Resumen: El presente trabajo tuvo como objetivo determinar las necesidades hídricas a partir de la curva de coeficiente de cultivo (Kc) para estevia (Stevia rebaudiana Bertoni) en Candelaria, Valle del Cauca, Colombia. El experimento se desarrolló durante el primer semestre de 2015. En una parcela cultivada con estevia se establecieron tres lisímetros de drenaje dispuestos al azar y una estación metereológica portátil para la determinación de las variables climatológicas necesarias para el cálculo de la evapotranspiración de referencia (ETo), con el empleo de la ecuación de Penman Monteith. Se determinó la humedad de capacidad de campo del suelo y se realizó un seguimiento periódico tanto de la humedad del suelo como de la lámina de drenaje. La lámina de riego fue aplicada con base en un coeficiente de agotamiento del 10% para llevarlo nuevamente a capacidad de campo. Se realizaron los análisis estadísticos de normalidad, homogeneidad de varianzas y regresiones, y se calculó el Kc para cada etapa fisiológica, a partir del cociente entre la evapotranspiración del cultivo (ETc) y ETo. Con 95% de confianza los Kc para estevia fueron: etapa de crecimiento (54 días después del trasplante ddt) 0,86 ± 0,12, etapa de madurez (55 – 72 ddt) 1,24 ± 0,10 y etapa de senescencia (72 - 96 ddt) 0,85 ± 0,14. El consumo de agua de Stevia rebaudiana B., fue de 4753 m3/ha, durante su ciclo de cultivo de 96 días después del trasplante.
Palabras clave:balance hídricobalance hídrico, agua de drenaje agua de drenaje, evapotranspiración evapotranspiración, Stevia rebaudiana Bertoni Stevia rebaudiana Bertoni.
Abstract: This study aimed to determine the crop coefficient (Kc) curve for stevia (Stevia rebaudiana Bertoni) in Candelaria, Valle del Cauca, Colombia. The experiment was conducted during the first half of 2015. In a plot planted with stevia, were located three drainage lysimeters arranged randomly and a portable weather station to determine climatic variables necessary for calculating an evapotranspiration reference (ETo), using the Penman Monteith equation. Soil field capacity moisture was determined and regular monitoring of both, soil moisture and drainage water depth were performed. Irrigation was applied using an exhaustion coefficient of 10% to bring it back to field capacity moisture. Statistical analyzes were performed and Kc was calculated from the ratio of crop evapotranspiration (ETc) to ETo, for each plant in phenological phase. With confidence of 95% Kc for stevia were: growth stage (54 days after transplantation, ddt) 0.86 ± 0.12, mature stage (55-72 ddt) 1.24 ± 0.10 and senescence stage (72-96 ddt) 0.85 ± 0.14. Water consumption of Stevia rebaudiana B., was 4753 m3/ha during its growing cycle of 96 days after transplantation.
Keywords: hydric balance, drainage water, evapotranspiration, Stevia rebaudiana Bertoni.
Notas técnicas
Necesidades hídricas de estevia calculadas con el coeficiente del cultivo1
Stevia water needs calculated from the crop coefficient

Recepción: 15 Junio 2016
Aprobación: 07 Noviembre 2016
La estevia (Stevia rebaudiana Bertoni), pertenece a la familia de las asteraceae, es una planta aromática originaria de Brasil y Paraguay, utilizada como endulzante natural no nutritivo (Marín, 2004), con cero calorías, alternativo al azúcar y a los endulzantes artificiales. Comercialmente, tiene gran importancia por ser un sustituto directo del azúcar, se utiliza en la industria farmacéutica, de alimentos, cosmética y de agroquímicos, principalmente (Jarma-Orozco, 2008).
El principal productor de estevia en el mundo es China, con el 90% de la producción, seguido de Paraguay con el 6,7%; otros países productores de estevia son: Brasil, Argentina, Bolivia, Colombia y Perú, siendo los países suramericanos los que producen hojas de estevia de mejor calidad, con concentraciones promedio de 12% de esteviósidos (González y Moralejo, 2011). En Colombia, el cultivo de estevia se ha adaptado desde los 0 a los 2100 msnm, con obtención de hasta cinco cosechas al año y rendimiento promedio de 7-8 t/ha de hoja seca (Trujillo, 2010). Sin embargo, por ser la estevia un cultivo de reciente introducción, aun se desconocen técnicas de manejo agronómico de los genotipos utilizados, así como los requerimientos hídricos y nutricionales, lo que limita una producción sostenible y eficiente (EAFIT, 2004; Jarma-Orozco, 2008; Niño et al., 2013).
En países en vías de desarrollo, el uso agroindustrial no solo consume la mayor cantidad de agua, sino que también genera los impactos más profundos en los recursos hídricos, contribuyendo a su escasez (Villa-Fontecha, 2014). Para reducir este impacto se debe partir del conocimiento de las necesidades hídricas de los cultivos.
El requerimiento hídrico o la necesidad de agua de los cultivos hace referencia a la cantidad de agua requerida para compensar la pérdida por evaporación y transpiración de las plantas. Estas dos últimas variables son muy difíciles de determinar por separado, por lo que, se acoge el término de evapotranspiración. La necesidad de riego se refiere a la diferencia entre la necesidad de agua del cultivo y la precipitación efectiva. Dentro de esta lámina de riego calculada se incluye el agua necesaria para el lavado de sales, en caso de ser requerido, y para compensar la falta de uniformidad o eficiencia en la aplicación del agua (Allen et al., 2006).
El coeficiente del cultivo (Kc) se define como la relación entre las necesidades hídricas del cultivo (ETc) y la evapotranspiración de una superficie de referencia (ETo). La superficie de referencia, es un cultivo hipotético de pasto que se caracteriza por poseer una apariencia uniforme y cubrir completamente la superficie del suelo (Allen et al., 2006). En consecuencia, diferentes cultivos poseerán distintos valores de Kc. Como la evaporación en el suelo puede fluctuar diariamente, resultado de la lluvia o el riego, la radiación solar, el Kc es solamente una expresión de los efectos promedios en el tiempo (múltiples días) de la ETc.
Las características del cultivo que varían durante el crecimiento del mismo también afectarán el valor del Kc (Andreu et al., 2006). La determinación del Kc permite calcular las láminas de riego de los cultivos en las diferentes etapas fenológicas de la planta, a partir del valor de ETo. El desconocimiento de estas constantes conlleva a la aplicación inapropiada y excesiva de agua tal como lo reportaron Jurado y Torres (2013), quienes encontraron en cultivos de estevia del Valle del Cauca (Colombia) aplicaciones hasta de 12 l/planta/día, con frecuencias de riego de tres veces por semana.
La metodología de balances hídricos resulta adecuada para la determinación del ETc, que en combinación con ETo permite obtener los Kc. Los lisímetros son usados para estimar la ETc con mayor precisión (Kang, et al., 2003). La combinación de parcelas de campo y lisímetros es útil para la determinación de los Kc, permitiendo la planificación y diseño de proyectos de riego y aplicaciones más racionales de agua.
Diversos valores de Kc han sido reportados para estevia, cuyos valores varían entre 0,25 y 1,16 en etapas iniciales y entre 0,59 y 1,45 en etapas de madurez (González et al., 2002; Fronza y Folegatti, 2003; Lavini et al., 2008; Daza et al., 2015b; Reis et al., 2015; Villafañe et al., 2016). Algunos autores han investigado el cálculo de láminas de riego para estevia con base en el potencial matricial, metodología que resulta muy particular a cada suelo. Así por ejemplo, suelos franco arcillosos con potencial mátrico entre 10 y 20 cbar, favorecieron el crecimiento de las plantas de estevia (Niño et al., 2013), y en condiciones desérticas, el potencial matricial debe estar entre 25 y 35 cbar, atendiendo la baja disponibilidad de agua para obtener resultados adecuados de cosecha (Serfaty et al., 2013).
Otro criterio usado para estimar las necesidades hídricas de los cultivos, es variar en diferentes porcentajes la humedad a capacidad de campo para el cálculo de láminas adecuadas de riego. Estos porcentajes recomendados varían desde el 100% hasta el 60% (Lavini et al., 2008; Karimi et al., 2015), para obtener buenos resultados agronómicos.
Dada la diversidad de información encontrada para el cálculo de láminas de riego, es necesario conocer los requerimientos hídricos en condiciones tropicales, por lo que se planteó como objetivo de este trabajo determinar las necesidades hídricas a partir de la curva de Kc para estevia (Stevia rebudiana Bertoni.) en Candelaria, Valle del Cauca, Colombia.
Localización del experimento
La investigación se realizó entre los meses de febrero a junio de 2015, en la finca “Las Palmas” corregimiento de Juanchito, municipio de Candelaria, al sur oriente del departamento del Valle del Cauca (N 03 26.767’ W 076 27.551’), a una altitud de 951 msnm, correspondiente a bosque seco tropical, de acuerdo con las zonas de vida de Holdridge (IGAC/CVC, 2004). Las condiciones climatológicas presentadas durante el desarrollo del experimento de cinco meses fueron: temperatura media máxima de 30,2 °C, temperatura media mínima de 19,6 °C, humedad relativa media exterior de 77,5%, velocidad del viento promedio de 2,8 km/h y precipitación total de 263,5 mm.
El suelo pertenece a la clasificación taxonómica Fluventic Haplustepts, de textura franco arcillosa, con pH ligeramente alcalino, porcentaje alto de materia orgánica y capacidad de intercambio catiónico en niveles adecuados que garantizan un buen crecimiento de las plantas (Cuadro 1).

Table 1. Physical characteristics of soil where stevia (Stevia rebaudiana B.) was planted in Candelaria, The Cauca Valley, Colombia, during the first semester of 2015.
Montaje y diseño experimental para cálculo de ETc
Se diseñaron y elaboraron tres lisímetros metálicos de 0,50 m de largo, 0,50 m de ancho y 0,50 m de alto, los cuales se colocaron al azar en una parcela cultivada con estevia. En la parte inferior de cada lisímetro se instaló un cono de drenaje conectado con una manguera a un depósito para su posterior medición del volumen. Dentro de cada lisímetro se colocaron las capas de suelo siguiendo el mismo orden del perfil encontrado en campo, procurando la menor disturbación posible. Después se saturó el suelo del lisímetro con agua durante tres días y se dejó drenar para permitir la acomodación de sus agregados. La humedad volumétrica se midió a 0,10 y 0,20 m por medio de un sensor de TDR (MPM-160-B) previamente calibrado, el cual mide la constante dieléctrica del suelo y la transforma a valores de humedad volumétrica en tiempo real.
Se estableció una parcela de 350 m2, donde se sembró estevia a 0,30 m entre plantas y 0,30 m entre camas. Se establecieron camas de 1,5 m de ancho por 13,0 m de largo, donde se ubicaron cuatro plantas por hilera. La preparación del terreno consistió en un pase con motocultor, para romper los agregados más grandes del suelo, y tres pases con arado de cincel. Se utilizaron esquejes de estevia variedad Morita (Carrascal, 2016), que se sembraron en marzo de 2015. El experimento tuvo un seguimiento hasta junio de 2015, con una duración de 96 días. Las etapas fenológicas de la estevia fueron: desarrollo y crecimiento (3 – 54 ddt), madurez (55 – 72 ddt) y cosecha y senescencia (73 – 96 ddt).
Durante los primeros días del cultivo se utilizó una cubierta de polisombra para permitir la adecuación de los esquejes a las condiciones climáticas de la zona. Se realizaron podas de crecimiento y sanitarias, siguiendo las recomendaciones de Ramírez (2011). Las plantas se fertilizaron con una solución nutritiva compuesta por NPK (200, 100 y 100 g/l, respectivamente), se usó un fertilizante de fórmula 20-10-10, y se aplicó en dosis de 2,4 ml por planta. La fertilización se realizó quince días después de la poda de crecimiento para todas las plantas, tanto de las camas como las del lisímetro. La presencia de plantas arvenses como Cyperus rotundus, se eliminaron de forma manual. El control de hongos como Septoria steviae Speg, se realizó mediante la aplicación de fosfitos de cobre, fósforo y ácidos policarboxílicos en dosis de 200 cm3/100 l. Se realizó seguimiento periódico de la altura de la planta, midiéndola desde la base del tallo hasta el extremo superior del mismo.
Balance hídrico
Se llevó un registro constante de las diferentes variables del balance hídrico, para luego calcular la ETc en lámina (mm) por medio de la ecuación 1.
ETc = P + R + C – ES – D ± ∆H (1)
Donde: P es la precipitación; R es el aporte de lámina por el riego; C es el aporte de agua a zonas de raíces por capilaridad, la cual se asumió como cero por ser un valor pequeño en las dimensiones del lisímetro comparado con los demás aportes; ES es la pérdida de lámina de agua por escorrentía, se asumió un valor de cero, debido al diseño sin inclinación del lisímetro, a la forma de aplicación de los volúmenes de riego y a que no se presentaron precipitaciones de alta intensidad, por lo tanto, su valor fue insignificante; D es la lámina drenada; ∆H es la variación del contenido de humedad del suelo.
Diariamente se tomaron tres lecturas de humedad en cada lisímetro, mediante sonda del TDR a las 7 am, 1 pm y 5 pm. Una vez obtenidas las lecturas de humedad se calcularon las láminas de agua requeridas para mantener el suelo a capacidad de campo, teniendo en cuenta la profundidad de raíces (0,08 m hasta los 62 días después del trasplante y 0,10 m hasta la cosecha). El volumen de agua a aplicar se calculó teniendo en cuenta el área del lisímetro y se aplicó en función del 10% de agotamiento de agua para llevarlo nuevamente a capacidad de campo.
El riego se realizó manualmente con una probeta de capacidad de 1000 ml, el agua se aplicó uniformemente sobre toda la superficie del lisímetro. La lámina de drenaje se recolectó en el depósito acoplado con un embudo, previamente dispuesto, midiendo el volumen recogido en una probeta. Este procedimiento se realizó aproximadamente cada tres días, teniendo frecuencias de aplicación de dos días en condiciones soleadas y hasta cuatro días en periodos de lluvia. La precipitación se registró con la estación metereológica portátil. Con base en los datos obtenidos se realizó el cálculo de la ETc, a partir del balance hídrico y posteriormente, se procedió al cálculo de Kc para cada lisímetro, siguiendo los lineamientos de Allen et al. (2006) (ecuación 2).
Kc = ETc/ETo (2)
Para la determinación de ETo, se empleó igualmente la estación climatológica portátil que se instaló cerca del cultivo, con una periodicidad de registro de una hora, para las variables utilizadas en la ecuación de Penman-Monteith, como son la velocidad del viento, radiación solar, humedad y temperatura (ecuación 3). El registro se realizó por un periodo de 96 días, tiempo necesario para que las plantas de estevia alcanzaran la madurez necesaria para la cosecha y su respectiva comercialización.
[ecuacion 3]Donde: ETo es la evapotranspiración de referencia (mm/día); Rn es la radiación neta en la superficie del cultivo (MJ/m2/día); G es el flujo de calor del suelo (MJ/m2/día); T es la temperatura media del aire a 2 m de altura; U2 es la velocidad del viento de día a 2 m de altura (m/s); g es la constante psicométrica modificada utilizada en el método de Penman-Monteith (mbar/°C); (es – ea) es el déficit de presión de vapor (kPa); es es la presión de vapor a saturación de la temperatura promedio del aire (kPa); ea es la presión de vapor tomada a la temperatura a punto de rocío (kPa); D es la pendiente de la curva de presión de la saturación de vapor a una temperatura específica (kPa/ºC); g es la constante psicométrica modificada utilizada en el método de Penman-Monteith (kPa/°C).
Análisis estadístico de los datos
Se tuvieron registros diarios por 96 días de drenaje, riego, precipitación y humedad volumétrica, determinada con el TDR y ETo calculados a partir de las variables climatológicas registradas por la estación. Los datos fueron organizados en dos y tres días de acuerdo con los periodos de riego. Posteriormente, se realizó el cálculo de ETc y del Kc.
Se verificó la distribución normal de los datos usando el Test de Shapiro - Wilk, y se realizó el Test de Friedman para verificar que los valores de ETc halladas en los tres lisímetros, siguieran la misma distribución. No hubo diferencias significativas entre ellos para las tres fases del cultivo. También se realizaron pruebas de correlación entre lisímetros con base en la prueba de Sperman y un nivel de significancia del 95%, con el fin de verificar la asociación entre los valores de ETo hallados en los lisímetros en cada una de las fases del cultivo. Finalmente, se realizaron regresiones lineales para los valores de Kc y el tiempo por fase de cultivo, con un nivel de confianza del 95%, y se determinaron intervalos de confianza para la media.
La precipitación promedio diaria registrada estuvo entre 0 mm y 26,3 mm, así como la ETo entre 1,8 mm y 9,7 mm (Figura 1).

Figure 1. Registration of water from evapotranspiration reference and precipitation for determining the crop coefficient (Kc) for stevia (Stevia rebaudiana B.), during first half of 2015, in Candelaria, The Cauca Valley, Colombia.
Los valores de ETc obtenidos para los tres lisímetros siguieron una distribución normal (P=0,146), cumplieron con la homogeneidad de varianzas (p= 0,997) y no presentaron diferencias entre sus medias (P=0,811), siguiendo tendencias similares (Figura 2). Los coeficientes de correlación de Sperman entre lisímetros hallados (P<0,01) estuvieron entre 0,92 y 0,96. Los valores resgistrados de ETc estuvieron entre 1,16 mm/día alcanzado a los 30 ddt en el lisímetro 1 y 9,00 mm/día a los 63 ddt en el lisímetro 2.

Figure 2. Variation of crop water needs (ETc) in the growing period stevia (Stevia rebaudiana B.), in drainage lysimeters, Candelaria, The Cauca Valley, Colombia. From February to June, 2015.
Debido a la ocurrencia de precipitaciones distribuidas durante el ciclo de la planta (96 días), se aumentó la humedad atmosférica afectando los valores de ETc (Allen et al., 2006). Entre los 60 y 78 ddt, las plantas de estevia demandaron mayor cantidad de agua (Figura 3 a y b). En etapas tempranas las demandas de agua fueron más bajas, debido a que el área foliar es pequeña, disminuyendo las pérdidas de agua a través de sus estomas.

Figure 3. (a) Behavior of evapotranspiration reference (ETo), crop water requirements (ETc) and (b) Linear regression found between ETo and ETc, during the experiment in stevia (Stevia rebaudiana Bertoni) in Candelaria, The Cauca Valley, Colombia. From February to June, 2015.
El consumo de agua promedio diario fue de 4,95 mm/día, equivalentes a 4753 m3/ha para el ciclo del cultivo evaluado. Este consumo total de agua fue más bajo que el de la caña de azúcar en un año (10 300 m3/ha), cultivo prevalente en la región de estudio, pero por encima de otros cultivos representativos de la región como maíz (3600 m3/ha) y soya (3400 m3/ha) (Pérez et al., 2011). En un trabajo de investigación en condiciones desérticas de Israel, se empleó en cultivos de estevia 8000 m3/ha, 40,6% más de agua que la utilizada en esta investigación (Serfaty et al., 2013). En regiones de Paraguay, se registró el empleo de 1576 m3/ha de agua para un cultivo de estevia durante setenta días, realizado en suelos con una capa de 3,0 cm de bagazo de caña, razón por la cual este consumo fue más bajo (González et al., 2002). Se han utilizado en promedio, un volumen de 20 384 m3/ha en cultivos de estevia cultivado durante dos años en suelos mantenidos a la humedad de capacidad de campo (equivalente a 2548 m3/ha durante tres meses) (Aladakatti et al., 2012). En Colombia, se ha reportado un consumo de agua equivalente a 5488 m3/ha por un periodo de 98 días después del trasplante en el departamento del Tolima (Niño et al., 2013). Las diferencias en el consumo de agua por los cultivos están en función directa de las condiciones climáticas de cada zona y de la duración del ciclo de la planta, por lo que, es necesario la determinación de las necesidades hídricas para cada región en particular (Allen et al., 2006).
El comportamiento de la ETc y de la ETo presentaron tendencias similares (Figura 3a). El valor mínimo y máximo de ETo fueron 1,79 y 9,67 mm, presentados a los 18 y 63 ddt, respectivamente; mientras que los de ETc estuvieron entre 2,08 y 9,01, a los 12 y 72 ddt, respectivamente. Entre los 3 y los 12 ddt, la ETo estuvo entre 30% y 51% por encima de la ETc. Finalizando la etapa fenológica de crecimiento y desarrollo, y durante la etapa de madurez la ETc sobrepasó a la ETo entre 7 y 28%.
En la mayoría de los cultivos, en las primeras fases la ETo es mayor que la ETc, debido a que el área foliar es más pequeña (Fronza y Folegatti, 2003). Entre los 53 y 72 ddt la ETc estuvo por encima de ETo, debido a la alta cobertura del suelo proporcionada por la planta, lo que determina el porcentaje de aumento entre las dos variables (Araya et al., 2011). Este fenómeno puede atribuirse a la capacidad que tiene la planta en estas etapas fenológicas de cubrir el suelo reduciendo la evaporación, lo que permite mayor almacenamiento de agua y proporciona la lámina de agua requerida por más tiempo, es decir, se reduce la frecuencia de aplicación. En la etapa de cosecha y senescencia la ETo estuvo entre 8 y 24% por encima de la ETc. Se encontró una baja relación (R2= 0,46) entre la ETo y la ETc (Figura 3b), debido posiblemente al ataque de plagas en las hojas de la planta en la etapa de crecimiento y desarrollo, que aunque fue controlado a tiempo a base de fosfitos de cobre, fósforo y ácidos policarboxílicos y no causó daños severos, pudo influenciar en su evapotranspiración.
Determinación del coeficiente del cultivo (Kc)
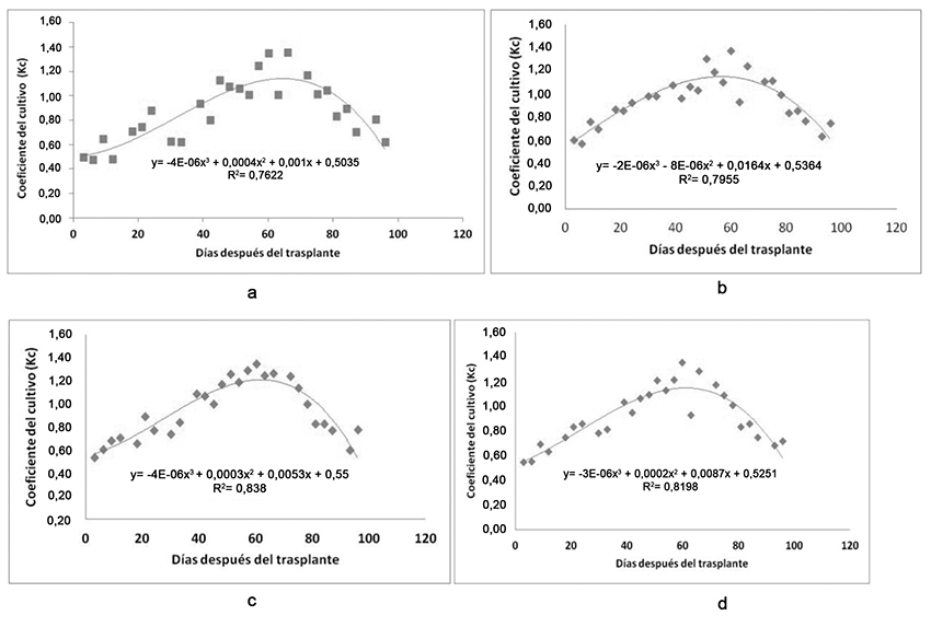
El comportamiento del Kc en el tiempo siguió modelos polinomiales de segundo orden, cuyos coeficientes de regresión no lineal fueron altamente significativos (P≤0,001), y estuvieron entre 0,67 y 0,80 (Figura 4). Los valores de Kc hallados variaron entre 0,48 y 1,35 para el lisímetro 1, entre 0,57 y 1,37 para el lisímetro 2 y entre 0,54 y 1,35 para el lisímetro 3. En promedio, los Kc variaron entre 0,55 y 1,36, donde los mayores valores se presentaron en la etapa de madurez. Los resultados obtenidos estuvieron por debajo de los reportados por otros autores, cuyos valores hallados estuvieron entre 1,16 y 1,45 (Fronza y Folegatti, 2003) y entre 0,85 y 1,14 en condiciones mediterráneas (Lavini et al., 2008). No obstante, fueron más altos que los reportados por González et al. (2002) en Paraguay, en cultivos sembrados sobre 3 cm de mulch de bagazo de caña, cuyos valores estuvieron entre 0,25 y 0,82. Se encontraron valores entre 0,36 y 0,59 en cultivos de estevia sembrada en condiciones parcialmente protegidas, donde las etapas del cultivo establecidas fueron más cortas que las halladas en el presente trabajo, situación que pudo deberse a diferencias en condiciones climáticas (Villafañe et al., 2016).

Figure 4. Crop coefficient values of stevia (Stevia rebaudiana Bert.). (a) Lysimeter 1 (F = 24.20 P<0.001), (b) lysimeter 2 (F = 29.55; P<0.001), (c) lysimeter 3 (F = 23.78; P<0.001) and (d) average (F = 33.98; P<0.001), obtained in Candelaria, The Cauca Valley, Colombia. From February to June, 2015.
Los valores promedio de Kc, por etapas fisiológicas de estevia, fluctuaron entre 0,75 y 1,34 (Cuadro 2). Al analizar cada etapa y realizar regresiones lineales, se encontró que los coeficientes de regresión fueron superiores a 0,6; sin embargo, en la etapa de madurez no se consiguió el comportamiento lineal, lo que indicó que los valores de Kc alcanzaron un valor máximo, pero no se alcanzó valores relativamente constantes como es representado en la curva característica sugerida por la FAO y descrita por Allen et al. (2006), sino que en la etapa de madurez los valores fluctuaron entre 1,14 y 1,34 aproximadamente (Figura 5). Similares resultados fueron reportados por otros autores (Daza et al., 2015b), quienes encontraron que las láminas de riego calculadas con un Kc de 1,2 fueron las que proporcionaron mejores resultados agronómicos en comparación con Kc de 1,0 y 1,1; sin embargo, este valor al ser utilizado para todo el ciclo del cultivo puede inducir pérdidas de nitratos por lixiviación y no lograr altos rendimientos (Daza et al., 2015a). Al utilizar coeficientes de cultivo de 1,0 para calcular láminas de riego con agua de diferentes calidades, se encontró que las láminas de riego utilizadas no tuvieron efecto negativo en la cosecha, cuando la conductividad eléctrica del agua de riego estaba por debajo de 2 dS/m; el consumo de agua estuvo entre 3,44 y 7,68 mm/día (Reis et al., 2015), láminas similares a las encontradas en el presente trabajo.

Table 2. Average values of crop coefficients (Kc) per phenological stage for stevia (Stevia rebaudiana B.) grown in Candelaria, The Cauca Valley, Colombia. From February to June, 2015.

Figure 5. Average crop coefficient (Kc) curve for stevia (Stevia rebaudiana B.) in Candelaria, The Cauca Valley, Colombia. From February to June, 2015.
En la etapa de crecimiento y desarrollo el consumo promedio de agua fue de 4,57 mm/día (233,07 mm), mientras que en su etapa de madurez fue de 7,30 mm/día (124,16 mm). El Kc fue menor, pero el periodo que dura la etapa de crecimiento y desarrollo fue más largo (51 días), lo que llevó a un consumo de 46,73% más de agua que en la etapa de madurez. En la etapa de cosecha y comienzo de la senescencia, el consumo de agua fue de 4,28 mm/día (98,44 mm en total), reduciendo el consumo hídrico en 20,72% con respecto a la etapa fenológica anterior; en esta última etapa, el consumo de agua fue menor y es donde se produce la mayor concentración de metabolitos y azúcares. Estos valores de consumo estuvieron por encima de los reportados por González et al. (2002), quienes encontraron consumos de 2,10 mm/día en etapa de crecimiento y 6,30 mm/día en etapa de madurez de la estevia, y fueron similares a los encontrados por Niño et al. (2013), quienes reportaron un consumo promedio diario de 5,60 mm y aseguraron que mantener la humedad del suelo entre 0,20 – 0,30 cbar de tensión mátrica (cerca a capacidad de campo), favorece los valores de variables agronómicas como longitud de tallo, masa seca foliar y concentración de edulcorantes. También Ramírez (2011) sostuvo que las necesidades hídricas de la estevia son de 5,00 mm diarios, los cuales recomendó que se aplicaran cada tres días si los suelos son arenosos y cada cinco días si son arcillosos.
La altura de planta alcanzó en promedio 45 cm a los 84 ddt (Figura 6a), valores por debajo de los encontrados por Kumar-Pal et al. (2013) (112,88 cm a los 105 ddt), pero mayores a los de Serfaty et al. (2013) (20 cm a los 96 ddt), y similares a los de González et al. (2002) (49,67 cm a los 71 ddt). Estas diferencias pueden deberse a las condiciones climáticas donde se realizaron los estudios, a los diferentes tipos de suelos (disponibilidad de agua y nutrientes) y a las prácticas de manejo del cultivo (lámina y método de riego, aplicaciones foliares de nutrientes, podas, entre otras). Se encontró una relación lineal entre el consumo de agua de la planta y el crecimiento a lo largo del ciclo estudiado (Figura 6b), lo que mostró que la altura de la planta está determinada, entre otras variables, por el consumo de agua, lo que indirectamente esta relacionado con la absorción de nutrientes.

Figure 6. (a) Variation in height throughout the cycle of estevia (F = 519.48, p<0.001) and (b) relationship between plant height and water consumption by estevia (F= 669.35; p<0.001). Experiment performed in Candelaria, The Cauca Valley, Colombia. From February to June, 2015.
La altura de la planta es un estimador promisorio de la masa seca y fresca (González et al., 2002), al encontrar relaciones lineales altamente significativas, en donde por cada cm de aumento en la altura de la planta se incrementó 1391 y 254 kg/ha de materia fresca y seca, respectivamente. En suelos francos iraníes, la producción de metabolitos endulzantes no se vieron afectados cuando se redujo la humedad del suelo al 60% de la humedad de capacidad de campo (CC= 20,2%) (Karimi et al., 2015). En términos de lámina de agua, se realizó la aplicación de 1,24 mm/día lo que equivale al 72,9%, 83,0% y 71,0% menos de agua aplicada en las etapas de crecimiento, madurez y cosecha, respectivamente, a las encontradas en el presente trabajo; sin embargo, se encontró que variables como la altura de la planta se vieron afectadas, disminuyéndola significativamente en 11,6%, al reducir la lámina de agua en 60% (Karimi et al., 2015).
Las necesidades hídricas encontradas para el cultivo de la estevia estuvieron en el orden de 4753 m3/ha para el ciclo, desde el trasplante de la plántula hasta 96 días cuando se realizó el primer corte. Los valores promedio de Kc fueron: 0,86 para los primeros 54 ddt, 1,24 para 55 a 72 ddt y 0,85 para 73 a 96 ddt.
martha.daza@correounivalle.edu.c

Table 1. Physical characteristics of soil where stevia (Stevia rebaudiana B.) was planted in Candelaria, The Cauca Valley, Colombia, during the first semester of 2015.

Figure 1. Registration of water from evapotranspiration reference and precipitation for determining the crop coefficient (Kc) for stevia (Stevia rebaudiana B.), during first half of 2015, in Candelaria, The Cauca Valley, Colombia.

Figure 2. Variation of crop water needs (ETc) in the growing period stevia (Stevia rebaudiana B.), in drainage lysimeters, Candelaria, The Cauca Valley, Colombia. From February to June, 2015.

Figure 3. (a) Behavior of evapotranspiration reference (ETo), crop water requirements (ETc) and (b) Linear regression found between ETo and ETc, during the experiment in stevia (Stevia rebaudiana Bertoni) in Candelaria, The Cauca Valley, Colombia. From February to June, 2015.

Figure 4. Crop coefficient values of stevia (Stevia rebaudiana Bert.). (a) Lysimeter 1 (F = 24.20 P<0.001), (b) lysimeter 2 (F = 29.55; P<0.001), (c) lysimeter 3 (F = 23.78; P<0.001) and (d) average (F = 33.98; P<0.001), obtained in Candelaria, The Cauca Valley, Colombia. From February to June, 2015.

Table 2. Average values of crop coefficients (Kc) per phenological stage for stevia (Stevia rebaudiana B.) grown in Candelaria, The Cauca Valley, Colombia. From February to June, 2015.

Figure 5. Average crop coefficient (Kc) curve for stevia (Stevia rebaudiana B.) in Candelaria, The Cauca Valley, Colombia. From February to June, 2015.

Figure 6. (a) Variation in height throughout the cycle of estevia (F = 519.48, p<0.001) and (b) relationship between plant height and water consumption by estevia (F= 669.35; p<0.001). Experiment performed in Candelaria, The Cauca Valley, Colombia. From February to June, 2015.