Recepción: 24 Octubre 2014
Aprobación: 27 Junio 2016
Financiamiento
Fuente: Universidad de Buenos Aires
Nº de contrato: UBACyT 20020130100083BA
Resumen: Los problemas de decisión, en particular en gestión y economía, están afectados de vaguedad e incertidumbre. El principal problema que afecta a la adecuada definición de los modelos económicos es la falta de certeza absoluta respecto de ciertas variables o parámetros. Las ecuaciones diferenciales lineales de primer orden, con condiciones iniciales inciertas o parámetros inciertos, tienen numerosas aplicaciones en la dinámica económica. En este trabajo, se presentan las ecuaciones diferenciales lineales de primer orden borrosas, y se las aplica al modelo de trampa de pobreza de Sachs ante la presencia de incertidumbre. Se analizan la trayectoria temporal de la variable en el caso borroso y nítido.
Palabras clave: ecuaciones diferenciales borrosas, teoría de conjuntos borrosos, trampa de pobreza.
Introducción
Los problemas de decisión, en particular en gestión y economía, están afectados de vaguedad e incertidumbre. Los métodos clásicos utilizados para su resolución ofrecen una representación simplificada de la realidad, por lo que no pueden poner de manifiesto la complejidad y el movimiento de la economía.
El principal problema que afecta a la adecuada definición de los modelos económicos, en particular los modelos de crecimiento y pobreza es la falta de certeza absoluta respecto de ciertas variables o parámetros. Por este motivo, al existir vaguedad e incertidumbre, se propone una nueva técnica que permitirá suplir estas dificultades.
Las ecuaciones diferenciales lineales de primer orden, con condiciones iniciales inciertas o coeficientes constantes inciertos, tienen numerosas aplicaciones en la dinámica económica. En este trabajo, se desarrolla una aplicación concreta, donde el problema consiste en la determinación de la trayectoria temporal de una variable económica, sobre la base de una tasa instantánea de cambio conocida.
Es muy común que los modelos dinámicos representados por este tipo de ecuaciones diferenciales, involucren variables poco precisas. En estos casos, la teoría clásica es insuficiente para el estudio de problemas dinámicos reales, gobernados por la incerteza. De allí el interés en abordar las ecuaciones diferenciales borrosas (Buckley y Feuring, 2000).
El objetivo de este trabajo consiste en mostrar el funcionamiento de las ecuaciones diferenciales lineales borrosas. A partir de la aplicación al modelo de trampa de pobreza de Sachs, se mostrarán sus ventajas y desventajas.
En la próxima sección se explican algunos conceptos elementales de la teoría de conjuntos borrosos. En la sección 2, se presentan las ecuaciones diferenciales de primer orden borrosas de tipo lineal, con condición inicial incierta o constante incierta. Finalmente, en la sección 3 se realiza una aplicación relacionada con la pobreza de un país, causada por el exceso de la deuda nacional (Sachs, 2002).
1. Conjuntos borrosos
El término borroso tiene un nuevo uso que no está relacionado a su significado usual de poco claro o confuso. Cuando se aplica este término a un conjunto, muestra que objetos revelados pueden tener diferentes grados de pertenencia al mismo (Zadeh, 1965). Los conjuntos borrosos son muy útiles para categorías que son imprecisas, como alto, bajo riesgo, alta insatisfacción, entre otros. En la actualidad, los conjuntos borrosos son utilizados en diversos campos para hacer frente a diversas preguntas y problemas, tanto en lo mundano como en lo abstracto. Para apreciar el poder de esta herramienta, es necesario adoptar una comprensión más amplia del análisis de datos y su lugar en el proceso de investigación de las ciencias sociales (Ragin, 2000).
Las herramientas basadas en la teoría de los conjuntos borrosos se asemejan al razonamiento humano en el uso de información imprecisa para tomar decisiones. A diferencia de las herramientas clásicas, que requieren de una comprensión profunda de un sistema, ecuaciones exactas y valores numéricos precisos, los modelos fuzzy incorporan una forma alternativa de pensar, que permite modelizar sistemas complejos usando un mayor nivel de abstracción originado en el conocimiento y la experiencia (Carlsson y Fullér, 2010).
Con la teoría de conjuntos borrosos, los investigadores pueden analizar la evidencia bajo formas que reflejan directamente sus argumentos teóricos. El principal problema se presenta por la dominancia de las formas convencionales de análisis cuantitativo, Mientras que no hay nada de malo con la cuantificación, es más, el análisis económico requiere de cierto rigor analítico, el análisis cuantitativo muchas veces restringe el diálogo entre las ideas y la evidencia en formas improductivas (Richters, 1997).
Un conjunto convencional o nítido es dicotómico. Un objeto está dentro o fuera de un conjunto, por lo tanto, un conjunto nítido es comparable con una variable binaria, que toma dos valores, 1 (si pertenece) o 0 (si no pertenece). Un conjunto borroso, por el contrario, permite pertenencias en el intervalo entre 0 y 1 manteniendo los dos estados extremos de pertenencia y no pertenencia completa (Fernandez, 2012).
Los conjuntos borrosos fueron introducidos por Zadeh en 1965 para manipular y representar información y datos que poseen incertidumbres no estadísticas. Fueron diseñados específicamente para representar matemáticamente la incertidumbre y la vaguedad y para proveer herramientas formalizadas para tratar con la imprecisión intrínseca en muchos problemas (Carlsson y Fullér, 2010). La incorporación de conjuntos borrosos permite la variación sin abandonar el énfasis principal en tipos y clases de casos.
El nacimiento de la teoría de los conjuntos borrosos se debió a la necesidad de disponer de alguna representación matemática de familias de objetos usuales que, con la teoría clásica de conjuntos no podían ser representados adecuadamente. Su desarrollo fue motivado en gran medida por la necesidad de un marco conceptual que puede solucionar el problema de la imprecisión léxica.
Algunas de las características esenciales de los modelos que utilizan conjuntos borrosos están relacionadas con los siguientes aspectos: El razonamiento exacto es visto como un caso límite del pensamiento aproximado, en el cual todo es cuestión de grados. Entonces, este tipo de modelos resultan adecuados para razonamientos inciertos y aproximados y permiten tomar decisiones con valores estimados bajo información incompleta o incierta.
Los conjuntos borrosos combinan valoraciones cualitativas y cuantitativas en un único instrumento. Todos los conjuntos borrosos consisten en dos estados cualitativos, plena pertenencia y nula pertenencia, y toda la variación cuantitativa que existe entre estos dos estados extremos (Ragin, 2000).
Con la utilización de los conjuntos borrosos, es posible operacionalizar interpretaciones múltiples de un concepto, y realizar varias interpretaciones de los mismos en forma específica. Proveen herramientas para la valuación de relaciones teóricas entre conjuntos, que están implícitas en cualquier análisis de las ciencias sociales (Ragin, 2000).
La idea fundamental de un conjunto borroso es relajar el requisito al admitir valores intermedios de pertenencia a una clase. A su vez, podemos asignar valores intermedios entre 0 y 1 para cuantificar nuestra percepción en cuán compatibles son estos valores con la clase, el 0 significa la incompatibilidad (exclusión completa) y el 1 la compatibilidad (inclusión completa). Los valores de pertenencia entonces expresan los grados para los cuales cada elemento del universo es compatible con las propiedades distintivas de la clase (Pedrycz et al., 2011).
En la teoría de conjuntos clásicos, un subconjunto A de un conjunto E puede ser definido por su función característica mA: E → {0,1}. El valor 0 se usa para representar la no pertenencia y el valor 1 es utilizado para representar la pertenencia (Carlsson y Fullér, 2010).
Un subconjunto borroso A de un conjunto E , puede ser definido como una serie de pares ordenados con el primer elemento del conjunto E y el segundo del intervalo [0,1], con un único par ordenado presente en cada elemento de E (Carlsson y Fullér, 2010).
Queda definida una función mA~ : E → [0,1] que asigna a cada elemento del conjunto E un valor mA~ (x) perteneciente al intervalo [0.1], llamado grado o nivel de pertenencia de x (Zadeh, 1965).
Las funciones de pertenencia generalizan funciones características de la misma forma que los conjuntos borrosos generalizan los conjuntos (Pedrycz et al., 2011).
La elección de los intervalos de las unidades para los valores de las funciones de pertenencia es en general una cuestión de conveniencia. Debemos hacer hincapié que al describir grados de pertenencia, el objetivo final es reflejar un orden de los elementos en A en términos de su pertenencia al conjunto borroso (Dubois y Prade, 1979).
Se denomina a- corte de
al conjunto nítido
para todo
(Kaufmann, 1973). Un a-corte de un conjunto borroso es el conjunto nítido que contiene todos los elementos del conjunto referencial cuyos grados de pertenencia al conjunto borroso son mayores o iguales que el valor especificado de a (Klir y Yuan, 1995). En particular, se define el a-corte para a = 0, como la clausura[1] de la unión de los A a, con 0 a ≤ 1 (Buckley, 1992a,b). Todo conjunto borroso puede expresarse mediante sus a- cortes . Los a- cortes son cortes del conjunto borroso que generan conjuntos no borrosos (Buckley et al., 2002).
Un subconjunto borroso
de un conjunto E se llama normal si existe un
. De lo contrario, se trata de un conjunto subnormal (Carlsson y Fullér, 2010).
Un conjunto borroso
es convexo si y sólo si,
se verifica que
min
(Tanaka, 1997). Si un conjunto borroso es convexo, entonces todos su α-cortes son convexos, y si un conjunto borroso tiene todos sus α-cortes convexos, entonces es un conjunto borroso convexo (Pedrycz et al., 2011).
1.1. Números borrosos
En la práctica, los valores exactos para los parámetros de los modelos, no son tan comunes. Normalmente, la incertidumbre y la imprecisión surgen debido a la falta de conocimiento e información incompleta reflejada en la estructura del sistema, parámetros, aportes y posibles limitaciones. Los números borrosos modelizan cantidades imprecisas y capturan nuestro concepto innato de números aproximados tales como aproximadamente 5 o alrededor de 10 (Pedrycz et al., 2011).
Un número borroso es un conjunto borroso de los números reales, con una función de pertenencia convexa, normal y continua de un soporte acotado (Carlsson y Fullér, 2010).
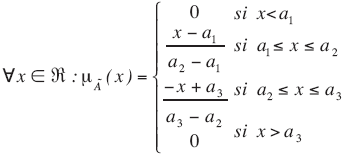
1.1.2. Número borroso triangular
Se denomina número borroso triangular (NBT) al número borroso real, continuo, determinado de manera única por tres números reales, a1, a2 y a3, tales que a1 ≤ a2 ≤ a3 (Figura 1), es usual representarlo por A = (a1, a2, a3). Su función de pertenencia está dada por:

y los a-cortes
son 
Supongamos que se desea modelar en un ambiente incierto, para el cual es posible definir los valores máximos y mínimos que puede llegar a tomar la variable imprecisa en consideración (a - corte de nivel 0, A0 = [a1, a3]). Si se lograra indicar un valor a2 en [a1, a3] como el más posible, entonces podríamos definir el valor incierto con un número borroso en donde los valores extremos estarán dados por a1 y a3 y a3 y el más posible estará en a2. Entonces con estos tres valores a1, a2 y a3 se podrá construir un NBT y definir su función de pertenencia.
Por lo general, bajo condiciones de incertidumbre, conocemos únicamente tres valores: el mínimo, el máximo y el de mayor nivel de presunción. Además, los NBTs se usan en muchas situaciones prácticas por su simplicidad en el cálculo (Lazzari, 2010).Por todas las ventajas señaladas, se utilizará en este artículo este tipo de números borrosos para definir parámetros inciertos.

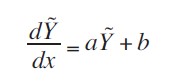
2. Ecuaciones diferenciales borrosas lineales de primer orden
En los últimos años, ha crecido muy rápidamente el estudio de las ecuaciones diferenciales borrosas. Las mismas desempeñan un rol importante en diversos campos, tales como biología, ingeniería, física y economía. El término ecuaciones diferenciales borrosas o Fuzzy Differential Equations (FDEs) fue introducido por Kandel y Bryatt (1987). Para su abordaje se han desarrollado muchas teorías para definir derivada borrosa .[2]
Las FDEs de tipo lineal, son las que tienen mayor cantidad de aplicaciones entre las FDEs y diversos autores han contribuido en su investigación como es el caso de James Buckley y Thomas Feuring (2000).
Se considera en este trabajo ecuaciones diferenciales de primer orden de tipo lineal con coeficientes constantes,
con condición inicial y (0) = c .
Estudiamos dos casos particulares de ecuaciones diferenciales borrosas lineales que servirán posteriormente para el análisis del Modelo de Sachs:
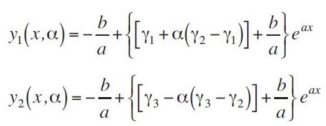
> 02.1. Ecuaciones diferenciales lineales de primer orden borrosas con condición inicial incierta
Dada
,
con condición inicial incierta definida con un
La ecuación diferencial se transforma en
borrosa y se NBT Y (0) γ
simboliza:
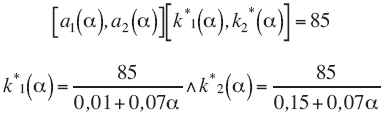
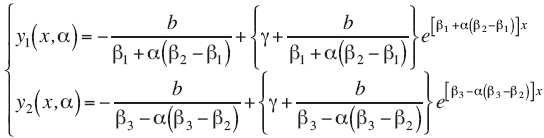
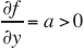
(1)Buckley y Feuring (2000) proponen una solución para este problema de ecuaciones diferenciales de primer orden lineales con condición inicial incierta simbolizada BFS ( Buckley and Feuring solution ) que se desarrolla en el anexo de este trabajo (b.1). Se expresa a continuación los a – cortes de la función borrosa solución:
BFS = Ỹ ( x , a) = [ y1 ( x , a), y2 ( x , a)] Donde:
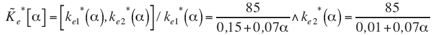
(2)2.2. Ecuaciones diferenciales lineales de primer orden borrosas con constante incierta
Dada 
Se considera incierta la constante a, definida como un NBT positivo 
La ecuación (2) se transforma en borrosa:
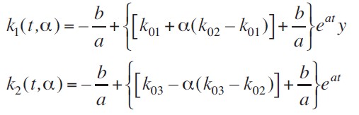
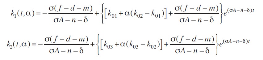
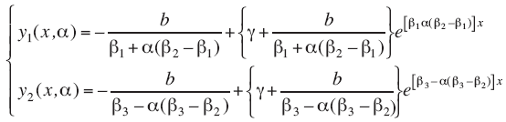
(3)Los a – cortes de la función borrosa solución, desarrollada en el anexo (b.2) de este trabajo, están dados por: BFS = Ỹ ( x , a) = [ y1 ( t , a), y2 ( t , a)] Donde:
(4)3. Modelo de Sachs. La trampa de la pobreza
la hipótesis central parte de que los países pobres son vulnerables a caer en una trampa de pobreza que puede ser causada o exacerbada por un excesivo peso de deuda (Sachs, 2002). La idea básica de una trampa de pobreza es que la no linealidad en el ahorro, la inversión y la producción pueden llevar a que algunos países de bajos ingresos queden atrapados en una situación de niveles bajos o aún en descenso del pibper cápita , a pesar de las fuerzas de convergencia económica, tales como el ingreso de capitales en países con poco capital o la difusión de tecnología de países ricos a pobres (Sachs, 2002). El modelo básico presentado busca mostrar esta idea. En el modelo, la tasa neta de ahorro se anula cuando el ingreso cae por debajo de cierto nivel mínimo de subsistencia.
Parte de la noción que los agentes necesitan un nivel mínimo de consumo para alcanzar ciertas necesidades básicas de salud e higiene, alimentos y alojamiento. Cuando el ingreso per cápita ( y ) supera al nivel mínimo de consumo ( m ), los agentes ahorrarán una proporción s del exceso. Cuando el ingreso no alcanza el valor m , el hogar no ahorrará.
Entonces, podemos definir la tasa neta de ahorro como (Sachs, 2002):
(5)m : ingreso mínimo necesario para cubrir necesidades básicas.
y : ingreso per cápita
s : propensión marginal a ahorrar.
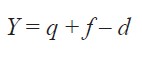
El ingreso está definido por la suma del producto y la ayuda externa menos los servicios de deuda (Sachs, 2002).
(6)q : producto
f : ayuda externa
d : servicios de la deuda
Se supone que f-dm , es decir lo que ingresa al país en forma de ayuda extranjera neta no es suficiente para cubrir las necesidades básicas.
El producto es proporcional al valor del capital reproducible.
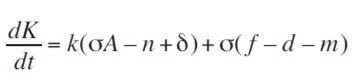
(7)La acumulación de capital se representa por la siguiente ecuación:
(8)n : tasa de crecimiento de la población.
δ: tasa de depreciación del capital reproducible.
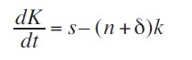
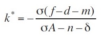
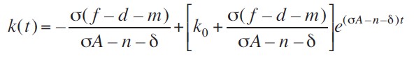
Se supone además que (s A – n – δ) 0, entonces la economía mantiene un crecimiento económico positivo siempre que y m . Reemplazando (5), (6) y (7) en (8) obtenemos la ecuación de acumulaciónde capital:
(9)La representación gráfica de la expresión anterior se conoce como diagrama o curva fase del capital y todos sus parámetros son externos al modelo menos el valor de k. Si se anula (9) se obtiene el punto de equilibrio (raíz curva fase):
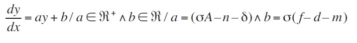
(10)La expresión (9), es una ecuación diferencial de primer orden lineal con coeficientes constantes:
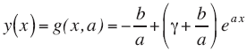
(11)Su solución general es:[3]
(12)Reemplazando a y b :
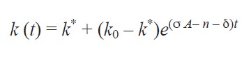
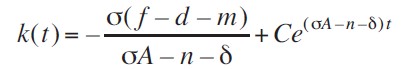
(13)Si k (0) = k0 , la solución particular de (9) es:
(14)
(15)3.1 Caso 1 k0 borroso
Cuando se modela en el mundo real, no siempre los parámetros empleados toman valores fijos y únicos. Algunos pueden ser inciertos o imprecisos. Muchos investigadores toman dicha imprecisión en un sentido borroso, y utilizan los conjuntos borrosos para reflejar dicha incertidumbre.
Cuando aparece la incertidumbre en un problema económico dinámico que se modeliza a través de ecuaciones diferenciales se emplean ecuaciones diferenciales borrosas. Supongamos que en el modelo de Sachs, no conocemos con certeza el stock inicial de capital, pero estamos en condiciones de determinar un valor mínimo y uno máximo. Además, por conocimientos previos, obtenemos el valor más posible de existencia inicial.
En este contexto, es posible expresar a ko como un número borroso triangular:
cuyos α – cortes son: 
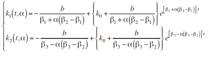
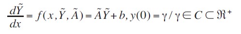
Por lo tanto, el problema consiste en hallar la solución de la ecuación diferencial fundamental del modelo,
con condición inicial incierta.
Como se ha desarrollado en la sección 2.1 se obtiene la solución de la ecuación borrosa
, cuyos α – cortes son:
Teniendo en cuenta (2):

Reemplazando 
(16)3.1.1 Aplicación
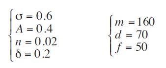
Existe un país que ahorra el 60% de la diferencia entre el ingreso per cápita y la línea de pobreza, que la tasa de transformación del capital en producto es del 40%, la población crece a una tasa del 2% y el capital se deprecia a un 20%.
Sabemos además que el ingreso mínimo cubrir las necesidades básicas es de 170 unidades monetarias, los agentes externos cobran 70 unidades monetarias por servicio de deuda y nos proporcionan 50 de ayuda externa. Entonces, los parámetros del modelo quedan definidos de la siguiente manera:

En un ambiente de incertidumbre, quizá no sea posible determinar un único valor para el stock de capital inicial. Consultando expertos se puede determinar un valor mínimo, por debajo del cual no es probable que tome valores la variable considerada, un valor máximo, por encima del cual tampoco es admisible que sobrepase, y por último, un valor más posible de existencias en el momento 0, evaluado por experiencias previas. No fue posible determinar valores adicionales para completar la información.
El consenso de expertos, determina como valor mínimo
un stock inicial de 8000, como valor máximo 10000 y el más posible 9000.
Entonces se define a
donde
es un
con α–
cortes: 
Resolvemos el modelo: 
Por lo tanto, la ecuación del crecimiento del capital (9) es
(17) Si se anula la expresión anterior y se resuelve la ecuación borrosa (10), se obtiene un NBT que corresponde a un número real,
En la Figura 2, se representa la curva fase (17):

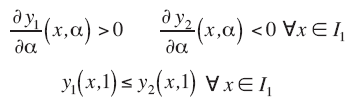
Se observa en la Figura 2 que para
, el capital crece mientras que para
, éste decrece, 
A continuación, se obtiene la solución de la ecuación (17). Teniendo en cuenta (16), se obtienen los α – cortes del capital borroso 


En la Tabla 1, se observa que,para el caso particular de t = 10, k1( t , α) es una función creciente respecto a α y para k2 ( t , α) es decreciente. En efecto:

Además para a = 1:

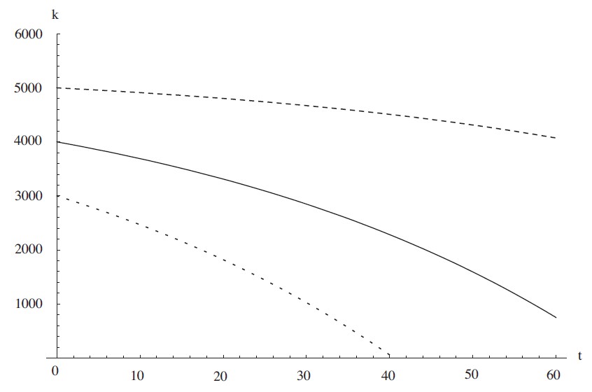
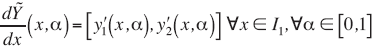
Por lo tanto k1 (t, α) e k2 (t, α) definen un número borroso triangular. En la Figura 3 se representa k1 ( t , α) e k2 ( t , α) para t = 10, que definen un NBT.

Por lo tanto, existe la solución
. En la Figura 4, se representan los alfa-cortes del capital borroso, para niveles 0 y 1, y se observa que dichas curvas son crecientes
. Es decir:

Esto es la consecuencia de considerar valor inicial del capital mayor alpunto de equilibrio.

A su vez, si t → ∞ k2 ( t ,0) – k1 ( t ,0) → ∞, es decir la borrosidad crece cuando t → ∞. En la Tabla 2 se observa el incremento de incerteza cuando aumenta t .

A pesar de la incerteza, si se hubiese tomado una decisión a priori considerando el caso más posible como stock inicial de capital (9000, el modelo se transforma en nítido y su solución coincide con el del modelo borroso para el alfacorte de nivel 1 (mayor nivel de presunción):

Por lo tanto, la gran ventaja del modelo incierto es que siempre incluye la información del modelo nítido. En la Figura 2, se observa la solución nítida representada por k1( t ,1) = k2 ( t ,1).
Por otro lado, ante una condición inicial incierta, la incertidumbre se incrementa a medida que t → ∞ Es decir, a medida que pasa el tiempo, es más difícil predecir el valor exacto que tomará el capital en un determinado momento. En el caso de certidumbre en la condición inicial, la trayectoria temporal es única y la ventaja es que se podrá determinar el valor del capital en cualquier instante de tiempo.
Si se considera un valor inicial de capital menor que
, por ejemplo
, el capital borroso es decreciente
(Figura 05).

La economía crece o se
contrae dependiendo del nivel de capital k .
El umbral entre el crecimiento y decrecimiento del producto ocurre cuando el
stock de capital es
. Cuando
el ahorro
es nulo,
, y
la economía se contrae a una tasa de crecimiento
.
En cambio, si
el producto y el stock de capital caen hasta el punto en que el ahorro es nulo y la economía nuevamente se contrae a la tasa
.
Por último, cuando k > k*, la economía crece, y a una tasa creciente y se acerca asintóticamente a Aσ – δ – n.
3.2 Caso 2 (sA-n-δ) borroso
Supongamos que el producto (q) está definido por una proporción (A) no fija respecto del valor del capital. Además, podemos determinar una proporción mínima, una máxima, y la más posible y no conocemos otro valor. Entonces, se puede expresar a A como un número borroso triangular à = (αm, αp, αM).
Debido a que el capital es heterogéneo, las tasas de depreciación son diversas, por lo que podríamos expresar a δ como un número borroso triangular
. A su vez, por falta de información, la tasa de crecimiento de la población es incierta y también puede tomar un valor mínimo, máximo y el más posible, ñ = ( nm , np , nM ).
La propensión marginal al ahorro es un parámetro nítido, pero puede ser expresado como número borroso triangular de la forma
.
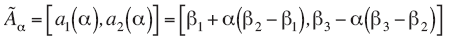
Operando convenientemente, se obtiene la constante α, definida como un NBT positivo:
con 

La ecuacion (9)
con k (0) = k0 se transforma en borrosa como la expresada en (3): 
Teniendo en cuenta (4), se obtiene la solución
para k (0, a) = k0 son K ( t , a) = [ k1( t , a), k2 ( t , a)]
(18)3.2.1. Aplicación
Suponemos que en el país la tasa de transformación de capital en producto varía y tiene un valor mínimo del 20%, uno máximo del 40% y el más posible es del 30%.
Por otra parte, no podemos determinar la tasa de crecimiento de la población, solo sabemos que es el menos del 1%, no es mayor al 3% y lo más posible es que sea del 2%. Además, por diferencias en las existencias, sabemos que el capital se deprecia entre un 4 y 6% y el valor más posible es el 5%.
Tenemos certeza que la economía ahorra la mitad de la diferencia entre el mínimo para sobrevivir que es de 150 unidades monetarias y el ingreso per cápita. Por último se sabe que el servicio de deuda es de 60 unidades monetarias y la ayuda externa de 40.
Entonces, los parámetros del modelo quedan determinados de la siguiente manera:

k (0) = 10000 donde
es el stock de capital inicial cierto.
Operando convenientemente con NBT
, se calcula y se obtiene el número borroso triangular
cuyos α – cortes son:

Empleando (18) se obtiene la solución
para la condición inicial k(0, a) = k0 :
Sus α – cortes son Keα [ ke1 ( t ,α), ke2 ( t ,α)]

En la Figura 6, se representan los alfa-cortes del capital borroso, para niveles 0 y 1, y se observa que dichas curvas son crecientes
.

Como en el caso 1, ki ( t ,0) → ∞ si t → ∞ k1( t ,1) = k2( t ,1) → ∞ si → ∞.
A su vez si t → ∞ k1( t ,0) – k2( t ,0) → ∞, es decir la borrosidad crece si t → ∞.
En este caso, además, la curva fase es una función borrosa. En efecto, se resuelve la ecuación borrosa[4] para obtener el equilibrio que resulta incierto:
(19)Se obtiene la solución de (19):

Como
no existe la solución clásica
. Por lo tanto, se obtiene la solución de la ecuación por el principio de extensión
:

Como
es decreciente
los alfa-cortes del capital son:

Se observa en la Figura7 el gráfico de
que no es un número borroso triangular. Al realizar la multiplicación de números borrosos triangulares no se obtiene un número borroso triangular. Sin embargo para los fines de este estudio se aproxima y se lo trata como un NBT dado que no modifica el análisis posterior. Se podría aproximar a un número borroso triangular 

En la Figura 8, se representa los alfa-cortes de nivel 0 y 1 para la curva fase.

5. Comentarios finales
La incertidumbre presente en la realidad macroeconómica actual, hace que sea necesario poder adecuar los modelos tradicionales para permitir captar estos fenómenos. La imposibilidad de fijar cantidades exactas para ciertas variables o valores ciertos para algunos parámetros, genera la necesidad de implementar algunas herramientas que traten al caso preciso como caso particular de un caso más general, de características inciertas.
La teoría de conjuntos borrosos permite modelizar en un ambiente de vaguedad. En este artículo se han empleado sólo NBT para identificar incerteza en ciertos parámetros del Modelo de Sachs, ya que normalmente en situaciones prácticas no se conocen más que tres valores: el mínimo, el máximo y el mayor nivel de presunción. Además la manipulación de los mismos es sencilla y no complejiza la resolución de ecuaciones diferenciales borrosas lineales, cuyo marco teórico, como hemos visto a lo largo de este artículo, es bastante engorroso.
En la aplicación desarrollo del Caso 1 ( ko borroso), el punto de equilibrio
, es un número real k *, que puede expresarse como un
número borroso
. La curva fase no es borrosa
(Figura 2). Es interesante la relación entre esta última y el stock de capital
inicial borroso, cuando se consideran
. En efecto, si
, el capital crece (Figura 4)
mientras que para
,
éste decrece (Figura 5).
A diferencia del caso anterior, cuando se considera el parámetro (σ A - n -
δ) borroso,
es un número borroso (Figura 6) y la curva fase es también borrosa (Figura 7).
Por otro lado, ante un capital inicial incierto, la incertidumbre se incrementa a medida que t → ∞. Lo mismo sucede si una de las constantes es incierta. Por lo tanto una desventaja del empleo de ecuaciones diferenciales borrosas en este tipo de modelos es la dificultad de predecir el valor exacto que tomará la variable en un determinado momento, cuando t aumenta considerablemente. Por el contrario, para el caso de certidumbre, la trayectoria temporal es única y se podrá determinar el valor del capital en cualquier instante de tiempo.
La gran ventaja del modelo incierto es que siempre incluye información del modelo nítido, considerando el valor de mayor nivel de presunción para la variable (a = 1). Esto ocurre para cualquier modelo borroso.
Finalmente, el objetivo de los autores, es mostrar un marco teóricopráctico de gran relevancia para el abordaje de modelos económicos dinámicos con parámetros inciertos. Para el análisis de ventajas y desventajas de esta herramienta teórica se consideró un ejemplo empírico en el contexto de pobreza (Modelo de Sachs) donde se puede visualizar el empleo de ecuaciones diferenciales borrosas. Las FDEs, y en especial las de tipo lineal, cumplen un rol importante en diferentes aplicaciones no solo de la economía sino también de la biología, ingeniería, como en otros campos de la ciencia.
Agradecimiento
Este trabajo fue realizado en el marco del Proyecto UBACyT 20020130100083BA de la programación Científica 2014-2017 de la Universidad de Buenos Aires.
Referencias
Buckley, J.J. (1992a). “Solving fuzzy equations in economics and finance”, Fuzzy Sets and Systems , vol. 48. Pp. 289-296.
Buckley, J.J. (1992b). “Solving fuzzy equations”, Fuzzy Sets and Systems , vol. 50. Pp.1-14.
Buckley, J., Eslami, E. y Feuring, T. (2002). Fuzzy Mathematics in Economics and Engineering . Siegen, Physica-Verlag, pp. 20-24.
Buckley, J., Feuring, T. (2000). “Fuzzy Differential Equations”, Fuzzy Sets and Systems , 110. Pp. 43-54.
Carlsson, C., Fullér, R. (2010). Fuzzy reasoning in decision making and optimization . Physica-Verlag, Heideberg.
Chiang, A. (1999). Métodos Fundamentales de Economía Matemática . México, Editorial McGraw-Hill. Pp. 180-485.
Dubois D., Prade H. (1979). “Fuzzy real algebra: Some results”, Fuzzy Sets and Systems , Vol. 2, Issue 4, Pp. 327–348.
Fernandez, M.J. (2012). Medidas de pobreza. Un enfoque alternativo . Tesis Doctoral. Facultad de Ciencias Económicas. Universidad de Buenos Aires.
Kandel, A; Bryatt, W.J. (1987). “Fuzzy Differential Equations”, Proceedings of International Conference Cybernetics and Society . Pp. 1213-1216.
Kaufmann, A. (1973). Introduction a la Theorie des Sous-Ensembles Flous a L’Usage des Ingenieurs . Masson, S.A., Editeur, Paris.
Klir, G., Yuan; B. (1995). Fuzzy Sets and Fuzzy Logic. Theory and Applications . Prentice-Hall PTR, New Jersey.
Lazzari, L.L. (2010). El comportamiento del consumidor desde una perspectiva fuzzy. Una aplicación al turismo . EDICON, Fondo Editorial Consejo Profesional de Ciencias Económicas de la Ciudad de Buenos Aires, Buenos Aires.
Pedrycz, W., Ekel, P. y Parreiras, R. (2011). Fuzzy multicriteria decision making. Models, Methods and Applications . John Wiley and Sons.
Ragin, C. (2000). Fuzzy-Set Social Science . Chicago, The University of Chicago Press.
Richters, J.E. (1997). “The Hubble Hypothesis and the Developmentalist’s Dilemma”. Development and Psychopatology 9. Pp. 193-230.
Sachs, J. (2002). Resolving the Debt Crisis of low-income countries . Brookings papers on Economic Activity, Harvard University.
Spiegel, M. (1983). Ecuaciones Diferenciales aplicadas . México, Prentice-Hall Hispanoamericana S.A.
Tanaka K., (1997). An Introduction to Fuzzy Logic for Practical Applications . Springer-Verlag, New York.
Ying-Ming, L.; Mao-Kang, L. (1997). Advances in fuzzy systems. Applications and theory. Fuzzy topology , Vol. 9. World Scientific, Singapore.
Zadeh, L.A. (1965). “Fuzzy sets”, Information and Control , Vol. 8. Pp.338-353.
Anexo
a. ECUACIONES DIFERENCIALES DE PRIMER ORDEN
a.1. Ecuaciones diferenciales de primer orden nítidas
Las ecuaciones diferenciales ordinarias de primer orden se definen de la siguiente forma:
(1)
, x pertenece a un
intervalo cerrado real I1,
talque 0
. Por lo tanto, el producto
cartesiano I1xI2 representa una región del plano
, que llamaremos D .
Si la ecuación diferencial (2) satisface las siguientes condiciones suficientes:[5]
f es continua en D
es
continua en D
(0,c)∈ D
Entonces la ecuación diferencial (1) tiene única solución:
(2)Se considera a su vez que g ( x , k , c ) es continua en I1 x A x C
a.2. Ecuaciones diferenciales de primer orden borrosas
a.2.1. Definición ecuaciones diferenciales de primer orden borrosas
Si los valores de los ki y el valor de c son inciertos, la ecuación diferencial (1) se transforma en borrosa, y su solución será una función borrosa.[6]
En este trabajo, para reflejar la imprecisión, se utilizan números borrosos triangulares.
Así la ecuación (1) queda expresada:
(3)Donde
es un vector de números borrosos
triangulares,
es un número borroso triangular e
es una función borrosa desconocida.
Se desea resolver (3) y obtener
borroso triangular
.
Para ello se recurre al principio de extensión (Buckley y Feuring, 2000). En primer lugar,se obtiene la solución nítida de (1), y = g ( x , k , c ) para luego hallar
, utilizando el principio de extensión cuyos α – cortes son
con:


Para que los α – cortes de
definan un número borroso para
sedebe cumplir las siguientes
condiciones suficientes:

Para el caso de números borrosos triangulares, esta última condición se puede escribir:

Se asume que
es diferenciable respecto a
y se simbolizan las
derivadas parciales de
respecto a
x como 
Si [y1´ (x,
α) y2´ (x, α)] define los α –
cortes de un número borroso
, se dirá que
es diferenciable,[7] y 
Para que
sea solución de la ecuación (3), además de que
exista, debe satisfacer la misma.
Para ello debemos obtener los α – cortes de
utilizando el principio de extensión:

es solución de (3) si
existe
y se verifica:
(4)donde 
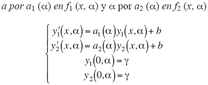
a.2.2. Condición para la existencia de solución Buckley – Feuring(BFS)
Se considera que existe EcuAnePa. 03 es solución de (3) si:
(5)Si alguna de estas condiciones no se cumplen,
no resuelve la ecuación diferencial borrosa (3).
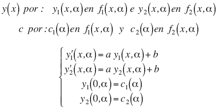
b. Ecuaciones diferenciales lineales de primer orden borrosas (Buckley y Feuring, 2000)
Tal como se indicó en el apartado anterior, se
considera en este trabajo las ecuaciones diferenciales de primer orden de tipo 
3. Condición inicial borrosa para α > 0.
4. a incierto para 
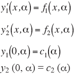
b.1. Ecuaciones diferenciales lineales de primer orden borrosas con condición inicial incierta (Buckley, Eslami y Feuring, 2002)
Dada
, con
condición inicial incierta definida con un NBT
(6)La condición inicial incierta transforma la ecuación (6) en borrosa:
(7)Los α – cortes para la condición inicial son:

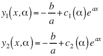
En primer lugar se obtiene la solución nítida de (6):

Los alfa-cortes de
son: [ y1 ( x ,
α), y2
( x , α)] e [ y1´ (x, α), y2´ (x, α)] respectivamente donde 
Para que
sea solución de (7) se debe cumplir (5). En efecto,
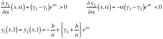
Por
lo tanto existe la solución
y se reemplaza en el
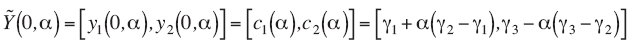
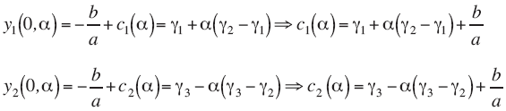
sistema de ecuaciones diferenciales (4) a:

La solución del sistema anterior es:

Se obtienen los valores de las constantes c1 (α) y c2 (α)

Por lo tanto:
(8)Se analiza si la solución [ y1 (x, α), y2 (x, α)],
define un número borroso
triangular: yi (x, α) i = 1,2
derivables respecto de α,

define
un NBT
b.2. Ecuaciones diferenciales lineales de primer orden borrosas con constante incierta (Buckley y Feuring, 2000)
Dada
(9)Se considera incierta la constante α, definida
como un NBT positivo
cuyos α – cortes de
son:

La ecuación (8) se transforma en borrosa:
(10)En primer lugar, se debe hallar la solución nítida de (7)

Para que
sea solución de (9) se debe cumplir (5). En efecto,
ya
que α
y
pues y
. Como
se debe cumplir:

La condición anterior es suficiente para asegurar el
crecimiento de g (x, α) respecto de α:
se verifica: 
Teniendo en cuenta el cumplimento condiciones de existencia
de la solución
, se plantea el sistema de ecuaciones
diferenciales (4) donde se reemplaza a:

Resolviendo el sistema anterior se obtienen los α –
cortes de la solución
para y (0, a) = γ:

(11)Se puede comprobar que la solución
, define un número borroso
triangular.
Notas
Información adicional
Clasificación JEL: C6, E1, F4.