Resumen: La representación de la multiplicación en el sistema numérico de los números complejos suele presentarse con un fuerte énfasis en lo algebraico, lo que lleva a una comprensión parcial de esta propiedad. A partir de lo anterior, en el presente trabajo se investiga sobre el proceso de aprendizaje de la multiplicación de los números complejos, con el objetivo de enseñar este contenido privilegiando el registro gráfico a partir de la teoría de Espacio de Trabajo Matemático. En esta investigación cualitativa se ha implementado una propuesta de aprendizaje en una primera fase con 34 estudiantes de ingeniería; y en una segunda fase con 4 estudiantes de Matemática, ambos grupos de estudiantes pertenecientes a primer año universitario (18-19 años). A partir de los resultados se evidencia que al realizar tratamientos y conversiones entre los registros semióticos usados con un artefacto de tipo software, no sólo se permite la activación de las distintas génesis del ETM, sino que también produce circulaciones en el ETM personal del estudiante, lo que lleva a una mejora en la comprensión del objeto matemático en cuestión. Fecha de recepción: 13 de agosto de 2015. Fecha de aprobación: 8 de abril de 2016. * macarena.flores@upla.cl, Universidad de Playa Ancha (UPLA). Valparaíso, Chile. ** elizabeth.montoya@pucv.cl, Instituto de Matemática, Pontificia Universidad Católica de Valparaíso (PUCV). Valparaíso, Chile.
Palabras clave:Espacio de trabajo matemáticoEspacio de trabajo matemático, multiplicación de números complejos multiplicación de números complejos, artefacto artefacto, visualización visualización.
Abstract: The representation of multiplication in the number system of the Complex Numbers is usually presented with a strong emphasis in the algebraic aspect that brings a partial comprehension of this property. On the basis of the foregoing, the current study investigates the learning process of the multiplication of complex numbers in order to teach this content facilitating the graphic register according to the theory of Mathematical Working Space. In this qualitative research, there has been implemented a learning proposal that includes 34 engineering students in the first stage and 4 mathematics students in the second stage; both groups of students are in their first year at university (18-19 years old). Based on the results it is clear that carrying out processes and conversions between the semiotic registers used with a software artefact not only permit the activation of certain genesis of the ETM, but also produce circulations in the personal ETM of a student which leads to a better comprehension of the mathematical object in question.
Keywords: Mathematical working space, multiplication of complex numbers, artefact, visualization.
Artefacto y espacio de trabajo matemático en la multiplicación de números complejos
Artifacts and Mathematical Working Space in Multiplication Complex Numbers

Recepción: 13 Agosto 2015
Aprobación: 16 Abril 2016
En nuestra experiencia en el aula hemos podido observar y estudiar los mecanismos que se utilizan para abordar la operatoria de los números complejos. Al respecto, hemos constatado que se privilegia la escritura algebraica por sobre otras escrituras, lo que puede provocar una comprensión superficial del objeto e incluso de sus propiedades.
Para estudiar los números complejos no basta con saber las operaciones algebraicas y aritméticas que ellos cumplen, más aún, si bien el rol del álgebra en el desarrollo de la Matemática ha sido muy importante, habría que evitar la algebrización cuando ésta no sea estrictamente necesaria, con la finalidad de una mejor apropiación del objeto matemático, en otros términos, es necesario activar y articular los planos epistemológicos y cognitivos en el estudiante (Montoya-Delgadillo, Mena-Lorca, & Mena-Lorca, 2014; Montoya-Delgadillo, & Vivier, 2014).
Desde lo señalado, surge la necesidad de crear una propuesta de enseñanza referente al aprendizaje de la multiplicación de los números complejos, intencionando una activación semiótica para luego enlazar los elementos cognitivos y epistemológicos que interfieren; de tal manera que se desafíe al estudiante no sólo a utilizar este conocimiento, sino que más bien, sea él mismo quien lo pueda construir y organizar.
Dentro de los trabajos de investigación referentes a la enseñanza de números complejos, se encuentra el de Barrera (2014) quien realiza un estudio con la multiplicación de números Reales y Complejos, con el objetivo de caracterizar el espacio de trabajo matemático de 34 grupos de estudiantes de Francia (de dos a cuatro personas de 17 y 18 años de edad) provenientes de un liceo científico; por medio de un cuestionario de 5 preguntas la autora evidenció que el objeto matemático tratado debe emerger en los estudiantes bajo una coordinación entre la génesis semiótica y la discursiva, esto es, la que genera la acción de lo semiótico en significancia del objeto. Martínez-Sierra & Antonio (2009) llevan a cabo una investigación con estudiantes de México (entre 15 y 18 años) referente a la construcción del significado del número complejo; en este se evidencia que a pesar que los estudiantes insistían en la no existencia de las raíces cuadradas de números negativos, pudieron construir un significado de estos números, gracias a una secuencia didáctica diseñada. El trabajo de Canal (2012) propone ciertos lineamientos para la enseñanza de los números complejos en secundaria; en él hace énfasis en cómo utilizar la aproximación epistemológica y el uso de software, señala que el uso de las TIC puede optimizar el tiempo en la clase y permite a los alumnos poder resolver mayor variedad de problemas.
En el curriculum nacional chileno, los números complejos son tratados en tercer año en el liceo (16-17 años), donde se ve privilegiado el registro algebraico, lo anterior queda de manifiesto cuando al momento de representarlos gráficamente sólo se lleva a cabo la gráfica del resultado de la algebrización, es decir, no se realizan tratamientos en el registro gráfico, teniendo las condiciones y conocimientos previos de los estudiantes (herramientas para construcciones geométricasy plano cartesiano entre otras nociones matemáticas). En el estudio de programas,se observa que se utiliza para operacionalizar la notación
, y no se hace referencia a propiedades, ni tampoco se distingue las propiedades del Sistema de los Números Reales, como por ejemplo, la propiedad de orden que es diferente en ambos sistemas numéricos.
De acuerdo a Artigue & Deledicq (1992), existen cuatro etapas en la historia de los números complejos: La aparición de cantidades imaginarias en algoritmos operatorios; El funcionamiento como herramienta y el encuentro con los ángulos y logaritmos; Las representaciones geométricas de las cantidades imaginarias, y por último, La construcción algebraica.
Dentro de la primera etapa, podemos ver que el sistema de los números complejos nace principalmente de la necesidad de resolver ecuaciones cuadráticas que no tenían solución en los números reales por tener raíces negativas; en un comienzo hasta los griegos se negaban a trabajar con éstas soluciones de acuerdo a la geometría que hasta en ese momento existía; incluso alrededor del siglo XVI aún “encontramos a matemáticos que se refieren a las raíces negativas de una ecuación como ficticias, absurdas o falsas” (Nahin, 2008, p. 30). Para efectos de nuestra investigación nos centraremos en la tercera y cuarta etapa antes señaladas. Dentro de la representación geométrica encontramos a Wessel, que en 1797 multiplica geométricamente segmentos dirigidos, donde argumenta que esta multiplicación debe tener dos propiedades; en su texto señala que “la longitud del producto debía ser el producto de las longitudes de cada segmento y que el segmento producto debía diferir en la dirección de cada segmento factor por la misma cantidad angular que el otro segmento factor difería en dirección al compararlo con el segmento unidad.” (Nahin, 2008, p. 71).
Gauss por su parte, en el mismo siglo, define un número complejo como un punto y no como un segmento dirigido (Kline, 1972).
En cuanto a la etapa de la construcción algebraica (etapa cuatro), podemos observar que los matemáticos han usado distintas notaciones para trabajar con ellos, un ejemplo de esto es la definición que entrega Euler (siglo XVIII) de unidad imaginaria, y escribe , pero en 1837 Hamiltton, en su artículo Conjugate Functions and on Algebra as the Cience of Pure Time, proporciona al mundo la noción de par ordenado o en notación de a + bi (Kline, 1972).
En el presente, parece bastante frecuente la notación i2 = –1, e incluso en textos escolares se sigue incurriendo en escribe ir 
Consideramos que en lo anterior existe un abuso de lenguaje, pues para algunos estudiantes esta notación los llevará a cometer errores y tener dificultades en el aprendizaje de los números complejos.
En cuanto a la enseñanza actual de este sistema numérico, y como se ha mencionado anteriormente, existe un fuerte énfasis en la algebrización de las operaciones que satisfacen; por lo tanto proponemos enseñar este sistema numérico utilizando distintos registros de representación y haciendo uso de un software computacional. A la luz de la problemática planteada, el objetivo general de esta investigación es: Enseñar la multiplicación del sistema de los números complejos con un énfasis gráfico; y los objetivos específicos apuntan a caracterizar el espacio de trabajo matemático personal del estudiante y analizar consecuencias que produce el tipo de artefacto utilizado en la génesis instrumental.
Intencionaremos una propuesta de enseñanza de tal manera que se evidencien cambios de registros de la multiplicación de los números complejos, y una intervención al espacio de trabajo matemático personal del estudiante; en este sentido es pertinente preguntarse ¿Qué elementos interfieren en los cambios de registros de representación en la multiplicación de números complejos? y ¿Cómo articular las componentes presentes en el espacio de trabajo matemático del estudiante en relación con la multiplicación de números complejos?
Para poder dar respuesta a lo anterior, en este trabajo se han implementado dos fases, la primera, nos permitió estudiar el ETM personal del estudiante: conocer qué signos son los empleados, cómo justifica, las génesis privilegiadas (y los planos que se activan); y una segunda fase que consistió en intervenir el ETM personal del estudiante, para lo cual se rediseñó la situación de aprendizaje con la información y resultados de la primera fase.
Como se aprecia, estas fases y objetivos están descritos en términos técnicos del constructo teórico, el cual, presentamos a continuación.
El Espacio de Trabajo Matemático, ETM, desarrollado por Kuzniak (2011) e inspirado en los Paradigmas Geométricos y Espacio de Trabajo Geométrico, ETG, por Houdement y Kuzniak (1996, 2006), es un constructo en el cual, los aspectos epistemológicos y cognitivos son fundamentales para la construcción del objeto matemático en cuestión. En el ETM se concibe la reflexión como el fruto de una interacción entre un individuo y los problemas matemáticos (geométricos, algebraico, etc.), en un ambiente organizado por y para el matemático (geómetra, algebrista, etc.) mediante la articulación de dos planos: el epistemológico y el cognitivo.
El plano epistemológico está constituido por tres componentes o polos: referencial teórico que está constituido por las propiedades, los teoremas, las definiciones; el representamen (o representante) constituido por signos semióticos; y el artefacto, que corresponde al uso de elementos materiales o simbólicos. El plano cognitivo está también conformado por tres componentes: los procesos de visualización, construcción y prueba. La articulación entre estos planos se realiza mediante un conjunto de génesis: semiótica, instrumental y discursiva que favorecen su coordinación (Kuzniak, 2011), como se muestra en la figura 1.

La génesis discursiva de la prueba que da sentido a las propiedades para dejarlo al servicio del razonamiento matemático. En esta génesis se articula el hábitat teórico referido a definiciones y propiedades de la noción matemática, llamado componente referencial teórico en un dominio específico (geometría, álgebra, análisis, etc.). En cuanto se argumentan conjeturas (o afirmaciones) llevadas a cabo por medio del razonamiento, éstas son expuestas por medio de un proceso de prueba; la que Balacheff (1987) distingue entre pragmáticas e intelectuales. Entonces llamamos génesis discursiva a la articulación entre estas dos componentes: referencial teórico y prueba.
La génesis instrumental permite hacer operatorios los artefactos con el proceso de construcción; la idea de artefacto reposa en lo que plantea Rabarder (1995), quien señala que los artefactos pueden ser de índole material o ser un sistema simbólico el que se emplea como un medio para la acción determinada generada por un sujeto. Por su parte, entre el objeto y el sujeto existe una entidad mediante la cual se dirige la acción, la cual recibe el nombre de instrumento; esta entidad, además de ser mediadora es mixta, al considerar el artefacto y la componente en el plano cognitivo, llamada construcción (proceso que se define a partir de los instrumentos utilizados). Finalmente, la génesis instrumental (Artigue, 2002; Trouche, 2002) es la que permite la articulación entre las componentes artefactos y construcción.
La génesis semiótica basada en los registros de representación semiótica que confiere a los objetos tangibles del ETM un estatus de objeto matemático operacional; en el ETM se introduce la noción de signo o representamen según Peirce (1978, p. 22) “el representamen es una cosa que representa otra cosa: su objeto”. La ventaja del representamen es que le podemos asociar formas abstractas como son los íconos, indicios y símbolos. La parte icónica del signo señala al objeto gracias a su semejanza y a las propiedades que posee, las cuales son las mismas que las del objeto (Eco,1998); los indicios del signo remiten al objeto cuando mantiene una relación física entre signo-objeto; y un símbolo se refiere a su objeto en base a reglas (Kuzniak, 2011). Un signo remite a su objeto de alguna de estas tres formas, según un proceso semiótico –llamado aquí visualización– involucrado en función de las significaciones de su utilizador. La génesis semiótica es la que articula ambas componentes; representamen y visualización.
Estas articulaciones no deben ser entendidas como la unión individual entre las componentes de los planos epistemológico y cognitivo, sino más bien como una relación activa, conjuntamente por dos o incluso tres génesis, que generan los llamados planos verticales (Kuzniak & Richard, 2014). Los autores identificaron tres planos verticales, en los que se generan distintas interacciones en relación al objeto matemático. Estos planos son llamados: [Sem-Ins] que es generado cuando se activan las génesis semiótica e instrumental, respectivamente, en este plano se privilegia la identificación y la exploración de los objetos; el plano [Ins-Dis] que es generado por la activación de las génesis instrumental y discursiva, en él se identifican razonamientos que provienen de la exploración del objeto y finalmente; el plano [Sem-Dis] que es generado por la presencia de las génesis semiótica y discursiva, en el cual se identifican los razonamientos argumentativos. Las interacciones han sido sujeto de estudio y dependen de los dominios específicos.
La teoría caracteriza además tres tipos de espacios de trabajo:
ETM de referencia, definido según la relación con el saber, e idealmente sobre criterios matemáticos.
ETM idóneo, depende de una institución, y es definido según la manera que este saber se enseña en la institución con una función específica;
ETM personal, depende del individuo y definido para la manera que el individuo se enfrenta a un problema matemático, con sus propios conocimientos y capacidades cognitivas.
Tanto las génesis, como las componentes de los planos, deben ser reinterpretados dependiendo del dominio matemático específico en cuestión. La activación de las génesis y una circulación intencionada en el ETM propicia el conocimiento matemático (Montoya-Delgadillo, Mena-Lorca, Mena-Lorca, 2014).
En esta investigación el trabajo está centrado principalmente al ETM personal de los estudiantes. Las tareas establecidas en la situación de aprendizaje permiten que el alumno active, por lo menos, una génesis. Luego para realizar un análisis del ETM personal a partir de una tarea es necesario identificar qué elementos aparecen en cada una de las componentes del ETM, cuál es la relación entre una génesis y otra, e intencionar una circulación entre los planos verticales.
En el aprendizaje de la matemática y en la propia interacción con la misma, existen algunos signos que tienen una significancia a base de indicios o icónos. Estos signos se instaurarán como registros de representación semiótica, de tal manera que permita declarar a un cierto trabajo, de matemático. Cuando se está en presencia de fórmulas algebraicas, éstas condensan relaciones entre objetos y dan un sentido icónico para el que las utiliza (Ibíd ).
En matemáticas es de vital importancia evitar la confusión de objetos matemáticos con las distintas representaciones de éste, de lo contrario se realiza una pérdida de comprensión del objeto (Duval, 2004). Sémiosis y noésis son principios claves para los registros de representación semiótica; la primera hace alusión a cualquier conducta o proceso que involucre signos, y la segunda se refiere a los actos cognitivos como la aprehensión conceptual de un objeto. Según lo anterior, Duval plantea una regla elemental del funcionamiento cognitivo del pensamiento:
“no existe noésis sin sémiois” (Ibid, p. 16); de esta manera la formación del pensamiento científico no se puede separar del desarrollo de símbolos concretos para representar las relaciones de los objetos y los objetos mismos.
Existen tres actividades cognitivas fundamentales inherentes a la sémiosis. La primera concierne a la formación de una representación; la segunda es el tratamiento, que corresponde a la transformación en el registro donde ha sido formada esta representación; y la última actividad cognitiva es la conversión, ésta es definida como la transformación de la representación inicial, en otro registro de representación, conservando el contenido que en ella está inserto (Ibid ); el estudio de las tres actividades cognitivas permite comprender la naturaleza del estrecho lazo entre sémiosis y noésis. Habitualmente la actividad de conversión es menos inmediata de lo que tiende a pensarse; si se desea observar lo anterior es necesario analizar la congruencia entre las representaciones que se quieren realizar con la conversión; para esto se debe efectuar una segmentación comparativa, donde debemos diferenciar entre unidades significantes simples o combinaciones de unidades simples.
La preocupación ahora, es saber cómo esta génesis semiótica la podemos articular con las otras génesis, para lograr mejorar o interferir en el ETM-personal del estudiante.
En este trabajo se efectuó una investigación de tipo cualitativa y reposa sobre una situación de aprendizaje diseñada para un contexto de una implementación con intervención docente.
En cuanto a la metodología se basó en la Ingeniería Didáctica de Artigue, Douady & Moreno (1995), la cual consta de cuatro fases, y su implementación se detalla a continuación:
En los análisis preliminares se consideró un estudio del hábitat curricular (los programas de estudios vigentes por el Ministerio de Educación y programas de estudio de Álgebra de primer año de Universidad), estudios de antecedentes (investigaciones relacionadas al objeto matemático, problemática y objetivos de la investigación).
Con respecto a las concepciones y análisis a priori, se dio énfasis al instrumento didáctico, conocimientos previos necesarios, respuesta experta, posibles estrategias, posibles errores y obstáculos, organización de la implementación y recursos a utilizar.
Dentro del diseño del instrumento didáctico, la propuesta en la primera fase consta de realizar en papel la multiplicación de números complejos para graficar y explicar lo que sucede, lo anterior se lleva a cabo en 3 ítems; el primero, se refiere a realizar la multiplicación por un número real; el segundo, a la multiplición por un número imaginario y las potencias de i; y el último ítem, hace referencia a la multiplicación de dos números complejos cualesquiera.
En la segunda fase, se crearon cinco ítems de preguntas; las tres primeras constan de 2 tareas donde los estudiantes deben graficar y multiplicar números complejos para luego interpretar lo que observan; el cuarto ítem lleva a concluir y conjeturar lo desarrollado en los ítems anteriores; y el último ítem consta de dos preguntas que fueron diseñadas para que el estudiante reflexione en torno a las nociones de número complejo.
Refiriéndose a la experimentación, la secuencia de aprendizaje se aplicó en primera instancia a un curso de primer año de universidad, en una carrera de Ingeniería. La implementación se desarrolló en 90 minutos, estuvo a cargo del profesor del curso y se practicó a 34 estudiantes de primer año (18-20 años), a cada uno de ellos se les entregó la impresión de la situación, hojas de respuesta y hojas de papel milimetrado. En una segunda instancia, la situación se desarrolló en 120 minutos, estuvo a cargo de las investigadoras, y se aplicó a 2 binomios con estudiantes de la misma universidad de la carrera de Pedagogía en Matemáticas (un estudiante que reprobó álgebra 1 y otro que aprobó la asignatura) en momentos diferentes; se les entregó un computador con la actividad diseñada en Geogebra y una hoja con las preguntas para que anotasen sus conclusiones.
Cabe señalar, que la experimentación misma constó de dos partes; la primera donde se estudió el ETM personal del estudiante y una segunda, en la cual se hizo una intervención al ETM personal. Para esto, se reformuló la actividad con el estudio a la primera parte; además se cambió el artefacto utilizado, con el objeto de propiciar una circulación en el ETM, esto es, activar los tres planos verticales con sus respectivas génesis y componentes.
En el análisis a posteriori y validación se consideraron las estrategias utilizadas por los alumnos, errores evidenciados y para terminar la confrontación entre análisis a priori y el análisis a posteriori.
Para identificar y analizar las respectivas producciones, a cada estudiante se le asignó la nomenclatura E1, E2, hasta el E34 en la primera implementación, y en la segunda implementación a cada binomio se le asignó la nomenclatura de B1 y B2; por último, para tener sustento y respaldo de la experimentación se hizo una grabación de las implementaciones.
En cuanto al análisis a priori, se diseñó bajo el marco teórico un protocolo de análisis para las producciones, identificando el artefacto utilizado (con papel milimetrado en una primera fase y con software en una segunda fase), que se detallan a continuación:
Se establecieron cinco descriptores para cada uno de los tres criterios establecidos que se refieren a las génesis involucradas en el ETM, luego de esto, se analizó cada descriptor en relación con los planos activados de acuerdo a cada una de las preguntas del cuestionario. A continuación se presenta el análisis realizado para cada uno de los ítems.

Dado que el objetivo de análisis de resultados no es comparativo (por las características de las poblaciones en experimentación), se han modificado los descriptores de la tabla anterior de tal manera que sean pertinentes con las características de la segunda implementación, como se muestra a continuación.

En la aplicación del instrumento diseñado para la segunda fase, no se analizaron los criterios de congruencia referidos a la conversión, ya que gracias al artefacto utilizado basta con ingresar los números complejos, y se grafican inmediatamente (caja negra) por lo que la congruencia como tal no ha sido analizada.
Para este análisis, los descriptores son abordados en un estudio distinto al de la implementación anterior, ya que se observaron características que son posibles en experimentaciones con binomios (observación más precisa). En tal sentido, se nombrarán los descriptores pero se incorpora el contexto o el detalle de trabajo que despliegan los estudiantes cuando discuten o consensúan la respuesta.
En esta investigación se presentaron tareas que activan y dan sentido al espacio de trabajo personal, ya que la interacción entre problemas matemáticos y el individuo lleva a la reflexión en el ETM; en consecuencia, para este artículo dentro de los resultados se han seleccionado sólo las preguntas I, IV y V, ya que son éstas en donde se puede apreciar de mejor manera las circulaciones en el ETM y en donde existen notorias diferencias en los resultados que provoca el tipo de artefacto utilizado.
En lo que sigue se mostrará un extracto del análisis de las preguntas considerando los aspectos más relevantes de cada una de ellas, se expondrán las preguntas iniciales y las reformuladas con el propósito de mostrar el efecto que provocó la nueva experimentación. A continuación se presenta en detalle el resultado de 3 de las 5 preguntas diseñadas.
Con respecto a las preguntas, estas tienen por objetivo visualizar y describir lo que ocurre gráficamente con la multiplicación de un número complejo por un escalar en ℝ, entre los módulos y argumentos de la multiplicación de dos números complejos; y que a partir del representamen el estudiante efectúe la conversión al registro gráfico con ayuda del artefacto (ya sea papel milimetrado o software). En términos técnicos, se activó la génesis semiótica e instrumental y se intencionó una circulación desde el plano [Sem-Ins] al plano [Ins-Dis].
Pregunta I, 1ª Implementación
Dado el complejo w = a + bi. Analice qué sucede con la gráfica de dicho complejo al multiplicarlo por el complejo v1 = c + 0 i (Analizar para distintos valores de c). ¿Se podrá describir gráficamente lo que sucede al multiplicar un complejo cualquiera por un escalar sin la necesidad de realizar un procedimiento algebraico? Justifica tu respuesta.
Plano vertical [Sem-Ins]
A. De un total de 34 estudiantes 29 estudiantes relacionan los elementos significantes "a + bi " y "c + 0i ", con los vectores correspondientes en el plano complejo.
En general los estudiantes toman los números complejos (a + bi) y (c + 0i ), los operan y luego los relacionan con los vectores correspondientes, como se muestra posteriormente en la figura 2 correspondiente al E25.
B. En cuanto a las conversiones, de los 34 estudiantes 6 trabajan en la conversión I --> II, 3 trabajan en II --> III, 6 trabajan del I --> III y finalmente 19 trabajan en I --> II --> III. La mayoría de los estudiantes comienzan a realizar la(s) conversión(es) desde el registro algebraico para luego llevar su resultado a otro registro de representación, como se muestra en la figura del E25.

De estas conversiones, la mayor cantidad de respuestas erróneas se encuentra en la conversión II --> III, o bien tienen tratamientos erróneos en el registro algebraico.
C. De las 34 producciones obtenidas de los estudiantes, se puede observar que 21 estudiantes utiliza el papel milimetrado de manera que ayude a la comprensión, como se muestra en la siguiente figura correspondiente al E21:

Plano vertical [Ins-Dis]
D. De un total de 34 estudiantes 22 utilizan la definición de número complejo como w = a + bi en el plano complejo, representándolo como vector. La siguiente figura correspondiente al estudiante E9 es un ejemplo de esto:

Plano vertical [Sem-Dis]
E. De los 34 estudiantes 23 asigna distintos valores para el parámetro c del complejo “c + 0i ”, justificando las conclusiones que obtienen, como aparece en la figura 3, que se mostró con anterioridad. La gran parte de los alumnos toman valores enteros positivos para c, dejando de lado los valores negativos y los que “viven” entre 0 y 1. Las justificaciones entregadas se basan en los valores que toman como referencia.
Pregunta I, 2ª Implementación
Como se ha señalado, la pregunta que se muestra a continuación está modificada respecto de la 1ª implementación, recordar que en esta ocasión la experimentación se realizó con binomios, luego veremos los resultados.
Grafique el complejo w y multiplíquelo por el complejo v1 = c + 0i, c Î ℝ. ¿Qué sucede con la gráfica de w al multiplicarlo por v1? Justifique su respuesta.
Binomio 1: En una primera instancia, los estudiantes realizan un tratamiento algebraico de la multiplicación en papel, posteriormente comienzan a variar el parámetro con ayuda de Geogebra para dar respuesta a la pregunta. Se observa que el estudiante que se encuentra cursando algebra 1 tiene dificultades para entender la respuesta de su compañero, por esto, la interacción de los estudiantes referentes a la tarea se basa en la explicación de las concepciones que tiene uno de los integrantes del binomio.
Por otro lado, el objetivo de la pregunta se cumple; en cuanto a la génesis semiótica a partir del representamen realizan un pequeño tratamiento algebraico antes de efectuar la conversión por medio del artefacto (Plano [Sem-Ins]), una vez graficado en Geogebra, en el plano cognitivo se activa la visualización, los estudiantes toman elementos de su referencial y luego dan respuesta a la pregunta activándose el plano vertical [Ins-Dis]. A continuación se presenta la respuesta de B1.
B1: “w × v1 = (a + bi) · (c + 0i) = ac + bic. Al tener el vector v1 = c + 0i = c, entonces el número complejo w, viéndolo como un vector en lo único que cambiaría al ser multiplicado por el escalar v, sería en el módulo. Si 0 < c < 1 el módulo del vector disminuiría pero mantendría el sentido, si c > 1 el módulo aumentaría y se mantendría el sentido, si c < 0 el sentido cambia pero independientemente del valor de v1 se mantiene la dirección”.
Binomio 2: Los estudiantes comienzan a responder la pregunta sin realizar procedimientos escritos directamente en papel. Una vez que toman una postura respecto de lo que ocurre, comienzan a utilizar el software donde comprueban lo que habían pensado, comparten sus puntos de vista, afinan más su respuesta y plantean los casos de lo que ocurre.
En cuanto al objetivo de la pregunta, este se cumple, los estudiantes activan los planos y las componentes del espacio de trabajo matemático personal, en el mismo orden que ocurrió con el binomio anterior. A continuación se presenta la respuesta entregada por B2.
B2: “Al multiplicar w por un escalar, el módulo de w se va a ver modificado, al igual que el sentido de éste, según el intervalo en que se encuentre el escalar. El caso entre ]–∞, –1[ , el módulo aumenta y cambia el sentido del vector, el caso entre ]–1, 0[ cambia el cuadrante y disminuye el vector, entre ]0, 1[ el vector sólo disminuye, entre ]1, ∞ +[ el vector sólo aumenta. En -1 cambia en sentido, en 0 queda 0 y en 1 se mantiene"

Los casos abordados por ambos binomios para describir lo que sucede gráficamente están correctos, sin embargo, en el B1 falta ser un poco más riguroso en la respuesta y explicitar algunos casos.
Los casos abordados por ambos binomios para describir lo que sucede gráficamente están correctos, sin embargo, en el B1 falta ser un poco más riguroso en la respuesta y explicitar algunos casos.
En resumen, en ambas implementaciones de la segunda fase, los estudiantes en su mayoría (29 de 34 para la 1ª implementación y 2 de 2 para la 2ª implementación), fueron capaces de responder correctamente a la pregunta; sin embargo, el artefacto utilizado hace que el tiempo utilizado para responder sea menor, ya que el software entrega una visualización más rápida que el papel milimetrado. Por otro lado, el proceso de instrumentalización es distinto, y si bien los planos activados del ETM son los mismos, en una segunda implementación se observa una circulación desde el plano [Sem-Ins] al plano [Ins-Dis], lo que permite dar respuesta a la pregunta de manera articulada y en su mayoría correctas.
Pregunta IV, 1ª Implementación
Sean a = 2 + 3i, b = 3 + 3i y c = 4 + 5i.
i. Represente gráficamente a, b y a × b.
ii. Represente gráficamente a, c y a × c.
iii. Represente gráficamente b, c y b × c.
Para cada caso anterior: ¿Existe alguna relación entre los módulos de los complejos? ¿Existe alguna relación entre los argumentos de los números complejos? Justifique su respuesta.
Plano vertical [Sem-Ins]
A. De un total de 34 estudiantes 17 estudiantes relacionan los elementos significantes de los números complejos a, b y c , con su representación correspondiente en el plano complejo. Los estudiantes restantes no respondieron la pregunta. En general los estudiantes toman los números complejos, los operan y luego los relacionan con los vectores correspondientes como se muestra en la figura 6 del E12.
B. En cuanto a las conversiones, de los 34 estudiantes 15 trabajaron en la conversión I ® II, no se presentaron estudiantes que trabajaran en II ® III ni en I ® III. Finalmente 2 estudiantes trabajan en I ® II ® III. La mayoría de los estudiantes comienzan a efectuar la(s) conversión(es) desde el registro algebraico para luego llevar su resultado al registro gráfico, como se muestra en la siguiente figura del E12:

Cabe mencionar que la mayor cantidad de respuestas erróneas se encuentra en la conversión del registro gráfico al registro de lenguaje natural.
C. De las 34 producciones obtenidas, se puede observar que 14 estudiantes utilizan el papel milimetrado de manera que ayude a la comprensión, como se muestra en la siguiente figura, correspondiente al E26:

Plano vertical [Ins-Dis]
D. De un total de 34 estudiantes 13 utilizan la definición de número complejo como w = a + bi en el plano complejo, representándolo como vector. La figura 6 (mostrada anteriormente) correspondiente al estudiante E12 es un ejemplo de esto.
Plano vertical [Sem-Dis]
E. De los 34 estudiantes 3 de ellos responden a las preguntas justificando a partir de los valores tomados para a, b y c, como se muestra en la siguiente figura, correspondiente al E23:

Es relevante mencionar que de los dos alumnos que contestan a la pregunta, sólo uno responde correctamente.
Pregunta IV, 2ª Implementación
Como se ha señalado, la pregunta que se muestra a continuación está modificada respecto de la 1ª implementación, en esta ocasión se ha separado en dos partes (una a y otra b), recordar que en esta ocasión la aplicación de la propuesta se realizó con binomios, seguidamente se presentan los resultados.
Grafique el complejo w y multiplíquelo por el complejo v = c + di, con c, d Î ℝ.
Luego responda
a. ¿Existe alguna relación entre los módulos de los complejos w, v y la multiplicación de ellos? Justifique su respuesta.
Binomio 1: Los estudiantes llegan a la respuesta sólo visualizando lo que sucede con la gráfica en Geogebra, sin embargo intentan hacer una prueba algebraica de su afirmación. El artefacto se vuelve fundamental, ya que gracias a él los estudiantes pueden observar lo que sucede. De hecho comentan: Si no lo hubiéramos visto ahí, no sabríamos que ocurre.
El objetivo de la pregunta se cumple en su totalidad, parten por el plano [Sem-Ins], pero además se produce circulación hacia el plano [Ins-Dis]. A continuación se muestra la respuesta dada por B1.
B1: “La relación es que la multiplicación de los módulos de los números complejos va a ser igual al módulo del vector resultante”.

Binomio 2: Comienzan nuevamente interactuando con el software utilizando aproximadamente 5 minutos en ello, y llegan a la respuesta correcta a la pregunta. Luego comienzan a dar una justificación a su respuesta intentando hacer al igual que B1 una prueba de tipo algebraica. En cuanto al ETM, éste es similar al binomio anterior. Ahora mostraremos la respuesta entregada por B2.
B2: “Si existe relación, la multiplicación entre los módulos de w y v es igual al módulo de la multiplicación de los vectores”

b.¿Existe alguna relación entre los argumentos de los números complejos w, v y la multiplicación de ellos? Justifique su respuesta.
Binomio 1: Para comenzar a dar respuesta, los estudiantes al igual que en las preguntas anteriores parten utilizando Geogebra y determinan inmediatamente lo que sucede con los argumentos. Por otro lado, recurren a la forma polar de un número complejo para realizar una prueba algebraica, justificando la afirmación entregada. No les basta con lo que observan para poder justificar la pregunta, por lo tanto ocurre lo mismo que la pregunta anterior a nivel de ETM. A continuación se muestra la respuesta dada por B1.

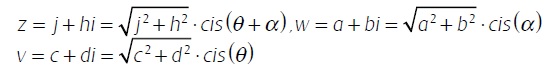
B1:

Pd. w · v = z
La multiplicación del módulo se hizo en la pregunta anterior.
Pd: cis (α )⋅cis (θ ) = cis (θ +α )

Por lo que está ahí dicho el argumento del complejo resultante es la suma de ambos argumentos de los números complejos w, v.
Binomio 2: Los estudiantes por medio del software observan lo que ocurre con los argumentos, pero a diferencia del Binomio anterior, sólo realizan la justificación con el software, por lo que se activa fuertemente el plano [Sem-Ins]. Se muestra a continuación, la respuesta dada por B2.
B2: “El ángulo que determina el vector resultante entre el producto de w y v es igual a la suma de los ángulos que determinan estos dos últimos”

En cuanto a ambas implementaciones podemos mencionar nuevamente lo importante de la instrumentalización realizada. En la segunda implementación los estudiantes se toman el tiempo de ir más allá de la pregunta planteada, llevando a la génesis discursiva las conjeturas que plantean. Es interesante ver que usando el papel milimetrado como artefacto, sólo un alumno de treinta y cuatro, pudo determinar lo que ocurría con los ángulos, pero no así con los módulos de los números complejos. Por otro lado en este caso (al igual que en la pregunta anterior) podemos ver cómo el uso del software favorece a que el alumno visualice en menor tiempo, lo que puede ayudar a que haga un análisis más profundo de lo que se le pregunta.
Pregunta V, 1ª Implementación
Dado el complejo w = a + bi. Analice qué sucede con la gráfica de dicho complejo al multiplicarlo por el complejo v = c + di, con c, d Î ℝ. ¿Se podrá describir gráficamente lo que sucede al multiplicar un complejo cualquiera por otro complejo cualquiera, sin la necesidad de realizar un procedimiento algebraico? Justifique su respuesta.
Plano vertical [Sem-Ins]
A. De un total de 34 estudiantes sólo 4 contestaron esta pregunta, de ellos ninguno relaciona los elementos significantes de los números complejos (a + bi ) y (c + di ) con los vectores correspondientes en el plano complejo.
B. En cuanto a las conversiones, de los 34 estudiantes 3 trabajaron en un sólo registro sin realizar ningún tipo de conversión, dos trabajan en el registro II y uno en III, cabe destacar que todos los alumnos que trabajaron en un sólo registro, dieron una respuesta errónea. La única conversión presente es I --> III, y su respuesta tampoco es correcta. Se puede observar que el estudiante que realiza la conversión, toma algunos valores en el registro I y luego intenta responder a la pregunta, como lo muestra la figura correspondiente al E33:

C. De las 34 producciones obtenidas, ningún estudiante utiliza el papel milimetrado de manera que ayude a la comprensión.
Plano vertical [Ins-Dis]
D. De un total de 34 estudiantes ningún estudiante utiliza la definición de número complejo como w = a + bi en el plano complejo, representándolo como vector, no obstante utilizan la definición, pero no en el plano complejo, sólo en el registro algebraico.
Plano vertical [Sem-Dis]
E. De los 34 estudiantes 1 de ellos responde a las preguntas justificando a partir de los valores tomados para (a + bi ) × (c + di ), como se mostró en la figura 11.
Pregunta V, 2ª Implementación
Para esta experimentación la pregunta es la tercera del planteamiento anterior (parte c ), y como se ha señalado, en esta ocasión la aplicación de la propuesta se efectuó con binomios. Posteriormente se presentan los resultados.
c.¿Qué sucede con la gráfica de w = a + bi al multiplicarlo por v = c + di? Justifique su respuesta.
Binomio 1: Para dar respuesta a esta pregunta los estudiantes no ejecutan ningún procedimiento, ni en Geogebra, ni en papel, sólo razonan de acuerdo a lo que han conjeturado en cada una de las preguntas anteriores. Se puede observar que en las preguntas anteriores ya fueron activadas las tres génesis involucradas, por lo tanto los estudiantes logran responder la pregunta sin inconvenientes ni titubeos. Finalmente podemos decir que se cumple el objetivo de la pregunta. A continuación se presenta la respuesta de B1.
B1: “La multiplicación de dos números complejos nos da un número complejo tal que su módulo es la multiplicación de los módulos iniciales y su argumento es la suma de los argumentos iniciales”.
Binomio 2: Sin realizar ningún procedimiento de manera tangible, los estudiantes dan respuesta rápidamente a la pregunta, basándose en lo que habían obtenido en las preguntas anteriores. Al igual que en el binomio anterior, fueron activadas con anterioridad las tres génesis del ETM, cumpliéndose con el objetivo planteado. Ahora se muestra la respuesta entregada por B2.
B2:“El resultado es la multiplicación de las magnitudes de w y v, y su ubicación es la suma de los ángulo de estos dos últimos”.

Esta pregunta es crucial para poder determinar si el alumno logró visualizar e interpretar lo que ocurría con la multiplicación de dos números complejos. Aquí podemos ver una drástica diferencia respecto de la primera implementación con la segunda; en la primera, ningún alumno pudo responder a la pregunta (por diversos factores, como tiempo, tipo de artefacto, ausencia de circulaciones entre planos), no obstante en la segunda, ambos binomios responden correctamente a la pregunta.
Dentro de la segunda implementación se agregaron preguntas que no estuvieron contempladas en una primera fase, estas tienen que ver con las concepciones que tienen los estudiantes respecto de la representación gráfica de número complejo y por otro lado saber sus concepciones respecto a la definición de
. Se presentan entonces las preguntas y respuestas antes señaladas.
La primera pregunta tiene por objetivo conocer la concepciones sobre el significado de la representación gráfica de un número complejo; que se active en el estudiante la génesis discursiva, que éste tome elementos de su componente referencial y comunique sus conclusiones para finalmente lograr la activación del plano [Sem-Dis].
• Pregunta: ¿Qué es un número complejo? ¿Cómo se representa gráficamente un número complejo? Justifique su respuesta
Binomio 1: Lo primero que dice uno de los integrantes es que es una recta, pero rápidamente comienzan a discutir que siempre se gráfica como vector, no como un punto; pero si fuese un vector sería entonces un conjunto de puntos. Finalmente llegan a la respuesta que se muestra a continuación.
B1: “Un número complejo es un número que no pertenece al conjunto de los Reales. Y como se representa gráficamente tenemos pequeñas confusiones, porque creemos que es un punto pero también creemos que es un vector, estas son nuestras reflexiones de cómo se representa gráficamente ¿es un vector? ¿es un punto?”.
Binomio 2: Los estudiantes no tienen discusión al responder la pregunta de qué es un número complejo, posteriormente de inmediato comentan que se representa como vector, pero en su discusión exponen “el número complejo vendría siendo un punto”. Comentan que un número complejo se puede escribir también como (a, b ), por lo tanto tendría que ser un punto, luego su compañero dice que tiene módulo y otras propiedades de vector, entonces es un vector. Finalmente llegan a la siguiente respuesta.
B2: “Es un número formado por una parte real y otra parte imaginaria y se representa a través de un vector pero no sabemos justificar el porque un número complejo se representa como vector”.

De acuerdo a las respuestas dadas por los estudiantes, podemos notar una cierta confusión en cómo se representa un número complejo.
La segunda pregunta tiene por objetivo discutir la pertinencia respecto de la definición
, que el estudiante se sitúe en la génesis discursiva y analice los elementos que en ella existen, de manera de poder y llegar a alguna conclusión de sus definiciones.
• Pregunta: La afirmación
, ¿es verdadera? ¿es conveniente trabajar con aquella definición? Justifique su respuesta
B1: “La definición es falsa porque i es algo anexo a
pero se puede emplear en representación de b ya que si x =
⇔ x 2 = −1 . Es más que todo por comodidad, es decir, es más conveniente poner i que poner −1 ,ya que al final nos podríamos confundir, porque no se sabe si se puede multiplicar ese número, porque no se sabe siquiera si existe. No sabemos si es conveniente la palabra, creemos que es completamente necesario, ya que nos da soluciones que en los ℝ no encontramos”. Los integrantes del binomio comienzan a recordar lo que se les enseñó cuando vieron la definición en el curso de Álgebra, en cuanto a lo que su profesor les decía y discuten sobre la pertinencia de aquella definición, llegando a la siguiente conclusión:
Binomio 2: En una primera instancia, uno de los estudiantes comenta que la afirmación no es verdadera, sin embargo es conveniente trabajar con ella. Luego discuten unos segundos respecto de lo que han aprendido dentro de su formación, llegando a la respuesta que se muestra a continuación.
B2: “No lo consideramos verdadero pero tampoco sabemos como justificar el por qué, cuando se trabaja con las potencias de i se tiene los valores de ‘i’”.

En las respuestas entregadas por los estudiantes para la última pregunta, podemos observar que no tienen clara la poca eficiencia de la afirmación dada. El caso de B1 no es asertivo al decir que la definición es falsa (puesto que es verdadera), de hecho utilizan en la definición un si sólo si, lo que está incorrecto, sin embargo, saben que no es conveniente trabajar con ella y dan una justificación a la pregunta. Para el caso de B2 tenemos que los estudiantes llegan al consenso de considerarla verdadera, sin embargo comentan lo contrario que B1, que sí es conveniente trabajar con ella.
Que éste tipo de interrogantes sean planteadas desestabiliza a los estudiantes, lo que les permite reflexionar sobre un conocimiento que creían aprendido, y de esta manera acrecentar su comprensión; se pudieron dar cuenta que durante todo el cuestionario fueron capaces de responder a preguntas de operatoria sin ningún problema, al contrario de cuando se les preguntaba aspectos que aparentemente podrían ser triviales, pero en realidad no lo son en absoluto. Nos parecería bastante natural que los estudiantes se preguntaran ¿cómo puedo trabajar con un número complejo si no tengo claro como se representa
Gracias a las producciones obtenidas en ambas implementaciones se puede notar una activación de planos epistemológicos y cognitivos en el ETM; en la segunda implementación se pudo observar circulaciones concretas en el espacio de trabajo matemático personal del estudiante. En la primera fase quedó evidenciada la problemática planteada referida a la algebrización del objeto matemático, ya que ningún estudiante pudo dar respuesta a la pregunta final que comprendía la interpretación de la representación gráfica, y por otro lado, al finalizar la implementación en una segunda fase, los estudiantes manifestaron no tener conocimiento de la interpretación gráfica de la multiplicación algebraica con estos números; generalmente los estudiantes se entrampaban en efectuar la conversión del registro gráfico al registro de lenguaje natural (su interpretación), conversión que naturalmente es más compleja por el poco nivel de congruencia existente. Lo anterior, en términos teóricos de ETM, significa que antes de participar de esta investigación, no se había activado la génesis semiótica en el registro gráfico; evidentemente lo señalado ocurrió, en particular, con estos estudiantes, sin embargo este hecho nos motiva a seguir un trabajo a posterior donde se pueda realizar un estudio a nivel de ETM idóneo, de tal manera de evidenciar lo que en el colectivo se reconoce: en el aula (escolar y universitaria) el registro gráfico no es el privilegiado, o dicho de otra manera, no se le da sentido al registro gráfico, y se privilegia el plano [Sem-Ins] sin que se genere una circulación hacia los otros planos.
Por otro lado, en esta investigación pudimos notar lo fundamental que se vuelve el artefacto utilizado (software), debido a que gracias a él se pueden visualizar de manera más concreta todas las gráficas de las multiplicaciones solicitadas; también hace que el estudiante pueda generalizar sus respuestas con mayor precisión, por lo tanto, se cuenta con una herramienta que ayuda a la interpretación gráfica del objeto y promueve una génesis instrumental activa.
Este trabajo nos permitió caracterizar el espacio de trabajo matemático personal de los estudiantes en relación a la multiplicación de números complejos, donde se destacaron las génesis y planos verticales activados en cada una de las respuestas dadas por ellos. Por otra parte, se profundizó y analizó lo que provoca el tipo de artefacto utilizado en los distintos momentos de la situación de aprendizaje; esto nos llevó a identificar los elementos que están en juego en los cambios de registro de la multiplicación de números complejos, y a articular las componentes presentes en el espacio de trabajo matemático de los estudiantes para favorecer su aprendizaje.
Luego de la reformulación del instrumento en la primera fase, se pudo constatar la importancia de crear situaciones que ayuden a la construcción del conocimiento poniendo atención en detalles tan importantes como la definición de unidad imaginaria, esto no se podría realizar sin la participación del profesor, quién es el que debe crear o facilitar el escenario para que los estudiantes construyan el objeto matemático y los saberes involucrados. Considerando lo anterior, sugerimos trabajar con la definición i 2 = -1 y no con , pues a pesar que no existe error en la notación, los estudiantes suelen incurrir en el error de aplicar propiedades que sólo se cumplen en ℝ, y no en las raíces con cantidad subradical negativa.
Refiriéndonos a la génesis discursiva (la componente prueba), a pesar de que la visualización de la gráfica entrega información, los estudiantes involucrados requerían de una prueba de tipo algebraica (pruebas intelectuales según Balacheff) como un argumento más “formal”, y así dar una interpretación correcta a la gráfica visualizada. Luego de efectuar la demostración, asimilan mejor el conocimiento en cuestión. Es por lo anterior que consideramos debe haber articulación entre la génesis semiótica y la génesis discursiva (no reemplazando un registro por otro sino que tratarlos en conjunto y relacionándolos), esto provocará que además de que el alumno pueda conocer distintas representaciones y conversiones del objeto, se puedan activar las génesis antes mencionadas.
La visualización mediante la representación gráfica es un aporte en el aprendizaje de la multiplicación de este objeto matemático, ya que mientras más registros (en coordinación) se conozca del objeto, mayor será la comprensión de éste. En tal sentido, el proceso de instrumentalización toma un pilar preponderante a la hora de establecer conjeturas que posteriormente se podrán probar. Entonces, para este grupo de estudiantes, el artefacto de tipo software favoreció la circulación entre los planos [Sem-Ins] e [Ins-Dis], lo que contribuye al proceso de aprendizaje y a la construcción del conocimiento en el estudiante.
En efecto, las potencialidades que ofrecen estos ambientes tecnológicos, permiten transformar el trabajo matemático del alumno. Es claro que se activa la génesis instrumental, pero no siempre es claro que ésta deba estar en coordinación con las otras génesis, para que a través de una situación didáctica se genere circulación en el ETM, y con esto, se robustezca el saber matemático involucrado.
Sostenemos que el objetivo de esta investigación (de casos) fue logrado con éxito, esto es, que los estudiantes lograron apropiarse y construir un significado de la multiplicación de los números complejos sin recurrir a la técnica (a la algebrización) propiamente tal. Es relevante mencionar también, la importancia que se le debe dar a la visualización en el contexto escolar, donde suele darse un mayor énfasis a un cálculo aritmético que a la representación e interpretación gráfica.
Este trabajo ha sido parcialmente financiado por el proyecto interno (DI-iniciación: 037.430/2015), Pontificia Universidad Católica de Valparaíso.
Valparaíso, Chile.















