabla de transformadas de Laplace, especialmente adaptada a las exigencias de la teoría de control. El tipo de tareas que dividen una fracción racional en fracciones parciales aparece cuando una complicada fracción racional F (p) está implicada. En lo que sigue, doy una idea de la praxeología (la técnica y la tecnología) propuesta por el manual.
Descripción de la técnica: De hecho, el autor asume que las técnicas matemáticas son familiares a los estudiantes. El único punto que él especifica es que el denominador de F (p) tiene que ser escrito de la siguiente forma canónica (1+τ1p)(1+τ2p) (1+τ3p) . . . con la disminución de los valores de τi. Por ejemplo, 3p+2 es transformado en 2 (1+1.5p) y no en 3(p+2/3). Esto es un cambio significativo ala técnica matemática original.
Motivación (razón de ser) de esta factorización especial: Si la F(p) = 1/(1+1.5p),la función original correspondiente es la f (t ) = K(1-e-t/1.5). 1.5 es un tiempo, se llama el tiempo constante de la función f (t ). La reactividad del sistema, de ahí su calidad, es directamente dependiente del tiempo constante τ, con mayor precisión en el valor más alto; por lo tanto, este valor debe aparecer claramente en el cálculo.
Explicación de la relación entre tiempo constante y reactividad: si la f (t ) representa la cantidad controlada y K su valor deseado constante, se sabe que después 7τ, aquí 7 × 1.5 segundos, la exponencial será igual a 0, es decir considerada como insignificante en Automática (Teoría de Control). De ahí, que el régimen de transición dura 7 × 1.5 segundos.
Validación de esta afirmación: e-t/τ<0.01, aquí (el libro de texto no utiliza ⇔) et/τ>100, t >τln(100) ≈ 7τ. Con este ejemplo no se pretende validar la relevancia de la pauta de análisis que se presenta aquí, sino volverla inteligible. Para otros empleos, el lector puede consultar otros escritos (Castela, 2011; Solares, 2012; Castela y Elguero, 2013).
IV. LA VARIABILIDAD INSTITUCIONAL DE LAS PRAXEOLOGÍAS
De los dos ejemplos anteriores, cabe destacar algunos aspectos respecto a la dinámica praxeológica. Al inicio del proceso, tenemos un tipo de tareas T de índole estrictamente matemática y algunas técnicas asociadas que se consideran como legítimas dentro de la institución de investigación matemática P(M).6 Según el paradigma que norma la prueba dentro P(M), la legitimidad científica se desprende de la existencia de demostraciones que validan las técnicas, apoyándose en teorías reconocidas. Por eso, Castela (2008) habla de tecnología teórica, θth,7 para estos saberes que derivan de teorías. No obstante, vimos en el primer ejemplo que cuando se emplean estas técnicas en el campo matemático, los usuarios expertos desarrollan otros conocimientos de naturaleza práctica, los cuales no derivan necesariamente de demostraciones, sino de experiencias repetidas de uso. Estos conocimientos pueden explicitarse en las instituciones E(M) de enseñanza universitaria de matemáticas, lo que les otorga cierta legitimidad. Este componente de la tecnología, θp, depende totalmente de las condiciones del empleo dela técnica en la institución, cuyos sujetos abordan tareas del tipo T. Por eso, la difusión científica de las producciones praxeológicas de P(M) se focaliza enorganizaciones
.
Sin embargo, lo que encontramos en el segundo ejemplo es que, al pasar de P(M) a otra institución, por ejemplo, una institución de investigación en automática P(AU) o una institución profesional de control de calefacción urbana, la praxeología matemática puede evolucionar, incluso el tipo de tareas, para adaptarse a las condiciones y sujeciones de la institución en la cual se pretende emplear la técnica. Además, se desarrolla un logos específico para satisfacer necesidades diferentes.
Con estos ejemplos se ilustra, en el caso de praxeologias matemáticas, la posición epistemológica de la TAD que se enuncia en la cita de Chevallard (véase II.2): en cualquier ámbito de actividades, la circulación interinstitucional (boundary crossing en términos de la TAHC) de praxeologías resulta en efectos transpositivos que afectan posiblemente todos los componentes de la praxeología inicial, al mismo tiempo que se desarrolla un logos propio con orientación práctica. A continuación, se representa este proceso con un esquema que se puede considerar como una contribución de Castela a la TAD (Castela, 2011a: 97-122, Castela y Elguero, 2013).
1. CRUZAR LA FRONTERA ENTRE INSTITUCIONES DE INVESTIGACIÓN Y DE UTILIZACIÓN

Ir8 (en español puede cambiarse en Ii), es una generalización de la institución matemática P(M) y representa las instituciones de investigación, es decir instituciones cuyo papel es el de producir praxeologías: la función social de los investigadores no se limita a abordar tareas del tipo T, dicha función es la de desarrollar y validar praxeologías para el tratamiento de T. Tal alejamiento respecto a la práctica y a sus obligaciones no es un atributo de la ciencia. Así, la investigación técnica, que se interesa prioritariamente en el desarrollo de técnicas para la práctica, también necesita darse tiempo para elaborar una validación organizada y sistemática de sus invenciones. Este es el caso, de ciertas organizaciones educativas (como los Institutos de Investigación para la Enseñanza de las Matemáticas-IREM- en Francia) que crean condiciones para que colectivos de profesores conciban, experimenten y evalúen secuencias de clases. Un último ejemplo permitirá dar una idea del sentido amplio en que se considera la noción de institución de investigación: cuando un cocinero pone a punto una nueva receta, lo hace fuera del servicio de la clientela, dándose el tiempo necesario para experimentarla, actuando así como un investigador.
es una generalización del
del caso matemático. Latecnología señalada con el símbolo
abarca saberes reconocidos por la institución Ir (Ii). La validación de dichos saberes depende del paradigma que enmarca la cognición institucional de la propia institución de investigación. Puede ser de naturaleza totalmente experimental: por ejemplo, en el caso de la Resistencia de Materiales, varias fórmulas en el juego de la construcción resultan de procesos de modelación y verificación en el laboratorio. Sabemos que,a la inversa, la validación matemática es exclusivamente de índole teórica. Sin embargo, fuera de esta disciplina, procesos experimentales o indagaciones de terreno contribuyen principalmente a los procesos de validación.Respecto al nivel del usuario, el ostensivo Ip señala que esta institución tiene una relación pragmática con el tipo T. qp abarca saberes producidos en la institución usuraria Ip , con criterios de verdad, de eficacia, y de valor para las actividades institucionales, las cuales son el escenario de los procesos empíricos de validación. Las flechas a la derecha de las praxeologías, fuera de la representación dela praxeología misma, simbolizan las prácticas sociales de validación, legitimación e institucionalización, que se desarrollan en las instituciones implicadas. El símbolo * señala la existencia de una transposición de cada componente de
, transposición que se produce, se valida y se legitima en una institución Ir* en la cual están representadas y negocian las instituciones implicadas Ir y Ip . Ir* es lo que Chevallard (1985, reedición 1991: 214) llama noosfera, es decir una institución de transposición de los saberes. Esta negociación puede desembocaren un cambio de paradigma de validación: por ejemplo, en ciertos países,la enseñanza secundaria de matemáticas acepta validaciones experimentales de algunos teoremas.
Por último, cabe subrayar que la ausencia de una teoría
a nivel de Ip es una decisión que refuta Chevallard. En la TAD, la teoría es la tecnología de la tecnología, es decir cualquier logos racional, reconocido por la institución,
que sostiene la tecnología de la técnica. En Castela y Elguero, (2013: 256), se contempla la necesidad de investigar las praxeologías de validación de técnicas
y tecnologías
en Ip. La tecnología de dichas praxeologías se podría considerar como elemento de la teoría de [
,
]. El interés de incluir una teoría “pragmática” en el modelo tiene que ver con problematizar su existencia/ausencia y sugerir
el desarrollo de investigaciones que indaguen al respecto.
2. LAS ETNOPRAXEOLOGÍAS
Queda ahora una última etapa de la argumentación para el desarrollo del modelo praxeológico. Al leer lo anterior, parecería que la circulación internstitucional de las praxeologías siempre se dirige desde una institución de investigación hacia instituciones usuarias. No es así, aun en el sentido amplio que damos a la noción de investigación. Se debe considerar la posibilidad que al inicio del proceso de invención e innovación se encuentren instituciones profesionales o de la vida social: enfrentados con tareas problemáticas, los sujetos de una institución dada, advierten aspectos genéricos, inventan técnicas que se validan empíricamente y se difunden dentro de la institución. En tal proceso, que, por supuesto, no resulta ni lineal ni sencillo, se desarrolla un discurso común, una tecnología compartida que emerge de la práctica. La praxeología que, según la TAD, se presenta inicialmente en la forma siguiente
, la llamamos etnopraxeología. No se trata de una producción personal; una etnopraxeología se legitima, se institucionaliza en la institución que la produce y que norma el tratamiento de las tareas de tipo T para los sujetos. Una antropología epistemológica que pretende interesarse en todas las modalidades del desarrollo de la cognición institucional, debe indagar las etnopraxeologías como también los procesos sociales que las producen, en tanto que elementos de la cultura común (tal línea de trabajo está bien representada en la matemática educativa, específicamente en Sudamérica y África con la etnomatemática y la socioepistemología). En este caso, no se puede esperar que el discurso teórico, como por ejemplo los principios compartidos que sostienen la validación, se ponga naturalmente de manifiesto, dicho discurso se debe buscar. Esto no sucedió en dos investigaciones que indagaron un entorno laboral: la costura a medida en Argentina (véase un análisis con las herramientas de la TAD en Castela y Elguero, 2013) y el trabajo de los jornaleros migrantes en México (Solares, 2013). Es decir que, aunque no se pone de manifiesto ningún discurso del nivel teórico
, esto no significa que no exista, sino que la indagación deba profundizarse para, quizás, encontrarlo.
Para llevar a cabo el examen de las formas de la vida praxeológica institucional, cabe añadir que son varias las razones (necesidad de mejorar las técnicas, curiosidad epistémica, etc.) que pueden inducir a las instituciones productoras de etnopraxeologías a crear instituciones de investigación (en el sentido amplio considerado anteriormente) para seguir en otro nivel el desarrollo de la praxeología, a no ser que una Ir ya existente se interese en la etnopraxeología, la reexamine desde su punto de vista y paradigma propios, la transforme y quizás la devuelva así modificada a la institución productora de origen.
V. CONCLUSIÓN
En este texto, el propósito fue convencer que cualquier investigación interesada por el papel de las matemáticas en un contexto profesional debe integrar una indagación epistemológica, con el supuesto antropológico siguiente: cada insti- tución ejerce una actividad cognitiva propia; aun cuando importa praxeologías de otras instituciones productoras de matemáticas, y no; las desarrolla y las adapta a sus condiciones institucionales específicas. El modelo praxeológico de Chevallard destaca la necesidad de investigar tanto el componente práctico como el del discurso racional. Los desarrollos que se han presentado aquí proveen una pauta de análisis de los saberes que se expresan en los discursos institucionales; llaman también la atención sobre los procesos institucionales de validación, legitimación e institucionalización, considerándolos como temas imprescindibles de estudio. Este enfoque vale para profesiones que emplean matemáticas de alto nivel hasta cualquiera actividad laboral en que se abordan tareas con una dimensión matemática en un contexto comunitario.
Agradecimientos
Agradezco a los árbitros y editora de la revista su ayuda para la traducción de este texto.
Referencias
Akkerman, S. F., & Bakker, A. (2011). “Boundary Crossing and Boundary Objects”. Review of Educational Research, 81(2), 132-169.
Castela, C. (2011a). Des mathématiques à leurs utilisations, contribution à l’étude de la productivité praxéologique des institutions et de leurs sujets / Le travail personnel au cœur du développement praxéologique des élèves en tant qu’utilisateurs de mathématiques. Note de synthèse présentée en vue de l’Habilitation à Diriger des Recherches, Université Paris Diderot. Paris: Irem Paris Diderot. http://www.tel.archives-ou-vertes.fr/tel-00683613
Castela, C. (2011b). “Développer le modèle praxéologique pour mieux prendre en compte, dans le cadre de la Théorie Anthropologique du Didactique, la dynamique des savoirs”. In M. Bosch, J. Gascón, A. Ruiz Olarría, M. Artaud, A. Bronner, Y. Chevallard, G. Cirade, C. Ladage & M. Larguier (Eds.), Un panorama de la TAD. Barcelona. CRCM. pp. 163-185.
Castela, C. (2008). “ Travailler avec, travailler sur la notion de praxéologie mathématique pour décrire les besoins d’apprentissage ignorés par les institutions d’enseignement ”. Recherches en Didactique des Mathématiques 28 (2), 135-182.
Castela, C. (2005). “A propósito de los conocimientos que no se enseñan explícitamente, empero necesarios para tener éxito en las matemáticas escolares”. Revista Latinoamericana de Investigación en Matemática Educativa 8 (2), 111-127.
Castela, C., Elguero, C. (2013). “Praxéologie et institution, concepts clés pour l'anthropologie épistémologique et la socioépistémologie”. Recherches en Didactique des Mathématiques 33 (2), 79-130.
Castela, C., Romo Vázquez, A. (2011). “Des mathématiques à l’automatique: étude des effets de transposition sur la transformée de Laplace dans la formation des ingénieurs”. Recherches en Didactique des Mathématiques, vol. 31-1, 79-130.
Chevallard, Y. (1999). “L’analyse des pratiques enseignantes en théorie anthropologique du didactique”. Recherches en Didactique des Mathématiques 19 (2), 221-266.
Chevallard, Y. (1985). La transposition didactique. Grenoble: La Pensée Sauvage. Rééd. augmentée (1991).
Chevallard, Y., Bosch, M. y Gascón, J. (1997). Estudiar matemáticas. El eslabón perdido entre la enseñanza y el aprendizaje. Barcelona: ICE/Horsori.
Covián, O. (2013). “La formación matemática de futuros profesionales técnicos en construcción”. Tesis doctoral. México: CINVESTAV-IPN.
Engeström, Y. (2001). “Expansive Learning at Work: Toward an Activity Theoretical Recon- ceptualization”. Journal of education and work, 14 (1), 133-156.
Engeström, Y., Engeström R., Kärkäinen, M. (1995). Polycontextuality and Boundary Crossing in Expert Cognition: Learning and Problem Solving in Complex Work Activities. Learning and Instruction, 5(4), 319-336.
Romo Vázquez, A. (2009). “La formation mathématique des futurs ingénieurs”. Thèse de doctorat. Université Denis Diderot Paris 7.
Roth, W.-M., (2014). “Rules of bending, bending the rules: the geometry of electrical conduit bending in college and workplace”. Educational Studies in Mathematics, 86, 177-192.
Solares, D. (2012). “Conocimientos matemáticos de niños y niñas jornaleros agrícolas migrantes”. Tesis doctoral. México: DIE-CINVESTAV.
Notas