
Recepción: 25 Septiembre 2017
Aprobación: 14 Noviembre 2017
Resumen: Este texto se propone establecer las relaciones existentes en torno al tiempo entre los textos El concepto de tiempo (el tratado y la conferencia publicados en 1924), Prolegómenos para una historia del concepto de tiempo (1925) y Ser y tiempo (1927) de Heidegger, y la teoría de la relatividad especial y general de Albert Einstein, específicamente en la obra del mismo nombre, publicada en 1916. A partir de esto, se identifican las referencias directas e indirectas de Heidegger a Einstein y su pensamiento, así como los puntos centrales sobre los que ellas versan. Así, se concluye la primacía de las apreciaciones críticas del filósofo alemán al científico relativista principalmente en torno al fallido intento de la relatividad por replantear el concepto de tiempo.
Palabras clave: Dasein, temporeidad, física, relatividad.
Abstract: This paper aims to identify the relationship around time between the Heidegger’s works El concepto de tiempo en la ciencia histórica (1915), El concepto de tiempo (as the treaty as the conference published in 1924), Prolegómenos para una historia del concepto de tiempo (1925) and Ser y tiempo (1927) and the theory of relativity of German scientist Albert Einstein, specifically in his work Sobre la teoría de la relatividad especial y general published in 1916. Since that, this paper shows the direct and indirect references from Heidegger to Einstein and his thought. Thus, it concludes the primacy of the Heidegger’s critical approach to the German scientist, mainly around the failed attempt of relativity to rethink the concept of time.
Keywords: Dasein, Zeitlichkeit, physics, relativity.
1. Introducción
El objetivo principal de este artículo es exponer la relación en torno al tiempo entre el pensamiento del filósofo alemán Martin Heidegger y la teoría de la relatividad especial y general propuesta por Albert Einstein. Para esto, nos centraremos en las obras de Heidegger El concepto de tiempo en la ciencia histórica de 1915, el tratado y la conferencia El concepto de tiempo, ambos publicados en 1924, Prolegómenos para una historia del concepto de tiempo de 1925 y, la obra magna del filósofo alemán, Ser y tiempo, publicada en 1927. En lo que atañe a la obra de Einstein, nos enfocaremos en el texto Sobre la teoría de la relatividad especial y general de 1916, en el cual se esquematizan los aspectos principales de esta teoría en sus dos vertientes, de manera tal que el público no especializado en la matemática propia de la física moderna pueda entender sus postulados.
En primer lugar, sintetizaremos los puntos principales de la teoría de la relatividad especial y general para identificar cómo estos elementos se reflejan en la concepción del tiempo de la física moderna en contraste con posturas precedentes. En segundo, expondremos brevemente la concepción del tiempo de Martin Heidegger y cómo esta surge desde la argumentación realizada en sus textos. Por ende, reconoceremos la propuesta heideggeriana en torno al tiempo y los elementos que servirán de fundamento a la relación con su correspondiente relativista.
En tercer lugar, identificaremos la relación entre estas posturas a partir de sus correspondencias teóricas en torno al tiempo y las referencias encontradas en los textos señalados. Para esto, partiremos de las menciones, los comentarios y las críticas que realiza el filósofo alemán a la teoría de la relatividad, en general, y a Einstein, en específico. Concluiremos este apartado con algunas consideraciones analíticas que nos permitan ahondar en el estudio de la relación entre estas dos posturas e identificar la validez de los argumentos utilizados por Heidegger en sus menciones a la teoría relativista. Por último, recogeremos las conclusiones generales que se encuentran en el texto, centrándonos en aquellas que versan sobre la relación intelectual de estos dos autores y las diferencias entre sus posturas.
2. La nueva métrica del tiempo de la teoría de la relatividad de Einstein
En 1905[5] Albert Einstein publicó su intento por compaginar dos principios físicos que hasta esa época eran matemáticamente incompatibles: la velocidad de propagación de la luz en el vacío y la relatividad de Galileo o teoría de la relatividad “en sentido restringido”, como la denominaba el científico alemán. La incongruencia se centraba en algunos marcos de referencia de Galileo en los que la sumatoria de velocidades podría superar la constante . de la velocidad de la luz. Einstein reconoció este problema y expuso su teoría de la relatividad especial como el sistema físico perfectamente lógico en el cual la supuesta contradicción de estos principios quedaba resuelta:
Aquí es donde entró la teoría de la relatividad. Mediante un análisis de los conceptos de espacio y tiempo se vio que en realidad no existía ninguna incompatibilidad entre el principio de la relatividad y la ley de propagación de la luz, sino que, ateniéndose uno sistemáticamente a estas dos leyes, se llegaba a una teoría lógicamente impecable. Esta teoría, que para diferenciarla de su ampliación (comentada más adelante) llamamos “teoría de la relatividad especial”, es la que expondremos a continuación en sus ideas fundamentales (Einstein 23).
La superación de esta incongruencia se llevó a cabo a través de un replanteamiento de la estructura geométrica del espacio y el tiempo. Newton había propuesto en el siglo XVII que existía un espacio y un tiempo absolutos[6] en los cuales acontecían todos los sucesos del mundo físico y que, a su vez, permitían deducir movimientos y velocidades absolutas. La relatividad de Galileo introdujo, a partir de estos entes absolutos, la equivalencia de los sistemas de referencia inerciales en la observación y la medición del movimiento. Esta vez, desde un espacio-tiempo que permitía la foliación temporal y fundamentaba la idea de la simultaneidad de los sucesos (Maudlin 2014). Einstein, por su parte, tomó la equivalencia de los sistemas de referencia inerciales de Galileo y utilizó las ecuaciones de las transformaciones de Lorentz para especificar el paso de un marco de referencia a otro, de tal manera que se cumpliera la máxima principal de su relatividad especial:
Toda ley general de la naturaleza tiene que estar constituida de tal modo que se transforme en otra ley de idéntica estructura al introducir, en lugar de las variables espacio-temporales x, y, z, t del sistema de coordenadas original K, nuevas variables espacio-temporales x’, y’, z’, t’ de otro sistema de coordenadas K’, donde la relación matemática entre las cantidades con prima y sin prima viene dada por la transformación de Lorentz. Formulado brevemente: las leyes generales de la naturaleza son covariantes respecto a la transformación de Lorentz (Einstein 41).
Tim Maudlin, en su obra Filosofía de la física I. Espacio y tiempo, propone una forma de entender el cambio fundamental que implica la relatividad de Einstein desde las distintas estructuras que se encuentran en la geometría del espacio y el tiempo. Toda estructura geométrica de estos contiene en sí una topología[7], una estructura afín y una estructura métrica. La primera se refiere a la capacidad de un determinado espacio o tiempo de poseer una continuidad que permita construir líneas sin discriminar si estas son rectas o no lo son, es decir, una consecución de puntos en un espacio o tiempo determinado. La estructura geométrica afín, para el caso de la geometría euclidiana –en la que se basa la mecánica newtoniana y galileana–, alude a la necesidad de la existencia de una línea recta entre dos puntos. Esto requiere de segmentos definidos como el resultado del trazo de una línea con una barra rígida y recta entre dos puntos dados. Por último, la estructura métrica de un sistema geométrico se centra en la distancia entre dos puntos y remite principalmente a la medición de la longitud de la línea recta trazada entre dos puntos[8]. De esta manera, en un sistema geométrico que cumpla con estas estructuras es posible dibujar y determinar puntos espaciales o temporales que además puedan unirse con el trazo de una línea recta entre ellos y que, a su vez, esta pueda medirse utilizando un segmento rígido, recto y escalar.
Estas propiedades originalmente fueron observadas en los axiomas e instrumentos propios de la geometría de Euclides y son fundamentales en la explicación del espacio y tiempo tanto en la mecánica clásica de Newton como en el espacio-tiempo relativo de Galileo. Sin embargo, como reconoce Maudlin, la geometría del espacio-tiempo de Minkowski[9], propia de la teoría de la relatividad especial, se asemeja, en cuanto a su topología y estructura afín, a la del espacio-tiempo tetradimensional con características euclidianas que puede verse en la relatividad galileana:
En resumen, tanto la estructura topológica como la estructura de línea recta del espacio de Minkowski son iguales a Importar imagen. Esto significa que los diagramas del espacio-tiempo euclidiano pueden representar esos aspectos del espacio-tiempo de Minkowski de una manera particularmente sencilla. Las líneas continuas en el diagrama pueden corresponder a líneas continuas en el espacio-tiempo, y las líneas rectas en el diagrama pueden corresponder a líneas rectas en el espacio-tiempo (Maudlin 2014 120).
El cambio fundamental que introduce la teoría de la relatividad especial en la estructura geométrica del espacio-tiempo se centra en la métrica espacio-temporal. Las coordenadas de Lorentz reemplazan las coordenadas cartesianas de la geometría euclidiana y la longitud o distancia entre dos puntos que se encontraba en la estructura métrica del espacio euclidiano se dejan a un lado en el espacio-tiempo tetradimensional de Minkowski por los intervalos entre eventos:
Esto debería servir como una advertencia de que la geometría del espacio-tiempo de Minkowski es fundamentalmente muy diferente de la geometría del espacio euclidiano, a pesar de la similitud de la estructura topológica y la estructura afín. Así, mientras que las estructuras topológicas y las estructuras de línea recta en un diagrama de espacio-tiempo representan exactamente lo que parecen representar, las distancias entre los puntos en un diagrama de espacio-tiempo no se corresponden de forma directa con los intervalos entres los eventos representados (Maudlin 2014 122).
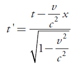
Esto conllevó el abandono de las ecuaciones tradicionales que permitían modificar el sistema de referencia desde el cual se observaba un fenómeno. El tiempo, que anteriormente no tenía variación de un sistema de referencia a otro (ya que se entendía que t’ = t)[10], cambia rotundamente dependiendo del marco de referencia en el cual se examina. La transformación de Lorentz implica que el tiempo de un sistema de referencia está íntimamente ligado tanto a sus coordenadas espaciales como a la velocidad en la que cual se mueve el sistema y la velocidad constante de la luz. De esta manera, en esta transformación el tiempo pierde la independencia que lo caracterizaba anteriormente para entrar en íntima relación con otros factores. Einstein señaló este aspecto del tiempo en el espacio-tiempo de Minkowski de la siguiente manera:
La teoría de la relatividad sirve en bandeja la visión cuadridimensional del “mundo”, pues según esta teoría el tiempo es despojado de su independencia, tal y como muestra la cuarta ecuación de la transformación de Lorentz:
(Einstein 52).Otra de las consecuencias que trajo la teoría de la relatividad fue el abandono de la idea de la simultaneidad objetiva de sucesos. Como se mencionó, en el espacio-tiempo de Galileo existían foliaciones temporales con cantidad . igual, es decir, un determinado espacio absoluto compartía el mismo valor temporal (.) en el cual se daban sucesos simultáneos. Einstein matiza este efecto del espacio y tiempo absoluto y, a partir de las transformaciones de las coordenadas espacio-temporales en la relatividad, concluye que la simultaneidad no puede ser de manera alguna objetiva[11]. Su determinación está relacionada con el marco de referencia al cual esté inscrito[12]: “Cada cuerpo de referencia (sistema de coordenadas) tiene su tiempo especial; una localización temporal tiene sólo sentido cuando se indica el cuerpo de referencia al que remite” (Einstein 28).
La teoría de la relatividad general, publicada en 1915 (Maudlin 2014), que extiende el alcance de la relatividad hasta la explicación de la gravedad, atribuye al espacio-tiempo una estructura geométrica de igual manera que su correspondiente especial lo hace. La diferencia elemental entre estas posturas relativistas es que la estructura afín de la relatividad general permite reconocer entre movimientos acelerados y no acelerados. Esto implica, a su vez, que el principio de la relatividad que ya se ha expuesto se extiende hasta aquellos sistemas de referencias que no se encuentran en movimientos inerciales, a los que se limitaba la relatividad especial.
La característica más importante de la relatividad general se encuentra en el hecho de que la estructura geométrica del espacio-tiempo puede ser influida por la materia y la densidad con que ella se presenta[13]. De tal manera, el espacio-tiempo puede contraerse o estirarse en orden a la cantidad de materia que se concentra en un evento específico. Einstein detalla este aspecto fundamental de su teoría cuando afirma:
Según la teoría de la relatividad general, las propiedades geométricas del espacio no son independientes, sino que vienen condicionadas por la materia. Por eso no es posible inferir nada sobre la estructura geométrica del mundo a menos que la reflexión se funde en el conocimiento del estado de la materia. Sabemos, por la experiencia, que con una elección conveniente del sistema de coordenadas las velocidades de las estrellas son pequeñas frente a la velocidad de propagación de la luz. Así pues, si suponemos que la materia está en reposo, podremos conocer la estructura del universo en una primera y tosquísima aproximación (98).
A pesar de las diferencias entre la relatividad general y la especial expuestas, hay dos aspectos sobre la concepción del tiempo que se mantienen igual. Estas son la direccionalidad[14] y la linealidad del tiempo[15]. En ambas estructuras geométricas no hay experiencias físicas que permitan concluir que es posible que el tiempo se pliegue sobre sí formando una circularidad temporal cíclica. La única excepción a esto se da en la relatividad general, donde los agujeros negros encierran una gran cantidad de materia en un volumen reducido. Sin embargo, y a pesar de que matemáticamente se logran trazar diagramas en los cuales se forman curvas cerradas de tipo tiempo, no hay muestras físicas que comprueben que estas puedan darse en la realidad (Maudlin 2014).
3. El tiempo y la temporeidad ontológica de Heidegger
Encontramos el desarrollo en profundidad de estos términos en el pensamiento de Martin Heidegger en la segunda sección de Ser y tiempo (1927)[16]. Como se verá más adelante, esta obra no es la única entre sus escritos que aborda este tema: Heidegger había incursionado en el estudio del tiempo como “horizonte de posibilidad de la comprensión del ser” en textos previos a su obra magna como lo son El concepto de tiempo –tanto el tratado como la conferencia publicadas en 1924[17]– y Prolegómenos para una historia del concepto de tiempo, publicado en 1925[18].
En “Dasein y temporeidad” (segunda sección de Ser y tiempo), Heidegger parte de los resultados encontrados en la “Etapa preparatoria del análisis fundamental del Dasein” y emprende la búsqueda de la formulación adecuada de la pregunta por el sentido del ser desde el análisis del Dasein en su integridad. Los resultados que ha arrojado esta primera etapa del estudio se centran en el cuidado como el ser del Dasein. En palabras del filósofo alemán:
Hemos encontrado la constitución fundamental del ente temático, el estar-en-el-mundo, cuyas estructuras esenciales se centran en la aperturidad. La totalidad de este todo estructural se reveló como cuidado. En el cuidado está contenido el ser del Dasein. El análisis de este ser tomó como hilo conductor lo que anticipadamente fue definido como la esencia del Dasein, la existencia. Formalmente, este término quiere decir lo siguiente: el Dasein es en cuanto poder-ser comprensor al que en tal ser le va este ser como el suyo propio. El ente que es de esta manera lo soy cada vez yo mismo. La elaboración del fenómeno del cuidado proporcionó una mirada al interior de la constitución concreta de la existencia, esto es, a su cooriginaria conexión con la facticidad y la caída del Dasein (Heidegger 2014 247).
Pero el cuidado como totalidad estructural del Dasein entra en un aparente conflicto con la posibilidad del estar-entero necesaria para una interpretación originaria de este ente. El cuidado como ser del Dasein implica que, en su momento primario del “anticiparse-a-sí”, el Dasein esté en constante relación con su poder-ser, estando vuelto hacia sus posibilidades incluso cuando le invade la desesperanza. Esto implica, a su vez, que en el Dasein siempre falta algo como posibilidad de ser de sí mismo, algo que aún no se ha concretado en la realidad: el carácter de poder-ser del Dasein lo mantiene en una permanente inconclusión.
Sin embargo, esta falta de integridad del ente prioritario se disuelve al entrar en juego su posibilidad más propia: el morir, es decir, el estar vuelto hacia su muerte[19]. La muerte, entendida como el estar-vuelto-hacia-el-fin del Dasein elimina la aparente contradicción que imposibilita la comprensión de su totalidad y permite continuar el análisis ontológico de la existencia a partir de la posibilidad extrema de este ente que él en cada momento tiene para sí[20]:
La salida que Heidegger propone a esta aporía consiste en no considerar la muerte como algo que provoca el final efectivo de la existencia humana, sino como la posibilidad extrema e irrebasable de esa misma existencia vista desde la perspectiva formal de su ser relativamente al fin. Y ¿en qué se distinguen estas reflexiones sobre la muerte de aquellas otras de la tradición cristiana? Básicamente en que no tematiza la muerte en clave existencial, sino como puente tendido hacia la temporalidad[21](Adrián 1999 222).
El Dasein está constantemente arrojado a esta posibilidad suya que es el morir, y este arrojo a esta posibilidad no es algo accidental de este ente, sino que es su posibilidad más propia. Por tanto, su relación con esta posibilidad no es algo que le sea aprehendido a través de un conocimiento teorético o un saber cualquiera. Al Dasein mismo se le hace patente esta posibilidad a través de la angustia concebida como disposición afectiva, e implica que no debe confundirse la angustia así entendida con el miedo a dejar de vivir, que es una negación del camino existencial propio, o con una debilidad anímica del individuo. Angustia, en sentido ontológico, implica una apertura a la existencia del Dasein como un ente que se encuentra a sí mismo arrojado hacia el estar vuelto hacia su fin. Es por esta razón que el Dasein y la posibilidad de su muerte hecha patente desde la angustia encuentran fundamento en el cuidado:
En este cadente estar en medio de … se acusa la huida fuera de lo desazonante, es decir, ahora, la huida frente al más propio estar vuelto hacia la muerte. Existencia, facticidad, caída caracterizan el estar vuelto hacia el fin y son, por consiguiente, constitutivos, del concepto existencial de la muerte. El morir se funda, en cuanto a su posibilidad ontológica, en el cuidado(Heidegger 2014 268).
El Dasein es un ente con un sinnúmero de posibilidades que se proyectan a través de su posibilidad más extrema: la muerte (Laera). Esto implica que se muestra a sí mismo en la totalidad de su existencia desde su pasado, es decir, desde su haber-pasado. Es a partir de esta perspectiva que articula el haber-pasado del Dasein con la aperturidad a sus posibilidades en relación con el poder-ser más propio de este ente que logra comprenderse el fenómeno del tiempo[22]. Y esto de tal manera que el tiempo se descubre no solo como aquello en lo que los entes intramundanos existen y están, como se comprende en el concepto vulgar del tiempo y el tiempo público, sino como el ser mismo del ser. El Dasein es en la medida en que es tiempo. En palabras de Heidegger:
Mas el adelantarse hasta la posibilidad de ser más propia no es sino el ser del llegar a ser mío más propio. Ese ser culpable o deudor que se pone junto con él es el ser del haber sido más propio. El ser del haber sido es el pasado, de tal modo que en un ser tal yo no soy sino el futuro del Dasein y de ese modo su pasado. El ser en que el Dasein, en cuanto estar-por-delante-de-sí, puede ser verdaderamente su integridad es el tiempo… No: el tiempo es, sino: el Dasein ocasiona su ser en cuanto tiempo. El tiempo no es nada que esté ahí fuera en alguna parte y sea el marco de lo que acontece en el mundo; el tiempo tampoco es nada que esté bordoneando dentro en la conciencia, sino que es lo que hace posible el estar-por-delante-de-sí-estando-ya-en, es decir, el ser del cuidado (2006 398-399).
De esta manera, a través del análisis del fenómeno de la muerte y del cuidado ontológico (los pasos argumentativos que realiza Heidegger en Ser y tiempo), ante el poder-ser más propio del Dasein, se llega a la comprensión del tiempo como el ser del Dasein en cuanto tiempo; es decir, el Dasein es en cuanto es tiempo. Y esto solo es posible porque es posibilidad, porque se encuentra constantemente con su poder-ser, es decir, en su ocupación en el cuidado de sus posibilidades:
El Dasein es un ser ejecutivo, un ser posible, un poder-ser (Seinkönnen), pero sólo lo es precisamente porque es un ser temporal, lo que significa un ser que muere. Muerte y temporalidad van de la mano, sólo se muere porque se es temporal, y sólo se es temporal porque se muere, pero esto que pudiese parecer algo completamente negativo no lo es, la muerte es la que hace posible la posibilidad que somos, si no muriésemos no seríamos seres posibles, seres en construcción, sino todo lo contrario, seríamos dioses y por lo tanto seres de realidad. Todo en nosotros sería pura realidad, no cabría ni la más mínima posibilidad de que hubiese posibilidad. El poder-ser (Seinkönnen) que la muerte y la temporalidad permiten, y con ello, ciertamente la irrupción de lo histórico, es un aún-no y un haber-pasado (Amaya 75).
4. Heidegger y Einstein: su relación en torno al tiempo
Como hemos expuesto, Heidegger y Einstein generaron un cambio fundamental en la concepción del tiempo de sus disciplinas: Einstein reiteró la unidad del espacio-tiempo tetradimensional y aplicó una estructura métrica que posibilitó un nuevo paso entre distintos marcos de referencia; Heidegger, por su parte, llevó el desarrollo de la pregunta por el sentido del ser a la temporeidad y descubrió la relación más propia entre el ser y el tiempo. Ahora bien, si queremos cumplir con el objetivo de este texto debemos preguntarnos: ¿existe una relación entre estos dos pensamientos? Si es así: ¿cómo se relacionan? y ¿cuáles son sus semejanzas y diferencias?[23]
Para responder estos interrogantes empezaremos por reconocer cuál fue la relación intelectual entre estos pensadores. Como sabemos, tanto Heidegger como Einstein vivieron en gran medida en la Alemania de la primera mitad del siglo XX y fueron reconocidos intelectuales de su época. Y, si bien no encontramos en los escritos del físico alemán estudiados referencias directas al pensamiento heideggeriano, sí se evidencian en algunos textos de Heidegger menciones, comentarios y críticas a lo propuesto por Einstein en torno a la teoría de la relatividad.
Sin embargo, antes de pasar al estudio de estas referencias, es necesario tener en cuenta un aspecto importante sobre la vida y la obra de estos autores. Existe un sinnúmero de trabajos que relacionan a Heidegger con el nazismo y el antisemitismo[24]. Nadie puede negar en la actualidad la estrecha relación que el filósofo alemán tuvo con el partido nacionalsocialista, del cual era miembro activo, pero su cercanía al antisemitismo merece una mirada mucho más profunda.
Joseph Rouse, en su texto “Heidegger’s Philosophy of Science”, menciona el antisemitismo como posible causa de la falta de referencia directa a Einstein y otros científicos relativistas en Ser y tiempo de la siguiente manera: “In Being and Time, Heidegger cited relativity theory as exemplary of an ontological reawakening in physics (SZ: 9-10). The omission of Einstein’s name alongside Heisenberg and Bohr ten years later inevitably invites questions about Heidegger’s deference to Nazi campaigns against ‘Jewish physics’ ” (188). Pero, si bien es cierto que en Ser y tiempo . Prolegómenos para una historia del concepto de tiempo –como veremos más adelante– no se encuentran referencias directas a los pensadores de la relatividad, en este estudio expondremos otras obras del filósofo alemán en las cuales alude a la teoría de la relatividad y hace citas textuales a la obra de Einstein.
No discurriremos aquí en la gran polémica acerca del antisemitismo de Heidegger debido al gran número de trabajos al respecto. Sin embargo, destacamos entre ellos el realizado por Luis Tamayo, denominado “El estilo de Heidegger”, y la cita a la opinión del filósofo alemán respecto de su antisemitismo que en este texto se encuentra:
Como aclaración respecto a mi comportamiento con los judíos [transmito] simplemente los siguientes hechos: Tengo en este semestre de invierno exceso de trabajo y por ello di a conocer oportunamente en el verano que quería quedarme tranquilo y trabajar a salvo de otras ocupaciones. ¿Quién viene, sin embargo, y urgentemente debe (y puede) doctorarse? Un judío. ¿Quién puede venir mensualmente conmigo para informarme del transcurso de un amplio estudio? (Sea un proyecto de disertación o de habilitación.) Otra vez un judío. ¿Quién hace unas semanas me envió un voluminoso estudio para que urgentemente lo revisara? Un judío. Los dos becados de la Notgemeinschaft (una asociación de apoyo a estudiantes) que en los últimos dos semestres llevo adelante, son judíos. ¿Quién, a través de mí, consiguió una beca para estudiar en Roma? Un judío. Quien habla en mi caso de un “rabioso antisemitismo” es, más bien, quien lo posee (Heidegger citado en Tamayo 37[25]). De esta manera, Tamayo recalca que enmarcar al pensador alemán como antisemita es un gran error[26], especialmente debido a la gran distancia que tuvo Heidegger con el nazismo en los años más álgidos de la guerra y la masacre judía[27]:
De ninguna manera se puede considerar a Heidegger un radical del nacionalsocialismo tal y como, en la actualidad, concibe a dicho sistema totalitario el pensar occidental. Es cierto, como documenta Faye, que Heidegger quedó fascinado por Hitler, y que incorporó muchas tesis nacionalsocialistas en su filosofía, pero nunca las asumió todas y tampoco con el compromiso que los nazis esperaban (Tamayo 38).
Por ende, reducir la relación entre Heidegger y Einstein a una disputa política y étnica enmarcada entre el nacionalsocialismo y la Segunda Guerra Mundial no posee suficiente fundamento. Contrario a esto, vemos que sus trabajos e investigaciones se encuentran en un plano intelectual que vale la pena dilucidar.
De esta manera, dado que no encontramos en las obras de Einstein estudiadas referencia alguna a Heidegger, abordaremos en orden cronológico los textos analizados del filósofo alemán con el fin de reconocer la manera en la que sus referencias a la teoría relativista cambian en el periodo comprendido entre 1915, cuando se publica El concepto de tiempo en la ciencia histórica, y 1927, año de publicación de Ser y tiempo.
Por un lado, en El concepto de tiempo en la ciencia histórica (1915) se encuentran las más directas y numerosas referencias críticas al pensamiento del físico alemán. Heidegger destaca en este escrito la labor emprendida por Einstein y señala el rol que tiene el concepto de tiempo en la física. Ante todo, reconoce que el objeto de la ciencia física es la medición del movimiento a través de las leyes o los principios generales que rigen la locomoción. Al respecto afirma que:
Con esto debería quedar clara la meta que persigue la física como ciencia, a saber: la unidad de su imagen del mundo físico, reducir todos los fenómenos a las leyes fundamentales y matemáticamente fijadas de una dinámica general, así como reducir todos los fenómenos a las leyes de movimiento de una masa aún por determinar (Heidegger 2009 22).
A partir de esto, el concepto de tiempo toma un rol encaminado hacia el propósito de la física y su función se reduce a posibilitar la métrica del movimiento[28]. En palabras de Heidegger: “Así, pues, los movimientos como objetos de estudio de la física se miden con ayuda del tiempo. La función del tiempo consiste en posibilitar la medición” (2009 25; las itálicas pertenecen al texto citado). Esta afirmación, que en principio se refería a la ciencia física en general, abarca también la teoría de la relatividad. Especialmente cuando el filósofo alemán cita Zur Elektrodynamik bewegter Körper (1905), texto de Einstein que introduce la relatividad especial en el mundo académico. Así, Heidegger cita, textualmente, del físico relativista: “Cuando queremos describir el movimiento de un punto material –dice Einstein– damos los valores de sus coordenadas en función del tiempo” (2009 25).
A partir de lo anterior Heidegger inicia su abordaje crítico de esta teoría. El primer aspecto que destaca de esta función del tiempo como condición de posibilidad de la medición es que el medir mismo elimina la fluidez del tiempo. Para medir un suceso, el tiempo debe cortarse en su transcurrir, debe rebanarse y dividirse para posibilitar su matematización:
Esta indicación de la cantidad reúne en una unidad los puntos del tiempo transcurridos hasta ese momento. Por así decirlo, hacemos un corte en la escala temporal, con lo cual destruimos el verdadero tiempo en su fluir y lo paralizamos. El flujo se congela, se convierte en una superficie, y sólo se puede medir como superficie. El tiempo se ha transformado en una ordenación homogénea de posiciones, en una escala, en un parámetro (Heidegger 2009 26).
Heidegger articula su crítica más fuerte y directa a Einstein con base en esto: el segundo aspecto que menciona es que la teoría de la relatividad no representa en realidad un replanteamiento del concepto del tiempo. Su función en la física relativista es la misma que ha tenido a lo largo de la historia: la medición del movimiento. Incluso, el filósofo recalca que la concepción del tiempo como una coordenada en unidad con el espacio-tiempo tetradimensional reafirma este rol del tiempo en vez de replantearlo[29]. Heidegger enfatiza a este respecto:
Sin embargo, se suele pasar por alto el siguiente hecho: en la teoría de la relatividad, en tanto que teoría física, se trata del problema de la medición del tiempo, no del tiempo en sí mismo. La teoría de la relatividad no altera el concepto de tiempo; de hecho, confirma plenamente la principal característica del concepto de tiempo propio de las ciencias naturales que anteriormente pusimos de relieve, a saber, su carácter homogéneo y cuantitativamente determinable. No hay nada que exprese mejor este carácter matemático del concepto de tiempo en la física que el hecho de considerarlo como una cuarta dimensión que viene a añadirse al espacio tridimensional; y, en unión con éste, es estudiado por las geometrías no-euclidianas, es decir, las geometrías que trabajan con más de tres dimensiones (2009 27).
Por otro lado, encontramos dos escritos de 1924 en los cuales se aborda el tema de este estudio y en los que podemos identificar referencias a la teoría de la relatividad. Ambos se denominan El concepto de tiempo: el texto de una conferencia dada por Heidegger ese año y el tratado, con un abordaje y desarrollo más completo. En el primero observamos una referencia directa al físico y su teoría específicamente con relación al intento de la ciencia por replantear sus principios fundamentales. Este abordaje de la teoría de la relatividad, como veremos más adelante, será el factor común de las referencias posteriores de Heidegger a Einstein y su pensamiento. Así, afirma el filósofo:
El interés por la cuestión de qué es el tiempo se ha despertado nuevamente en la actualidad por el desarrollo de la investigación física, concretamente en su reflexión sobre los principios fundamentales acerca de lo que ella tiene que comprender y definir a este respecto: la medición de la naturaleza en el marco de un sistema de relaciones espacio-temporales. El estado actual de esta investigación está recogido en la teoría de la relatividad de Einstein (Heidegger 2003 28).
En el tratado de El concepto de tiempo, alude a cómo el fenómeno del tiempo se ha estudiado en muchas ocasiones desde la física y, por ende, ha intentado matematizarse:
Puesto que la teoría de la relatividad reflexiona sobre los fundamentos de la determinación del tiempo, en su trabajo hay que sacar a la luz con mayor claridad “el tiempo” mismo. En particular, los trabajos de H. Weyl, el cual en sus reflexiones fundamentales ha seguido los principios de la escuela fenomenológica, muestran una tendencia a dirigir la matemática de una manera cada vez más originaria hacia el fenómeno del tiempo (Heidegger 2008 102).
En Prolegómenos para una historia del concepto de tiempo (1925) se encuentra una referencia muy similar a la que se veremos en Sein und Zeit aunque, esta vez, con un abordaje un poco mayor y en relación con otros aspectos que anteriormente no se mencionaron –ni se mencionan en Ser y tiempo–como lo es la relación entre la gravitación y la materia. Esto ya nos muestra que Heidegger no solo ha tenido un acercamiento profundo a la relatividad especial, sino que conoce los aspectos fundamentales de su correspondiente general[30]. Por ende, podemos concluir que esta postura crítica presente en Ser y tiempoy en Prolegómenos abarca la teoría de la relatividad en sus dos visiones, es decir, tanto especial como general. Al respecto, afirma Heidegger que:
En la física llegó la revolución con la teoría de la relatividad, cuyo sentido no es otro que la tendencia a exponer la trama originaria de la naturaleza tal como ella, independientemente de toda indagación y caracterización, subsiste. La teoría llamada de la relatividad es una teoría de las relatividades, es decir, una teoría de las condiciones de acceso y de las maneras de concebir que hay que configurar para que, al acceder a la naturaleza con determinados tipos de medición espaciotemporal, se pueda garantizar la invariabilidad de las leyes del movimiento. No busca relativismo alguno, sino todo lo contrario: su verdadera pretensión es, dando un rodeo por el problema de la gravitación, en el que se ha centrado el problema de la materia, hallar el en-sí de la naturaleza (2006 19).
Encontramos otra referencia a la teoría de la relatividad en la introducción a Ser y tiempo, en donde la menciona como un intento por cambiar los fundamentos de la ciencia física, es decir, como un replanteamiento de la región de ser que intenta estudiar:
La teoría de la relatividad en la física nace de la tendencia a sacar a luz en su carácter propio y “en sí” la textura de la naturaleza misma. Como teoría de las condiciones de acceso a la naturaleza misma procura preservar la inmutabilidad de las leyes del movimiento mediante la determinación de todas las relatividades y de esta manera se enfrenta a la pregunta por la estructura de su propia región esencial, es decir, al problema de la materia (Heidegger 2014 38).
Sin embargo, hay que tener en cuenta el momento argumentativo en el cual se da esta referencia. En la introducción a Ser y tiempo, Heidegger delimita y explica el camino que desarrollará en toda su obra. Específicamente, menciona la teoría de la relatividad como uno de los intentos que se han hecho en las ciencias naturales por delimitar correctamente su objeto de estudio y fundamentos. Lo que concluye a este respecto es que tales intentos de delimitar la región del ser que cada una de estas ciencias estudia no podrán estar suficientemente justificados sin realizar una correcta y originaria ontología fundamental del ser. Esta, precisamente, es la empresa principal de Heidegger en Ser y tiempo (2014).
Además, el filósofo alemán critica en esta obra la teoría de la relatividad cuando explica el surgimiento de la medición del tiempo a partir de la temporeidad. En el continuo ocuparse fáctico del Dasein, este computa el tiempo de tal manera que sea posible definir un ahora en relación con un para-qué, es decir, a través de la medida del tiempo el Dasein descubre el tiempo como un tiempo para…, de modo que esta computación temporal le permita una ocupación determinada en un momento específico. Sin embargo, aunque en la databilidad del tiempo el Dasein siempre se atribuye un lugar a partir del cual se realiza una conexión espacial-local que facilite la vinculación temporal de todos los entes que usan el tiempo público, debemos aclarar que el tiempo no se acopla con el espacio en una unidad, sino que el espacio comparece desde la temporeidad que se ocupa del tiempo. En palabras del filósofo alemán:
El tiempo hecho público en la medición del tiempo no se convierte de ningún modo en espacio en virtud de su datación mediante relaciones métricas espaciales. Desde un punto de vista ontológico-existencial, tampoco deberá verse lo esencial de la medición del tiempo en el hecho de que el “tiempo” datado se determine numéricamente en función de trayectos espaciales y del cambio de lugar de una cosa espacial. Lo ontológicamente decisivo radica, más bien, en la específica presentación que hace posible la medición. La datación por medio de lo que está-ahí “en el espacio” no es en absoluto una espacialización del tiempo, sino que esta presunta espacialización no significa otra cosa que la presentación de la presencia del ente que en todo ahora está-ahí para cualquiera. En la medición del tiempo que por necesidad esencial tiene que decir “ahora”, se olvida, por así decirlo, más allá del logro de la medida, lo medido en cuanto tal, de tal manera que ya no es posible encontrar otra cosa que trayectos espaciales y números (Heidegger 2014 430-431).
Es decir, la articulación del espacio y el tiempo en un espacio-tiempo tetradimensional no es posible desde la concepción heideggeriana del tiempo y la temporeidad: el espacio no es inmanente con el tiempo, sino que es producto de la comparecencia del tiempo a través de la temporeidad. Heidegger comenta en una nota al pie la medición del tiempo en la teoría de la relatividad:
No es necesario entrar aquí en el problema de la medición del tiempo en la teoría de la relatividad. La aclaración de los fundamentos ontológicos de esta medición presupone el esclarecimiento, a partir de la temporeidad del Dasein, del tiempo del mundo y de la intratemporeidad, y presupone también el esclarecimiento de la constitución tempóreo-existencial del descubrimiento de la naturaleza y del sentido tempóreo de la medición en general. Una axiomática de la técnica de medición de la física deberá apoyarse en esas investigaciones y es incapaz de desarrollar por sí misma el problema del tiempo en cuanto tal (2014 430).
De esta manera, las referencias de Heidegger al pensamiento de Einstein hechas después de 1924 recalcan lo que para él es el fracaso de la teoría de la relatividad en reformular, con un fundamento ontológico originario, los conceptos principales de la física[31]. Esto lo evidenciamos específicamente en la similitud argumentativa existente entre Ser y tiempo y la conferencia El concepto de tiempo, similitud que se extiende a las obras como el tratado El concepto de tiempo . Prolegómenos para una historia del concepto de tiempo que fueron publicadas entre 1924 y 1927. Al respecto, afirma Jesús Adrián:
En ella [es decir, la conferencia El concepto de tiempo] se sientan las bases de un análisis de las estructuras ontológicas de la existencia humana y de una consideración del tiempo a partir de una sugestiva reflexión sobre la muerte, que anticipa terminológica, sintáctica y temáticamente el proyecto filosófico de 1927 (Ser y tiempo) (1999 212).
Así, las obras que hemos estudiado se articulan en torno a una posición crítica respecto de la teoría de la relatividad, a saber, el rechazo a la aproximación investigativa que esta teoría hace del concepto de tiempo[32]. Jesús Adrián condensa estos aspectos de la posición heideggeriana ante otros intentos investigativos, especialmente en torno a la teoría de la relatividad, de la siguiente manera:
En primer lugar, Heidegger estima inadecuada e insuficiente la comprensión del tiempo compartida por experiencias tan distintas como la teoría de la relatividad de Einstein, las observaciones aristotélicas o la conducta cotidiana por entender que todas tres coinciden en determinar el tiempo a partir de la categoría de la medida. La física moderna se limita a medir los fenómenos naturales en el marco de un sistema de relaciones espacio-temporales. Incluso la experiencia cotidiana del tiempo parece estar filtrada por la medición y el cálculo de los acontecimientos. Heidegger ilustra el carácter homogéneo y cuantitativo del tiempo a través de la imagen del reloj, instrumento que plasma gráficamente esta noción de sucesión lineal y uniforme del tiempo. Un rasgo, en palabras de Ser y tiempo, que corresponde al tiempo impropio (1999 217).
Sin embargo, ¿es verdadera la crítica heideggeriana a la concepción del tiempo de Einstein y, por ende, no hay una verdadera revolución en esta? ¿La integración del tiempo en la unidad del espacio-tiempo tetradimensional realmente recalca su función como condición de posibilidad de la medición del movimiento?
Lo expresado por Tim Maudlin (2014) acerca de cómo la teoría de la relatividad implicó un cambio en la estructura métrica de la geometría espacio-temporal, conservando la tipología y estructura afín de sus predecesores, nos acerca a una respuesta a esta pregunta. Afirmamos al respecto que la crítica de Heidegger no solo está suficientemente justificada, sino que su afirmación acerca de la igualdad del rol del tiempo en la física relativista y sus predecesoras es acertada, dado que el cambio fundamental de la teoría de la relatividad se centra en su estructura métrica, es decir, en la manera en que los fenómenos y el intervalo entre ellos es medido: el cambio significativo se encuentra en el paso de las distancias entre puntos espaciales a los intervalos entre eventos. Por ende, la afirmación de Heidegger de que “La teoría de la relatividad no altera el concepto de tiempo; de hecho, confirma plenamente la principal característica del concepto de tiempo…, a saber, su carácter homogéneo y cuantitativamente determinable” (2009 27), es cierta, si bien no es despreciable la importancia que tiene la teoría y cómo representó per se una revolución en la medición del espacio-tiempo en relación con la métrica espacio-temporal de sus predecesoras. Este factor es quizá el único elemento que destaca Heidegger como positivo en esta teoría[33], especialmente cuando en la conferencia El concepto de tiempo de 1924 afirma:
Más allá de lo destructivo de esta teoría, fácilmente pasa desapercibido el aspecto positivo que demuestra la equivalencia de aquellas ecuaciones que describen los procesos naturales en cualesquiera transformaciones (2003 29).
A su vez, a partir de la medición del tiempo propia de la teoría de la relatividad, podemos afirmar que, desde el pensamiento heideggeriano, esta puede inscribirse como parte de una habladuría del Uno[34]. El Dasein inmediata y regularmente en la cotidianidad se absorbe en la dictadura de lo Uno ya que así su comprensión del mundo se proyecta de manera determinada bajo la influencia inauténtica e impropia, negando cualquier otra posibilidad de comparecer en la existencia de los entes intramundanos. La habladuría niega además la libertad ontológica, entendida como posibilidad de modificar existencialmente la vida, evita el sentimiento de la fatalidad y aliviana el despeñamiento por el cual la caída subyace como sin sentido.
Así, el concepto de tiempo de la relatividad se enmarca en una habladuría del Uno en la medida en que el tiempo se entiende desde un modo cotidiano y regular siempre desde su función métrica que permite regular el para-qué de un determinado momento, en vez de considerarse en una manera más propia y ontológicamente originaria como lo es en su íntima relación con el ser del Dasein y su temporeidad. En palabras del filósofo alemán:
El tiempo que conocemos y cuya cuenta llevamos en la vida cotidiana, mejor visto, no es sino el uno, al cual se abandona el Dasein en la cotidianidad. El ser en el estar-con-otros en el mundo, y eso quiere decir también descubrir-los-unos-con-los-otros el mundo en que estamos, es el ser del uno, un tipo determinado de temporalidad. Los movimientos que se dan en la naturaleza y que definimos espacio-temporalmente, esos movimientos no transcurren “en el tiempo” como si transcurrieran “en” un tubo; se hallan, en cuanto tales, por completo desprovistos de tiempo. Acontecen “en” el tiempo sólo porque su ser queda descubierto en cuanto naturaleza pura y simple. Acontecen “en” el tiempo que nosotros mismos somos (Heidegger 2006 399).
Además de esto, la física moderna recalcó en la cotidianidad esta concepción del tiempo desde la cual este se concibe siempre desde su medición. El concepto de tiempo de Einstein, por lo menos el formal, se impuso en el quehacer cotidiano de los hombres, por lo que bien podría decirse que la física, aunque la demostración racional de sus premisas aún siga siendo un misterio para la mayoría, colonizó la cotidianidad e implicó, justo por ello, una dictadura en la cual no es posible concebir, en lo cotidiano de la existencia, el tiempo fuera de su carácter de conmensurabilidad[35].
Incluso, dentro de la ciencia física, esta concepción cuantitativa y relativa del tiempo se impuso como “verdad” (dogma) científico. Todo científico que quiera ser aceptado debe partir, en principio, de esta concepción del tiempo. Por tanto, una demostración adicional de la existencia de esta dictadura del Uno se encuentra en que esta se ha convertido en un elemento de exclusión dentro del mundo científico. La dictadura se impone ante la forma de pensar cotidianamente la realidad y procura el encubrimiento del carácter más originario, más propio y más elemental de estos conceptos.
5. Conclusiones
Desde las obras estudiadas podemos concluir que la relación intelectual entre Heidegger y Einstein en torno al concepto de tiempo se limita a las menciones, los comentarios y las críticas que hace el primero del científico alemán. El físico relativista no menciona en su texto la obra de Heidegger ni ningún aspecto de su pensamiento. ¿Por qué? No lo sabemos. Este interrogante queda pendiente para una futura investigación.
A su vez, las referencias de Heidegger a la teoría relativista y el pensamiento de Einstein se centran en apreciaciones críticas. En algunos casos, enfocadas en el fracaso que representa la relatividad en reformular los fundamentos de la ciencia física a la luz de la ontología hermenéutica. En otros, concentradas en la manera como la relatividad, en vez de replantear el concepto de tiempo y su rol en la ciencia física, recalca la función del tiempo como condición de posibilidad de la medición del movimiento a través de su inclusión en el entramado tetradimensional del espacio-tiempo.
Si bien las críticas textuales de Heidegger a la relatividad de Einstein se quedan en esto, en nuestro estudio pudimos observar cómo el concepto de tiempo relativista puede enmarcarse, desde el pensamiento del filósofo alemán, en una habladuría del Uno que se centra en la medición del tiempo y en su rol cotidiano y regular en la medianidad del Dasein.
TRABAJOS CITADOS
Acevedo Guerra, Jorge. “La frase de Heidegger ‘la ciencia no piensa’, en el contexto de su meditación sobre la era técnica”. Revista de Filosofía 66 (2010): 5-23.
Adrián, Jesús. “Heidegger y el concepto de tiempo”. Éndoxa: Series filosóficas 11 (1999): 211-226.
_____. Guía de lectura de Ser y tiempo de Martin Heidegger. Vol. 2. Barcelona: Herder, 2016.
Amaya Pérez, Ulises Salomón. “El ser-para-la-muerte (Das Sein zum Tode) como fundante de una ética en Heidegger”. Teoría y praxis 28 (2016): 65-80.
Catoggio, Leandro. “Sobre la génesis del sentido en la hermenéutica ontológica de Heidegger y Gadamer”. Revista Filosofía UIS 7.1 y 7.2 (2008): 141-161.
Clarke, C. J. S. “Time in General Relativity”. Minnesota Studies in the Philosophy of Science 8 (1977): 94-108.
Einstein, Albert. Sobre la teoría de la relatividad especial y general. Trad. Miguel Paredes Larrucea. Madrid: Alianza Editorial, 1986.
Frank, Philipp. Einstein. His Life and Times. Nueva York: Alfred A. Knopf, 1947.
Gómez-Arzapalo, Francisco. “Heidegger y la pregunta por el tiempo”. Caminos. Coord. Ricardo Guerra y Adriana Yáñez. México: Centro Regional de Investigaciones Multidisciplinarias/UNAM, 2009. 63-72.
González Moscoso, Elsa. “Consideraciones en torno a la estructura ontológica existencial de la muerte en Martin Heidegger”. Disputatio. Philosophical Research Bulletin 1.1 (2012): 79-94.
González Valenzuela, Juliana. “Heidegger y el problema del nazismo”. Caminos. Coord. Ricardo Guerra y Adriana Yáñez, México: Centro Regional de Investigaciones Multidisciplinarias/UNAM, 2009. 87-94.
Hacyan, Shahen. Física y metafísica del espacio y el tiempo: La filosofía en el laboratorio. México: FCE, 2004.
Heidegger, Martin. El concepto de tiempo. Trad. Jesús Adrián Escudero y Raúl Gabás Pallás. Madrid: Trotta, 2003.
______. Prolegómenos para una historia del concepto de tiempo (1925). Trad. Jaime Aspiunza. Madrid: Alianza, 2006.
______. El concepto de tiempo (Tratado de 1924). Trad. Jesús Adrián Escudero. Barcelona: Herder, 2008.
______. “El concepto de tiempo en la ciencia histórica (1915)”. Tiempo e historia. Ed. y trad. Jesús Adrián Escudero. Madrid: Trotta, 2009. 13-38.
______. “La época de la imagen del mundo”. Caminos de bosque. Ed. Helena Cortés y Arturo Leyte. Madrid: Alianza, 2010. 63-90.
______. Ser y tiempo. Trad. Jorge Eduardo Rivera. Madrid: Trotta, 2014.
Kaku, Michio. El universo de Einstein: cómo la visión de Albert Einstein transformó nuestra comprensión del espacio y el tiempo. Barcelona: Antoni Bosch, 2005.
Laera, Rodrigo. “La finalidad del fin: el concepto de muerte a partir de Heidegger”. Principios: Revista de Filosofia (UFRN) 21.35 (2014): 135-157.
Lara Zavala, Nydia y Andrea Miranda. “Newton, Einstein y la noción de tiempo absoluto”. Signos filosóficos 5 (2001): 65-81.
Malquori, Diego. “Einstein, Gödel, Heidegger. Algunas consideraciones sobre el concepto de tiempo”. Pensamiento 67.254 (2011): 1007-1027.
Martínez Ruiz, Rosaura. “Ser para la muerte: el tiempo extático y el tiempo de la memoria”. Andamios. Revista de Investigación Social 11.26 (2014): 377-396.
Maudlin, Tim. Philosophy of Physics: Space and Time. Oxford: Princeton University Press, 2012.
______. Filosofía de la física I. El espacio y el tiempo. Trad. Mauricio Sánchez-Ventura. México: FCE, 2014.
Maudlin, Tim y Cian Dorr. “The Geometry of Space-time. Time, Topology and Physical Geometry”. Proceedings of the Aristotelian Society Supplementary LXXXIV (1977): 63-78.
Newton, Isaac. Principios matemáticos de la filosofía natural. Trad. Eloy Rada. Madrid: Alianza, 2011.
Rouse, Joseph. “Heidegger’s Philosophy of Science”. A companion to Heidegger. Eds. H. Dreyfus y M. Wrathall. Oxford: Blackwell, 2005. 173-189.
Slavov, Matias. “Empiricism and Relationism Intertwined: Hume and Einstein’s Special Theory of Relativity”. Theoria. An International Journal for Theory, History and Foundations of Science 31.2 (2016): 247-263.
Tamayo, Luis. “El estilo de Heidegger”. Heidegger. Sendas que vienen. Vol. 1. Ed. F. Duque. Madrid: Círculo de Bellas Artes, 2008. 23-66.
Notas