Resumo: Se reportan procedimientos que estudiantes egresados de bachillerato muestran al resolver un problema no típicamente escolar de geometría analítica, relacionado con el lugar geométrico de elipse. El estudio se hizo con 95 estudiantes (55 hombres y 40 mujeres) que participaron en un concurso institucional de conocimientos matemáticos de bachillerato. Los datos se analizaron mediante el método de análisis temático para obtener categorías de los elementos comunes y distinguir los patrones de resolución en términos de procedimientos. Las categorías obtenidas se analizaron en relación con el estable-cimiento de relaciones geométricas, la construcción de un sistema de referencia semiótico y la construcción de la fórmula de una elipse. Estas con-sideraciones derivan de estudios histórico-epistemológicos previos como sustento teórico. Los resultados sugieren un desconocimiento de los participantes sobre el proceso de construcción de la elipse, en particular, y en lo general, una falta de conexión entre conocimiento conceptual y procedimental del aprendizaje geométrico analítico adquirido en la escuela.
Palabras clave: Geometría analítica, procedimientos de estudiantes, lugar geométrico, epistemología histórica, egresados de bachillerato.
Abstract: We report the procedures that high school graduates show when they solve a not typically school analytic geometry problem related to the geometric locus of ellipse. The study was conducted with 95 students (55 males and 40 females) who participated in an institutional contest of high school mathematical knowledge. The data were analyzed using the thematic analysis method to obtain categories of common elements and to distinguish resolution patterns in terms of procedures. The categories obtained were analyzed in relation to the establishment of geometric relations, the construction of a semiotic reference system and the construction of the formula of an ellipse. These considerations derive from previous historical-epistemological studies as a theoretical support. The results suggest a lack of knowledge of the participants about the process of construction of the ellipse, particularly, and in general, a lack of connection between conceptual and procedural knowledge of analytic geometric learned at school.
Keywords: Analytic geometry, student procedures, geometric locus, baccalaure-ate, historical epistemology, high school graduates.
ARTÍCULOS DE INVESTIGACIÓN
Procedimientos de estudiantes egresados de bachillerato al resolver un problema de geometría analítica
Procedures of high school graduates when solving an analytic geometry problema
Recepción: 22 Enero 2023
Aprobación: 23 Enero 2024
Diversas investigaciones muestran que los estudiantes tienen problemas para desempeñarse de manera adecuada en el área de la geometría (Sinclair & Bruce, 2015). Algunos investigadores consideran que esto se debe al poco énfasis e inadecuada atención que se le da a la educación geométrica, comparándola con la de otras áreas de las matemáticas como la aritmética, el álgebra y cálculo (Charalambos & Pitta-Pantazi, 2016; Clements & Sarama, 2011; Jones & Tzekaki, 2016; Sinclair & Bruce, 2015). Es así como en la enseñanza de la geometría se ha tendido a sobrevalorar los aspectos aritméticos y algebraicos, restándole importancia a otros aspectos propios de la geometría (Sinclair et al, 2016). En consecuencia, “los cálculos sobre objetos geométricos hoy día se han convertido en actividades algebraicas. Estas no responden a la experiencia intuitiva de los estudiantes con estos objetos ni a su pensamiento” (Gulikers & Blom, 2001, p. 241).
En el caso específico de la geometría analítica se ha detectado que esta ha recibido mucho menos atención por parte de las investigaciones e innovaciones curriculares. Una posible razón puede ser la mencionada por Nadler (1969) en la cita siguiente:
La geometría analítica se ha ido muriendo como curso independiente. […] Esta asignatura ha ido perdiendo su estatus de curso de matemáticas, y su contenido ha sido únicamente reconocido parcial o simbólicamente por su inclusión en el precálculo o en los cursos de cálculo elemental. (Nadler, 1969, p. 447)
Una revisión bibliográfica permite argumentar que la información en torno a los procesos de enseñanza y aprendizaje de la geometría analítica es muy restringida y puede verse en los trabajos de Aroca Araújo (2019); Jahn (2002); Jones & Tzekaki (2016); Owens & Outhred (2006). Además, en compilaciones generales tales como la Encyclopedia of Mathematics Education (Lerman, 2019), hand-books (v.g. Jones & Tzekaki, 2016; Owens & Outhred, 2015) y surveys (v.g. Sinclair & Bruce, 2015; Sinclair et al, 2016) que abordan los avances en materia de educación geométrica, no existen explícitamente entradas específicas para la geometría analítica a diferencia del álgebra, la geometría, número, probabilidad y cálculo, por lo que en el mejor de los casos, los resultados se incrustan en apartados generales respecto a la enseñanza y aprendizaje de la geometría.
Algunos estudios (Khalil et al, 2018) han buscado fortalecer metodologías, modelos y marcos de referencia para el desarrollo del pensamiento geométrico-analítico en los estudiantes. Costa (2011) y Henríquez-Rivas & Montoya-Delgadillo (2016) ejemplifican el tipo de marcos teóricos empleados para mejorar la articulación de la geometría sintética con la analítica debido a una notoria desarticulación entre ellas (Florio, 2020; Gascón, 2002). Otro grupo de trabajos han planteado usar a la tecnología como medio para mejorar la enseñanza de la geometría analítica por sus ventajas en la visualización, representación, experimentación y significación de elementos y relaciones entre ecuaciones algebraicas y propiedades geométricas (v.g. Jahn, 2002; Schumann, 2003a, 2003b; Ferrarello et al., 2014, 2017; Khalil et al, 2018).
Por otra parte, también se han reportado dificultades sobre la comprensión y profundidad que, tanto estudiantes como profesores, tienen sobre la noción de “lugar geométrico” (Jahn, 2002; Ferrarello et al, 2014, 2017) así como con la conversión entre registros de representación semiótica (Justin et al., 2014) y la visualización de problemas geométrico-analíticas en (Schumann, 2003a). Al respecto, los trabajos de Aldana y López (2018); Florio (2020); Amadeo (2018); López-Acosta (2023); López-Acosta y Montiel (2021, 2022), ofrecen algunos ejemplos de estudios relativos a contenidos geométricos específicos, entre ellos, lugar geométrico, cónicas, recta numérica y la actividad analítica-algebraica bajo enfoques histórico-epistemológicos. Sin embargo, es clara la falta de planteamientos específicos que orienten la didáctica de la geometría analítica en general y que permitan caracterizar las dificultades de su aprendizaje, principalmente porque no existen caracterizaciones robustas respecto a la naturaleza de la actividad geométrica-analítica. Dicho de otra forma, no se suelen cuestionar los elementos constituyentes de esta práctica matemática, como las nociones de lugar geométrico; el método de la geometría analítica; y las diferencias entre la actividad geométrica sintética con la analítica, más allá del uso de registros algebraicos de representación, o de las coordenadas rectangulares.
Es así como en esta investigación se examinan los procedimientos geométricos-analíticos de estudiantes egresados de bachillerato al resolver un problema no típicamente escolar que implica un trabajo geométrico robusto, sustentado en el establecimiento de relaciones geométricas, la construcción de un sistema de referencia semiótico específico y la construcción de una fórmula (ecuación) asociada a una elipse. Estas consideraciones surgen a partir de los estudios de López-Acosta (2023), López-Acosta & Montiel (2021, 2022), los cuales explicaremos en el siguiente apartado.
En este tenor, se aportan algunas ideas sobre los conocimientos geométricos-analíticos que se promueven en la escuela, a partir de los procedimientos de resolución por parte de estudiantes de bachillerato.
La investigación se enmarca en los trabajos de López-Acosta (2023)) y López-Acosta y Montiel (2021, 2022), los cuales recurren a la Teoría Socioepistemológica (Cantoral, 2013), para determinar el contexto de significación de la ecuación paramétrica. Esta teoría recurre a estudios histórico-epistemológicos con la finalidad de construir hipótesis epistemológicas, que recuperan la génesis de los saberes, en términos de las prácticas y las circunstancias socioculturales que condicionan tales prácticas. Las hipótesis epistemológicas, como en otras posturas, generan epistemologías alternativas a los modelos epistemológicos escolares prevalentes (ver p. ej., Gascón, 2014), para robustecerse y construir vías alternas de tratamiento escolar orientadas al desarrollo del pensamiento matemático.
Los hallazgos en los estudios mencionados reportan que la actividad analítica-algebraica tiene sus vestigios no exclusivamente en Descartes y Fermat, sino también en Viète. Actividad que no dependía de las coordenadas rectangulares, sino de la creación de un álgebra para la geometría, es decir, del estudio de la geometría adaptando y fusionando la herramienta algebraica de sus predecesores con el método de análisis geométrico griego. Se explica, por ejemplo, que las rectas numéricas, que componen el llamado eje cartesiano, fueron una invención con finalidades didácticas y no matemáticas. “La línea numérica es una noción matemática con fines pedagógicos, para ofrecer una introducción al alumno en el estudio de las curvas mediante sus representaciones algebraicas” (Amadeo, 2018, p. 919). Incluso la concepción misma que se ha instaurado en el discurso escolar respecto al eje cartesiano; aquella que atribuye su invención a Descartes en 1637, y que en términos sintéticos consiste en un par de rectas ortogonales que definen un sistema rectangular de coordenadas (Lehman, 1989), es una idea parcial de la verdadera construcción de Descartes en el apéndice de La Geometrié, toda vez que los sistemas de referencia empleados por este no necesariamente cumplían la propiedad de ser ortogonales, como mostraremos con en el problema de Pappus.
Hoy en día se suele pensar que la idea original de la geometría analítica del plano era identificar un punto del plano mediante dos coordenadas. Esto es ciertamente parte de la verdad, pero sólo una parte muy pequeña. El problema en el origen de la geometría analítica era mucho más profundo: toda ecuación en dos variables representa una curva en el plano, y a la inversa. (Borceux, 2014, p. 1)
La necesidad por construir un álgebra para la geometría, como señala Oaks (2018), obligó a Viète y, también a Descartes a estudiar y aplicar sus respectivos métodos a la demostración de propiedades geométricas y resolución de problemas geométricos con una complejidad distinta a sus predecesores (López-Acosta, 2023; López-Acosta & Montiel, 2021, 2022). Esta complejidad radicaba, en el hecho de que las relaciones involucradas en este tipo de problemas subyacían en los elementos directos que aparecían en los diagramas geométricos sobre los que se investiga; además de que también eran catalogados de esa forma por la dificultad atribuida en la tradición geométrica griega previa.
Por ejemplo, en la figura 1 mostramos un ejemplo de problema que resuelve Viète, relacionado con la trisección del ángulo (problema clásico griego), en el cual demuestra una propiedad que cumplen dos triángulos isósceles, donde la medida de los ángulos de la base de uno de ellos es un tercio de la medida de los ángulos del otro , además los lados iguales de ambos triángulos son iguales. Viète demuestra que se cumple, en términos anacrónicos, la siguiente relación: , donde x representa la base del triángulo , cuyos ángulos base tienen la medida de un tercio de las medidas del triángulo . El parámetro z representa la medida de los lados iguales a los dos triángulos que son conocidos . Un desglose del procedimiento completo de resolución puede encontrarse en López-Acosta (2023) y López-Acosta y Montiel (2022).

En la figura 2 mostramos el caso del problema de Pappus para cuatro líneas. Problema de locus que fue catalogado como uno de los problemas famosos por no haber sido resuelto satisfactoriamente por geómetras griegos de la antigüedad como Euclides y Apollonio. Este problema consistía en determinar el lugar geométrico que cumplen los puntos determinados por la intersección C de cuatro líneas (CB, CD, CF y CH) que son construidas a partir de otras cuatro rectas fijas (AB, AD, EF y GH), con ángulos fijos y que cumplen la condición de que el producto de dos de ellas es igual al producto de las otras dos, es decir, en el caso abordado por Descartes, se debe cumplir que CB∙CF=CD∙CH. Los argumentos de diversos historiadores(as) de las matemáticas (p. ej., Bos, 2001; Oaks, 2018; Sasaki, 2003) señalan que para Descartes, fue la resolución de este problema lo que le permitió construir su nueva álgebra de segmentos, el paso definitivo hacia el álgebra que esencialmente conocemos hoy día y, propiamente, el método de la geometría analítica. Para una discusión más completa al respecto y un desglose del procedimiento de resolución completo, véase López-Acosta (2023) y López-Acosta y Montiel (2021).
Como se reporta en López-Acosta (2023) y López-Acosta y Montiel (2021, 2022), esta articulación entre el álgebra y la geometría definió un método que parte del establecimiento de relaciones de equivalencia de distinta índole y la construcción de sistemas de designación que permitieran distinguir sistemáticamente entre cantidades conocidas y desconocidas. Esto con base en las condiciones geométricas impuestas por el problema. Con estas acciones se busca la construcción de fórmulas y expresiones generales para representar familias de soluciones o de curvas. Así, a pesar de haber estado separados en el tiempo, los desarrollos de Viète y Descartes, lograron la algebrización de la geometría como un todo coherente. En este proceso, la noción de proporción fue fundamental, pues como señala Klein (1968), permitió el puente entre relaciones geométricas de equivalencia y la igualdad algebraica: la ecuación. Sin embargo, si bien gran parte de las relaciones que se convertían en ecuaciones eran proporciones, es factible pensar que, desde la postura de Heeffeer (2014) respecto a la justificación epistémica de los procedimientos empleados por ambos matemáticos, toda relación de equivalencia es susceptible de ser conceptualizada como ecuación algebraica.
Lo anterior, permite observar inconsistencias entre la naturaleza epistemológica original de la geometría analítica y los modelos epistemológicos prevalentes en la escuela hoy día, así como la falta de marcos y modelos de referencia para desarrollar el pensamiento geométrico y analítico de los estudiantes, como hemos identificado en la revisión de literatura.
Una ruta viable, que emerge de este enfoque teórico, para promover dicho pensamiento, consiste en un tratamiento geométrico de los problemas que trascienda del uso de fórmulas y de la ubicación mediante pares coordenados, hacia un enfoque en los procesos geométricos de construcción y de indagación de relaciones geométricas vía el álgebra. Esta idea se apoya en el hecho de que, por ejemplo, en la resolución del problema de Pappus por Descartes, se observa claramente que para él no era necesario un sistema de referencia ortogonal, como mostramos en la figura 3. La idea original de Descartes era representar las relaciones geométricas involucradas en los problemas a partir de dos cantidades variables, e sin especificar alguna condición sobre la ortogonalidad. Además, otro aspecto importante del análisis de las producciones de Descartes es la ausencia de coordenadas. Tales aspectos muestran que la práctica matemática en su génesis es más compleja que la práctica escolar, pues la ortogonalidad y las coordenadas son elementos cruciales de esta última.

Esta investigación es cualitativa, de naturaleza exploratoria, en concordancia con la ausencia de marcos de referencia específicos para caracterizar la práctica matemática geométrica-analítica en situación escolar y, por nuestro interés de examinar los procedimientos geométricos-analíticos que ponen en juego los estudiantes, al resolver un problema con las características mencionadas en el apartado anterior. En particular, establecer relaciones geométricas, construir un sistema de referencia semiótico y construir una fórmula (ecuación) asociada a una elipse.
El estudio se realizó con un grupo de 95 estudiantes (55 hombres y 40 mujeres) que recién habían concluido sus estudios de bachillerato mexicano (nivel que incluye jóvenes con edad aproximada de entre 15 a 19 años) y, participaron en un concurso de conocimientos matemáticos. Dicho concurso se lleva a cabo de manera anual en una institución de educación superior con el objetivo de difundir y fomentar el estudio de las matemáticas entre los jóvenes del Sureste de México y se evalúan los conocimientos de álgebra, trigonometría, geometría, geometría analítica, precálculo, probabilidad y estadística en el nivel bachillerato. Los estudiantes que participan suelen ser preparados para ello o bien, son seleccionados por sus respectivas escuelas con base en su buen, o excelente desempeño en matemáticas durante todo el bachillerato. Por lo tanto, sus conocimientos previos, en todas las áreas antes mencionadas, incluidas la de geometría analítica, resultan ser en lo general robustos y más completos que cualquier(a) estudiante promedio de este nivel. Como se muestra en las evidencias, el conocimiento escolar tradicional de los lugares geométricos, como el de la elipse es claro.
Es así como mediante la implementación de un problema de geometría analítica que, formó parte de la prueba escrita empleada en el concurso, se recolectaron los datos para su posterior procesamiento y análisis mediante las respuestas entregadas. El tiempo establecido para resolver el problema fue de 30 a 45 minutos como máximo y los estudiantes podían emplear sus conocimientos previos, sin restricción alguna para dar la solución. El problema se retomó de Vasíliev y Gutenmájer (1980) y consistió en demostrar que sí sobre los ejes coordenados se mueve un segmento de longitud fija, el lugar geométrico que describe el movimiento de un punto fijo sobre el segmento, es una elipse. Cabe mencionar que por la naturaleza de la exploración, ningún(a) estudiante había resuelto un problema de este tipo, así como otros problemas también incluidos en el examen. A continuación, se muestra el problema tal cual fue planteado.
Problema: Sobre los ejes cartesianos se coloca un segmento AB de longitud fija, y sobre este segmento se fija también un punto M con coordenadas (x, y) . Demuestra que M se mueve sobre una elipse si el segmento se desliza sobre los ejes, como se representa en la figura 4.

Como puede notarse, en el problema se especificó el tipo de curva que describía el punto M cuando el segmento AB se mueve bajo las condiciones dadas. La especificación de la curva se hizo por dos razones. Por un lado, ver si los estudiantes podían establecer relaciones geométricas, construir un sistema de referencia semiótico específico y formular la ecuación asociada a la elipse. Por otro lado, ver cómo usaban sus conocimientos previos de geometría analítica en relación con la génesis epistemológica.
Un posible tratamiento eficaz de este problema, desde las consideraciones epistemológicas previamente discutidas, consistiría en primero identificar los elementos que son necesarios para determinar la ecuación, es decir, los parámetros y las variables, como se muestra en la figura 5. Esto implica el establecimiento de un sistema semiótico para distinguir las variables y su dependencia de los parámetros involucrados en la construcción.

El siguiente paso para la resolución es la determinación de las relaciones geométricas que involucran a los parámetros y variables. Por ejemplo, identificar que el triángulo AOB es un triángulo rectángulo, por lo cual se cumple que , así como también que además los triángulos rectángulos ACM y MDB son semejantes. Por lo tanto, se cumplen las siguientes proporciones:
Con estas relaciones geométricas, y junto con otras relaciones aritméticas, como , , y la respectiva manipulación simbólica, es posible obtener la ecuación:
La cual representa una elipse con semieje mayor a y semieje menor b.
Nótese cómo el problema requiere sustancialmente un trabajo geométrico, por sobre una mera traducción entre registros de representación. Es decir, la conversión de representaciones entre registros puede tener lugar sí y solo sí las relaciones geométricas de interés son detectadas. Y posteriormente a este hecho, el tratamiento algebraico permite la deducción de la regla general, vía el sistema semiótico designado al principio.
Se hizo mediante el Análisis Temático para obtener de manera progresiva, una abstracción de códigos y categorías que determinaran los elementos en común y que permitieran distinguir los patrones de resolución (Braun y Clarke, 2006); Mieles-Barrera et al, 2012). Las categorías obtenidas se analizaron en relación con el establecimiento de relaciones geométricas, la construcción de un sistema de referencia semiótico y la construcción de una fórmula asociada a la elipse dada, tal y como se reconoce en el desarrollo histórico-conceptual de la geometría analítica (López-Acosta, 2023; López-Acosta & Montiel, 2021, 2022) destacados en la fundamentación teórica. Al final del proceso se obtuvieran categorías y patrones globales que describen los alcances de los procedimientos empleados por los estudiantes en el problema. Cabe mencionar que un(a) estudiante pudiera presentar más de una de las categorías.
Esta investigación examinó los procedimientos geométricos-analíticos de estudiantes egresados de bachillerato al resolver un problema geométrico. Con base en el análisis de los datos se obtuvo una clasificación de cinco tipos de procedimientos tal como se describe a continuación. Cabe destacar que poco más de la mitad de los estudiantes participantes (48 estudiantes) no logró establecer algún tipo de procedimiento, o bien, se limitó a transcribir los datos del problema en su hoja de trabajo sin realizar alguna otra acción concreta. En este sentido, los estudiantes que entregaron sus hojas de trabajo, se limitaron a usar diagramas para representar el problema y algunos de los datos. En la figura 6 se muestra este hecho.

A continuación, mostraremos las cinco categorías de producciones de aquellos(as) estudiantes que propusieron algún tipo de procedimiento:
1. Visualización de la curva vía exploración inductiva. Este tipo de procedimiento se caracterizó por recurrir a la exploración inductiva de varios casos específicos en los que se ubicaría el segmento AB, con la finalidad de comprender la situación. Esto por medio de la visualización del comportamiento del punto M en el proceso de conformación de la curva. En la figura 7 se representa este tipo de procedimiento.

Por ejemplo, en la explicación de la esquina inferior izquierda se menciona:
Estudiante: Si al punto M le otorgamos valores en mi caso (5,3) y empezamos a deslizar la recta haciendo que en el eje “y ” aumenten y en el eje “x ” disminuyan teniendo otra recta en (6,6) y en (4,4) y así sucesivamente hasta llegar a las coordenadas (1,7) será posible observar la curva que forman los puntos.
En este sentido, siguiendo esta explicación y las otras respuestas, se observa cómo se realizan distintos trazos del segmento para detectar, de manera aproximada, el rastro del punto M sobre el plano. Todas las producciones en esta categorización (30 estudiantes) se limitaron a esta exploración, sin proponer algún otro tipo de acercamiento o estrategia para resolver el problema. Por esta razón el procedimiento y el alcance de la resolución de este grupo de estudiantes se limita a la visualización de la curva.
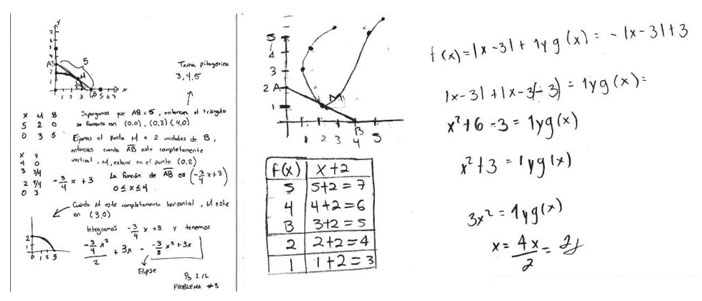
2. Conexión entre representaciones de la curva. Este tipo de procedimiento se caracterizó por la búsqueda de relaciones entre diversas formas de representación de la elipse y sus elementos típicos, pero sin llegar a concretar algún procedimiento. Se detecta una recuperación de conocimientos escolares previos respecto de la ecuación, puesto que se puede notar cómo escriben las ecuaciones, asocian sus componentes característicos con las representaciones que generan con el fin de vislumbrar una ruta más clara de cómo tratar el problema. Incluso intentan mostrar que conocen una taxonomía completa del tipo de cónicas y sus ecuaciones. En la figura 8 se representa este tipo de procedimiento.

Este grupo particular de estudiantes (6 estudiantes) expone de manera concreta un fenómeno interesante, relacionado con el hecho de que en su mayoría muestran conocer las fórmulas correspondientes a la elipse, sin embargo, más allá de plantearlas en sus hojas de trabajo, no presentan algún tipo de estrategia o planteamiento para responder a la situación. Es aquí donde claramente se nota una desarticulación entre el conocimiento escolar y la situación planteada.
3. Deducción particular. Este tipo de procedimiento se caracterizó por la búsqueda y establecimiento de relaciones particulares con respecto a uno o más elementos del problema o de la ecuación de la elipse. Por ejemplo, relacionar el comportamiento de los extremos A y B cuando se mueve el segmento sobre los ejes, tal como se muestra en la figura 9.

En la explicación que ofrecen los estudiantes en esta categoría (3 estudiantes), se argumenta la propiedad atribuida a los extremos A y B señalando que, con-forme el extremo B del segmento se “aleje” del origen, el extremo A se desplazará hacia el origen y viceversa.
Estudiante: Al deslizar uno de los extremos, como AB es un segmento de longitud fija, deben compensar lo que se desplaza B con el desplazamiento de A. Si B va a la derecha sobre el eje x, A desciende sobre el eje y, como es de longitud fija, si se hace a la inversa, que A suba y B vaya al origen va a quedar a modo de espejo por lo que sí se tendría una curva cerrada. Cuando A llega al origen, será A el que se deslice sobre el eje X y B subirá.
Si bien, el comportamiento descrito es correcto, en la explicación no se considera que los extremos A y B se mantienen sobre los ejes cartesianos. En efecto, se señala que cuando el extremo A llegue al origen, el extremo B deberá subir, ello es incierto. Además de este hecho, nuevamente, más allá de esta explicación no se presenta algún otro tipo de estrategia o de planteamiento para continuar en la resolución de la situación.
4. Tratamiento funcional. En este grupo (3 estudiantes), se encuentran acercamientos a la resolución que se basan en asociar elementos de la situación con funciones. Por ejemplo, asociar una función lineal al segmento de recta.

Cabe destacar que estos procedimientos parten del establecimiento de valores particulares a los elementos de la situación para determinar expresiones algebraicas particulares. Esta estrategia muestra por un lado, la excesiva carga algebraica que el discurso escolar promueve en el sentido de que buscan datos específicos para determinar expresiones algebraicas, y por otro lado, una desarticulación más con la naturaleza epistemológica de esta práctica matemática, pues no hay una consciencia robusta sobre el hecho de que las ecuaciones de las curvas deben ser generales, de ahí que se emplee el uso de parámetros.
Hasta estos procedimientos es importante señalar que ninguno muestra una estrategia concreta para resolver la situación y determinar la ecuación del lugar geométrico. Esta situación nos deja ver una falta de habilidades metacognitivas para su abordaje, es decir, estas producciones evidencian ausencia de estrategias, rutas de abordaje o procedimientos concretos para resolver la situación.
A continuación, abordamos una última categoría de procedimientos, en la cual se identifican procedimientos con indicios de consideraciones epistemológicas relacionadas con las que se compararon estas producciones.
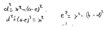
5. Establecimiento de relaciones geométricas. Este tipo de procedimientos se caracterizó por buscar deducciones de expresiones algebraicas de igualdad que provienen de propiedades geométricas abstraídas de los elementos del problema. 4 estudiantes se incluyeron en esta categoría. Por ejemplo, se buscó determinar expresiones del tipo , con base en el reconocimiento de la propiedad de Pitágoras, lo cual, por una parte, es adecuado y por otra, muestra una comprensión consistente con la representación del problema. En la figura 11 se muestra este tipo de procedimientos.

En el lado izquierdo de la figura 11 se puede ver cómo las tres expresiones que se proponen contienen tanto los parámetros como las variables, eso muestra dificultades por determinar los elementos que deben estar involucrados en las ecuaciones, es decir, por determinar un sistema semiótico sin ambigüedad. La estrategia seguida fue considerar los segmentos determinados por los extremos del segmento dado, como los semiejes menores y mayores, así como segmentos que representan variables x e y. Por ello, junto a las etiquetas de los extremos A y B en los ejes, se ubican también variables y como las proyecciones del punto M sobre los ejes. Este hecho impide un tratamiento eficaz del problema, pues no hay una delimitación sistemática de las cantidades involucradas. En otro caso, el del lado derecho de la misma imagen puede verse cómo se determinan relaciones de proporcionalidad, dadas varias longitudes del segmento AB en el plano. A pesar de la determinación de estas relaciones geométricas, no hay acciones consecuentes para concluir con la situación, mostrando nuevamente una ausencia de procedimiento para resolver la situación.
Finalmente, se identificó otro tipo de procedimiento menos empleado (solo dos estudiantes lo usaron) y consiste en establecer relaciones visuales-algebraicas a partir de considerar las características de la curva. Por ejemplo, determinar que, si M es el punto medio del segmento AB , la curva es una circunferencia; de lo contrario, es una elipse. Incluso se especifica que, en el caso de la elipse, cuando M es más próximo al extremo A del segmento, la elipse es vertical, mientras que cuando M es más próximo a B , la elipse es horizontal. Estas consideraciones son correctas, sin embargo, fueron omitidas las propiedades geométricas involucradas en la situación y, en consecuencia, no se logró establecer alguna ecuación algebraica. En la figura 12 se representa este tipo de procedimiento.

Para llegar a estas deducciones, se partió de la visualización de la curva basándose en la exploración de posiciones específicas para el segmento AB (tal como en el caso de los procedimientos de la primera categoría). Posteriormente, se supone que M está en el punto medio y que los extremos A y B están a la misma distancia del origen; luego se asignan coordenadas a los extremos A , B y M y se sustituyen estos valores en la ecuación canónica de la elipse considerando el caso particular donde y . Esto conlleva a la deducción de que A y B representan la misma cantidad y, por lo tanto, a la expresión: . Con base en este análisis, en la siguiente parte de la resolución se argumenta, sin algún procedimiento algebraico que lo soporte, que si M no está en el centro la cónica sería una elipse.
Estudiante: Sabemos que si AB tiene un punto medio M y tanto A como B se mueven sobre la gráfica, el punto M forma una circunferencia. Si M no es el punto medio, lo vértices verticales y horizontales ya no serían según corresponda, en cambio, los horizontales serán y los vértices . La gráfica de la ecuación de la elipse es .
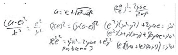
En el caso del segundo procedimiento de esta categoría y, coincidiendo con los planteamientos epistemológicos, en este se recurre de manera acertada al establecimiento de relaciones geométricas de equivalencia, con el fin de obtener ecuaciones algebraicas que lleven a la determinación de la expresión conocida. No obstante, son las operaciones algebraicas y un sistema inadecuado de designación sistemático los que impidieron obtener la ecuación completa.
La primera acción que permite orientar de manera adecuada el procedimiento es la representación de la situación, como se muestra en la figura 13. Sin embargo, la asignación de las variables y los parámetros no fue acertada, puesto que el estudiante asocia a los segmentos AM y MB respectivamente las variables x e y, sin embargo, en la situación se indica que el punto M se fija sobre el segmento de longitud, lo cual implica que, estos segmentos AM y MB funcionen como parámetros. Además, se asignan a los segmentos formados por los extremos A y B y los ejes X e Y, los parámetros a y b. Esto coincide con la presentación escolar típica de la elipse, en la cual se consideran los semiejes vertical y horizontal sobre los ejes Y y X respectivamente, sin embargo, puesto que las posiciones de A y B sobre los ejes dependen de la longitud del segmento AB y por los posibles movimientos, estas cantidades son variables.

Nota: Por la ausencia de una notación adecuada, se modificó el diagrama original, agregando los puntos O, C y D para referenciar los elementos de este en el análisis.
A pesar de esta dificultad, la interpretación de la situación es correcta en el sentido de que la proyección del punto M sobre los ejes X e Y permiten determinar los elementos geométricos asociados con la obtención de la ecuación algebraica. Por ejemplo, de los triángulos ∆𝐴𝐵𝐶 y ∆𝑀𝐷𝐵, se derivan por la relación de Pitágoras las expresiones: , (ver figura 14), siendo a, b, d y e, los segmentos AO , OB , CM y DM , respectivamente.

Posteriormente, aplicando operaciones algebraicas se tratan de obtener expresiones similares a la canónica. Por ejemplo, se divide cada expresión por e . Obteniendo las expresiones y , siendo esta última errónea por asumir que .
Asimismo, se plantea de manera acertada la proporción , sobre la cual se aplican operaciones algebraicas para simplificarla, sin embargo, esta, la aplicación, es errónea y lo lleva a expresiones que no le permiten arribar a una expresión concreta.

Considerando los elementos teóricos descritos en el apartado anterior, podemos observar que solo en el caso del este último procedimiento se identifican vestigios de la naturaleza geométrica-analítica original. En este sentido solo uno de los noventa y cinco estudiantes realizó un procedimiento cercano a un proceso de construcción de la ecuación cercano a lo que en su génesis se ha reportado.
En términos generales, 48 estudiantes no presentaron algún tipo de procedimiento para resolver la situación. Cabe mencionar que en una categoría extra se ubicó a 3 estudiantes con operaciones aritméticas aleatorias que no mostraban orientación concreta para la resolución. En este sentido, una minoría de estudiantes presentaron procedimientos parciales en los que se establecieron o identificaron, al menos, relaciones geométricas pertinentes, siendo únicamente 4 estudiantes los que establecieron relaciones geométricas.
En la tabla 1 presentamos una síntesis de los tipos de procedimientos encontrados y sus frecuencias.

Derivado de que, en la literatura especializada en el campo de la educación matemática, en particular, en lo relacionado con la enseñanza y aprendizaje de la geometría, se identifica una falta de planteamientos específicos para orientar la actividad geométrica analítica escolar (Aroca Araújo, 2019; Jahn, 2002; Jones & Tzekaki, 2016; Owens & Outhred, 2006; Khalil et al., 2018), en esta investigación se examinaron los procedimientos geométricos-analíticos que estudiantes egresados de bachillerato emplean al resolver un problema de construcción de la ecuación de una elipse.
En síntesis se encontraron cinco tipos de procedimientos, a saber:
A partir de los resultados obtenidos, se advierte que, aun aquellos estudiantes egresados de bachillerato con un perfil matemático escolar aceptable, presentan dificultades para abordar adecuadamente un problema de geometría analítica no típicamente escolar. Se evidencia y confirma una dificultad relativa al pensamiento analítico asociado a este tipo de tareas (Khalil et al, 2018), así como una deficiencia en la comprensión y dominio del objeto geométrico elipse más allá de su representación y tratamiento algebraico (Gulikers & Blom, 2001), de esto dan cuenta los cinco procedimientos empleados por los estudiantes.
El procedimiento referido al final del apartado anterior, y que solo fuera realizado parcialmente por un estudiante es una primera evidencia de un desconocimiento o falta de comprensión del proceso del estudio de las curvas (en este caso, la elipse) vía el álgebra, reflejándose así, una falta de conexión entre la dimensión conceptual y procedimental del aprendizaje geométrico-analítico supuestamente adquirido en la escuela. Considérese que cerca de la mitad de las y los estudiantes participantes del estudio no propuso algún tipo de procedimiento de resolución. En este sentido, los resultados de esta investigación apuntalan la necesidad de seguir explorando modelos, marcos o metodologías que sirvan de referencia para desarrollar el pensamiento geométrico-analítico necesario para comprender la naturaleza de los conceptos y propiedades de la geometría analítica escolar (Florio, 2020; Gascón, 2002; Henríquez-Rivas & Montoya-Delgadillo, 2016). Por ejemplo, a pesar de que los procedimientos 1 al 4 no se consideran satisfactorios en términos de la obtención de las relaciones geométricas definitivas para construir la ecuación, lo cierto es que implícitamente pueden dar cuenta de dificultades que conlleva el proceso de algebrización de la geometría, algo que queda fuera del alcance de este trabajo. En esta línea, es importante destacar que estos procedimientos dejan en claro, cada uno, áreas de oportunidad didáctica en esta práctica matemática.
La primera consideración es la importancia de promover la visualización de la curva y sus propiedades geométricas para reconocer el tipo de curva (asociada al procedimiento 1). Esto implica la necesidad de que un(a) estudiante comprenda cómo “se forma” el lugar geométrico en el plano con relación a los elementos geométricos principales del problema, comprendiendo visualmente qué significa la condición geométrica y cómo interpretarla. La segunda, se relaciona con la importancia de promover una vinculación más robusta entre la imagen y la ecuación algebraica (asociada al procedimiento 2). Esto implica promover, al igual que la consideración anterior, una articulación más natural entre lo visual y lo algebraico, es decir, cómo las condiciones y propiedades geométricas se interpretan en los elementos de las ecuaciones (variables, parámetros, contantes). La tercera consideración se asocia con la profundización de las propiedades geométricas en las imágenes con la finalidad de relacionar-las con la curva de interés (asociada al procedimiento 3). Esto conlleva propia-mente, la capacidad de establecer relaciones geométricas, dicho de otra forma, de la identificación y uso de los objetos y propiedades geométricas derivadas. Por lo tanto, se requiere fortalecer los conocimientos geométricos euclidianos. Una cuarta consideración refiere a la diferenciación concreta entre los objetos de la geometría analítica y el cálculo (asociada al procedimiento 4). Esta consideración involucra una diferenciación entre el tipo de actividad matemática proveniente del estudio de las funciones y aquella proveniente de la geometría analítica. En el caso de esta última, su objetivo no es determinar la relación de dependencia entre una variable y la otra y expresarla algebraicamente, sino determinar una relación algebraica que permita resumir el conjunto o familia de soluciones o de lugares geométricos dadas las condiciones del problema y la variación posible de los parámetros involucrados.
Finalmente, en conjunto, todas estas consideraciones apuntan a una conceptualización mucho más robusta sobre el método del análisis-síntesis, el cual caracteriza a la actividad matemática de la geometría analítica, es decir, el reconocer el procedimiento o método para abordar un problema de lugar geométrico que permita determinar su ecuación algebraica. Este método es justo a lo que Viète y Descartes dedicaron sus esfuerzos en sus producciones y no solo involucra la traducción de curva a ecuación y viceversa, sino también implica un proceso racional complejo que, ciertamente, conlleva la representación de las propiedades geométricas vía el álgebra, pero también contempla, por ejemplo, el proceso de construcción geométrica de las distintas soluciones generadas por la variación de los parámetros involucrados en las ecuaciones algebraicas (Bos, 2001).
Esta investigación aporta evidencia empírica de que la actividad geométrico-analítica es mucho más compleja que solo establecer vínculos simples entre ecuaciones y curvas como suele hacerse en la escuela. Los resultados dan cuenta de que usar una epistemología clásica como referencia para desarrollar la geometría analítica en la escuela, conduce a que los estudiantes enfrenten dificultades para resolver problemas cuya naturaleza geométrica-analítica se corresponde con el auténtico origen de esta rama de pensamiento matemático.
En tal sentido, se plantea continuar con investigaciones que analicen y den cuenta de los modelos “epistemológicos escolares” actuales en geometría analítica, para obtener explicaciones que permitan profundizar en una didáctica más robusta y consistente con su naturaleza epistémica.














