
Recepción: 29 Agosto 2015
Aprobación: 05 Abril 2016
Resumen: En este estudio se analizan las estructuras mentales que un individuo puede desarrollar al construir el concepto de infinito en dos contextos particulares: la paradoja de Aquiles y la tortuga y el triángulo de Sierpin´ski. Con base en la descomposición genética genérica del infinito, planteada por Roa-Fuentes y Oktaç (2014), se estudian las características particulares de las estructuras y los mecanismos que cada contexto genera. El análisis de los datos a partir del trabajo llevado a cabo por estudiantes de posgrado en Matemáticas y Educación Matemática, muestra cómo se da paso de un proceso iterativo infinito (infinito potencial) a un objeto trascendente (infinito actual). Además se muestra la importancia del mecanismo de coordinación para la construcción de procesos iterativos infinitos.
Palabras clave: Teoría APOE, paradojas, triángulo de Sierpin´ski, procesos iterativos infinitos, objetos trascendentes.
Abstract: The present study aims to examine the mental structures that a person can develop to construct the mathematical concept of infinity in two particular contexts: “the paradox of Achilles and the tortoise” and the “Sierpin´ski triangle”. Based on the genetic generic decomposition of the infinite, proposed by Roa-Fuentes and Oktaç (2014), this investigation focuses on the study of the particular characteristics, mechanisms and structures produced by each context. The analysis of data from work done by postgraduate students (in Mathematics and Mathematics Education) shows how from the infinite iterative process (potential infinity) advances towards to a transcend object (actual infinity). Furthermore, the results reflect the importance of the coordination mechanism in the construction of infinite iterative process. Fecha de recepción: 29 de agosto de 2015. Fecha ce aceptación: 5 de abril de 2016. * Escuela de Matemáticas. Universidad Industrial de Santander, diana.villabona@gmail.com, Colombia. ** Escuela de Matemática. Universidad Industrial de Santander, sroa@matematicas.uis.edu.co, Colombia.
Keywords: APOS theory, paradoxes, Sierpin´ski triangle, infinite iterative processes, transcendent objects.
INTRODUCCIÓN
Aunque el infinito no se encuentre de manera explícita en los programas curriculares de matemáticas, está presente en la construcción de otros conceptos importantes en áreas como análisis, álgebra abstracta y teoría de conjuntos, entre otras. Históricamente, su comprensión ha permitido el desarrollo de técnicas y teorías trascendentales en la evolución de la matemática. Sin embargo, nuestra naturaleza finita genera fuertes concepciones sobre el infinito asociadas generalmente con lo potencial, aquello que se repite sin fin o que no es posible percibir con nuestros sentidos (la inmensidad del mar, el número de estrellas en el firmamento o el número de granos de arena en la playa).
Diversas investigaciones en Matemática Educativa han buscado determinar la forma en que los individuos logran la comprensión del infinito potencial y actual. En esta búsqueda, se ha establecido que las concepciones que tienen los estudiantes sobre esta noción son de carácter netamente potencial, que son fortalecidas en los primeros años de vida escolar y que son resistentes a la instrucción matemática (Fischbein, 1978; Fischbein, Tirosh & Hess, 1979; Tall, 1980; Fischbein, 2001; Belmonte y Sierra, 2011). La construcción de objetos matemáticos formales es asumida por los individuos a través de nociones intuitivas que han desarrollado en escenarios no escolares y que generalmente se asocian con lo que se repite sin fin. En este artículo buscamos por medio de los elementos que propone la teoría APOE, no sólo analizar el tipo de estructuras que sobre el infinito han construido un grupo individuos que llevan a cabo programas de posgrado (maestría en Matemáticas y maestría en Educación Matemática) sino además, explicar las características de las estructuras y mecanismos mentales que están asociados con su construcción y que pueden ser fundamentales para guiar el desarrollo de modelos de clase. Por tanto, hemos planteado las siguientes preguntas de investigación: ¿Qué estructuras mentales evidencian y/o desarrollan estudiantes de maestría cuando se enfrentan a situaciones que involucran el infinito? ¿Cómo se caracteriza el mecanismo que le permite al individuo pasar de una concepción proceso de infinito a una concepción objeto?
A continuación, describimos de manera general los elementos fundamentales de la teoría APOE. Posteriormente, mostramos cómo algunos de estos elementos han ganado especificidad en el estudio del infinito matemático a la luz del análisis de datos analizados con diferentes poblaciones.
LA TEORÍA APOE
La teoría APOE (acrónimo de Acción, Proceso, Objeto, Esquema) es una interpretación de la teoría constructivista, basada en el proceso de Abstracción Reflexiva planteado por Piaget para describir el pensamiento lógico de los niños. Dubinsky (1991) extiende esta noción y la usa para describir cómo un individuo logra ciertas construcciones mentales sobre un determinado concepto o noción matemática en niveles más avanzados.
Esta teoría describe las estructuras y los mecanismos mentales con los cuales un individuo puede llegar a construir un concepto o noción matemática. Desde esta perspectiva el conocimiento matemático se describe en términos de estructuras que son motivadas por mecanismos mentales desarrollados por el individuo. Por estructura y mecanismo mental entendemos:
Una estructura mental es cualquier estructura (es decir, alguna cosa construida en la mente) relativamente estable (aunque capaz de desarrollarse) que un individuo usa para dar sentido a una situación matemática. La fuente de una estructura mental es la descripción de la cual ella se origina.
Un mecanismo mental es el medio por el cual una estructura puede desarrollarse en la mente de un individuo o un grupo de individuos. (Stenger, Weller, Arnon, Dubinsky y Vidakovic 2008, p. 98)
Weller, Brown, Dubinsky, McDonald, y Stenger (2004) plantean que las estructuras son construidas y conectadas por medio de mecanismos, de tal manera que pueden ser organizadas y estructuradas en marcos coherentes (esquemas). Estos esquemas son usados por los individuos para resolver un problema; los esquemas pueden ser tematizados para dar lugar a un nuevo objeto sobre el cual es posible aplicar nuevas acciones e iniciar la construcción de nuevos esquemas (Dubisky, 1994). De tal manera que la teoría APOE posibilita la construcción de conceptos matemáticos siempre y cuando el individuo posea las estructuras previas necesarias, las transforme mediante la aplicación de acciones o procesos, de tal forma que pueda construir un nuevo objeto que a su vez hará parte de un esquema construido previamente o que dará lugar a la construcción de uno nuevo.
La figura 1 muestra la relación inicial que puede darse entre las estructuras y mecanismos que tradicionalmente han sido usados para explicar cómo un individuo puede construir un concepto y/o noción matemática (para más detalles sobre los fundamentos de esta teoría consultar Arnon, Cottrill, Dubinsky, Oktaç, Roa-Fuentes, Trigueros & Weller, 2014). En Arnon et al., (2014) se describen en forma general estas estructuras y mecanismos y además se presentan diferentes ejemplos de conceptos que han sido analizados desde esta perspectiva teórica

El análisis que presenta la teoría APOE intenta determinar un modelo de construcción de un concepto o noción matemática, denominado Descomposición Genética, esta determina las estructuras y mecanismos mentales mediante los cuales un individuo puede construir el concepto de manera exitosa. Este modelo tiene dos características importantes que nos interesa resaltar:
No es único. La construcción de conocimiento está asociada con la experiencia de los individuos. Por tanto, una descomposición genética puede tener diferentes puntos de inicio así como diferentes desarrollos, gracias a las relaciones que el individuo puede establecer con sus estructuras previamente construidas.
Debe ser validado a partir del trabajo con diferentes individuos. La potencia de una descomposición genética se valida cada vez que guía el diseño de modelos de clase o de situaciones, en donde se pone en juego el modelo de construcción que propone. Así va ganando mayor exactitud respecto a cómo un individuo construye una porción de conocimiento.
Uno de los conceptos que ha sido estudiado en más de una ocasión y en diferentes niveles desde esta perspectiva teórica, es el de función (Carlson & Oehrtman 2015; Dubinsky & Wilson, 2013; Baker, Cooley & Trigueros, 2000; Breidenbach, Dubinsky, Hawks, & Nichols, 1992). De manera general se considera que una acción se define como la transformación específica que un individuo realiza sobre uno o más elementos del dominio. En este caso, necesita contar con una ecuación particular de la forma y = f (x ). Se considera que estas acciones son interiorizadas en un proceso, cuando el individuo puede aceptar que todos los elementos del dominio han sido transformados, sin tener que hacerlo de manera externa. Con esta nueva estructura el individuo puede reflexionar sobre las características generales del dominio y recorrido de la función; determinar por ejemplo, si está definida por partes, analizar su continuidad o sus puntos de inflexión, entre otros. Una vez este proceso se encapsula en un objeto, la función adquiere un carácter estático. De tal manera que el individuo puede pensar en efectuar nuevas acciones sobre él; por ejemplo al componer o sumar dos funciones dadas y dar lugar a una nueva función o al construir un conjunto de funciones y analizarlas como vectores de un espacio vectorial. De manera natural, cada vez que el individuo enfrenta nuevas situaciones que involucran el concepto de función, sus estructuras evolucionan y dan paso al desarrollo de la coherencia que determina en qué situaciones su esquema de función es necesario.
En general los procesos no necesariamente se logran a partir de la interiorización de acciones, además pueden producirse por la coordinación de dos o más procesos (Roa-Fuentes y Oktaç, 2010). Por ejemplo, en el caso de la transformación lineal, es posible coordinar el proceso de suma vectorial con el proceso de producto por un escalar para dar lugar a uno único; éste define la estructura proceso de transformación lineal como una función que preserva combinaciones lineales, al poner las dos operaciones juntas.
El mecanismo de coordinación toma gran importancia cuando el individuo necesita construir un objeto a partir de otros, en este caso, podrá desencapsular los objetos construidos previamente en los procesos que los originaron y coordinarlos en un único proceso que puede ser encapsulado en un nuevo objeto cognitivo. La coordinación de procesos toma gran importancia en el estudio del infinito; como analizaremos más adelante, este mecanismo puede resultar complejo cuando se requiere coordinar dos o más procesos de diferente naturaleza (uno divergente y uno convergente).
En esta sección hemos explicado, en términos generales, aspectos sobre los cuales se fundamenta y desarrolla la teoría APOE. A continuación nos centraremos en el estudio del infinito desde este referente, haciendo alusión a los principales aspectos empíricos y teóricos que han generado la evolución de la teoría a partir del estudio de la noción de infinito.
EL INFINITO Y LA TEORÍA APOE
El infinito ha sido una noción particularmente estudiada desde la perspectiva de la teoría APOE (Roa-Fuentes y Oktaç, 2014; Dubinsky, Weller & Arnon, 2013; Brown, McDonald & Weller, 2010; Stenger et al., 2008; Dubinsky, Weller, McDonald & Brown, 2005a, 2005b; Weller et al., 2004). Estos estudios han contribuido no sólo a la investigación en Matemática Educativa, sino también a la teoría misma. Los mecanismos y estructuras han ganado especificidad en el estudio particular de la noción de infinito en matemáticas, y han ayudado a determinar cómo podría ser construido el infinito potencial y actual en la mente de un individuo. Es conveniente resaltar la importancia que ha tomado el contexto en el estudio del infinito desde la perspectiva de la teoría APOE. Como se puede ver en Roa-Fuentes y Oktaç (2014), para esta noción en particular, se ha definido una descomposición genética genérica que describe las estructuras generales independientes de las características que los procesos generen en cada contexto. Con esto hacemos referencia a la naturaleza de los procesos que pueden surgir en una situación que considere el infinito. Como mostramos más adelante en el caso del triángulo de Sierpin´ ski, es posible tener en la misma situación procesos divergentes y convergentes que deben ser coordinados. Además, los objetos que resultan de la aplicación de un proceso infinito pueden ser curvas fractales, resultado del análisis de situaciones paradójicas y en general, contextos en que los que se analizan estados al límite. Estas características particulares que se han propuesto a partir del análisis de individuos pensando en diferentes situaciones ha llevado a la definición de dos constructos: los procesos iterativos infinitos y los objetos trascendentes (Stenger et al., 2008). En los primeros análisis teóricos referentes al infinito Dubinsky et al., (2005a) hacen una distinción inicial entre el infinito potencial y actual:
El infinito potencial es la concepción del infinito como un proceso. Este proceso es construido, empezando por los primeros pasos (por ejemplo 1, 2, 3, en la construcción del conjunto de los números naturales) la cual corresponde a una concepción acción. Repetir estos pasos (por la adición de 1 repetidamente) al infinito, requiere de la interiorización de esas acciones en un proceso. El infinito actual es el objeto mental que se obtiene de la encapsulación de este proceso (p. 346).
Con este resultado, queda claro que la dualidad del infinito no es contradictoria y más bien se describe como estructuras diferentes de la misma noción matemática. Castro y Pérez (2007) muestran cómo las ideas presentadas por Bolzano sobre un conjunto y sus partes, prepara el camino para que Cantor establezca la aritmética de los cardinales transfinitos. Como analizan Dubinsky et al., (2005a), Cantor logra encapsular procesos infinitos en objetos que pueden ser transformados mediante la aplicación
de acciones. Estos resultados teóricos dieron pie al análisis del trabajo de estudiantes resolviendo diferentes situaciones; por ejemplo examinando la igualdad 0.999… = 1, resolviendo situaciones paradójicas, estudiando curvas fractales, o la igualdad
partes de
). De este análisis surgen explicaciones que dan más especificidadsobre cómo son las estructuras proceso y objeto en relación al infinito.
Procesos iterativos infinitos y Objetos trascendentes: Una estructura dinámica del infinito fue definida por Brown, McDonald y Weller (2010) como un proceso iterativo infinito. Este proceso se describe a partir de la relación que se establece entre el conjunto de los números naturales y otro conjunto cualquiera teniendo en cuenta la construcción de función dada por Breidenbach et al. (1992). A continuación describimos cada estructura para la construcción de esta clase de procesos:
Acción: Realizar un número pequeño de iteraciones de la transformación se considera como una acción. Por ejemplo, un individuo podría determinar la presencia de una variable dada en notación matemática para iniciar con k = 1, obtener el primer objeto usando la transformación, adicionar 1 para obtener k = 2 y lograr el segundo objeto, etcétera, etcétera.
Proceso: La acción de iteración finita es interiorizada en un proceso mental de iteración finita por la coordinación de un proceso de iteración a través de un segmento finito de ! , con una transformación que puede ser aplicada repetidamente. [. . .] el proceso iterativo infinito obtiene una sucesión infinita de objetos (numerable). Los individuos entienden que un objeto se obtiene a partir de cada número natural en orden, y que estos objetos se obtienen únicamente para los números naturales.
Objeto: Una vez esto es visto como una totalidad (es decir, como una única operación que asocia a un objeto para cada número natural en orden), el proceso iterativo infinito puede ser encapsulado al intentar una acción de evaluación sobre él. El objeto resultante es un estado al ∞. Se entiende que este objeto está más allá de los objetos que corresponden a los naturales y no se produce directamente del proceso. Nosotros llamamos este objeto, un objeto que trasciende del proceso. (Brown et al., 2010, p. 123-124.)
Una característica importante que plantean Brown et al., (2010) es la diferencia entre ver el proceso completamente construido y verlo como una totalidad. El proceso iterativo infinito puede ser analizado por un individuo, paso a paso, al imaginar cómo realiza cada transformación sobre los naturales. Pero cuando logra verlo como un todo, no se centra en la aplicación de la transformación a un “último elemento” sino en las características generales que se perciben en el objeto que trasciende de dicho proceso.
Una situación puede involucrar varios procesos, que el individuo debe coordinar con el conjunto de los números naturales (para construir procesos iterativos) y a su vez, coordinarlos entre sí para generar un único proceso que podrá ser transformado en un objeto trascendente. De la aplicación de un proceso iterativo infinito se va generando una sucesión de objetos que tienen determinadas características. Cuando el individuo logra la evolución de su estructura proceso de infinito en un objeto, debe tener la capacidad de imaginar las características que debe tener el objeto que transciende. Podemos pensar en el objeto trascendente como el estado al infinito del proceso iterativo que lo originó. A continuación planteamos un ejemplo que nos permite poner en contexto lo descrito hasta el momento.
Construcción del Triángulo de Sierpinski. Las curvas fractales pueden ser generadas a partir de procesos iterativos infinitos, podemos pensarlas como objetos que resultan de ver un proceso inacabado como una totalidad, con características susceptibles de ser analizadas si se entienden como entes estáticos. Como ejemplo planteamos la construcción del triángulo de Sierpinski (versión adaptada de Sabogal y Arenas, 2011), en este caso, se busca determinar el perímetro de dicha curva fractal.
Se tiene inicialmente un triángulo equilátero relleno de lado a, se unen los puntos medios de los lados que forman el triángulo de modo que el triángulo inicial queda dividido en cuatro triángulos equiláteros y congruentes, de los cuales se elimina el triángulo central, de esta forma quedan 3 triángulos cada uno de lado a/2.Se repite el mismo procedimiento en cada uno de los triángulos resultantes y así sucesivamente al infinito. La curva resultante es llamada triángulo de Sierpinski (ver figura 2).
En la construcción de esta curva fractal podemos identificar dos procesos: uno generado por el número de lados, determinado por los triángulos que se agregan en cada iteración y otro generado por la longitud de cada uno de los segmentos. La coordinación de estos dos procesos de naturaleza diferente, el primero divergente y el segundo convergente, dan lugar a la construcción de un único proceso que determina el perímetro del triángulo de Sierpin´ski. La siguiente figura muestra los elementos resultantes en cada iteración:


Como puede verse en la tabla 1 el número de segmentos que conforman
cada triángulo se hace cada vez más grande, pero la longitud de los segmentos disminuye. El perímetro para cualquier triángulo que precede el triángulo de Sierpinski es
; por tanto determinar cuál es el perímetro de este fractal, es equivalente a calcular:

Dado al planteamiento explícito del proceso iterativo que permite generar el triángulo de Sierpinski, se espera que un individuo que se enfrente a este contexto inicie con la realización de las acciones propuestas por el proceso generador sin llegar a cuestionar el contexto. Sin embargo, puede ocurrir que al tratar de imaginarse las características de la curva, a partir de la naturaleza de los procesos que identificó inicialmente se pregunte: ¿Cómo puede ser infinito el perímetro de una figura que está conformada por infinitos segmentos cada uno de longitud cero? A pesar de esta posibilidad, esperamos que los estudiantes comprendan el proceso generador que produce la representación gráfica delas curvas que preceden al triángulo de Sierpinski, para posteriormente identificar dos procesos particulares. Éstos están directamente relacionados con la pregunta principal que plantea la situación. ¿Cuál es el perímetro del triángulode Sierpinski?:
Proceso generador (Primeras acciones, construir triángulos que preceden el triángulo de Sierpinski). Los procesos particulares son abordados de forma independiente y son transformaciones del conjunto de los números naturales (procesos iterativos infinitos) donde a cada figura resultante se le asocia una posición dentro de la secuencia.

La imposibilidad de seguir representando de forma gráfica cada uno de los triángulos que precede al triángulo de Sierpinski y la necesidad de entender cómo se comportan los procesos en términos más concisos, motiva la interiorización de las acciones anteriormente descritas, llegando a convertirse en procesos. Estos deben permitirle al individuo determinar el número de triángulos y la longitud de cada segmento para cada una de las curvas que preceden el triángulo de Sierpinski, de tal manera que logre plantear el término general de cada proceso particular.

Los procesos particulares deben ser coordinados en un único proceso con miras a responder la pregunta que plantea la situación; sin embargo, esta coordinación no es sencilla dada la naturaleza diferente de los procesos. El individuo puede encontrarse ante una situación conflictiva al pensar en la suma de un número infinito de segmentos cada uno de longitud cero y concluir entonces que: “el perímetro del triángulo de Sierpin´ ski es cero dado que la suma infinita de ceros es cero”. La necesidad de ver los procesos particulares como un único proceso para cada una de las curvas precedentes, hará que el individuo coordine los procesos 1 y 2. No entendemos exactamente cómo ocurre esta coordinación pero creemos que está motivada por la pregunta que plantea la situación, en este caso, calcular el perímetro del triángulo.
Los procesos coordinados generan un único proceso que permite obtener la longitud de los triángulos precedentes al triángulo de Sierpinski, este proceso es un proceso iterativo infinito.
Construcción de un único proceso resultado de la Coordinación: 
El individuo a través de este proceso debe lograr la concepción objeto de infinito para lo cual se espera que proponga el límite al infinito del proceso que resulta de la coordinación. Sin embargo, no basta sólo con proponer el límite, el individuo debe haber construido una concepción objeto de éste, lo que propiciaría un mecanismo que le permita imaginar el proceso de acercamiento infinito inmerso en el concepto de límite como terminado. Esto está íntimamente relacionado con su capacidad para aceptar el conjunto de los números naturales como un ente estático y no por medio de los elementos que conforman este conjunto. Si un individuo no posee una concepción objeto de límite puede concluir que no es lógico preguntarse por el perímetro del triángulo de Sierpin´ ski, ya que no podrá concebirlo como un objeto terminado. Es importante aclarar que el objeto trascendente se construye cuando el proceso es visto como una totalidad y no por la aplicación de un proceso iterativo infinito a un “último número natural”.
La construcción del infinito es exitosa dependiendo de la capacidad que tengan los individuos de construir el proceso iterativo infinito y verlo como una totalidad (Weller et al., 2004; Dubinsky et al., 2005a, Dubinsky et al., 2005b; Brown et al., 2010). Sin embargo, la totalidad había sido considerada como parte de la concepción objeto hasta que Dubinsky, Weller y Arnon (2013) plantearon una nueva estructura independiente, a la cual denominaron Totality y que se encuentra entre las estructuras proceso y objeto, permitiendo que el individuo vea el proceso iterativo infinito como terminado (ver figura 3).

Dubinsky et al., (2013) muestran al analizar la igualdad 0,999. . . = 1, evidencias de la estructura Totality al trabajar con un grupo de estudiantes sobre la expansión decimal de una fracción. Esta investigación evidencia que aunque un individuo logre ver un proceso como una totalidad, no podrá necesariamente aplicar acciones sobre ella. Esto ha sido mostrado empíricamente, a pesar que algunos de los estudiantes entrevistados aceptaron que 0,999.... es igual a 1, no lograron solucionar la ecuación
Ya que no consiguieron determinar si x era un número infinito o no, llegando a plantear que x=0,0...1. La posibilidad de las existencia de esta nueva estructura debe ser respaldada mediante datos empíricos que demuestren que para que un individuo logre ver el proceso como un todo y aplicar acciones sobre él, necesita de dos estructuras que debe desarrollar de manera independiente.
Buscando explicar cómo se da paso de un proceso iterativo infinito a un objeto trascendente, Roa-Fuentes (2012) propone un nuevo mecanismo denominado completez. En esta investigación se usa la teoría APOE para analizar las estructuras que desarrollan niños y jóvenes talento en matemáticas al abordar situaciones relacionadas con el infinito. Las situaciones que fueron planteadas en dicho estudio son: el problema de las pelotas de tenis, la paradoja del hotel de Hilbert y la construcción de la curva de Koch. El mecanismo de completez es caracterizado a partir del trabajo que realizan algunos estudiantes al tratar las situaciones descritas. En Roa-Fuentes (2012) se propone que los individuos deben desarrollar un mecanismo que a partir de un proceso iterativo infinito permita la construcción de una estructura estática que está fuera de dicho proceso. Este mecanismo puede asociarse con The Basic Metaphor of infinity (BMI, por sus siglas en inglés) descrita por Núñez y Lakoff (2000) en cuanto de suceder "algo" en la mente del individuo que le permita ver el proceso como una totalidad y no analizar las situaciones en términos del "último elemento del proceso". Por tanto, es necesario descentralizar la mirada de los elementos del proceso y verlo como un todo terminado. La primera definición que se presenta del mecanismo de completez está asociada con la construcción por parte de un individuo de elementos fundamentales relacionados con la teoría de conjuntos de Cantor, por ejemplo, la relación entre un conjunto infinito y sus partes, los conceptos de cardinal y ordinal y, la construcción de conjuntos infinitos con diferentes cardinalidades. Esto incluye la capacidad de un individuo para ver un conjunto infinito como un todo y no a través de sus elementos.
Roa-Fuentes (2012) identificó la construcción de casos particulares del objeto trascendente, así como la necesidad de construir procesos iterativos infinitos. Los individuos entrevistados que lograron construir los objetos trascendentes hicieron uso de conceptos específicos relacionados con la teoría de conjuntos, lo que dio lugar a la definición de completez.
Claramente se percibe la necesidad de encontrar evidencias de la construcción de procesos iterativos infinitos, Totality, así como de objetos trascendentes, además de estudiar qué caracteriza el paso de una estructura a otra (Brown et al., 2010; Roa-Fuentes, 2012; Dubinsky et al., 2013).
Nuestro trabajo usó los elementos tradicionales de la teoría APOE y tuvo en cuenta el nuevo mecanismo Completez para llevar a cabo la primera componente metodológica de la investigación (Análisis Teórico), esperando encontrar evidencias de este mecanismo o de alguna estructura que nos permita describir con mayor claridad cómo un individuo construye el infinito matemático.
MÉTODO DE INVESTIGACIÓN
El método utilizado en esta investigación es una adaptación del paradigma propuesto por la teoría APOE. A continuación describimos los elementos que caracterizaron cada una de sus componentes (ver figura 4).
El Análisis Teórico es la primera componente del método de investigación, en él realizamos un estudio profundo sobre el infinito matemático, su evolución histórica y epistemológica así como la forma en que ha sido abordado en diferentes investigaciones desde la Matemática Educativa, principalmente, en contextos paradójicos y de construcción de curvas por medio de transformaciones iterativas. Nuestro análisis teórico nos permitió plantear tres descomposiciones genéticas preliminares inéditas, una para la versión general de la paradoja de Aquiles y la tortuga, una para la versión particular y otra para la construcción del triángulo de Sierpinski (Villabona, 2015). Un elemento muy importante en nuestro análisis teórico fue la descomposición genética genérica que se plantea en Roa-Fuentes y Oktaç (2014), este modelo nos permitió seguir un camino cognitivo de construcción del infinito retomando las características particulares de cada contexto.
A partir de las descomposiciones genéticas preliminares diseñamos y realizamos entrevistas de corte didáctico (filmadas y transcritas) en las cuales buscamos que los individuos pudieran reflexionar sobre el infinito matemático, dando evidencias de las estructuras y los mecanismos mentales que guían su actividad matemática.
Con base en este análisis y teniendo en cuenta la población que nos interesa, desarrollamos la segunda componente Recolección, Observación y Análisis de Datos, en ella participaron tres estudiantes de maestría en Educación Matemática y cuatro estudiantes de maestría en Matemáticas. Cuatro del total de los estudiantes realizaron el pregrado en licenciatura en Matemáticas, dos en Matemáticas y uno en Ingeniería. La diversidad de esta población y su formación matemática nos permite analizar cómo evoluciona la concepción de infinito y con esto, las estructuras y los mecanismos necesarios para su construcción en los contextos tomados en cuenta en esta investigación. Además, logramos estudiar los tipos de concepciones primarias que puede desarrollar un individuo sobre el infinito. Más adelante haremos una explicación de lo que entendemos por dichas concepciones y su permanencia a pesar de la edad y la formación escolar de cada individuo.
Como entrevistas didácticas, entendemos aquellas en donde a partir de la reflexión del individuo y su relación con la entrevistadora puede percatarse de relaciones que antes no eran evidentes para él o ella a través de la reflexión sobre las características de cada situación.
El análisis de los datos obtenidos nos ha permitido plantear descomposiciones genéticas refinadas con base en los diferentes acercamientos que los estudiantes realizan sobre cada situación. Como hemos mencionado, estos análisis se plantean como herramientas potentes en la construcción de diseños de clase e instrumentos de evaluación.
A continuación presentamos cada uno de los análisis teóricos preliminares, a la vez que mostramos los datos más representativos para el análisis de cada estructura.
CONTEXTOS USADOS EN EL DISEÑO Y DESARROLLO DEL ANÁLISIS TEÓRICO
Las paradojas y la construcción de curvas fractales pueden ser afrontadas por un individuo sin importar su nivel académico y ofrecen un espacio adecuado de reflexión sobre el infinito que puede ser aprovechado para determinar las construcciones cognitivas que desarrollan al contrastar, en un mismo espacio, el infinito potencial y actual. La naturaleza diversa que involucran los procesos contenidos por cada situación nos permite establecer su influencia a la hora de coordinar los procesos en un único proceso iterativo infinito que pueda dar lugar a una estructura estática. A continuación plantearemos las distintas versiones de los contextos que los individuos enfrentaron en las entrevistas, cada uno nos permitirá caracterizar de mejor forma las estructuras o mecanismos. En el caso de la paradoja de Aquiles y la tortuga logramos evidenciar el paso de un proceso iterativo infinito a un objeto trascendente, mientras que la construcción del triángulo de Sierpin´ ski nos ofrece la posibilidad de estudiar la coordinación de procesos iterativos de distinta naturaleza.
Paradoja de Aquiles y la Tortuga. Versión general:
Aquiles, hijo de la diosa Tesis, héroe de la guerra de Troya; apodado "el de los pies ligeros" gracias a su gran velocidad, decide enfrentarse a una tortuga en una carrera que se llevará a cabo en una pista recta, a velocidad constante, para que la disputa sea un poco más justa, Aquiles da a la tortuga cierta ventaja. Al iniciar la carrera puede verse que cuando Aquiles llega al punto de partida de la tortuga, ésta ya ha avanzado un poco. Nuevamente, Aquiles va tras la tortuga pero al llegar a donde ésta se encontraba descubre que ya ha avanzado otro pequeño tramo. Así, decide seguir tras ella pero en cada intento, la tortuga ha recorrido una pequeña distancia; de esta manera, ¿podrá Aquiles alcanzar a la tortuga?
Versión particular:
Suponga que la distancia que Aquiles da a la tortuga es de 10 m y que Aquiles es 10 veces más rápido que la tortuga.
Para el caso del triángulo de Sierpin´ ski planteamos la versión presentada en el ejemplo de la sección anterior, teniendo en cuenta el análisis teórico allí descrito para el desarrollo de la segunda componente de la investigación.
A continuación expondremos de manera puntual algunas de las más importantes evidencias analizadas a lo largo de este estudio.
EVIDENCIAS QUE FUNDAMENTAN EL ANÁLISIS TEÓRICO: INDIVIDUOS PENSANDO SOBRE EL INFINITO
En esta sección, mostramos algunas de las evidencias más relevantes recolectadas a lo largo de la ejecución de las entrevistas didácticas. Estos datos han sido analizados por medio de las descomposiciones genéticas particulares propuestas en la primera componente del método y nos han permitido enriquecer dicha componente, llevándonos a refinar los análisis iniciales.
CONCEPCIONES PRIMARIAS
Con este tipo de concepciones, los individuos se ven inclinados a solucionar las situaciones sin llegar a utilizar un razonamiento matemático sino más bien a través de argumentos respaldados por sus creencias o intuiciones. Estas soluciones surgen a partir de los procesos que logran identificar; procesos que no llegan a ser coordinados con el conjunto de los números naturales, es decir,procesos que no llegan a estructurarse como procesos iterativos infinitos. El individuo dictamina la naturaleza del proceso (convergencia o divergencia) haciendo uso de argumentos inspirados en una visión netamente potencial del infinito (concepciones primarias dinámicas) o tomados del mundo real (concepciones primarias estáticas).
Concepciones primarias dinámicas: Usain Bolt, el hombre más rápido del mundo. Orlando1 se enfrenta a la paradoja de Aquiles y la tortuga, concluyendo que es evidente que Aquiles podrá alcanzarla, así como Usain Bolt lo alcanzaría a él si se midieran en una carrera.
Orlando: Es que no, siento que, ¡no puede pasar eso! Porque en un momento dado la tortuga… Aquiles tiene que alcanzar a la tortuga porque es más lenta. No, por ejemplo, sí ponemos a Usain Bolt… Sí, ¿no? Es uno de los hombres más rápidos del mundo, y me ponen a mí. Y él me da un tramo de no sé, cinco metros. Y él corre a una velocidad constante, él va a correr más rápido que yo. O sea sí yo me pongo a correr no sé, cinco kilómetros en… No sé, en… Perdón, cuatro metros en cinco minutos, y Usain Bolt los va a recorrer en un minuto. Si él va… Es que no menciona ahí cual es la velocidad constante, nada más dice velocidad constante, entonces yo puedo tomar en cuenta cualquier velocidad constante ¿no? Entonces la velocidad de Usain Bolt puede ser, no sé, el doble que la mía. Aunque a mí me de intervalos grandes de distancia me va alcanzar en algún momento porque la mía va a ser la menor.
Orlando busca explicar que la diferencia de velocidades entre Aquiles y la tortuga implicará que Aquiles debe alcanzarla, sin importar la ventaja inicial. Sin embargo, no hace un razonamiento matemático al respecto, incluso no construye adecuadamente una relación entre las velocidades en el ejemplo que propone. Su concepción primaria dinámica hace que se centre en las características puntuales del contexto que propone la paradoja.
Concepciones primarias estáticas: El perímetro de puntos. Una primera lectura al proceso de construcción del triángulo de Sierpinski hace que Mariana busque imaginarse cuál podría ser el perímetro de una figura que está constituida por infinitos puntos.
Mariana: Pero, aquí le quité este, me quedan estos, aquí le quite esto, me quedan estos… No, no creo que eso forme una figura como tal, creo que termina siendo casi como… Como puntos. Sí, porque todo esto se va quitando, entonces lo que va quedando, cada vez se vuelve más pequeño, más pequeño, más pequeño… Sí, entonces terminaría siendo como punticos, y pues perímetros de puntos… No, es cero.
Aún sin plantear en términos generales los procesos inmersos en el contexto del problema (número de segmentos, longitud de segmentos), la naturaleza diferente de cada uno de estos procesos hace que Mariana piense que el perímetro del triángulo se reduce a sumar infinitamente cero y por lo tanto es cero. Esto es una evidencia de una concepción estática de tipo primario, sin haber construido una concepción proceso de la situación, Mariana intenta razonar imaginándose el resultado al infinito de los procesos que identificó por separado, lo que le impide comprender la naturaleza del proceso único que da cuenta del perímetro de los triángulos que preceden al triángulo de Sierpinski.
Evidencias de una concepción acción
La construcción de estructuras más complejas debe darse a partir de una concepción acción, esto manifiesta la importancia de la realización de las acciones a la hora de construir cognitivamente un concepto o noción matemática. La reflexión sobre las acciones que un individuo hace, permite la interiorización de las mismas. En el caso de Julio, una vez aborda el contexto de la paradoja de Aquiles y la tortuga, determina que debe dibujar un gráfico para comprender mejor la situación que se plantea, con lo cual inicia la realización de las primeras acciones:

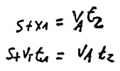
Sin embargo, siente que este procedimiento no es suficiente y sin haber reflexionado mucho sobre él, inicia la búsqueda de una expresión que le permita relacionar el movimiento de Aquiles y la tortuga. Julio deja de pensar en casos particulares y empieza a buscar expresiones generales que incluyan todas las acciones. Sin embargo inicialmente no logra construir dichos procesos (debido a que no efectuó de forma reflexiva las acciones) y por tanto no logra coordinarlos, “empatarlos”. Veamos su análisis (s, representa el movimiento de Aquiles y x el movimiento de la tortuga):

Julio: Entonces estoy tratando como de empatarlas en el sentido de qué ecuación me permite sacar eso. Porque yo sé que Aquiles en el tiempo 2 ha recorrido s + x1 y pues como es la velocidad constante se tardó un tiempo t 2 para cubrir esa distancia. Por otro lado, como yo sé que la tortuga desde su punto cero avanzó x 1 ¿sí? Entonces, esto… En un tiempo t 1 entonces… La estoy aquí despejado, entonces me quedaría que:

En su afán de relacionar los procesos que identificó, Julio llega a la siguiente expresión:

Julio: Entonces yo sé que aquí ya obtuve una expresión que me relaciona x 1 en términos de la tortuga y un término x 2 que es nuevo, que sería el tiempo que avanzó acá. Entonces ¿Cómo hago para expresar la igualdad?
Julio se da cuenta que en su expresión cada vez obtendrá un nuevo término que le impide relacionar los movimientos de Aquiles y de la tortuga como él esperaba. Por lo cual decide abandonar su intento y realiza nuevamente las acciones con más atención, logrando reflexionar y construir así, una concepción proceso (proceso iterativo infinito) de los procesos involucrados.
Julio: Bueno pues ahí parece ser que, bueno antes de meterme con esto porque esto no me está diciendo nada. Si me meto solo con velocidad igual a espacio por tiempo no voy a hacer mucho… Yo tengo una distancia que al parecer fue constante entre ellos ¿sí? y después avanzó este poquito que sería s + x 1 ¿sí? Y después avanzó s + x2 , entonces Aquiles lo que tiene que hacer para llegar a la tortuga es recorrer primero s y tiene que recorrer luego x 1 y después de que ha recorrido x 1 tiene que recorrer x2 y si tiene que recorrer x3 tendría que pasar así… Parece que la distancia entre ellos nunca se cansara.
Cuando Julio realiza de manera consciente acciones sobre las distancias totales que en cada iteración han recorrido Aquiles y la Tortuga, se percata que la distancia que los separa se va haciendo más y más pequeña, mostrando que ha identificado y comprendido la naturaleza de este proceso (convergente); esto nos muestra que ha logrado una concepción proceso de infinito.
CARACTERÍSTICAS DE LA COORDINACIÓN ENTRE PROCESOS
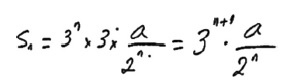
Coordinación de procesos iterativos infinitos: El perímetro del triángulo de Sierpin´ ski es cero. En la evidencia presentada como una concepción primaria estática, mostramos cómo Mariana realizó un primer acercamiento a los procesos que identificó en la construcción del triángulo de Sierpin´ski. Una vez que Mariana construye los procesos iterativos que le permiten determinar el número de lados y la longitud de cada uno de ellos para cualquier triángulo que preceda al triángulo de Sierpin´ ski, plantea en términos generales la sucesión que va a generar el perímetro de cada triángulo para cualquier iteración.
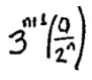
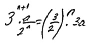
Mariana: Yo aquí podría definir
, vamos a ver. En el paso dos, 9 por 3, 27 sí, es 3 a la 3, 27 y a4, entonces eso quiere decir, en el paso cuatro, si continuamos tendría que ser
. Y así sucesivamente. Entonces tenemos si, que en el paso n, este va a ser el perímetro que yo voy a encontrar, el perímetro de este triángulo.

A la hora de responder la pregunta sobre el perímetro del triángulo de Sierpinski se debe realizar una transformación algebraica que le va a permitir al individuo ver un único proceso, tener una expresión en la cual no se identifiquen los procesos por separado. A pesar que esa expresión le permite a Mariana determinar el perímetro del triángulo en cualquier iteración, esto no implica que haya coordinado los procesos “número de segmentos” y “longitud de segmentos”; ella se limitó a poner los términos generales “uno al lado del otro”, pero continúa viendo los procesos por separado y lo evidencia de la siguiente forma:
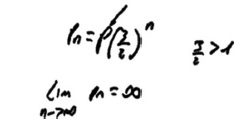
Mariana: Entonces si n se va a infinito, si n tiende a infinito, entonces sería como: 
Bueno, si esto tiende a infinito [señalando el límite], esto tiende a infinito [señalando el 3n + 1] y un número que se va abriendo más, más, más, tiende a cero ¿no? Uno podría decir que esto [señalando el a/2n ] tiende a 0, pero esto también tiende a infinito [señalando el 3n + 1 ]. Si yo pudiera hacer, sería como un límite de un infinito por el cero, pero yo no puedo calcular ese límite, el límite me da ∞ ⋅ 0 es una indeterminación porque tengo que el límite existe de un producto sila una es acotada, digamos si esta fuera acotada ya tendría que esto es 0, porqueentonces esto es menor, siempre va a ser menor igual que un n, pero como no está acotada, no, no tengo…
En términos de la teoría APOE, no es posible construir un objeto cognitivo a partir de dos procesos que no han sido coordinados. Como explicábamos anteriormente Mariana no logra ver los procesos como uno y por tal razón, la naturaleza diferente de los mismos le impide construir el proceso iterativo infinito que le permitirá concluir cuál es el perímetro del triángulo de Sierpin´ ski. En el siguiente ejemplo, Dalia, de forma consciente, ve la necesidad de reescribir la expresión que le permite determinar el perímetro para cualquier triángulo precedente y logra pasar del proceso iterativo infinito al objeto trascendente.
Dalia y la construcción de un único proceso iterativo infinito. Dalia logra establecer los términos generales de las sucesiones identificadas en el contexto del problema (número de triángulos y longitud de segmentos), con lo cual propone una expresión que permite encontrar el perímetro en cualquier iteración.
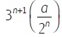
Dalia: Entonces para un número n de iteraciones esto va a ser:

¿Cuál es el perímetro del triángulo? Entonces cuando n tiende a infinito ¿qué pasa con esto? Cuando n tiende a infinito, entonces yo puedo escribir esto como:

Podemos notar que Dalia replantea la expresión, con el fin de encontrar su situación al límite, cuando se le pregunta por qué hace esto, responde:
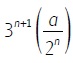
Dalia: Si lo queremos ver de esta manera:

Entonces qué pasa, si esto tiende a infinito (señalando el 3n) esto es infinito y esto (señalando el (1/2)n ) tiende a cero pero es que a mi no me interesa verlos por separado, a mi me interesa ver todo el conjunto, qué es lo que pasa con toda la expresión, entonces por eso es que lo acomodé acá. Sino aquí llego a ∞ ⋅ 0 pero eso puede ser cualquier cosa.
Entrevistadora: Entonces usted dice que hay que ver todo el conjunto ¿no se puede ver por separado?
Dalia: No porque la pregunta es el perímetro ¿cierto? Y el perímetro es… El perímetro tiene esta forma:

Dalia nota que si ve los procesos por separado lo que obtiene al analizarlos al límite será la expresión ∞·0, la cual no le permite responder la pregunta central de la situación. Así que propone reescribir el término general de la sucesión perímetro, de manera que al analizar la situación en el infinito, el proceso tenga naturaleza propia y no la ambigua que obtenía al analizarlos por separado. Esto es, Dalia logra coordinar los dos procesos en uno único y posteriormente logra construir el objeto que trasciende de dicho proceso.
Pudimos evidenciar que la construcción de los procesos y en general, la coordinación de los mismos en un único proceso iterativo, no es una tarea fácil. Existe una marcada diferencia entre presentar el producto de dos expresiones que pueden dar lugar a una concepción proceso y llegar a ejercer un mecanismo mental entre ellos, en este caso coordinarlos. Si el análisis se hace por separado, la naturaleza diversa de los procesos generará una expresión problemática que el individuo no sabrá interpretar y terminará concluyendo basándose en ideas intuitivas.
EVIDENCIAS DEL PASO DE UN PROCESO ITERATIVO INFINITO AL OBJETO TRASCENDENTE
“Aquiles no la alcanza ya que el límite no es un valor dado”. La concepción que el individuo tenga sobre el concepto de límite puede hacer la diferencia entre si logra pasar del proceso iterativo infinito al objeto trascendente o no. Esto se evidencia en mayor medida en el caso de Aquiles y la tortuga. Aunque dos individuos construyan el proceso iterativo infinito y comprendan su naturaleza, sus conclusiones sobre el mismo resultado matemático pueden ser diferentes. Tal es el caso de Jaime quien construye correctamente dos series que describen los movimientos de Aquiles y la tortuga, y concluye por medio de un razonamiento matemático que las dos series convergen en la medida en que la sucesión de tiempos converja a cero.
Jaime: Entonces, mirar que esta sucesión converge es lo mismo que mirar que la sucesión de tiempos converge. Entonces, el tiempo que gasta Aquiles en alcanzar el primer punto de la tortuga va a ser mayor que en alcanzar el segundo tiempo, luego este segundo tiempo va a ser mayor que el tercero y entonces esos tiempos se van acercando hacia cero ¿no? A medida que avance, porque tiene una velocidad mayor que la de la tortuga entonces estos tiempos irían hacia cero cuando n va hacía infinito.
Entrevistadora: ¿Van hacia cero o son cero?
Jaime: ¡No! Van hacia cero porque se supone que el problema dice que nunca… La alcanzaría en el límite, pero como el límite en realidad no es un punto dado entonces no la va a alcanzar. Se supone que no la… Matemáticamente, yo digo, que no la alcanza.
Vemos que la concepción que tiene Jaime del concepto de límite no le permite concluir que Aquiles efectivamente alcanza la tortuga, para él el límite es un proceso de acercamiento infinito que jamás se alcanza. Creemos que esto está íntimamente relacionado con la concepción que tiene del conjunto de los números naturales. Ya que el proceso de acercamiento infinito inmerso en el límite, se realiza a través de este conjunto (es el límite de una sucesión) y al no concebirlo como un ente estático concluye que Aquiles se acercará infinitamente a la tortuga sin poder alcanzarla. Aunque Jaime sabe que el límite converge, esta convergencia no le da una idea estática del proceso que construyó.
Ahora analizaremos el caso de Dalia, ella logra construir una serie que se relaciona con la sucesión que Julio propone. Pero al analizar el límite de la serie acepta que Aquiles alcanza a la tortuga dado que esa suma infinita converge. Como mostraremos, esto se da gracias a que logra aplicar el mecanismo de completez, al ver el conjunto de los números naturales de forma estática.
Dalia: “ Va a llegar un momento donde la va a alcanzar”. A pesar que inicialmente Dalia piensa que Aquiles no alcanza a la tortuga, logra determinar que la suma infinita de los recorridos realizados por Aquiles en cada iteración es convergente, y además, que la serie que forman los recorridos de la tortuga, si se le suma la ventaja inicial, converge al mismo punto.
Dalia: ¡Esa es convergente, es convergente! Lo que no me acuerdo es cuánto me da.
¡Ay! creo que debe partir de cero… No me acuerdo cuánto da, abajo me da uno menos un décimo, no, no me acuerdo cuál es el resultado.
Entrevistadora: ¿Qué es la convergencia en este caso?
Dalia: Eso significa que… Espere un momento, esa distancia entonces no es infinita, va a llegar un momento donde la va a alcanzar.
Lo anterior le permite cambiar su conclusión inicial, ahora piensa que como las distancias recorridas se van haciendo más pequeñas, se puede determinar el punto en que Aquiles va a alcanzar a la tortuga y que esto se puede garantizar precisamente por la convergencia de la suma de esas distancias. Vemos que su forma de interpretar la serie ha dejado de ser dinámica, ya no la ve como un proceso infinito de adición sino que puede pensar en esa cantidad que es el resultado final que se obtiene después de sumar todos los términos de la serie. Ha empezado a ver el proceso iterativo infinito como un todo y ha comprendido que el punto de alcance es el objeto que trasciende de dicho proceso.
Entrevistadora: ¿Qué quiere decir eso en el sentido del problema?
Dalia: Que en algún momento esa distancia va a ser finita. Ahora, a medida que vamos sumando (señalando la sumatoria de los recorridos de Aquiles) estos términos cada vez van a ser más pequeños entonces este señor si va a alcanzar a la tortuga. Esta distancia que él va recorriendo entre más grande sea el exponente, va a tender a ser más pequeñito, entonces sí va llegar un momento donde la alcanza.
Entrevistadora: ¿En qué momento sería o cómo? O sea, ¿puedo escoger una iteración en la cual efectivamente la alcanza?
Dalia: Sí pero no sé cómo, encontrando el valor de la suma ¿no? Encontrando el valor de la suma pero no me acuerdo cómo se resuelve.
Cuando Dalia responde que puede determinar una iteración creemos que en realidad hace referencia a que puede determinar el punto donde se alcanzan, es decir, el punto en el que Aquiles alcanza a la tortuga.
Hemos evidenciado dos concepciones diferentes del mismo concepto matemático, debemos recordar que el límite es en sí mismo un contexto que encierra la naturaleza dual del infinito. Poder ver el proceso de acercamiento infinito del límite como terminado es ver el límite como un objeto, un objeto que trasciende de dicho proceso. La capacidad que tenga el individuo de ver el conjunto de los números naturales como un todo le permitirá ver el proceso de acercamiento del límite agotarse. Aunque en términos dinámicos esto no ocurra, en un sentido actual sí. De esta manera, justificamos que a pesar que Jaime y Dalia lograron plantear dos situaciones matemáticamente correctas de la paradoja, sus conclusiones no fueron las mismas, ya que poseen concepciones distintas de la misma noción (una concepción dinámica y estática, respectivamente).
CARACTERIZACIÓN DEL OBJETO TRASCENDENTE
Julio logra expresar los procesos iterativos en términos generales y coordinarlos eficazmente en uno único que posteriormente analiza en su situación al límite, lo que le permite concluir que el triángulo de Sierpin´ ski tiene perímetro infinito.
Julio: Entonces uno pensaría que si yo sacara el perímetro en términos del n – ésimo REVISAR CON EL PDF ECUACIÓN PROBABLE paso entonces sería, paso 0, paso 1, paso 2, …, entonces el paso n sería 
Que esto sería igual a:

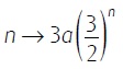
A uno en estas cosas le dicen que mande esto al infinito y si usted manda esto al infinito el Pn pues diverge.

Esto se mantiene constante (señalando el perímetro inicial) pero es que esta cosa (3/2) es mayor que 1. Entonces una sucesión que tenga un número mayor que 1, 2 si n es mayor que uno de una sucesión a la n , esa cosa diverge. Entonces me queda expresado eso y entonces yo le diría que el perímetro sería infinito.
Podemos observar que Julio acepta que el perímetro del triángulo de Sierpin´ski sea infinito y además propone una reflexión interesante que nos permite concluir que ha construido el objeto trascendente.
Julio: Entonces me queda expresado eso y entonces yo diría que el perímetro sería infinito, a pesar de que cabe en la palma de la mano ¿no? Es como lo… Por ejemplo, yo tomo aquí una longitud a, de tal manera que me quepa en la mano (haciendo referencia al triángulo inicial) pero cada vez como que empiezo a hacer el fractal, eso es curioso ¿no? A pesar de que es de perímetro infinito pero yo lo puedo coger con la mano, si yo tomo un a adecuado, por ejemplo si yo tomo un a de 2 cm, me cabe acá en la mano pero empiezo a hacer Sierpinski y queda infinito. Eso es lo paradójico ¿no? Uno no lo ve porque uno pensaría que infinito no va a caber nunca en la sala, ni en el planeta tierra, pero cabe ¿no? Entonces yo diría que el perímetro es infinito.
Con esta afirmación podemos ver que Julio acepta el hecho de que una figura, acabada, tenga perímetro infinito y ocupe un área finita o cero. A pesar de que puedan resultarle paradójicas, ha comprendido las características del triángulo de Sierpinski, con lo cual entendemos que ha podido abstraer el objeto que trasciende del proceso iterativo infinito que construyó.
CONCLUSIONES
En esta investigación tomamos como referente la descomposición genética genérica planteada por Roa-Fuentes y Oktaç (2014), usándola para desarrollar el Análisis Teórico en dos contextos: la paradoja de Aquiles y la tortuga (versión general y particular) y la construcción del triángulo de Sierpinski a partir de un proceso de iteración. Aunque la construcción del infinito matemático se ve supeditada al contexto, la determinación de un modelo genérico de construcción de esta noción es de vital importancia para su estudio. La validación de la descomposición genética genérica en diferentes contextos y poblaciones nos acerca de forma efectiva a la comprensión de la construcción cognitiva del infinito matemático en términos generales.
El análisis de los datos presentados concuerda con aspectos puntuales tomados en cuenta en las descomposiciones genéticas. Aunque los análisis particulares pueden encontrarse en Villabona (2015), es claro que la validación de los datos muestra un modelo efectivo de construcción del infinito matemático por medio de la construcción de procesos iterativos infinitos (concepción dinámica) y objetos que trascienden de dichos procesos (concepción estática). Las concepciones primarias (dinámicas y estáticas) que se evidenciaron en el análisis de datos, están caracterizadas por la identificación de los procesos inmersos en los contextos más no por su construcción. Los argumentos que respaldan este tipo de concepciones son tomados del mundo real o de la visión potencial que tiene el individuo del infinito matemático. Un ejemplo de estos argumentos pueden ser: “Aquiles no alcanza a la tortuga porque el proceso sigue sin fin”, “Aquiles siempre se encontrará detrás de la tortuga sin importar qué tan pequeña sea la distancia que los separa”, “el triángulo de Sierpin´ ski no es una figura terminada” o “no existe un terreno rectilíneo que pueda albergar una competencia infinita, por lo tanto, Aquiles tendría que alcanzar la tortuga”.
Evidenciamos la importancia que tienen las acciones a la hora de construir cualquier estructura más compleja. La necesidad de reflexionar sobre esas acciones y cómo se enumeran a través de “iteraciones”, va dejando ver la estrecha relación que tendrá el proceso que se construya con el conjunto de los números naturales.
Nuestra investigación ha logrado mostrar evidencias de la importancia del conjunto de los números naturales en la construcción del infinito matemático. La concepción dinámica o estática que un individuo pueda lograr de este conjunto, determina su capacidad para alcanzar la construcción del objeto que trasciende de un proceso iterativo infinito. El nivel de formación y la experiencia de la población con la que trabajamos permitió que sus razonamientos se centraran en el análisis de las situaciones propuestas por medio del concepto de límite.
Es clara la relación que existe entre la capacidad que tenga un individuo de ver el conjunto de los números naturales como un todo y la capacidad que tiene de ver el proceso de acercamiento infinito terminado inmerso en el límite. A pesar que consideramos que el concepto de límite no debe ser incluido en la caracterización del mecanismo de completez debido a que por sí sólo es un contexto del infinito (solucionar un límite es enfrentarse a la dualidad potencial y actual del infinito), sí debe incluirse la concepción objeto del conjunto de los números naturales que es necesaria para que el individuo pueda construir el límite como un objeto que trasciende del proceso de acercamiento infinito anteriormente mencionado. Muchas situaciones que involucran el infinito matemático se resumen en solucionar el problema del límite como un contexto del infinito, hemos evidenciado dos (la paradoja de Aquiles y la tortuga y la construcción del triángulo de Sierpinski) pero creemos que en general, todas las situaciones en cuyo contexto se puedan determinar procesos iterativos infinitos numerables podrán ser asociadas a este concepto.
La construcción de un único proceso iterativo infinito a partir de otros es de vital importancia para situaciones como las planteadas en esta investigación. Sin embargo, es poco lo que se ha podido indagar sobre cómo se lleva a cabo la coordinación de procesos, sobre todo si son de naturaleza diferente. A pesar que existen planteamientos hipotéticos de la forma en la que se desarrolla este mecanismo, no contamos aún con evidencias claras sobre cómo se da éste en la mente de un individuo. Consideramos que es necesario llevar a cabo diversas investigaciones que nos permitan estudiar con más profundidad la coordinación y de esta manera ganar mayor claridad sobre cómo se construye el infinito estático en la mente de un individuo.
Particularmente, es fundamental encontrar contextos en donde el infinito aparezca inicialmente de forma estática y sea necesario volver al proceso iterativo que lo originó. Esto permitiría analizar con más detalle las características del mecanismo que le permite a un individuo, en un contexto específico, ir de una estructura proceso a una objeto y viceversa. Un ejemplo de esta situación es la paradoja conocida como el hotel de Hilbert, la cual ya ha sido estudiada a través de la teoría APOE (Mamolo y Zaskis, 2008; Roa-Fuentes y Oktaç, 2014; Villabona, 2015). Esta paradoja permite analizar los argumentos que se relacionan con la dificultad de aceptar el infinito actual que se puede identificar en el contexto de la situación. Los contextos de este tipo son tomados en cuenta en la descomposición genética genérica, de manera que haciendo uso de ella se pueden proponer análisis teóricos para situaciones similares.
En nuestros datos no ha sido posible identificar una estructura que se encuentre entre las tradicionales proceso y objeto. Creemos que esto se debe a que nuestros contextos no buscaban que el individuo, una vez que construyera el objeto trascendente, realizara acciones sobre él. Para nosotros, el individuo alcanzaba una concepción objeto cuando podía ver el proceso iterativo infinito como un todo. A diferencia del contexto en el que fueron encontradas evidencias de la llamada estructura Totality (Dubinsky et al., 2013), la cual fue diseñado para que una vez se aceptara la igualdad
(ver el proceso como un todo) se resolviera la ecuación
(lo cual supone realizar acciones sobre esa totalidad). Consideramos que es necesario llevar a cabo investigaciones en las que se estudien diferentes contextos en los que además de estructurarse el proceso iterativo infinito como una totalidad, se deban realizar acciones sobre ésta. Lo cual permitiría encontrar evidencias empíricas que permitan respaldar la idea de una nueva estructura, haciendo que la teoría APOE evolucione junto con el estudio del infinito matemático.
Agradecimientos
Este proyecto fue parcialmente financiado por el Programa de Movilidad 2014 de la Vicerrectoría de Investigación y Extensión de la Universidad Industrial de Santander (VIE-UIS) y el Proyecto 5752 de la misma dependencia.
Referencias
Arnon, I., Dubinsky, E., Cottrill, J., Oktaç, A., Roa-Fuentes, S., Trigueros, M., Weller, K. (2014). Apos theory-a framework for research and curriculum development in mathematics education. New York: Springer.
Asiala, M., Brown, A., DeVries, D., Dubinsky, E., Mathews, D., Thomas, K. (1996). “A Framework for Research and Curriculum Development in Undergraduate Mathematics Education”. Research in Collegiate Mathematics Education, II. In J. Kaput, A. H. Schoenfeld & E. Dubinsky (Eds.) CBMS Issues in Mathematics Education, 6, 1-32.
Baker, B., Cooley, L. & Trigueros, M. (2000). “A calculus Graphing Schema”. Journal of Research in Mathematics, 31(5), 557-578.
Belmonte, J. y Sierra, M. (2011). “Modelos intuitivos del infinito y patrones de evolución nivelar ”, Revista Latinoamericana de Investigación en Matemática Educativa, 14(2), 139-171.
Breidenbach, D., Dubinsky, E., Hawks, J., Nichols, D. (1992). “Development of the Process Conception of Function”, Educational Studies in Mathematics, 23(3), 247-285.
Brown, A., McDonald, M. & Weller, K. (2010). “Step by Step: Infinite Iterative Processes and Actual Infinity ”. CBMS Issues in Mathematics Education, 16, 115-141.
Carlson, M. & Oehrtman, M. Key aspects of knowing and learning the concept of function, Mathematical Association of America Research Sampler, Research Sampler 9, 2005.
Castro, I. y Pérez, J. (2007). Un paseo finito por lo infinito. El infinito en matemáticas. Bogotá: Editorial Pontificia Universidad Javeriana.
Dubinsky, E. (1991). “Reflective Abstraction in Advanced Mathematical Thinking”. En D. Tall (Ed.), Advanced Mathematical Thinking. Dordrecht: Kluwer. pp. 95-123.
Dubinsky, E. (1994). “A Theory and Practice of Learning College Mathematics”. En A. Schoenfeld (Ed.), Mathematical Thinking and Problem Solving. Hillsdale, NJ: Erslbaum. pp. 22-247.
Dubinsky, E., Weller, K., McDonald, M., Brown, A. (2005a). “Some Historical Issues and Paradoxes Regarding the Concept of Infinity: An APOS-Based analysis: Part 1”. Educational Studies in Mathematics, 58, 335-359.
Dubinsky, E., Weller, K., McDonald, M., Brown, A. (2005b). “Some Historical Issues and Paradoxes Regarding the Concept of Infinity: An APOS analysis: Part 2”. Educational Studies in Mathematics, 60, 253-266.
Dubinsky, E., Weller, K. & Arnon, I. (2013). “Preservice Teachers’ Understanding of the Relation Between a Fraction or Integer and its Decimal Expansion: The Case of 0.999… and 1”. Canadian Journal of Science, Mathematics, and Technology Education. 13(3), 232-258.
Dubinsky, E. & Wilson, R. (2013). “High School Students’ Understanding of the Function Concept ”, Journal of Mathematical Behavior, 23, 83-102.
Fischbein, E. (1978). “Intuition and Mathematical Education”. Osnabrücker Schriften zür Mathematik 1, 148-176.
Fischbein, E., Tirosh, D., Hess, P. (1979). “ The Intuition of Infinity ”. Educational Studies in Mathematics, 10 (1), 491-512.
Fischbein, E. (2001). “ Tacit Models and Infinity ”. Educational Studies in Mathematics, 23(48), 309-329.
Lakoff, G. & Núñez, R. (2000). The Embodiment of Infinity. Where Mathematics Comes From. How the Embodied Mind Brings Mathematics into Being. Basic Books, New York.
Mamolo, A. & Zazkis, R. (2008). “Paradoxes as a Window to Infinity”. Research in Mathematics Education, 10 (2), 167-182.
Roa-Fuentes, S. (2012). “El infinito: Un análisis cognitivo de niños y jóvenes talento en matemáticas”. Tesis de doctorado no publicada. Centro de Investigación y de Estudios Avanzados del IPN. México.
Roa-Fuentes, S. & Oktaç, A. (2010). “Construcción de una descomposición genética: Análisis teórico del concepto transformación lineal”. Revista Latinoamericana de Investigación en Matemática Educativa, 13(1), 89-112
Roa-Fuentes, S. & Oktaç, A. (2014). “El infinito potencial y actual: descripción de caminos cognitivos para su construcción en un contexto de paradojas”. Educación Matemática, 26(1), 73-101.
Sabogal, S. y Arenas, G. (2011). Una introducción a la geometría fractal. Bucaramanga: Publicaciones Universidad Industrial de Santander.
Stenger, C., Weller, K., Arnon, I., Dubinsky, E., Vidakovic, D. (2008). “A Search for a Constructivist Approach for Understanding the Uncountable Set”. Revista Latinoamericana de Investigación en Matemática Educativa, 11(1), 93-125.
Tall, D. (1980). “ The Notion of Infinite Measuring Number and its Relevance in the Intuition of Infinity ”. Educational Studies in Mathematics, 11, 271-284.
Villabona, D. (2015). “Construcciones dinámicas y estáticas del infinito: Un análisis teórico en un contexto de paradojas”. Tesis de maestría no publicada. Universidad Industrial de Santander. Colombia.
Weller, K., Brown, A., Dubinsky, E., McDonald, M., Stenger, C. (2004). “Intimations of Infinity”. Notices of the AMS, 51(7), 741-750.
Notas