Secciones
Referencias
Resumen
Servicios
Descargas
HTML
ePub
PDF
Buscar
Fuente


Approximate solutions of the Schrödinger equation with energy-dependent screened Coulomb potential in D – dimensions
Eclética Química, vol. 45, no. 4, pp. 40-56, 2020
Universidade Estadual Paulista Júlio de Mesquita Filho



Received: 26 October 2019

Accepted: 07 April 2020

Published: 01 October 2020

DOI: https://doi.org/10.26850/1678-4618eqj.v45.4.2020.p40-56

Abstract: Within the framework of the conventional Nikiforov-Uvarov method and a new form of Greene-Aldrich approximation scheme, we solved the Schrödinger equation with the energy-dependent screened Coulomb potential. Energy eigenvalues and energy eigenfunctions were obtained both approximately and numerically at different dimensions. The energy variations with different potential parameters, quantum numbers and energy slope parameter, respectively were also discussed graphically. The major finding of this research is the effect of the energy slope parameter on the energy spectra, which is seen in the existence of two simultaneous energy values for a particular quantum state. Our special cases also agree with the results obtained from literature, when the energy slope parameter is zero.

Keywords: Schrödinger equation, energy-dependent screened Coulomb Potential, Nikiforov-Uvarov method, Greene-Aldrich approximation scheme.

1. Introduction

Quantum mechanics came into existence many decades ago to salvage the failure of classical mechanics, not being able to explain some of the physical phenomena such as Compton effects, specific heat capacity, blackbody radiation. From this point of view, many theoretical physicists have been investigating the exact and approximate solutions of the Schrödinger equation for some potentials of physical interests1,2. The solutions of the Schrödinger equation play a vital role in many branches of modern physics and chemistry3. This is because it contains all the necessary information needed for the full description of a quantum state such as the probability density and entropy of the system4.

The Schrödinger equation with many physical potentials model have been investigated in recent times with different analytical methods such as Nikiforov-Uvarov (NU) method5-8, asymptotic iteration method (AIM)9-14, supersymmetric quantum mechanics(SUSYQM)15-18 among others19-22. One of such potential models is the screened Coulomb potential, which is given by Eq. 123.

(1)

The screened Coulomb potential, also known as the Yukawa potential is greatly important, with applications cutting across nuclear Physics and Condensed-matter Physics23. Here, its usage is involved in short-ranged interactions24-26. The screened-Coulomb potential is known to be the potential of a charged particle in a weakly non-ideal plasma. It also describes the charged particle effects in a sea of conduction electrons in solid-state physics27.

An approximate solution of the Schrödinger equation interacting with an inversely quadratic Yukawa potential has been obtained using SUSYQM15, where the screened Coulomb potential was obtained as a special case by varying the potential strength. Also, an approximate analytical solution of the radial Schrödinger equation for the screened Coulomb potential has been obtained, with energy eigenvalues and its corresponding eigenfunctions computed in closed forms28.

Several researchers have also devoted great attention to investigate the quantum systems of the energy dependence of different potentials29-31. Hassanabadi et al.32,33 studied the exact solutions of D-dimensional Schrödinger and Klein-Gordon equations using the Nikiforov-Uvarov method. Also, Lombard et al.34 investigated the wave equation energy-dependent potential for confined systems. Numerous applications of the energy-dependent potential of wave equations have been seen in the spectrum of confined systems and heavy quark confinement in nuclear and molecular physics35,36. Recently, Budaca37 studied an energy-dependent Coulomb-like potential within the framework of Bohr Hamiltonian. The author further reported that the energy dependence on the coupling constant of the potential drastically changes the analytical properties of wave function and the corresponding eigenvalues of the system. Also, Boumali and Labidi38 investigated the Shannon and Fisher information in the Klein-Gordon equation with energy-dependent potential.

In this research, we seek to investigate the influence of the energy-dependent screened

Coulomb potential defined as in Eq. 2,

(2)

where is the energy slope parameter, is the depth of the potential, and is the range of the potential. The effects of the energy dependence on the screened Coulomb potential have not been considered before in any literature, to the best of our knowledge. It can be deduced that when , the potential of Eq. 2 reduces to the Screened Coulomb potential. When g = 0 as a → 0 the potential of Eq. 2 reduces to the Coulomb potential. Using the conventional NU method, we will derive the ℓ-wave bound state solutions and their eigenfunctions of the Schrödinger equation for the energy-dependent screened Coulomb potential, both analytically and numerically. Special cases are also considered and our results are compared with existing literature for confirmation sake.

The organization of this work is as follows: In section 2, we determine the eigensolutions of the energy-dependent screened Coulomb potential by employing a new form of Greene-Aldrich approximation scheme and Nikiforov-Uvarov method. Section 3 is devoted to discuss the results obtained and compare to results in relevant literature. The conclusion of the work is presented in section 4.

2. Bound state solution of the energy-dependent screened Coulomb potential

The radial part of the Schrödinger equation in D-dimension39 is given by Eq. 3.

(3)

where μ is the reduced mass, Enℓ is the non-relativistic energy eigenvalues to be determined. Substituting Eq. 2 into Eq. 3 gives Eq. 4.

(4)

In solving Eq. 4, we invoke a new form of Greene-Aldrich approximation scheme23 to deal with the centrifugal term since ≠ 0. The approximations schemes are given by Eq. 5 and 6.

(5)

(6)

The plots explaining the rationality and validity of the above Eq. 5 and 6 and their expansions are given in Fig. 1(a–d). Figure 1a shows the plots of f1(r), f2(r) andf3(r) as they vary with , when the screening parameter α is taken to be 0.5. In addition, we employ 1/r from f1(r) as given in Eq. 7.

(7)


Figure 1.
The plots of expressions (a) f1(r), f2(r) and f3(r) as functions of r with α = 0.5; (b) f4(r), f5(r) as functions of r with α = 0.5; (c) f1(α), f2(α), f3(α) as functions of α with r = 5; (d) f4(α), f5(α) as functions of α with r = 5nm.

Here, we have ignored the second expansion term α(1-e-2ar)/(12e-ar) when expanding Eq. 6. Furthermore, the rationality and validity of this expansion is given in Fig. 1b, with α = 0.5. in Figs. 1c and 1d, we observe that the approximation f3(α) corresponds to that of f1(α) when α ≤ 0.05. As such, we see that the approximation f3(α) is better than that of f2(α).

With the above approximation schemes, Eq. 4 becomes Eq. 8.

(8)

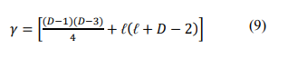
where γ is given by Eq. 9.

(9)

By using the coordinate transformation of Eq. 10.

(10)

Eq. 8 becomes the differential equation of the form given in Eq. 11.

(11)

where ε2 is given by Eq. 12.

(12)

By comparing Eq. 11 and Eq. A1 (see Appendix), we have the following parameters, Eq. 13:

(13)

Substituting Eq. 13 into Eq. A8 (see Appendix), we get (z), Eq. 14:

(14)

where a, b and c are given by Eq. 15.

(15)

We can obtain the constant k by expressing the discriminant under the square root of Eq. 14 to be equal to zero. As such, we have Eq. 16

(16)

Substituting Eq. 16 into Eq. 14 yields Eq. 17:

(17)

According to NU method40, we choose the expression ℼ(z)_ which the function τ(z) has a negative derivative. This is given by Eq. 18

(18)

with 𝜏(𝑧) being obtained with Eq. 19.

(19)

By recalling Eq. A9 (see Appendix), we define the constant λ (Eq. 20) as

(20)

Substituting Eq. 20 into Eq. A10 (see Appendix) and carrying out algebraic simplifications, where τ’(z) is given by Eq. 21

(21)

and σ”(z), Eq. 22

(22)

we obtain Eq. 23

(23)

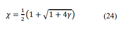
where χ is given by Eq. 24

(24)

Substituting Eq. 12 into Eq. 23 yields a complicated transcendental energy eigenvalue equation of the energy dependent screened Coulomb potential in D-dimensions as (Eq. 25):

(25)

Eq. 25 can also be expressed by Eq. 26.

(26)

where γ and χ are given in Eqs. 9 and 24, respectively.

To obtain the special case, we first rewrite Eq. 26 to the form of Eq. 27:

(27)

As α → 0andg → 0, Eq. 2 reduces to the standard Coulomb potential of the form of Eq. 28.

(28)

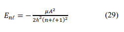
Setting the parameters D = 3 as α → 0andg → 0 we obtain the energy eigenvalue equation (Eq. 29):

(29)

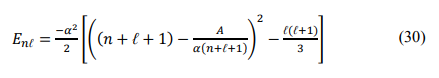
This result is very consistent with the result obtained in Eq. 101 of Birkdemir et al.41. Also, taking the natural units (ћ2 = μ = 1) and setting D = 3andg = 0, the energy eigenvalue expression of Eq. 26 can be reduced to Eq. 30.

(30)

The result of Eq. 30 is consistent with the result obtained in Eq. 18 of Dong et al.23.

To obtain the corresponding wave functions, we substitute ℼ(z)_ and σ(z) from Eqs. 18 and 13, respectively into Eq. A4 (see Appendix) and solve the first-order differential equation. This gives Eq. 31.

(31)

The weight function ρ(z) from Eq. A6 (see Appendix) can be obtained Eq. 32

(32)

From the Rodrigues relation of Eq. A5 (see Appendix), we obtain Eq. 33 and Eq. 34.

(33)

(34)

where Pn(θ,ϑ) is the Jacobi Polynomial.

Substituting Φ(z)andyn(z) from Eqs. 31 and 34, respectively into Eq. A2 (see Appendix), we obtain Eq. 35:

(35)

where G is given by Eq. 36.

(36)

From the definition of the Jacobi Polynomials42 results Eq. 37.

(37)

In terms of hypergeometric Polynomials, Eq. 35 can be written as Eq. 38.

(38)

3. Results and Discussion

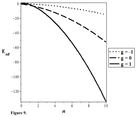
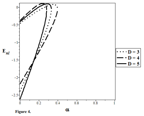
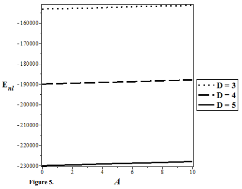
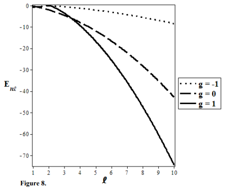
In this study, the energy eigenvalues for the energy-dependent screened Coulomb potential as they vary with the screening parameter were computed for different quantum states as shown in Tab. 1. The existence of the energy slope parameter in Eq. 26 results in two different energy spectra for a particular quantum state and a specific screening parameter. The screening parameter varies in an inverse version with the duo energy spectra. The energy eigenvalues for the energy-dependent screened Coulomb potential as a function of screening parameters in higher dimensions were also computed, as shown in Tabs. 2 and 3, respectively. By employing Eq. 30, we have also computed the energy eigenvalues in three dimensions and in the absence of the energy slope parameter, as shown in Tab. 4. For the two different potential depths considered, we obtained the bound state energy eigenvalues for different quantum states of 2p-4f , as they vary with different screening parameters. It can be seen that the energy eigenvalues for the different potential depths decrease as the screening parameter increases, at each quantum state. Our analytical result of Eq. 30 and its corresponding numerical results of Tab. 4 are very consistent with the results obtained by Dong et al.23. We have also computed the energy eigenvalues of Eq. 26 for higher dimensions, as shown in Tabs. 5 and 6, respectively. The level of effects imposed by the potential parameters of Eq. 2 on the energy eigenvalues of Eq. 26 are shown in Figs. 2-7. For different dimensions, the energy slope parameter causes an interwoven interaction of the curves, as compared to the situation when the energy slope parameter is zero. Figs. 8 and 9 show the variation of energy eigenvalues for the energy-dependent screened Coulomb potential with the different quantum numbers, for different values energy slope parameter considered. The trend of the relationship shows that the energy eigenvalues decrease as the quantum numbers increase. In Fig. 10, we also plotted the variation of the energy eigenvalues with the energy slope parameter for different dimensions.

Table 1.
Eigenvalues (Enℓ) for the energy-dependent screened Coulomb potential as a function of the parameter α for 2p-4f states, with D = 3.

Table 2.
Eigenvalues (Enℓ) for the energy-dependent screened Coulomb potential as a function of the parameter α for 2p-4f states, with D = 4.

Table 3.
Eigenvalues (Enℓ) for the energy-dependent screened Coulomb potential as a function of the parameter α for 2p-4f states, with D = 5

Table 4.
Eigenvalues (Enℓ) of Eq. 29 as a function of the parameter for 2p-4f states, with D = 3andg = 0.

Table 5.
Eigenvalues (Enℓ) of Eq. 25 as a function of the parameter for 2p-4f states, with D = 4andg = 0.

Table 6.
Eigenvalues (Enℓ) of Eq. 26 as a function of the parameter for 2p-4f states, with D = 5andg = 0.


Figure 2.
Energy Eigenvalue Variation with α for different dimensions with g = 0,A = 5,n = 2, = 1.


Figure 3.
Energy Eigenvalue variation with α for different dimensions with g = -1,A = 5,n = 2, = 1 .


Figure 4.
Energy Eigenvalue Variation with α for different dimensions with g = 1,A = 5,n = 2, = 1 .


Figure 5.
Energy Eigenvalue Variation with A for different dimensions with g = 0,α = 100,n = 2, = 1 .


Figure 6.
Energy Eigenvalue Variation with A for different dimensions with g = -1,α = 100,n = 2, = 1.


Figure 7.
Energy Eigenvalue Variation with A for different dimensions with g = 1,α = 100,n = 2, = 1 .


Figure 8.
Energy Eigenvalue Variation with for different values of g with D = 3,α = 1,A = 5,n = 0.


Figure 9.
Energy Eigenvalue Variation with n for different values of g with D = 3,α = 1,A = 5, = 1 .


Figure 10.
Energy Eigenvalue Variation with g for different dimensions, with α = 10,A = 100,n = 2, = 1.

4. Conclusions

We have solved the Schrödinger equation with the energy-dependent screened Coulomb potential in higher dimensions. With the use of the conventional Nikiforov-Uvarov method and a new form of Greene-Aldrich approximation, the energy eigenvalues and its corresponding eigenfunctions were obtained approximately. Numerical values of the energy eigenvalues were also obtained with natural units, in three dimensions. We have also elucidated the variation of these energy spectra with different potential parameters and the energy slope parameter. The effect of the energy slope parameter is clearly seen in the existence of duo energy spectra, as compared to when the energy slope parameter is diminished. Special cases have been deduced, and these results agree perfectly with available literature.

Acknowledgments

The authors thank the kind reviewers for the positive comments and suggestions that lead to an improvement of our manuscript

References

[1] Chun-Feng, H., Zhong-Xiang, Z., Yan, L., Bound states of the Klein-Gordon equation with vector and scalar Wood-Saxon potentials, Acta Physica Sinica (Overseas Edition) 8 (8) (1999) 561. https://doi.org/10.1088/1004-423X/8/8/001.

[2] Sever, R., Tezan, C., Yeşiltaş, Ö., Bucurgat, M., Exact Solution of Effective Mass Schrödinger Equation for the Hulthen Potential, International Journal of Theoretical Physics 49 (9) (2008) 2243-2248. https://doi.org/10.1007/s10773-008-9656-7.

[3] Yahya, W. A., Oyewumi, K. J., Thermodynamic properties and approximate solutions of the ℓ-state Pöschl–Teller-type potential, Journal of the Association of Arab Univ. for Basic and Applied Sciences 21 (1) (2016) 53-58. https://doi.org/10.1016/j.jaubas.2015.04.001.

[4] Sun, Y., He, S., Jia, C.-S., Equivalence of the deformed modified Rosen–Morse potential energy model and the Tietz potential energy model, Physica Scripta 87 (2) (2013) 025301. https://doi.org/10.1088/0031-8949/87/02/025301.

[5] Onate, C. A., Idiodi, J. O. A., Eigensolutions of the Schrödinger Equation with Some Physical Potentials, Chinese Journal of Physics 53 (7) (2015) 120001-1-120001-10. https://doi.org/10.6122/CJP.20150831E.

[6] Antia, A. D., Ikot, A. N., Hassanabadi, H., Maghsoodi, E., Bound state solutions of Klein–Gordon equation with Mobius square plus Yukawa potentials, Indian Journal of Physics 87 (11) (2013) 1133-1139. https://doi.org/10.1007/s12648-013-0336-y.

[7] Ikot, A. N., Awoga, O. A., Hassanabadi, H., Maghsoodi, E., Analytical Approximate Solution of Schrödinger Equation in . Dimensions with Quadratic Exponential-Type Potential for Arbitrary .-State, Communications in Theoretical Physics 61 (4) (2014) 457-463. https://doi.org/10.1088/0253-6102/61/4/09.

[8] Falaye, B. J., Oyewumi, K. J., Abbas, M., Exact solution of Schrödinger equation with q-deformed quantum potentials using Nikiforov—Uvarov method, Chinese Physics B 22 (11) (2013) 110301. https://doi.org/10.1088/1674-1056/22/11/110301.

[9] Ciftci, H., Hall, R. L., Saad, N., Asymptotic iteration method for eigenvalue problems, Journal of Physics A: Mathematical and General 36 (47) (2003) 11807-11816. https://doi.org/10.1088/0305-4470/36/47/008.

[10] Falaye, B. J., Any l -state solutions of the Eckart potential via asymptotic iteration method, Central European Journal Physics 10 (4) (2012) 960-965. https://doi.org/10.2478/s11534-012-0047-6.

[11] Setare, M. R., Karimi, E., Algebraic approach to the Kratzer potential, Physica Scripta 75 (1) (2007) 90-93. https://doi.org/10.1088/0031-8949/75/1/015.

[12] Qiang, W. C., Dong, S. H., Proper quantization rule, Europhysics Letters 89 (1) (2010) 10003. https://doi.org/10.1209/0295-5075/89/10003.

[13] Ikhdair, S. M., Sever, R., Exact quantization rule to the Kratzer-type potentials: an application to the diatomic molecules, Journal of Mathematical Chemistry 45 (4) (2009) 1137. https://doi.org/10.1007/s10910-008-9438-8.

[14] Chen, G., The exact solutions of the Schrödinger equation with the Morse potential via Laplace transforms, Physics Letters A 326 (1-2) (2004) 55-57. https://doi.org/10.1016/j.physleta.2004.04.029.

[15] Onate, C. A., Ojonubah, J. O., Eigensolutions of the Schrödinger equation with a class of Yukawa potentials via supersymmetric approach, Journal of Theoretical and Applied Physics 10 (1) (2016) 21-26. https://doi.org/10.1007/s40094-015-0196-2.

[16] Ikot, A. N., Obong, H. P., Abbey, T. M., Zare, S., Ghafourian, M., Hassanabadi, H., Bound and Scattering State of Position Dependent Mass Klein–Gordon Equation with Hulthen Plus Deformed-Type Hyperbolic Potential, Few-Body Systems 57 (9) (2016) 807-822. https://doi.org/10.1007/s00601-016-1111-3.

[17] Onate, C. A., Onyeaju, M. C., Ikot, A. N., Ojonubah, J. O., Analytical solutions of the Klein-Gordon equation with a Combined potential, Chinese Journal of Physics 54 (5) (2016) 820-829. https://doi.org/10.1016/j.cjph.2016.08.007.

[18] Onate, C. A., Ikot, A. N., Onyeaju, M. C., Udoh M. E., Bound state solutions of D-dimensional Klein–Gordon equation with hyperbolic potential, Karbala International Journal of Modern Science 3 (1) (2017) 1-7. https://doi.org/10.1016/j.kijoms.2016.12.001.

[19] Okorie, U. S., Ibekwe, E. E., Onyeaju, M. C., Ikot, A. N., Solutions of the Dirac and Schrödinger equations with shifted Tietz-Wei potential, The European Physical Journal Plus 133 (10) (2018) 433. https://doi.org/10.1140/epjp/i2018-12307-4.

[20] Okorie, U. S., Ikot, A. N., Edet, C. O., Akpan, I. O., Sever, R., Rampho, G. J., Solutions of the Klein Gordon equation with generalized hyperbolic potential in D-dimensions, Journal of Physics Communications 3 (9) (2019) 095015. https://doi.org/10.1088/2399-6528/ab42c6.

[21] Dong, S.-H., Factorization Method in Quantum Mechanics, Springer, Dordrecht, 2007. https://doi.org/10.1007/978-1-4020-5796-0.

[22] Jia, C.-S., Jia, Y., Relativistic rotation-vibrational energies for the Cs. molecule, The European Physical Journal D 71 (1) (2017) 3. https://doi.org/10.1140/epjd/e2016-70415-y.

[23] Dong, S., Sun, G.-H., Dong, S.-H., Arbitrary .-Wave Solutions of the Schrödinger Equation for the Screen Coulomb Potential, International Journal of Modern Physics E 22 (6) (2013) 1350036. https://doi.org/10.1142/S0218301313500365.

[24] Ikhdair, S. M., Sever, R., A perturbative treatment for the bound states of the Hellmann potential, Journal of Molecular Structure: THEOCHEM 809 (1-3) (2007) 103-113. https://doi.org/10.1016/j.theochem.2007.01.019.

[25] Liverts, E. Z., Drukarev, E. G., Krivec, R., Mandelzweig, V. B., Analytic presentation of a solution of the Schrödinger equation, Few-Body Systems 44 (1-4) (2008) 367-370. https://doi.org/10.1007/s00601-008-0328-1.

[26] Maghsoodi, E., Hassanabadi, H., Aydoğdu, O., Dirac particles in the presence of the Yukawa potential plus a tensor interaction in SUSYQM framework, Physica Scripta 86 (1) (2012) 015005. https://doi.org/10.1088/0031-8949/86/01/015005.

[27] Edwards, J. P., Gerber, U., Schubert, C., Trejo, M. A., Weber, A., The Yukawa potential: ground state energy and critical screening, Progress of Theoretical and Experimental Physics 2017 (8) (2017) 083A01. https://doi.org/10.1093/ptep/ptx107.

[28] Hamzavi, H., Movahedi, M., Thylwe, K.-E., Rajabi, A. A., Approximate Analytical Solution of the Yukawa Potential with Arbitrary Angular Momenta, Chinese Physics Letters 29 (8) (2012) 080302. https://doi.org/10.1088/0256-307X/29/8/080302.

[29] Garcia-Martínez, J., García-Ravelo, J., Peña, J. J., Schulze-Halberg, A., Exactly solvable energy-dependent potentials, Physics Letters A 373 (40) (2009) 3619-3623. https://doi.org/10.1016/j.physleta.2009.08.012.

[30] Yekken, R., Lombard, R. J., Energy-dependent potentials and the problem of the equivalent local potential, Journal of Physics A: Mathematical and Theoretical 43 (2010) 125301. https://doi.org/10.1088/1751-8113/43/12/125301.

[31] Yekken, R., Lassaut, M., Lambard, R. J., Applying supersymmetry to energy dependent potentials, Annals of Physics 338 (2013) 195-206. https://doi.org/10.1016/j.aop.2013.08.005.

[32] Hassanabadi, H., Zarrinkamar, S., Rajabi, A. A., Exact Solutions of .-Dimensional Schrödinger Equation for an Energy-Dependent Potential by NU Method, Communications in Theoretical Physics 55 (2011) 541-544. https://doi.org/10.1088/0253-6102/55/4/01.

[33] Hassanabadi, H., Zarrinkamar, S., Hamzavi, H., Rajabi, A. A., Exact Solutions of .-Dimensional Klein–Gordon Equation with an Energy-Dependent Potential by Using of Nikiforov–Uvarov Method, Arabian Journal for Science and Engineering 37 (2012) 209-215. https://doi.org/10.1007/s13369-011-0168-z.

[34] Lombard, R. J., Mareš, J., Volpe, C., Wave equation with energy-dependent potentials for confined systems, Journal of Physics G: Nuclear and Particle Physics 34 (2007) 1879-1889. https://doi.org/10.1088/0954-3899/34/9/002.

[35] Lombard, R. J., Mares, J., The many-body problem with an energy-dependent confining potential, Physics Letters A 373 (4) (2009) 426-429. https://doi.org/10.1016/j.physleta.2008.12.009.

[36] Gupta, P., Mehrotra, I., Study of Heavy Quarkonium with Energy Dependent Potential, Journal of Modern Physics 3 (10) (2012) 1530-1536. https://doi.org/10.4236/jmp.2012.310189.

[37] Budaca, R., Bohr Hamiltonian with an energy-dependent γ-unstable Coulomb-like potential, The European Physical Journal A 52 (2016) 314. https://doi.org/10.1140/epja/i2016-16314-8.

[38] Boumali, A., Labidi, M., Shannon entropy and Fisher information of the one-dimensional Klein–Gordon oscillator with energy-dependent potential, Modern Physics Letters A 33 (6) (2018) 1850033. https://doi.org/10.1142/S0217732318500335.

[39] Hassanabadi, H., Yazarloo, B. H., Zarrinkamar, S., Rahimov, H., Deng-Fan Potential for Relativistic Spinless Particles — an Ansatz Solution, Communications in Theoretical Physics 57 (3) (2012) 339-342. https://doi.org/10.1088/0253-6102/57/3/02.

[40] Nikiforov, A. F., Uvarov, V. B., Special Functions of Mathematical Physics, Basel, Birkhäuser, 1998.

[41] Birkdemir, C., Application of the Nikiforov-Uvarov Method in Quantum Mechanics, In: Theoretical Concept of Quantum Mechanics, Pahlavani, M. R., ed., InTech: Rijeka, Croatia, 2012, Ch. 11. https://doi.org/10.5772/33510.

[42] Abramowitz, M., Stegun, I. A., Handbook of Mathematical Functions with Formulas, Graphs and Mathematical Tables, U.S. Government Printing Office, Washington, 1964. http://people.math.sfu.ca/~cbm/aands/abramowitz_and_stegun.pdf.

Appendix: Review of Nikiforov-Uvarov (NU) method

According to Nikiforov and Uvarov40, the NU method transforms Schrödinger-like equations into a second order differential equation using a coordinate transformation𝑧 = 𝑧(𝑟), which is given by Eq. A1.

Eq. A1.

(A1)

Here, Importar imagen are polynomials of at most second degree, and Importar imagen is a first-degree polynomial. By employing the transformation (Eq. A2),

(A2)

we obtain the exact solution of Eq. A1 in a form of hypergeometric-type equation given by Eq. A3.

(A3)

Let us define the logarithm derivative function Importar imagen as40 (Eq. A4).

(A4)

where 𝜋(𝑧) is at most a first-degree polynomial. The second part of 𝜓(𝑧) being 𝑦𝑛(𝑧) in Eq. A2, is the hypergeometric function with its polynomial solution given by Rodrigues relation (Eq. A5)

(A5)

Let us mention here that 𝐵𝑛 is the normalization constant and 𝜌(𝑧) is the weight function which must satisfy the condition expressed by Eq. A6.

(A6)

with Eq. A7

(A7)

The eigenfunctions and eigenvalues can be obtained using the definition of the following function 𝜋(𝑧) and parameter 𝜆as shown (Eq. A8):

(A8)

and (Eq. A9)

(A9)

To obtain the value of 𝑘, we set the discriminant of the square root in Eq. A8 equal to zero. As such, the new eigenvalue equation (Eq. A10) is obtained as

(A10)

Author notes

uduakobongokorie@aksu.edu.ng



Buscar:
Ir a la Página
IR
Scientific article viewer generated from XML JATS4R by