Resumen: Este estudio analiza como perciben los estudiantes de turismo y gestión de negocios gastronómicos del Centro Universitario de Ciencias Económico Administrativas (CUCEA-Universidad de Guadalajara) el emprendimiento, se sustenta con la Teoría de Acción Razonada. Los datos se aplicaron a una muestra de 185 estudiantes analizados con ecuaciones estructurales (SEM), entre los resultados destaca que la actitud del alumno ejerce mayor influencia sobre la intención, además, se ofrece información de las características de los potenciales emprendedores, se deja abierto el análisis sobre las líneas de actuación para la instrumentación de políticas públicas que fortalezcan al centro universitario en vías de una universidad emprendedora.
Palabras clave: Educación superior, emprendedores, actitudes del estudiante.
Abstract: This study analyzes how students of tourism and gastronomic business management of the Centro Universitario de Ciencias Económico Administrativas (CU- CEA-University of Guadalajara) perceive entrepreneurship. It is supported with the Theory of Reasoned Action. The data were applied to a sample of 185 students analyzed with structural equations (SEM), among the results it is highlighted that the attitude of the student exerts greater influence on the intention. In addition, information is provided on the characteristics of potential entrepreneurs, by leaving open the analysis on the lines of action for the implementation of public policies to strengthen the university center in the path of an entrepreneurial university.
Keywords: Higher Education, Entrepreneurs, and student’s attitudes.
Research Article
Percepción de los estudiantes de turismo de la Universidad de Guadalajara (México) sobre la intención emprendedora
Perception of Tourism Students of the University of Guadalajara (Mexico) on Entrepreneurial Intention
Recepción: Junio 2020
Recibido del documento revisado: Agosto 2020
Aprobación: Enero 2021
Debido a la crisis económica y desempleo que prevalece en los últimos años, el emprendimiento es una opción que el gobierno y las instituciones consideran prioritaria en vías de dar impulso al crecimiento económico y como alternativa para la generación de empleo, por esta razón se requiere mayor implicación de las instituciones educativas propiciando que se generen las universidades emprendedoras, las cuales integran actividades de formación para la creación de empresas.
El emprendimiento es una oportunidad para los países emergentes, como lo es México, al favorecer el crecimiento económico y la empleabilidad. Por lo tanto, es necesario que las instituciones educativas mexicanas adquieran un mayor compromiso, debido a que en todos los niveles de educación se requiere desarrollar conocimientos, competencias y habilidades, que son especialmente necesarias para el emprendimiento. Ante esto surge la necesidad de que las universidades se transformen e integren junto al enfoque tradicional, el enfoque de la universidad emprendedora, es decir, que integren las tradicionales actividades de docencia, investigación y extensión, con actividades de emprendimiento, innovación y generación de tecnología.
En este sentido, el papel de las universidades como formadoras de capital humano es fundamental, ya que estas, deben asumir los cambios y necesidades que involucran sus relaciones, tanto, con agentes externos que demandan su funcionamiento como: son el gobierno, las empresas y la sociedad; como con los internos: los alumnos, las estrategias pedagógicas, la transferencia de conocimiento, la investigación, así como las personas involucradas en los procesos, tanto de enseñanza como de gestión. De todo esto surge la necesidad de un cambio en el concepto de universidad tradicional a universidad emprendedora.
La universidad emprendedora definida por Clark (1998a), conciben sus formas de funcionamiento como respuesta a las presiones externas en el que están inmersas, trabajando y adoptando medidas para mejorar sus oportunidades institucionales.
Las presiones externas surgen como consecuencia de los cambios de la sociedad que requieren de las universidades resultados pertinentes en vistas al desarrollo económico, que precisan de nuevas formas para la transferencia de conocimiento integrando tecnologías.
Es decir, las presiones externas implican que las universidades emprendedoras deben atender los cambios en la demanda, tanto en la diversificación de los estudios como en la especialización de sus egresados. La cultura emprendedora, según Villareal y García (2004), implica un cambio en los aspectos relacionados con la toma de decisiones y la forma de relación con el entorno, esto supone la adopción de medidas de carácter estructural en el funcionamiento de las instituciones universitarias.
En este sentido, la Universidad de Guadalajara (UdeG), debe responder a las necesidades de la sociedad, por lo tanto, adoptar la cultura emprendedora en vías de implementar su postura como universidad emprendedora.
Con este estudio, pretendemos por una parte identificar la percepción de los estudiantes de turismo y gestión de negocios gastronómicos del Centro Universitario de Ciencias Económico Administrativas (CUCEA UdeG) sobre el emprendimiento, considerando aspectos tales como: la actitud ante el emprendimiento, el control de la conducta, el factor social, y las ventajas y los obstáculos para emprender, con los resultados se pretende ofrecer información valiosa que contribuya para la instrumentación de políticas públicas que fortalezcan al centro universitario en vías de una universidad emprendedora.
Por otra parte, el estudio se sustenta con la Teoría de Acción Razonada, y los resultados se estiman mediante un modelo de ecuaciones estructurales con los datos obtenidos mediante la aplicación de cuestionario (Anexo1) a los estudiantes de las licenciaturas mencionadas.
En los siguientes apartados se desarrolla el marco teórico del estudio, se continúa con la metodología y las técnicas utilizadas para el análisis de los datos, así como se describen las variables utilizadas. En el cuarto apartado se desarrollan los resultados, para, finalmente, terminar con la discusión y las conclusiones en los apartados quinto y sexto.
Existen varios enfoques teóricos para el análisis del emprendimiento y la universidad emprendedora, como el enfoque económico, el institucional y el psicológico. Este último fue investigado inicialmente a partir de los rasgos de personalidad, características y conductas de las personas (Brockhaus, 1982; McClelland, 1961), así como con modelos de intenciones y actitudes (Gartner, 1985; Van de Ven et al., 1984).
Este análisis lo abordaremos con el modelo de comportamiento humano conocido como la Teoría de la Acción Razonada (TAR), propuesta por Ajzen, Icek y Fishbein (1974 y 1980). Esta teoría manifiesta que las personas actúan a partir de cómo evalúan positivamente la información, si éstas creen que las personas que les son relevantes las aprueban, es por esto, que se sostiene que la intención esta relacionada con la actitud hacía la conducta y los aspectos sociales que lo norman, es decir, las actitudes hacia la conducta reflejan las creencias que direccionan el comportamiento de los individuos al considerar los aspectos sociales o normas subjetivas como influencia para realizar la acción.
Para la TAR las creencias se clasifican en: a) creencias conductuales, aquellas que dirigen la conducta y por tanto conllevan consecuencias y resultados que determinan la actitud; y b) creencias normativas, las cuales son consecuencia de la influencia de las personas o grupos significativos que consideran que se debería realizar un comportamiento, esto se denomina normas subjetivas.
Las actitudes y las normas subjetivas participan, de forma distinta, en la determinación de la intención de acuerdo al tipo de comportamiento, situación y a variaciones entre los individuos Echeverri, Valencia, Benjumea y Toro, (2018). Además, la teoría reconoce que cualquier variable externa al modelo original puede influir sobre la intención y, también, sobre la conducta, sólo si influye sobre la actitud y/o sobre las normas subjetivas.
Para este análisis, agregamos al modelo la variable control de la conducta, debido a que para la TAR (Ajzen, 1991; Liñán, 2004) la intención indica el esfuerzo que la persona hará para llevar a cabo el comportamiento, este esfuerzo involucra tres factores:
La actitud personal, como el grado en que el individuo se autoevalúa como posible emprendedor.
La norma subjetiva, es la forma como el individuo percibe que las personas significativas para él aprobarían la decisión de convertirse en empresario.
El control de la conducta, es la forma en que el individuo se percibe ante la facilidad o dificultad de convertirse en emprendedor.
En general, la literatura demuestra que las investigaciones sobre iniciativa empresarial se han abordado desde distintos enfoques con modelos centrados en rasgos de personalidad (Brockhaus, 1982; McClelland, 1961), de conducta y de intenciones (Gartner, 1985; Van de Ven et al., 1984), y, posteriormente, otros que incorporan los antecedentes de las actitudes para estimar el proceso del emprendedor (Boyd, Nancy & Vozikis, 1994; Krueger et al., 2000; Shapero, 1975).
Respecto a las investigaciones sobre las actitudes hacia la creación de empresas, los resultados de los estudios de Becker (1976), Hirshleifer (1977), Rubin y Paul (1979) y Skaperdas (1992) convergen al considerar la determinación endógena de las preferencias y de la actitud hacia el riesgo. También, Barsky et al. (1997), Robson (1996) y Waldman (1994) se acercan a la idea de que la aversión al riesgo puede cambiar con el transcurso del tiempo, aumentando con la edad y los ingresos.
Un factor analizado con recurrencia es el nivel de estudios de los emprendedores. Los análisis de Brunello (2002) pusieron en evidencia que un mayor nivel educativo se asociaba a un menor espíritu emprendedor, a pesar de que podría ayudar a afrontar los problemas que van surgiendo en el desarrollo de la actividad (Cooper et al., 1994). No obstante, determinados tipos de estudios, como los relacionados con el campo de la Economía y la Administración de Empresas, sí ayudan especialmente en el proceso emprendedor (Gasse, 1985; Hisrich, 1990).
Los cursos formativos son otra opción alternativa o complementaria para los emprendedores. Nabi et al. (2016), y Ritsila y Tervo (2002) indican que las personas que participan en mayor medida en cursos de formación tienen más probabilidad de convertirse en empresario independiente. Sin embargo, estudios más recientes concluyen que la educación superior aumenta la probabilidad de establecerse por cuenta propia, así como los ingresos, especialmente en el caso de las mujeres empresarias (Atherton et al., 2015).
Con lo cual, las universidades deberían replantearse su papel en la mejora de competencias clave, para el individuo y para el mercado laboral, desde dos ópticas complementarias: el papel de las universidades en los sistemas de innovación (Breznitz y Etzkowitz, 2016; Godin y Gingras, 2000; Sampat et al., 2003) y el papel de las universidades en el fomento de la empleabilidad y el emprendimiento de sus estudiantes (Clark, 1998a y 1998b; Etzkowitz y Leydesdorff, 2000; Kirby, 2006). Según Etzkowitz (2003), la Universidad ha pasado de su primera función, la docencia, a la inclusión y el engarce entre la docencia y la investigación, que permite a sus estudiantes aprender nuevas competencias útiles en el mercado laboral.
Otras investigaciones han abordado estudios en el ámbito del emprendimiento y la TAR; en concreto, Rueda et al. (2013) analizan el efecto de las ventajas y los inconvenientes percibidos en el emprendimiento sobre la intención de crear un negocio propio, y Salem (2014) determina en qué medida las percepciones y las habilidades de los estudiantes afectan en su intención emprendedora y su efecto al tomar una materia relacionada con el emprendimiento.
Por su parte, Marulanda et al. (2009) sostienen que, para que una persona desarrolle enfoques emprendedores, debe poseer factores internos de personalidad (motivación hacia el logro, independencia, creatividad) y factores culturales, familiares, laborales que interactúen para potencializar las habilidades emprendedoras.
Posteriormente, Valencia et al. (2014) integran en el análisis los incentivos que el gobierno y otros organismos crean para fomentar el emprendimiento y concluyen que más allá de esto, el proceso de creación de empresas se determina por la percepción del individuo, tanto a nivel interno (en relación con sus objetivos y capacidades) como de la viabilidad externa, la cual depende de la imagen de la actividad a nivel social y del apoyo que recibe de las personas que considera más importantes en su vida.
Con lo anterior expuesto, podemos resaltar que la universidad tradicional está dando paso a una mayor aceptación hacia el desarrollo emprendedor, en el que, el gobierno y el sector privado, enfatizan el involucramiento de las escuelas en actividades distintas a la docencia, a partir de acciones como el fomento de la investigación, la tecnología e innovación.
En este apartado se presenta la metodología, las técnicas y la descripción de los datos. El estudio es cuantitativo, aplicado empíricamente para validar las hipótesis sobre las actitudes hacia la intención emprendedora de los estudiantes de turismo y gestión de negocios gastronómicos del CUCEA-UDG.
Los datos fueron obtenidos tras la aplicación del cuestionario, diseñado y ajustado con preguntas de otros proyectos de emprendimiento (Liñán y Chen, 2009; Rueda et al., 2013), posteriormente validado en Contreras et al. (2015), a los estudiantes de turismo y gestión de negocios gastronómicos, matriculados en el periodo 2018-2019.
El cuestionario (ver anexo) se diseñó con 5 posiciones en escala Likert, donde 1 significa totalmente en desacuerdo y 5 totalmente de acuerdo.
Con el estudio se pretende validar dos hipótesis generales de las cuales se desprenden varias particulares, puntualizándose en:
H0: La intención emprendedora está influenciada por las actitudes, la influencia social, y las ventajas y obstáculos, percibidos por los estudiantes para emprender.
H0: El control de la conducta del estudiante universitario influye positivamente en la intención.
Para contrastar el modelo establecido se utilizó el modelo de ecuaciones estructurales (SEM), el cual combina la regresión múltiple con el análisis factorial confirmatorio, el modelo es útil para explicar la causalidad entre las diferentes variables latentes, las cuales se miden a través de indicadores (Diamantopoulos, 1994).
Utilizar SEM permite la incorporación de variables latentes que no pueden medirse mediante la observación, y por lo tanto se apoya del uso de variables observables para conformarlas, así mismo, es posible integrar de forma simultánea varias ecuaciones de regresión múltiple, lo que facilita la estimación de efectos directo e indirectos (Barrio, Salvador y Luque, 2000).
Cabe destacar la relevancia del SEM como herramienta para evaluar modelos teóricos, en este caso la TAR, al involucrar relaciones causales sobre datos no experimentales cuando las relaciones son de tipo lineal (Kerlinger y Lee, 2002), aunque este modelo no permite probar causalidad, favorece en la selección de hipótesis causales relevantes, y descartando aquellas que no tienen sustento empirico.
El método para la estimación de los parámetros y el proceso de modelización se realiza en dos etapas: el submodelo de medida y el submodelo estructural. El submodelo de medida establece la relación de las variables latentes con las observables (Bollen, 1989), mostrando la fiabilidad y la validez de los indicadores como medidas de las variables latentes. El submodelo estructural establece cómo las variables latentes se relacionan entre sí (Bollen, 1989), confirman la relación y consistencia del modelo con los datos.
Para la aplicación del SEM se proponen seis pasos:
En este paso, se procede a verificar la fiabilidad y la validez de las escalas de medida, que refiere al conjunto de ítems utilizados para cada constructo o variables latentes incluido en el modelo teórico, para lo cual se realiza un Análisis Factorial Confirmatorio (AFC). Las propiedades métricas de la escala de medida son valoradas al utilizar la teoría y no los datos numéricos.
Para determinar la fiabilidad y la validez del instrumento se calculan los coeficientes de Alfa de Cronbach y de Kaiser Meyer Olkin (KMO) para cada una de las variables latentes.
Para considerar que la escala utilizada es fiable, el grado de variabilidad dentro de cada ítem debe ser baja. El criterio Alfa de Cronbach permite determinar la consistencia interna de cada constructo, siendo aceptable si es mayor a 0.7.
En el test de esfericidad de Bartlett el nivel de significancia debe ser inferior a 0.05, lo que permite comprobar que los elementos para cada variable no son independientes entre sí y son adecuados para el análisis, es decir, los ítems involucrados para cada variable latente miden un mismo constructo y están fuertemente relacionados.
Con la medida de adecuación muestral (KMO) se señala que el instrumento cumple con los factores teóricos cuando se encuentra entre 0.5 y 1, por lo que el análisis factorial es pertinente para el conjunto de datos debido a que las variables están relacionadas. No obstante, la prueba indica que los elementos con baja comunalidad individual (<0.55) no cumplen con los factores teóricos y deben eliminarse para asegurar el ajuste del modelo de ecuaciones estructurales e incrementar la varianza explicada individual de los constructos.
El tamaño de la muestra analizada fue obtenido del total de 1884 alumnos matriculados en las licenciaturas de turismo y gestión de negocios gastronómicos en el periodo de 2018 B - 2019 A, con 95% de confianza, la muestra, calculada sobre la proporción (11%) que representan estas carreras del total de estudiantes de CUCEA-UDG, se apuntan en la siguiente tabla:


Esta sección recoge el análisis del submodelo de medida, mediante la validación de las escalas utilizadas para cada una de las variables incluidas en el modelo, y el análisis del submodelo estructural. Con los parámetros y criterios arrojados del modelo de ecuaciones estructurales, se realiza la interpretación de los resultados de acuerdo con los pasos descritos con anterioridad en la sección de metodología.
La especificación del modelo se sustenta en la Teoría de la Acción Razonada (TAR), tal y como se comentó anteriormente. Esta teoría de la conducta humana considera a la intención como un indicador de la conducta. Las variables que explican la intención son la actitud hacia el comportamiento y el factor social o norma subjetiva (Ajzen, Icek y Fishbein, 1980).
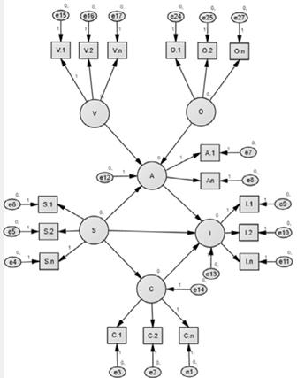
La Figura 1 presenta el esquema ajustado de la TAR, y muestra los constructos que intervienen, agregando el de control de la conducta. Se observa que, detrás de la conducta del individuo, están sus creencias.
La especificación del modelo incluirá tres variables explicativas que dan sentido a la intención para crear empresas: la actitud, el factor social y el control (Shapero y Sokol, 1982).
La actitud está condicionada por las creencias que el estudiante tiene hacia el emprendimiento, considerándolas como ventajas o no (obstáculos).
El factor social o norma subjetiva se refiere a la presión social que el futuro empresario percibe de las personas de referencia y que influyen sobre su conducta.
La variable control conductual está definida como la percepción que el individuo tiene sobre la facilidad o no de convertirse en empresario.
La especificación del modelo estructural se presenta en la Figura 2. Los significados de las variables y el contenido del cuestionario se apuntan en el Anexo 1.

Una vez especificado el modelo de medición se procede a verificar la fiabilidad y la validez de las escalas de medida, entendidas como el conjunto de ítems utilizados para cada constructo o variables latentes incluido en el modelo teórico, para lo cual se realiza un Análisis Factorial Confirmatorio (AFC).
Para determinar la fiabilidad y la validez del instrumento se calculan los coeficientes de Alfa de Cronbach y de Kaiser Meyer Olkin (KMO) para cada uno de los parámetros (intención emprendedora, actitud de los estudiantes, factor social que los estudiantes tienen, ventajas para emprender, obstáculos para emprender, control de la conducta).
El grado de variabilidad dentro de cada ítem debe ser baja para considerar que la escala utilizada es fiable para medir los parámetros del modelo. En la Tabla 2 se observa que el criterio Alfa de Cronbach permite determinar la consistencia interna de cada constructo con un valor superior a 0.8: la intención emprendedora, la actitud y control de la conducta, las ventajas y obstáculos para emprender, y la influencia social que los estudiantes tienen. No se identifica que existe un incremento al eliminar elementos, por lo que alcanza el nivel deseado, sin embargo, se procede a verificar la validez.

El test de esfericidad de Bartlett muestra un nivel de significancia inferior a 0.05 en todos los casos, lo que permite comprobar que los elementos para cada variable no son independientes entre sí y son adecuados para el análisis, es decir, los ítems involucrados para cada variable latente miden un mismo constructo y están fuertemente relacionados.
La medida de adecuación muestral (KMO) se refiere a que el instrumento cumple con los factores teóricos; se encuentra entre 0.5 y 1, por lo que el análisis factorial es pertinente para el conjunto de datos debido a que las variables están relacionadas. No obstante, la prueba indica que los elementos con baja comunalidad individual (<0.55), mencionados en la Tabla 2, (V4, V8, V9, O1, O5, O6), no cumplen con los factores teóricos, por lo que se procedió a eliminarlos para asegurar el ajuste del modelo de ecuaciones estructurales e incrementar la varianza explicada individual de los constructos.
En general, el instrumento cumple con las pruebas de fiabilidad y validez de factores teóricos, a continuación, se procedió al análisis del ajuste del modelo global.
Para la prueba del modelo se realizan pruebas globales de bondad de ajuste o índices de ajuste NFI, CFI, TLI, IFI, PNFI, RMSEA en la Tabla 3. Respecto al CFI o índice de ajuste comparativo de Bentler, se asume que las variables latentes del modelo no se correlacionan entre sí, por lo que se considera aceptable al cercano 0.90, al igual que el IFI o índice incremental de ajuste.

Por su parte, como puede observarse el NFI o índice de ajuste normado de Bentler-Bonett no requiere cumplir los supuestos de Chi-cuadrado, debido a la sensibilidad de este estadístico con respecto al tamaño muestral, por lo que se interpreta la razón de chi-cuadrado sobre los grados de libertad (CMIN/df) con un valor cercano a 2, lo que señala un buen ajuste. En este caso refleja que el modelo teórico mejora en un 78.7% el ajuste en relación al modelo nulo, muy cercano al mínimo aceptable de 0.80. Similar a NFI, el TLI está muy cercano al 0.90 lo que permite validar el buen ajuste. Además, refleja una buena parsimonia debido a que el PNFI es mayor a 0.60.
Por último, se tiene un índice RMSEA con ajuste medio, este valor se considera óptimo cuando sus valores son cercanos y preferentemente menores a 0.06, estos parámetros de ajuste del modelo permiten corregir la complejidad del modelo por la discrepancia por grados de libertad, sin embargo, debe considerarse la significación de los parámetros estimados de la regresión, además del ajuste del modelo.
Con los resultados de estas pruebas, se confirma que la especificación del modelo inicial es correcta y adecuada, por lo que no es necesaria la reespecificación del modelo.
Una vez que se verificó el ajuste de los datos al modelo teórico se procede a la estimación de parámetros e interpretación de los mismos, probados individualmente con el estadístico t-Student, utilizando el método de Máxima Verosimilitud (MV); dado que es un análisis de percepción, se consideran problemas de heterogeneidad dependiendo del individuo que responde, este método de estimación permite corregir la heterocedasticidad siguiendo el método de Mínimos Cuadrados Ordinarios (MCO), el cual busca maximizar la probabilidad de que las covarianzas observadas sean tomadas de una población.
La Figura 3 representa la estimación del modelo, el cual refleja los efectos directos de las variables y los indirectos de una variable latente sobre otra que existe con efecto mediador.

Para facilitar la interpretación, en la Tabla 4 se enumeran las relaciones que se ejercen entre los parámetros, los coeficientes indican una relación directa y significativa entre los constructos con un soporte del 95% de confianza, excepto el modelo 7, el cual es no significativo.

Los modelos 1, 2 y 7 se corresponden con la variable factor social. Estos modelos tienen influencia positiva y directa sobre la actitud (0.563) y el control de la conducta (0.423) de los estudiantes, pero la influencia es negativa sobre la intención emprendedora (-0.108). A su vez, para identificar los efectos del control de la conducta sobre la intención emprendedora surge la hipótesis:
H0: El control de la conducta del estudiante universitario influye positivamente en la intención.
Se observa que en el modelo 5 puede verificarse que el control de la conducta ejerce influencia positiva sobre la intención emprendedora (0.193).
Por otra parte, la actitud de los estudiantes influye positivamente sobre la intención emprendedora (0.828) como se observa en el modelo 6. En el modelo 3, referente a las ventajas para emprender, se observa influencia positiva y directa sobre la actitud de los estudiantes (0.263), sin embargo, los obstáculos para emprender reflejan la existencia de influencia negativa sobre la actitud de los estudiantes (-0.163).
Finalmente, con respecto a la influencia sobre la intención emprendedora surge la hipótesis:
H0: La intención emprendedora está influenciada por las actitudes, la influencia social, y las ventajas y obstáculos, percibidos por los estudiantes para emprender.
Donde las relaciones son verificadas y aceptadas, en la Tabla 5, para la variable intención emprendedora mediada por la actitud de los estudiantes; las ventajas tienen influencia positiva indirecta (0.358) y para los obstáculos ejercen efecto negativo (-0.142).
En el caso del factor social (subjetivo) no solo ejerce un efecto directo sobre la intención emprendedora (-0.108), sino que además genera un efecto indirecto y positivo mediado por la actitud y el control (0.578) (Figura 3). Cabe destacar que el efecto total, de la variable incide positivamente en mayor medida sobre la intención emprendedora (0.439).

En vista de los resultados presentados se puntualiza los hallazgos más relevantes y se compara con los resultados obtenidos por Arias et al. (2015), en su análisis cualitativo sobre factores que inciden en la intención emprendedora, Rueda et al. (2013) con la aplicación de la TAR al ámbito emprendedor en un contexto universitario; y Liñán y Chen (2009), que prueban el modelo de intención empresarial en una muestra de 519 individuos con resultados satisfactorios.
La influencia de las variables explicativas sobre la intención emprendedora se refleja como una relación directa y significativa. En general, los tres autores concuerdan en el peso de la norma subjetiva, debido a que el soporte familiar es fundamental para el apoyo moral y es fuente de seguridad y confianza para la toma de decisiones (Arias et al., 2015), en este sentido, en la medida que los estudiantes perciben la aprobación de su entorno, su actitud y su comportamiento tienden hacia el emprendimiento y, en consecuencia, influye positivamente sobre la intención (Rueda et al., 2013).
Es posible identificar diferencias en las presiones sociales que modifican la actitud, de acuerdo al entorno cultural, como lo muestra Taiwán con efecto más bajo que España en el estudio de Liñán y Chen (2009), y sus resultados indican que las percepciones relevantes se derivan de cómo los valores culturales modifican la forma en que los individuos en cada sociedad perciben el espíritu empresarial.
En este estudio se observa que la actitud de los estudiantes ejerce influencia positiva sobre la intención emprendedora, significativamente más fuerte que el resto de las variables, sin embargo, debe considerarse que las ventajas y los obstáculos tienen efecto sobre la actitud.
Sobre las ventajas para emprender, se resalta que tienen efecto directo y positivo, de entre ellas, los estudiantes entrevistados destacaron como principales, la independencia económica y en el trabajo, además del incremento en los ingresos. En este aspecto, los hallazgos de los estudios mencionados al inicio de esta sección destacan la relevancia en los mismos factores sobre su influencia en la actitud emprendedora.
Con respecto a los obstáculos para emprender sobre la actitud se destaca que la relación, aunque no significativa, es válido analizarla en esta muestra con un efecto negativo, lo que nos lleva validar que la actitud emprendedora del estudiante universitario está influenciada negativamente por los obstáculos para emprender, sobresaliendo entre otros, el desconocimiento de las regulaciones para poner en marcha un negocio y la deficiente formación como emprendedores, en este sentido las universidades debe poner atención a estos rubros.
El factor social, que corresponde a la influencia que ejercen los individuos o grupos sociales sobre el estudiante, presenta un efecto directo negativo a la intención emprendedora, sin embargo, ejerce un efecto indirecto positivo mediado por el control y la actitud, lo que se suma a cualquier efecto directo, de manera que el efecto total que genera es positivo como lo validan Liñán y Chen (2009).
Respecto a la variable control de la conducta, se observa influencia positiva sobre la intención emprendedora. Destaca que los estudiantes opinen que, están preparado para comenzar una empresa viable y conocen los detalles prácticos necesarios para comenzar una empresa. En los estudios comparados se reconoce que esta variable tiene una influencia positiva sobre la intención.
De acuerdo con el objetivo establecido y las hipótesis planteadas, la evidencia empírica de este trabajo permite concluir que la intención emprendedora de los estudiantes, de turismo y de gestión de negocios gastronómicos analizados, está influenciada principalmente por la actitud percibida de éstos ante dicha acción, lo cual se sustenta con la Teoría de Acción Razonada, puesto que la ejecución de acciones puede ser efectiva ante una percepción positiva de las mismas, dada su racionalidad. De igual forma, si existe una aprobación social, la actitud tendrá mayor efecto sobre la intención, sin embargo, en caso contrario, afectará de forma negativa y directa a la intención de emprendimiento.
Aunado a lo anterior y conforme a la revisión teórica, la actitud se ve influenciada por las ventajas y los obstáculos percibidos ante la creación de una empresa, donde los factores internos de personalidad y motivación de logro, entendidos como ventajas, potencializan la actitud y, por tanto, la intención de emprender.
Por otro lado, la formación emprendedora, los incentivos y regulaciones del Gobierno, la viabilidad externa o los inconvenientes obstaculizan la capacidad del individuo, lo que afecta negativamente a la actitud del estudiante ante el emprendimiento y, por consiguiente, a la intención.
Finalmente, con ello se deja abierto el análisis sobre líneas de actuación para la instrumentación de políticas públicas que fortalezcan al centro universitario en vías de una universidad emprendedora, una vez que se ha contribuido en el conocimiento sobre los factores y características de los potenciales emprendedores en el ámbito universitario.
Cuestionario









