Resumen: La depreciación cambiaria funge como mecanismo de protección a la producción nacional y reduce las importaciones. El objetivo fue evaluar el efecto de dos escenarios de tasa de depreciación cambiaria sobre la producción, el consumo y la importación de carne porcina de forma regional en canal en México en el 2015 y el 2016. El país se dividió en dos puntos de internación de importaciones (Punto de internación uno y Punto de internación dos) y ocho regiones productoras: noroeste, norte, noreste, centro-oeste, centro-este, sur, oriente, península de Yucatán. Se utilizó un modelo de programación no lineal. Bajo condiciones óptimas el modelo subestimó la producción nacional en 0,4%, y sobreestimó las importaciones y el consumo regional-nacional en 2,5 y 0,4%, respectivamente, con un Valor Social Neto (VSN) óptimo de 21 656 millones de dólares. Con relación al modelo óptimo, una depreciación cambiaria de 15,1 y 20,9% implicaría incrementar la producción nacional en 0,3 y 0,4%, disminuir la importación 1,5% y 2,0%, reducir el consumo nacional 0,5 y 0,6% y decrecer el VSN en 0,10 y 0,13%. Se concluye que, en las condiciones planteadas, a nivel regional el mercado mexicano de carne de cerdo en canal es sensible a la depreciación cambiaria, protege a productores nacionales y afecta tanto a la importación como a los consumidores.
Palabras clave:actividad porcinaactividad porcina, política monetaria política monetaria, modelo de optimización modelo de optimización, valor social neto valor social neto.
Abstract: The exchange depreciation serves as a protection mechanism for domestic production and to reduce imports. The objective was to evaluate the effect of two scenarios of exchange rate depreciation on the production, consumption and imports of carcasses pork meat regionally in Mexico in 2015 and 2016. The country was divided into two importation points (internment point one, internment point two) and eight production and consumer regions: Northwest, North, Northeast, Midwest, Central-East, South, East, Yucatan Peninsula. A non-linear programming model was used. Under optimal conditions, the model underestimated domestic production by 0.4% and overestimated regional and national imports and consumption by 2.5% and 0.4%, respectively, with an optimal social net value (SNV) of 21.66 billions of dollars. In relation to the optimal model, a 15.1% and 20.9% exchange depreciation would imply increasing national production by 0.3% and 0.4%, reduce imports by 1,5% to 2%, reduce domestic consumption 0.5% and 0.6%, and decrease the SNV by 0.10 and 0.13%. Under the previously given conditions it is concluded that a regional level, the Mexican carcass pork market is sensitive to exchange depreciation, protects domestic producers while damages both importation and consumers.
Keywords: pork activity, monetary policy, optimization model, social net value.
Artículo
Efectos de depreciación del peso mexicano sobre el mercado de la carne de cerdo1
Effects of Mexican peso depreciation on pork market

Recepción: 23 Agosto 2017
Aprobación: 05 Febrero 2018
La carne de cerdo es una de las más producidas a nivel mundial. Cifras de la Confederación de Porcicultores Mexicanos (PORCIMEX) estiman que la producción fue 108,4 y 110,5 millones de toneladas en 2013 y 2014, respectivamente lo que refleja un aumento de 2,3% en dicho periodo. En el 2015 la producción mundial de carne porcina fue 110,9 millones de toneladas, con un incremento de 0,3% con respecto al 2014 (PORCIMEX, 2016a).
En 2015, el principal productor mundial de carne de cerdo fue China, con 56,6 millones de toneladas, le siguió la Unión Europea con 23,5 millones, y en tercer lugar, Estados Unidos de América (EEUU) con 11,3 millones de toneladas (PORCIMEX, 2016a). La carne de cerdo es la de mayor consumo en el mundo. En Hong Kong y China, el consumo per cápita es 67,7 y 42,5 kg al año, mientras que, en México es 16,7 kg (PORCIMEX, 2016a).
En México, 5800 productores se dedican a la producción de carne de cerdo; esta actividad ha ocupado siempre una posición importante en la producción de carne de las especies pecuarias de interés económico. Reportes oficiales (PORCIMEX, 2016a) señalaron incrementos en su volumen de 0,5% entre 2013 y 2014, crecimiento inferior al del Producto Interno Bruto (PIB), al pasar de un 1 200 000 toneladas a 1 206 000 y 2,4% entre 2014 y 2015, al pasar de un 1 290 000 toneladas a un 1 320 000 (SIAP, 2016a)
En 2015, México aportó 1,3 millones de toneladas a la producción mundial (1,2%) y en 2016 colaboró con cerca de 1,4 millones de toneladas, posicionándose en el lugar décimo sexto. Por entidad federativa, en 2016, Jalisco, Sonora, Puebla, Yucatán, Veracruz, Guanajuato y Michoacán, fueron los principales productores, aportaron 898 900 toneladas (65,9% del total nacional) (PORCIMEX, 2016a; SIAP 2016a).
El consumo nacional aparente (CNA) (en 2015) fue 2,1 millones de toneladas, equivalente a una disponibilidad per cápita de 6,2 kg (SNIIM, 2016; PORCIMEX, 2016a); las principales entidades federativas consumidoras de carne porcina fueron la Ciudad de México (CDMX) y el Estado de México. El CNA, consiste de producción interna más las importaciones menos las exportaciones o ventas externas, ha mantenido una brecha constante y alineada a la producción nacional, sobre todo en los últimos veinte años, poco después de la apertura comercial en 1988 (Velázquez-Villalba et al., 2016); sin embargo, en esos años, la producción interna casi se colapsó, dando paso a excesivas importaciones, mismas que han representado una fracción importante del consumo nacional. Por ejemplo, en 1988 las compras externas fueron de 31 000 toneladas, pero en 2015 fueron poco más de 800 000. Esto obedeció al crecimiento en el número de consumidores, cambios en patrones de consumo, gustos y preferencias y movimientos en el ingreso per cápita, entre otros (Sosa et al., 2017).
En el ámbito macroeconómico, depreciaciones sucesivas (Alonso y Rodríguez, 2017), pero moderadas, del peso frente al dólar, poca disparidad en precios internacionales, inflación en México controlada, y alta producción de carne de cerdo en Estados Unidos, principal proveedor de México, han sido causa de incremento en el volumen de carne porcina que el país compra (Tinoco, 2004; PORCIMEX, 2016b). Tales compras se vinculan a la producción nacional, misma que está sujeta a un esquema de costos de producción (Martínez y da-Silva, 2016), producto de compra de insumos como sorgo (Rebollar-Rebollar et al., 2016) y soya, que se importan de Estados Unidos y movilización interna que, en cierta manera, encarecen el producto final y los consumidores reciben el mayor efecto de este mercado, pagando precios de la carne más altos.
De 1997 a 2015, con el control de la inflación y la estabilidad monetaria en México, ha crecido la población porcina, pero sin alcanzar el nivel de producción de 1984 (1,4 millones de toneladas), ya que en 2015 la producción fue de 1,3 millones de toneladas (PORCIMEX, 2016a). La apertura comercial de 1988 propició una depuración de la actividad, estimándose un retiro y cierre de granjas en aproximadamente 40%; situación que produjo cambios en los estratos de producción. Por ejemplo, el semitecnificado disminuyó su participación en la producción nacional de 50 a 15%, mientras que, el tecnificado aumentó su participación de 20 a 57%; el de traspatio se ha mantenido estable (Hernández et al., 2008).
En México, el mercado porcino, al igual que el de otras especies pecuarias de interés económico, no es ajeno al efecto que ciertas variables macroeconómicas tienen sobre él; por ejemplo, cuando hay depreciación de la moneda mexicana, las importaciones se encarecen y se reduce el consumo nacional, por lo que, se incrementa el precio que los consumidores pagan por el producto final en tanto que, esta variable funge como mecanismo de protección en favor de productores internos, pues la depreciación actúa como un impuesto que impacta en la reducción de importaciones. Ello, hace decrecer el bienestar de la sociedad, medido por el valor social neto (VSN).
El objetivo de este trabajo fue evaluar el efecto de dos escenarios de tasa de depreciación cambiaria sobre la producción, el consumo y la importación de carne porcina en canal en México de forma regional en 2015 y 2016. La hipótesis central supone que el VSN, bajo condiciones óptimas, es mayor que el que se obtiene con una depreciación cambiaria. En adición, la depreciación del peso mexicano, reduce las importaciones, incrementa la producción nacional, reduce el consumo nacional de forma regional y reduce el VSN.
Se utilizó un modelo de equilibrio parcial, con programación no lineal (programación cuadrática), sin almacenamiento, cuya función objetivo (función de valor social neto) fue maximizar el área bajo las curvas de demanda, menos el área bajo las curvas de oferta, menos los costos de comercialización, tanto de la carne de cerdo en canal nacional como de la importada, sujeta a un conjunto de restricciones de oferta y demanda. El modelo se aplicó al mercado nacional de la carne de cerdo en canal, con datos observados en 2015. Para ello, con base en Bassols (1999), el país se dividió en ocho regiones productoras y consumidoras (Cuadro 1), más dos puntos de internación de las importaciones, mismos que se agregaron a la matriz de regiones productoras, sumando un total de diez.

Table 1. Producing and consuming regions of pork carcass in Mexico and its entities, 2015.
El punto de internación uno (PI1) se integró por las aduanas de Colombia, ubicadas en el estado de Nuevo León, más las ciudades de Nuevo Laredo y Reynosa pertenecientes al estado de Tamaulipas, y la ciudad de Piedras Negras en el estado de Coahuila. La fuente oficial (SIAP, 2016b) señaló que este primer punto de internación registró el ingreso del 90,1% de la carne importada de carne de cerdo que llegó a los centros consumidores de México.
El punto de internación dos (PI2) se integró por las aduanas de Mexicali y Tijuana en el estado de Baja California, Nogales y San Luis Río Colorado en el estado de Sonora, y Ciudad Juárez en el estado de Chihuahua; por este segundo punto de internación ingresó el 9,9% de la importación de carne de cerdo (SIAP, 2016b). De esta manera, se conformaron diez regiones productoras, ocho fueron internas y dos que se constituyeron por los puntos de internación.
El modelo de equilibrio espacial de precios utilizó ofertas y demandas inelásticas, funcionalmente, dependientes del precio, que en la literatura se conocen como funciones inversas de demanda y funciones inversas de oferta. La función inversa de la demanda, es decir, donde el precio funge como variable dependiente, fue una función de la cantidad demandada, en este caso, como variable independiente (Martínez y Hernández, 2012), para la región i:
Pdi = Pdi(Ydi)= λdi + ωdiYdi; ω < 0
Donde:
Pdi = precio de demanda de carne de cerdo en canal en la región i, en pesos por tonelada
Ydi = cantidad demandada de carne de cerdo en canal en la región i, en toneladas
λ = intercepto de la función de demanda de carne de cerdo en canal para la región i.
ω = pendiente de la función de demanda de carne de cerdo en canal para la región i.
Para la misma región, la función inversa de la oferta fue:
Psi = Psi(Xsi) = Ѵsi + ηsiXSdi; β > 0
Donde:
Psi = precio de oferta de carne de cerdo en canal en la región i, en pesos por tonelada
Xsi = cantidad ofrecida de carne de cerdo en canal en la región i, en toneladas
Ѵ = intercepto de la función de oferta de carne de cerdo en canal en la región i
η = pendiente de la función de oferta de carne de cerdo en canal en la región i.
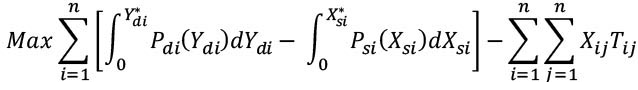
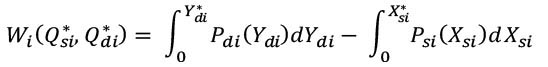
La función de cuasibienestar social para cada región, se definió por el área entre la curva de demanda y el área entre la curva de oferta (donde y son las cantidades óptimas por obtener) [1]:
[1]Al incorporar los costos de transporte entre regiones, la función de bienestar social para las n regiones, fue [2]:
[2]Donde:
Xij = es la cantidad transportada de la región i a la región j ($/t) de carne porcina en canal.
Tij = costo de transporte de la región i a la región j ($/t) de carne de cerdo en canal.
Otros componentes del modelo fueron las restricciones de demanda y las restricciones de oferta. Las primeras requieren que la suma de la cantidad transportada a la región i sea mayor o igual que la demanda de dicha región. Esto es [3]:
[3]para toda i
Las segundas, requirieron que la suma de la cantidad transportada, fuera de la región i, sea menor o igual a la producción total de dicha región [4]:
[4]para toda i
El modelo (Takayama y Judge, 1964) supone la existencia de regiones productoras y consumidoras que comercian un bien homogéneo, que para este caso es la carne de cerdo en canal, mismas que se encuentran separadas por los costos de transporte, pero no aisladas entre sí.
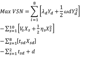
De forma regional, el resultado de la integral de [1], es decir, el modelo matemático, quedó como sigue [5]:
[5]La letra d en esta última ecuación, significa que la depreciación cambiaria se agregó a los costos de transporte.
Información obtenida
La información sobre producción y exportación de carne porcina, se obtuvo por entidad federativa y provino de la Confederación de Porcicultores Mexicanos (PORCIMEX, 2016a); después, se restó la exportación a la producción de los estados que reportaron y se sumó la producción de los estados que integran cada una de las regiones para obtener el volumen regional. La información sobre volúmenes importados se obtuvo de PORCIMEX (2016b), según claves arancelarias y puntos de acceso (aduanas) (SIAP, 2016b).
Para conocer el consumo (demanda) de cada una de las ocho regiones del país, primero se obtuvo la población de cada estado del año 2015, proveniente del Instituto Nacional de Estadística, Geografía e Informática (INEGI, 2015). Esta población se multiplicó por la disponibilidad per cápita reportada para la zona por la Confederación de Porcicultores Mexicanos (PORCIMEX) y fue: norte 5,8 kg, centro 17,4 kg, y sur 29,5 kg (PORCIMEX, 2016a); después, se sumó el consumo de cada uno de los estados que integraron cada región. La Confederación de Porcicultores Mexicanos solo divide al país en esas tres regiones.
El precio regional de cerdo en canal se obtuvo con el precio de cada entidad (PORCIMEX, 2016a) que integró la región, mismo que se ponderó con la producción. El precio del producto proveniente de Estados Unidos hacia los puntos de internación, se obtuvo del Sistema Nacional de Información e Integración de Mercados (SNIIM, 2016).
El costo de transporte dentro y entre regiones, se calculó multiplicando la distancia (en kilómetros) por el costo por kilómetro; las distancias se obtuvieron con la herramienta de la Secretaría de Comunicaciones y Trasportes, punto a punto (SCT, 2016); se consideró cada capital de la entidad federativa como punto de referencia y se ponderaron las distancias en cada región.
El transporte de canales de cerdo es especializado y tuvo un costo por kilómetro de dos dólares, el equivalente a 35 pesos mexicanos en el momento de la investigación (un tipo de cambio de 17,5 pesos mexicanos por dólar estadunidense al 4 de enero de 2016), el cual se obtuvo de forma directa a través de una entrevista realizada a una empresa particular que realiza servicios de transporte de carga especializada.
En las ecuaciones de oferta y demanda regionales de carne de cerdo, se utilizaron elasticidades precio de la demanda y precio de las ofertas regionales inelásticas reportadas por Rebollar et al. (2014), y para los puntos de internación se consideraron las elasticidades nacionales reportadas por Pérez et al. (2010). Las funciones precio-cantidad se calcularon como lo indicaron Alston et al. (1995) y Kawaguchi et al. (1997).
Mediante la utilización de información (datos) sobre la carne de cerdo regional y en canal para México, proveniente de fuentes oficiales, primero se obtuvo el modelo base, conocido como modelo óptimo, y sus resultados, tanto a nivel regional como nacional, sobre la producción, el consumo y las importaciones, así también el VSN. Una diferencia porcentual de estimación entre el modelo y los datos observados menor al 10% ya se considera como aceptable para realizar el análisis de política. Si tal diferencia resulta negativa/positiva, entonces el modelo subestima o sobreestima los resultados. Una vez que se obtuvo el modelo óptimo, se procedió a realizar la estimación del efecto de los escenarios de depreciación del tipo de cambio sobre dicho mercado.
El porcentaje de depreciación se aplicó al costo por tonelada transportada de las importaciones o sobre el costo de transporte del producto en los puntos de internación. Por ejemplo, para el modelo base el costo de la carne de cerdo importada que se consideró fue 1,6 dólares estadounidenses (USD) por kilogramo (obviando proyecciones de incremento en costos de producción internos, producto del aumento en el precio de los insumos por la nueva situación económica de México en 2017: tipo de cambio e incremento en el precio de la gasolina), mismo que se sumó al costo de transporte de los puntos de internación uno y dos.
Las tasas de depreciación que se utilizaron fueron de tipo anual del 15,1% (enero a diciembre de 2015) y el procedimiento fue el siguiente: el costo de la carne de cerdo importada que se menciona en este trabajo fue 1,6 USD por kilogramo y, al agregarle 15,1%, representó un aumento de 0,2 USD por kilogramo, y un nuevo precio de 1,8 USD por kilogramo, equivalente a 236,4 USD por tonelada, que se le suman al costo de transporte de la carne importada de los dos puntos de internación. Por ejemplo, el modelo base consideró un costo de transporte del PI1 a la región NO de 423,1 dólares por tonelada, por tanto, con el primer escenario, ahora el dato que se consideró fue 423,1 USD + 236,4 USD= 659,5 USD por tonelada y así sucesivamente, para las regiones norte, noreste, centro-occidente, centro-este, sur, oriente y península; el cálculo fue similar para el escenario dos. La segunda tasa de depreciación del peso (escenario dos) que se utilizó fue la anualizada enero 2016-enero 2017, de 20,9% equivalente a 0,3 USD por kilogramo (327,3 USD por tonelada de carne importada); esto es, 1,8 USD por kilogramo de carne importada. El resto de las regiones permaneció igual.
Toda la información secundaria se procesó y los resultados, tanto del modelo base como del análisis de los dos escenarios del tipo de cambio, se obtuvieron con el procedimiento MINOS, contenido en el software del lenguaje de programación GAMS (General Algebriac Modeling System), versión 24.4.2 para Windows 8, Office 2013 y con base en Rosenthal (2008).
Al realizar el contraste de los datos observados (Cuadro 2), esto es, la información oficial del Gobierno, con los resultados del modelo de optimización, llamado modelo base o modelo óptimo; este último subestimó a la producción nacional y regional en 0,4% e indica que el volumen nacional de producción óptima fue menor al observado en 4655 toneladas. El resultado del modelo óptimo fue, suficientemente cercano a lo observado en ese año (2015), por lo que las conclusiones que de él se deriven deben considerarse aceptables, así como recomendaciones sobre aplicación de diversos escenarios de política.

Table 2. Production, consumption and imports of carcass pork in Mexico, under optimal conditions. Mexico. 2015.
El modelo sobreestimó el consumo nacional y regional en 0,8%, al pasar de 2 100 500 de toneladas como lo observado en 2015 a 2 117 700 de toneladas dadas por el modelo base. Adicionalmente, el modelo sobreestimó a las importaciones de carne en canal en 2,5%, pues el dato observado fue menor que el dado por el modelo equivalente a 2 189 100 toneladas.
Bajo condiciones óptimas dadas por el modelo, una alternativa de política pecuaria en favor del bienestar social podría sugerir una reducción regional en la producción de carne de cerdo en canal. La maximización del VSN, implicaría que, de forma específica, las regiones centro-occidente, centro-este y la noroeste tendrían que equilibrar sus volúmenes de producción, equivalente a una reducción de 339, 1020 y 186 toneladas. Tal política habría de traducirse en un aumento del consumo nacional (producción más importaciones) de carne de cerdo en canal de 0,8% (17 255 toneladas).
El modelo lo que hace es generar una redistribución de las tres variables del mercado, que se considera como óptima, una vez que el valor social neto fue superior al observado en 72 millones de USD. Dicha redistribución geográfica, significa, por un lado, reducir en términos no significativos la producción nacional, pero aumenta el consumo total, tanto nacional como en cada una de las regiones; esto equivale a un incremento en el nivel de bienestar social regional.
La disminución en producción nacional de carne en canal de cerdo, se resolvería incrementando en casi 21 900 toneladas las importaciones, sugeridas por el modelo, con el fin de compensar el decremento en la producción. Todo ello, debido a que el modelo lo que maximiza es el precio de las importaciones y el del producto doméstico del nivel observado a uno óptimo; las regiones que tendrían un incremento mayor en su consumo de carne de cerdo en canal serían la centro-occidente, centro-este y la norte (Cuadro 2).
Los efectos de la depreciación del tipo de cambio, entendida en este trabajo como depreciación del peso mexicano, sobre el mercado de la carne de cerdo en canal (Cuadro 3), se centraron en un aumento de producción de carne en cada una de las regiones, así como en el volumen nacional. Las importaciones en cada uno de los puntos de internación y el consumo por región descendieron debido a la depreciación cambiaria.

Table 3. Effects of the Mexican peso depreciation on the carcass pork market. Mexico. 2016.
Así, el efecto de la pérdida de valor del peso mexicano de 15,1%, respecto a la divisa norteamericana, resultó en un aumento de la producción nacional equivalente a 3543 toneladas de carne; sin embargo, con referencia al 15,1%, cuando el peso mexicano pasó a 20,9% en su pérdida de valor, la producción de carne de cerdo en canal cambió de 1 223 900 a 1 224 900 toneladas; el consumo nacional se redujo de 2 107 900 a 2 104 300 toneladas y las importaciones totales pasaron de 884 000 a 879 300 toneladas (Cuadro 3); por lo que a mayor pérdida de valor de la moneda en referencia, mayor es la protección a la producción nacional de esta carne.
Con referencia al modelo base o modelo óptimo visto en la primera columna del Cuadro 3, el primer escenario de tasa de depreciación del peso mexicano generó una redistribución del mercado de esta carne en cada una de las regiones en las que se conformó el país (Cuadro 4). En condiciones óptimas, la región noroeste (NO) habría de incrementar su producción a 193 600 toneladas de carne de cerdo en canal; de estas, 41,5% se consumía en la misma región y la diferencia (113 200 toneladas) se enviaría a la región centro-oeste, de forma similar con el resto de las regiones (Cuadro 4).

Table 4. Pork carcass distribution (in tons) with depreciation 15.1%. México. 2015.
Al 20,9% (Cuadro 5) de pérdida de valor del peso mexicano, frente al dólar estadounidense, nuevamente la carne de cerdo en canal se redistribuye en volúmenes distintos con relación al 15,1% y al modelo base. Ante este escenario de depreciación cambiaria, todas las regiones consumen y envían el producto a otras regiones donde son insuficientes; por ejemplo, la región Norte envía toda la producción (33 200 toneladas) a la Centro-este, debido a que la condición de maximización del VSN, bajo este escenario, así lo indica. Lo mismo sucede con el resto de las regiones.

Table 5. Pork carcass distribution (in tons), with depreciation 20.9%. Mexico. 2016
Con base en los resultados del modelo base (modelo óptimo), los escenarios vistos como simulaciones de política cambiaria, al realizar el análisis de la depreciación del peso mexicano, sobre las importaciones que México realizó en el periodo de estudio y al observar el efecto de tal política sobre el mercado mexicano de la carne de cerdo, se observó que una depreciación del tipo de cambio, por un lado, actúa como un mecanismo de protección a la producción nacional y regional; por otro, como desprotección al consumo interno, afirmación que converge con Bobadilla-Soto et al. (2010).
La simulación del 15,1% anual durante 2015, que fue lo sucedido en el país como tasa de depreciación del peso mexicano, significó un aumento en producción nacional de la carne de cerdo en 0,3%, equivalente a 3543 toneladas (Cuadro 3), misma que se distribuyó entre todas las regiones (Cuadro 4). La política impactó positivamente en regiones con mayor dinamismo en la producción de carne de cerdo, como en la centro-occidente (Aguascalientes, Colima, Jalisco, Guanajuato y Michoacán), centro-este (Ciudad de México, Hidalgo, Estado de México, Morelos, Puebla y Tlaxcala) y noroeste (Baja California Sur, Baja California, Sonora, Sinaloa y Nayarit) (Cuadro 3).
Las regiones mencionadas casi siempre son las que tienen mayor dinamismo en la producción regional de carne de cerdo y, ante políticas comerciales, como la que se analiza, es más notorio el efecto (Graue, 2006; Rebollar-Rebollar et al., 2015). Al respecto, Velázquez-Villalva et al. (2016) hallaron resultados similares a los de este trabajo, pues en su estudio con un arancel de 15%, la producción nacional, importaciones, consumo de carne de cerdo y el VSN, presentaron un comportamiento similar al de este documento.
Con el mismo escenario de depreciación cambiaria, el volumen de importaciones se habría reducido en 1,5%, equivalente a 13 332 toneladas de carne, de estas el 90,1% (12 017 toneladas) se habrían dejado de importar por el punto de internación uno y el 9,9% por el punto de internación dos. Este resultado converge con el hallazgo de Bobadilla-Soto et al. (2010), quienes coincidieron en que la depreciación cambiaria sobre el mercado porcino, reduce y encarece las importaciones, situación que favorece exportaciones al volverse atractivas para los mismos importadores.
De acuerdo con los resultados del modelo base, la depreciación de 15,1%, redujo el consumo nacional de esta carne en 9809 t (0,5%). De esta reducción, el efecto mayor recae en los consumidores; el mercado de este producto fue más sensible en consumo que en producción nacional, perjudicó más a consumidores con relación al beneficio que generó en productores.
Uno de los argumentos de teoría económica que ayuda a explicar tal efecto, se debe al uso de demandas y ofertas regionales inelásticas (Rebollar-Rebollar et al., 2015); cuando la demanda y la oferta son inelásticas (magnitudes de la elasticidad, menores a la unidad) (Parkin y Loría, 2015), una política comercial, como el caso de la depreciación del peso mexicano (que en otras palabras, la depreciación funge como una especie de subsidio que otorgaría el mercado cambiario, en beneficio de la producción nacional) el efecto mayor en este mercado lo sufren los consumidores.
Las regiones en las que se observó la magnitud de la reducción del consumo, producto de la política, fueron la centro-este, centro-occidente y sur (Chiapas, Oaxaca, Guerrero), en tanto que la región noreste (Nuevo León y Tamaulipas), noroeste y península de Yucatán (Campeche, Yucatán y Quintana Roo), no se vieron afectadas de forma significativa. El valor social neto, por esta política, redujo su valor en 0,10% (22 millones de USD), propiciada por la reducción mayor en el consumo; esto es, el bienestar de la sociedad tiene relación inversa con la depreciación cambiaria (Cuadro 4).
A medida que el peso mexicano se deprecia con relación a su divisa de análisis (el dólar estadounidense), se protege más a la producción nacional de carne de cerdo. En 2016, el peso mexicano se depreció 20,9%, ello se tradujo en una protección mayor en favor de la producción nacional de carne de cerdo. Así, al relacionar los resultados del modelo óptimo con los del escenario al 20,9% de depreciación cambiaria, se espera que, bajo las condiciones planteadas en esta investigación, la producción regional-nacional experimente un incremento en el volumen producido de 4549 toneladas (0,4%), equivalente al nivel de protección por efectos de la política; este hallazgo es similar al de Velázquez-Villalva et al. (2016), quienes evaluaron el efecto de un arancel de 20%. En tanto que, las importaciones se tradujeron en un descenso equivalente a 2% y el consumo regional-nacional en 0,6%; esto es, el efecto negativo, en el mediano plazo, lo recibirían los importadores y consumidores (Cuadro 3).
Todas las regiones habrían de reducir su consumo por efecto de una depreciación más alta (escenario dos) y reducción del volumen importado. Es de esperarse que los consumidores se enfrenten a situaciones de precios más elevados debido al efecto de la política. Si bien, el efecto de la política haría disminuir el consumo, se espera que el crecimiento de la población y cambios en gustos y preferencias de los consumidores, mantengan el dinamismo en tal variable (Rebollar et al., 2014; Sosa et al., 2017).
Naturalmente, a mayor depreciación cambiaria, menor es el nivel de bienestar de la sociedad (valor social neto), por lo que, esta política haría decrecer el VSN en 0,13% (29 000 000 USD) (Cuadro 3).
Al 15,1% de tasa de depreciación y con el fin de maximizar el valor social neto a ese nivel de política, habría generado una redistribución tanto de la producción nacional como de las importaciones. Por ejemplo, de toda la producción e importaciones que el modelo asignó de forma regional, la región Noroeste, que recibiría 193 622 toneladas de carne de cerdo en canal, de las cuales 41,5% lo consumiría en la misma región y enviaría el 58,5% a la región centro-oeste.
Las importaciones que entran por el punto de internación uno (798 572 toneladas), se habrían reasignado en 10,7% para la región norte, 6,3% en la noreste, 70,8% en la centro-este y el resto en la región oriente. En el caso de la región península de Yucatán, el modelo sugiere que toda su producción e importaciones se consuman en la misma región (Cuadro 4). El análisis es similar para el resto de las regiones.
En 2016, México permitió una depreciación del tipo de cambio de 20,9%, ante esa política y con el fin de maximizar el valor social neto sugerido por el modelo, por efecto de la política, algunas regiones debieron consumir de forma parcial carne de cerdo en canal y los excedentes haberlos enviado a otras regiones. Tal es el caso de la región centro-oeste, en la que el 58,9% de su total, se habría consumido en la misma región y la diferencia debió haber abastecido a la región centro-este. La península de Yucatán reenvió cero producciones hacia otras regiones, pues 100% de la carne de cerdo en canal que ahí se produjo, se consumió en la misma región. Con tal política, todas las compras externas que se realizaron por el punto de internación dos, debieron consumirse en la región norte (Chihuahua, Coahuila, Durango, San Luis Potosí y Zacatecas) y las que se realizaron por el punto de internación uno, debieron reasignarse en más de la mitad hacia las regiones centro-este, oriente, noreste y norte; y fueron las que presentaron mayor dinamismo tanto en producción como en consumo (Cuadro 5). Tales resultados, fueron similares a los de Rebollar-Rebollar et al. (2015), donde se afirmó que el dinamismo en esas regiones, se debió a mayor especialización, competitividad interregional y mayores y mejores condiciones para la producción.
En las condiciones planteadas, se confirmó que las virtudes del modelo y los resultados que arrojó, sí se acercaron y verificaron la realidad, tanto de la actividad porcina como el impacto monetario favorable para productores y desfavorable a consumidores. La depreciación cambiaria del peso mexicano redujo el bienestar de la sociedad a través de un menor VSN con referencia al modelo óptimo y al nivel observado en el periodo de análisis. La medida de política funge como mecanismo de protección en beneficio de la producción nacional y podría ser viable en favor de ese sector, siempre y cuando, el objetivo gubernamental se encamina a los productores.
samrere@hotmail.com

Table 1. Producing and consuming regions of pork carcass in Mexico and its entities, 2015.

Table 2. Production, consumption and imports of carcass pork in Mexico, under optimal conditions. Mexico. 2015.

Table 3. Effects of the Mexican peso depreciation on the carcass pork market. Mexico. 2016.

Table 4. Pork carcass distribution (in tons) with depreciation 15.1%. México. 2015.

Table 5. Pork carcass distribution (in tons), with depreciation 20.9%. Mexico. 2016