Artículos de Estudios Empíricos y Estudios de Casos

Recepción: 20 Julio 2020
Aprobación: 01 Diciembre 2020
Resumen: En el sector agrícola, es común calcular la rentabilidad financiera de la producción de papa estableciendo la diferencia entre los ingresos y los costos económicos del periodo. No obstante, el objetivo de este trabajo es analizar la rentabilidad económica integral, fundamentada en el principio de sostenibilidad, aplicando el criterio del valor de los ingresos y costos en el futuro (VAN). El diseño de la investigación fue de campo, de naturaleza descriptiva y enmarcada dentro del enfoque cuantitativo, apoyado en una previa revisión documental. Se estudió una muestra de 238 productores, distribuidos en 162 de Pueblo Llano y 76 de Rangel. Para recolectar la información de campo se utilizaron el cuestionario y la entrevista estructurada a través del guion de preguntas. Los datos analizados arrojaron como resultado que, bajo el enfoque de la rentabilidad económica integral se impone la necesidad de tomar medidas urgentes para ayudar a mitigar los problemas ambientales y de salud pública derivados de dicha actividad, ya que, éstos se convierten desde el punto de vista económico, en efectos irreversibles.
Palabras clave: actividad agrícola, ambiente, costos, beneficio económico, finanzas.
Abstract: In the agricultural sector, it is common to calculate the financial profitability of potato production by establishing the difference between income and economic cost for the period. However, the objective of this research is to analyze comprehensive economic profitability, based on the principle of sustainability, applying the criterion of the value of income and costs in the future (NPV). The research design was a field and descriptive research, focused within the quantitative approach, supported by a previous documentary review. A sample of 238 producers was studied, distributed in 162 from Pueblo Llano and 76 from Rangel. To collect the field information was used the questionnaire and the structured interview through the question script. The data analyzed showed that, under the approach of comprehensive economic profitability, the need to take urgent measures to help mitigate the environmental and public health problems derived from the said activity, because they become in irreversible effects, from the economic point of view.
Keywords: agricultural activity, costs, economic benefit, environment, finances.
Introducción
La papa, cuyo nombre científico es Solanum tuberosum L., se destaca por ser líder en producción y comercio, y de gran relevancia sociocultural entre las poblaciones de la región andina. Este rubro, que hace parte del grupo de las raíces y tubérculos, constituye una de las primeras fuentes alimenticias para la población del estado Mérida. Las mejores condiciones para el cultivo se localizan en los estados Táchira, Mérida y Trujillo, destacándose el estado Mérida con el “mayor volumen de producción en el país, con 158 mil 871 toneladas, seguida por los otros estados andinos como Trujillo con 51 mil 510 toneladas y Táchira con 42 mil 572 toneladas” (PotatoPRO.com, 2016, p. 1). El mayor volumen de producción en el país de este tubérculo se encuentra en los estados Mérida con 158 mil 871 toneladas, seguida por los otros estados andinos como Trujillo con 51 mil 510 toneladas y Táchira con 42 mil 572 toneladas. También, se señala en ARGENPAPA (2016) que los cultivos se realizan en regiones con altitudes entre los 2.000 y 4.000 metros sobre el nivel del mar, como es el caso de los sembradíos ubicados en los estados Táchira, Mérida y Trujillo, de donde se obtiene el 81% del volumen de producción nacional.
Los distintos sistemas de producción de papa imperantes en la cordillera andina merideña, en los municipios Pueblo Llano y Rangel, compiten en el predominio de la forma en que se llevan adelante los cultivos, con significativa influencia del sistema de producción convencional o tradicional, caracterizado por la tecnología empleada que procura altos rendimientos: arado mecánico, fertilizantes, pesticidas y herbicidas, igualmente, riegos por aspersión, los cuales generan un alto consumo de agua y la salinización de la tierra, con su consecuente daño ambiental. Sin embargo, algunos productores del municipio Rangel tienen una visión diferente, ambientalista, progresiva, que han empezado a generar cambios en la recuperación y protección del ambiente, y han influido para que se tomen en cuenta los problemas de salud pública.
En este contexto, miembros de la Organización de las Naciones Unidas (ONU, 2019), en una de las Resoluciones de su cuarta asamblea para el medio ambiente sentaron las bases de un cambio hacia un futuro más sostenible. Allí, los ministros de más de 170 Estados, expresaron su preocupación por la fuerte contaminación que presenta el planeta, y se comprometieron a impulsar algunas soluciones, entre otras, la adopción de patrones de producción y consumo sostenibles.
Por otra parte, el método de cultivo de papa convencional genera costos que deben ser incluidos en el cálculo de la rentabilidad, pero algunos de estos son obviados por los productores, pues el objetivo de ellos es obtener una ganancia positiva a corto o mediano plazo. Ahora bien, sí la disposición de los papicultores es que las actividades agrícolas se realicen fundamentadas en el principio de sostenibilidad, se deben aceptar las manifestaciones de algunos investigadores en el campo del desarrollo sostenible, como Santiago citado por Molina (2014) quien se refiere a la rentabilidad desde el punto de vista ecológico, la rentabilidad económica integral, calculada con costos reales. Por tal razón, el objetivo de este artículo es analizar la rentabilidad económica integral, mediante el criterio del valor de los ingresos y costos en el futuro (VAN). Este análisis se realizará comparando este tipo de rentabilidad con la rentabilidad financiera.
A continuación, se presenta la revisión de la literatura pertinente, seguido de los aspectos metodológicos, los resultados y su análisis y finalmente las conclusiones y recomendaciones.
2. Revisión de la literatura
2.1. Sistemas de producción de papa
Los distintos cambios que se dieron en el modo de hacer y producir las cosas durante la revolución industrial, (1760-1860) se caracterizó, entre otros aspectos, por los cambios generados en la producción agraria y el crecimiento de la población. Comprendieron no sólo a la industria, sino también a la agricultura, comercio, finanzas, estructura social, educación y al campo del pensamiento vinculado al trabajo. Esto conllevó indudablemente, al estudio del proceso de producción agrícola que, apoyándose en lo que se observa en la realidad, constituye un conjunto de elementos integrados e interiormente equilibrados que conforman los sistemas de producción agrícola.
Una vez que se establece el sistema de producción agrícola, el productor, organizado socialmente para producir de acuerdo a sus metas y pautas, interviene sobre el medio ambiente natural con una tecnología que revela el grado de desarrollo de las fuerzas productivas. Mediante esta intervención, él logra transformar los ecosistemas naturales en elementos productivos, regulados y dirigidos en función de la realidad social dominante, lo cual ocasiona desequilibrios cuyos efectos frecuentemente desconoce.
En los municipios Pueblo Llano y Rangel del estado Mérida lidera el sistema de producción de papa tradicional, identificado por Romero (2005) como intensivo, de los llamados valles altos andinos. Se caracteriza por ser altamente dependiente de un paquete de agroquímicos (fertilizantes, pesticidas) utilizado para regenerar la fertilidad del suelo y combatir plagas y enfermedades, el cual tiene sus consecuencias desfavorables sobre la sostenibilidad ecológica y la salud humana, y que fuera adoptado en la época en que prevaleció el enfoque de la Revolución Verde para garantizar la rápida producción y circulación del capital. Dicho paquete se complementa con sistemas de riego por aspersión que, si bien constituyen una alternativa para incrementar la producción y el rendimiento de los cultivos, generan un alto consumo de agua y la salinización de la tierra, con su consecuente daño ambiental.
2.2. Rentabilidad financiera y económica integral de la producción de papa
El productor agrícola, es identificado por Martínez (1995) como un empresario que debe ver su unidad productiva como un todo integrado, donde dirigirá un grupo de individuos que interactúan para el logro del objetivo propuesto en la forma más eficiente. Para ello, tendrá frente a sí un proceso de constante toma de decisiones, para lo cual debe disponer de la mayor cantidad de alternativas posibles e interactuar con distintas disciplinas y/o especialidades que deberá organizar y coordinar para llevar adelante el proceso de toma de decisiones. Una de las normas, señalada por este autor (Ibíd., 1995, p. 33) a considerar en este proceso, es la búsqueda de eficiencia que, “consiste en tratar de lograr los objetivos propuestos con el mínimo costo”. Sin embargo, para que el análisis de costos sea real y completo, deben contemplarse, tanto los costos económico-monetarios o cuantificables, como también los costos no cuantificables.
En relación con ello, el método de cultivo de papa, intensivo o convencional genera costos que deben ser incluidos en el cálculo de la rentabilidad, pero algunos de estos son apartados por los productores, pues el objetivo de ellos es obtener una ganancia positiva a corto o mediano plazo, siendo este beneficio una rentabilidad financiera en la que sólo se incluyen los ingresos y costos económicos para cada periodo. Este proceso de cálculo puede deteriorar la capacidad financiera del productor para hacer frente a los compromisos inmediatos y futuros relacionados con su actividad.
Según Aviles (2017, p. 1) la rentabilidad “es un término general que mide la ganancia que puede obtenerse en una situación particular. Es el denominador común de todas las actividades productivas”. Para Warren, Reeve y Duchac (2009) el análisis de la rentabilidad se concentra en la capacidad de una unidad productiva para obtener ganancias, la cual se refleja en los resultados de operación y los recursos disponibles en la empresa. La estructura de la rentabilidad está conformada por los índices económicos, y según sea el objetivo del análisis se recurrirá a la definición que corresponda al tipo de rentabilidad.
Algunos autores en el campo del desarrollo sostenible, como Santiago citado por Molina (2014, p. 209) se refiere a la rentabilidad desde el punto de vista ecológico, la rentabilidad económica integral. Para este autor medir el cambio en la rentabilidad de un año a otro es inadecuado, “debe prevalecer la ecuación, rentabilidad presente versus rentabilidad futura, hay un coste oculto, implícito y mensurable en un ciclo productivo, en términos monetarios, pero que también puede medirse en términos de fertilidad: la amortización ecológica”.
Por tanto, Molina (2014), siguiendo a Santiago, insiste en que es necesario calcular una verdadera rentabilidad, la rentabilidad económica integral. Pues sí el interés que existe es que las actividades humanas productivas sean beneficiosas a largo plazo para los seres humanos y los ecosistemas, es decir, que estas actividades se realicen fundamentadas en el principio de sostenibilidad, se justifica que la rentabilidad de la producción de papa debería incluir además de los costos económicos, los costos sociales, ambientales y costos de oportunidad (costos cuantificables + costos no cuantificables), así como los beneficios reales de la actividad. En este sentido, lo que se busca es calcular la rentabilidad económica integral de la producción de este rubro, la que responde a cálculos verdaderamente científicos e incluye el tiempo real de duración de esta actividad agrícola. De manera que, en el cálculo de la rentabilidad entra en juego el mecanismo de la tasa de descuento o tipo de interés, mediante la cual se reduce el valor, tanto de costos como de ingresos según se tienda hacia el futuro desde el momento presente; es el valor actual neto (VAN) o valor presente neto (VPN), explicado el mismo como la diferencia entre todos los ingresos o beneficios y egresos o costos expresados en moneda actual (Sapag y Sapag, 2000).
El VAN se puede denotar con la siguiente ecuación (Cohen y Franco, 1992, p.194).
Donde:
Según la terminología utilizada en la rentabilidad económica integral, podemos precisar los siguientes conceptos relacionados: Beneficio social, definido como el conjunto de todos los efectos socialmente deseables que se derivan de una actividad y que muchas veces no se convierten en ingresos (De Rus, 2001). Beneficios ambientales: Entendidos como los beneficios que se derivan de los daños evitados hacia el medio ambiente natural. Los beneficios ambientales generados y recibidos por la sociedad en su conjunto, y no solamente por los que ofrecen o adquieren un producto o servicio, se definen por Sapag y Sapag (citados por Molina (2014) como externalidades[3] positivas. También, los costos señalados por Molina (2017, pp. 222, 225 y 226).
En este sentido, (Castilla, 1992b) explica que, si las consecuencias y los costos realmente pudieran valorarse, el mercado asignaría eficazmente los recursos y los impuestos corregirían los efectos indeseables sobre el medio ambiente; desafortunadamente, ni es posible valorar exactamente los problemas ambientales derivados de los procesos productivos, ni se podría resolver esta situación, aunque se consiguieran estas valoraciones.
3. Objetivo y metodología
Conociendo que los productores obtienen una rentabilidad financiera positiva en el corto, mediano o largo plazo, sobre la cual toman múltiples decisiones relacionadas con la actividad papera, se plantea como objetivo de este artículo realizar un análisis de la rentabilidad económica integral, basada en el principio de sostenibilidad del sistema de producción agrícola, aplicando el criterio del valor de los ingresos y costos en el futuro o valor actual neto (VAN). Este análisis se realizará comparando este tipo de rentabilidad con la rentabilidad financiera, utilizando para ello dos escenarios: El primer escenario referido a la rentabilidad financiera y el segundo escenario a la rentabilidad económica integral.
Con miras a lograr este objetivo inicialmente se realizó una exhaustiva y actualizada revisión documental y posteriormente la investigación de campo, bajo la modalidad de los estudios descriptivos, lo cual consistió en la recogida de los datos de interés directamente en las áreas paperas de la región, específicamente en los municipios Pueblo Llano y Rangel del estado Mérida, Venezuela. Además, de acuerdo con Hernández, Fernández-Collado y Batista (2006), por ser un estudio con aplicación en la disciplina de las ciencias sociales, inscrita en las ciencias contables, se abordó bajo el tipo de investigación interactiva, cuyo propósito principal es aportar información que guíe la toma de decisiones para programas, reformas estructurales y procesos Hay que destacar que, la investigación interactiva no sólo tiene aplicación en el campo de las ciencias sociales sino también en otras disciplinas. La población objeto de estudio resultó del cruce y depuración de los listados de productores de papa de los municipios objeto de estudio, obtenidos de distintas fuentes. El tamaño de la muestra se estimó utilizando el muestreo probabilístico aleatorio estratificado por municipios, resultando 162 productores a entrevistar en Pueblo Llano y 76 en el municipio Rangel, sumando 238 en total. La información de campo se recolectó utilizando la encuesta mediante el instrumento cuestionario, aplicado particularmente a los productores, y la entrevista estructurada a través del guion de preguntas para consultar a expertos en materia de costos agrícolas. Los instrumentos diseñados para recoger los datos fueron debidamente validados por especialistas en costos, agricultura y metodología de la Facultad de Ciencias Económicas y Sociales de la Universidad de Los Andes. También, constantemente se visitó a los coordinadores de diversas asociaciones involucradas en el proceso de producción de papa, específicamente a la Asociación de Productores Integral del Páramo (PROINPA).
Comparaciones entre el enfoque de la rentabilidad financiera y la rentabilidad económica integral
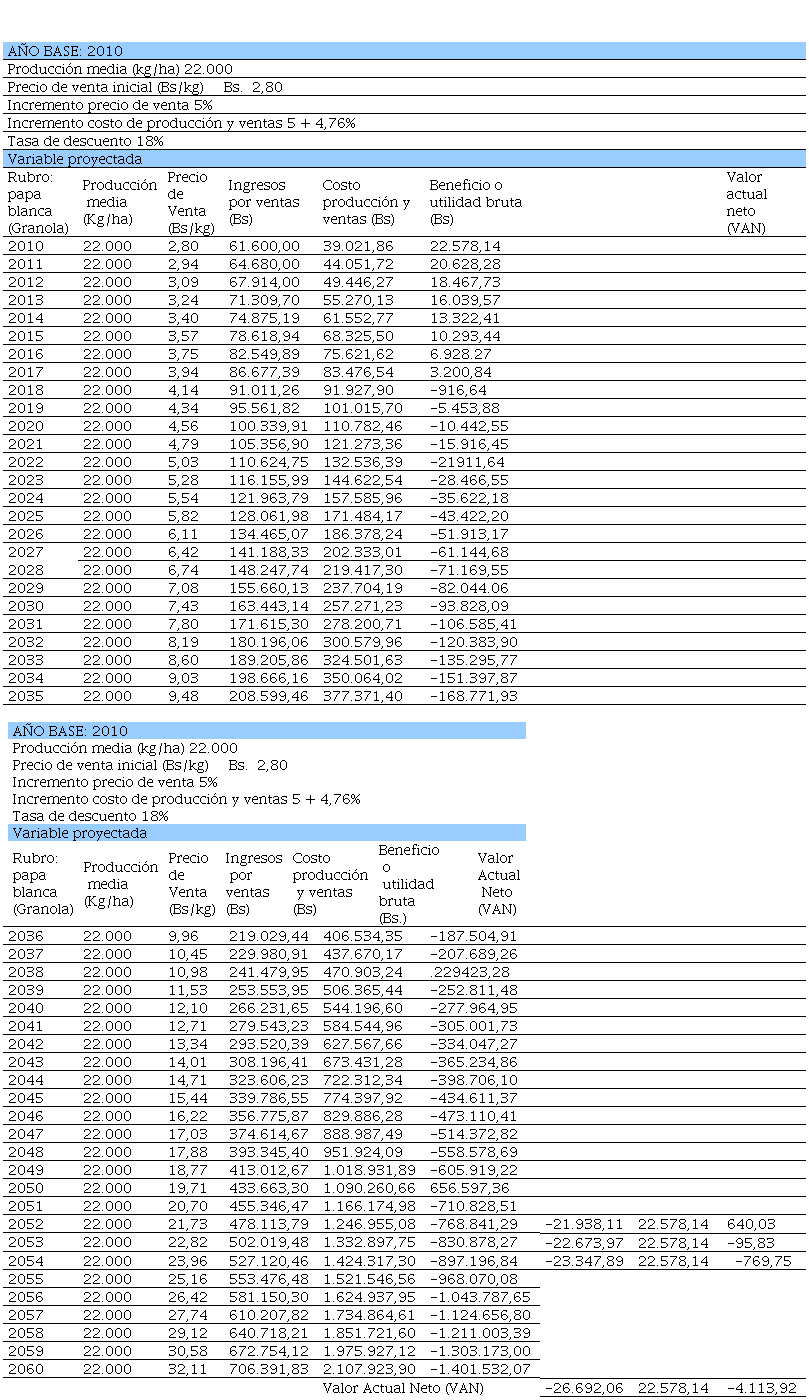
Para efectuar comparaciones entre el enfoque de la rentabilidad financiera y la rentabilidad económica integral sustentados en el valor de los ingresos y costos en el futuro, se presenta el cálculo de la rentabilidad de la producción de papa en dos escenarios. El primero, referido a la rentabilidad financiera convencional (Tabla 1) y, el segundo, a la rentabilidad económica integral (Tabla 2), ambos en el periodo comprendido entre 2010 y 2060. Estos fueron diseñados a partir de los siguientes supuestos generales, considerando valores para el momento en que se van a demostrar los resultados:
Beneficios (Ingresos por ventas) para el primer año (B1): Bs. 61.600. Estos ingresos resultan de la cantidad producida por el precio de venta del producto.
Costos para el primer año (C1): Para el primer año se considera un costo promedio de producción de Bs. 39.021,86.
Beneficios netos para el primer año (BN1): Los beneficios netos para el primer año son de Bs. 22.578,14. Diferencia entre B1 y C1.
Tasa de descuento (i): 18 %. El promedio de las tasas de interés activas lo establece el BCV[4].
Tiempo considerado para el Estudio (t): Cincuenta años (n = 50)[5]
También es oportuno aclarar algunos aspectos relacionados con los criterios adoptados para el desarrollo de dichos escenarios:
En cuanto a la producción de papa se fijó un ritmo anual constante solamente a modo de ejemplo, porque de un ciclo de producción no se obtiene la misma cantidad de papa cada año, se pueden experimentar altas y bajas en el nivel de rendimiento, debido a que en este influyen muchos factores, como la disponibilidad de mano de obra y materia prima (semilla), la calidad de la semilla, la cantidad de aplicaciones de fertilizantes y demás insumos, las condiciones climáticas (incidencia de heladas), la altitud, la presencia de plagas y enfermedades, entre otros.
Un incremento promedio del 5% en el costo de producción de la papa, constante durante los 50 años, son meras suposiciones para la explicación de este escenario. Normalmente el costo de este rubro puede aumentar o disminuir en una determinada proporción, cada año. Esto es a causa de que el costo total lo constituye la suma de los costos directos e indirectos que se asignan al producto durante el período de producción. Las fluctuaciones en el nivel de los costos también están en función de las variaciones que sufre la producción.
En el caso específico del segundo escenario, cálculo de la rentabilidad económica integral, el costo de producción incluye un incremento promedio de 5% con respecto al año anterior más 4,76% de los ingresos por venta, para el año considerado; este último valor está conformado por los siguientes aspectos:
Erosión del suelo: aproximadamente 0,16%. Según Núñez (2010), en la investigación realizada por el Idecyt-UNESR, en Mucuchíes, municipio Rangel, estado Mérida, en el año 2008, se refleja una pérdida de suelo de aproximadamente 15,8 toneladas/hectáreas/año, en deslave de suelo y biodiversidad, cuyo costo asciende a $ 117.000 al año), equivalente a Bs. 503.100 (Al cambio de Bs. 4,30, valor del dólar vigente para la fecha inicial del análisis) anual para el total de 5.086,39 hectáreas cultivadas. Esto da una cifra de 98,74 Bs/ha, que representa un 0,16% de los ingresos por venta (que totalizan Bs.61.600).
El 1,9% por envenenamiento con plaguicidas se justifica con lo expuesto por Alvarado, et al.(1998) citados por Yanggen (et al., 2003, p. 110), referente a que “…en Yucatán los investigadores estimaron que los casos de envenenamiento cuestan el equivalente al 1,9% del valor del producto agrícola bruto[6] …”. Se debe destacar, que la decisión de tomar como referencia el caso de Yucatán responde a la falta de información sobre el particular, en las fuentes bibliográficas revisadas por el autor para la realización de este trabajo.
Un 2,7% de los ingresos por venta (de Bs. 61.600) imputado a malformaciones[7] y/o enfermedades hereditarias, por exposición (inhalación, ingestión, contacto por piel y mucosas) a los agroquímicos (especialmente pesticidas) utilizados en la región para prevenir, destruir o controlar las plagas en la siembra, cuyos efectos, sin duda alguna, son ignorados dentro del cálculo del costo de producción de la papa.
Este valor está conformado por un 2,2% que significa la prevalencia global de malformaciones congénitas al nacer, por contacto de la madre con pesticidas (Benítez-Leite, Macchi y Acosta, 2007)[8], más un 0,5% que corresponde a la anormalidad cromosómica en los recién nacidos producida por muchos insecticidas (García y Motos, 1990)[9].
En cuanto al precio de la papa éste es inestable, por lo que a menudo muestra variaciones positivas o negativas. Esto significa que un incremento porcentual anual en el precio de la papa no es constante, por lo cual, en este estudio el porcentaje de incremento de 5% es únicamente para fines de diseñar los dos escenarios. Además, el precio se relaciona con la cantidad producida y el costo del producto.
5. Resultados y discusión
5.1. Primer escenario: Rentabilidad financiera
De acuerdo con la información procesada en el primer escenario, presentado en la Tabla 1, el VAN para los cincuenta años da un resultado positivo de Bs. 204.407,57 y bajo la perspectiva de la rentabilidad financiera luce como un negocio aparentemente muy rentable, cuando en realidad no lo es tal para el papicultor ni para el tomador de decisiones, ya que no se incluyen los costos ambientales, sociales y de oportunidad. De ahí que sea necesario realizar una verdadera evaluación de la rentabilidad de este rubro.
Concretamente, el cálculo de la rentabilidad financiera de la producción de este tubérculo encierra dos problemas:
En los costos no se incluyen los efectos negativos de la actividad sobre la salud, los ecosistemas, las culturas, costumbres, tradiciones, entre otros.
Si los efectos de la actividad perduran por largo tiempo (por ejemplo, una contaminación, una degradación del terreno, etc.), cualquier tasa de interés que se utilice nos aproxima a cero en torno a un número determinado de años, a partir del presente. Esto quiere decir que, aunque el efecto continúe en el tiempo, el cálculo, simplemente lo ignora.
Otro tema añadido, también relevante para la toma de decisiones en el sector agrícola, es que el ingreso que normalmente resulta del cálculo simple de cantidad de producto por precio (C * Pv) también es engañoso, pues el precio de mercado de un producto con efectos nocivos no es real, ya que, debería ser muy elevado, al contrario de lo que actualmente sucede (Tabla Nº 1).

5.2. Segundo escenario: Rentabilidad económica integral
Del segundo escenario, presentado en la Tabla 2, se concluye que, entre los años 2052 y 2053, el VAN se hace cero, y para el 2060 (dentro de 50 años aproximadamente) este toma un valor de Bs. -4.113,92 lo cual impone la necesidad de tomar medidas urgentes para ayudar a mitigar este problema y evitar consecuencias más graves, como poner en riesgo la seguridad alimentaria porque habrán pocas personas o quizá ninguna que puedan dedicarse a la agricultura, dejando el espacio para que las corporaciones multinacionales suplan el abastecimiento de alimentos (Tabla Nº 2).
En el Cuadro Nº 1 se presentan los costos totales de la producción de la papa de acuerdo con los criterios de insostenibilidad y sostenibilidad a corto, mediano y largo plazo.
Con respecto a la insostenibilidad, en un corto plazo los costos totales son pequeños, motivado a que se incurre en menos costos monetarios, tanto por insumos, como por mano de obra y costos indirectos de producción, además, en estos costos no se consideran los efectos negativos de la producción de papa, como la destrucción del ecosistema y el paisaje natural, daños a la salud, erosión y degradación del suelo por el mal manejo del sistema de riego, impactos ambientales por la contaminación del agua, destrucción de culturas, cambios en las costumbres y tradiciones, extinción de especies, contaminación de las fuentes de agua, del aire y emisión de gases a la atmósfera por el uso de pesticidas, fungicidas y fertilizantes, entre otros.
A mediano plazo los costos son mayores, debido a que se ha incrementado la inversión en los diversos elementos que conforman el coste total, destacándose el uso de agroquímicos (fertilizantes, pesticidas, herbicidas, entre otros) para proteger el cultivo de plagas y enfermedades, hongos y malezas, y fortalecer la producción, lo cual significa para el productor lograr mejores beneficios económicos, ya que este constituye su objetivo principal, restándole importancia a los problemas que agobian al sistema de producción por el uso inadecuado de tales químicos, al medio ambiente y a la población en general.
En este mismo sentido, a largo plazo los costos totales son inmensos, puesto que el productor tiene que incurrir en elevados costos, principalmente por químicos, para mitigar los múltiples problemas que se han generado a lo largo del tiempo por la producción del rubro. Estos casos representan irreversibilidades de carácter infinito, cuyas consecuencias no sólo recaen sobre las generaciones actuales, sino también sobre las del futuro.
En cuanto a la sostenibilidad, a corto plazo los costos totales de producción son altos, porque además de los costos económico-monetarios normales, existen otros costos derivados de la sana producción de la papa, como por ejemplo, la compra de semillas certificadas de alta calidad[10], el tratamiento adecuado del suelo para evitar su erosión y degradación, el uso racional y correcto (sin contaminarla) del agua.
A mediano plazo los costos son menores, debido a que el proceso de producción se lleva a cabo con mayor conciencia conservacionista, aparte de que los costos económico-monetarios también disminuyen, porque no hay necesidad de mayores inversiones en los diversos elementos del costo para obtener una cosecha favorable, como por ejemplo, no hay necesidad de sustituir un cultivo por otro, ni por otra actividad; menos enfermedades y plagas en el cultivo y menos cuidados del terreno.

A largo plazo los costos totales de producción son bajos, debido en primer lugar, a que los costos económico-monetarios son reducidos porque las condiciones ambientales son positivas. Como ejemplo de ello, tenemos pocas enfermedades y plagas en los cultivos, no hay contaminación del agua ni de sus afluentes, ni degradación del terreno porque mejoró el manejo del sistema de riego, entre otros; y segundo, también se redujeron significativamente los daños provocados por la producción de papa, como problemas de salud pública, pérdida del producto por falta de control del proceso productivo, cambios en las costumbres y tradiciones, emisión de gases a la atmósfera por la eliminación total de pesticidas y fertilizantes.

5.3. El costo de los efectos irreversibles
Los daños ocasionados por el uso de agroquímicos en el cultivo de la papa, en la salud y los ecosistemas, y que no son tomados en cuenta en el cálculo de la rentabilidad económica integral de esta actividad, son en realidad efectos irreversibles. Desde el punto de vista económico, según Castilla (1992a, p. 72), “el carácter negativo de los efectos irreversibles[11] se traduce en un coste de naturaleza diversa, cuya principal característica es que recae, no sólo en las generaciones presentes, sino también sobre generaciones futuras, a las que dicho coste se impone”.
Por tal razón, desde el punto de vista económico, en el apartado anterior se realizó un análisis costo-beneficio integral del cultivo de papa mediante el cálculo del VAN para un período de 50 años, considerado como el número de generaciones futuras, y tomando en cuenta que el costo de una irreversibilidad tiende a infinito. Concretamente, según las explicaciones de Castilla (1992ª, p. 72), “el Valor Actual Neto de una irreversibilidad tendería a -∞ (menos infinito), donde el signo – indica su naturaleza de coste”.
En resumen, en el momento de valorar correctamente los efectos económicos (costos y beneficios) de una actividad, relacionada con el medio ambiente y que suponga una traslación de los mismos más allá de los 50 años, la única alternativa de base real, verdaderamente científica, es una tasa de descuento 0, es decir no descontar. Ante esto, Lowe y Lewis (citados por Castilla, 1992a) sostienen que si la destrucción total del medio, a partir de cuarenta y cinco años como es nuestro caso, fuera muy poco valorada por este método (el descuento), no parece ser algo trascendente. Es decir, que en este contexto, es inconsistente con la supervivencia de la vida humana.
6. Conclusiones y recomendaciones
Con base en el análisis de los costos de producción de la papa, los variados problemas suscitados por el manejo constante de procedimientos tecnológicos inadecuados en su cultivo, los hechos que condujeron a incluir la teoría del desarrollo sostenible y su vinculación con la agricultura, se concluye que de acuerdo a los sistemas de producción de papa caracterizados en este estudio en la cordillera andina de Mérida, representada por los municipios Pueblo Llano y Rangel, se utiliza el sistema de Producción Convencional o Intensivo, aun cuando se ha iniciado la discusión de un sistema de producción Alternativo, procurando un camino adecuado hacia un futuro sostenible, que abriga la esperanza de vida bajo un cambio a un tipo de agricultura con tecnologías alternativas, orientada en valores humanos y sustentada en la aplicación del principio de precaución. La prioridad es utilizar insumos biológicos y algunos orgánicos, como el humus de lombriz, y cantidades más reducidas de químicos. Es otra vía para que la actividad papera sea sostenible en el tiempo, y un método que puede ganar espacio en la lucha contra las prácticas agrícolas perjudiciales.
Por otra parte, debe darse preferencia a la rentabilidad económica integral, la cual es a largo plazo y basada en costos reales, los cuales se obtienen de la acumulación de los costos económico-monetarios, sociales, ambientales y costos de oportunidad. Los costos reales sólo compaginan con el Sistema Alternativo de Producción de papa, ya que el mismo se sustenta en los componentes ambiental, económico y social. El caso de las irreversibilidades, entre otras nuevas herramientas económicas que se han incorporado al análisis de los aspectos ambientales, ha estimulado a individuos y sociedades a adquirir una mayor conciencia ecológica. Sin lugar a dudas, se necesitan tecnologías nuevas que utilicen procesos naturales en lugar de obviarlos, pues los procesos productivos que hagan uso de nuevos enfoques cuyo objeto sea respetar y preservar el ambiente, beneficiarán en mayor medida a los seres humanos.
7. Referencias
Altieri, M. (1999). Agroecología. Bases científicas para una agricultura sustentable. Montevideo. Editorial Nordan-Comunidad.
ARGENPAPA (2016). El portal de la papa en Argentina. Venezuela: La papa, cultivo rey de la región andina. Recuperado en mayo, 9, 2020, de: https://wwwargenpapa.com.ar/noticia/
Aviles, M. (2017). Rentabilidad. Depósito de documentos de la FAO. Recuperado diciembre, 12, 2019, de http://www.fao.org
Azqueta, D. (2002). Introducción a la economía ambiental. España: McGraw-Hill
BANESCO (2019). Tasas Activas. Banesco Banca Universal, C.A. Recuperado noviembre, 10, 2019, de https://www.banesco.com/tasas/tasas-activas/tasas-activas-personas- empresas
Benítez-Leite, S., Macchi, M. y Acosta, M. (2007). Malformaciones congénitas asociadas a los agrotóxicos. Paraguay. En pediatr: (Asunción), 34 (2), 11-121.
Castilla, C. (1992a). Economía ecológica. El caso de las irreversibilidades. Economía y medio ambiente. Material de estudio suministrado en las clases del doctorado.
Castilla, C. (1992b). ¿Puede la valoración del medio ambiente resolver el problema de su gestión eficaz? Cuaderno de Economía, 20, 11-118.
Cohen, E. y Franco, R. (1992). Evaluación de proyectos sociales. México: Siglo Veintiuno Editores.
De Rus, G. (2001). Análisis coste-beneficio. Barcelona, España: Ariel.
Hernández, R., Fernández-Collado, C. y Baptista, O. (2006). Metodología de la investigación (4ª ed.) México: Prentice Hall Iberia.
García, G. y Motos, M. (1990). Los insecticidas como posible causa de alteraciones genéticas en los seres humanos. Unidad de Diagnóstico, Prenatal y Consejo Genético de Malformaciones congénitas y Enfermedades Hereditarias. Servicio de Obstetricia y Ginecología Hospital Universitario. Granada.
Martínez, E. (1995). Estrategia y administración agropecuaria. Argentina: Editorial Troquel, S.A.
Ministerio del Poder Popular para la Agricultura y Tierras (MPPAT, 2010). Estructura de costos de producción de papa Granola, año 2010. Mérida, Venezuela.
Molina, O. (2014). Evaluación de los costos reales de producción agrícola en los sectores productivos: convencional, moderno y campesino en las áreas paperas. Una estrategia de desarrollo sostenible para el sector de la cordillera de Mérida-Venezuela. Tesis doctoral. Universidad de La Laguna. Tenerife-España.
Molina, O. (2017). Rentabilidad de la producción agrícola desde la perspectiva de los costos reales: municipios Pueblo Llano y Rangel del estado Mérida, Venezuela. En Visión Gerencial. Revista del Centro de Investigaciones y Desarrollo Empresarial, Año 16, Nº 2, Julio-Diciembre. Universidad de Los Andes, Mérida, pp. 217-232
Núñez, M. (2010). Excelente impulso a la agroecología. Agroisleña; expropiación ambiental. ALAI, América Latina en Movimiento. Recuperado febrero, 21, 2013 de: http://alainet.org/active/41403&lang=es
Organización de las Naciones Unidas (ONU, 2019). El mundo acuerda un plan para llevar a nuestro planeta hacia un futuro sostenible. Resoluciones de la cuarta asamblea de la ONU para el Medio Ambiente. Nairobi, 15 de marzo de 2019. Recuperado octubre, 22, 2019, de https://www.unenvironment.org/es/noticias-y-reportajes
PotatoPRO.COM (2016). El cultivo de papa en Venezuela: Algunas estadísticas. Recuperado agosto, 10, 2020, de: https://www.google.com/search?q=Producci%C3%B3n+papa
Romero, L. (2005). La estrategia de la semilla en el sistema papero de los Andes de Mérida. Una visión desde la perspectiva agroecológica. Tesis doctoral. Universidad de Los Andes, Mérida, Venezuela.
Sapag, N y Sapag, R. (2000). Preparación y evaluación de proyectos (4ª ed.). Santiago de Chile, Chile: McGraw-Hill
Warren, C., Reeve, J. y Duchac, J. (2009). Contabilidad Financiera. (11ª.Ed.).México: South-Western/Cengage Learning.
Yangeen, D., Crissman, C. y Espinosa, P. (2003). Los plaguicidas. Impactos en producción, salud y medio ambiente en Carchi, Ecuador. Centro Internacional de la Papa. Instituto Nacional Autónomo de Investigaciones Agropecuarias. Ediciones Abya-Yala.
Información adicional
Como citar este artículo - How to cite this article: Molina, O, y Castilla, C. (2021). Análisis de rentabilidad integral de la producción de papa. Municipios Pueblo Llano y Rangel del estado Mérida, Venezuela. Revista Visión Gerencial, 20(1), 50-65. Recuperado de: http://erevistas.saber.ula.ve/visiongerencial
Información adicional
redalyc-journal-id: 4655
Enlace alternativo
http://erevistas.saber.ula.ve/index.php/visiongerencial/article/view/16920 (pdf)