Secciones
Referencias
Resumen
Servicios
Descargas
HTML
ePub
PDF
Buscar
Fuente


Mezcal y Tequila: análisis conceptual de dos bebidas típicas de México*
Mezcal and Tequila: Conceptual Analysis of Two Typical Mexican Beverages
Revista Iberoamericana de Viticultura, Agroindustria y Ruralidad, vol. 4, núm. 12, pp. 138-162, 2017
Universidad de Santiago de Chile

Artículos


Recepción: 03 Marzo 2017

Aprobación: 20 Agosto 2017

Resumen: Actualmente, el consumo de mezcal y tequila ha crecido significativamente; ambas bebidas tienen importancia cultural y difieren en procesamiento y composición. Ante ello y como parte de una cultura latinoamericana, se realizó un análisis conceptual de ambas bebidas entre consumidores de diferentes campos sociales (ciudades). Mediante la asociación libre de palabras se obtuvieron los patrones de palabras de cada campo social por bebida; los patrones se compararon mediante un análisis de factor múltiple categórico. Mediante triangulación, las palabras asociadas a cada bebida se clasificaron en categorías semánticas. De este modo, las palabras asociadas por bebida y por campo social fueron diferentes: en Oaxaca el mezcal se asoció principalmente con artesanal, la cultura y variedad, en cambio el tequila fue asociado con industrial, comercial e industrializado. En Ciudad de México el mezcal y tequila se diferenciaron en función de la región de origen. En Durango, ambas bebidas se relacionan con aspectos experienciales y atributos sensoriales. Los consumidores de Guadalajara asociaron el mezcal a ebriedad y el tequila a símbolos propios de la identidad Mexicana.

Palabras clave: conceptualización, asociación de palabras, bebidas tradicionales, campos sociales.

Abstract: Currently, the consumption of mezcal and tequila has grown significantly; both beverages are culturally important and differ in processing and composition. Given this and as a part of Latin American culture, a conceptual analysis of both beverages was carried out. Consumers from four social fields (cities) participated. Through the free association words, different word patterns by social field and drink were obtained; the patterns were compared by categorical multiple factor analysis. Through triangulation, the words associated with each beverage were classified into semantic categories. The words associated with the drink and social field were different. In Oaxaca, mezcal was associated mainly with artisan, culture and variety, while tequila was associated with industrial, commercial and industrialized. In Mexico City the mezcal and tequila differed according to the region of origin. In Durango, both drinks are related to experiential aspects and sensory attributes. Consumers from Guadalajara associated mezcal with drunkenness and tequila with symbols typical of Mexican identity.

Keywords: conceptualization, word association, traditional drinks, social fields.

Introducción

El mezcal y tequila son bebidas típicas mexicanas, con importancia cultural y económica para las regiones productoras. Anteriormente, eran consideradas de baja calidad (Illsley, 2009: 183; Martínez, 2012: 13). A mediados de los 90’s, el tequila se percibió como una bebida de mejor calidad, potenciando la industria tequilera (Macías y Valenzuela, 2009: 463). Si bien es cierto que el mezcal se consideraba una bebida barata y orientada a grupos de bajos ingresos (Euromonitor, 2015: 12), en los últimos años su producción, valor de mercado y consumo creció. Del 2011 al 2015, la producción se incrementó un 147% (Consejo Regulador del Mezcal, 2016: 21). Por lo anterior y aunado a su importancia cultural y económica, es importante conocer el significado de ambas bebidas.

Así como el mezcal y tequila, en Latinoamérica existen productos como Pisco de Chile y Perú (Lacoste et al, 2013: 425); Singani de Bolivia (Buitrago, 2014: 94); Queso de Chanco de Chile (Lacoste et al, 2015: 84); Salame de Argentina (Carduza et al, 2016: 28); Cachaça de Brasil (Miszputen, 2007: 90) Chicha (Castro, 2016: 6) y Pajarete de Chile (Castro et al, 2016: 23), los cuales han sido estudiados en contextos históricos o geográficos. Sin embargo, dada su importancia económica y cultural, se refuerza la idea de analizar la conceptualización entre consumidores.

En el análisis conceptual se emplean metodologías de origen psicológico, entre las que encuentra la Asociación de palabras, que se orienta a evaluar estructuras conceptuales y con ello comparar culturas (Guerrero et al, 2010: 225), metodologías (Ares et al, 2008: 637) y determinar significados (Rodrigues et al, 2015; 168). En ella, los participantes indican lo primero que se les viene a la mente cuando se les muestra un estímulo. La persona interpreta y responde desde su propio marco de referencia (Donoghue, 2010: 48), el cual puede ser determinado por la cultura (campos sociales) o por los hábitos de consumo (Guerrero et al, 2012: 73). En ese sentido, en la teoría de Bourdieu, los campos sociales se refieren a espacios históricamente constituidos por instituciones específicas, normas y valores de funcionamiento propios. Es decir, una comunidad puede ser concebida como un espacio diferenciado de posiciones sociales en el que las relaciones entre estas posiciones constituyen el núcleo de lo que propiamente es social (Bourdieu, 2002: 479).

En cada cultura, existen normas y valores que se emplean para definir lo que se considera como alimento adecuado o inadecuado, la combinación y cantidad de alimentos a consumir (Nestle et al, 1998: 50; Trichopoulou et al, 2007: 420), reflejándose en la conceptualización de un término, la cual se inserta en la forma de pensar, sentir e interactuar con el entorno, guiando el comportamiento y la comunicación de los miembros del grupo (Jodelet, 1989; 36). Por ejemplo, Rozin et al, (2002: 419) observaron diferencias en el significado de la palabra “comida” entre consumidores estadounidenses y franceses. Estas diferencias dan lugar a patrones de elección distintos.

Por lo anterior, el objetivo de este trabajo es determinar la conceptualización de dos bebidas tradicionales de México como lo son mezcal y tequila; como segundo objetivo, evaluar el efecto de los campos sociales sobre la conceptualización. Por ello, se han planteado dos hipótesis: (1) la familiaridad y/o conocimiento del concepto influye en el número de palabras generadas y (2) las palabras asociadas a cada producto corresponden a diferentes categorías semánticas y al comportamiento de los consumidores en función del campo social al que pertenecen.

Materiales y métodos

Campos sociales y participantes

Se consideraron cuatro diferentes campos sociales: Durango, Guadalajara, Ciudad de México y Oaxaca. Dichos campos sociales se diferencian en los siguientes aspectos: el consumo de mezcal en Durango se limita a las zonas de producción del mismo; Guadalajara presenta un consumo incipiente y es parte de la región de origen del tequila, bebida considerada como un símbolo nacional (Gaytán y Valenzuela, 2012: 194); la Ciudad de México, como principal consumidor de mezcal y tequila; y la ciudad de Oaxaca como capital del estado líder en la producción y en el número de fabricantes de mezcal (Consejo Regulador del Mezcal, 2016: 11-22).

Dadas las características de cada campo social, se consideró incluir en la prueba el concepto “tequila” a manera de contraste. Entre ambas bebidas existen diferencias significativas que influyen en su composición y bouquet. Para elaborar mezcal, se pueden utilizar más de veinte variedades de agave, en cambio para el tequila, solo se utiliza Agave tequilana Weber variedad Azul. Otra diferencia es el procesamiento: el mezcal se elabora principalmente de forma artesanal y para el tequila se emplean procesos tecnificados.

Ambas bebidas cuentan con Denominación de Origen, sin bien para el mezcal el área es más amplia (Molina et al, 2007: 41).

Participaron cuatrocientos consumidores, cien por cada campo social. Los consumidores fueron invitados mediante correo electrónico, folletos e invitación personal. No se proporcionó mayor información sobre el estudio, solo se les informó que participarían en un “estudio de mezcal”. Los criterios de selección fueron: (a) edad entre 18 y 55 años; (b) ser consumidores de tequila, mezcal o ambos; (c) tener interés por participar en el estudio, y (d) ser nativo del lugar donde se llevó a cabo el estudio (Tabla 1).

Tabla 1
Características sociodemográficas de los participantes*

Fuente: elaboración propia.* Expresado como porcentaje.

Asociación de palabras

Los participantes fueron entrevistados individualmente, indicándoles que no había respuestas correctas o incorrectas. Los participantes fueron familiarizados con la dinámica mediante un ejercicio previo. Se les mostró la palabra “nube” y la palabra “libro” y se les pidió mencionar las palabras que se les venían a la mente frente a cada término. Posteriormente, se aplicó la prueba objetivo. Como estímulos se utilizaron las palabras “mezcal” y “tequila” y fueron presentados a los participantes junto con una hoja de evaluación, donde se les pidió que escribieran todas las palabras que se les venían a la mente cuando veían cada uno de los conceptos. Para realizar la prueba contaron con un total de un minuto con treinta segundos.

Con la restricción de tiempo se verifica la facilidad para asociar palabras a los términos en función del campo social. Permite recuperar lo más inmediato que se viene a la mente como expresión de las relaciones entre las prácticas del consumidor, propias de su entorno. Además, se evalúa la fluidez verbal, que se define como capacidad de enlazar palabras y la organización del conocimiento sobre el término de interés, por lo que es posible conocer el significado y las imágenes asociadas al concepto (Guerrero et al, 2010: 227).

Análisis de datos

Análisis de la frecuencia de las palabras generadas

Primero se corrigieron errores de ortografía y se eliminaron frases compuestas. Enseguida, fueron analizadas las frecuencias de mención por consumidor en cada campo social. Posteriormente, se contaron las palabras asociadas al mezcal y al tequila. El nivel de diversidad y de idiosincrasia para cada bebida se estimó en base a los índices de diversidad y de rareza (Rodrigues et al, 2015: 168). El índice de diversidad refleja la relación entre el número de palabras diferentes (T) y el número total de palabras generadas para cada estímulo (N). Valores cercanos a 1 revelarán un máximo de diversidad. El índice de rareza corresponde a la proporción de palabras citadas una sola vez, denominadas Hápax (H), dividido entre el número de diferentes palabras evocadas (T). Los datos obtenidos se organizaron en una tabla de contingencia, donde las columnas eran las palabras generadas para el mezcal y el tequila y los renglones los campos sociales. Subsecuentemente, se realizó una prueba de Chi-cuadrado (p<0.05) para establecer posibles diferencias significativas entre campos sociales y términos.

Simplificación y categorización de las palabras generadas

El análisis comprendió dos enfoques. En el primero, se retuvieron las palabras mencionadas por al menos el 10% de los participantes dentro de un campo social. Las palabras se estandarizaron en su forma infinitiva para los verbos, singular para los sustantivos y en su forma masculina y singular para los adjetivos. Para el grupo de palabras con sinónimos fue seleccionado un término, utilizando un diccionario de sinónimos y antónimos; se retuvo el sinónimo mencionado con mayor frecuencia. Se construyó una tabla de contingencia, donde las columnas representaron los campos sociales y los renglones las palabras; al respecto, la existencia diferencias entre campos sociales y la frecuencia de mención de las palabras fue verificada mediante la prueba exacta de Fisher (p<0.05). Para comparar las frecuencias de mención al interior de cada campo social, se realizó la prueba de comparación de proporciones. Este análisis determina si existen diferencias significativas entre observaciones en comparación con el tamaño total de la población de estudio. Se calcula como la relación entre el número de observaciones que pertenecen a un grupo y el tamaño de la población (XLSTAT, 2017). Tal análisis se llevó a cabo para ambas bebidas.

En el segundo enfoque, se agrupó el total de palabras generadas en categorías semánticas, para tener mayor detalle de las diferencias entre campos sociales y definir las categorías que contribuyen al significado de los conceptos (Guerrero et al, 2010: 229). La categorización fue realizada por interpretación personal de parte del experimentador. El proceso se efectuó por triangulación, donde tres investigadores de manera independiente llevaron a cabo el análisis. Las categorías definitivas y el nombre de cada una de ellas se determinaron por consenso. Las frecuencias de mención fueron obtenidas contando el número de participantes que mencionaron palabras pertenecientes a cada categoría; se consideraron categorías con mención de al menos el 10% de los participantes por campo social, construyéndose una tabla de contingencia (columnas campos sociales y renglones categorías) para cada bebida, siendo analizada por medio de la prueba exacta de Fisher (p<0.05).

Análisis de Factor Múltiple Categórico

Las diferencias entre conceptos y campos sociales se analizaron mediante el Análisis de Factor Múltiple Categórico (MFACT) (Bécue-Bertaut y Pagés, 2004: 482; Bécue-Bertaut y Pagés, 2008: 3255). El MFACT permite comparar series de datos contenidos en diferentes tablas de contingencia, a través de la ponderación renglones y columnas, de tal manera que se pueden representar espacialmente para su análisis (Lê y Worch, 2014: 137). Las pruebas de Chi-cuadrado, prueba exacta de Fisher y pruebas de proporciones se realizaron con el programa XLSTAT 2016 (Addinsoft, París, Francia). El MFACT llevó a cabo con FactoMineR (Lê et al, 2008: 1) en programa R versión 3.3.2.

Resultados

Análisis de las palabras generadas

Globalmente se asociaron 2399 palabras al término mezcal, con un promedio de 6 palabras por persona. En el caso del tequila, se citaron 2333 palabras con un promedio de 5.58 palabras por consumidor. Al comparar las palabras generadas, se observaron diferencias significativas entre campos sociales y entre términos ( muestra la Tabla 2.

Tabla 2
Parámetros evaluados para los términos “mezcal” y “tequila” por campo social (Prueba de Chi-cuadrado p<0.05)*

Fuente: elaboración propia.* Las comparaciones son entre términos dentro de cada ciudad.

En Oaxaca, se asociaron más palabras el mezcal; en Guadalajara, los participantes relacionaron más palabras al tequila, confirmado nuestra hipótesis: los consumidores de campos sociales con mayor nivel de conocimiento y/o familiaridad, asociaron un mayor número de palabras, ya sea al mezcal o al tequila. El número de palabras generadas en pruebas con restricción de tiempo es el parámetro de evaluación (Shao et al, 2014: 4). En el tipo de palabras, Hápax, Índice de Diversidad e Índice de Rareza, no se observaron diferencias entre términos. Sin embargo, los valores de los Índices de Diversidad (menos de 0.5) y de Rareza (más de 0.5) son relativamente bajos, lo que indica que para una mayor diversidad se esperarían valores cercanos a 1; en el caso del Índice de Rareza, el valor refleja que el número de palabras mencionadas una sola vez fue relativamente bajo. De acuerdo con Rodrigues et al (2015: 169), los resultados sugieren que dentro de cada campo social existe una estructura conceptual, representada por un conjunto de palabras que definen a cada bebida de acuerdo al campo social en que se encuentre.

Perfil de palabras asociadas a los términos

a) Palabras asociadas el mezcal

De las palabras asociadas al mezcal, se retuvieron 20 palabras. La prueba exacta de Fisher mostró diferencias en la frecuencia de mención en 16 palabras entre los campos sociales (Tabla 3).

Tabla 3
Comparación de las frecuencias de citación de las palabras más asociadas al mezcal por campo social (Prueba exacta de Fisher, p<0.05)*

Fuente: elaboración propia.* Las comparaciones son entre campo social; los valores significativos se marcan en negritas.

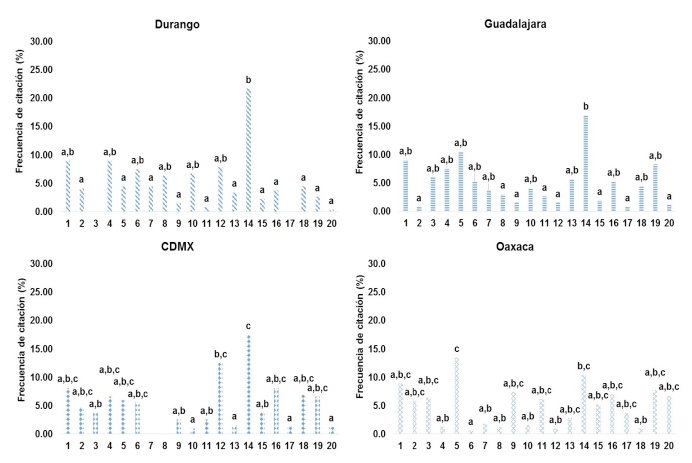
Independientemente del campo social, las palabras Fuerte, Agave y Artesanal presentaron la mayor frecuencia. Sin embargo, esta frecuencia cambia en función del campo social (Figura 1).


Figura 1
Porcentaje de citación de palabras asociadas al mezcal por campo social

Nomenclatura: 1=Agave; 2=Agradable; 3=Ahumado; 4=Alcohol; 5= Artesanal; 6= Barato; 7= Borrachera; 8= Borracho; 9=Comida; 10=Cruda; 11= Cultura; 12=Estado; 13=Fiesta; 14=Fuerte; 15= Gusano; 16=Maguey; 17=Naranja; 18=Quemante; 19=Tradición; 20=Variedad. Las comparaciones son entre palabras dentro de cada campo social. Letras diferentes, indican diferencia significativa (p<0.05).

Fuente: elaboración propia.

Para Durango, las palabras significativamente más mencionadas fueron: Alcohol, Barato, Borrachera, Borracho, Cruda y Fuerte. Para Guadalajara fue: Alcohol y Fuerte. En Ciudad de México: Alcohol, Estado, Fuerte y Quemante. En Oaxaca: Agradable, Ahumado, Artesanal, Comida, Cultura, Naranja, Tradición y Variedad.

Guerrero et al (2000: 389), mencionan que la frecuencia de citación se relaciona con la fuerza o importancia de un concepto en la mente de los consumidores, por lo que estas tres palabras pudieran conformar la base del significado global del término mezcal. La palabra Fuerte se mencionó significativamente con mayor frecuencia en Durango, Ciudad de México y Guadalajara (p<0.05). Esto podría explicarse debido al mayor contenido de alcohol del mezcal (45% V/V y 50% V/V), respecto a otras bebidas consumidas en México como el tequila, que tradicionalmente se consume en Guadalajara (Mitofsky, 2009: 5); ello que ayudaría a explicar la relación Fuerte-Mezcal entre los consumidores de Guadalajara. La palabra Agave no presentó diferencia significativa entre campos sociales, sugiriendo que independientemente del campo social, un consumidor tiene cierto nivel de conocimiento de la materia prima que se emplea para elaborar el mezcal. La palabra Artesanal presentó diferencia significativa (p<0.05), siendo Oaxaca donde se mencionó con mayor frecuencia (n=44), en Durango, los consumidores la citaron con menor frecuencia (n=12). La presencia de dicha palabra pudiera deberse a que normalmente el mezcal de Oaxaca se elabora mediante un proceso artesanal (Berumen, 2009: 2).

b) Palabras asociadas al tequila

Para el tequila, se retuvieron 19 palabras. La prueba exacta de Fisher (p<0.05) mostró diferencias significativas en 17 palabras entre los campos sociales (Tabla 4).

Tabla 4
Comparación de las frecuencias de citación de las palabras más asociadas al tequila por campo social (Prueba exacta de Fisher, p<0.05)*

Fuente: elaboración propia.* Las comparaciones son entre campo social; los valores significativamente diferentes se marcan en negritas.

Globalmente, las palabras más mencionadas fueron: Fiesta, Agave e Industrializado. Al interior de cada campo social, se observó un perfil de frecuencia específico (Figura 2).


Figura 2
Porcentaje de citación de palabras asociadas al tequila por campo social

Nomenclatura: 1=Agave; 2=Agave azul; 3=Agradable; 4=Borrachera; 5=Botella; 6=Comercial; 7=Cruda; 8=Estado; 9=Fiesta; 10=Guadalajara; 11=Industria; 12=Industrializado; 13=Jalisco; 14=Mariachi; 15= Mexicano; 16=Paloma; 17=Suave; 18=Tradición; 19=Trago. Las comparaciones son entre palabras dentro de cada campo social. Letras diferentes, indican diferencia significativa (p<0.05).

Fuente: elaboración propia.

Las palabras con mayor frecuencia por campo social fueron: Agradable, Botella, Cruda, Fiesta y Suave en Durango; en Guadalajara se mencionaron más frecuentemente Agave azul, Fiesta, Mariachi y Tradición; en la Ciudad de México fueron: Agave, Guadalajara, Jalisco, Paloma y Suave; en Oaxaca: Comercial, Estado, Industrializado, Industria y Trago. La presencia de la palabra Fiesta sugeriría la importancia de la bebida dentro de las celebraciones realizadas en México, por ejemplo la celebración del “Día de la Independencia” o fiestas de pueblo (Olmedo-Carranza, 2010: 1; Gaytán y Valenzuela, 2012: 198). En Oaxaca, la palabra Fiesta se mencionó con menor frecuencia, lo que reflejaría que dentro del campo social de Oaxaca, el tequila no podría ser considerado dentro de los elementos que conforman las celebraciones a nivel local.

De acuerdo a la Norma Oficial Mexicana NOM-006-SCFI-2012, el tequila se elabora con agave, por lo que la relación agave-tequila, sugiere que los consumidores conocen la materia prima con que se elabora la bebida. La presencia de la palabra Industrializado, pudiera sugerir una connotación negativa, como parte de la masificación de la producción del tequila en los últimos años, y con, ello reflejar que el producto se ha distorsionado, tal como mencionaron algunos de los participantes de este estudio, quienes indicaron que la industrialización ha convertido al tequila en una bebida comercial y artificial.

Análisis de Factor Múltiple Categórico

Para continuar, la Figura 3 muestra la comparación de las diferencias entre campos sociales y las palabras asociadas a cada bebida.


Figura 3
Representación gráfica de la conceptualización de los términos mezcal y tequila por campo social

Las palabras asociadas al mezcal están marcadas con m y las palabras asociadas al tequila están marcadas con t. Las dimensiones 1 y 2 se representan en la Figura 3a; las dimensiones 1 y 3 se representan en la Figura 3b.

Fuente: elaboración propia.

Las primeras tres dimensiones explicaron el 100% de la inercia. La primera dimensión explica el 49.67% (Fig. 3a) y separa a la Oaxaca. La dimensión 2 explica el 35.46% y separa a la Ciudad de México de Durango. La dimensión 3 (Fig. 3b), explica el 14.78% y separa a Guadalajara del resto de los campos sociales. Al respecto, los consumidores de Oaxaca asociaron con mayor frecuencia al mezcal con: Ahumado, Artesanal, Comida, Cultura y Naranja, mientras las palabras que más asociaron al tequila fueron: Comercial, Estado, Industria, Industrializado y Trago. Los consumidores de la Ciudad de México asociaron más frecuentemente al mezcal con: Estado, Maguey y Quemante, en cambio, relacionaron al tequila con Guadalajara, Jalisco, Paloma y Agave. Las palabras asociadas con más frecuencia al mezcal en Durango fueron: Borrachera, Borracho, Cruda y Barato. En cambio, asociaron con más frecuencia al tequila con: Botella, Fiesta y Borrachera. Finalmente los consumidores de Guadalajara relacionaron al mezcal con: Fiesta, Tradición y Ahumado, y por otro lado, al tequila lo ligaron con: Mariachi, Tradición y Agave azul.

Los resultados sugieren que en Oaxaca el mezcal se define como un producto Ahumado y Artesanal, lo cual es determinante en su identidad. La mayoría del mezcal se elabora artesanalmente (Villanueva-Rodríguez y Escalona-Buendía, 2012: 364), lo que justificaría la presencia de la palabra Variedad, ya que en un proceso artesanal “se utilizan materias primas de la región y procesos de fabricación manual con o sin ayuda de herramientas y máquinas. Dicho conocimiento es transmitido de generación en generación con las variaciones propias del artesano”. Los consumidores lo ven como parte de los elementos de una comida, que puede ser acompañado de una Naranja, además ligarlo a la Cultura. En México, Oaxaca es el estado con la mayor diversidad étnica y cultural, que se refleja en la diversidad o práctica de costumbres y tradiciones. Por lo anterior, diferentes productos se identifican como Oaxaqueños, entre ellos el mezcal, lo que ha contribuido a la generación de reconocimiento y reputación, ya sea por calidad o por su proceso, ligado a alguna de las regiones socioculturales del estado en las que se produce (Illsley et al, 2009: 10; Gross, 2014: 12). En cambio, los consumidores relacionaron al tequila con Industrial, Industrializado, Comercial y Trago, lo que podría deberse al crecimiento, modernización y tecnificación de la industria tequilera, reflejada en su capacidad de producción –en 2014 se produjeron 242.4 millones de litros– (Aguilar, 2015: 5).

Los consumidores de la Ciudad de México diferenciaron conceptualmente el mezcal del tequila. El mezcal fue relacionado con Estado, pudiendo ligarse con aspectos geográficos, como símbolo de origen de la bebida. Tomando en cuenta que la Ciudad de México es el principal mercado consumidor de mezcal y que la mayor parte del mezcal que se consume es Oaxaqueño, podría explicarse la presencia de la palabra Estado en un contexto de identidad y origen. Por otro lado, la palabra Maguey con que se conoce al Agave en algunas regiones, proviene del Náhuatl metl o meztl (Blomberg, 2000: 17), y refleja que los consumidores de la Ciudad de México ven al Maguey como la materia prima para la elaboración del mezcal. En el caso de la palabra Quemante, sugiere una connotación experiencial, la sensación trigeminal de una bebida con alto contenido alcohólico. En el caso del tequila, los participantes lo relacionaron con Guadalajara y Jalisco; al igual que el mezcal, el tequila lo relacionan con zonas geográficas donde se origina el producto. El término Paloma podría relacionarse con la forma de consumo: la Paloma, es un cóctel preparado a base de tequila, refresco de toronja, limón y sal, lo que concuerda con cifras del Consejo Regulador del Tequila (Fortuna, 2013: 1). El reporte señala que el 77% del tequila se consume mezclado y aproximadamente el 60% de los consumidores del tequila prefieren tomarlo como cóctel Paloma.

En Durango el mezcal se relacionó con aspectos experienciales como: Borracho, Borrachera y Cruda, además de la palabra Barato. De acuerdo con Fournier y Zavala (2015: 296), aun cuando Durango cuenta con Denominación de Origen, se mantiene la idea que el mezcal es un producto de mala calidad, envasado en botellas de plástico y que solo es para borrachos. En el caso del tequila, el tipo de palabras asociadas (Borrachera y Fiesta) confirmaría que el tequila forma parte de aspectos lúdicos, familiares o de esparcimiento. Además, se podría inferir que el contenido histórico y cultural no se presenta, por lo que el significado de ambas bebidas se relaciona principalmente con aspectos experienciales.

En el caso de Guadalajara, el mezcal se relacionó con: Tradición, lo cual destaca si se toma en cuenta que el mezcal es una bebida cuyo consumo es insipiente en dicho campo social. En el caso del tequila, la alusión a términos relacionados con la revalorización de las artes e industrias populares como Mariachi y Tradición, principalmente, que busca afianzar símbolos de identidad mexicana, de modo tal que la literatura, la pintura y sobre todo la industria cinematográfica, mostraron la vida ranchera de Jalisco (consumidor de tequila), como la representación más simbólica del México premoderno (Martínez, 2012: 60). Ya a mediados de la década de los 90’s la estrategia de mercado se orientó a darle un mayor valor agregado y ser catalogada como una bebida de distinción (Gaytán y Valenzuela, 2012: 207). Guadalajara, al ser la capital del estado de Jalisco, cuna del tequila, permite entender la diferencia en la conceptualización entre tequila y mezcal.

Análisis de las categorías generadas para mezcal y tequila

El total de palabras generadas, para ambas bebidas, fueron agrupadas en 19 diferentes categorías, resultado del consenso entre los tres colaboradores que participaron en el análisis. Catorce categorías presentaron palabras mencionadas por al menos el 10% de los participantes dentro de un capo social (Tabla 5).

Tabla 5
Categorías semánticas utilizadas para agrupar a los conceptos asociados al mezcal y tequila

Fuente: elaboración propia.

Para el mezcal, 14 categorías agruparon palabras mencionadas por al menos el 10% de participantes dentro de un campo social (Tabla 6).

Tabla 6
Porcentaje de participantes que asociaron palabras de las diferentes categorías al concepto mezcal (Prueba exacta de Fisher)*

Fuente: elaboración propia.* Solo se muestran las categorías que fueron mencionadas por al menos el 10% de los participantes en una ciudad. Las comparaciones son entre campos sociales; las negritas indican diferencia significativa (p<0.05).

Entre las categorías semánticas más frecuentemente utilizadas a nivel global destacan la categoría Sensorial (n=306), Procesos productivos (n=172), Formas de consumo (n=148) y Materia prima (n=145). La presencia de la categoría sensorial podría reflejar la importancia de las características sensoriales sobre el consumo y aceptación del producto. Diversos autores señalan que las características sensoriales son los principales criterios de decisión para la elección y consumo de los alimentos (Claret et al, 2016; 158). De acuerdo a la definición de la categoría Procesos productivos y Materia prima, es posible inferir que los consumidores presentan cierto nivel de conocimiento tanto de las etapas y elementos utilizados, tanto en la elaboración del producto como de materia prima; y la categoría Forma de consumo reflejaría la importancia de los elementos necesarios para consumir el producto.

La prueba exacta de Fisher mostró diferencias significativas en 6 categorías semánticas. En Durango se mencionaron más a menudo palabras de las categorías Experiencial y Sensorial, confirmado en los resultados del análisis de las palabras más citadas. En Guadalajara, el mezcal se relacionó con la categoría Entorno rural. En la Ciudad de México, los participantes mencionaron con mayor frecuencia términos relacionados con aspectos geográficos; finalmente, en Oaxaca, mencionaron principalmente palabras de las categorías Abstracción y Otras.

Para el término tequila, 11 categorías agruparon palabras mencionadas por al menos el 10% de los consumidores dentro de un campo social (Tabla 7).

Tabla 7
Porcentaje de participantes que asociaron palabras de las diferentes categorías al concepto tequila (Prueba exacta de Fisher)*

Fuente: elaboración propia.* Solo se muestran las categorías que fueron mencionadas por al menos el 10% de los participantes en una ciudad. Las comparaciones son entre campos sociales; las negritas indican diferencia significativa (p<0.05).

Las categorías que globalmente se mencionaron con mayor frecuencia fueron Sensorial (n=246); sin embargo, la prueba exacta de Fisher (p<0.05) no mostró diferencia significativa entre campos sociales. Las categorías semánticas Formas de consumo (n=182) y Materia prima (n=144) no presentaron diferencias significativas entre grupos sociales. En el caso particular de los grupos sociales, las categorías mencionadas con mayor frecuencia fueron: Celebración y Experiencial en Durango; Celebración en Guadalajara; Geográfico en Ciudad de México y Estereotipos en Oaxaca.

Las tablas de contingencia de ambas bebidas (palabras con que se mencionaron las palabras de cada categoría por campo social) se analizaron mediante el MFACT (Figura 4).


Figura 4
Representación gráfica de las categorías para los términos mezcal y tequila por ciudad

Las categorías asociadas al mezcal están marcadas con m y las palabras asociadas al tequila están marcadas con t. Las dimensiones 1 y 2 se representan en la Figura 4a; las dimensiones 1 y 3 se representan en la Figura 4b.

Fuente: elaboración propia.

El 100% de la inercia fue explicada por tres dimensiones. La primera dimensión explica el 57.02% de la inercia total (Fig. 4a) y separa a la ciudad de Oaxaca de Durango. En Oaxaca el mezcal se relacionó con mayor frecuencia a palabras de las categorías: Abstracción, Alimentos, Estereotipos, Formas de consumo, Historia y cultura, Materia prima y Proceso productivo. En cambio, el tequila fue asociado más a menudo con palabras de las categorías Estereotipos y Económico. Los consumidores de Durango mencionaron con mayor frecuencia palabras de las categorías Sensorial y Experiencial, y para conceptualizar al tequila, utilizaron principalmente palabras de la categoría Celebración. La dimensión dos explica el 26.64% de la inercia, separando a la Ciudad de México. En la Ciudad de México, el mezcal se ligó con mayor frecuencia a palabras de las categorías Geográfico y Economía. El tequila fue relacionado más a menudo con las categorías Geográfico y Proceso productivo. Guadalajara y Durango fueron separadas por la dimensión 3, la cual explica el 16.34% de la inercia (Fig. 4b). En Guadalajara, los consumidores asociaron el mezcal con palabras de las categorías Entorno rural y Celebración; en cuanto al tequila, fue ligado a las categorías Materia prima e Historia y Cultura.

Para el mezcal, los consumidores de Oaxaca utilizaron más frecuentemente palabras de la categoría Proceso productivo, lo cual denota conocimiento del proceso de fabricación del producto. De acuerdo con diferentes autores, los significados de un determinado producto pueden depender del nivel de conocimiento que un consumidor puede tener sobre el producto (Simonnet-Toussaint et al, 2005: 7). Por el uso de términos relacionados con la Historia y Cultura, el consumidor Oaxaqueño relaciona al mezcal con un símbolo de identidad y cultura, como se observó en el análisis de las palabras más frecuentemente mencionadas. En cambio, el tequila fue ligado principalmente a Estereotipos, categoría donde se agruparon palabras como Industrializado y Sofisticado. Ello debido posiblemente al crecimiento que ha experimentado la industria tequilera en los últimos años y el reflejo de los mensajes transmitidos por las campañas de marketing orientadas a posicionar al tequila como una bebida Premium, que supone cierta exclusividad, calidad y sofisticación (Luna, 2012: 39).

En la Ciudad de México, tanto para el mezcal como para el tequila, las palabras más frecuentemente mencionadas pertenecieron a la categoría Geográfico. Este resultado puede reflejar que los consumidores de Ciudad de México tienen presente la procedencia de cada una de estas bebidas. La relación de ambos brebajes con aspectos geográficos va más allá de ello, ya que en ese contexto no solo implica la relación con una zona específica de México, sino con aspectos simbólicos que reflejan una identidad cultural ligada a las bebidas.

Para los consumidores de Durango, estos productos carecen de un sentido cultural propio del campo social en cuestión. El mezcal es visto como una bebida donde el factor experiencial resalta, en la mayoría de las ocasiones, de forma negativa. Por otro lado, el tequila es para disfrutar en celebraciones de cualquier índole, sugiriendo que el tequila forma parte de la socialización, como se ha observado en otras bebidas alcohólicas como el vino (Mouret et al, 2013: 106).

En el caso de los consumidores de Guadalajara, al igual que los consumidores de Durango, ligaron al mezcal con eventos sociales, pero sin ningún aspecto cultural propio del campo relacionado a ello, además, de ligarlo al entorno rural. En cambio el tequila, se relacionó con la Historia y la cultura, cuyas imágenes del Charro y Mariachi se han construido a lo largo del tiempo como parte de las estrategias de marketing desarrolladas para el posicionamiento del producto (Bartra, 1996: 16-18).

Conclusiones

La asociación de palabras con límite de tiempo permitió conocer cómo los individuos de diferentes campos sociales conceptualizan de manera diferente a dos bebidas tradicionales mexicanas. Al limitar el tiempo, se confirmó la hipótesis respecto a la relación familiaridad/conocimiento y el número de palabras.

Globalmente, el mezcal es definido como una bebida artesanal fuerte hecha de agave, mientras el tequila se instala como una bebida de agave utilizada en celebraciones pero ya industrializada. La conceptualización de ambas bebidas cambia en función de los campos sociales. Los Oaxaqueños conceptualizan al mezcal como símbolo de identidad cultural con características y formas de consumo determinadas por el entorno, en cambio el tequila es definida como una bebida ya distorsionada como resultado del crecimiento de la industria tequilera. Respecto a los consumidores de Ciudad de México, ambas bebidas representan una zona geográfica ligada al origen de cada bebida. Además, resalta la diferenciación en la forma de nombrar a la materia prima empleada para la elaboración de las bebidas: maguey para mezcal, agave para tequila. En el caso de Durango, ambas bebidas son definidas a partir de experiencias, principalmente negativas. Finalmente, los participantes de Guadalajara definen al mezcal como una bebida ligada al entorno rural y de tradición, en cambio el tequila es una bebida, que forma parte de una tradición histórica asociada a imágenes particulares como el mariachi.

Partiendo del concepto de Campos Sociales de Bourdieu, estas definiciones están relacionadas con los conocimientos que circulan dentro de una realidad social compartida, de lugares comunes, formas de pensar, percibir y actuar, a disposiciones y regularidades orientadoras de las conductas de los sujetos. Por lo cual, conceptualización de las bebidas y la evolución de los términos a lo largo del tiempo, no deben considerarse como estrategias individuales, sino como un reflejo del campo social en que se encuentran los participantes. Por otro lado, dentro de una perspectiva latinoamericana, los resultados reflejan la percepción de dos productos típicos de una región latinoamericana, con lo que se contribuye desde una perspectiva cultural, social y sensorial al estudio de los productos que contribuyen a la identidad de Latinoamérica.

Referencias

Aguilar, A. (2015). “Nombres, Nombres y Nombres” [en línea] https://www.crt.org.mx/index.php/es/noticias/noticias-destacadas/flash-informativo/108flash-informativo-99 (consultado 19-01-2017).

Ares, G.; Giménez, A. y Gámbaro, A. (2008). “Understanding consumers’ perception of conventional and functional yogurts using word association and hard laddering”. Food Quality and Preference [en línea] http://dx.doi.org/10.1016/j.foodqual.2008.05.005 (consultado 14-03-2016).

Bartra, R. (2008). “Multiple factor analysis and clustering of a mixture of quantitative, categorical and frequency data”. Computational Statistics and Data Analysis [en línea] http://dx.doi.org/10.1016/j.csda.2007.09.023 (consultado 23-10-2016).

------------. (1996). La jaula de la melancolía. Identidad y metamorfosis del mexicano. México, D. F., Grijalbo.

Bécue-Bertaut, M. y Jérôme, P. (2004). “A principal axes method for comparing contingency tables: MFACT”. Computational Statistics and Data Analysis [en línea] http://dx.doi.org/10.1016/S0167-9473(03)00003-3 (consultado 23-10-2016).

Berumen, M.E. (2009). La actividad productiva maguey-mezcal. http://www.eumed.net/libros-gratis/2009a/492/ (consultado 9-01-2017).

Blomberg, L. (2000). Tequila, mezcal y pulque: lo auténtico Mexicano. Ciudad de México, Editorial Diana.

Bourdieu, P. (2002). La distinción: criterio y bases del gusto. Ciudad de México, Taurus.

Buitrago, A. (2014). “La vitivinicultura emergente en Bolivia y las oportunidades para el Singani”. RIVAR 1(2): 90-102.

Carduza, F.; Champredonde, M. y Casablanca, F. (2016). “Paneles de evaluación sensorial en la identificación y caracterización de alimentos típicos. Aprendizajes a partir de la construcción de la IG del Salame de Colonia Caroya, Argentina”. RIVAR 3(8): 24-40.

Castro, A. (2016). “Chicha y Sidra de manzana en Chile (1870-1930): manzanas con identificación de origen”. RIVAR 3(9): 4-25.

Castro, A.; Pszczólkowski, P.; Mujica, F.; Lacoste, P.; Núñez, E.; Cofré, C.; Adunka, M. y Soto, N. (2016). “El pajarete de Huasco y Elqui (Chile). Historia de un vino escogido”. Idesia [en línea] http://dx.doi.org/10.4067/S0718-3429016005000020 (consultado 7-032017).

Claret, A.; Guerrero, L.; García-Quiroga, M. y Ginés, R. (2016). “Does information affect consumer liking of farmed liking of farmed and wild fish?”. Aquaculture [en línea] http://dx.doi.org/10.1016/j.aquaculture.2015.12.024 (consultado 28-01-2017).

Consejo Regulador del Mezcal. (2016). Informe de actividades 2016 [en línea] http://www.crm.org.mx/informes.html (consultado 24-03-2016).

Consulta Mitofsky. (2009). “Consumo de bebidas alcohólicas en México TRACKING POLL ROY CAMPOS” [en línea] http://consulta.mx/index.php/estudios-e-investigaciones/mexico-pina/item/615-consumo-de-bebidas-alcoholicas-en-mexico (consultado 5-01-2017).

Donoghue, S. (2010). “Projective techniques in consumer research”. Journal of Family Ecology and Consumer Sciences [en línea] http://dx.doi.org/10.4314/jfecs.v28i1.52784 (consultado 14-03-2016).

Euromonitor Internacional. (2015). “Las 5 principales tendencias en bebidas alcohólicas por país en Norte y Suramérica” [en línea] http://go.euromonitor.com/rs/euromonitorinternational/images/Las%205%20principales%20tendencias%20en%20bebidas%20alcoh%C3%B3licas.pdf?mkt_tok=eyJpIjoiTURBd09HVmhZV1prTnpWbCIsInQiOiJwZ1RQY1lCZXp6c3BHekc4YVRhN0tMQXpic3JZZUE3M1RmenN4M0o5bG5WNFVhM3NxalZKTm5cL2hcLzdaYVRBWEUzbGVJQWtmNk5tVE5cLzVraW9NdDBVWDNUNEN4Z0lHRmNvVmRYdGtGZUhEUT0ifQ%3D%3D (consultado 15-12-2016).

Fortuna. (2013). “El tequila, siempre nuestro”. Revista Fortuna [en línea] http://revistafortuna.com.mx/contenido/2013/02/20/el-tequila-siempre-nuestro (consultado 24-01-2017).

Fournier, P. y Zavala, B. (2015). “La producción de mezcal en Durango: aproximaciones históricas, etnográficas y el reto de la denominación de origen”. En Quiñones-Hernández, L.C. Patrimonio e identidad en el Camino Real de Tierra adentro y el Camino nacional. Durango, UJED, UAEH, ENAH: 255-299.

Gaytán, M. y Valenzuela, A. (2012). “Más allá del mito: mujeres, tequila y nación”. Mexican Studies / Estudios Mexicanos [en línea] http://msem.ucpress.edu/content/28/1/183 (consultado 15-04-2016).

Gross, T. (2014). “Mezcal and Mexicanness: the symbolic and social connotations of drinking in Oaxaca”. Folklore [en línea] https://www.folklore.ee/folklore/vol59/gross.pdf (consultado 18-01-2017).

Guerrero, L.; Colomer, Y; Guàrdia, M. D.; Xicola, J. y Clotet, R. (2000). “Consumer attitude towards store brands”. Food Quality and Preference [en línea] http://www.sciencedirect.com/science/article/pii/S0950329300000124 (consultado 3-1-2017).

Guerrero, L.; Claret, A.; Verbeke, W.; Enderli, G.; Zakowska-Biemans, S.; Vanhonacker, F.; Issanchou, S.; Sajdakowska, M.; Signe-Granli, B.; Scalvedi, L.; Contel, M. y Hersleth, M. (2010). “Perception of traditional food products in six European regions using free word association”. Food Quality and Preference [en línea] http://dx.doi.org/10.1016/j.foodqual.2009.06.003 (consultado 04-2016).

Guerrero, L.; Claret, A.; Verbeke, W.; Vanhonacker, F.; Enderli, G.; Sulmont-Rossé, C.; Hersleth, M. y Guàrdia, M.D. (2012). “Cross-cultural conceptualization of the words Traditional and Innovation in a food context by means of sorting task and hedonic evaluation”. Food Quality and Preferences [en línea] http://dx.doi.org/10.1016/j.foodqual.2012.01.008 (consultado 3-05-2016).

Illsley, C. (2009). “The case of mezcal, Mexico”. En Giovannucci, D.; Josling, T.; Kerr, W.; O’Connor, B. y Yeung, M.T. Guide to Geographical Indications: Linking Products and Their Origins. Geneva, International Trade Centre: 183-196.

Illsley, C.; Giovannucci, D. y Bautista, C. (2009). “La dinámica territorial de la zona mezalera de Oaxaca: entre la cultura y el comercio” [en línea] http://www.geaac.org/images/stories/DM_DinamicTerritorial_110814.pdf (consultado 20-2-2016).

Jodelet, D. (1989). Les représantations sociales. París, Presses Universitaires.

Lacoste, P.; Castro, A.; Jiménez, D.; Soto, N.; Rendón, B. y Briones, F. (2015). “The rise and fall of Chanco cheese in Chile (1880-1930)”. Ciencia e Investigación Agraria [en línea] http://dx.doi.org/10.4067/S0718-1620201500010009 (consultado7-03-2017).

Lacoste, P.; Jiménez, D.; Castro, A.; Rendón, B. y Soto, N. (2013). “A bi-national appellation of origin: Pisco in Chile and Peru”. Chilean Journal of Agricultural Research [en línea] http://dx.doi.org/10.4067/S0718-58392013000400014 (consultado 6-03-2017).

Lê, S.; Josse, J. y Husson, F. (2008). “FactoMineR: An R package for multivariate analysis”. Journal of Statistical Software. [en línea] https://www.jstatsoft.org/article/view/v025i01 (consultado 4-11-2016).

Lê, S. y Worch, T. (2014). Analyzing sensory data with R. Boca Raton, Taylor and Francis Group.

Luna, R. (2012). “Análisis del mercado nacional y norteamericano del tequila. Continuidades y tendencias recientes”. Carta Económica Regional [en línea] http://www.revistascientificas.udg.mx/index.php/CER/article/view/5500 (consultado 29-01-2017).

Macías, A. y Valenzuela, A.G. (2009). “El Tequila en tiempos de la mundialización”. Comercio Exterior [en línea] http://revistas.bancomext.gob.mx/rce/magazines/127/3/RCE3.pdf (consultado 4-02-2016).

Martínez, J. (2012). El Tequila: historia, elaboración y control. Guadalajara, Tecno Agave.

Miszputen, M. (2007). “Simply Cachaça, simply Brazil”. Gastronomica [en línea] http://www.jstor.org/stable/10.1525/gfc.2007.7.2.90 (consultado 7-03-2017).

Molina-Guerrero, J.A.; Botello-Álvarez, J.E.; Estrada-Baltazar, A.; Navarrete-Bolaños, J.L; Jiménez-Islas, H.; Cárdenas-Manríquez, M. y Rico-Martínez, R. (2007). “Compuestos volátiles en el mezcal”. Revista Mexicana de Ingeniería Química [en línea] http://www.redalyc.org/articulo.oa?id=62060106 (consultado 24-07-2016).

Mouret, M.; Lo Monaco, G.; Urdapilleta, I. y Parr, W. (2013). “Social representations of wine and culture: A comparison between France and New Zealand. Food Quality and Preference [en línea] http://dx.doi.org/10.1016/j.foodqual.2013.04.014 (consultado 3001-2017).

Nestle, M.; Wing, R.; Birch, L.; DiSogra, L.; Drewnowski, A.; Middleton, S.; Sigman-Grant, M.; Sobal, J.; Winston, M. y Economos, C. (1998). “Behaviorial and social influences on food choice”. Nutrition reviews [en línea] https://doi.org/10.1111/j.17534887.1998.tb01732.x (consultado 12-05-2016).

Norma Oficial Mexicana. (2012). NOM-006-SCFI-2012. Bebidas alcohólicas -Tequila Especificaciones. Dirección General de Normas. Secretaría de Economía [en línea] http://www.dof.gob.mx/nota_detalle.php?codigo=5282165&fecha=13/12/2012 (consultado 11-01-2017).

Olmedo-Carranza, B. (2010). “El tequila: de su origen a su desnaturalización. ¿A quién le pertenece su conocimiento? Una aproximación”. Ciencias Químicas [en línea] http://www.redalyc.org/articulo.oa?id=181620500061 (consultado 11-01-2017).

Rodrigues, H.; Ballester, J.; Saenz-Navajas, M.P. y Valentin, D. (2015). “Structural approach of social representation: Application to the concept of wine minerality in experts and consumers”. Food Quality and Preference [en línea] http://dx.doi.org/10.1016/j.foodqual.2015.07.019 (consultado 6-05-2016).

Rozin, P.; Kurzer, N. y Cohen, A. (2002). “Free associations to food: The effects of gender, generation and cultures”. Journal of Research in Personality [en línea] http://dx.doi.org/10.1016/S0092-6566(02)00002-8 (consultado 3-06-2016).

Shao, Z.; Janse, E.; Visser, K. y Meyer, A. (2014). “What do verbal fluency tasks measure? Predictors of verbal fluency performance in older adults”. Frontiers in Psychology [en línea] https://doi.org/10.3389/fpsyg.2014.00772 (consultado 28-11-2016).

Simonnet-Toussaint, C.; Lecigne, A. y Keller, P.H. (2005). ”Les représentations sociales du vin chez de jeunes adultes: Du consensus aux spécificités de groupes”. Bulletin de Psychologie [en línea] https://www.cairn.info/revue-bulletin-de-psychologie-2005-5page-535.htm (consultado 28-01-2017).

Trichopoulou, A.; Soukara, S. y Vasilopoulou, E. (2007). “Traditional foods: a science and society perspective”. Trends in Food Science and Technology [en línea] http://dx.doi.org/10.1016/j.tifs.2007.03.007 (consultado 11-05-2016).

Villanueva-Rodríguez, S. y Escalona-Buendía, H. (2012). “Tequila and mezcal: Sensory attributes and sensory evaluation”. En Piggott, J. Alcoholic Beverages: Sensory Evaluation and Consumer Research. Cambridge, Woodhead Pushing: 359-378.

XLSTAT. (2017). “Centro de soporte XLSTAT” [en línea] https://help.xlstat.com/customer/es/portal/articles/2062257-comparar-k-proporcionestutorial-en-excel (consultado 11-01-2017).

Notas

* Proyecto “Medición del nivel de agrado y conceptualización del mezcal: un estudio comparativo entre consumidores de cuatro regiones con diferentes hábitos de consumo”. Consejo Nacional de Investigaciones Científicas y Tecnológicas. México. Los autores agradecen al Consejo Nacional de Ciencia y Tecnología por el otorgamiento de la Beca # 235695 para la realización de este proyecto.


Buscar:
Ir a la Página
IR
Visor de artículos científicos generados a partir de XML-JATS4R por