Resumen: Objetivo: Esta investigación extiende los portafolios de Markowitz, Tobin, y el CAPM con procesos α-estables. Metodología: son realizados los siguientes procedimientos en un portafolio con los índices bursátiles del G20: 1) son estimados los estadísticos descriptivos y los parámetros α-estables de los rendimientos, 2) es aplicada una prueba de bondad de ajuste para validar los procesos α-estables, 3) es estimada la matriz de covariación para calcular las asignaciones de los portafolios, y 4) son estimados los indicadores de riesgo sistemático. Resultados: La frontera eficiente es calculada sin ventas en corto y muestra que los portafolios α-estables presentan mayor aversión al riesgo que los portafolios gaussianos, y que los portafolios α-estables son más eficientes con respecto a la relación rendimiento y riesgo. Recomendaciones: La aplicación de procesos α-estables para modelar la leptocurtosis, la asimetría y los cúmulos de volatilidad. Limitaciones: El análisis multivariado α-estable presenta diferentes parámetros de estabilidad. Originalidad: Los rendimientos del G20 son modelados con procesos α-estables y es realizado un análisis de sensibilidad. Conclusión: El análisis α-estable permite cuantificar el riesgo de mercado más adecuadamente que el análisis gaussiano.
Clasificación JEL: C46, D81, G11, Portafolio óptimo, medida de riesgo, distribuciones α-estables.
Abstract: Objective: This research extends Markowitz, Tobin, and CAPM optimal portafolio with α-stable processes. Methodology: The following procedures are performed on a portfolio with the G20 stock indices: 1) descriptive statistics and α-stable parameters of index returns are estimated, 2) a goodness-of-fit test is applied to validate the α- stable processes, 3) the covariation matrix is estimated to calculate the optimal portfolio assignments, and 4) the systematic risk indicators are estimated. Results: The efficient frontier is calculated without short sales and shows that α-stable portfolios present greater aversion to risk than Gaussian portfolios, and that α-stable portfolios are more efficient with respect to the return and risk ratio. Recommendations: The application of α-stable processes to model leptokurtosis, asymmetry and volatility clusters. Limitations: The α-stable multivariate analysis presents different stability parameters. Originality: G20 returns are modeled with α-stable processes and a sensitivity analysis is performed. Conclusion: α-stable analysis allows to quantify market risk more adequately than Gaussian analysis.
JEL Classification: C46, D81, G11, Optimal portfolio, risk measure, α-stable distributions.
Artículos de investigación y revisión
Portafolios α-estables del G20: Evidencia empírica con Markowitz, Tobin y CAPM
G20 α-stable portfolios: Empirical evidence with Markowitz, Tobin and CAPM
Recepción: 07 Agosto 2020
Aprobación: 08 Octubre 2020
La diversificación de recursos necesitaba una teoría para explicar los efectos de la diversificación en las inversiones. Markowitz (1952) propuso un método para resolver el problema de diversificación óptima entre rendimiento y riesgo donde el riesgo es la varianza mínima del rendimiento utilizando el supuesto de que los rendimientos tienen de una distribución gaussiana multivariada. Tobin (1958) modificó el método media varianza incluyendo activos con un rendimiento libre de riesgo y planteó el teorema de diversificación de recursos que indica que “la composición proporcional de los activos no monetarios es independiente de su participación agregada y es la base del balance de inversión”. Sharpe (1964) conjeturó que la diversificación óptima está en la línea de mercado de capitales y es posible la obtención de un rendimiento mayor con un riesgo mayor, asentó la existencia de la relación lineal entre el rendimiento y el riesgo, dedujo que el origen de la línea de mercado de capitales es la tasa de interés libre de riesgo y que a partir de ese punto con riesgo nulo son obtenidos rendimientos mayores con riesgos mayores, aproximó la definición de prima de riesgo, planteó la existencia del riesgo diversificable (no sistemático) y del riesgo no diversificable (sistemático) que es propio del mercado. Lintner (1965) analizó los efectos del riesgo y de la incertidumbre en los precios, las decisiones de la diversificación óptima de recursos de capital con la alternativa de invertir en tasas de interés libres de riesgo y ventas en corto, desarrolló propiedades de equilibrio estableciendo condiciones para los activos, planteó funciones de indiferencia que proporcionan evidencia de la relación entre la tasa de interés y el riesgo, indicó que si las covarianzas son diferentes de cero, entonces, las funciones de indiferencia son no lineales, dedujo un conjunto de precios de mercado que representa explícitamente la incertidumbre y el valor de mercado complementario es la tasa de interés libre de riesgo donde el factor de proporcionalidad es la prima de riesgo, el riesgo de los activos es cuantificado por la suma de la varianza de los rendimientos y la covarianza con los otros activos, y definió el costo de capital. Mossin (1966) investigó las propiedades de un mercado de activos con riesgo en un modelo de equilibrio general donde los inversionistas buscan maximizar las funciones del rendimiento esperado, propuso una teoría de primas de riesgo de mercado, mostró que el equilibrio general es equivalente a la línea de mercado y la prima de riesgo está planteada en función de la pendiente de la línea de mercado.
El modelo de valuación de activos de capital (CAPM acrónimo de capital asset pricing model) fue propuesto por Sharpe (1964), Lintner (1965) y Mossin (1966) quienes demostraron que los portafolios de Markowitz (1952) sin activos libres de riesgo son menos eficientes que los portafolios de Tobin (1958) con activos libres de riesgo. Markowitz (1952), Tobin (1958), (1964), Lintner (1965 y Mossin (1966) supusieron que los rendimientos de los activos con riesgo siguen una distribución gaussiana multivariada. Mandelbrot (1963) propuso un proceso α-estable simétrico para modelar los precios del algodón. Fama (1963, 1965a, 1965b), y Mandelbrot y Taylor (1967) rechazaron el supuesto gaussiano y propusieron procesos α-estables.
Investigaciones recientes muestran que los rendimientos no presentan un ajuste a la distribución gaussiana, por ejemplo: Ortobelli et al. (2002) analizaron el enfoque de las distribuciones α-estables en la diversificación de recursos considerando hipótesis con rendimientos con distribuciones α-estables y las diferencias empíricas entre las diversificaciones óptimas gaussiana y α-estables. Ortobelli et al. (2004) analizaron la hipótesis de diversificación de recursos óptima con la hipótesis de rendimientos con distribuciones α-estables y la diversificación óptima considerando un rendimiento libre de riesgo y un activo con rendimientos α-estables, compararon la diversificación óptima con las hipótesis de rendimientos gaussiana y α-estable para un activo con rendimientos α-estables. Ortobelli et al. (2005) analizaron los modelos de diversificación de recursos con distribuciones α-estables con las hipótesis de rendimientos con distribuciones gaussiana y α-estables, y aproximaron las asignaciones óptimas en tiempo discreto suponiendo que los rendimientos presentan un proceso ARMA. Giacometti et al. (2007) indican que los rendimientos presentan, cuantitativamente, ajustes del S&P500 a las distribuciones t-Student y α-estables. Venegas Martínez (2008) presenta la valuación de opciones con procesos de Lévy. Contreras Piedragil y Venegas Martínez (2011) y Climent Hernández y Venegas Martínez (2013) modelan rendimientos con distribuciones α-estables para valuar opciones. Climent Hernández et al. (2015) analizaron el problema de portafolio óptimo modelando los rendimientos de un producto estructurado con procesos α-estables y compararon los resultados con el portafolio óptimo gaussiano. Krężołek (2015) aplicó las distribuciones α-estables en la diversificación de recursos porque los modelos con procesos α-estables son usados para describir el comportamiento leptocúrtico y asimétrico de series de tiempo empíricas de los mercados financieros porque estas características influyen significativamente en el riesgo y la inferencia basada el modelo gaussiano no es estadísticamente significativa. Bianchi et al. (2016) consideran varios modelos extremos pesados para explicar la dinámica de las series de tiempo de rendimientos y ajustar la sonrisa de volatilidad para una muestra de opciones negociadas sobre el índice FTSE MIB. La evidencia empírica indica que el modelo GARCH con errores de una distribución estable templada tiene un mejor poder explicativo para ajustar los rendimientos logarítmicos diarios en comparación con los modelos estándar basados en el supuesto de distribución gaussiana. Zagst et al. (2016) propusieron un modelo que captura la leptocurtosis y la asimetría de los rendimientos con distribuciones α-estables mostrando los alcances en la diversificación de recursos y un estudio empírico muestra que el modelo α-estable es más adecuado que el modelo gaussiano para cuantificar el riesgo con portafolios con menor riesgo y más diversificados que minimizan pérdidas y conduciendo a un mejor índice de Sharpe. Gong y Zhuang (2017) indican que los activos de los mercados financieros exhiben leptocurtosis, asimetría, propiedades de agrupamiento y heterocedasticidad, entonces, aplican modelos de volatilidad estocástica impulsados por procesos de Lévy estables templados para medir riesgos financieros y de portafolio. Para pronosticar eventos extremos en mercados volátiles, realizan un análisis empírico del índice Hangseng para medir riesgos y construir un portafolio con el modelo de volatilidad estocástica normal estable templado obteniendo rendimientos superiores en relación con otros. Broda et al. (2018) desarrollan un modelo de optimización de portafolios en el contexto de una representación alterna al déficit esperado con punto silla y distribuciones de extremos pesados como la t no central, error generalizado y α-estables con una aplicación a portafolios de acciones del índice DJIA. Concluyendo con recomendaciones para dos casos, el primero cuando se estima el déficit esperado y el segundo cuando se calculan portafolios óptimos con el déficit esperado como medida de riesgo. Bianchi et al. (2019) proponen un método para realizar la selección de portafolios de Markowitz, déficit esperado y mínima varianza con los supuestos de distribuciones gaussianas, distribuciones multivariadas hiperbólicas generalizadas y distribuciones estables templadas normales multivariadas, así como una aplicación a portafolios con diferentes frecuencias de balanceo. Chi y Ren (2020) indican que el nivel de ingresos por intereses de préstamos depende de la racionalidad de la asignación de los préstamos bancarios. Analizan la asimetría, la leptocurtosis y los extremos gruesos característicos de las tasas de rendimiento de los préstamos y establecen un modelo de optimización del portafolio de préstamos con objetivos múltiples basado en una distribución estable. Wesselhöfft y Härdle (2020) proporcionan un marco para modelar portafolios en presencia de leyes α-estables. Analizan los rendimientos del índice S&P 500 y encuentran evidencia de comportamiento leptocúrtico para todas las frecuencias de muestreo y argumentan a favor de las leyes α-estables para modelar los rendimientos del mercado financiero, revelando que la posición larga en opciones de venta mejora el rendimiento del portafolio.
Los objetivos son analizar el problema de un portafolio de inversión modelando la incertidumbre con rendimientos α-estables utilizando un portafolio con veinticinco índices de los países que pertenecen al G20 con series históricas de los rendimientos diarios del 17/05/2005 al 27/12/2019. Realizar pruebas de bondad de ajuste para las distribuciones gaussianas y α-estables para justificar la pertinencia y aplicación del modelo α-estable. El análisis realizado es importante porque modela rendimientos empíricos justificando la pertinencia del modelo de incertidumbre estadísticamente, y es el primer análisis para el G20 con distribuciones α-estables incluyendo portafolios de Markowitz, Tobin, Sharpe, Lintner y Mossin, y portafolios sin ventas en corto.
El trabajo está organizado de la forma siguiente: en la sección 2 se presenta la metodología, comenzando por las definiciones de las distribuciones α-estables y de los vectores aleatorios α-estables, planteando los problemas de optimación y presentando la solución de los portafolios óptimos α-estables de Markowitz, Tobin, y Sharpe, Lintner y Mossin, y la estimación de la matriz de covariación; en la sección 3 son analizados los rendimientos de los índices del G20, se estiman los estadísticos descriptivos y los parámetros α-estables de los rendimientos, se realizan la prueba de bondad de ajuste Anderson y Darling para cada una de las distribuciones ajustadas a los rendimientos, se presentan los ajustes de las frecuencias absolutas a las distribuciones gaussianas y α-estables, se calculan y analizan las asignaciones óptimas de recursos de los portafolios de Markowitz, Tobin, y de mercado, se estiman el riesgo sistemático de los índices, se calcula la asignación óptima de recursos de los portafolios sin ventas en corto; en la sección 4 son presentadas las conclusiones y por ultimo las referencias bibliográficas.
Las distribuciones α-estables son caracterizadas por cuatro parámetros y son denotadas por . El parámetro de estabilidad indica la curtosis de la distribución, el parámetro de asimetría indica la asimetría de la distribución, el parámetro de escala indica las unidades de dispersión con respecto al parámetro de localización que indica el punto de localización de la distribución. Las distribuciones -estables, en general, no tienen una expresión analítica cerrada para caracterizar a la variable aleatoria, pero, con la función característica o con la función de cumulantes es posible caracterizar de forma única a una variable aleatoria α-estable como se indica en Samorodnitsky y Taqqu (1994).
Definición 1 (Variable aleatoria α-estable). Una variable aleatoria es α-estable si y sólo si , donde tiene la función característica siguiente:
donde
Definición 2 (Función de cumulantes). La función de cumulantes de la variable aleatoria tiene la forma siguiente:
donde . Las distribuciones α-estables tienen expresiones analíticas cerradas para: Gauss , Cauchy y Lévy .
Definición 3 (Vector aleatorio α-estable). es un vector aleatorio α-estable si la sucesión de variables aleatorias son copias independientes e idénticas de , y para todo , entonces, existe tal que:
donde las constantes reales de escala satisfacen y .
Definición 4 (Vector aleatorio estrictamente α-estable). es un vector aleatorio estrictamente α-estable si la sucesión de variables aleatorias son copias independientes e idénticas de , y para todo , entonces, existe tal que:
donde las constantes reales satisfacen .
Definición 5 (Vector aleatorio α-estable simétrico). es un vector aleatorio α-estable simétrico si satisface que en el espacio medible donde es la σ-álgebra de Borel sobre .
Las distribuciones conjuntas α-estables no tienen una expresión analítica cerrada, entonces, la representación de un vector aleatorio α-estable de forma única con la función característica conjunta es:
donde .
Definición 6 (Función de cumulantes). Un vector aleatorio tiene una distribución α-estable si sólo si la función de cumulantes es:
Teorema 1 (Combinación lineal de las componentes). Si un vector α-estable, entonces, existen , y un vector , tales que:
donde . La combinación lineal es una variable α-estable y la función es el producto escalar de los vectores y tal que:
donde y .
Teorema 2 (Función característica de un vector aleatorio α-estable). Si , entonces, es un vector α-estable si y sólo si existe una medida finita sobre la esfera unitaria y un vector de localización tal que:
donde la representación espectral del vector aleatorio α-estable es única y es la medida espectral del vector aleatorio α-estable .
La covarianza no está definida para las distribuciones α-estables, pero la covariación está definida para .
Si son variables aleatorias conjuntas α-estables simétricas donde y es la medida espectral del vector aleatorio , entonces, la covariación de la variable sobre es una función tal que:
donde:
Si y , la matriz de covariación es estimada por:
y para :
Se presenta el planteamiento y la solución del problema de optimización de portafolios α-estables para la diversificación de recursos como se presentó en el trabajo de Climent Hernández et al. (2015) y Climent Hernández (2017), innovando para el portafolio G20 con el CAPM con rendimientos α-estables y un portafolio óptimo sin ventas en corto como se ha presentado en el trabajo de Sánchez Arzate (2019).
Si el vector de rendimientos con riesgo tiene una distribución α-estable, entonces, el rendimiento esperado del portafolio es y se tiene el problema siguiente:
donde es el rendimiento esperado del portafolio, es la medida de riesgo que es una función convexa de , es decir, la medida de riesgo satisface y, entonces, el portafolio óptimo α-estable pertenece a la frontera media-dispersión:
donde , , y el portafolio óptimo α-estable tiene el vector de diversificación de recursos siguiente:
donde es la matriz de covariación y es un vector columna unitario.
Si el vector de rendimientos con riesgo tiene una distribución α-estable, entonces, el rendimiento esperado del portafolio es y se tiene el problema siguiente:
donde es el rendimiento esperado del portafolio, es la medida de riesgo y una función convexa de , es decir, la medida de riesgo satisface y, entonces, el portafolio óptimo α-estable pertenece a la frontera media-dispersión:
donde , , y el portafolio óptimo α-estable tiene el vector de diversificación de recursos siguiente:
donde es la matriz de covariación, es la tasa de interés libre de riesgo y es un vector columna unitario. Entonces, el portafolio α-estable de mercado tiene el vector de diversificación de recursos siguiente:
donde es la matriz de covariación y es un vector columna unitario.
Si es la diversificación en la tasa de interés libre de riesgo y es el vector de diversificación del portafolio de mercado, entonces:
entonces, , por lo tanto:
La línea del mercado de capitales es:
donde la prima de riesgo de mercado es y la pendiente de la línea del mercado de capitales es:
Si el mercado está en equilibrio, entonces, . Por lo tanto, el CAPM α-estable es:
donde:
con .
El modelo de regresión lineal simple es .
El G20 es un grupo de países1 que representa el 85% de la economía mundial, se organizó en 1999 como respuesta a la crisis financiera a finales de la década de 1990 para evitar una depresión económica similar a la de 1930. Las propuestas son para rediseñar el sistema financiero disminuyendo las tasas de interés, aumentando el gasto público de los gobiernos, y reforzando la regulación internacional de las instituciones financieras. Los países emergentes representan una parte significativa del comercio, el producto internacional, y tienen un papel importante en la solución a la crisis.
Se analizan 3,338 rendimientos diarios del 17/05/2005 al 27/12/2019 calculados con los puntos de cierre presentados en Yahoo Finance e Investing para un portafolio que contiene 25 índices del G20 y probar la hipótesis de que los rendimientos presentan distribuciones α-estables. La estimación de los estadísticos descriptivos de los rendimientos es presentada en el Cuadro 1.

El Cuadro 1 indica que los rendimientos oscilan entre -0.2855 y 0.2523. El promedio mínimo es -0.000124, el promedio 0.000319, y el máximo es 0.001011, es decir, todos los índices tienen un rendimiento promedio positivo, excepto FTSE MIB. La desviación estándar mínima es 0.0110 y la máxima es 0.0227, es decir, ASX 200 es el índice con menor volatilidad y RTSI es el índice con mayor volatilidad. El coeficiente de asimetría mínimo es -1.34 y el máximo es 0.23, es decir, el coeficiente de asimetría negativa indica que los rendimientos presentan una distribución asimétrica con una pendiente menor en el extremo izquierdo que en el extremo derecho de los rendimientos nulos y el coeficiente de asimetría positiva indica que los rendimientos presentan una distribución asimétrica con una pendiente menor en el extremo izquierdo que en el extremo derecho de los rendimientos nulos (BSE Sensex, IPC, Sudáfrica 40). El coeficiente de curtosis mínimo es 3.71 y el máximo es 20.46, es decir, todos los índices son leptocúrticos con respecto a la distribución gaussiana, por lo tanto, los rendimientos presentan distribuciones leptocúrticas y asimétricas. Las estimaciones de los parámetros α-estables con el método de máxima verosimilitud y parametrización 1 son presentadas en el Cuadro 2.

El Cuadro 2 presenta las estimaciones de los parámetros α-estables. Los parámetros de estabilidad indican que los rendimientos son leptocúrticos con:
Los parámetros de asimetría indican que los rendimientos son asimétricos negativos:
Los parámetros de escala indican que los rendimientos diarios presentan la volatilidad siguiente:
Los índices ordenados de menor a mayor volatilidad con la desviación estándar conservan aproximadamente el mismo orden de riesgo con el parámetro de escala, excepto el índice Tadawul All Share porque la desviación estándar es mayor que el parámetro de escala en una proporción de 278%.
Los parámetros de localización indican que los rendimientos presentan una moda positiva que oscila alrededor de cero:
Los índices ordenados de menor a mayar promedio conservan aproximadamente el mismo orden de utilidad promedio con el parámetro de localización, excepto los índices Tadawul All Share, Shanghai porque el promedio de los rendimientos es menor que el parámetro de localización, los índices Sudáfrica 40, Nasdaq 100, Nasdaq porque el promedio de los rendimientos es mayor que el parámetro de localización y los índices MOEX, Bovespa porque el promedio de los rendimientos está muy cercano al parámetro de localización.
Los parámetros de estabilidad indican que las distribuciones de los rendimientos diarios son leptocúrticas y los parámetros de asimetría indican que los rendimientos presentan asimetría negativa. Concluyendo que los rendimientos son leptocúrticos y asimétricos negativos, entonces, es necesario probar la pertinencia de las distribuciones α-estables para modelar los rendimientos del portafolio G20. El análisis cuantitativo para probar las hipótesis de que los rendimientos diarios presentan distribuciones gaussianas o distribuciones α-estables con la prueba de bondad de ajuste Anderson y Darling (AD) porque es más potente que Cramér von Mises, Kolmogorov y Smirnov o Lilliefors y es presentado en el Cuadro 3.

El Cuadro 3 presenta los niveles de significación y los estadísticos de la prueba de bondad de ajuste AD que indican que la hipótesis nula: los rendimientos del portafolio G20 presentan una distribución gaussiana multivariada es rechazada y que la hipótesis alternativa: los rendimientos del portafolio G20 presentan una distribución α-estable multivariada no es rechazada con el nivel de significación de 1%, excepto para el índice Shanghai que tiene un nivel de significación de 0.89%. Concluyendo en función de los resultados presentados, que aplicación de las distribuciones α-estables está justificada para modelar los rendimientos diarios del portafolio G20. Los ajustes de las frecuencias absolutas de los rendimientos diarios a las distribuciones gaussianas y α-estables son presentados en la Gráfica 1.

La Gráfica 1 presenta los ajustes de las frecuencias absolutas de los rendimientos a las distribuciones gaussianas y α-estables, y se observa que las distribuciones empíricas están mejor ajustadas por las distribuciones α-estables. Por lo tanto, la aplicación de las distribuciones α-estables para modelar los rendimientos del portafolio G20 está justificada.
Un análisis de los ajustes de los rendimientos realizado con la prueba de bondad de ajuste AD indica que la distribución de valores extremos rechaza tres ajustes (DAX, FTSE 100, MOEX), la distribución de valores extremos generalizados rechaza dos ajustes (DAX, MOEX), las distribuciones logística y t rechazan dos ajustes (DAX, Nifty 50). Pero no es el objetivo de este analizar los portafolios con estos procesos.
Los rendimientos de 24 índices presentan distribuciones α-estables, entonces, son aplicados los procesos α-estables para valuar portafolios óptimos con la diversificación de recursos con los índices, los índices y un bono que otorga una tasa de interés libre de riesgo instantánea de 0.0554x10-05 efectiva diaria, los índices, un bono libre de riesgo, la línea de mercado de capitales y ventas en corto.
El vector de los 24 rendimientos presenta una distribución log-estable, con los parámetros para, donde es el mínimo de los parámetros de estabilidad, es el promedio de los parámetros de estabilidad, es el máximo de los parámetros de estabilidad de los rendimientos. La matriz de covariación para los valores depende de los parámetros de estabilidad y .
La asignación óptima de recursos del portafolio considerando sólo los 24 índices es presentada en el Cuadro 4.

El Cuadro 4 presenta la diversificación de recursos óptimos del portafolio de Markowitz. Los resultados de las diversificaciones coinciden con la venta en corto del Nasdaq. Las diversificaciones presentan, en general, un comportamiento monótono creciente o decreciente, excepto el DAX, el Merval y el Dow Jones 30. El DAX es decreciente en las diversificaciones α-estables, es decir, , pero la diversificación gaussiana es mayor que , es decir, el DAX tiene una diversificación óptima . El Merval presenta la diversificación siguiente . El Dow Jones 30 es creciente en las diversificaciones α-estables , pero la diversificación gaussiana es menor que , es decir, el Dow Jones 30 tiene la diversificación . El rendimiento esperado del portafolio presenta un comportamiento monótono creciente, es decir, es el rendimiento esperado mínimo. La medida de riesgo del portafolio también presenta un comportamiento monótono creciente, es decir, es la medida de riesgo mínima. El índice de Sharpe del portafolio presenta un comportamiento monótono decreciente, es decir, es el índice de Sharpe máximo. Concluyendo que mayor riesgo significa mayor rendimiento esperado, pero mayor riesgo significa una pérdida potencial mayor.
La asignación óptima de recursos del portafolio con los 24 índices y un bono libre de riesgo es presentada en el Cuadro 5.

El Cuadro 5 presenta la diversificación de recursos óptimos del portafolio de Tobin. Los resultados de las diversificaciones coinciden con las ventas en corto del Dow Jones 30, Nasdaq, FTSE MIB, RTSI y Eurostoxx 50. Las diversificaciones óptimas presentan, en general, un comportamiento monótono creciente o decreciente, excepto el Nasdaq y el Nifty 50. El Nasdaq es decreciente en las diversificaciones α-estables, pero , es decir, el Nasdaq presenta una diversificación óptima tal que . El Nifty tiene la diversificación óptima tal que . La diversificación de recursos de los índices es monótona creciente, es decir, es la diversificación mínima. La diversificación de recursos en el bono libre de riesgo es monótona decreciente, es decir, es la diversificación máxima y es aproximadamente del 53%. El rendimiento esperado del portafolio presenta un comportamiento monótono decreciente en las diversificaciones α-estables, es decir, , pero presenta un comportamiento cóncavo porque . La medida de riesgo del portafolio presenta un comportamiento monótono creciente, es decir, es la medida de riesgo mínima. El índice de Sharpe del portafolio presenta un comportamiento monótono decreciente, es decir, es el índice de Sharpe máximo. Concluyendo que la inversión en el bono libre de riesgo reduce la medida de riesgo del portafolio y además incrementa el rendimiento esperado. Concluyendo que el portafolio de Tobin (1958) reduce el riesgo, incrementa el rendimiento esperado e incrementa el índice de Sharpe con respecto al portafolio de Markowitz (1952).
La asignación óptima de recursos del portafolio óptimo en la frontera eficiente considerando los índices, el bono libre de riesgo, la línea del mercado de capitales que es tangente al portafolio de varianza mínima es presentada en el Cuadro 6.

El Cuadro 6 presenta la diversificación de recursos óptimos del portafolio de mercado. Las diversificaciones presentan, en general, un comportamiento monótono creciente o decreciente, excepto el Nasdaq, el Nifty 50 y el FTSE MIB. El Nasdaq es decreciente en las diversificaciones α-estables, pero , es decir, tiene una diversificación óptima . El Nifty 50 tiene la diversificación óptima . El FTSE MIB también es decreciente en las diversificaciones α-estables, pero , es decir, tiene una diversificación .
El rendimiento esperado del portafolio de mercado es mayor que el rendimiento esperado del portafolio de Tobin (1958), y tiene un comportamiento monótono decreciente, es decir, es el rendimiento esperado máximo. La medida de riesgo del portafolio de mercado es mayor que la medida de riesgo del portafolio de Markowitz (1952) y presenta un comportamiento monótono creciente, es decir, la medida de riesgo mínima es . El índice de Sharpe del portafolio de mercado es menor que el portafolio de Tobin (1958), y presenta un comportamiento monótono decreciente, es decir, el índice de Sharpe máximo es . Concluyendo que el portafolio de Tobin (1958) es más eficiente que el portafolio de mercado.
El modelo de valuación de activos de capital proporciona una relación entre el rendimiento esperado del portafolio de mercado y cualquiera de los índices del portafolio. La relación está expresada por la pendiente de la línea de mercado de capitales y cuantifica el riesgo no diversificable que es presentado en el Cuadro 7.

El Cuadro 7 presenta el riesgo sistemático de los rendimientos de los índices del portafolio. Los riesgos sistemáticos, en general, un comportamiento monótono creciente o decreciente, excepto el DAX y el Nikkei 225. El DAX tiene un riesgo sistemático moderado, es decir, , una medida de riesgo moderada, y un rendimiento esperado mayor que el rendimiento del bono libre de riesgo y menor que el rendimiento esperado del portafolio de mercado, es decir, . El Nikkei 225 tiene un riesgo sistemático moderado y creciente en las diversificaciones α-estables, es decir, , pero con , es decir, , una medida de riesgo moderada, y un rendimiento esperado mayor que el bono libre de riesgo y menor que el rendimiento de mercado, es decir, . El FTSE MIB y el Eurostoxx 50 presentan un riesgo sistemático elevado y un rendimiento esperado menor que el rendimiento del bono libre de riesgo, es decir, . El FTSE MIB tiene un riesgo sistemático elevado, es decir, , una medida de riesgo elevada, y un rendimiento esperado menor que el del bono libre de riesgo, es decir, . El Eurostoxx 50 tiene un riesgo sistemático elevado y creciente, es decir, , una medida de riesgo elevada, y un rendimiento esperado menor que el del bono libre de riesgo, es decir, . El Merval y el IDX Composite presentan un riesgo sistemático elevado y un rendimiento esperado mayor que el rendimiento del bono libre de riesgo. El Merval tiene un riesgo sistemático elevado y creciente, es decir, , una medida de riesgo elevada, y un rendimiento esperado mayor que el rendimiento esperado del portafolio de mercado, es decir, . El IDX Composite tiene un riesgo sistemático elevado y creciente, es decir, , una medida de riesgo elevada, y un rendimiento esperado mayor que el rendimiento esperado del portafolio de mercado, es decir, . Los índices restantes presentan, en general, un riesgo sistemático moderado y monótono creciente o decreciente, es decir, , una medida de riesgo moderada, y un rendimiento esperado mayor que el rendimiento del bono libre de riesgo y menor que el rendimiento esperado del portafolio de mercado, es decir, .
La asignación óptima de recursos del portafolio óptimo sin ventas en corto en función del índice de Sharpe máximo es presenta en el Cuadro 8.

El Cuadro 8 presenta la diversificación de recursos óptimos sin ventas en corto. Las diversificaciones presentan, en general, un comportamiento monótono creciente o decreciente, excepto el ASX 200, el TSX, el KOSPI, el Nasdaq 100, el Nikkei 225 y el FTSE 100 que presentan un comportamiento decreciente en las diversificaciones con distribuciones α-estables, pero , es decir, tienen una diversificación óptima sin ventas en corto . El rendimiento esperado del portafolio de mercado es mayor que el rendimiento esperado del portafolio sin ventas en corto, y tiene un comportamiento monótono decreciente, es decir, es el rendimiento esperado máximo. La medida de riesgo del portafolio sin ventas en corto es mayor que la medida de riesgo del portafolio de mercado y presenta un comportamiento monótono creciente, es decir, la medida de riesgo mínima es . El índice de Sharpe del portafolio sin ventas en corto es menor que el del portafolio de mercado, y presenta un comportamiento monótono decreciente, es decir, el índice de Sharpe máximo es . Concluyendo que el portafolio sin ventas en corto mejora la medida de riesgo del portafolio de mercado, pero no logra mejorar el rendimiento esperado del portafolio de mercado y tampoco el índice de Sharpe del portafolio de mercado. Entonces, el portafolio de Tobin (1958) minimiza el riesgo, incrementa el rendimiento esperado y maximiza el índice de Sharpe con respecto al portafolio de Markowitz (1952). Por lo tanto, el portafolio de Tobin (1958) es el más eficiente en el contexto de la relación rendimiento y riesgo. La frontera eficiente del portafolio sin ventas en corto con el parámetro es presentada en la Gráfica 2.

La Gráfica 2 presenta la frontera eficiente del portafolio α1-estable sin ventas en corto. El riesgo de los índices oscila entre 1.05E-5 y 2.14E-5. El rendimiento esperado de los índices oscila entre -1.24E-4 y 10.1E-04. Las menores volatilidades son de TSX, Dow Jones 30, ASX 200, FTSE 100. Las mayores volatilidades son de Bovespa, MOEX, Merval, RTSI. Los índices con los menores rendimientos esperados son de FTSE MIB (negativo), Eurostoxx 50, CAC 40, Tadawul All Share. Los mayores rendimientos esperados son de Nifty 50, BSE Sensex, IDX Composite, Merval. El Merval supera el rendimiento de la frontera eficiente con un rendimiento esperado de 1.01E-03, pero una volatilidad 2.13E-05. La frontera eficiente del portafolio sin ventas en corto con el parámetro es presentada en la Gráfica 3.

La Gráfica 3 presenta la frontera eficiente del portafolio α2-estable sin ventas en corto. El riesgo de los índices oscila entre 4.33E-5 y 8.82E-5. El rendimiento esperado de los índices oscila entre -1.24E-4 y 10.1E-04. Las volatilidades tienen un comportamiento similar que la frontera eficiente del portafolio α1-estable, excepto para los índices DAX, Sudáfrica 40, CAC 40, Eurostoxx 50, Tadawul All Share, BSE Sensex, Nikkei 225 porque en la frontera eficiente del portafolio α2-estable, el Sudáfrica 40 es menos volátil que el DAX, el Eurostoxx 50 es menos volátil que el CAC 40, el Tadawul All Share es más volátil que el Nikkei 225, y éste es más volátil que el BSE Sensex. El Merval supera el rendimiento de la frontera eficiente con el mismo rendimiento esperado, pero una volatilidad 8.62E-05. Concluyendo que la frontera eficiente α1-estable tiene menor riesgo que la frontera eficiente α2-estable. La frontera eficiente del portafolio sin ventas en corto con el parámetro es presentada en la Gráfica 4.

La Gráfica 4 presenta la frontera eficiente del portafolio α3-estable sin ventas en corto. El riesgo de los índices oscila entre 8.88E-05 y 18.1E-05. El rendimiento esperado de los índices también oscila entre -1.24E-4 y 10.1E-04. Las volatilidades tienen un comportamiento similar que las fronteras eficientes α1-estable o α2-estable, excepto para los índices Dow Jones 30, ASX 200, IDX Composite, Sudáfrica 40, FTSE/JSE Top 40 porque en la frontera eficiente del portafolio α3-estable el ASX 200 es menos volátil que el Dow Jones 3, el IDX Composite es más volátil que el FTSE/JSE Top 40 y el Sudáfrica 40. El Merval supera el rendimiento de la frontera eficiente con el mismo rendimiento esperado, pero una volatilidad 17.5E-05. Concluyendo que la frontera eficiente α2-estable tiene menor riesgo que la frontera eficiente α3-estable. La frontera eficiente (gaussiana) del portafolio sin ventas en corto con el parámetro es presentada en la Gráfica 5.

La Gráfica 5 presenta la frontera eficiente del portafolio α4-estable (gaussiano) sin ventas en corto. El riesgo de los índices oscila entre 1.10E-02 y 2.27E-02. El rendimiento esperado de los índices oscila entre -1.24E-4 y 10.1E-04. Las volatilidades tienen un comportamiento similar que las fronteras eficientes α1-estable, α2-estable o α2-estable, excepto para los índices ASX 200, TSX, Nasdaq, KOSPI, Eurostoxx 50, IDX Composite, FTSE MIB, Tadawul All Share porque en la frontera eficiente del portafolio α4-estable el ASX 200 es menos volátil que el Dow Jones 30 y que el TSX, el Nasdaq es menos volátil que el KOSPI, el Eurostoxx 50 es menos volátil que el IDX Composite, el FTSE MIB es menos volátil que el Tadawul All Share. El Merval supera el rendimiento de la frontera eficiente con el mismo rendimiento esperado, pero una volatilidad 2.14E-02. Concluyendo que la frontera eficiente α3-estable tiene menor riesgo que la frontera eficiente α4-estable (gaussiana). Por lo tanto, la frontera eficiente del portafolio α1-estable es menos volátil que los otros portafolios. La volatilidad de los índices es presentada en el Cuadro 9.

El Cuadro 9 presenta las volatilidades de los índices en función de los parámetros de estabilidad. Las volatilidades presentan un comportamiento monótono creciente, es decir, es la volatilidad mínima. Las volatilidades de los índices para el parámetro α1 oscilan entre 0.000010 y 0.000021. Las volatilidades de los índices para el parámetro α2 oscilan entre 0.000043 y 0.000088. Las volatilidades de los índices para el parámetro α3 oscilan entre 0.000089 y 0.000181. Las volatilidades gaussianas de los índices para el parámetro α4 oscilan entre 0.010984 y 0.022713. Los portafolios α-estables presentan mayor aversión al riesgo que los portafolios gaussianos, por lo tanto, son más eficientes en el contexto del índice de Sharpe.
La matriz de covariación es una función que depende del parámetro de estabilidad. La asignación óptima depende de la inversa de la matriz de covariación, el rendimiento esperado del portafolio depende de la asignación óptima, la medida de riesgo del portafolio depende de la asignación óptima y de la matriz de covariación, el índice de Sharpe depende del rendimiento esperado del portafolio y de la medida de riesgo, por lo tanto, el cambio proporcional de la asignación óptima, el rendimiento esperado, la medida de riesgo y el índice de Sharpe con respecto al cambio proporcional en el parámetro de estabilidad es relevante para los portafolios óptimos.
Las asignaciones óptimas del portafolio de Markowitz son monótonas crecientes o decrecientes, excepto los índices DAX, Merval, FTSE MIB que tienen asignaciones óptimas cóncavas y los índices Dow Jones 30 y Nifty 50 que tienen asignaciones óptimas convexas. Las asignaciones óptimas del portafolio de Tobin son monótonas crecientes o decrecientes, excepto los índices Nasdaq y BIST 100 que tienen asignaciones óptimas cóncavas y los índices Dow Jones 30, Nifty 50, IPC y FTSE 100 que tienen asignaciones óptimas convexas. Las asignaciones óptimas del portafolio de Mercado son monótonas crecientes o decrecientes, excepto los índices Merval, Nasdaq y BIST 100 que tienen asignaciones óptimas cóncavas y los índices Dow Jones 30, Nasdaq 100, Nifty 50 y FTSE 100 que tienen asignaciones óptimas convexas. El rendimiento esperado de los portafolios es presentado en la Gráfica 6.

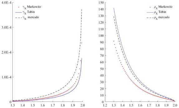
La Gráfica 6 presenta el rendimiento esperado en función del parámetro de estabilidad. El rendimiento esperado del portafolio óptimo de Markowitz es monótono creciente. El rendimiento esperado del portafolio óptimo de Tobin es cóncavo y presenta un mínimo en α=1.82, aproximadamente. El rendimiento esperado del portafolio óptimo de mercado es monótono decreciente. La medida de riesgo y el índice de Sharpe de los portafolios son presentados en la Gráfica 7.

La Gráfica 7 presenta la medida de riesgo y el índice de Sharpe en función del parámetro de estabilidad. La medida de riesgo es monótona creciente y la medida de riesgo mínima es del portafolio óptimo de Tobin. El índice de Sharpe de los portafolios es monótona decreciente y el índice máximo es del portafolio de Tobin. Por lo tanto, el portafolio con mejor desempeño en el contexto del índice de Sharpe es el de Tobin.
El análisis de la asignación óptima de recursos en los índices bursátiles del G20 es una fuente de inversión importante porque las representa a las acciones más bursátiles de países del G20 y una posible solución de la crisis, por lo tanto, la inversión óptima en estos índices permite obtener rendimientos superiores a la tasa de interés libre de riesgo y colaborar con las propuestas del G20.
Los estadísticos descriptivos de los rendimientos de los índices del G20 indican que los rendimientos son leptocúrticos y asimétricos, entonces, son realizadas las estimaciones de los parámetros de estabilidad, asimetría, escala y localización, así como los ajustes de los rendimientos a las distribuciones α-estables.
El supuesto gaussiano de los 25 rendimientos analizados es rechazado con la prueba de bondad de ajuste Anderson y Darling y 24 de los 25 rendimientos de los índices analizados no rechazan la hipótesis α-estable, entonces, los procesos α-estables aplicados al problema de minimización del riesgo son pertinentes y están justificados estadísticamente.
La matriz de covariación es el fundamento para calcular las asignaciones óptimas de los portafolios de Markowitz, Tobin, de mercado, y sin ventas en corto, así como los indicadores de riesgo sistemático, y las volatilidades, concluyendo que los portafolios α-estables son más eficientes que los portafolios gaussianos en el contexto del índice de Sharpe.
Las distribuciones α-estables son estadísticamente pertinentes para modelar rendimientos leptocúrticos y asimétricos, pero la aplicación de estos modelos en la práctica está restringida a las distribuciones α-estables marginales y existen programas para estimar parámetros y calcular densidades, distribuciones y cuantiles. Las distribuciones α-estables conjuntas son parcialmente aplicables porque para el caso bivariado existen métodos para estimar parámetros y calcular densidades, pero la complejidad incrementa dimensiones superiores, por lo tanto, se aplicó un análisis de sensibilidad.
El análisis de sensibilidad muestra que el parámetro de estabilidad tiene influencia en la matriz de covariación, entonces, en la asignación óptima de recursos, el rendimiento esperado, la medida de riesgo y el índice de Sharpe de los portafolios óptimos de Markowitz, Tobin, de mercado y sin ventas en corto, así como en los indicadores de riesgo sistemático concluyendo que el portafolio óptimo de Tobin es el más eficiente.
Una de las desventajas de los portafolios α-estables es que a diferencia de los portafolios gaussianos no tienen un parámetro de estabilidad único, entonces, es realizado un análisis de sensibilidad desde el mínimo de los parámetros de estabilidad de los rendimientos de los índices estudiados hasta la distribución gaussiana, comparando los resultados de los portafolios α-estables con los portafolios gaussianos.
El análisis realizado indica que los portafolios α-estables presentan mayor aversión al riesgo y mayor rendimiento esperado que los portafolios gaussianos, pero los resultados también tienen congruencia en el sentido del comportamiento de la asignación óptima de recursos, rendimiento esperado, medida de riesgo, eficiencia y riesgo sistemático.
El análisis α-estable es más laborioso que el análisis gaussiano, pero los resultados son estadísticamente significativos y se observa que los portafolios α-estables son más eficientes. Una ventaja de los portafolios α-estables es que el valor en riesgo (VaR) y el valor en riesgo condicional (CVaR) está justificado para la valuación de las pérdidas potenciales con la desventaja de que el análisis es más laborioso, pero estadísticamente significativo.
Una propuesta para simplificar los resultados del análisis de sensibilidad es observar el comportamiento de la asignación óptima, rendimiento esperado, medida de riesgo, índice de Sharpe, indicadores de riesgo sistemático y presentar únicamente el portafolio α-estable promedio porque pondera el parámetro de estabilidad del portafolio y realizar la comparación con el portafolio gaussiano.
*Contacto de correspondencia: jach@azc.uam.mx















