Resumen: Aportar a las subáreas de estimaciones fiscales-tributarias del área de finanzas públicas, una “metodología de estimación gruesa” aprovechando la estadística histórica de los ingresos, es el objetivo. A través del método de caso, se realiza el análisis y discusión de experiencias y situaciones fiscales de la Ciudad de México. Como resultado se obtiene la metodología, apoyada en el arreglo polinómico para funciones tabulares de recaudación por Interpolación con diferencias divididas de Newton. Se recomienda el uso de la metodología para la proyección y el análisis de los ingresos fiscales-tributarios en “entes” con autosuficiencia financiera. Se ubica como la principal limitación para la aplicación de la metodología, que la recaudación está centralizada y no hay autosuficiencia financiera en diversos “entes”. Esta investigación es original dado que aporta una metodología de trabajo al área de estimaciones fiscales de las finanzas públicas. Se concluye que, es factible utilizar la metodología propuesta para realizar estimaciones de los ingresos fiscales-tributarios, considerando como dato la estadística histórica de tales, que ha internalizado los efectos de las variables económicas.
Clasificación JEL: K34, Metodología de estimación, funciones tabulares de recaudación, proyección de ingresos fiscales, análisis de los ingresos tributarios, estimaciones de las finanzas públicas.
Abstract: La presente investigación tiene como objetivo analizar las relaciones causales de corto plazo entre el sector petrolero y el crecimiento económico; utilizando dos metodologías, el modelo ARDL y la propuesta basada en lógica difusa, el Autorregresivo de Rezagos Distribuidos Gaussiano Difuso FG-ARDL. Para ello se analizaron 59 variables del sector petrolero y su relación con el Indicador Global de la Actividad Económica, y el correspondiente indicador de actividades primarias, secundarias y terciarias, en formato mensual entre enero 1997 y diciembre 2019. El modelo FG-ARDL logró mejores estimaciones, permitiendo identificar con mayor precisión la influencia de las variables derivadas de la industria petrolera en el crecimiento económico. La principal recomendación es evaluar otras relaciones económicas para verificar la eficiencia de la nueva metodología, en la que la primordial limitación es su dependencia al método ARDL, por lo que no proporciona nuevas relaciones causales. La conclusión más relevante es que el consumo interno de gasolina y PEMEX diésel son las principales variables que impulsan el crecimiento económico de corto plazo, resultado que se observa de mejor forma en el modelo propuesto.
JEL Classification: K34, Estimation methodology, tabular collection functions, tax revenue projection, analysis of tax revenues, estimates of public finances.
Artículos de investigación y revisión
Metodología de estimación agregada "gruesa" de los ingresos fiscales
Methodology for the "Gross" Aggregate Estimation of Tax Revenues
Recepción: 02 Junio 2020
Aprobación: 29 Octubre 2020
Los ingresos tributarios es el área de las finanzas públicas que ha alcanzado un menor nivel de desarrollo en cuanto a técnicas y métodos de trabajo, esto es, metodologías que habiliten el obtener su principal producto: la proyección, el análisis de los ingresos tributarios y las estimaciones (Martín, 2009).
Se ubica esta problemática y se señala como razones del escaso desarrollo la índole diversa y compleja de las materias involucradas, además de la necesidad de trabajar con un futuro en cuya especulación, ideación, diagramación y verificación se tiene realmente muy poca o nula injerencia, y el predominio de la idea, en los ambientes profesional e institucionales que lo realmente importante es el gasto, asunto que comprensiblemente se torna mucho más interesante e importante para los actores toda vez que define el destino de los recursos, a donde irá a parar el dinero que se recauda, sin importar, inapropiadamente, el cálculo de los recursos tributarios, fuente que sustenta el que sea factible obtener los recursos que permitirán hacer frente a dicho gasto, y se le soslaya como un dato más (Martín, 2009).
Es en este sentido, dado que se identifica que la estimación de los ingresos tributarios tiene una explicación a la altura de la importancia que se le otorga al gasto, por ser el sostén esencial y la contracara justamente de todos los gastos públicos, se considera importante contribuir al desarrollo de metodologías de trabajo para el área disciplinar que habiliten el poder explicar de manera agregada el valor estimado de los recursos tributarios para los proyectos de Ley de ingresos.
Por lo anterior, en este trabajo, se traza como objetivo aportar a las subáreas de estimaciones tributarias del área de finanzas públicas, una técnica y método de trabajo: “metodología”, que permita la estimación agregada (“gruesa”), usando como dato-insumo la estadística histórica de los ingresos tributarios.
Para esta investigación, se desarrolla como hipótesis exponer que es factible estimar y describir la recaudación a través de la estadística propia de la recaudación histórica, que ha internalizado los efectos de las variables económicas y otros.
La estimación de los ingresos tributarios es el área de las finanzas públicas que ha alcanzado un menor nivel de desarrollo, substancialmente en cuanto al conjunto de técnicas y métodos de trabajo, “las metodologías” que permiten obtener el principal producto del área, es decir, la proyección y el análisis de los ingresos tributarios, que están en consonancia con la estructura reglamentaria nacional (Martín, 2009), (Jarach, 2013).
Representando lo anterior un problema de investigación, con el presente trabajo se pretende contribuir con un aporte a científico, esto es, una metodología que permita obtener el principal producto del área, es decir, la proyección y el análisis de los ingresos fiscales - tributarios al área disciplinar.
En la frontera del conocimiento, de manera incipiente asociados secundariamente con la línea disciplinar, existen trabajos precedentes que plantean que para estimar recaudación lo propio es realizar las estimaciones concepto por concepto que se busca estimar, haciendo la consideración de tal como un silo conceptual a estimar (OCDE et al., 2020). En este sentido son ubicables propuestas de estimación de la recaudación de conceptos puntuales, como el método directo de proyección de los ingresos tributarios (Martín, 2005), la estimación del potencial del impuesto a la renta en América Latina (Rossignolo, 2012); la estimación de la recaudación del impuesto sobre transacciones financieras: el caso español (Contreras y Contreras, 2015); la estimación del incumplimiento en el IVA, Años 2000 a 2004 (Salim et al., 2005); la estimación de la recaudación fiscal derivada del consumo de tabaco en España: estimaciones a partir de un modelo de adicción racional (Gracia y Chueca, 2000); la estimación de la recaudación del impuesto al hospedaje en el estado de Quintana Roo, México (Puls, 2014) o incluso comparativos entre dos conceptos, como lo es el trabajo de (Andino y Parra, 2007) sobre la estimación de la brecha de recaudación del IVA e impuesto a la renta de las sociedades por industria. Si bien las investigaciones en la literatura son particularmente útiles cuando lo que se busca es la realización de la estimación de algún concepto en lo particular, en el que se considere de manera exhaustiva las variables endógenas y exógenas al modelo para el concepto en análisis, esto no es particularmente útil cuando los conceptos a estimar, son todos y cada uno de los conceptos recaudables, que pueden ser algunos cientos dependiendo de la entidad, y por tanto al hacerse una labor titánica en el caso de que se decida estimar concepto por concepto, lo prudente es se busque obtener estimaciones agregadas (“gruesas”), de los ingresos a plasmarse en total en la Ley de Ingresos, misma que está conformada por la diversidad de conceptos (impuestos, derechos, productos y aprovechamientos, fundamentalmente).
En este sentido nuestra propuesta suma a la literatura, porque consideramos es factible estimar y describir la recaudación a través de la estadística histórica de la recaudación, de cada ejercicio fiscal, como un todo, y no concepto por concepto, porque la recaudación total, está conformada por los conceptos al interior, y cada uno de ellos ha internalizado los efectos de las variables económicas. Por tanto, al plantear y proponer un modelo, para el cálculo de estimaciones gruesas, tal constituye nuestra aportación.
En cuanto a una técnica y método de trabajo: “metodología”, que permita el cálculo de estimaciones agregadas (“gruesas”), en la argumentación se ubica a la interpolación como un método fuerte para determinar valores con un muy alto grado de exactitud (Pacheco-Martínez et al., 2012). Es documentable que se ha apuntado la interpolación de Lagrange o la polinomial de Chebysvev (Zhang et al., 2012), además de la aproximación polinómica por mínimos cuadrados (Gerald y Wheatley, 2000), como métodos de aproximación numérica polinómica que factibilizan el cálculo de recaudación para conceptos puntuales, con bajos márgenes de error (Puls y Gutiérrez, 2014).
Se elige el uso de interpolación polinómica, por ser la opción que facilita la evaluación, diferenciación e integración, en relación con otras opciones, como una serie trigonométrica o exponencial (Pacheco-Martínez et al., 2012).
En este trabajo se propone utilizar la interpolación polinómica de Newton (Diferencias divididas) (De Boor, 2005), para estimar los ingresos fiscales, como opción a las metodologías anteriormente expresadas.
Se identifica como área de oportunidad que el área de las finanzas públicas que ha alcanzado un menor nivel de desarrollo, substancialmente en cuanto al conjunto de técnicas y métodos de trabajo, “las metodologías” que permiten obtener e
El objetivo buscado se consigue a través del método de caso, esto es, realizando el análisis y discusión de experiencias y situaciones del caso Ciudad de México (CDMX), entidad federativa selecciona por ser la entidad con mayor captación de ingresos propios en México (autosuficiencia financiera) (Salazar et al., 1999).
El desarrollo de la investigación se instruye estableciendo la significación en cuanto a técnicas y métodos de trabajo en la entidad en análisis (CDMX), esto es, las metodologías normadas que habiliten el obtener el producto (la estimación de ingresos), conforme al marco jurídico de la entidad.
Se continua el trabajo con la investigación documental y el estudio escrupuloso de la Cuenta Pública de la CDMX del año 2000 al 2017, para obtener la estadística de los ingresos (estimado, recaudado real) y construir una función tabular con dicha estadística.
Para determinar el polinomio de recaudación, se parte de la representación general de un polinomio de n-ésimo grado.
Se define las ecuaciones de diferencias que sirven para evaluar los coeficientes de la ecuación general del polinomio de interpolación de Newton, en diferencias divididas.
Subsiguientemente se realiza un análisis de los datos, se recupera y estima los valores de la función de recaudación f(x), que describen la recaudación en cualquier punto del periodo, así como los puntos de cierre (estimación de cierre de un ejercicio fiscal) y el inmediato posterior (estimación del siguiente ejercicio fiscal).
Posteriormente se analiza la información para identificar algún patrón de tendencia que otorgue elementos de validez a los polinomios propuestos como parte de la metodología propuesta. Se determina que efectivamente hay polinomios que arrojan “datos” de estimación razonables, esto al comparárseles con lo reportado en Cuenta Pública (de años para los que los polinomios de diferentes grados proyectan estimación).
Finalmente se concluye que, es factible realizar estimaciones de los ingresos tributarios, a través de la propuesta, tomando como dato insumo la estadística histórica de los ingresos, misma que ha internalizado los efectos de las variables económicas, en entidades con autosuficiencia financiera.
En México, la Federación, las entidades Federativas y los Municipios, tienen por obligación elaborar y estimar su proyecto de Ley de Ingresos en los términos que refiere el artículo 122 Apartado C, Base Primera, fracción V, inciso b) de la Constitución Política de los Estados Unidos Mexicanos (Cámara de Diputados del H. Congreso de la Unión, 2020).
Ante la masa de posibles casos de estudio en México, es decir, tomar por caso el presupuesto Federal, el de alguna de las 32 entidades Federativas o el de alguno de los 2458 Municipios del país, se decide únicamente hacer un análisis, que sea de relevancia en términos de los ingresos propios en el “ente”, ya que solo en tales, es relevante hablar de un presupuesto de ingresos (Salazar et al., 1999).
En este sentido, con base a lo reportado en el segundo trimestre de 2018, por ser la información disponible, se encuentra que, en la Ciudad de México, los Ingresos Propios, conformados por la suma de Ingresos Locales más los Ingresos del Sector Paraestatal No Financiero, representaron casi la mitad de los Ingresos del Sector Público Presupuestario de la Entidad (49.6 por ciento), mientras que el restante porcentaje provino de Ingresos de Origen Federal (Gobierno de la Ciudad de México, 2018), siendo por tanto la CDMX la entidad o “ente en México” con mayor autosuficiencia financiera, y por tanto la Entidad Federativa más atractiva, y representativa, para el estudio de su metodología de estimación de metas de recaudación (ingreso), y de ello la elección de la misma para la investigación (sin ingresos en el “ente” no es siquiera pensable estimar lo que no se recauda).
Profundizando en la normatividad de la entidad seleccionada, se ubica que en el artículo 40 de la Ley de Presupuesto y Gasto Eficiente de la Ciudad de México (LPGECDMX) (Asamblea Legislativa del Distrito Federal, 2014), se mandata que para estimar el proyecto de Ley de Ingresos, a la base de estimación de cierre a que se refiere la fracción I, del artículo 40 (es decir, a la estimación de los ingresos correspondientes al cierre del ejercicio en curso), se le aplicará, para el caso de actualización de cuotas o tarifas, el factor que para tal efecto se estime de conformidad con el código, refiriéndose por “código” al Código Fiscal de la Ciudad de México vigente (Asamblea Legislativa del Distrito Federal, 2017).
Así, el Código establece como metodología para la estimación del factor, la descrita en el artículo 18, que dicta literal lo siguiente: “en general las cantidades que en su caso se establecen en este Código, que se encuentren vigentes al treinta y uno de diciembre, se actualizarán a partir del primero de enero del año siguiente, conforme a la variación del promedio anual del Índice Nacional de Precios al Consumidor emitido por la autoridad competente al mes de noviembre del año anterior al ejercicio fiscal en que deban actualizarse. Para ello, deberá dividirse el índice promedio de los doce meses más recientes entre el índice promedio de los doce meses anteriores, para aplicar su resultado como factor de ajuste” (Asamblea Legislativa del Distrito Federal, 2017).
Además, el mismo artículo 40 de la LPGECDMX, indica: “Asimismo, con base en las variables económicas se calculará el comportamiento de aquella recaudación en las que por su naturaleza así proceda” (Asamblea Legislativa del Distrito Federal, 2014). Induciendo la idea de que con base en “las variables económicas”, exógenas a la recaudación y dependientes de la economía, se habrá de hallar la estimación de recaudación, cuando precisamente “por su naturaleza”, puede presumirse que la recaudación en su estadística histórica ya halla internalizado los efectos de las variables económicas al momento, y, por tanto, la estadística de la recaudación es capaz de describirse a sí misma, sin la necesidad de introducir otras variables.
De la literatura se ubica que las metodologías usadas por la Federación, las entidades Federativas y los Municipios, y en general cualquier “ente” para la estimación de ingresos varían significativamente. Por ejemplo, es ubicable que la Federación, a través de la Secretaría de Hacienda y Crédito Público (2019), plantea el uso de modelos estadísticos basados en suavizamientos exponenciales, en donde, para la estimación de los modelos estadísticos apunta utilizar series de tiempo mensuales por impuesto, con los cuales se obtienen los factores estacionales por cada impuesto (Secretaría de Hacienda y Crédito Público, 2019). Resumiéndose lo anterior en la realización de estimaciones concepto por concepto de la Ley, lo que no aporta el poder realizar estimaciones gruesas de manera ágil, y sigue lo que la literatura apunta de realizar estimaciones concepto por concepto, pero no de forma agregada (OCDE et al., 2020).
Para comprobar y verificar la hipótesis, es decir, que es factible estimar y describir la recaudación, para los proyectos de Ley de ingresos, a través de la estadística histórica agregada de la de recaudación de cada ejercicio fiscal, que ha internalizado los efectos de las variables económicas, en este trabajo se propone utilizar la interpolación polinómica de Newton (Diferencias divididas) (De Boor, 2005), para estimar el proyecto de Ley de Ingresos de la Ciudad de México, como opción a la metodología puntualizada en el artículo 40 de la Ley de Presupuesto y Gasto Eficiente de la Ciudad de México.
Se elige el uso de interpolación polinómica, por ser la opción que facilita la evaluación, diferenciación e integración, en relación con otras opciones, como una serie trigonométrica o exponencial.
Se selecciona utilizar la interpolación polinómica de Newton (diferencias divididas), porque los métodos de diferencia dividida tienen la ventaja de que se pueden agregar más puntos de datos para mejorar la precisión, lo que es especialmente útil cuando se realiza estimaciones en recaudación (en que se puede contar con estadísticas muy detalladas o no, y la interpolación puede ser útil para detallarla o reducirla, o en escenarios, en donde de un momento a otro puede reportarse ideaciones de políticas públicas que se espera contribuyan a mejorar el ingreso de recursos de manera “extraordinaria”), mismos que se pueden incorporar como puntos, sin “desbaratar” las aproximaciones previas, en la búsqueda de la mejor estimación al problema, ganándose precisión en cada iteración de manera ágil. Además, igualmente útil es que, en la interpolación polinómica de Newton, los términos basados en los puntos de datos anteriores se pueden seguir utilizando, lo que abona a la maleabilidad para en un momento dado calibraciones rápidas del modelo.
En el campo de las matemáticas conocido como “análisis numérico”, los métodos de interpolación son técnicas para construir nuevos puntos de una función a partir de un conjunto discreto de puntos de datos conocidos (Davis, 1975). En este sentido la interpolación es una herramienta matemática ventajosa, que se plantea en este trabajo se use para estimar los valores de recaudación gruesa, en el entendido que para la recaudación fiscal no se tiene una función continua que la describa, sino únicamente los valores de la recaudación que se reportan de manera periódica, como es el caso de la estadística anualizada, reportada en la conocida como Cuenta Pública, en atención al mandato constitucional (Cámara de Diputados del H. Congreso de la Unión, 2016, 2020).
Para manejar la metodología de interpolación de Newton, se propone que los importes de recaudación se interpreten como valores de la función f(x), específicos e inamovibles para cada ejercicio fiscal, el año se interprete como una variable “x” dada, y para el importe de la recaudación, se considere el comunicado al publicarse la Cuenta Pública de un determinado ejercicio fiscal.
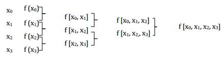
Es así como estos datos de recaudación “se convierten” y representarán funciones tabulares de la siguiente forma:

Donde los valores de "x" representarán los años y los valores de f(x) lo recaudado en el año correspondiente.
En este sentido, matemáticamente, para estimar una interpolación se requiere la recopilación de los valores de la función f(x) en los cuales se conocen los argumentos discretos para cada x. Por lo que, como parte de éste trabajo se procedió a la realización de la investigación documental de las Cuentas Públicas, que sucintamente se rescata en la Tabla 2, obteniéndose los datos que son la semilla con los que se busca interpolar, es decir, recuperar y estimar los valores de la función de recaudación f(x), que describa la recaudación en cualquier punto del periodo, así como los puntos de cierre (estimación de cierre de un ejercicio fiscal) y el inmediato posterior (estimación del siguiente ejercicio fiscal) (Asamblea Legislativa del Distrito Federal, 2014).
Así, para el caso de la Ciudad de México y considerando la Cuenta Pública desde el año 2000 hasta el 2017 (Gobierno de la Ciudad de México, 2001 - 2018), se tiene como datos los valores "x" (años) vs "f(x)", es decir, la recaudación con cifras en millones de pesos, lo que se asienta y puede observarse en la Tabla 2.

De la anterior Tabla podemos notar que, para un punto, por ejemplo: x = 2000, en el año 2002 se tiene que el valor en mdp de f(x) es 62014.19, es decir, f(2000) = 62014.19, el cual es un punto conocido de la función de recaudación de la CDMX, perteneciente al conjunto discreto de todos los datos de la recaudación. Estos datos fueron vertidos a la función tabular elaborada, rescatando, uno a uno, el dato reportado en la Cuenta Pública de cada ejercicio fiscal entre 2000 y 2017 y que, en conjunto, describen la recaudación histórica gruesa, esto es, el recaudo en el gran total de los diferentes conceptos que la integran de manera desagregada, como los son: impuestos, derechos, productos y aprovechamientos.
Ahora bien, retomando lo normado en el artículo 40 de la LPGECDMX, es imperativo, que, para cada ejercicio fiscal, se ha de realizar un ejercicio de cierre, que la referida Ley indica como: “estimación de cierre” y la proyección para el siguiente año, que será la Ley de ingresos (Asamblea Legislativa del Distrito Federal, 2014), sin abundar la norma más allá de lo ya referido párrafos atrás. Es de aquí que, siendo propositivos, para realizar lo requerido por la norma, ahora con sustento matemático, se explora novedosamente el usar como método de cálculo la interpolación polinomial, esto porque pese a que es un método de propósito general que existe desde tiempo atrás (De Boor, 2005), su aplicación al cálculo de estimaciones recaudatorias no se ubica en la literatura, por lo que se presume no ha sido explorada.
Pese a que existe una gran variedad de métodos matemáticas en los cuales pueden expresarse polinomios de n-ésimo grado, el método de interpolación de Newton en diferencias divididas es uno de los más populares y útiles (De Boor, 2005). Se trata de un método de interpolación polinomial, que consiste en determinar el polinomio único de n-ésimo grado que se ajuste a n+1 puntos. El polinomio definido por este método proporciona una fórmula para calcular cualquier valor de la función, lo que es útil al transferir y aplicar la herramienta matemática, al caso particular de las estimaciones de recaudación, donde se busca calcular los valores de la recaudación de cierre (futuro de corto plazo), así como determinar los valores de proyección hacia el futuro (futuro de mediano plazo).
La propuesta es que, para determinar el polinomio de recaudación, se parta de la representación general de un polinomio de n-ésimo grado, que es:
Utilizando el polinomio general (ecuación 1), los puntos asociados con los datos de recaudación, Tabla 2, se utilizarán para evaluar los coeficientes an, tal que, usando los x datos mencionados, se habrán de resolver las siguientes ecuaciones para determinar cada uno de coeficientes:
En donde, la evaluación de la función colocada entre corchetes son lo que se conoce como diferencias divididas finitas y cada una de estas es:
Estas ecuaciones de diferencias (ecuaciones 6-8) sirven para evaluar los coeficientes de la ecuación general del polinomio de interpolación de Newton, en diferencias divididas (ecuación 1). Así tenemos que, sustituyendo las anteriores, el polinomio general queda expresado de la siguiente manera:
Cabe hacer mención que, para poder realizar una interpolación de Newton, es necesario que los valores dados en la función tabular x tengan un espaciamiento que sea constante. Lo cual sucede legítimamente en el caso de la recaudación, ya que, tanto en la Cuenta Pública como en la Ley de Ingresos, se reportan datos anualizados (un dato cada 12 meses, que consolida la recaudación de manera inamovible).
Es así como, con lo anterior y definida la Tabla 2 de valores de la función de recaudación, que rescata 18 valores de recaudación, para igual número de años, a través de polinomios de n-ésimo grado (los polinomios únicos de n-ésimo grado que se ajustan a n + 1 puntos de la función tabular de recaudación), que van desde el más simple de grado uno, hasta el de grado 17, es que se obtendrán por el método de Newton la proyección de cierre y la proyección al siguiente ejercicio.
Con la anterior idea, se logra construir 17 polinomios de newton, que potencialmente deben poder ser útiles para determinar: tanto cualquier ejercicio de cierre, así como la correspondiente proyección para el siguiente año (proyección a futuro).
Haciendo uso del método descrito (Newton por diferencias divididas), y dado que se cuenta con los datos de 18 años de recaudación publicados en los documentos que registran las Cuentas Públicas de la Ciudad de México (Gobierno de la Ciudad de México, 2001 - 2018), se pueden determinar 17 polinomios de recaudación, considerando en cada uno de ellos 2, 3, 4, …, o hasta 18 puntos respectivamente, mismos que se les determinó y con tales se calculó las estimaciones de recaudación asequibles con tales. De lo simulado y calculado se reporta lo registrado en la Tabla 3. Claramente, el número de diferencias divididas es n-1 veces el número de puntos de la función tabular, así para el caso de 18 puntos de la función, las diferencias divididas son 17. Con la intensión de ejemplificar el procedimiento desarrollado para el cálculo de los coeficientes del polinomio y los polinomios mismos, se rescata e indica el caso para 4 puntos y 3 diferencias divididas, que se determinarían sintéticamente de siguiente manera:

Diferencias divididas que se determinarían con las fórmulas indicadas en la descripción del método, y que fluirán hacia el polinomio de tercer grado siguiente:

Como se aprecia en la tabla 3, se obtuvieron las versiones de los polinomios en diferencias divididas de Newton de primer (P1), segundo (P2), tercer (P3),… y hasta el de grado 17 (P17), mismos que permitieron calcular de manera exacta los puntos de la función tabular (parte inferior de la tabla) y las estimaciones que se reportan en la tabla (parte superior de la tabla).
De lo anterior que se puede afirmar que dichos polinomios efectivamente son capaces de mostrar el comportamiento de la función tabular inicial, acorde al número de puntos considerados, es decir, para el polinomio de grado 1, éste es capaz de dar el resultado exacto en los 2 puntos considerados de la función tabular, para el caso del polinomio de grado 5, éste arroja los 6 puntos de la función tabular y lo mismo ocurre para el polinomio de grado 17, toda vez que el mismo es capaz de dar el resultado exacto en los 18 puntos de la función tabular, lo que técnicamente ocurre con todos y cada uno de los polinomios obtenidos(desde el polinomio de primer grado hasta el de grado 17). Lo cual podemos apreciar en la parte inferior de la media pirámide que se forma en la tabla 3, que asciende desde 2000 a 2018 calculando los puntos de la función tabular interpolados, y que se puede confrontar con lo recolectado y comunicado en la Tabla 2.
Ahora bien, por lo que hace a las estimaciones (parte superior piramidal de la tabla 3), no todos los polinomios arrojan estimaciones que se puedan considerar razonablemente factibles, toda vez que, si bien arrojan un “dato estimado” para un determinado año en lo futuro, al comparárseles con datos de recaudación realmente reportados en Cuenta Pública (toda vez que por fortuna para confrontar, se cuenta con los históricos de recaudación reportados en la Cuenta Pública), lo que se determina del cálculo, indica que no es razonable la estimación. No obstante, de los mismos resultados se puede determinar que efectivamente hay polinomios que arrojan “datos” de estimación razonables, esto al realizar la misma consideración comparativa, esto es, al comparárseles con lo reportado en Cuenta Pública (de años para los que los polinomios de diferentes grados proyectan estimación).
Así los polinomios que arrojan estimaciones probables son el polinomio de primer grado y el de polinomio de segundo grado para la función tabular de la recaudación de la Ciudad de México, que, a saber, con los datos en la función tabular y considerando como vértice el año 2000 son los siguientes:
En el caso práctico del cálculo de: a) un cierre de ingresos y b) una Ley de ingresos del año por venir, la estimación de cierre del ejercicio fiscal se realiza entre agosto y noviembre del año en cuestión (momento del tiempo en que no se dispone del dato exacto del cierre del ejercicio) y la estimación de captación de ingresos del siguiente ejercicio fiscal, igualmente se realiza entre agosto y noviembre del mismo año en que surge (momento del tiempo en que evidentemente sólo es posible hacer una estimación).
Esto es, en base a la información disponible, se requiere necesariamente proyectar un valor para determinar cuáles debieran ser los importes de cierre y de captaciones siguientes o futuras, como lo mandata la propia LPGECDMX (Asamblea Legislativa del Distrito Federal, 2014) para el caso de la CDMX, pero que acontece del mismo modo para cualquier organización.
Así, para probar los polinomios obtenidos, analizando un primer escenario utilizando el polinomio de primer orden y tomando como vértice el año 2014, se calcula y estima los años 2016 y 2017, cuyos resultados se muestran en la tabla 4. Como referencias para probar la calidad de lo arrojado por los polinomios conseguidos, en la columna “Ley de ingresos”, se coloca los importes estimados por los administradores en su momento, que se presume fueron calculados con la metodología establecida en el marco normativo, adicional se coloca lo reportado en las “cuentas públicas” (reportado en años posteriores, y que son datos con los que hoy día se cuenta, aunque no en aquél momento), que fue el resultado final de la recaudación, el dato duro inamovible de lo realmente recaudado, y finalmente se muestra resaltados en color gris claro, los valores estimados por el polinomio.

Realizada la acotación pertinente en el párrafo que antecede, se encuentra que el polinomio proyecta 219,739.38 mdp para el cierre de 2016, en tanto que para 2017 arroja 234,416.02 mdp. Al compararlas las proyecciones, se tiene que: la proyección de 2016 es 1.52 % menor respecto a lo realmente recaudado, que son los 223,089.31 mdp registrados en Cuenta Pública de 2016. Para el caso de 2017 lo estimado por el modelo es 2.77 % mayor que lo realmente recaudado en tal año, que son 228,081.32 mdp. De lo anterior se puede afirmar que ciertamente hay un margen de error de estimación del +/- 3%, lográndose, a través de estas comparaciones, hacer notar que el modelo arroja estimaciones gruesas que son lo suficientemente razonables.
Ahora bien, comparando las estimaciones obtenidas con el modelo, pero ahora respecto de la Ley de ingresos aprobada por la Asamblea Legislativa de la Ciudad de México, se encuentra lo siguiente: en el caso de la Ley de Ingresos de 2016 la misma está subestimada un -21.17%, respecto a la estimación arrojada por el modelo, y un -23.02% respecto de la Cuenta Pública, en el caso del año 2017, igualmente está subestimada la Ley, pero ahora en un -17.81% respecto a la estimación que arroja el modelo, y un -14.63% respecto a la Cuenta Pública de su ejercicio, lo que refuerza la validez del modelo al mantenerlo en un margen de error de estimación aproximado de +/-3 %.
Construyendo un segundo escenario, en éste se proyecta el cierre del ejercicio 2018 y la recaudación a captarse en el ejercicio 2019. Así específicamente se calcula y estima los valores para 2018 y 2019, claramente a través del polinomio de primer orden y tomando como vértice el año 2016. Los valores obtenidos a través del polinomio se reportan y se muestran en la Tabla 5, así como los propios de la Cuenta Pública y los de la Ley de Ingresos que a la fecha están disponibles, toda vez que se reportan por Ley meses después de concluidos los ejercicios fiscales.

Se encuentra que el polinomio proyecta 233,073.33 mdp para el cierre de 2018, en tanto que para 2019 arroja 238,065.33 mdp. Estas proyecciones pueden darse por legítimas dada la validez mostrada por el modelo de diferencias divididas de Newton usado en el primer escenario propuesto, y que es el mismo que se utilizó para el cálculo de estas últimas dos estimaciones. Corroborar estas estimaciones, sólo será posible en el momento en que sean publicados los datos de lo realmente recaudado y registrado en la Cuenta Pública de tales años, lo que, al momento de la elaboración de este manuscrito, no se ha dado.
Con la información disponible para comparación, se puede decir que, para el caso del cierre del 2018, lo estimado por el modelo es 2.74% mayor que la meta a recaudar impuesta para el año, por el ahora Congreso de la Ciudad de México, que son 226,851.90 mdp, por lo que ciertamente el modelo continúa manteniéndose en un margen de error de estimación de +/-3 %, reafirmándose que el modelo arroja estimaciones gruesas lo suficientemente razonables.
Se recomienda el uso de la metodología para la proyección y el análisis de los ingresos tributarios en “entes” con captación-autosuficiencia financiera.
Dada la disponibilidad de datos, sin limitación para la realización de la investigación en el caso seleccionado, se ubica que la principal limitación de la aplicación de la metodología a las entidades federativas y municipios radica en que la recaudación está centralizada y no tienen autosuficiencia financiera.
Esta investigación es original dado que aporta una metodología de trabajo al sub-área disciplinar del área de las finanzas públicas, misma que se le ubica con un bajo nivel de desarrollo en cuanto a técnicas y métodos para la proyección y el análisis de los ingresos tributarios de manera agregada, metodología de trabajo implementable por las sub-áreas de ingresos tributarios en la referida área de finanzas públicas.
Finalmente se concluye que, es factible realizar estimaciones de los ingresos tributarios, a través de la estadística histórica de los ingresos que han internalizado los efectos de las variables económicas, lo que puede ser adoptado como política pública.
Además se concluye que si bien, cualquier entidad federativa puede beneficiarse con el uso de la metodología propuesta, para la estimación de la recaudación pública, es importante hacer la consideración que es particularmente útil en entidades con autosuficiencia financiera, no siendo por tanto aplicable a entidades federativas y/o municipios en los cuales hay una baja disposición de ingresos propios, puesto que no cuentan con datos, ni presentes ni históricos de recaudación propia, que internalice los efectos de las variables económicas y que logre describir sus ingresos.
Igualmente se concluye que la metodología planteada es útil para aquellas áreas de las finanzas públicas que deseen mejorar o reformular los procedimientos de trabajo actuales, utilizar nuevos enfoques en viejas tareas o, mejor aún, modificar los procedimientos legislados, a partir de una metodología basada en la estadística histórica que internaliza la visión del conjunto de las cuestiones inherentes a ella.
Particularmente en este trabajo se define, simula, demuestra y concluye, que es totalmente factible la estimación de recaudación hacendaria mediante la interpolación polinómica por el método de las diferencias divididas de Newton, considerando la recaudación como una función tabular que se ajustará polinómicamente, tal que se emplee el polinomio perfilado para fijar las metas de recaudación en proyectos de presupuesto en lo general, y en particular, en los proyectos de Ley de Ingresos.
Al mismo tiempo, esta investigación sienta las bases para poder usar el método matemático de las diferencias divididas de Newton, en proyectos de presupuesto de entes con autosuficiencia financiera, como opción a las metodologías puntualizadas en las diversas Leyes de Presupuesto: de la Federación, de las entidades Federativas y los Municipios, en México, basadas en factores de actualización u otras de naturaleza similar.
Además, esta investigación logra comprobar empíricamente, la hipótesis, es decir, que es realizable estimar y describir la recaudación a través de la estadística histórica de la de recaudación de cada ejercicio fiscal, que ha internalizado los efectos de las variables económicas.
De lo analizado y explorado en esta investigación para el caso estudiado, Ciudad de México, es posible afirmar que, usando un polinomio de Newton de primer o segundo grado, se obtiene interpolaciones (polinomios) que permiten hacer estimaciones, con un margen de error de +/- 3%, lográndose proyecciones gruesas que son lo suficientemente razonables.
Como trabajo a futuro, mismo que potencialmente podría ajustar mejor las estimaciones obtenidas a través del arreglo propuesto, se visualiza, plantear otros escenarios, ahora tal vez considerando disminuir el importe de los datos colectados en la estadística histórica de la recaudación, en importes que representen el cómo se hace sentir en la recaudación los “efectos” de las variables endógenas, es decir, las variables que representan disminución o aumento de la recaudación, que bien se pudieran establecer coloquialmente como los efectos monetarios -en dinero- de los programas o “estrategias de recaudación” implementados por la administración en un determinado ejercicio fiscal, que se forman o engendran en el interior de las Tesorerías, es decir, se originan por causas de las políticas de recaudación que se instrumentan, como lo son los programas de regularización fiscal, los programas y resoluciones de carácter general para el otorgamiento de subsidios o condonaciones a los contribuyentes, y que claramente repercuten en los importes totales, de los importes gruesos de recaudación obtenidos en un ejercicio u otro, por la existencia o no de los mismos, acorde con la política fiscal.
*Contacto de correspondencia: c.ortega@correo.ler.uam.mx




