Artículo
Recepción: 11 Enero 2022
Aprobación: 28 Abril 2022
DOI: https://doi.org/10.15517/ri.v32i2.49699
Resumen: Recientemente, la estimación de incertidumbre se convirtió en un requisito metrológico de gran interés para el reporte de inventarios de gases de efecto invernadero en Costa Rica. En este contexto, una guía metodológica del Programa País de Carbono Neutralidad ha surgido como base para el desarrollo local de esta temática. Sin embargo, algunos aspectos de su contenido requieren esfuerzos adicionales que permitan brindar una explicación técnica clara que justifique su implementación. El presente estudio evalúa la validez del uso de factores de corrección ( FC), propuestos por esta guía, que amplían la incertidumbre estándar estimada mediante el ajuste una distribución triangular, en presencia de un intervalo de cobertura del 95 %. Para ello, se simularon 3124 escenarios de distribuciones triangulares utilizando el software estadístico R y se les estimó una incertidumbre estándar considerando que los límites simulados delimitan un intervalo de cobertura al 100 % ( u 100) y un intervalo de cobertura al 95 % ( u 95), evaluando además dos posibles interpretaciones sobre la ubicación de este último. Los FC se estimaron para cuatro grupos como las razones promedio entre u 95y u 100. Se obtuvieron FC entre 1,20 y 1,29, con un valor global de 1,25 y sin presentarse diferencias significativas entre ellos. Estos valores son altamente consistentes con los recomendados en la guía metodológica nacional, comprobando así su validez y aplicabilidad. Finalmente, se sugiere el uso de un único FC igual a 1,25 como aproximación simple y práctica para todos los escenarios evaluados, facilitando su implementación homologada por los usuarios.
Palabras clave: Distribución de probabilidad, distribución triangular, gases de efecto invernadero, incertidumbre, Programa País de Carbono Neutralidad, simulación.
Abstract: Recently, uncertainty estimation has become a metrological requirement of great interest for the reporting of greenhouse gas inventories in Costa Rica. In this context, a methodological guide published by the National Carbon Neutrality Program has emerged as the basis for the local development of this issue. However, additional efforts are still pending to provide a clear technical explanation that justifies the implementation of some aspects of its content. The present study assesses the validity of the use of correction factors ( FC), proposed by this guide, that enlarges the standard uncertainty estimated from a triangular distribution, in the presence of a 95 % coverage interval. To achieve this, 3124 triangular distribution scenarios were simulated using R statistical software. Two standard uncertainties were estimated for each scenario: one considering that the simulated limits delimit a 100 % coverage interval ( u 100) and another considering a 95 % coverage interval ( u 95), with two possible interpretations about the location of the interval for the latter. FC were estimated for four groups as the mean ratio between u 95 and u 100. Results between 1.20 and 1.29 were obtained for FC, with a global value of 1.25 and no significant differences between them. These values are highly consistent with those recommended in the national methodological guide, thus verifying their validity and applicability. Finally, a unique FC equal to 1.25 is suggested as a simple practical approximation for all the evaluated scenarios, easing its implementation by users.Keywords:
Keywords: Greenhouse gases, National Program for Carbon Neutrality, probability distribution, simulation, triangular distribution, uncertainty.
1. Introdcción
Con la publicación de las nuevas versiones de las normas ISO 14064-1 [1] e INTE B5 [2], la incertidumbre de medida se convirtió en un tópico metrológico de gran interés para la elaboración de un inventario de gases de efecto invernadero (GEI), ya que estas normas incorporaron su estimación como un requisito obligatorio. En este contexto, a nivel nacional, el Programa País de Carbono Neutralidad (PPCN) incorporó la estimación de incertidumbre como requisito mandatorio y como parámetro de calidad y transparencia para los inventarios de GEI reportados por las organizaciones participantes del programa, dentro de la actualización del PPCN 2.0 en 2018 [3].
La incertidumbre de medida, o simplemente incertidumbre, es definida como un parámetro que caracteriza la dispersión de los valores atribuibles a una magnitud medida o estimada [4]. En la Guía para la Expresión de la Incertidumbre de Medida (GUM, por sus siglas en inglés) [5], y su respectivo Suplemento 1 [6], se establecen las bases metodológicas generales reconocidas a nivel internacional para su estimación. En el campo específico de los inventarios de GEI, las guías publicadas por el Panel Intergubernamental sobre Cambio Climático (IPCC, por sus siglas en inglés) [7, 8] describen la implementación de las bases de estimación de incertidumbre aplicadas a inventarios nacionales de GEI. A nivel nacional, destaca la Guía Metodológica para la Estimación y Análisis de la Incertidumbre de Emisiones y Remociones de GEI [9], publicada por la Dirección de Cambio Climático (DCC) y el Laboratorio Costarricense de Metrología (LCM) como documento base para el desarrollo local de esta temática, aplicando metodologías consistentes con las referencias internacionales antes citadas. Cabe mencionar que existe una diferencia a considerar entre las metodologías expuestas en las guías de IPCC y la guía metodológica nacional. La referencia nacional aplica fielmente los principios de la GUM, estimando y propagando las incertidumbres de las variables como incertidumbres estándar, para posteriormente expandir la incertidumbre combinada resultante en forma de un intervalo de cobertura bajo el supuesto de una distribución normal subyacente [9]. Por su parte, las referencias internacionales de la IPCC basan su metodología en la combinación de intervalos de variación, simplificando el proceso general y eliminando la etapa de expansión de incertidumbre [7, 8]. Este último proceso resulta más práctico de implementar, aunque se desvía levemente de los principios de GUM al utilizar intervalos y no desviaciones estándar (incertidumbres estándar) como medidas de variabilidad a combinar. Sin embargo, bajo las circunstancias comúnmente encontradas en el campo de inventarios de GEI y considerando el cumplimiento del teorema de límite central [5, 6], ambas metodologías tienden a generar resultados consistentes entre sí. El presente estudio se enmarca en los principios y la aplicación de la guía metodológica nacional. En este estudio, se analiza un edificio de cinco plantas como caso de estudio. Para la realización de los análisis dinámicos, se utilizan cuatro acelerogramas con diferentes características, condiciones de sitio, magnitud y duración. Estos registros fueron ajustados a diferentes espectros de diseño objetivo, obteniendo acelerogramas, cuyos espectros de respuesta son equivalentes. Para esto, se toma de referencia el EC-8, debido a que, el edificio analizado está localizado en Lorca, España. Posteriormente, fueron realizados los ADNL con los acelerogramas ajustados y se obtuvo el índice de daño (ID) de Park y Ang [7] para realizar un análisis comparativo. Los resultados de estos análisis buscan resaltar la importancia de considerar estas características de las acciones sísmicas en el diseño o evaluación estructural mediante ADNL.
Como parte de las estrategias utilizadas en todas estas referencias, las magnitudes de interés son tratadas como variables aleatorias, de manera que puedan ser descritas a través de distribuciones de probabilidad que a su vez se utilizan para estimar su variabilidad asociada o sus intervalos de variación, es decir, su incertidumbre estándar y su incertidumbre expandida [5,6]. Dentro de las distribuciones más comunes, sobresale la distribución triangular. Esta distribución, como su nombre lo indica, consiste en un triángulo y es caracterizada por tres parámetros: su moda o valor más probable f (correspondiente al punto más alto del triángulo), su valor extremo o límite inferior A y su valor extremo o límite superior B. De esta forma, se espera que dentro del intervalo comprendido entre los límites A y B, denominado intervalo de cobertura, se encuentre el 100 % de todos los posibles valores de la magnitud de interés. En la Fig. 1 se presenta un ejemplo de una distribución triangular.

A partir de estos parámetros es posible estimar la varianza de la distribución triangular, cuya raíz cuadrada corresponde a la incertidumbre estándar u de la variable caracterizada por esta distribución. En la ecuación (1) se muestra la estimación de u para una distribución triangular [9].

Sin embargo, en el campo de los inventarios de GEI, específicamente para los factores de emisión, muchas veces la información disponible corresponde a límites que abarcan el 95 % del rango de variación total de la magnitud de interés (intervalo de cobertura del 95 %), y no a los límites de la totalidad del rango de variación (intervalo de cobertura del 100 %), como es requerido para el ajuste tradicional de una distribución triangular. Ante esta situación, [9] recomienda el uso de factores de corrección para compensar esta diferencia y ampliar la estimación resultante de aplicar la ecuación (1) con la información disponible. Estos factores corresponden a valores de 1,29 para distribuciones triangular simétricas y 1,27 para distribuciones triangular asimétricas [9], sin brindar mayor información sobre su origen, validez o rangos de aplicación que justifique científicamente y metrológicamente su implementación.
Por este motivo, el presente estudio busca evaluar la validez y aplicabilidad del uso de uno o varios factores de corrección, como los utilizados en la guía metodológica nacional, que permiten ampliar la incertidumbre estándar estimada mediante el ajuste una distribución triangular a partir de un intervalo de cobertura del 95 %. Para lograr este objetivo, se utilizan estrategias de simulación numérica y ajuste de distribuciones de probabilidad. Se espera que el presente estudio pueda cimentar las bases que justifican el uso de factores de corrección para distribuciones triangulares y facilitar la estimación de incertidumbres asociadas con los factores de emisión de GEI y otras magnitudes que puedan presentar situaciones particulares similares a las abordadas.
2. Metodología
2.1 Base de datos y software
Como se mencionó anteriormente, para lograr la estimación de incertidumbres mediante el ajuste de una distribución triangular, se requiere un valor central y dos valores extremos que delimiten la distribución. Las diferentes combinaciones de estos valores definen la forma y comportamiento que tendrá el triángulo evaluado. Para el presente estudio se simularon diferentes combinaciones de valores centrales y valores extremos que abarcaron una amplia gama de posibles escenarios. Los valores centrales f considerados incluyeron 11 diferentes datos comprendidos entre 0.01 y 10. Por su parte, los valores extremos inferiores se definieron en función del valor central, restando entre el 5 % y el 100 % de dicho valor, mientras que los valores extremos superiores se definieron de forma homóloga, sumando entre el 5 % y el 200 % del valor central. La diferencia se basa en que los factores de emisión de GEI no pueden ser menores a -100 % de su valor (negativos), pero sí pueden tener valores superiores a +100 % de su valor. Esta situación responde a que los factores considerados cuantifican cantidades de gas emitidas, y dado que físicamente las cantidades de sustancia (gas) no pueden ser menores a 0, factores negativos implicarían cantidades “removidas” en lugar de “emitidas”, cambiando su definición e interpretación teórica. Por su parte, el valor de 200 % se definió debido a que los intervalos de incertidumbre (variación) de los factores de emisión de GEI publicados en la lista nacional oficial por el Instituto Meteorológico Nacional (IMN) [10] tienen este valor como límite superior máximo. En la Fig. 2 se muestran todas las 284 combinaciones de límites inferiores y superiores consideradas para cada uno de los 11 valores centrales. De esta manera, se generó una base de datos con 3124 diferentes escenarios, cada uno de los cuales corresponde a una distribución a evaluar.

Para la generación de la base de datos y la ejecución de todos los cálculos en el presente estudio, se utilizaron funciones del software estadístico de libre acceso R, versión 4.1.2 [11].
2.2 Estimación de incertidumbres estándar
Para cada una de las distribuciones evaluadas (escenarios simulados), se estimaron dos incertidumbres estándar. La primera incertidumbre, denotada como u 100, considera que los valores extremos simulados corresponden a los límites que abarcan el 100 % de los valores de la distribución. En otras palabras, que estos valores extremos delimitan el inicio y final de la distribución, o que representan un intervalo de cobertura del 100 %. Para la estimación de u 100 se aplica directamente de la ecuación (1), donde los valores extremos corresponden a los valores de A y B, y el valor central considerado para la simulación corresponde al valor más probable f ( Fig. 1).
La segunda incertidumbre estándar, denotada como u 95, considera que los valores extremos simulados corresponden a los límites de un intervalo que abarca el 95 % de los valores de la distribución. Es decir, que los valores extremos representan un intervalo de cobertura del 95 %. Para diferenciarlos de los límites al 100 % (A y B), estos límites al 95 % se denotan como U L (límite inferior) y U R (límite superior). A partir de U Ly U R, se proyectan los límites que corresponderían al intervalo de cobertura del 100 %. Estos límites proyectados se denotan como A’ y B’ ( Fig. 3). Finalmente, se aplica la ecuación (1) para estimar la incertidumbre estándar u 95, considerando nuevamente al valor central usado para la simulación como f y los límites proyectados A’ y B’ como A y B respectivamente. Las metodologías utilizadas para la proyección y estimación de los límites A’ y B’ se detallan a continuación.

2.2.1 Estimación de límites proyectados A’ y B’
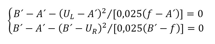
Para la estimación de los límites proyectados A’ y B’, se consideraron dos interpretaciones sobre el establecimiento o ubicación del intervalo al 95 % ( Fig. 3a y 3b). La primera interpretación, correspondiente al enfoque simétrico tradicional (proyección simétrica), parte de que el 5 % restante de la distribución se divide en un 2,5 % por debajo de U Ly un 2,5 % por encima de U R (triángulos rojos en la Fig. 3a). Esta puede considerarse cuando la variable de interés no tiene restricciones en sus posibles valores o sólo puede tener valores positivos pero el límite inferior U L se encuentra lo suficientemente lejos del 0 como para que el 2,5 % de los valores por debajo del U L no incluya valores negativos. Esto último es aplicable para la mayoría de los casos encontrados en la literatura para factores de emisión de GEI, los cuales, por su naturaleza, no pueden tener valores negativos. De esta manera, los valores de A’ y B’ pueden ser estimados geométricamente a partir del área de los dos triángulos formados por fuera del intervalo de cobertura del 95 %, mediante la solución del sistema mostrado en la ecuación (2) [12, 13].

Para la solución de este sistema de ecuaciones, se aplicaron los métodos de Broyden y Newton [14] incluidos en el paquete nleqslv de R [15]. Esta primera interpretación se utilizó de forma generalizada para la totalidad de los 3124 diferentes escenarios simulados.
La segunda interpretación, correspondiente al enfoque asimétrico no tradicional (proyección asimétrica), parte de que el 5 % restante de la distribución se encuentra en su totalidad por encima de U R (triángulo rojo en la Fig. 3b). Esta puede considerarse cuando la variable de interés sólo puede tener valores positivos y el límite inferior U L es muy cercano o igual a 0, por lo que la distribución no debería incluir valores por debajo de U L ya que podrían implicar la presencia de valores negativos asociados a la variable de interés. Esta situación puede presentarse para algunos factores de emisión de GEI encontrados en la literatura, por lo que se considera pertinente su inclusión en el presente estudio. De esta manera, el valor de A’ correspondería al mismo valor de U L, mientras que el valor de B’ puede ser estimado geométricamente a partir del área del triángulo formado por fuera del intervalo de cobertura del 95 %, mediante la solución de la ecuación (3).

Para la solución de esta ecuación cuadrática, se aplicó el algoritmo de Jenkins-Traub [16] incluido en la función polyroot en el paquete base de R [11]. Esta segunda interpretación se utilizó para los escenarios simulados que presentaron inconsistencias en la solución del sistema mostrado en la ecuación (2) o en su interpretación.
2.3 Estimación de factores de corrección
Finalmente, para lograr la evaluación de la validez de los factores de corrección abordados en el presente estudio, es necesario establecer su metodología de estimación como una relación entre las incertidumbres estándar estimadas u 95 y u 100. La relación propuesta se muestra en la ecuación (4), donde FC corresponde al factor de corrección de interés.

De forma concordante con los lineamientos de [6], los factores de corrección FC se estiman como el promedio simple de las razones entre los valores simulados de u 95 y u 100 para todos los escenarios evaluados. Así mismo, sus respectivas incertidumbres estándar e intervalos de cobertura al 95 % se estiman a partir de las desviaciones estándar y percentiles 2,5 % y 97,5 % de las mismas razones entre los valores simulados de u 95 y u 100 utilizando las funciones por defecto del paquete stats de R [11].
Finalmente, para evaluar la comparabilidad de los factores de emisión FC estimados, se procedió a calcular la diferencia entre las poblaciones simuladas. Debido a las inequidades en los tamaños poblacionales, se decidió generar una muestra aleatoria de 1000 datos para cada FC mediante el uso del remuestreo con reemplazo o bootstrap, una clase de método de Monte Carlo que suele ser usado para estimar la distribución de una población mediante remuestreo de una muestra observada de datos finitos [17, 18]. Para ejecutar los muestreos con reemplazo se utilizaron funciones incluidas en el paquete dplyr de R [19]. A partir de los resultados obtenidos de las diferencias entre las muestras generadas, se evaluó la presencia del 0 dentro de los intervalos de cobertura al 95 % estimados a partir de los respectivos percentiles 2,5 % y 97,5 %. En caso de evidenciar dicho elemento nulo en los intervalos, se concluye que no existen diferencias significativas entre los FC contrastados.
3. Resultados y discusión
El Cuadro I muestra un resumen estadístico de las incertidumbres estimadas u 100 a partir de la ecuación (1) para todos los 3124 casos evaluados. Para facilitar su presentación e interpretación, estas se presentan en forma porcentual, relativa con respecto al valor central f.

Para el caso de las incertidumbres u 95, inicialmente se aplica la ecuación (2) para todos los casos simulados para estimar los valores de A’ y B’, siendo la interpretación simétrica tradicional del intervalo de cobertura al 95 %. Sin embargo, en un 24,3 % de los casos (759 casos) se obtuvieron valores negativos para A’, lo cual corresponde a una inconsistencia para el presente estudio. La Fig. 4 presentan los escenarios en los que se presentó esta inconsistencia, señalados en rojo. En aquellos escenarios sin inconsistencias (2365 casos), los valores obtenidos de la proyección geométrica de A’ y B’ se utilizan en la ecuación (1) para obtener la incertidumbre de interés u 95. Los escenarios pertenecientes a la diagonal mostrada en la Fig. 4 corresponden a distribuciones triangulares simétricas, y constituyen un subgrupo particular de la interpretación simétrica tradicional denominada en este estudio como límites simétricos.

La obtención de valores negativos para A’ se considera inconsistente con la aplicación del presente estudio ya que los factores de emisión de GEI, como se mencionó anteriormente, no pueden ser negativos por definición. Por lo tanto, los límites de su intervalo de variación tampoco pueden presentar valores inferiores a 0. Su presencia era esperable ya que, como se mencionó anteriormente, cuando el límite inferior U Les cercano a 0, la metodología utilizada para la proyección geométrica de A’ puede generar valores negativos. De acuerdo con la Fig. 4, estos valores negativos se presentan en casos con U L entre -75 % y -100 % del valor central f. Para la reevaluación de los 759 casos inconsistentes, se aplica la ecuación (3) para estimar el valor proyectado de B’ y se asume A’ = U L para realizar la estimación de u 95 mediante el uso de la ecuación (1).
El Cuadro II muestra un resumen estadístico de las incertidumbres estimadas u 95 a partir de la ecuación (1) para los 2365 casos evaluados (75,7 %) con el uso de la ecuación (2) (interpretación simétrica tradicional del intervalo de cobertura al 95 %) y para los restantes 759 casos evaluados (24,3 %) con el uso de la ecuación (3)(interpretación asimétrica no tradicional del intervalo de cobertura al 95 %). Para facilitar su presentación e interpretación, estas se presentan en forma porcentual, relativa con respecto al valor central f. La base de datos completa, con las estimaciones de u 100, A’, B’, u 95 y la razón entre u 95 y u 100( FC), se incluye dentro del material suplementario del presente estudio.

Al comparar los resultados de los Cuadros I y II, se destaca que los valores de u 95 son mayores que u 100 en general, por lo que se espera obtener estimaciones de FC > 1 en todos los casos, según la ecuación (4). Adicionalmente, en el Cuadro II destaca que los estadísticos asociados con las u 95 estimadas con la proyección asimétrica parecen ser mucho mayores que aquellos asociados con proyección simétrica. Esto era de esperarse, ya que el enfoque asimétrico se empleó únicamente en casos con límites inferiores amplios (cercanos a 0), lo que implica intervalos de variabilidad amplios y, por tanto, incertidumbres elevadas. Por otro lado, el enfoque simétrico se utilizó tanto para límites inferiores amplios como reducidos, abarcando una mayor gama de incertidumbres, entre ellas incertidumbres reducidas. Así, en realidad ambos grupos de incertidumbres representan escenarios de evaluación distintos.
Una vez estimadas todas las incertidumbres u 100 y u 95, se pasa a la estimación del factor de corrección FC como la razón promedio entre la segunda y la primera incertidumbre, utilizando los poblaciones de datos resultantes del proceso de simulación. Esta estimación se realiza en cuatro grupos para enriquecer el análisis y favorecer la comparación con los factores incluidos en [9]. Los resultados de estas estimaciones, así como sus respectivas incertidumbres estándar e intervalos de cobertura al 95 %, se presentan en la Fig. 5, donde claramente se evidencia la obtención de FC >1 en todos los casos, como era de esperarse según lo mencionado con anterioridad.

El primer grupo (amarillo) corresponde a los escenarios con distribuciones triangulares completamente simétricas (límites simétricos), es decir, aquellas en las que la distancia entre f y U Res igual a la distancia entre U Ly f. Este grupo se encuentra conformado por un 5,3 % de los casos (165 casos) y es concordante con la clasificación de “ distribuciones triangulares simétricas” utilizada en la guía metodológica nacional. De acuerdo con la Fig. 5, para este grupo el FC estimado es igual a 1,29, valor exactamente igual al expuesto en la referencia [9]. Cabe señalar que su incertidumbre estándar e intervalo de cobertura al 95 % son prácticamente nulos, ya que en estos casos se mantiene una proporcionalidad prácticamente constante entre u 95y u 100, haciendo que los valores estimados de FC prácticamente no cambien entre sí.
El segundo grupo (azul) corresponde a los escenarios con proyecciones de A’ y B’ a partir de la proyección simétrica del intervalo de cobertura al 95 %, los cuales incluyen a la totalidad del primer grupo. Como se mencionó antes, este grupo se encuentra conformado por un 75,7 % de los casos (2365 casos) y abarca la clasificación de “ distribuciones triangulares asimétricas” utilizada en la guía metodológica nacional. De acuerdo con la Fig. 5, para este grupo el FC estimado es igual a 1,27, valor equivalente al expuesto en la referencia [9]. Aunque presenta una incertidumbre reducida, se evidencia una ligera tendencia asimétrica del intervalo de cobertura al 95 % con respecto al valor promedio, comportamiento que se repite en los demás FC.
El tercer grupo (rojo) corresponde a los escenarios con proyecciones únicamente de B’ a partir de la proyección asimétrica del intervalo de cobertura al 95 %. Este grupo contiene un 24,3 % de los casos (759 casos) y no se encuentra incluido en la guía metodológica nacional [9], por lo que no existe un parámetro de comparación contra esta referencia. Para este grupo, el FC estimado es igual a 1,20, correspondiente al valor más bajo estimado entre todos los FC. Además, su incertidumbre estándar e intervalo de cobertura al 95 % corresponden a los valores más elevados presentados, lo cual es un reflejo de los intervalos de variabilidad amplios presentados por los escenarios considerados en este grupo, lo que a su vez eleva el nivel de asimetría del intervalo de cobertura con respecto al promedio.
Finalmente, el cuarto y último grupo (negro) corresponde a todos los escenarios evaluados, es decir, a la combinación global de los tres grupos anteriores y contiene el 100 % de los casos (3124 casos). Para este grupo, el FC estimado es igual a 1,25. Su incertidumbre e intervalo de cobertura al 95 % presenta una clara influencia del tercer grupo de análisis, pero al incorporar el segundo grupo con valores mayores y menos variabilidad, la distribución observada se vuelve mucho más asimétrica, con un valor promedio más cercano al valor superior del intervalo de cobertura.
De esta forma, todos los FC estimados presentan valores entre 1,2 y 1,3, dándose la mayor diferencia entre el primer y el tercer grupo considerados. Aunque podría considerar el uso de un factor de corrección distinto dependiendo del escenario evaluado dadas las diferencias observadas entre los grupos, es claro que existe concordancia numérica entre todos los factores de corrección estimados por la metodología aplicada en el presente estudio. La evaluación de la comparabilidad entre los FC mediante la estimación de intervalos de cobertura al 95 % para sus poblaciones simuladas se muestra en la Fig. 6. Todos los intervalos evaluados incluyen el 0 (elemento nulo), por lo que puede concluirse que no existe diferencia significativa entre las poblaciones de los factores de corrección FC. Debe recordarse que el escenario de límites simétricos (Lim. Sim.) corresponde a un caso particular del escenario de proyección simétrica de los límites (Proy. Sim.), por lo que no se considera necesario hace la comparación del primero con los resultados del escenario de proyección asimétrica de los límites (Proy. Asim.).

De esta forma, puede considerarse que el FC de 1,25 obtenido para el cuarto grupo (global) describe, de muy buena manera, la proporcionalidad general observada entre u 100 y u 95, representando una opción práctica aplicable para estimar la incertidumbre estándar de una distribución triangular cuando se conoce únicamente el intervalo de cobertura al 95 %, como es el caso para muchos de los factores de emisión de GEI disponibles en la literatura.
4. Conclusiones
En el presente estudio se logró la replicación de los factores de corrección, propuestos por la Guía Metodológica para la Estimación y Análisis de la Incertidumbre de Emisiones y Remociones de GEI, para ampliar la incertidumbre estándar estimada mediante el ajuste de una distribución triangular a partir de un intervalo de cobertura del 95 %. De esta manera, se demostró su validez y aplicabilidad, aportando evidencia que justifica su uso como una medida práctica para aproximar la incertidumbre estándar de los factores de emisión de GEI, considerando el ajuste de una distribución triangular en presencia de un intervalo de cobertura al 95 % y no al 100 %.
Adicionalmente, con el presente estudio se logró la evaluación de otros escenarios no considerados en la guía metodológica nacional, y que pueden ser igualmente aplicables para la estimación de incertidumbre de los factores de emisión de GEI u otros mensurandos de interés que puedan ser descritos por medio de una distribución triangular. La evaluación de estos escenarios adicionales aumenta la gama de recursos disponibles para quienes se enfrentan a procesos de estimación de incertidumbre no abordados tradicionalmente por las guías y literatura de referencia en el área.
Finalmente, con los resultados del presente estudio se propone el uso de un único factor de corrección que puede abarcar todos los escenarios e interpretaciones evaluadas. El uso de este único factor de corrección, correspondiente a un valor de 1,25, pretende facilitar aún más la implementación simple y práctica de los procesos de estimación de incertidumbre aplicada en inventarios de GEI. De esta manera, se busca lograr estimaciones homologadas de las incertidumbres estándar asociadas a factores de emisión con intervalos de cobertura al 95 % y a los que puede atribuirse un comportamiento descrito por una distribución triangular, simétrica o asimétrica, sin necesidad de adentrarse en cálculos complejos que aumenten la posibilidad de cometer errores en su proceso de estimación.
Agradecimientos
El autor extiende un agradecimiento al Dr. Bryan Calderón Jiménez, jefe del Departamento de Metrología Química del Laboratorio Costarricense de Metrología, por el apoyo y la revisión técnica del contenido expuesto en el presente documento.
Conflictos de interés: El autor declara no tener conflictos de interés en el desarrollo de esta investigación.
Referencias
Greenhouse gases — Part 1: Specification with guidance at the organization level for quantification and reporting of greenhouse gas emissions and removals. ISO Standard 14064-1, 2018.
Norma para demostrar la Carbono Neutralidad - Requisitos. Norma INTE B5, 2020.
DCC y PMR, “Programa País de Carbono Neutralidad: Categoría Organizacional (Programa País de Carbono Neutralidad PPCN 2.0)”. Dirección de Cambio Climático. https://cambioclimatico.go.cr/wp-content/uploads/2020/04/1-PPCN_Organizacional.pdf (accesado en 26 Nov., 2021).
BIPM, IEC, IFCC, ILAC, ISO, IUPAC, IUPAP y OIML, “VIM – Vocabulario Internacional de Metrología. Conceptos fundamentales y generales, y términos asociados (VIM 2008 con pequeñas correcciones)”. Centro Español de Metrología. https://www.cem.es/sites/default/files/vim-cem-2012web.pdf (accesado en 24 Nov., 2021).
BIPM, IEC, IFCC, ILAC, ISO, IUPAC, IUPAP y OIML, “Evaluación de datos de medición - Guía para la expresión de la incertidumbre de medida (JCGM 100 - GUM 1995 con ligeras correcciones)”. Centro Español de Metrología. http://www.cem.es/sites/default/files/gum20digital1202010.pdf (accesado en 24 Nov., 2021).
BIPM, IEC, IFCC, ILAC, ISO, IUPAC, IUPAP y OIML, “Evaluación de datos de medición – Suplemento 1 de la Guía para la expresión de la incertidumbre de medida – Propagación de incertidumbres aplicando el método de Monte Carlo (JCGM 101)”. Centro Español de Metrología. https://www.cem.es/sites/default/files/suplemento20120de20gum_0.pdf (accesado en 24 Nov., 2021).
IPCC, “Good Practice Guidance and Uncertainty Management in National Greenhouse Gas Inventories – Quantifying Uncertainties in Practice”. IPCC Library. https://www.ipcc.ch/publication/good-practice-guidance-and-uncertainty-management-in-national-greenhouse-gas-inventories/ (accesado en 30 Nov., 2021).
IPCC, “2006 IPCC Guidelines for National Greenhouse Gas Inventories. Volume 1: General Guidance and Reporting – Uncertainties”. IPCC Task Force on National Greenhouse Gas Inventories. https://www.ipcc-nggip.iges.or.jp/public/2006gl/vol1.html (accesado en 30 Nov., 2021).
DCC, PMR y LCM, “Guía metodológica para la estimación y análisis de la incertidumbre de emisiones y remociones de gases de efecto invernadero (GEI) – Programa País de Carbono Neutralidad 2.0”. Dirección de Cambio Climático. https://cambioclimatico.go.cr/wp-content/uploads/2019/11/PPCN-GuiaIncertidumbre.pdf (accesado en 26 Nov., 2021).
IMN, “Factores de emisión de gases de efecto invernadero - 11 edición”. Instituto Meteorológico Nacional. Programa de Cambio Climático. http://cglobal.imn.ac.cr/index.php/publications/factores-de-emision-gei-decima-edicion-2021/ (accesado en 26 Nov., 2021).
R Core Team, “R: A Language and Environment for Statistical Computing”. The R Project for Statistical Computing. https://www.R-project.org/ (accesado en 06 Ene., 2022).
N. W. Petty y S. Dye, “Notes on triangular distributions”. Statistics Learning Centre. https://learnandteachstatistics.files.wordpress.com/2013/07/notes-on-triangle-distributions.pdf. (accesado en 07 Dic., 2021).
G. Molina-Castro y B. Calderón-Jiménez, “Evaluating asymmetric approaches to the estimation of standard uncertainties for emission factors in the fuel sector of Costa Rica,” Frontiers in Environmental Science, vol. 9, art. 662052, 2021. doi: 10.3389/fenvs.2021.662052.
J. E. Dennis y R. B. Schnabel, Numerical methods for unconstrained optimization and nonlinear equations. Philadelphia, USA: SIAM, 1996.
B. Hasselman, “nleqslv: Solve systems of nonlinear equations”. The Comprehensive R Archive Network (CRAN Project). https://cran.r-project.org/web/packages/nleqslv/index.html (accesado en 07 Ene., 2022).
M. A. Jenkins y J. F. Traub, “Algorithm 419: zeros of a complex polynomial,” Communications of the ACM, vol. 15, no. 2, pp. 97-99, 1972, doi: 10.1145/361254.361262.
S. N. Gil, “Bootstrap en poblaciones finitas”, Tesis para optar por el grado de Máster en Estadística Aplicada, Depart. de Estad. e Invest. Oper., Univer. de Granada, España, 2014. [En línea]. Obtenido de https://masteres.ugr.es/moea/pages/tfm1314/tfm_samuel_gil_abreu/.
J. Ramírez-Montoya, I. Osuna-Vergara, J. Rojas-Mora y S. Guerrero-Gómez, “Bootstrap and Jacknnife resampling in reliability: case exponential and Weibull,” Revista Facultad De Ingeniería, vol. 25, no. 41, pp. 55-62, 2016, doi: 10.19053/01211129.4137.
H. Wickham, R. François, L. Henry y K. Müller, “dplyr: A Grammar of Data Manipulation”. The Comprehensive R Archive Network (CRAN Project). https://cran.r-project.org/web/packages/dplyr/index.html (accesado en 06 Ene., 2022).