Resumen: El objetivo del presente trabajo es identificar las variables macroeconómicas que determinan el ingreso tributario en México, periodo 2010-2018, con datos del Instituto Nacional de Estadística y Geografía (INEGI). Para ello, se realizan diversas pruebas estadísticas, aplicando modelos de regresión lineal y no lineal. La función de producción Cobb-Douglas se elige como modelo paramétrico y se seleccionan las variables explicativas: capital, representada por la Formación Bruta de Capital (FBKF) más la Variación de Existencias (VE); trabajo, constituido por la Población Ocupada (PEAocupada). Los resultados muestran que las variables utilizadas determinan el comportamiento del ingreso tributario. Además, se observan dos cosas: existe un crecimiento elevado de los activos de las empresas para disminuir su base gravable en el Impuesto sobre la Renta, y existe una brecha de evasión entre el universo de contribuyentes activos que presentan declaraciones con pago y la PEA ocupada, que afecta negativamente la base de contribuyentes.
Palabras clave: CapitalCapital,empleoempleo,política fiscalpolítica fiscal,tributacióntributación,evasión fiscalevasión fiscal,E22E22,E24E24,E62E62,H26H26.
Abstract: The objective of this paper is to identify the macroeconomic variables that determine the tax revenue in Mexico, period 2010-2018, with data from the National Institute of Statistics and Geography (INEGI). To do this, various statistical tests are performed, applying linear and non-linear regression models. The Cobb-Douglas production function is chosen as a parametric model and the explanatory variables are selected: capital, represented by the Gross Formation of Capital (FBKF) plus the Variation of Stocks (VE); labor, constituted by the Occupied Population (PEAocupada). The results show that the variables used determine the behavior of the tax revenue. In addition, two things are observed: there is a high growth of the assets of the companies to reduce their taxable base in the Income Tax, and there is an evasion gap between the universe of active taxpayers who present declarations with payment and the PEAocupada, which it negatively affects the taxpayer base.
Keywords: Capital, employment, fiscal policy, taxation, tax evasion, E22, E24, E62, H26.
Artículos
Determinantes del ingreso tributario en México
Determinants of tax revenue in Mexico
Recepción: 25 Enero 2019
Recibido del documento revisado: 11 Mayo 2019
Aprobación: 20 Junio 2019
El gobierno de México se enfrenta actualmente a la necesidad de incrementar sus ingresos para sostener el ritmo del gasto público. El Balance Primario del Sector Público muestra desde hace varios años un déficit crónico, originado entre otras causas, por la disminución de los ingresos fiscales provenientes de la venta del petróleo, que no han podido ser cubiertos por el gobierno a pesar de la aplicación de recortes presupuestales y la implementación de la reforma fiscal del 2014.
El gasto primario presupuestario del Gobierno Federal ha crecido en promedio en los últimos 8 años, a una tasa del 6% anual a precios corrientes ( Banco de México, 2018), que sumado al costo anual del servicio de la deuda dibujan un panorama complicado para alcanzar el equilibrio presupuestal.
Para intentar corregir el déficit fiscal, en el 2014 se aprobaron diversas reformas al Impuesto sobre la Renta (ISR), al Impuesto al Valor agregado (IVA), al Impuesto Especial sobre Producción y Servicios (IEPS), al Impuesto sobre Automóviles Nuevos (ISAN), al Impuesto al Comercio Exterior (ICE) y se implementó por primera vez el Impuesto por las Actividades de Exploración y Extracción de Hidrocarburos (IAEEH). Con esta reforma se eliminaron el Impuesto a los Depósitos en Efectivo (IDE) y el Impuesto Empresarial de Tasa Única (IETU). Desde el 2012 el Impuesto sobre el Uso y Tenencia de Vehículos (ISTUV) dejó de ser un impuesto federal para pasar a formar parte de los ingresos ordinarios de las entidades federativas. El Impuesto a los Rendimientos Petroleros fue abrogado para el ejercicio fiscal del 2015.
En este contexto, el presente trabajo tiene como objetivo identificar los factores económicos que inciden en los niveles de recaudación tributaria. Generalmente, los estudios referidos a este tema relacionan los ingresos tributarios como un porcentaje del Producto Interno Bruto (PIB). Otras investigaciones han incorporado al análisis la aplicación de modelos econométricos y variables cualitativas, proxy y ficticias. En este estudio se aplica el modelo Cobb-Douglas, el cual permite, en este caso, asociar los niveles de recaudación tributaria con el capital y el trabajo como factores de la producción, suponiendo que los ingresos fiscales son el resultado de una combinación de estos factores.
Se plantea como hipótesis que las variaciones de los ingresos tributarios son causadas por las variaciones del capital, medido por la suma de los volúmenes de la Formación Bruta de Capital (FBKF) y la Variación de Existencias (VE) y, el trabajo representado por los niveles de la Población Económicamente Activa Ocupada (PEAocupada). Se selecciona como horizonte de investigación del año 2010 al 2018 y como fuente de información el Sistema de Cuentas Nacionales de México (SCNM) y la Encuesta Nacional de Ocupación y Empleo (ENOE) del INEGI.
El artículo se integra por cuatro secciones, en la primera se realiza una revisión de las diferentes propuestas teóricas y metodológicas acerca de la medición de la recaudación tributaria y su estructura. En la segunda sección se presenta un análisis de las cifras de ingresos tributarios, su relación con el PIB y los regímenes fiscales vigentes en el periodo. La tercera sección muestra el desarrollo de la función Cobb-Douglas y su significancia estadística. La cuarta sección proporciona una comparación entre las variables utilizadas en el modelo y los niveles de recaudación; y finalmente se presentan las conclusiones.
En las últimas tres décadas, los gobiernos del mundo han incrementado su participación en la economía nacional. En el promedio mundial, la proporción del gasto público respecto al PIB pasó de un 5% en los años noventa a cerca de un 22% en el 2018 (BID, 2018). Los ingresos de los gobiernos provienen principalmente de los impuestos, como fuente previsible y sostenible de recursos públicos, que al asociarse con el PIB reflejan el recaudo tributario para financiar la provisión de bienes y servicios públicos y la inversión en infraestructura (OECD, 2018b).
La razón entre la recaudación de impuestos y el PIB (presión tributaria) es el indicador comúnmente utilizado en el mundo desde 1965 (OECD, 2001), lo que conduce generalmente a estimar la evasión fiscal, como instrumento para incrementar la recaudación tributaria, a partir de las diferencias que presentan el impuesto potencial y la recaudación efectiva; en ambos casos, el componente principal es el PIB.
El Servicio de Administración Tributaria (SAT) financió durante el periodo 2010-2018 un total de 17 trabajos de investigación, que tuvieron como objetivo proveer de información para identificar las brechas de evasión fiscal. A continuación, se hace mención de los estudios que se consideran de mayor relevancia.
Fuentes et al. (2013) elaboraron un estudio sobre la evasión fiscal en México, considerando tres impuestos: IVA, ISR y IEPS no petrolero. Utilizaron un método indirecto de estimación basado en la información del SCNM y otras fuentes secundarias. La base de la investigación fue determinar el impuesto potencial o recaudación teórica para cada uno de los impuestos analizados y compararlo con el impuesto recaudado en el periodo 2004-2012. El estudio muestra que la tasa de evasión inicia con 37.8% en 2004, llega a un mínimo de 24.3% en 2008 y, alcanza el 26.0% en 2012. En cuanto a la participación con respecto al PIB que tiene la evasión fiscal, en 2004 representaba el 4.4%, en 2008 el 2.7%, y en el 2012 el 3.1%. El estudio muestra que la crisis económica de 2008-2009 tiene un efecto negativo en términos de evasión. Por tipo de impuestos se destaca que, el IVA representa una alta proporción de la evasión global, pasó de 34.88% en el año 2004 a 24.28% en 2012. En cuanto a la tasa de evasión de ISR se destaca lo siguiente: para personas físicas asalariados se mantuvo por abajo del 20%; para personas físicas con actividad empresarial resultó relativamente alta (de 70.02% en 2004 a 83.44% en 2012), sin embargo, su importancia con respecto al PIB es relativamente modesta, pasa de 0.152% en 2004 a 0.258% en 2012; mientras que para personas morales, la tasa de evasión pasa de 54.96% en 2004 a 31.40%.44% en 2012, esta evasión fiscal tiene una gran importancia, representa alrededor de un punto porcentual del PIB. La tasa de evasión fiscal en su conjunto para el IEPS no Petrolero es relativamente baja, pasó de 7.92% en 2004 a 6.12% en 2012.
Por otro lado, San Martín et al. (2016) presentaron los resultados sobre la estimación de la evasión fiscal en el país, de los años 2004 al 2015, utilizando la metodología aplicada por Fuentes et al. (2013). Basando la estimación en la determinación del potencial teórico de recaudación, que consiste en comparar el impuesto potencial contra el impuesto recaudado por la autoridad fiscal. Un tercer estudio sobre la evasión fiscal fue elaborado por San Martín et al. (2017), para el periodo del 2005 al 2016, en el cual se utilizó la misma metodología aplicada en investigaciones previas. Lo sobresaliente de este estudio fue la estimación de la evasión por impuestos al comercio exterior y el IEPS petrolero. La recaudación potencial del Impuesto General de Importación y Exportación se obtuvo de comparar los montos de operaciones de comercio exterior reportadas por el INEGI y la recaudación manifestada por el SAT por estos conceptos.
Otras investigaciones financiadas por el SAT durante el periodo 2010 al 2017, fueron: el estudio formulado por Fuentes et al. (2012), sobre la evasión fiscal mediante el uso de efectivo, la cual aplicó metodologías de Tanzi, Feige y Bhattarchayya (como se citó en Fuentes, 2012), que consideran que el origen del exceso de demanda de efectivo y el ingreso no reportado, se explican exclusivamente por los impuestos, si estos no existieran no habría necesidad de esconder el ingreso. La tendencia indica, según el estudio, que se han realizado grandes esfuerzos a fin, de reducir la evasión.
La investigación de Benavides et al. (2013) estuvo dirigida a explicar la conducta evasora del contribuyente a partir de factores sociológicos y psicológicos principalmente, que fueron agrupados en: disuasión, normas, oportunidad, legitimidad y factores económicos.
En el ámbito internacional se han desarrollado diversos trabajos para explicar los niveles de recaudación tributaria y el PIB, los estudios se han dirigido primordialmente a estimar el esfuerzo fiscal que realiza cada país. Martín-Mayoral y Uribe (2010) estimaron el índice de esfuerzo fiscal para 18 países de América Latina para el periodo 1975-2007, con un enfoque estocástico utilizando un análisis de regresión lineal que compara la presión fiscal efectiva de un país con la presión fiscal potencial. La presión fiscal efectiva es el cociente de dividir la recaudación tributaria de cada país entre el PIB. La presión fiscal potencial se determina a partir de tres grupos de variables; i) económicas, que comprendieron: el ingreso per cápita, el nivel de desarrollo de los países, la apertura comercial, la ayuda externa, la estructura productiva, la deuda pública y la inversión; ii) institucionales, que abarcaron: derechos políticos y derechos civiles; iii) geopolíticas, que consideraron: la pertenencia a un bloque de integración económica, existencia de tratados de libre comercio y efectos del Consenso de Washington.
En esta misma línea, Rossignolo (2017) calcula el índice de esfuerzo fiscal para 23 países de América Latina y el Caribe. El modelo de frontera estocástica de producción utilizado, considerando las siguientes variables: potencial recaudatorio, ingreso per cápita, grado de apertura de la economía, incorporación de sectores económicos difíciles de gravar, nivel de educación, corrupción, inflación y complejidad del sistema tributario. Otras investigaciones han aplicado diversos modelos econométricos para identificar los determinantes de los ingresos tributarios, entre ellas destaca la construcción del modelo de equilibrio general de Casares et al. (2015), quienes plantean cómo lograr una recaudación adicional significativa y disminuir al mismo tiempo la desigualdad del ingreso en México.
Los estudios nacionales e internacionales analizados sobre estimaciones de la evasión fiscal coinciden en mantener una relación directa entre la recaudación de impuestos y el producto nacional, en el supuesto de que la única brecha de evasión posible es equivalente a una proporción del PIB que permanece invisible para la agencia tributaria. Sin embargo, el indicador de presión tributaria presenta las siguientes inconsistencias: a) algunos impuestos pueden tener un impacto más fuerte que otros, es decir, tienen una mayor carga fiscal, por lo que es necesario examinar el desglose de los ingresos según la base imponible; b) también pueden interactuar diferentes tipos de impuestos que den lugar a divergencias pronunciadas en las tasas efectivas del impuesto que afectan las elecciones económicas de grupos particulares; y c) la carga fiscal debe ser evaluada en un contexto más amplio, que incluya la carga fiscal derivada de las regulaciones que obligan al sector privado a proveer de seguridad social en sustitución del gobierno (OECD, 2001).
Como se ha mencionado, el objetivo de todo gobierno es incrementar la presión tributaria como mecanismo sostenible para cumplir con las exigencias de la sociedad, bajo la premisa de que el PIB mide las remuneraciones de los factores de la producción; salarios de los trabajadores y renta del capital. Entonces, debe existir una función matemática que relacione estas variables para maximizar el producto o la recaudación tributaria. La alternativa analítica común es la función Cobb-Douglas por su carácter instrumental en materia de política económica, que permite asociar los factores de la producción (capital y trabajo) y la tecnología para explicar, como se pretende en este estudio, la estructura de los ingresos tributarios y maximizar el producto.
La función Cobb-Douglas satisface los dos principios de un modelo estadístico, en los casos de modelos lineales o linealizados. Primero, la aplicación de la navaja de Occam que señala, “el mejor modelo científico es el modelo más simple que explica los hechos observados” y, segundo el principio de parsimonia que establece, “un modelo debe contener el menor número de variables necesario para ajustar los datos” (Navidi, 2006, pp. 470-471).
Uriel y Aldás (citado por Toro et al., 2010) afirman que cuando aparecen productos, cocientes u otras operaciones sobre los parámetros, distintas a la suma o la resta, se está frente a un modelo no lineal en los parámetros. Tal es el caso de la función de producción Cobb-Douglas, la cual puede ser obtenida de forma directa, estimación por regresión multiplicativa, o bien de manera indirecta, como se aplica en la presente investigación, como una estimación por regresión lineal de datos transformados; con la obtención de los logaritmos neperianos de las variables independientes y de la variable dependiente (ecuación doble logarítmica). La función se expresa como en la ecuación 1.
La función está compuesta por dos factores productivos y un factor adicional; Y representa la producción, A significa el progreso técnico o productividad total de los factores, K es el stock de capital, y L el número de empleados.α y β son los parámetros que representan el peso de los factores y K y L; tienen valores entre cero y uno y presentan rendimientos constantes a escala (Gujarati y Porter, 2010).
El contraste de la hipótesis de rendimientos constantes a escala requiere que la hipótesis nula H0: α+ β≠1 frente a la hipótesis alternativa H1: α+ β≠1. Como α+ β=1 implica que α= 1-β para ello se estima el modelo restringido (Sancho, 2004) y se utiliza la prueba F (Anderson et al. 2008).
La estructura tributaria de un país se conforma por el conjunto de leyes impositivas (Musgrave y Musgrave, 1973). En México, la estructura tributaria, actualmente, se compone de siete impuestos federales. La LIF (2018) clasifica las normas tributarias de la siguiente manera: el ISR como impuesto sobre los ingresos; El IVA, IEPS e ISAN como impuestos sobre la producción, el consumo y las transacciones; los Impuestos a la Exportación y a la Importación como impuestos al comercio exterior; y el IAEEH como otros impuestos. Los elementos del impuesto como sujeto, objeto, base, tasa o tarifa; varían de acuerdo a la definición y tratamiento que se tiene de cada uno de ellos.
En el periodo de estudio, también estuvieron vigentes: del 2010 al 2011 el ISTUV; del 2010 al 2013 el IDE y el IETU; y del 2010 al 2014 el Impuesto a los Rendimientos Petroleros. El IAEEH inició su aplicación en el ejercicio fiscal del 2015.
En el horizonte de investigación, los ingresos tributarios presentan de manera recurrente una mayor recaudación durante el primer cuatrimestre del año (Gráfica 1). Esto se debe al cierre del ejercicio inmediato anterior en el mes de enero y la presentación de declaraciones anuales de las personas físicas y morales en los meses de marzo y abril. Generalmente los ingresos tributarios descienden en el resto del año, por lo que el año 2017 resulta atípico al mostrar incrementos significativos de la recaudación en los meses de julio y diciembre.

Como se observa en la gráfica 1, los ingresos totales por impuestos se encuentran fuertemente correlacionados con el comportamiento del ISR y en menor medida con el IVA. El resto de los impuestos tiene un peso poco significativo en el total de ingresos, inclusive del 2011 al 2013 se presentan valores negativos derivados de las tasas negativas del IEPS aplicado a las gasolinas.
El procedimiento de la fracción I del art. 2A de la ley del IEPS establece la tasa impositiva a las gasolinas y ha tenido diversos ajustes desde su aparición en diciembre de 1993. Como señala Michel (2012), la brecha entre el precio del productor (PP) y el precio de venta al público (PVP) existe debido a que el PP varía de acuerdo con el precio spot de la gasolina de calidad equivalente, vigente en la Costa del Golfo de los Estados Unidos de América (LIEPS, 2013), mientras que el PVP es homogéneo a lo largo del país, entonces, cuando el PVP se determina sin considerar debidamente el precio internacional de referencia, los resultados serán tasas negativas del IEPS que se traducen en un gasto fiscal para el gobierno.
El crecimiento, a precios corrientes, de los ingresos tributarios a partir del 2014 es causado por la aprobación de la Reforma Tributaria del 2014 que eliminó varios beneficios fiscales y derogó diversos impuestos. El incremento más notorio se presentó en el ISR, el cual ha duplicado su recaudación en los últimos cuatro años. El IVA no muestra variaciones importantes en el periodo de análisis (gráfica 1 ).
En términos reales, las tasas anuales de crecimiento varían de positivas a negativas, en el lapso del 2013 al 2016 el crecimiento de la recaudación tributaria alcanzó niveles del 28%, en contraste, antes y después de ese periodo, se presentaron decrementos en los ingresos. La Reforma Tributaria del 2014 provocó un crecimiento real de la recaudación tributaria en sus primeros tres años de aplicación. Pero, en el 2017 se contrajo considerablemente (cuadro 1).

Los altibajos del crecimiento en términos reales del ISR determinan el comportamiento de la recaudación total de impuestos, la dependencia se hace evidente entre los años 2013 al 2017. La recaudación del IVA, a precios constantes, muestra una tendencia de crecimiento negativo a partir del 2014, a pesar de las modificaciones estructurales de las que fue objeto.
El crecimiento de los ingresos tributarios en el horizonte de investigación no ha generado un incremento significativo en la presión tributaria, las tasas observadas fueron: 9.0% en 2010, 8.2% en 2011, 8.0% en 2012, 9.2% en 2013, 9.9% en 2014, 12.3% en 2015, 12.7% en 2016 y 12.5% en 2017. Sin embargo, cabe señalar que después de las reformas impositivas del 2014, la proporción de la recaudación tributaria sobre el PIB del país se elevó en casi tres puntos porcentuales, pero se ubica en niveles por debajo de los mostrados por las economías más desarrolladas del mundo.
De acuerdo con la información de la OECD (2018a), el promedio de la presión tributaria de los 36 países miembros fue del 34% para el año del 2017, considerando para su estimación los ingresos fiscales totales que comprenden: los ingresos de la federación, los estados y municipios; y, las aportaciones de seguridad social (OECD, 2018b). Con este criterio, México ocupa el último lugar de la lista con el 16% para el 2017, mientras que los países con una mayor presión fiscal fueron: Francia (46%), Dinamarca (46%), y Austria (44%).
Para cumplir con el objetivo planteado en el presente trabajo, se realizaron diversas pruebas estadísticas; aplicando modelos de regresión lineal y no lineal a diversos indicadores económicos de coyuntura publicados por el INEGI. Finalmente, se elige la función de producción Cobb-Douglas como modelo paramétrico y se seleccionan las variables explicativas: i) capital, representada por la Formación Bruta de Capital (FBKF) más la Variación de Existencias (VE) y, ii) el trabajo, constituido por la Población Ocupada (PEAocupada).
De acuerdo con el INEGI (2013), la FBKF se define como el valor total de las adquisiciones menos las disposiciones de activos fijos, que efectúa el productor en un periodo determinado, tales como: construcciones e instalaciones, maquinaria y equipo nacional o importado que se utiliza para producir bienes o servicios y tienen una vida útil mayor a un año. La VE se considera como el aumento o disminución en inventarios de materiales y suministros; productos y bienes acabados que se encuentran en poder de los productores, constituye, financieramente, parte del capital de trabajo de las corporaciones. Ambos conforman los activos de las empresas, diferenciados por su nivel de liquidez.
La PEAocupada se refiere a personas con empleo en edad de trabajar y que estén dentro de las categorías siguientes: a) que estén trabajando; es decir, las personas que realizan algún trabajo remunerado durante un breve período especificado, ya sea durante una semana o un día; b) que tengan un empleo, pero que no estén trabajando porque se hallan temporalmente ausentes del trabajo en el curso del período especificado debido a enfermedad o accidente, conflicto de trabajo, etc. (INEGI, 2002).
El estudio es una investigación cuantitativa ex post facto longitudinal, con el uso de datos del periodo 2010 al 2018 basada en la hipótesis causal de que el capital y el trabajo configuran el comportamiento de la recaudación tributaria en México. Los resultados del análisis permiten evidenciar la influencia determinante de las variables utilizadas en el comportamiento de la recaudación tributaria.
La construcción del modelo econométrico para identificar las variables económicas que determinan el comportamiento de la recaudación de ingresos tributarios en México comprende dos etapas: i) desestacionalización y ii) estimación de los coeficientes y rendimientos de la función Cobb-Douglas. La primera actividad tiene como propósito eliminar los efectos estacionales propios de las variables económicas, que pueden afectar las estimaciones econométricas (Ramírez y Carrillo, 2017). La segunda etapa consiste en calcular los valores de la función con la aplicación del programa EViews 10 y realizar las pruebas de rendimientos constantes.
En la gráfica 1 se observa la estacionalidad que presentan las variables de ingresos tributarios, relacionadas con los vencimientos para el pago de contribuciones. Por ejemplo, en los meses de enero, las personas morales deben presentar la declaración provisional del ISR del mes inmediato anterior, es decir de diciembre, que refleja el incremento de las ventas por las actividades de fin de año y que también sirve para ajustar el pago de los impuestos del ejercicio fiscal. El mismo fenómeno puede apreciarse en los meses de marzo de cada año, fecha de presentación de la declaración anual de las personas morales, en los cuales crece la recaudación de impuestos debido al pago de impuestos del ejercicio anterior que sobrepasaron el monto de los pagos provisionales.
Para suavizar las fluctuaciones de las series de tiempo, se aplican los métodos aditivo y multiplicativo a los datos reales, el método seleccionado para cada serie de tiempo resulta de comparar los valores del error porcentual absoluto medio, la desviación absoluta de la media y la desviación cuadrática media.
Como se explicó anteriormente (ecuación 1), la función de producción del modelo Cobb-Douglas se expresa de la manera siguiente:
donde Yt representa los Ingresos Tributarios del periodo t; el periodo es trimestral dado por t; A es el término independiente asociado al nivel de la dotación de infraestructura y estructura orgánica de la agencia tributaria; K se refiere a la Formación Bruta de Capital más la Variación de Existencias en el periodo t; L es la Población Económicamente Activa Ocupada en el periodo t; y α y β representan la elasticidad de los factores de la producción K y L, para valores 0 < α, β > 1. Cuando α+ β= 1 se presentan rendimientos constantes a escala.
La ecuación no lineal en términos de logaritmos naturales, para obtener una ecuación linealizada, se expresa como sigue:
donde εt representa el error con una distribución normal, media igual a cero y σ2 constante para todos los valores de la variable independiente.
Los resultados de las estimaciones con diversas combinaciones de regresores de PEA, FBKF, VA, PEAocupada, y con la base de datos de panel, resultan estadísticamente poco significativos, por lo cual se analiza la muestra con los siguientes criterios (Garrido, 2015), aplicando la ecuación (2):
Análisis de cambio estructural. El coeficiente de determinación es aceptable (0.84) para la estimación del modelo; sin embargo, existe una elevada correlación entre las variables independientes (multicolinealidad de 0.96) y el estadístico de Durbin-Watson presenta autocorrelación positiva para una significancia del 5%. La gráfica de coeficientes recursivos (gráfica 2) muestra que la evolución de los residuos de la regresión (línea continua) sale de las bandas de fluctuación (líneas punteadas) en los años 2013, 2014 y 2015, lo que lleva a deducir que existe un cambio estructural en esos años. El 2014 y el 2015 se corresponden con la reforma fiscal del 2014, lo que sugiere que la serie 2010-2018 se divide en dos periodos: primer periodo del 2010 al 2013 y, segundo periodo del 2014 al 2018.

El cambio estructural se especifica en la ecuación de regresión con la introducción de variables ficticias di (dummy), con la condicionante de crear un número de variables ficticias k - 1, en este caso 2 - 1, donde k corresponde al número de variables ficticias. Los valores de d1 son:
0; para el primer trimestre del 2010 al cuarto trimestre del 2013
1; para el primer trimestre del 2014 al tercer trimestre del 2018
La variable ficticia se incluye de manera aditiva y multiplicativa para afectar por igual a la constante y a la pendiente de la regresión. A continuación, se desarrolla la prueba de Chow para contrastar si los parámetros de la regresión mantienen el mismo valor a lo largo de la serie temporal, o se modifican por la inclusión de dos periodos. El nuevo modelo se especifica como:
Sustituyendo los valores estimados de los parámetros:
El ajuste de la regresión (4) mejora con respecto al modelo (2). El coeficiente de determinación mejora sustantivamente (0.93) y la prueba de Durbin- Watson muestra que no existe autocorrelación (1.73) para n = 35, k = 2 y α= 0.05. El término independiente A no refleja el valor estimado del parámetro tecnológico, debido a que se encuentra afectado por el logaritmo, aplicando el antilogaritmo a -13.62, resulta que:
Coeficientes de igualdad de varianzas. Para establecer la condición de rendimientos constantes a escala, se realiza la prueba F, aplicando el criterio de restricción a la ecuación original y comparando las varianzas del modelo restringido con la ecuación original. Cuando en ambas ecuaciones se utiliza la misma variable dependiente, la ecuación puede ser sustituida por:
En la ecuación (6) R2NR corresponde al coeficiente de determinación de la ecuación no restringida R2N es el coeficiente de determinación de la ecuación restringida, m es el número de restricciones, n número de observaciones, y k número de coeficientes (β). Se establece como hipótesis nula H0: la existencia de rendimientos constantes, si F ≥Fα se rechaza H0, como condiciones: α+ β= 1; α= 1 -β, entonces H0: α+ β= 1 y, H1: α+ β≠1.
El valor estimado para F = 0.17. El valor del estadístico de prueba Fα=4.18 para una significancia de α= 0.05, como F < Fα no existe diferencia significativa para rechazar H0, es decir, no hay evidencia significativa para asegurar que no existen rendimientos constantes entre los coeficientes de sustitución de las variables independientes de capital y trabajo.
Análisis de normalidad y multicolinealidad. Para discutir el supuesto de normalidad se utiliza el contraste de Jarque Bera, que pretende determinar si una distribución de probabilidad se asemeja a una normal, mediante el estudio de la simetría y la curtosis. De tal suerte que H0: la distribución de los errores sigue una distribución normal, si p - valor > 0.05, no se rechaza la hipótesis. El valor del estadístico de prueba es p - valor = 0.45, por lo que no existe evidencia para rechazar H0.
Los coeficientes de correlación entre variables independientes son en todos los casos superiores al 0.70, lo que sugiere la existencia de multicolinealidad en el modelo y, confirma la introducción de variables ficticias descrita en el análisis de cambio estructural para mejorar la estimación.
Análisis de heteroscedasticidad. El procedimiento más común para detectar heteroscedasticidad es el contraste de White, que se basa en una regresión auxiliar, que plantea el cuadrado del residuo del modelo frente a las variables explicativas al cuadrado y el producto de los regresores de dicho modelo (Garrido, 2015). En la presente estimación, no se rechaza la hipótesis nula, si el valor estimado de obs*R-squad es menor al valor crítico de Chi-Cuadrado para X2 = 11.07. Como el valor del estadístico de White es 4.42, se concluye que no existe heteroscedasticidad, esto es, la varianza de su perturbación es constante a lo largo del tiempo.
El capital y el trabajo, como factores básicos de una función de producción, determinan el comportamiento de los ingresos tributarios del país, como señala Musgrave y Musgrave (1973), la incidencia económica de la estructura tributaria se define por la forma en que se distribuye la carga tributaria entre los contribuyentes, independientemente de la diferenciación entre impuestos directos e indirectos, es el contribuyente activo el que recibe el peso del pago del impuesto. En este sentido, las fuentes de las contribuciones federales se correlacionan con la inversión en la formación bruta de capital y la variación de existencias, así como con la población económicamente ocupada.
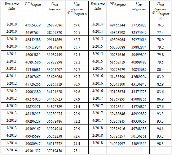
El padrón de contribuyentes en el país se integra por la totalidad de contribuyentes inscritos en el Registro Federal de Contribuyentes (RFC) y es administrado por la agencia tributaria nacional. El padrón de contribuyentes se clasifica atendiendo a las necesidades de la información, razón por la cual se publican cinco padrones diferentes: por entidad federativa, por situación en el RFC, por régimen, por tipo de contribuyente y por actividad económica. En el cuadro 2 se relaciona el universo de contribuyentes personas físicas (PF) activas con obligaciones fiscales (Ucon obligaciones), recuperada del padrón de contribuyentes por tipo de contribuyente, del primer trimestre del 2010 al tercer trimestre del 2018.

Los valores de Ucon obligaciones se obtuvieron de la suma de contribuyentes personas físicas PF con actividades empresariales o por honorarios, más PF grandes contribuyentes, más contribuyentes asalariados menos contribuyentes sin obligaciones. Como se observa en el cuadro 2, la agencia tributaria nacional ha incorporado progresivamente en los últimos nueve años, a un número mayor de contribuyentes para equipar las estructuras de la PEAocupada con el número de contribuyentes activos con obligaciones. En los primeros trimestres del 2010, el porcentaje de contribuyentes PF con obligaciones fiscales (Ucon obligaciones) respecto a la PEAocupada representa menos del 66%. De los años 2011 al 2014 la relación porcentual se conserva entre el 68% y el 77’% y, en el tercer trimestre del 2018 el porcentaje alcanza el 98%; la tendencia induce a considerar que las diferencias serán mínimas en el corto plazo.
Sin embargo, la reducción en la primera brecha de evasión (la diferencia entre los contribuyentes que realizan actividades económicas y los que están registrados) no significa estrechar el resto de las brechas de evasión fiscal. En el cuadro 3 se compara el universo de contribuyentes PF activas con obligaciones fiscales, contra el número de declaraciones con pago presentadas por PF en el segundo trimestre de cada uno de los nueve años del análisis; el segundo trimestre comprende el vencimiento para la presentación de la declaración anual de las personas físicas, razón por la cual es el más representativo de cada ejercicio fiscal.

Como se observa en el cuadro 3, las declaraciones con pago presentadas por las PF disminuyen significativamente del segundo trimestre del 2010 al segundo trimestre del 2018: el porcentaje pasó del 45.9% al 21.7%. En ese lapso, el cumplimiento voluntario se contrajo a menos de la mitad, la caída coincide con el segundo trimestre del 2014 mismo año de la última reforma tributaria.
La inversión es un factor que dinamiza la economía en el país, lo que también se refleja en los niveles de recaudación de impuestos; la formación bruta de capital y la variación de existencias, como factores de la producción, explican el comportamiento de los ingresos tributarios.
La formación bruta de capital, como activo fijo que no considera las disminuciones por depreciación, es en muchas ocasiones parte de un proceso de planeación fiscal de las empresas, que tienen como objetivo disminuir la base gravable. El mismo objetivo puede atribuirse a la variación de existencias. Para reducir las contribuciones a su cargo, las empresas recurren en algunos casos, a adquirir activos fijos, materias primas y productos terminados para disminuirlas de los ingresos acumulables en los periodos y porcentajes autorizadas por la ley.
La adquisición de los activos fijos y de capital de trabajo, genera adicionalmente un impuesto acreditable en materia de IVA para el contribuyente, que al ser disminuido del IVA trasladado al cliente puede dar lugar a la aparición de saldos a favor; que a su vez son susceptibles de ser compensados con otros impuestos a cargo o bien solicitar su devolución. Durante el periodo de estudio, las devoluciones por concepto de IVA que realizó la agencia tributaria nacional respecto al total de ingresos tributarios fueron: para el 2010 el 15%, para el 2011 el 18%, para el 2012 el 21%, para el 2013 el 17%, para los años 2014 al 2016 el 13% y para el 2017 el 15%.
La devolución de saldos a favor de IVA constituye el monto principal de impuestos que retribuye el SAT al contribuyente, De los años 2010 al 2013, las devoluciones de IVA significaron el 80% del total de devoluciones efectuadas, en el 2014 la proporción fue del 83%, en el 2015 el 89%, en el 2016 el 91% y en el 2017 el 90%.
En toda esta sección se ha constatado que el capital y el trabajo determinan el comportamiento del ingreso tributario en México. Además, se observan dos cosas: existe un crecimiento elevado de los activos de las empresas (activos fijos y capital de trabajo) para disminuir su base gravable en el ISR y aprovechan los flujos de efectivo positivos derivados de las devoluciones de saldos a favor del IVA para financiar sus operaciones; y existe una brecha de evasión entre el universo de contribuyentes activos que presentan declaraciones con pago y la PEAocupada, que afecta negativamente la base de contribuyentes.
Los estudios financiados por el SAT se han encauzado primordialmente a medir los niveles de evasión fiscal, a partir de la estimación de la recaudación teórica comparándola con la recaudación real con base en modelos de la teoría económica. Sin embargo, han omitido el análisis previo de la evidencia empírica, en un estudio de causalidad entre las variables exógenas y la recaudación de impuestos. En otras investigaciones independientes, el enfoque se ha centrado en modelos estocásticos de producción que permiten un análisis más profundo de las causas que originan la falta del cumplimiento voluntario de parte de los contribuyentes.
En el presente estudio, la utilización de la función de producción Cobb- Douglas permite identificar las variables de capital y trabajo como los principales factores económicos que explican las variaciones de la recaudación de impuestos en México. En el caso de la PEAocupada es significativa la diferencia que existe entre el número de la población que reporta ingresos y los bajos niveles de cumplimiento voluntario de contribuyentes PF que realizan pagos a la agencia tributaria nacional, esto permite perfilar las dos brechas de evasión que muestra el sistema tributario en el país; i) la existencia de un poco más de 900,000 personas ocupadas en el tercer trimestre del 2018 que no se encuentran activas en el padrón de contribuyentes y, ii) la presencia de un volumen significativo de la población que estando activa en el padrón de contribuyentes, no realiza el pago de impuestos aun cuando se reportaron como perceptores de ingresos según la información del INEGI.
El incremento de la inversión en activos fijos y el crecimiento de los inventarios, como estrategia fiscal, ha permitido a los contribuyentes eludir el pago de los impuestos, lo más sensible, es que se mantiene un porcentaje promedio del 16% de devoluciones de impuestos respecto al total de ingresos tributarios, que en su mayoría corresponden a devoluciones de IVA, lo que permite a las empresas aprovisionarse de un flujo de efectivo constante a través de la manipulación del IVA acreditable.
La estructura factorial de la recaudación de impuestos en el país requiere de la implementación de diversas estrategias por parte de la autoridad gubernamental para incrementar los niveles del ingreso tributario, como: la celebración de un pacto entre el fisco y los ciudadanos para motivar el cumplimiento voluntario de obligaciones fiscales con el compromiso del gobierno nacional de ejercer el gasto de manera eficiente y transparente. Rediseñar los impuestos indirectos para alcanzar la equidad vertical y horizontal de la carga tributaria, que promueva la justicia social y, finalmente, elevar la productividad de la agencia tributaria nacional para reducir las brechas de evasión fiscal.




