Recepción: 19 Noviembre 2015
Aprobación: 13 Abril 2016
Resumen: Durante la última década, se ha observado el ingreso de inversores de cartera al mercado de commodities. Esto genera el interrogante de si la entrada de jugadores financieros en dicho mercado ha cambiado su dinámica de precios. En este sentido, el objetivo de este trabajo es explorar si existe evidencia que los commodities se han comportado durante los últimos años como un activo financiero. El estudio se centrará específicamente en el caso del frijol de soya, analizando si existen influencias de variables de índole financiera en el proceso de fijación de precios. Específicamente, mediante un sistema de vectores autorregresivos se probará si se ha profundizado la reacción del precio ante alteraciones en la tasa de interés. En función de los resultados alcanzados, se esbozan algunas implicaciones que puede tener el proceso, sobre todo en relación al impacto en países dependientes de la exportación de materias primas.
Palabras clave: commodities, financiarización, frijol de soya, vectores autrorregresivos.
Introducción
El fenómeno que fundamenta la realización del presente estudio es que durante la última década se ha observado el ingreso de inversores de cartera al mercado de commodities. Diversas innovaciones financieras han permitido que diversos commodities, tanto agrícolas como energéticos, pasen a formar parte de portafolios de inversión junto a otros activos financieros tradicionales como los bonos y las acciones.
Esta problemática genera el interrogante de si la entrada de jugadores financieros al mercado de commodities ha alterado su dinámica de formación precios más allá de los fundamentales tradicionales, incorporando un factor adicional al riesgo de precio de estos activos.
El objetivo general de este trabajo es explorar si existe evidencia que los commodities se han comportado durante los últimos años como un activo financiero, proceso que la literatura ha definido como financiarización de commodities. El objetivo particular es analizar un punto específico de la problemática, intentando responder al interrogante de si el contexto descrito ha generado una profundización en la influencia de la tasa de interés en la determinación de los precios de commodities.
Una mayor sensibilidad en los precios respecto a cambios en la tasa de
interés tiene fuertes implicaciones en el frente externo de países exportadores o importadores de materias primas, incrementando su vulnerabilidad macroeconómica, dado que la tasa de interés internacional de referencia afectaría no solamente la cuenta de capital sino que también amplificaría los impactos en la balanza comercial. En el caso de los commodities agrícolas, la problemática también tiene implicaciones en el precio de los alimentos.
El estudio particular se centrará específicamente en el caso del frijol de soya, dado que por un lado es un importante producto de exportación en países de Latinoamérica (Paraguay, Argentina y Brasil) y por otro lado constituye un insumo fundamental en la producción alimentaria mundial. Mediante un sistema de vectores autorregresivos se probará si se han generado alteraciones significativas en la influencia de la tasa de interés norteamericana sobre el precio de los futuros del frijol de soya.
En cuanto a la estructura de presentación, en la primera sección de este
trabajo se presenta una breve síntesis del conjunto de modelos que intentan explicar la dinámica del movimiento de los precios de los commodities. En la segunda sección se describe, de acuerdo al estado del arte vigente, qué se entiende actualmente por proceso de financiarización de commodities. En la tercera sección, se presenta el modelo de vectores autorregresivos utilizado y la metodología de análisis aplicada.
En la cuarta sección, se intenta verificar una arista particular de la hipótesis de financiarización el caso de la soya en el periodo 1990-2014, testeando especialmente los cambios en la sensibilidad del precio ante cambios en la tasa de interés americana. Por último, se esbozan algunas implicaciones que puede tener el proceso en relación al impacto en países dependientes de la exportación de materias primas y sobre la inversión de cartera.
1. Modelización de precios de commodities
En esta sección se presentan brevemente algunos modelos que intentan explicar el comportamiento de los precios de los commodities. En primer lugar, se profundizará en aquellos que explican movimientos de corto plazo, para luego mencionar los estudios que abordaron la dinámica de largo plazo. El objetivo de la sección es dar un marco teórico al modelo econométrico que se construirá más adelante, como, asimismo, contar con la fundamentación debida de las variables incluidas en el mismo.
1.1 Tipo de cambio real del dólar
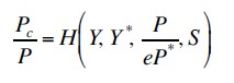
Dornbusch (1985) explora la relación entre los movimientos en términos reales del dólar y el precio de los commodities. El mercado se asume integrado y existen dos regiones: Estados Unidos (EE.UU.) y el resto del mundo. La demanda de este último depende del precio real de los commodities en términos del deflactor de pib y la actividad real. La oferta se asume exógena,
(1)Donde,
Y,Y * son el producto de USA y el resto del mundo.
Pc, P*c son el precio de los commodities en moneda doméstica y del resto del mundo.
P, P* son los deflactores de precios domésticos y del resto del mundo.
Se asume que los precios de los commodities se arbitran Pc = eP*c y el tipo
de cambio real de EE.UU. se define como P . La combinación de las ecuaciones
eP *
supone al precio real de los commodities en términos de actividad, oferta y tipo de cambio real:
(2)El modelo implica que un incremento en la actividad sube los precios de los commodities en términos reales, lo cual implica un “efecto cíclico”. No obstante, la ecuación también muestra que una apreciación real del dólar bajará el precio de los commodities en términos reales.
De las ecuaciones anteriores Dornbusch deduce que el porcentaje de cambio en el precio de equilibrio debido a una apreciación real del dólar es igual a:
(3)Donde η y η* son las elasticidades de precio de la demanda de commodities y b y b* representan las participaciones en el comercio mundial tanto de EE.UU. como del resto del mundo. Se desprende que a medida que crece la participación del resto del mundo en el comercio mundial, los impactos de una apreciación real del dólar ejercen mayor influencia sobre el precio real de los commodities . En un mundo donde la demanda se encuentra cada vez más diversificada, esta ecuación toma cada vez más relevancia.
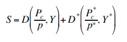
1.2 Oferta y demanda física de commodities
La relación con la oferta y la demanda físicos de commodities no puede omitirse en cualquier categorización de los determinantes de precio, siendo decisivo el trabajo de Reinhart (1994) en la modelización. Hasta ese momento los estudios se centraban prácticamente en dos variables relacionadas con la demanda, como la producción industrial y el tipo de cambio real del dólar. Tales modelos, como el de Gilbert (1989), trataban a los determinantes como exógenos. A principio de los 80´ la producción industrial cayó en los principales países del mundo y el dólar se apreció cerca del 50% en términos reales. Esto llevó a una caída del precio de los commodities dándole sustento a aquellos trabajos que utilizaban estos determinantes. El problema se genera partir de 1984, cuando el dólar comenzó a debilitarse y la producción industrial a recuperarse, sin observarse su correlato en el precio de los commodities.
Algunas respuestas a la sobreestimación de la predicción puede encontrarse
en Aizenman (1988) quien trata la forma en que los países en desarrollo respondieron a las crisis de deuda de los años 80´.[1] El argumento radica en que aquellos países incrementaron su oferta de commodities exportables para pagar los servicios de deuda y que por lo tanto esto mantuvo los precios bajos de los commodities. En este marco, el trabajo de Reinhart (1994) toma importancia porque incorpora los efectos de oferta como un determinante de precios capturando el impacto de los incrementos de exportaciones de los países que marcaba Aizenman. Además, expande el concepto de demanda al agregar a los países de Europa del Este y de la Unión Soviética. Los resultados de su investigación son coincidentes con lo que predice la teoría, es decir, que la variable oferta de commodities afecta negativamente el precio. Los resultados también redujeron la sobreestimación de los modelos conducidos solamente por factores de demanda.
Maizels (1994) también da cuenta que las grandes fluctuaciones de precios de commodities pueden ser explicadas por shocks de oferta y demanda relacionada con el físico. La duración de los shocks y la amplitud dependerá también de la situación de stocks de los commodities. Si el impacto puede absorberse a través de stocks entonces el mismo pierde potencia, en cambio si los niveles de stocks son bajos cualquier problema que afecte a la demanda o la oferta tendrá gran impacto sobre el precio. Parte de los fuertes incremento de precios de la última década se dieron coincidentemente con situaciones de muy bajos stocks a nivel mundial para las distintas producciones.
1.3 Tasa de interés
Otro determinante del precio que ha sido estudiado por el cuerpo teórico es la tasa de interés. Hotelling (1931) estudió la relación entre la tasa de interés y los commodities, utilizando como ejemplo el petróleo. Su análisis supone que los depósitos de petróleo se encuentran suficientemente accesibles para que los costos de exploración y desarrollo sean pequeños en comparación con el valor del petróleo. El productor debe decidir en cada momento del tiempo cuánto petróleo extrae de los pozos. Luego vende lo extraído a precio de mercado y deposita esto a una tasa de interés que puede considerarse igual a la treasury bills. Si no hay expectativa de alza de precio futuro entonces hay incentivos a extraer mayor cantidad, vender y colocar a una tasa de interés. Como todos los productores actúan del mismo modo, se ejerce presión a la baja del precio presente por debajo de su precio de largo plazo. Si esto sucede hay incentivos a dejar el petróleo en los pozos a la espera de que el valor converja a su equilibrio. Por lo tanto, el mercado estará en equilibrio cuando la expectativa de incremento de precio se equipare con la tasa de interés. Hotelling concluye entonces que en el largo plazo los precios del petróleo deben subir al menos a la misma tasa que la tasa de interés. Es un modelo básico que muestra que el interés teórico por la relación entre la tasa de interés y el precio de los commodities lleva largo tiempo.
Más recientemente, el trabajo de Frankel (2006) profundiza sobre la temática. Altas tasas de interés reducen la demanda de commodities almacenables e incrementan la oferta de los mismos a través de 3 canales: i) en commodities energéticos como el petróleo un alza de la tasa de interés incentiva la extracción en detrimento de hacerlo en el futuro al igual que en el modelo de Hotelling, ii) otro canal es la baja de incentivos para incrementar los inventarios, iii) y por último se genera un efecto sustitución en aquellos inversores que venden sus posiciones en commodities a otras inversiones financieras como los treasury bills.
Los tres mecanismos operan reduciendo el precio de los commodities ante
un aumento de la tasa de interés, tal como sucedió en los primeros años de la década del 1980. Una baja de la tasa de interés real tiene el efecto contrario, bajando los costos de acarrear inventarios e incentivando el efecto sustitución hacia commodities. Otro texto de Frankel (2005) pone simplemente con su título respuesta a la pregunta “¿Por qué los precios del petróleo y los metales están altos? No se olviden de las bajas tasas de interés”. El aporte teórico tiene su base en el modelo de overshooting de Dornbusch (1976) y se puede resumir de la siguiente manera: una contracción monetaria temporaria sube la tasa de interés real ya sea vía la tasa de interés nominal, una caída en la inflación esperada o una combinación de ambas. El precio de los commodities en términos reales cae hasta el punto que son vistos ampliamente subvaluados y tienen una expectativa futura de apreciación que es suficiente para contrarrestar la nueva tasa de interés alta. En el largo plazo el nivel de precios se ajusta para cambiar la oferta monetaria real, la tasa de interés real y el precio real de los commodities retorna al comienzo.
La razón que explica este overshooting es que los precios de los productos
agropecuarios y minerales ajustan rápidamente mientras que el resto de los precios ajusta lentamente. A continuación se presenta una breve descripción del modelo:
s ≡ precio spot del commodity.
–s ≡ precio de largo plazo de equilibrio del commodity.
p ≡ índice de precios de la economía.
q ≡ s – p, precio real del commodity.
q– ≡ precio real de equilibrio de largo plazo del commodity.
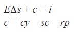
Todas las variables se encuentran en términos logarítmicos. Los participantes del mercado que observan el precio real del commodity por debajo del valor percibido de largo plazo, esperan que en el futuro regrese al valor de equilibrio a una tasa anual proporcional a la diferencia:
(4)Siguiendo el modelo clásico de Dornbusch la idea subyacente es volver
al valor de equilibrio de largo plazo. La siguiente ecuación da cuenta sobre la decisión de mantener el commodity por otro periodo más o venderlo al precio actual y depositar el dinero correspondiente a un interés determinado. La condición de arbitraje muestra que la tasa esperada de retorno de estas dos alternativas debe ser la misma:
(5)Donde,
cy ≡ es la tasa de conveniencia de mantener el stock.
sc ≡ los costos de mantener el stock (pueden ser costos de seguridad, costos de acopio, etc.).
rp ≡ es la prima de riesgo. – i ≡ tasa de interés.
Tiene una aplicación interesante en el mercado de futuros ya que la curva
del mercado está dada por:
(6)Para conseguir el resultado buscado originalmente se combinan las pri-
meras ecuaciones para obtener:

La última ecuación muestra que el precio real del commodity en relación
a su precio de equilibrio es inversamente proporcional a la tasa de interés real medida con relación a la tasa de conveniencia[2]. La conclusión de esto es que cuando la tasa de interés es alta como en los años 80 el dinero fluye desde los commodities tal y como lo hace desde mercados emergentes. Solamente cuando el precio es lo suficientemente bajo como para percibir el arbitraje es que la condición comienza a activarse. En cambio, cuando la tasa de interés es baja el dinero se desplaza hacia los commodities como puede observarse en el periodo 2001-2005; de la misma manera que pudo observarse luego de la caída de Lehman Brothers.
1.4 Petróleo y bienes agropecuarios
Por último, existe un vínculo que no puede dejar de mencionarse entre los precios del petróleo y los bienes agropecuarios. La relación directa marca que mayores precios de petróleo implican para los productores de bienes agropecuarios mayores costos de transporte e incrementos de costos de producción. La relación indirecta marca también que los picos de precio del petróleo de la última década han incentivado la búsqueda de otras fuentes de energía. Tierras que eran usadas para producir bienes que tenían como destino alimento pasaron a producir el insumo para el desarrollo de biocombustibles. Tanto oleaginosas, y más claramente el caso del maíz para etanol, representan claros ejemplos de esto último. Las políticas implementadas en EE.UU. que obligan a un consumo mínimo obligatorio de biocombustibles en las naftas fueron un fuerte impacto en la demanda. Actualmente un tercio del total de la demanda americana de maíz se destina para etanol cuando hace 10 años no alcanzaba el 5% del total.
1.5 Tendencias de largo plazo
En relación a los estudios que se centraron en las tendencias de largo plazo, pueden mencionarse las teorías de precios al alza de Hottelling-Malthus y de precios a la baja de Prebisch-Singer.
Respecto a la primera teoría, Malthus (1798) se basaba en la visión de una
tendencia de precios alcista sobre los bienes primarios. En An Essay on the Principle of Population (Malthus, 1798) hizo su famosa publicación sobre la dinámica entre el crecimiento de la población y la disponibilidad de recursos, donde exponía que la población mundial tendía a incrementarse más rápido que la disponibilidad de alimentos, dadas tasas de crecimiento geométricas y aritmético, respectivamente. La proposición muestra que mientras una mayor población demanda alimentos dada una determinada tierra arable fija significa que progresivamente los mismos se harán más escasos. La única solución económicamente posible es que los precios se incrementen en el largo plazo como un reflejo de la escasez.
Por otro lado, la hipótesis de la escuela estructuralista descrita por Prebisch (1950) es que los precios de los bienes agropecuarios siguen una tendencia declinante en el largo plazo en relación a las manufacturas. Tomando datos de importaciones y exportaciones británicas que consideró representativas de los precios mundiales argumentó que desde 1860 hasta la fecha de publicación de su artículo seminal los términos de intercambio se habían movido en contra de los países productores de commodities. Paralelamente Singer (1950) encontró una tendencia similar desde 1870.
En síntesis, a lo largo de esta sección se han explorado los modelos y teorías tradicionales que vinculan la evolución de los precios de commodities con la tasa de interés, con los niveles de stocks, con la cotización del dólar y con otros factores estructurales vinculadas al comercio internacional. En tanto, en la sección siguiente, se profundizará en un factor contemporáneo que la literatura denomina financiarización de commodities.
2. El proceso de financiarización de commodities
En los últimos años, un conjunto de innovaciones financieras permitió que los productos agropecuarios ingresen en carteras de inversión de sectores que nada tienen que ver la producción y comercialización de los mismos. En este sentido, un elemento distintivo de la última década en los mercados de commodities es la mayor presencia de inversores de cartera. Ello implica que muchos de los instrumentos financieros derivados que son usualmente utilizados como herramienta de cobertura y como medio para reducir la incertidumbre de precios sean usados como vehículo de inversión para incorporar commodities en portafolios de la banca de inversión. El proceso mediante el cual estos productos pasan a integrar carteras de inversores financieros puede denominarse financiarizacion de commodities.
Desde el punto de vista de los mercados agropecuarios, este fenómeno es de suma importancia porque puede influir sobre los precios, pudiendo generar perturbaciones no solamente por la especulación ya existente en el mercado de futuros sino por la acción de los fondos comunes de inversión. Esto se generaría porque el conjunto de inversores mencionados trata a los commodities como un activo más dentro del portafolios de inversión y no como un bien de consumo propiamente dicho. A diferencia de los que utilizan los mercados de derivados para mitigar distintos riesgos, los inversores financieros participan para obtener una ganancia de capital, es decir, especular con los precios: se espera que tomando una posición comprada (larga), el precio de futuro sea mayor al precio presente. La aplicación de estas estrategias por parte de los grandes fondos de inversión implica que pueden tener una influencia considerable dentro del funcionamiento del mercado, dado el volumen de recursos con el que cuentan. Tang (2012) marca que la presencia de estos fondos hace que el mercado se comporte más como un mercado financiero que como un mercado clásico de commodities.
La literatura empírica sobre financiarización ha propiciado debates políti-
cos por su impacto en los precios de los alimentos, pero todavía el material teórico está en ciernes. Por ello, encontrar definiciones de financiarización como punto de partida ayuda a comprender el fenómeno. Es en este marco, el trabajo de unctad (2011) resulta fundamental ya que lo define como el creciente rol que tienen los motivos, mercados y actores financieros sobre el mercado de commodities. Henderson (2012) lo define como la influencia relativa que ha ganado el sector financiero en detrimento del sector real a la hora de determinar el nivel de precios y la dinámica de retornos sobre estos mercados.
Para entender el proceso de financiarización de commodities, resulta necesario describir el conjunto de innovaciones financieras que permiten actualmente la incorporación de tales productos a carteras de inversión. La creación de instrumentos como los Exchange-Traded Fund (ETF) favorecieron el acceso de nuevos jugadores al mercado de commodities. Los ETF son básicamente fondos de inversión que intentan replicar un determinando índice, ya sea de renta variable, renta fija y/o de un o una canasta de commodities. La principal característica de los fondos de inversión cotizados es que sus participaciones se negocian en mercados bursátiles electrónicos en tiempo real con las mismas características que se aplican a cualquier otro valor cotizado, pudiéndose comprar y vender a lo largo de una sesión al precio existente en cada momento.
La inversión en índices que replican el comportamiento del precio de un conjunto de commodities (commodity index) tuvo su auge en los últimos años. De acuerdo a Tang (2012), estos vehículos buscan replicar el retorno de una canasta e incluyen una amplia variedad de productos. En todos los casos son construcciones de portafolios de inversión pasivos basados en posiciones largas de futuros, es decir, sin tenencia alguna del subyacente.
Cuando los inversores compran estos índices, entran en un acuerdo bilateral, que usualmente toma la forma de swap con un banco o una institución financiera. El inversor entonces compra una determinada cantidad de partes del índice y el banco o la entidad cubren su exposición al riesgo a través del mercado de futuros. Los inversores que participan en estos índices solo pueden tomar posiciones largas y en ningún momento hay un compromiso físico de los commodities que componen el índice.
Waggoner (2011) mostró que aquellos inversores que quisieran apostar en precios al alza en bienes primarios obtienen mejores resultados invirtiendo en un ETF agrícola que invertir en un commodity en particular, dadas las virtudes aportadas por el principio de diversificación. Además, estos ETF no incurren en costos de almacenaje físico del commodity y el costo de estos fondos cotizados suele ser menor al de las commodity-linked notes (ETN).
Evolución reciente
Algunos de los ETF más conocidos son el Dow Jones-UBS Commodity Index (DJUBSCI) y el S&P GSCI[3]. Las inversiones en estos índices, entre otros, han crecido a lo largo de los últimos años hasta alcanzar un pico en septiembre de 2012. A modo de ejemplo se puede mencionar el valor nocional de la posición larga neta de los Index funds para soya y de la cantidad de futuros equivalentes. Antes del estallido de la crisis financiera internacional en septiembre de 2008 los Index funds tenían una posición larga en valor nocional de su portafolios de soya de US$ 11.000 millones. Con el estallido de la crisis se retrocede a un mínimo en US$ 4.800 millones para luego recuperarse y registrar un máximo de u$s 16.300 en agosto de 2012. Vale destacar que este último valor se encuentra influenciado por la sequía que experimentó EE.UU., la cual impactó fuertemente en los precios de la soya. A partir de ese momento, se produce un descenso que tiene varios factores de explicación. Entre ellos pueden mencionarse el bajo retorno de los commodities en relación al mercado accionario y la aplicación de la Reforma Dodd-Frank en EEUU que comenzó a tener efectos ese año (2012). El último dato publicado por el CFTC muestra a los Index Funds con valores nocionales por US$ 10.400 millones. Desde septiembre de 2012 la cantidad de contratos largos se encuentra por debajo de los últimos años, pero por encima de los primeros registros de la serie.
En tanto, el comercio de derivados de commodities en mercados de overthe-counter (OTC) tuvo un crecimiento exponencial durante la última década. El acceso a este tipo de mercados es otra de las puntas fundamentales para entender la relación entre las innovaciones financieras y el proceso de financiarización de commodities. El Bank for International Settlements (bis) recopila información sobre el mercado de OTC desde el año 1998 en un esfuerzo por aportar transparencia al mercado. El valor de mercado de las posiciones abiertas en commodities se multiplicó por 70 desde el primer dato de la serie hasta el máximo registrado en junio de 2008 previo al estallido de la crisis internacional. Es interesante notar que durante los primeros años de la década el tamaño del mercado de OTC en acciones fue siempre mayor al de commodities. En diciembre 2004 la serie comienza a mostrar un crecimiento acelerado de las operaciones en OTC relacionadas a commodities que lo llevan tan solo un año después al tamaño de las posiciones en acciones. Incluso durante 2007 el tamaño de las posiciones en OTC para commodities llegó a ser el doble que en el mercado accionario. Bassu y Gavin (2011) ensayan una posible explicación para este fenómeno. Acorde a los autores el pico en commodities puede estar asociado a la pérdida de confianza en los mortgage backed securities (MBS) y sus derivados que se venía experimentando hacía unos meses. Algunos índices que relevaban los precios de estas securities habían empezado a mostrar caídas desde diciembre de 2006 y para agosto de 2007 las MBS de más alta calificación también habían comenzado a mostrar signos de stress. Para los autores una especie de arbitraje entre estos mercados puede haber sido un factor de explicación para el pico del volumen de OTC durante ese periodo.
Esto muestra que el proceso de financiarización ha sido extremadamente veloz durante los últimos años. Basta con ver que los tamaños de las producciones de commodities físico durante el periodo han crecido a su ritmo habitual y que por lo tanto no podría ser, a priori, un factor explicativo. Un mayor deseo de cobertura por parte de los productores tampoco luce a primera vista como un factor explicativo dado que se ha mantenido cerca de los niveles históricos. Otro hecho estilizado es que el tamaño del mercado de OTC para commodities ha descendido sistemáticamente desde el estallido de la crisis, mientras que el mercado de acciones opera en un nivel menor pero mayor al anterior a la crisis. Parte de la explicación de la caída se corresponde a la aplicación de la Reforma Dodd-Frank que impuso mayores controles a la hora del acceso al mercado de OTC.
Hasta esta parte se ha desarrollado el marco teórico de los diferentes modelos que describen ciertas dinámicas de comportamiento de los precios de los commodities, para luego describir cómo ciertas innovaciones financieras han permitido el ingreso de actores financieros a estos mercados. Si bien se parte de la premisa de la existencia e influencia de tales actores, la hipótesis de financiarización, como fue dicho, se encuentra aún en ciernes. Otros estudios ya han analizado correlaciones entre índices de commodities e índices bursátiles (Tang et al., 2012) y pruebas de causalidad entre ambas variables (Gilbert, 2014). En tanto, la sección siguiente evaluará otra arista de la problemática que no ha sido explorada con profundidad: los cambios en la influencia de la tasa de interés sobre el precio del frijol de soya.
3. El modelo de Vectores Autorregresivos
El objetivo principal de esta sección es estudiar la respuesta de los precios internacionales del frijol de soya ante variaciones en la tasa de interés norteamericana. Se parte de la premisa que de existir evidencia en favor de una financiarización de commodities, en particular del frijol de soya, se debería encontrar una mayor sensibilidad a la tasa de interés en los últimos años. Por lo tanto, se postula un modelo VAR (vectores autoregresivos) para alcanzar dicho objetivo.
La elección de esta herramienta de modelización frente a otras alternativas,
como las ecuaciones simultáneas, radica en la posibilidad del estudio de funciones de impulso-respuesta. Estas analizan la interacción dinámica que caracteriza al sistema estimado siendo posible identificarlas con la simulación del modelo propuesto, mostrando la reacción o respuesta de las variables explicadas en el sistema ante cambios en los errores. Un shock en una variable en el periodo i afectará directamente a la propia variable y, al mismo tiempo, se transmitirá al resto de las variables explicadas a través de la estructura dinámica en el modelo VAR.
Una de las críticas al modelo VAR es que, dada su forma de construcción (que se detalla a continuación) la interpretación de los parámetros se vuelve compleja. No obstante, no es el objetivo de este trabajo la estimación de dichos parámetros sino comprender la respuesta de la soya ante cambios en la tasa de interés y comprender si esa respuesta ha cambiado en los últimos años.
La técnica aplicada, propuesta por Sims (1980), sugiere que de existir una verdadera simultaneidad entre un conjunto de las variables todas deben ser tratadas de la misma manera. No debería existir ex-ante una distinción entre variables endógenas y exógenas. Los modelos de ecuaciones simultáneas que trata la econometría tradicional permiten explicitar esta dependencia mutua entre las variables. Sin embargo, para lograr una formalización adecuada se requiere clasificar las variables en las categorías “endógenas” y “exógenas”, distinción que no siempre surge con claridad de la teoría económica subyacente. Sims busca solucionar este problema: en su versión irrestricta trata a todas las variables simétricamente en el sentido de que coloca en el mismo rango a todas las variables del modelo: todas son endógenas y se especifica cada una de ellas como función lineal de sus propios valores pasados y valores pasados de las restantes variables del sistema.
Estos modelos son utilizados particularmente para analizar la dinámica
generada ante el impacto de un shock aleatorio en alguna de las variables del sistema por lo cual se adapta al objetivo planteado en esta sección.
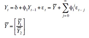
Con la idea de simplificar la exposición teórica se utiliza un Modelo VAR Bivariado de Primer Orden presentando en Brooks (2014):
(8)
(9)Puede observarse que cada variable es función lineal de los valores rezagados
de ella misma y de las restantes variables incluidas. Cada variable regresando comparte el mismo grupo de variables regresoras. Esto permite interpretar la representación VAR como la forma reducida de un modelo estructural de ecuaciones simultaneas. Para la representación anterior el modelo estructural correspondiente es:
(10)
(11)Una de las ventajas decisivas, como se mencionó anteriormente, que
tiene la modelización VAR frente a otras alternativas es la posibilidad de estudiar funciones de impulso respuesta sobre las variables. Siguiendo la notación vectorial del modelo se tiene que:
(12)Tomando en cuenta la estacionariedad del VAR (1) puede expresarse esto como un Vector de Medias Móviles (∞):
(13)Combinando la representación vectorial del modelo estructural con la representación anterior como medias móviles puede verse que:
(14)Esta representación permite analizar la interacción entre las series. Los coeficientes φik que componen cada una de las matrices pueden utilizarse para generar los efectos de m1 ty m2 t sobre las trayectorias temporales de Y1 t e Y2 t . Estos coeficientes son los multiplicadores del sistema y sus representaciones gráficas constituyen las funciones de impulso-respuesta.
Una cuestión relacionada directamente con la efectividad de las respuestas
de los coeficientes de impulso-respuesta es la determinación de los retardos óptimos a utilizar en el modelo VAR. El estudio de Ivanov y Kilian (2005) presenta una excelente discusión sobre el criterio óptimo de selección. Se ha demostrado que la dinámica de las respuestas a los impulsos, dependen críticamente del orden de los retardos elegidos que se ajusten a los datos del VAR. Estas diferencias pueden ser lo suficientemente grandes como para afectar la interpretación de las estimaciones. La estrategia más común en los trabajos empíricos es seleccionar un orden para el retardo por algún criterio específico y condicionar las estimaciones sobre este a la hora de construir las funciones de impulso-repuesta. Se recomienda utilizar varios criterios de selección para determinar el orden correcto que mejor se ajuste a los datos. Todavía existe una discusión teórica sobre cómo proceder en el caso que distintos criterios ofrezcan diferentes selecciones de retardos. Los autores concluyen que para series mensuales la utilización del criterio de AIC (Akaike information criterion) es el adecuado para la selección. Llegan a esta conclusión para muestras de T=600; cuando el T es menor, por ejemplo, 240, el criterio de AIC es tan adecuado como el HQ (Hannan-Quinn information criterion). A los fines de este trabajo se prioriza en ambos criterios sin perder de vista el resto a los fines de ganar robustez.
Una vez estimado el modelo puede procederse a excluir algunas variables explicativas en función de su significatividad estadística, pero existen razones que explican que no resulta lo más conveniente. Por un lado, si se mantiene el mismo conjunto de variables explicativas en todas las ecuaciones, entonces la estimación ecuación por ecuación por mínimos cuadrados ordinarios es eficiente. Por otro lado, la presencia de retardos como variables explicativas hace que la colinealidad entre variables explicativas sea importante, lo que hace perder precisión en la estimación del modelo y reduce los valores numéricos de los estadísticos tipo t de Student. Esto hace que no sea una buena estrategia proceder en varias etapas, excluyendo del modelo las variables cuyos coeficientes resultan estadísticamente no significativos, ya que esto puede ser consecuencia de la colinealidad inherente al modelo.
Por otro lado, se espera que las variables analizadas presenten raíces unitarias por lo cual utilizar un VAR directamente no es el camino adecuado. Este último es un marco general de análisis que describe las relaciones dinámicas entre variables estacionarias. Por lo tanto, el primer paso será probar la presencia de raíces unitarias para las variables en niveles. En caso que lo sean se tomarán las mismas en primeras diferencias ya que usualmente si las variables en niveles no son estacionarias sus primeras diferencias lo serán. También se analizará la cointegración de las variables para determinar si se utilizará un modelo de Vector de Correción de Errores (VEC) o una especificación VAR. Si las variables son estacionarias en sus diferencias se tiene un modelo con las siguientes características:
(15)
(16)(16)
Bajo esta especificación puede procederse a estimar con el método de mí-
nimos cuadrados. Introduciendo las relaciones de cointegración entre las variables del mismo orden se tiene el Vector de Corrección de Errores:
(17)El término ( Y1,t–1 – γY2,t–1 ) es conocido como término de corrección
de error. Dado entonces que Y1,t–1; Y2,t–1 están cointegradas la combinación en el paréntesis será I (0,) aun cuando sus predecesoras no lo eran. Una vez planteada esta corrección los procedimientos de mínimos cuadrados e inferencia estadística vuelven a ser válidos.
3.1 Especificación del modelo VAR aplicado
ios en los stocks y de la cotización del dólar a los fines de aislar la influencia específica de la tasa de interés.
Tal como se mostró en secciones anteriores se parte de los determinantes estudiados por la literatura para especificar el modelo. Se eligen como variables la tasa de interés americana, la cotización del dólar y la relación stock/consumo de frijol de soya. Si bien el foco del trabajo se centra en el estudio del efecto de los cambios de la tasa de interés en los precios, es necesario controlar dentro del modelo los efectos en los cambios en los stocks y de la cotización del dólar a los fines de aislar la influencia específica de la tasa de interés.
Las variables que componen el modelo son las siguientes:
La variable Pbeans representa al precio internacional del frijol de soya y surge de los contratos de futuro operados en Chicago. Los mismos están nominados en dólares por tonelada (U$/tn) y la fuente de información utilizada es el Fondo Monetario Internacional.
La variable Tasa se refiere a la tasa de interés americana y está representada por la tasa a 10 años de los bonos americanos de madurez constante y la fuente de datos es la Fed de St. Louis.
La variable DollarIndex representa un índice que mide la fortaleza relativa del dólar ante una canasta de monedas extranjeras. Dicha canasta está compuesta por Euro en 57,6%, Yen en 13,6%, Libra Esterlina 11,9%, Dólar Canadiense 9,1%, Corona Sueca en 4,2% y Franco Suizo en 3,6%. Un alza del Dólar Index implica un dólar apreciándose ante las demás monedas. La fuente de esta información es la plataforma de trading electrónica DTN PropheteX .
La variable stockcons es la relación stock/consumo de frijol de soya en Estados Unidos. La fuente es el Departamento de Agricultura de los Estados Unidos (USDA) quien publica estos datos de manera mensual informando su estimación sobre los stocks a fin de campaña y consumo de frijol de soya en Estados Unidos. El ratio está construido manualmente sobre la base de la estimación a final del año comercial.
Las variables utilizadas en el análisis tienen una frecuencia mensual y van de 1990 a 2014. Fueron computados con el software Eviews .
Dado que el objetivo de este trabajo es estudiar si se han generado cambios
en la sensibilidad del precio de la soya ante cambios de la tasa de interés se separa el periodo de estudio en dos subperiodos: el primero comprende desde 1990 hasta 2003 y el segundo desde 2004 hasta 2014. La fundamentación de la elección del punto de quiebre de la muestra se basa en que es a partir del 2004 cuando se registra un crecimiento acelerado de las operaciones en OTC relacionadas a commodities y la correlación entre tales productos y acciones se eleva sustancialmente respecto al periodo previo, tal como fue descrito en la marco teórico de este trabajo. Asimismo, Basak y Pavlova (2014) resumen que la mayor parte de la literatura que aborda el tema de la financiarización de commodities (Buyuksahin et al. (2008), Irwin and Sanders (2011), Tang and Xiong (2012), Hamilton and Wu (2013) (Error 5: La referencia debe estar ligada) (Error 6: El tipo de referencia es un elemento obligatorio), Boons, de Roon, and Szymanowska (2014), entre otros), identifican un quiebre estructural en 2004. La segmentación de la muestra permitirá justamente observar si se generan cambios en la respuesta del modelo entre periodos.
En ambos casos se realizan las pruebas de raíz unitaria, de cointegración,
se define el nivel óptimo de retardos y se simulan las reacciones frente a un shock de tasa de interés y frente a un shock de stocks .
4. Resultados
En esta sección se presentan las pruebas previas a la configuración del modelo, como asimismo los resultados del modelo VAR estimado. Se comienza por orden cronológico analizando el periodo 1990-2003 para luego repetir el mismo análisis en el periodo 2004-2014.
4.1 Periodo 1990-2003
Todos los test de raíz unitaria arrojan los resultados esperados. No se rechaza la hipótesis nula para las variables en niveles por lo tanto las mismas presentan raíz unitaria. La primera diferencia, tal como se espera, no presenta raíz unitaria.

Se procede a seleccionar los retardos óptimos para el modelo. Ante la igualdad de retardos por criterios se procede a seleccionar 2 retardos para ganar robustez.

LR: sequential modified LR test statistic (each test at 5% level)
AIC: Akaike information criterion; SC: Schwarz information criterion; HQ: Hannan-Quinn information criterion
El siguiente paso es probar la cointegración de las variables, ya que en
caso de existir, debe tratarse al modelo como un Vector de Errores Autorregresivos y no como un VAR. El test de cointegración rechaza la existencia de la misma para el periodo 1990-2003. Por ello, se trabaja esta subsección con un modelo VAR en primeras diferencias para eliminar el problema de raíces unitarias.

A la hora de trabajar con un modelo VAR una de las condiciones requeridas
es que todas las raíces características del polinomio del VAR presenten raíces que sean en módulo menores a uno para garantizar la estabilidad. En el gráfico siguiente puede observarse que el VAR planteado para el periodo 1990-2003 satisface dicha condición.

Una vez garantizadas todas las condiciones para estimar el VAR para el
modelo se procede a realizar la simulación objetivo de este trabajo que es estimar la sensibilidad del precio de la soya ante cambios en la tasa de interés. Para comparar, se estima mediante las funciones de impulso respuesta qué es lo que sucede con el modelo planteado para el periodo 1990-2003. Se presentan los resultados ante shocks de tasa y más adelante se ensayan asimismo shocks de stocks a los fines de evaluar la robustez del modelo.
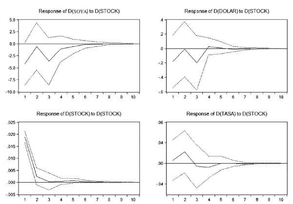
A continuación se presentan los resultados del modelo ante un shock de tasa
de interés de magnitud igual a una desviación estándar. Si bien el eje del estudio se centra en el efecto de la tasa de interés sobre el precio, se presentan las simulaciones sobre el resto de las variables a los fines de evaluar la consistencia del modelo.

Respecto a la variable de interés (primer gráfico), se observa que un
shock en una desviación estándar en la tasa de interés tiene poco impacto sobre los precios de la soya. Este resultado diferiría a lo que se espera ex-ante. El impacto más importante se produce al primer mes y para el cuarto mes el efecto desaparece. Incluso la simulación muestra un leve efecto alcista. De dicha simulación se puede concluir que no existió en el periodo 1990-2003 un efecto claro y contundente de cambios en la tasa de interés sobre el precio.
A los fines de continuar evaluado la consistencia del modelo, y corrobo-
rar que el efecto de la tasas no sea debido a una mala especificación del mismo, a continuación se realiza el mismo ejercicio pero generando un shock de stocks de magnitud igual a una desviación estándar.

Se observa que un shock en una desviación estándar en los stocks tiene un impacto negativo en los precios de la soya tal como se espera ex-ante. El impacto más importante se produce al primer mes y para el cuarto mes el efecto desaparece. Esto tiene sentido ya que el USDA va revisando su estimación mes a mes y los efectos de un cambio en la estimación presentan poca persistencia para el cuarto mes cuando ya se cuenta con tres nuevas estimaciones. La consistencia de este resultado brinda una confirmación a la validez del modelo especificado.
4.2 Periodo 2004-2014
Para el periodo 2004-2014 todos los test de raíz unitaria arrojan los resultados esperados. No se rechaza la hipótesis nula para la variable en niveles y por lo tanto presentan raíz unitaria. La primera diferencia, tal como se espera, no presenta raíz unitaria.

Para el modelo del periodo 2004-2014 los retardos óptimos seleccionados
por 3 de los 5 criterios de selección son 2 por lo cual se procede a estimar con ese orden. Luego se procede a probar la estabilidad del modelo VAR.

Al igual que en el periodo anterior todas las raíces del polinomio característico son menores a 1 en valor absoluto por lo cual el VAR es estable para el periodo 2004-2014.

Finalmente se realiza el correspondiente test de cointegración para determinar el uso de un VEC o un VAR. Como podemos ver en la tabla siguiente no se encuentra evidencia de cointegración por lo cual la modelización del periodo 2004-2014 se corresponde con un VAR.

El test Trace indica que no hay ecuación de Cointegración al nivel del 0,05
elaboración en propia. Muestra el rechazo de la hipótesis al 0,05 **MacKinnon-Haug-Michelis (1999) pMuestra el rechazo de la hipótesis al 0,05 **MacKinnon-Haug-Michelis (1999) p-values
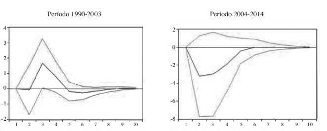
Finalmente se realizan los correspondientes shocks de interés mediante las funciones de impulso respuesta. Se pretende estudiar la respuesta ante un cambio en la tasa de interés en la cotización del precio de la soya para poder comparar con el periodo previo (1990-2003).
A continuación se realiza la misma simulación que en el periodo previo,
presentando los resultados del modelo ante un shock de tasa de interés de magnitud igual a una desviación estándar.

Respecto a la variable de interés (primera figura del gráfico 4) es interesante
notar que para el periodo 2004-2014 un shock en la tasa de interés tiene un fuerte impacto sobre la cotización de la soya. Tiene el impacto negativo que se espera exante y sus efectos persisten hasta el octavo mes luego de producido el shock.
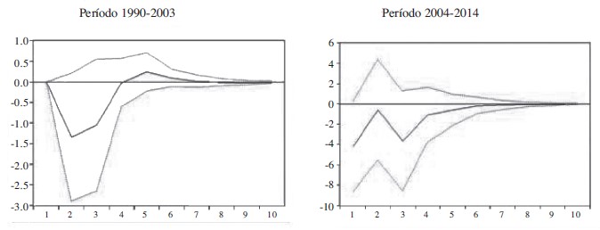
A continuación se presentan los resultados del modelo ante un shock de stocks de magnitud igual a una desviación estándar.

En este caso, el precio del frijol de soya (primera figura del gráfico 6) responde tal como se espera ex-ante frente a un incremento en los stocks. Se observa que el efecto es negativo y perdura hasta el sexto mes. Se recuerda que el USDA va presentando estimaciones todos los meses y es probable que el efecto a partir del cuarto mes ya no sea tan relevante.
4.3 Síntesis de resultados
El análisis y la comparación de ambos subperiodos permite concluir que la cotización del frijol de soya en Chicago se ha vuelto más sensible a movimientos en la tasa de interés americana durante el periodo 2004-2014. Teniendo en cuenta que la tasa de interés es una de las principales variables de decisión en la lógica de los inversores financieros, se postula que los argumentos aquí expuestos van en favor del proceso de financiarización de commodities (aun teniendo en cuenta que los factores fundamentales como los stocks siguen afectando al precio en forma semejante en ambos periodos). Los resultados siguen la línea de trabajo de Tang et al. (2012) quien ha mostrado que los commodities han comenzado a comportarse más como activos financieros que como bienes de consumo propiamente dichos.

Gráfico N°7-a: Sensibilidad del precio de la soja ante un shock de tasa de interés

Entre las principales limitaciones del estudio, debe de destacarse que los resultados presentados se limitan exclusivamente al periodo de estudio y no pueden ser extrapolados a tendencias futuras. Esto responde a que buena parte de los efectos financieros que emergieron a partir de 2004 se dieron coincidentemente con situaciones de muy bajos stocks a nivel mundial para las distintas producciones. De generarse otro escenario de incremento de stocks, los efectos financieros podrían disminuir su incidencia.
Conclusiones
Los modelos estimados en este trabajo muestran que la cotización del frijol de soya en Chicago se ha vuelto en el periodo 2004-2014 mucho más sensible a los movimientos de la tasa de interés. Esta última juega un rol fundamental en la lógica de las decisiones de los inversores financieros quienes arbitran sus carteras teniendo siempre como referencia la tasa de interés. En ese sentido los resultados alcanzados aportan claridad en la relación entre el mercado de soya y el mercado financiero representado por la tasa de interés americana.
La financiarización de commodities puede traer inconvenientes al funcio-
namiento habitual del mercado, dado los precios no solo reflejarían los cambios en los factores fundamentales sino que también estarían sujetos a la influencia de los mercados financieros.
Ello implica que, en primer lugar, los participantes del mercado que quieren cubrir sus activos encuentran señales más difusas de los precios del mercado. En segundo lugar, desde el punto de vista del mercado financiero, la incorporación de commodities a las carteras de inversión no arrojaría beneficios de diversificación. En tercer lugar, entender a los commodities, en particular la soya, como un elemento más de la cartera de inversión de los distintos jugadores del mercado financiero se vuelve particularmente relevante para países exportadores de este cultivo, por ejemplo en Argentina, donde un 25% de las exportaciones dependen del complejo soyero. El hecho que el frijol de soya se haya vuelto mucho más sensible a los movimientos de la tasa de interés pone en evidencia mayores riesgos en el frente externo, dado que los impactos de una reversión de este ciclo bajista de tasas de interés podrían impactar en los ingresos de divisas de estos países aun cuando los mercados de capitales se encuentren cerrados.[4] Por otro lado, la soya constituye un cultivo con alta incidencia en la cadena alimentaria de países en desarrollo, por lo cual la contracara del fenómeno es sufrida por los países dependientes de la importación de commodities agrícolas para la provisión de alimentos.
En suma, el mercado se ha complejizado tanto en sus jugadores como en su funcionamiento, lo cual pone en relevancia la necesidad desarrollar mecanismos de gestión del riesgo de precio dada su incidencia tanto a nivel microeconómico como macroeconómico.
Se derivan como futuras líneas de investigación la réplica de las pruebas para otros conjuntos de commodities.
Referencias
Aizenman, J., y Borensztein, E. R. (1988). “Debt and conditionality under endogenous terms of trade adjustment” (No. w2582). National Bureau of Economic Research.
Aulerich, N. M., Irwin, S. H., & Garcia, P. (2010). “The price impact of index funds in commodity futures markets: evidence from the CFTC’s daily large trader reporting system” Working Paper, Department of Agricultural and Consumer Economics, University of Illinois.
Baker, S. D. (2014). “The financialization of storable commodities”, Working Paper, McIntire School of Commerce, University of Virginia, Charlottesville, VA.
Basak, S. y Pavlova, A. (2014). “A model of financialization of commodities”. Available at SSRN 2201600.
Basu, P., y Gavin, W. T. (2010). What explains the growth in commodity derivatives?, Federal Bank of St. Louis review., 93(1), 37-48.
Boons, M., De Roon, F., y Szymanowska, M. (2014). “The price of commodity risk in stock and futures markets”, AFA 2012 Chicago Meetings Paper.
Borensztein y Reinhart C. (1994). “The Macroeconomic Determinants of Commodity Prices”, IMF Working Paper, No. 94/9
Brooks, C. (2014). Introductory econometrics for finance, Cambridge: Cambridge University Press.
Buyuksahin, B., Haigh, M. S., y Robe, M. A. (2008). "Commodities and Equities: ‘A Market of One’?" Available at SSRN 1069862.
Clark, G. (2008). “In defense of the Malthusian interpretation of history”, European Review of Economic History, vol. 12(2), pp. 175-199.
Dornbusch, R. (1985). “Policy and Performance Links Between LDC Debtors and Industrial Nations”, Brookings Papers on Economic Activity, Vol. 1985, Nº 2, pp. 303-368.
Dornbusch. (1976). Expectations and Exchange Rate Dynamics. Journal of Political Economy, Vol. 84 (December 1976), Page 1161-1176.
Frankel, J. A. (2013). “Estimated Effects of Speculation and Interest Rates in a “Carry Trade” Model of Commodity Prices”, Working Paper 19463, National Bureau of Economic Research.
Frankel, J. A. (2006); “The Effect of Monetary Policy on Real Commodity Prices”, NBER Working Paper Nº 12713.
Gilbert, C. L.y Pfuderer, S. (2014). “The Role of Index Trading in Price Formation in the Grains and Oilseeds Markets”, Journal of Agricultural Economics, Vol. 65, No. 2, 2014, pp. 303–322
Gilbert, C. L. (2010). “How to Understand High Food Prices”, Journal of Agricultural Economics, Vol. 61, Issue 2, pp. 398–425.
Gilbert, C. L. (1989); “The Impact of Exchange Rates and Developing Country Debt on Commodity Prices”, The Economic Journal, Vol. 99, pp. 773-784.
Hamilton, J. D., y Wu, J. C. (2015). “Effects of Index” Fund Investing on Commodity Futures Price”, International Economic Review, 56(1), 187-205.
Henderson, B.J., N.D. Pearson, y L. Wang, (2012). “New evidence on the financialization of commodity markets”, Working Paper, George Washington University.
Hotelling, H. (1931). “The economics of exhaustible resources”, The Journal of Political Economy, Vol. 39, Issue 2, 137-175.
Irwin, S. H., y Sanders, D. R. (2011). “Index funds, financialization, and commodity futures markets”, Applied Economic Perspectives and Policy, Vol. 33, No. 1.
Ivanov, V., y Kilian, L. (2005). “A practitioner’s guide to lag order selection for VAR impulse response analysis”, Studies in Nonlinear Dynamics & Econometrics, 9(1).
Maizels, Alfred (1994). “Commodity Market Trends and Instabilities: Policy options for Developing Countries”, UNCTAD Review, 1994, Geneva: 53-6.
Malthus, T. R. (1798). An essay on the principle of population (Vol. 1).
Massot, J. (2008). “Administración del Riesgo Económico y el boom de las commodities: el caso argentino”, en Impactos de la Crisis Financiera Internacional en la Argentina, vol. 1, pp. 15-29.
Prebisch, R. (1950), “The Economic Development of Latin America and its Principal Problems”, reprinted in Economic Bulletin for Latin America, Vol. 7, No. 1, 1962, 1-22.
Reinhart, C. y Rogoff (2010). “Growth in a time of debt”, NBER working paper, N° 15639.
Reinhart, C. y Wickham P. (1994). “Commodity Prices: Cyclical Weakness or Secular Decline?”, IMF Staff Papers, Vol. 41, No. 2, 175-213.
Sims, Christopher A. 1980. “Macroeconomics and Reality”, Econometrica. 48, pp. 1-48.
Singer, H. W. (1950), “U.S. Foreign Investment in Underdeveloped Areas: The Distribution of Gains Between Investing and Borrowing Countries,” American Economic Review, Papers and Proceedings, 40, 473-485.
Sorrentino, A. y Thomasz, E. (2014). “Incidencia del complejo sojero: implicancias en el riesgo macroeconómico”, Revista de Investigación en Modelos Financieros, año 3, vol. 1, pp. 9-34.
Tang, K., y Xiong, W. (2012). “Index investment and the financialization of commodities”. Financial Analysts Journal, 68(5), 54-74.
Thomasz, E. y Casparri, M. (2010). “Chaotic dynamics and macroeconomics shock amplification”, Computational Intelligence in Business and Economics, pp. 507-515.
United Nations (2011). Price Formation in Financialized Commodity Markets: The Role of Information. New York and Geneva: United Nations.
United Nations Conference on Trade and Development, Geneva. (2009): Trade and Development. http://www.unctad.org/en/docs/tdr2009_en.pdf
Waggoner, J. (2011). “Farm Stocks can Leave Their Investors Reaping or Weeping”, USA Today, p5B.
Yang, J., Bessler, D. A., y Leatham, D. J. (2001). “Asset storability and price discovery in commodity futures markets: a new look”. Journal of futures markets, 21 (3), 279-300.
Notas