Nota técnica

Recepción: 30 Marzo 2016
Aprobación: 13 Junio 2016
DOI: https://doi.org/http://dx.doi.org/10.15517/ma.v28i3.22876
Resumen: El objetivo de este trabajo fue evaluar el cambio en la coloración del queso cottage elaborado a partir de diferentes vías de acidificación (enzimática y química). La investigación se realizó en los laboratorios de la Universidad del Valle (Cali, Colombia), entre los años 2014 y 2015. Para el queso elaborado por medio de coagulación enzimática, es decir, el “queso control”, se empleó cultivo láctico y cuajo microbiano (CC), y para la elaboración del queso por la vía química se usaron soluciones de ácido cítrico (AC) y ácido fosfórico (AF). Se determinaron las propiedades fisicoquímicas y se analizó el comportamiento del color durante nueve días de almacenamiento. Se encontraron diferencias significativas en acidez y humedad para los tres coagulantes. En el plano cromático, los puntos final e inicial de las coordenadas a* y b* estuvieron muy cercanos entre sí, lo que indica que el cambio de color se debió principalmente a los cambios en la luminosidad. La velocidad de disminución de la luminosidad para los tres quesos se ajustó correctamente a cinéticas de orden cero y uno. Las de primer orden presentaron mayores valores de coeficientes de correlación lineal (R), AC: 0,8410±0,0533; AF: 0,8390±0,0847 y CC: 0,8717±0,0256. La cinética de cambio de color también se ajustó correctamente al modelo cinético de orden cero y uno, es decir, no hubo diferencia significativa (p<0,05) entre estos resultados. Sin embargo, la velocidad de cambio de color para los tres quesos presentó un ajuste levemente mayor para la cinética de orden cero, según los resultados del coeficiente de correlación lineal (R), AC: 0,8800±0,0205; AF: 0,8543±0,0099 y CC: 0,7982±0,0605.
Palabras clave: queso elaborado, productos de la leche, fermentación láctica, fabricación del queso, preservadores.
Abstract: The objective of this study was to evaluate the color change of cottage cheese made with different processes of acidification (enzymatic and chemical) over time. The research was conducted at Universidad del Valle (Cali, Colombia) laboratories, between 2014 and 2015. Microbial rennet and lactic culture (CC) were used for enzymatic coagulation method (control cheese), and solutions of citric acid (CA) and phosphoric acid (PA) were used for the chemical method. The physicochemical properties were determined, and color behavior was analyzed over nine days of storage. Significant differences in acidity and moisture for the three coagulants were found. In the color plane, it was observed that the final and initial points of the coordinates a * and b * are close together; changes in color were mostly due to changes in brightness. The speed at which brightness decreased in the three cheeses matches kinetics order to zero and one. The first order kinetics displayed in higher values of linear correlation coefficients (R), AC: 0.8410 ± 0.0533; AF: 0.8390 ± 0.0847, and CC: 0.8717 ± 0.0256. The kinetics of change in color also adjusted correctly to zero and the first order kinetic model; that is, no significant difference (p <0.05) between these results. However, the speed of color change for the three cheeses had a slightly higher setting for zero order kinetics, as evidenced by the linear correlation coefficient (R) results, AC: 0.8800 ± 0.0205; AF: 0.8543 ± 0.0099, and CC: 0.7982 ± 0.0605.
Keywords: processed cheese, milk products, lactic fermentation, cheese making, preservatives.
Introducción
El queso cottage es un alimento valorado por los consumidores por sus características nutritivas. Cada día su mercado se hace potencialmente más importante, debido a la creciente demanda de productos bajos en colesterol y sales (Villegas-de-Gante, 2004). Es esencialmente una cuajada de leche descremada en el que, por lo general, la crema se incorpora posteriormente. El carácter y la calidad del producto terminado, dependen en gran medida de los métodos de fabricación. Por esto, si se desea elaborar de manera continua, el cottage es uno de los quesos que requieren de mayor delicadeza en su fabricación (Arenas et al., 2015).
La apariencia de los alimentos es el principal parámetro que permite describirlos cuando estos se encuentran en el anaquel, ya que se aprecia el aspecto general del mismo, siendo el color un factor que suele emplearse para relacionar otros aspectos de calidad tales como el sabor, la naturalidad o la madurez (Dufossé et al., 2005; Ramírez-Navas, 2010). El color se ve influenciado en los quesos por la composición inicial de la leche, los métodos de elaboración y aditivos que se hayan añadido (Ramírez-Navas y Rodríguez-de-Stouvenel, 2012).
La Comisión Internacional de Iluminación (CIE, por sus siglas en francés de Commission Internationale de l’Éclairage) logró una representación uniforme del color, mediante el establecimiento de las coordenadas luminosidad (L*) con valores entre cero (negro) y cien (blanco), a* (“+60” intensidad de color rojo y “-60” de color verde) y b* (“+60” intensidad de color amarillo y “-60” de color azul), en un espacio vectorial basado en tres ejes ortogonales, también llamado espacio CIE-Lab (Ramírez-Navas, 2010)
El cambio de color (ΔE) que relaciona las coordenadas L*, a* y b* (Ecuación 1), es una relación que indica si alguno de estos parámetros está fuera de los rangos de la medida estándar, aunque no indica cuál de los tres parámetros está por fuera de los estándares. Los subíndices f e i indican valores finales e iniciales respectivamente (Hunter y Harold, 1987; Lee, 2005).
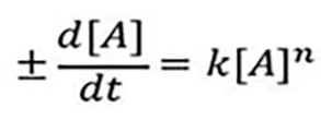
[Ecuación 1]El modelamiento cinético se puede describir mediante la ecuación general de velocidad (Ecuación 2) que describe la variación de un atributo de calidad. En esta ecuación ±d[A]/dt es el cambio del atributo de calidad de interés en el tiempo, k es la constante de velocidad y n es el orden de la reacción, generalmente 0<n<2 (Pirovani y Güemes, 2004).
[Ecuación 2]Cuando se integra la Ecuación 2, para valores de n=0 y n=1 se obtienen las expresiones para modelos cinéticos de orden cero y uno:
[Ecuación 3]
[Ecuación 4]Los modelos matemáticos (modelamiento cinético) descritos en las Ecuaciones 3 y 4, permiten predecir el comportamiento de los atributos de calidad en el tiempo y finalmente, dan una guía para conocer la vida de anaquel del alimento (Salinas-Hernández et al., 2007).
Dado que la evolución de la calidad de los quesos pueden ser analizadas bajo dos criterios básicos, el color y la textura (Álvarez et al., 2007), y que además, todas las muestras de queso preparadas en esta investigación no contenían conservantes o preservantes, fue útil determinar la velocidad de deterioro de la luminosidad (L*) y cambio de color (ΔE) como atributos de calidad, a través de modelos matemáticos, con el fin de conocer la calidad global del queso y también como una herramienta para investigaciones posteriores.
Para cada alimento existe un tiempo limitado posterior a su elaboración, en el cual el producto tendrá niveles adecuados de calidad e inocuidad si se almacena bajo condiciones determinadas, tiempo que se conoce con el nombre de vida de anaquel (Salinas-Hernández et al., 2007). Esta es una de las razones por la que, el modelamiento cinético está ganando un creciente interés en diferentes campos de la investigación en alimentos (Martins et al., 2000). Por tal razón, el objetivo de esta investigación fue evaluar el cambio en la coloración del queso cottage elaborado a partir de diferentes vías de acidificación (enzimática y química).
Materiales y métodos
Para la fabricación de las muestras de queso se siguieron las recomendaciones realizadas por Arenas et al. (2015), con algunas modificaciones (Figura 1). Las muestras de queso cottage se elaboraron en los laboratorios de la Universidad del Valle, Cali, Colombia. La investigación tuvo una duración de un año (2014-2015). La leche se obtuvo de la empresa Lácteos Uno A (Candelaria, VA, Colombia), y no se le realizaron análisis fisicoquímicos. Para la elaboración de las muestras de quesos se utilizó leche pasteurizada, estandarizada a una relación de proteína:grasa de 2:1, almacenada a 6 °C. En los quesos elaborados se varió el método de acidificación empleado antes del cuajado (empleando ácido cítrico:AC o ácido fosfórico:AF); además, se elaboró queso cottage empleando cultivo lácteo y cuajo microbiano, que sirvió como “queso control”. Tres réplicas se hicieron por cada vía de acidificación, lo que dio un total de nueve lotes. Un lote se fabricó cada día, el orden en que se fabricaron fue seleccionado al azar.

Figure 1. Flowchart of Cottage cheese made with three coagulant agents. Universidad del Valle laboratories, Cali, Colombia. 2015.
Preparación de aderezo
El aderezo se preparó de forma previa, siguiendo lo indicado por Hallab et al. (2007), para ello, se emplearon los mismos ingredientes pero con variaciones en la composición porcentual: leche descremada en polvo 8%, almidón 4%, crema de leche 10%, leche pasteurizada semidescremada 77% y sal 1%; todos los ingredientes fueron homogenizados con la ayuda de un mezclador portátil (PLHE8125) en un recipiente plástico.
Coagulación enzimática
La leche se calentó hasta 36 ºC, y se adicionó CaCl2 a una concentración final de 0,02% (p/v) y cultivo lácteo (MA 4001 LYO 5 DCU) a una concentración final de 0,025% (p/v), la ficha técnica del cultivo empleado declara que se compone de Lactococcus lactis subsp. lactis, Lactococcus lactis subsp. cremoris, Lactococcus lactis subsp. lactis biovar dyacetilactis y Streptococcus termophilus. La mezcla se llevó a incubación en baño termostático a 32 ºC durante una hora.
El cuajo microbiano (2200 IMCU/ml, Mucur pusillus, EC 3.4.23.23) se diluyó en agua desionizada (1:10) y se añadió a la leche a una relación de 0,20 ml/l. Después de 20 min, tiempo en el cual se formó la cuajada, se cortó al tamaño de grano apropiado, aproximadamente 2 cm en los sentidos longitudinal y transversal (Clark et al., 2009). La mezcla de partículas de cuajada y suero de leche se agitó y se calentó a 0,5 °C/min hasta que alcanzó 60 °C, con el fin de reducir la humedad en los granos de cuajada y eliminar microorganismos coliformes y psicrótrofos (Donnelly, 2004). Luego, la agitación se detuvo y la mezcla se filtró a través de una malla de nylon para retirar el suero de leche. A la cuajada se realizaron lavados con dos porciones de 1000 ml de agua fría. La cuajada lavada se dejó en reposo por 30 min sin prensar para que liberara el lactosuero restante. Finalmente, se mezcló la cuajada con el aderezo en una relación cuajada-aderezo de 70:30. Esta mezcla se homogenizó manualmente. Las muestras de queso se empacaron, se codificaron y almacenaron a 2 °C, durante nueve días.
Coagulación química
Para llevar a cabo la coagulación química, se prepararon previamente soluciones de ácido cítrico 1% (p/p) y ácido fosfórico 1% (p/p). La leche se calentó hasta 36 ºC, y se le adicionó 0,02% (p/v) de CaCl2 y una de las soluciones ácidas, hasta que la mezcla llegó a cinco unidades de pH. Luego se calentó en baño termostático a 60 ºC por 30 min., se filtró la cuajada por un tamiz y se lavó con dos porciones de 1000 ml de agua fría. La cuajada lavada se dejó en reposo por 30 min. sin prensar para que liberara el lactosuero restante. Finalmente, se mezcló la cuajada con el aderezo en una relación cuajada-aderezo de 70:30. Esta mezcla se homogenizó manualmente. Las muestras de queso se empacaron, se codificaron y almacenaron a 2 °C, durante nueve días.
Análisis físico-químico
Se elaboraron dos lotes de producción quesera en dos semanas diferentes y se prepararon las muestras para análisis según el método AOAC 955.30 (AOAC, 1997b). Pasados dos días (tiempo que se fijó para que se estabilizaran las muestras de queso), del almacenamiento, el queso cottage se homogenizó durante 5 min en una licuadora (Modelo 6881 de 16V), y se evaluaron las siguientes características fisicoquímicas: humedad, pH, acidez titulable, color, cloruros y contenido de proteína, que son algunos parámetros para definir la calidad nutricional y sensorial del queso.
Se realizó seguimiento fisicoquímico de color a las muestras de queso cottage, durante nueve días, a partir del momento de elaboración. Las seis mediciones se hicieron por duplicado.
Análisis de humedad
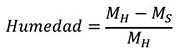
Para determinar el contenido de humedad de las diferentes preparaciones se siguieron los lineamientos del método oficial AOAC 926.08 (AOAC, 1995). Se pesaron las muestras en cajas de Petri mediante una balanza analítica AE210 y se dejaron en la estufa de secado a 105 ºC durante 24 h, posteriormente, se llevaron las muestras secas a un desecador y se determinó la cantidad de humedad por diferencia de peso.
[Ecuación 5]Donde MH es el peso en gramos de la muestra húmeda y MS es el peso en gramos de la muestra seca.
Análisis de pH
El análisis de pH se realizó con un pH-metro, Microprocessor pHmeter, de sonda de pH; aproximadamente 50 g de la muestra homogenizada se dejó en contacto directo con el electrodo. La calibración del electrodo se realizó con soluciones buffer trazables (pH 4,00 y pH 7,00) que cumplían con la norma DIN19266, con las cuales se verificó la pendiente del electrodo y se aseguró la validez de los resultados.
Análisis de acidez
El contenido de acidez de las preparaciones de queso cottage se realizó titulando una muestra de cada queso con hidróxido de sodio 0,1 N hasta el punto final a la fenolftaleína según lo realizó Pacheco-Palencia (2004). La acidez titulable se expresó como porcentaje de ácido láctico/100 g de producto.
[Ecuación 6]Donde NNaOH es la concentración normal del hidróxido de sodio, VNaOH es el volumen (ml) gastado en la titulación, 9,008 es el factor que involucra el peso molecular del ácido láctico y ajusta el cálculo para que el resultado final corresponda a porcentaje de ácido láctico en la muestra, finalmente, Wmuestra es el peso de la muestra en gramos.
Análisis de proteína
Para cuantificar el contenido proteico de las preparaciones de queso se usó el método oficial AOAC 920.123 (AOAC, 1990), mediante el cual se obtiene la cantidad de proteína en una muestra de queso, aplicando la técnica micro-kjeldahl.
Se calculó el porcentaje de proteína según la siguiente expresión:
[Ecuación 7]Donde NHCl es la concentración normal del ácido clorhídrico usado en la titulación, VHC l es el volumen (ml) de ácido clorhídrico gastado, 8,932x10-4 es una constante que incluye el peso molecular del nitrógeno, el factor proteico de 6,38 del queso y ajusta el cálculo para que el resultado final corresponda al porcentaje de proteína en el queso, finalmente, Wmuestra seca corresponde al peso en gramos de la muestra seca.
Análisis de cloruros
El contenido de cloruros (expresado como cloruro de sodio) en las muestras de queso se determinó aplicando el método de Mohr (Johnson y Olson, 1985), el cual involucra una titulación de las muestras con nitrato de plata (AgNO3). El porcentaje de cloruros se calculó según la siguiente expresión:
[Ecuación 8]Donde NAgNO3 es la concentración normal del nitrato de plata (titulante), VAgNO3 es el volumen (ml) gastado en la titulación, 5,845 es un factor que incluye el peso molecular del cloruro de sodio y ajusta el cálculo para que el resultado final corresponda al porcentaje de cloruro de sodio en la muestra, Wmuestra corresponde al peso de la muestra en gramos.
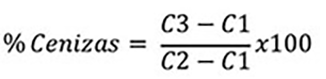
Análisis de cenizas
El contenido de cenizas se determinó siguiendo lo que referencia el método AOAC 923.03 (AOAC, 1997a). Se estimó según la siguiente expresión:
[Ecuación 9]Análisis de color
Para realizar la determinación colorimétrica de las muestras de queso cottage, se empleó como modelo de color el sistema CIE-Lab y el iluminante de referencia D65 (estándar luz de día), se obtuvieron los valores experimentales mediante el empleo del espectrocolorímetro, se tuvo como parámetros matemáticos de formulación los descritos por Novoa y Ramírez-Navas (2012). Donde se tuvo como magnitudes estudiadas para la caracterización del color, la luminosidad (L*), la proporción de rojo-verde (a*) y proporción amarillo-azul (b*).
Para obtener dichas mediciones se calibró el equipo con los platos de referencia verde, blanco y negro, ubicando previamente la caja petri, sobre la cual se colocaron las muestras, en el puerto de lectura. Todas las muestras se cubrieron, antes del análisis, con el cubreobjetos de color negro (parte del equipo), para evitar que la luz causase interferencia en la lectura. Las muestras se rotaron aproximadamente 120° después de cada lectura, repitiéndose la misma, de acuerdo con las especificaciones del fabricante.
Análisis estadístico
Los datos obtenidos de la medición de color y análisis fisicoquímico de muestras de quesos cottage, fueron analizados estadísticamente utilizando el programa SSPS Statistics (V. 18.0.0-SPSS Inc.). Por medio de análisis de varianza ANOVA se evaluaron las diferencias significativas entre los lotes. Como análisis post hoc se utilizó la prueba Tuckey con α de 0,05. Las gráficas, las ecuaciones de regresión y los coeficientes de determinación (r2) se obtuvieron utilizando Excel 2010.
Resultados y discusión
Parámetros fisicoquímicos
En el Cuadro 1 se presentan los resultados de los parámetros fisicoquímicos evaluados en los quesos cottage preparados con diferentes coagulantes.

Table 1. Physicochemical results of Cottage cheese made with three different coagulants (X±SD). Universidad del Valle laboratories, Cali, Colombia. 2015.
Se observa que los resultados de acidez y humedad fueron los únicos que difirieron significativamente, debido al efecto de los tres coagulantes empleados, esta diferencia puede atribuirse a una reducción del contenido de grasa, puesto que la materia grasa y la humedad presentan una relación inversa, y un menor contenido de grasa repercute en un aumento de la capacidad de retención de agua del queso. El pH no varió significativamente entre los quesos coagulados con ácidos, pero sí entre estos y el queso control. Los quesos elaborados presentaron valores de pH superiores a los reportados por algunos autores para queso cottage (4,5 -4,7) (Brito et al., 2006). La diferencia de pH se debió en principio a que durante el proceso de elaboración de los quesos está variable no fue controlada en las operaciones de elaboración de queso y cocción, teniendo estas operaciones afectaciones directas en la calidad, rendimiento y pH del queso elaborado (Emmons y Beckett, 1984), además, no se comprobó que la adición CaCl2 ajustara el pH hasta un valor de 6,5 como recomiendan Fagan et al. (2007), evidenciando una carencia del control de esta variable en el inicio del proceso de elaboración.
Los porcentajes de proteína de los quesos preparados fueron cercanos al rango de 12,15% a 13,85% reportado por Yasin y Shalaby (2013). El porcentaje de cenizas, que representan la cantidad de minerales presentes en el queso, también fueron cercanos al rango de 1,49% a 1,78% reportado por estos mismos autores. El contenido de sal (NaCl) de los quesos preparados en el diseño experimental final estuvo por debajo de 0,51% y se aleja de 1,0% que es el contenido adecuado de cloruro de sodio que debería tener el queso cottage (Fuquay et al., 2011; Ramírez-Navas et al., 2017). El porcentaje de cloruro de sodio, proteína y cenizas no tuvieron diferencias significativas entre los quesos, es decir, no se evidenció cambio en estos parámetros debido al efecto del coagulante con una significancia igual a 0,05.
Parámetros de color
En el Cuadro 2 se presentan los resultados de los parámetros de color, luminosidad L*, y componentes de cromaticidad a*y b*. Se observaron cambios significativos en la luminosidad con el paso del tiempo, siendo estos de hasta ocho unidades. Sin embargo, los cambios para a* fueron inferiores a una unidad y b* a 1,5 unidades.

Table 2. Color parameters of Cottage cheese samples made with three different coagulants: rennet, citric acid and phosphoric acid (X±SD). Universidad del Valle laboratories, Cali, Colombia, 2015.
Los valores iniciales y finales de las coordenadas a* y b* estuvieron muy cerca del centro acromático definido por Dufossé et al. (2005). Sin embargo, los valores finales fueron levemente superiores que los iniciales y tendieron al amarillo. El aumento en los valores de b* se relaciona con la presencia de proteólisis y reacciones de pardeamiento en los quesos (Medina-Olivas, 2013). No obstante, en los quesos elaborados dichas reacciones no fueron comprobadas.
El queso elaborado con leche de oveja se clasifica como “brillante” a partir del valor promedio de L* igual a 73,22 (Lurueña-Martínez et al., 2010). Este valor dista levemente de los resultados para la L* reportados para el tiempo 0 para los quesos elaborados con leche de vaca. Por lo tanto, se considera que los quesos cottage elaborados en esta investigación se clasificaron como quesos brillantes, a pesar de haber sido elaborados con una leche diferente.
Parámetros cinéticos de luminosidad y cambio de color
En la Figura 2 se observa el cambio de L* de los quesos de ensayo y del queso control durante el período evaluado. La Figura 3 corresponde a la transformación de los valores de L* a través de la función matemática logaritmo natural, con el fin de obtener la cinética de primer orden.

Figure 2. Evolution of brightness in time (zero order kinetics). Universidad del Valle laboratories, Cali, Colombia. 2015.

Figure 3. Evolution of brightness in time (first order kinetics). Universidad del Valle laboratories, Cali, Colombia, 2015.
La luminosidad tuvo un comportamiento decreciente a medida que avanzó el tiempo, es decir, el producto tendió a perder brillo o ganar opacidad. Actualmente, los consumidores hacen mayores exigencias respecto a los empaques de los productos lácteos, entre sus exigencias están el uso de empaques transparentes para apreciar mejor el producto antes de comprarlo (Nollet y Toldra, 2009), por tanto, el estudio de las cinéticas de deterioro de la luminosidad es una herramienta útil que puede correlacionar dicho parámetro con la aceptación por parte de los consumidores del queso cottage en el tiempo de vida de anaquel.
En el Cuadro 3 se presentan los resultados correspondientes al coeficiente de correlación lineal del ajuste a los modelos cinéticos de orden cero y uno para el comportamiento de la luminosidad en el tiempo. El Cuadro 4 presenta los parámetros cinéticos obtenidos después de realizar un ajuste lineal a los datos de L* presentados en el Cuadro 2, estos corresponden a la pendiente (K) e intercepto (Lo) de las ecuaciones de la recta de la Figura 2 y Figura 3.

Table 3. Linear correlation coefficients for the evolution of brightness in the cheeses over time (X±SD). Universidad del Valle laboratories, Cali, Colombia 2015.

Table 4. Kinetic parameters of brightness evolution over time, regarding zero and first order kinetics. (X±SD). Universidad del Valle laboratories, Cali, Colombia 2015.
Los resultados del Cuadro 3 indican que no hubo diferencia significativa (p>0,05) entre los coeficientes de determinación para los quesos evaluados, tanto las reacciones de orden cero como de orden uno representan una aproximación válida para describir la evolución de L*. Estos resultados se acercaron al valor de 0,8944 reportado por Valero et al. (2014), quienes aludieron este valor como un indicativo de una aproximación válida para la investigación que realizaron. En el Cuadro 4 se reportan los parámetros cinéticos de la luminosidad para orden cero y uno, observándose que no hubo diferencia significativa (p>0,05) entre las constantes cinéticas de reacción para un mismo orden, y no fue posible asegurar cuál de los quesos iba a tener una mayor disminución de L* en el tiempo. Sin embargo, los parámetros cinéticos permitieron construir las ecuaciones de deterioro de L*. Los valores de L* inicial de los quesos para orden cero fueron similares entre los coagulantes evaluados, lo mismo sucedió con los valores de primer orden, es decir, no hubo diferencia significativa en los valores de L* inicial debido al efecto del coagulante (p>0,05).
En la Figura 4 se presenta el cambio de color de los quesos de ensayo y del queso control durante el período evaluado. La Figura 5 corresponde a la transformación de los valores de cambio de color a través de la función matemática logaritmo natural con el fin de obtener la cinética de primer orden.

Figure 4. Evolution of color change over time (zero order kinetics). Universidad del Valle laboratories, Cali, Colombia. 2015.

Figure 5. Evolution of color change over time (first order kinetics). Universidad del Valle Laboratories, Cali, Colombia. 2015.
Los valores de cambio de color inicial tomaron valores cercanos entre sí (Figuras 4 y 5). Sin embargo, desde este punto en adelante, el comportamiento de ΔE difirió para cada coagulante evaluado. Esto se comprobó con los resultados del coeficiente de correlación obtenidos, en los modelos cinéticos ajustados para orden cero y uno (Cuadro 5). En el Cuadro 5 también se presentan los parámetros cinéticos de orden cero y uno obtenidos a partir de la pendiente (K) y el intercepto (ΔEo) de la ecuación de las rectas del ajuste lineal del cambio de color.

Table 5. Linear correlation coefficients and kinetic parameters from the total color change in zero and first order kinetics (X±SD). Universidad del Valle laboratories, Cali, Colombia 2015.
Los datos del Cuadro 5 representan el coeficiente de correlación lineal (R2) para el ajuste de cada uno de los modelos cinéticos en el cambio total de color. Se observa que el queso control (CC) presentó los mejores valores de ajuste, tanto para el modelo de orden cero como de primer orden. El ajuste más pobre lo exhibió el cambio de color en el tiempo para el queso cottage coagulado con ácido fosfórico. Aunque no existió diferencia significativa entre el ajuste de orden cero y uno por cada coagulante, fueron levemente superiores los resultados de orden cero. Este comportamiento fue similar a lo expuesto por diversos autores, quienes mencionaron que la mayoría de los resultados cinéticos se pueden expresar correctamente como un modelo cinético de orden cero y uno (Taoukis y Labuza, 1989; Manayay et al., 2013).
Debido a las leves variaciones en las coordenadas a* y b*, los cambios de color se pudieron atribuir principalmente a la variación de la L*, y ya que los valores de cambio de color a partir de las 96 h de evaluación fueron superiores a tres unidades, será perceptible al consumidor (Ramírez-Navas, 2010). Aunque dichas percepciones no fueron sometidas a un análisis por parte de un panel sensorial.
También se observó que no existió diferencia significativa entre las constantes cinéticas (K) de orden cero. Bajo este ajuste es válido mencionar que la velocidad del cambio de color en el tiempo fue igual para los quesos de ensayo y el queso control. Sin embargo, si se observa el ajuste cinético al modelo de primer orden, es válido mencionar también que la velocidad del cambio de color fue mayor para el queso control que para el queso coagulado con ácido fosfórico.
Agradecimientos
Los autores agradecemos a Martha Viveros por la revisión del resumen y sugerencias en cuanto a la traducción. También a todo el personal de la Escuela de Ingeniería de Alimentos de la Universidad del Valle, por su desinteresada colaboración.
Literatura citada
AOAC (Association of Official Analytical Chemists). 1990. Official Method 920.123. Total protein via Kjeldahl method. AOAC Int., WA, USA.
AOAC (Association of Official Analytical Chemists). 1995. Official Method 926.08. Moisture in cheese. AOAC Int., WA, USA.
AOAC (Association of Official Analytical Chemists). 1997a. Official Method 923.03. Ash of flour. AOAC Int., WA, USA.
AOAC (Association of Official Analytical Chemists). 1997b. Official Method 955.30. Cheese: Preparation of test portions. AOAC Int., WA, USA.
Álvarez, S., V. Rodríguez, M. Ruiz, y M. Fresno. 2007. Correlaciones de textura y color instrumental con la composición química de quesos de cabra canarios. Arch. Zootec. 56:663-666.
Arenas, A., R. Vargas, y J.S. Ramírez-Navas. 2015. El queso cottage. Tecnol. Láctea Latinoam. 86:54-61.
Brito, C, M. Pino, L.H. Molina, I. Molina, M. Horzella, y R. Schöbitz. 2006. Queso cottage elaborado con cultivo láctico REDI-SET y DVS, usando crema lactea homogeneizada y sin homogeneizar. Rev. Chil. Nutr. 33:74-85. doi:10.4067/S0717-75182006000100008.
Clark, S., M. Costello, M.A. Drake, and F. Bodyfelt. 2009. The sensory evaluation of dairy products. Springer, NY, USA.
Donnelly, C.W. 2004. Growth and survival of microbial pathogens in cheese. In: P.F. Fox et al., editors, Cheese: Chemistry, pysics and microbiology. Elsevier, HOL. p. 541-559.
Dufossé, L., P. Galaup, E. Carlet, C. Flamin, and A. Valla. 2005. Spectrocolorimetry in the CIE L*a*b* color space as useful tool for monitoring the ripening process and the quality of PDO red-smear soft cheeses. Food Res. Int. 38:919-924. doi:10.1016/j.foodres.2005.02.013.
Emmons, D.B., and D.C. Beckett. 1984. Effect of pH at cutting and during cooking on cottage cheese. J. Dairy Sci. 67:2200-2209. doi:10.3168/jds.S0022-0302(84)81567-2.
Fagan, C.C., M. Castillo, F.A. Payne, C.P. O’Donnell, and D.J. O’Callaghan. 2007. Effect of cutting time, temperature, and calcium on curd moisture, whey fat losses, and curd yield by response surface methodology. J. Dairy Sci. 90:4499-4512. doi:10.3168/jds.2007-0329.
Fuquay, J.W., P.F. Fox, and P.L.H. McSweeney. 2011. Encyclopedia of dairy sciences. 2nd ed. Academic Press, London, GBR.
Hallab, R., C. Kohen, M.A. Grandison, M.J. Lewis, and A.S. Grandison. 2007. Assessment of the quality of cottage cheese produced from standard and protein-fortified skim milk. Int. J. Dairy Technol. 60:69-73. doi:10.1111/j.1471-0307.2007.00319.x.
Hunter, R.S., and R.W. Harold. 1987. The measurement of appearance. 2nd ed. Wiley and Sons, Inc., NY, USA.
Johnson, M.E., and N. Olson. 1985. A comparison of available methods for determining salt levels in cheese. J. Dairy Sci. 68:1020-1024. doi:10.3168/jds.S0022-0302(85)80924-3.
Lee, Y.K. 2005. Comparison of CIELAB DeltaE(*) and CIEDE2000 color-differences after polymerization and thermocycling of resin composites. Dent. Mater. 21:678-682. doi:10.1016/j.dental.2004.09.005.
Lurueña-Martínez, M.A., I. Revilla, P. Severiano-Pérez, and A.M. Vivar-Quintana. 2010. The influence of breed on the organoleptic characteristics of Zamorano sheep’s raw milk cheese and its assessment by instrumental analysis. Int. J. Dairy Technol. 63:216-223. doi:10.1111/j.1471-0307.2010.00565.x.
Manayay, D., A. Ibarz, W. Castillo, y L. Palacios. 2013. Cinética de la diferencia de color y croma en el proceso térmico de pulpa de mango (Mangifera indica L.) variedad Haden. Sci. Agropecu. 4:181-190.
Martins, S.I., W.M. Jongen, and M.A. Van-Boekel. 2000. A review of Maillard reaction in food and implications to kinetic modelling. Trends Food Sci. Technol. 11:364-373. doi:10.1016/S0924-2244(01)00022-X.
Medina-Olivas, Z. 2013. Caracterización de quesos fresco y curado fabricados a partir de leche de cabras alimentadas con diferentes dietas. Universidad Politécnica de Valencia, Valencia, ESP.
Nollet, L.M.L., and F. Toldra. 2009. Handbook of dairy foods analysis. CRC Press, Taylor & Francis, London, GBR.
Novoa, D.M., y J.S. Ramírez-Navas. 2012. Caracterización colorimétrica de manjar blanco del Valle. Rev. Bio. Agro. 10:54-60.
Pacheco-Palencia, L. 2004. Efecto de la concentración de cultivo láctico y la acidez de corte en el tiempo de incubación y las características físicas y sensoriales del queso cabaña. Escuela Agrícola Panamericana “El Zamorano”, Zamorano, HON.
Pirovani, M., y D. Güemes. 2004. Cinética de deterioro de la calidad de repollo fresco cortado. Cienc. Tecnol. Aliment. 4:169-176. doi:10.1080/11358120409487757.
Ramírez-Navas, J.S. 2010. Espectrocolorimetría en caracterización de leche y quesos. Tecnol. Láctea Latinoam. 61:52-58.
Ramírez-Navas, J.S., and A. Rodríguez-de-Stouvenel. 2012. Characterization of Colombian quesillo cheese by spectrocolorimetry. Vitae 19:178-185.
Ramírez-Navas, J.S., J. Aguirre-Londoño, V.A. Aristizabal-Ferreira, y S. Castro-Narváez. 2017. La sal en el queso: diversas interacciones. Agron. Mesoam. 28:303-316. doi:10.15517/am.v28i1.21909.
Salinas-Hernández, R., G. González-Aguilar, M. Pirovani, y F. Ulín-Montejo. 2007. Modelación del deterioro de productos vegetales frescos cortados. Universidad y Ciencia 23:183-196.
Taoukis, P., and T. Labuza. 1989. Applicability of time-temperature indicators as shelf life monitors of food products. J. Food Sci. 54:783-788. doi:10.1111/j.1365-2621.1989.tb07882.x.
Valero, A., M. Hernández, A. De-Cesare, G. Manfreda, P. González-García, and D. Rodríguez-Lázaro. 2014. Survival kinetics of Listeria monocytogenes on raw sheep milk cured cheese under different storage temperatures. Int. J. Food Microbiol. 184:39-44. doi:10.1016/j.ijfoodmicro.2014.02.017.
Villegas-de-Gante, A. 2004. Tecnología quesera. Editorial Trillas S.A. de C.V., MEX.
Yasin, N.M.N., and S.M. Shalaby. 2013. Physiochemical and sensory properties of functional low fat cheesecake manufactured using cottage cheese. An. Agric. Sci. 58:61-67. doi:10.1016/j.aoas.2013.01.009.
Notas
Notas de autor
juan.sebastian.ramirez@correounivalle.edu.co