RESUMEN: La creciente inseguridad en la Ciudad de México ha puesto en consideración de las autoridades policiales nuevas formas para enfrentar hechos delictivos. Por ello, se explora aquí la estrategia de seguridad denominada Programa de Cuadrantes de la Ciudad de México, de acuerdo con el modelo de sistema viable y la metodología de autotransformación. Se analizó la percepción ciudadana de efectividad del programa y se identificaron las brechas para posibles transformaciones. Posteriormente, se abordó el tema de seguridad y delincuencia en el contexto reciente en un espacio delimitado de la capital mexicana. Se observa que el programa por cuadrantes no tiene la efectividad esperada, por lo cual la población tiene una mala, regular o nula relación con la policía
PALABRAS CLAVE: Ciudad de MéxicoCiudad de México,metodología de autotransformaciónmetodología de autotransformación,policíapolicía,programa de cuadrantesprograma de cuadrantes,seguridad ciudadanaseguridad ciudadana,zona urbanazona urbana.
ABSTRACT: The rising insecurity in Mexico City has driven police authorities to consider new ways to manage crime. Here, we explore the security strategy known as the Mexico City Quadrant Program, following the viable system model and the self-transformation methodology. The public's perception of the program's effectiveness was analyzed, and gaps were identified for possible changes. Then, the issue of security and crime was addressed in a delimited space of the Mexican capital in the modern context. It was observed that the quadrant program does not have the expected effectiveness; the population has a weak, medium, or no relationship with the police
KEYWORDS: citizen security, Mexico City, police, quadrant program, self-transformation methodology, urban area.
Política y estrategia
Programa de cuadrantes en Ciudad de México: diagnóstico según el modelo de sistema viable
The quadrant program in Mexico City: a diagnosis following the viable system model
Recepción: 04 Octubre 2019
Aprobación: 12 Diciembre 2019
El presente artículo presenta una investigación exploratoria de cumplimiento del programa de cuadrantes y la percepción de la seguridad ciudadana en la Ciudad de México (CDMX). El objetivo es realizar un diagnóstico desde el modelo de sistema viable (MSV) mediante la aplicación de la metodología de autotransformación de la efectividad del Programa de Cuadrantes de la Ciudad de México e identificar brechas recurrentes en el sistema. Desarrollado bajo una visión y aplicación sistémica, se abordó el tema de seguridad y delincuencia en un contexto determinado, un espacio físico delimitado y una problemática concreta cotidiana que es analizada como un sistema complejo. Esta investigación está motivada por las altas tasas de inseguridad en CDMX que, junto con la evolución de métodos y prácticas delincuenciales, agudizan un problema que no ha sido manejado de manera exitosa por parte de las autoridades policiales.
Dicha inseguridad lesiona el bienestar, desarrollo, progreso y la estabilidad económica: en lo social hay afectaciones en el campo laboral, familiar, escolar, así como también en el campo de salud, movilidad y convivencia cotidiana, entre otros (Fennelly, 2004). En lo económico, la inseguridad afecta inversión, financiamiento, productividad, competencia, las fuentes de trabajo y la certidumbre empresarial (Reynal, 1990). En lo político, genera descoordinación de la actuación del Estado, que conlleva corrupción e impunidad, afecta el Estado de derecho, transparencia, rendición de cuentas y lleva a que se exhiba una imagen negativa en el exterior.
Para cumplir con la intención del documento, se revisa literatura en seguridad para CDMX, posteriormente se presenta la metodología utilizada, la identidad del proceso, los niveles de organización recursiva, la estrategia estructural y los resultados que dan lugar a las recomendaciones a partir del MSV.
Los problemas en la CDMX en cuanto a su aumento de la criminalidad, la delincuencia y la violencia se aceleraron a mediados de los años noventa del siglo pasado. De una tasa anual de 1.700 delitos por cada 100.000 habitantes en 1993, se pasó a 2.835 en 1995, mientras que los delitos cometidos con violencia aumentaron un 500 % de 1990 a 1996 (Zurita & Ramírez, 1999). En el mismo periodo, el porcentaje del robo mediante el uso de la violencia se incrementó de 38,5 % a 55,5 % (Fundación Mexicana para la Salud, 1997). Asimismo, la ciudad vive la peor crisis de homicidios dolosos en los últimos 20 años, pues la cifra de 2016 -10,78 por cada 100 mil habitantes- está muy cerca del pico que se presentó en 1997, la cual fue de 10,98 por cada 100 mil habitantes, según datos oficiales de la procuraduría capitalina. Para años más recientes, el aumento de la delincuencia se ha evidenciado con los delitos de robo a negocios, a casa o habitación y a transeúntes, los cuales de 2015 a 2016 aumentaron: el primero en un 7 %, el segundo un 13 % y el tercero un 9 % con un comportamiento al alza desde 2014 (Observatorio Ciudadano de la Ciudad de México [OCMX], 2016).
Siendo la seguridad pieza angular para la expansión de cualquier desarrollo humano y bajo la presión del incremento cuantitativo en la actividad delictiva y cualitativo en percepción de inseguridad en los últimos 20 años, se ha llevado, por parte de las autoridades, a priorizar acciones de respuesta policial a los problemas de inseguridad (Salgado, 2009), en especial, la búsqueda de estrategias donde se articule policía y comunidad para generar entornos comunitarios más seguros basados en la convivencia ciudadana (Paez et al., 2018). Vale señalar que la CDMX es la entidad más pequeña de México, con una extensión de 1.495 km2, lo que equivale al 0,1 % del territorio del país y donde habitan 8.918.653 personas, es decir, el 7,5 % de los mexicanos (Instituto Nacional de Estadística y Geografía [Inegi], 2015) y tiene una alta complejidad por ser parte de una zona metropolitana e involucrar una gran movilidad de personas. Su administración se divide en 16 alcaldías, sin embargo, la policía está centralizada en la Secretaría de Seguridad Ciudadana de la Ciudad de México (en adelante SSCCDMX). A partir de lo anterior, y tomando un enfoque integral y efectivo de la seguridad pública, es necesario evitar escenarios de inseguridad (Ramos, 2005), generando acciones contundentes que permitan combatir y prevenir los hechos delictivos que ponen en riesgo la pacífica convivencia de la sociedad (Secretaría de Seguridad Pública del DF [SSPDF], 2016).
Como antecedentes a las estrategias implementadas, a mediados de 1995 el Gobierno Federal puso en marcha una estrategia para reforzar la seguridad y frenar la violencia a través de tres ejes de acción: 1) controles policiales en determinados puntos con el programa de reacción inmediata máxima alerta, 2) endurecimiento de las leyes, por ejemplo, disminuyendo la edad de responsabilidad penal de 18 a 16 años y sin posibilidad de fianza al robo menor y 3) militarización policial que buscó imponer una disciplina militar (Arteaga, 2017). Sin embargo, esta estrategia sirvió para cuestionar las políticas represivas emanadas desde el Gobierno de la República. Por su parte, en 1997 se eligió por primera vez de forma democrática el alcalde de la ciudad, quien firmó la Ley de Participación Ciudadana de 1998 la cual permitió, en 1999, la elección popular de los comités vecinales que iniciaron actividades en el 2000. Esta fue la primera organización formal de la comunidad, lo que le permitió vincularse y participar con los programas de las autoridades y así sugerir caminos de trabajo conjunto en combate a la delincuencia (Alvarado, 2010).
Ya en el nuevo milenio, en noviembre de 2002, entró en operación la primera Unidad de Protección Ciudadana (UPC) como parte de una estrategia de la SSPDF para hacer eficiente, modernizar y democratizar la gestión de la policía preventiva, siendo este uno de los modelos más sobresalientes en términos de acercamiento de la policía a la ciudadanía (Salgado, 2009). Sin embargo, pese a los esfuerzos de las autoridades, el deterioro de la seguridad urbana siguió aumentando, por lo cual, en 2003, una nueva coalición de líderes de los sectores público y privado invitó a Rudolph Giuliani a diseñar un nuevo plan de seguridad para la ciudad, que terminó con un esquema de recomendaciones de "mano dura" al estilo de Nueva York en los años noventa.
Este plan retomaba modelos represivos tradicionales como medidas de "cero tolerancia" y criminalización ciertas conductas públicas (Davis, 2007), dando como resultado que las clases sociales se refugiaran entre sus iguales generalizando la sospecha hacia los otros, aumentado la seguridad privada y los sistemas de protección (Pansters & Castillo, 2007). De este modo, se regresó nuevamente a modelos represivos y se reforzó la teoría de que la propuesta de Giuliani tenía un efecto tangible en el fomento del desarrollo inmobiliario, en particular, el rescate del centro histórico, el cual había entrado en un proceso de deterioro desde años atrás, pues fue ocupado por personas de bajos recursos, vagabundos y sectores marginados (Pineda, 2003). Dicho proyecto también impulsó la modernización de la seguridad a través de la instalación de nuevas tecnologías de vigilancia electrónica y vía internet, donde la mayor parte de las cámaras y tecnología de monitoreo de punta que recomendó el informe se instaló finalmente en el centro histórico de la ciudad (Davis, 2007).
Posteriormente, para el año 2006 se implementó el programa Proyecto Bicentenario: Ciudad Segura, cuyo objetivo fue responder de manera inmediata a las emergencias, situaciones de crisis y actos ilícitos mediante la instalación de 12 mil cámaras de vigilancia, por lo que se impulsó la división de la ciudad por cuadrantes (Arteaga, 2017). También se promovió el uso de la tecnología CompStat (acrónimo en inglés de Computer Statistics or Comparative Statistics), que era un sistema de información geográfico y de producción estadística, que permitía localizar las áreas de mayor incidencia delictiva, para orientar el trabajo de la policía y transmitir de inmediato las indicaciones al cuadrante de actuación policial en el que el ilícito estuviera llevándose a cabo (Salgado, 2009). Por consiguiente, se adoptó el modelo de policía de proximidad que se basaba en mejorar la relación entre policías y sociedad, generando canales de comunicación amplios y directos para fomentar la denuncia, así como obtener información y propiciar condiciones de transparencia para que la gestión fuera más proactiva y cercana a la ciudadanía (Ungar, 2009).
Por lo anterior, en el 2010 se inició el Programa Cuadrantes, con el cual la ciudad se dividió en 5 zonas, 15 regiones, 74 sectores y 865 cuadrantes (Alvarado, 2012) para cubrir el territorio de la CDMX por parte de la SSPDF. Esto se dio como estrategia operativa de la Policía de Proximidad para el combate a la delincuencia y para tener un mayor acercamiento a los ciudadanos y así generar una acción policial más eficaz en beneficio de quienes viven y transitan en la capital del país (Secretaría de Seguridad Pública de la Ciudad de México, 2017). A pesar de lo anterior, la comprensión de los programas implementados por la policía y la forma en que estos funcionan en contextos complejos de violencia urbana y conflicto no se pueden lograr únicamente a través de la revisión de literatura (Abello & Pearce, 2007). Existen varios estudios sobre seguridad ciudadana, pero pocos exploran la forma de participación en los programas de seguridad pública (Alvarado, 2010). Estos hacen un análisis de la inseguridad desde la perspectiva del incremento de la delincuencia en los últimos años, donde no existe una sistematización en cuanto a los programas, modelos y recolección de datos que permita la comparación de resultados con fines predicti-vos para articularlos y frenar el crecimiento de la delincuencia.
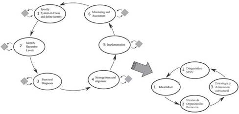
Se utiliza la metodología de autotransformación para llegar al MSV de Stafford Beer como herramienta de intervención sistémica. Este modelo permite examinar aspectos estructurales del programa por cuadrantes como un lenguaje unificador de la sostenibilidad en organizaciones de diferentes tipos y escalas (Espinosa & Walker, 2011). Para poder acceder a la percepción de seguridad de la comunidad en la CDMX, se realizó una encuesta descriptiva aplicada a la comunidad utilizando una muestra de tipo aleatoria estratificada. Los enfoques sistémicos permiten que la comunidad afectada por la inseguridad adquiera compromiso articulado con las autoridades para generar propuestas de transformación. Siguiendo a Espinosa y Duque (2017), se requiere autoevaluación de los implicados y entre estos últimos plantear soluciones. Esto implica la metodología de autotransformación, compuesta por siete pasos; sin embargo, como el objetivo de este artículo es un diagnóstico, nos centraremos en los primeros cuatro: identidad, niveles de organización recursiva, estrategia y alineación estructural, y diagnóstico MSV. La metodología se enfoca en la capacidad de resiliencia de los sistemas, es decir, en la superación desde adentro del sistema de los problemas (Espinosa & Walker, 2011).

Por su parte, Beer (1983) explicó cómo el MSV podría apoyar de manera innovadora a las comunidades y sociedades en la solución de sus problemas, por ejemplo, la policía como un sistema, el cual es un "conjunto de partes interrelacionadas que percibimos como un todo" (Espejo & Reyes, 2016, p. 16). La idea principal del MSV es entender las condiciones necesarias y suficientes para que un sistema sea viable: "asegurando sus capacidades de existencia independiente, autorregulación, aprendizaje, adaptación y evolución necesarias para garantizar su supervivencia" (Puche et al., 2005, p. 5). Para lograrlo, se plantean cinco sistemas necesarios y suficientes para la viabilidad: Sistema uno hace referencia, desde la perspectiva de Beer (1983), a los procesos primarios que están conformados por las actividades primarias capaces de ser viables, siendo estas unidades funcionales las encargadas de desarrollar las áreas y actividades básicas de la organización (Peón, 2015), mientras que el resto, del dos al cinco, sirven al sistema uno (Puche et al., 2005). Sistema dos de coordinación: Es el encargado de sincronizar las diferencias que se puedan presentar en cada uno de los subsistemas, garantizando que todos tengan un lenguaje común con objetivos institucionales y no locales (Espinosa & Walker, 2011). Sistema tres de control: representa las estructuras y controles que se ponen en marcha para establecer las reglas, recursos, derechos y responsabilidades del sistema 1 y proporcionar una interfaz con los sistemas 2, 4 y 5 (Kinloch et al., 2009). Sistema cuatro de inteligencia: Es responsable del "afuera y luego". Su enfoque es el mundo exterior, va en busca de amenazas y oportunidades y viene con planes para adaptarse a las nuevas circunstancias (Espinosa & Walker, 2017). Sistema cinco de políticas: Es el proceso que regula la estabilidad interna frente al cambio externo, siendo el que define el ritmo de cambio adecuado del sistema, al regular la relación del sistema con su medio. Es decir, es un proceso de sabiduría regulador del ritmo de cambio (Peón, 2015). Los mencionados sistemas, aplicados al caso de estudio, se identifican plenamente, ver figura 3. A través del MSV se identifican dilemas centrales como la participación y prevención del delito con vinculación ciudadana para mejorar su percepción en el sistema programa por cuadrantes y de manera interna en la organización policial. Para este artículo nos centraremos en la relación directa e indirecta que tiene este sistema con la comunidad. A continuación, se desarrolla la metodología de autotransformación: identidad, definición de niveles de organización recursiva, estrategia y alineación estructural y diagnóstico MSV
Para definir la identidad del sistema Programa por Cuadrantes de la CDMX se requiere establecer las partes y sus relaciones. Para ello se utiliza el método Tascoi: transformación, actores, suministradores, clientes, organizadores e intervinientes (Espejo & Reyes, 2016). La transformación hace referencia a las actividades necesarias para lograr los objetivos esperados: los actores son quienes realizan tales actividades, los suministradores son los que ofrecen los insumos, los clientes son los beneficiarios de las actividades y los organizadores son los gerentes (los líderes del proceso), mientras que los intervinientes son grupos que influyen en el sistema de una u otra manera.
A continuación, se delimita sistemáticamente la identidad de la Policía de Ciudad de México, tomando como misión en uso que la institución es un sistema que provee un servicio de seguridad ciudadana con el propósito de proteger a la sociedad.
Transformación: En este paso se requirió conocer el Programa por Cuadrantes e identificar las funciones primarias del sistema. Se consultó información en la Secretaría de Seguridad Ciudadana de la Ciudad de México y se apoyó con la realización de entrevistas personales a miembros de la policía, quienes permitieron identificar las actividades primarias del Programa por Cuadrantes, logrando aclarar y asegurar su despliegue correcto. De acuerdo con la Secretaría de Seguridad Pública de Ciudad de México (2017), el Programa de Operación Policial por Cuadrantes busca una interacción de la policía con la sociedad: "policía social". Esta se encuentra vinculada con las necesidades de las personas de la CDMX, destacando el combate y prevención de los hechos delictivos. Dicha policía se enfoca en atender las características y las necesidades de la sociedad y tiene entre sus objetivos: acotar espacios para evaluar desempeño individual, hacer un acercamiento efectivo a la población (visitas domiciliarias), mejorar la percepción ciudadana (conocimiento de programas) y disminuir los tiempos de respuesta ante las emergencias. Todo esto con el fin de establecer redes de confianza con más participación comunitaria, para lograr la reducción de los delitos de alto impacto social que afectan la población de la Ciudad de México. Lo anterior es lo que se conoce como actividades primarias.
Actores: Son todos los policías del programa por cuadrantes encargados de llevar a cabo las actividades específicas del sistema.
Suministradores: Son los ciudadanos que con su participación comunitaria proporcionan la información; el Gobierno de la ciudad de México y su Secretaría de Seguridad Ciudadana, que proporcionan todos los recursos para la operación policial; y la universidad de la policía que provee entrenamiento, formando especialistas y profesionales en materia de seguridad ciudadana.
Clientes: Es la población absoluta de CDMX, que son los favorecidos directamente por la labor de seguridad ciudadana que adelanta la policía.
Organizador: El subsecretario de Operación Policial.
Intervinientes: Jefe de gobierno y secretario de seguridad ciudadana, quienes regulan los procedimientos de la Policía de CDMX.
Existen diferentes niveles para modelar la interacción policía-comunidad y así aclarar los límites que tiene cada subnivel. Esta representación es utilizada para el Programa por Cuadrantes de la CDMX donde se encuentran seis niveles (figura 2) en los que utilizaremos un mapeo recursivo para comprender mejor los desafíos de la complejidad implícita en todos los puntos de diagnóstico.

Nivel 0. Secretaría de Seguridad Ciudadana: Es la encargada de preservar y proteger el orden público, la integridad personal y los bienes de toda la población de la Ciudad de México, ejerciendo actividades de participación ciudadana, profesionalizando las instituciones policiales, aplicando la tecnología en apoyo del servicio de la seguridad pública y ayudando a prevenir la comisión de delitos, en coordinación con los niveles de gobierno (Secretaría de Seguridad Ciudadana [SSC], s. f.).
Nivel 1. Subsecretaría de Operación Policial: Controla el mando operativo de la policía preventiva, da las órdenes generales de operación y supervisa el funcionamiento de unidades y servicios de la policía preventiva.
Nivel 2. Direcciones Generales de Zona: Elabora los planes y programas en materia de seguridad pública con el fin de mitigar delitos, origina los operativos de seguridad y vigilancia en zonas de mayor inseguridad y apoya la vinculación policía-comunidad. Esta se subdivide en cinco zonas (norte, oriente, sur, poniente y centro).
Nivel3. Direcciones Ejecutivas Regionales: Evalúan los planes y programas operativos, califican los servicios de seguridad y orden, y se encargan de mantener contacto con las autoridades delegacionales en materia de prevención.
Nivel 4. Sectores: Realizan estrategias y técnicas de operación policial basada en la incidencia delictiva, se encargan de la distribución del personal dependiendo de su área geográfica, corrobora y coordina toda detención y presentación de personas ante el Ministerio Público o Jueces Cívicos, con base a la orografía, densidad de población, incidencia delictiva, vialidades y estado de fuerza, la CDMX está dividida en 75 sectores (Espinosa, 2014).
Nivel 5. Jefes de cuadrante: Son las personas encargadas del cuadrante, que tienen contacto directo con la comunidad, conocen la incidencia delictiva diariamente y establecen acciones para combatirla. Identifican zonas de riesgo para establecer acciones de prevención y combate del delito.
Teniendo en cuenta que las actividades primarias del programa por cuadrantes que se están analizando son tres: visitas domiciliarias (A), conocimiento de programas de seguridad (B) y disminución del tiempo de respuesta (C); la estrategia estructural busca explorar la ejecución y cumplimiento de estas actividades por parte del nivel cinco de recursión (jefes de cuadrante). Con base en la información anterior, se decidió realizar una encuesta a la comunidad con la premisa de obtener datos que permitan la evaluación y acatamiento de las actividades primarias que conllevan el cumplimiento misional de la policía de proximidad, que es la participación y prevención del delito con vinculación ciudadana. Para cumplir con esto, se utilizó el MSV como metalenguaje (figura 3) para diagramar la Policía de CDMX.

De acuerdo con el diagrama del MSV se hacen las descripciones necesarias de la figura 3 acerca de los sistemas:
El Sistema 1 (S1) corresponde a operaciones. Tiene los siguientes roles y mecanismos dentro del programa cuadrantes: zonas, regiones, sectores y cuadrantes. Además contiene las tres actividades primarias del programa por cuadrantes ya mencionadas (A, B y C).
El Sistema 2 (S2) corresponde a la Coordinación, la dirección de seguimiento operativo. Se encarga de articular los operadores primarios de acuerdo con las operaciones descritas.
El Sistema 3 (S3) corresponde a control, en cabeza del subsecretario de operación policial. Sistema 3*, auditoría por la subdirección de control y seguimiento operativo.
El Sistema 4 (S4) de planeación. Está directamente relacionado con el futuro del programa, representado por la Subsecretaría de Desarrollo Institucional y la Subsecretaría de Información e Inteligencia Policial.
El Sistema 5 (S5) de políticas. Está representado por el rol de secretario de seguridad ciudadana.
Para tener registros de cumplimiento misional del Programa de Cuadrantes se diseñó y aplicó un cuestionario de diagnóstico (Anexo A), en el cual se usó el muestreo aleatorio estratificado para el cubrimiento de todas las alcaldías de interés de forma que estuvieran representadas adecuadamente en la muestra. En este caso tenemos un universo finito y se utilizaron las fórmulas de Spiegel y Stephens (2009).

Donde:
n: es el tamaño de la muestra poblacional a obtener.
Z: es el valor obtenido mediante niveles de confianza, su valor es constante (siendo 2,58 para un 99 % de confianza y 1,96 para un 95 % de confianza).
σ: desviación estándar de la población. Es un valor constante de 0,5.
N: es el tamaño de la población total.
e: representa el límite aceptable del error muestral (siendo 0,01 para un error muestral de 1 % y 0,09 para un error muestral del 9 %).
Tomando valores de N= 6488199, Z=2,064 (96 °% de confianza), e=4 %, σ=0,5.

Donde:
Ni: es el tamaño de la población por alcaldía.
ni: es tamaño de la muestra poblacional por alcaldía a obtener.
Por tanto, el tamaño de muestra estadísticamente es de 666 datos (encuestas) y los datos de la muestra poblacional por alcaldías se pueden ver en la tabla 1.

Las encuestas fueron aplicadas en las calles de las diferentes colonias de las alcaldías, contando con participación de personas que se encontraban en establecimiento público, casa o edificios, que accedieron a responder dicho cuestionario. Una vez obtenida la información a través de la encuesta, se analizó y fue correlacionada como insumo para el diagnóstico en mapeo MSV, para hallar brechas en cumplimiento de actividades primarias.
A continuación, se presentan los resultados más relevantes de la encuesta que se aplicó a un total de 666 personas en las diferentes alcaldías (anteriormente llamadas delegaciones) de la CDMX de las cuales el 51 % eran del género masculino y el 49 % del femenino teniendo una participación casi paritaria entre hombres y mujeres (Anexo B, figura 5). El 49 % de las personas encuestadas se encontraba en el rango de edad de 29 a 39 años y el 30 % se encontraban entre los 20 y los 28 años. El resto, con 40 o más años sumó el 21 % (Anexo B, figura 6). El nivel educativo máximo que habían alcanzado los encuestados se dividió de la siguiente manera: el 1 % reportó no haber realizado ningún estudio, el 3 % solo había hecho la primaria, el 14 % la secundaria, el 44 % tenía preparatoria, el 14 % tenía educación técnica, el 17 % había alcanzado la licenciatura y tan solo el 7 % había hecho maestría o doctorado (Anexo B, figura 7).
Frente a la pregunta ¿cuánto tiempo tiene usted habitando la alcaldía?, los resultados mostraron lo siguiente: el 60 % de los encuestados vive hace más de 15 años en su respectiva alcaldías, el 11 % lleva viviendo de 11 a 15 años allí, otro 11 % de 6 a 10 años, el 10 % de 2 a 5 años, el 5 % de 6 a 23 meses, el 2 % menos de 6 meses y el 1 % no sabe o no responde (Anexo B, figura 8). Esto nos da una certeza de la percepción y de las vivencias de cada persona con respecto a la seguridad de su alcaldía por el tiempo habitado en esta. Se evidencia que el 82 % de la población vive como mínimo hace 6 años en su alcaldía, el 10 % de 2 a 5 años y solo el 8 % menos de 2 años. Esto nos proporciona respuestas más certeras acerca del conocimiento a lo largo de un tiempo medio de lo que sucede en su entorno.
La parte B de la encuesta se enfocó en la percepción de seguridad pública en el 2017. Vale señalar que el concepto de seguridad se definió como ausencia de riesgo, daños y peligros. Se les preguntó a los encuestados cómo percibían la seguridad del año 2017 en comparación con 2016, y se obtuvieron los siguientes resultados: el 43 % de las personas encuestadas percibe que la CDMX es más insegura actualmente y el 29 % mucho más insegura, solo el 22 % un poco más segura, el 2 % mucho más segura y el 4 % no sabe no responde (Anexo B, figura 9). Lo anterior muestra que el 72 % percibe a la ciudad más insegura, una cifra bastante alta que, de entrada, deja ver que, por lo menos a nivel de percepción, el Programa de Cuadrantes no está teniendo el éxito esperado. La misma pregunta se formuló, pero enfocándose no en toda la CDMX, sino específicamente en la alcaldía donde habitan los encuestados.
Los resultados van en la misma dirección que la pregunta a nivel de toda la ciudad: las respuestas de "mucho más insegura" y "más insegura" suman el 65 % de los encuestados. Tan solo el 30 % afirma que su delegación sea "un poco más segura" y "mucho más segura", mientras que el restante eligió la opción "no sabe, no responde" (5 %) (Anexo B, figura 10). Estos datos concuerdan con los obtenidos por el Inegi (2017) donde reportan que la percepción de inseguridad en la entidad federativa es del 74,3 % y en la alcaldía es del 66,3 %. Esta percepción de inseguridad es el reflejo del estado actual de la seguridad pública, ya que el Observatorio Ciudadano de la Ciudad de México (OCMX, 2017) reporta que en el año 2017 hubo incremento en las tasas de incidencia en 6 de los 10 delitos de alto impacto. Adicionalmente, a los encuestados se les pidió que ordenaran de mayor a menor importancia los delitos más frecuentes en su alcaldía, para así identificar cuáles eran los de mayor impacto social. El robo a personas, el robo a casas y el robo a negocios fueron los que la gran mayoría percibió como los más alarmantes (Anexo B, tablas 3 y 4.
Las respuestas de los encuestados están en concordancia con la información de Inegi (2017): en el 2016 hubo 31,1 millones de delitos donde el 25,9 % fue el robo o asalto en la calle o en transporte público, la mayor tasa de delitos. Por su parte, el 11,3 % de los delitos corresponde a robo de vehículo y el 6,6 % a robo en casa o habitación. Esta situación de percepción de inseguridad ha llevado a que el 78 % de los encuestados manifestara cambios en los hábitos de las personas (Anexo B, figura 11 y tabla 5), pues están tomando sus propias medidas de seguridad para no ser víctimas de algún delito en la CDMX (cambiar rutas de transporte o caminos, no caminar por lugares solitarios, no portar objetos de valor y salir en horas concurridas, entre otros).
Por su parte el Inegi (2017) ha señalado que los ciudadanos también han optado por impedir que los hijos menores salgan solos, han dejado de usar joyas, no salen de noche, no llevan dinero en efectivo. Este no es un detalle menor, pues demuestra que hay poca confianza en la acción policial. Otro de los aspectos encontrados es que las personas también han cambiado los medios de enterarse sobre casos de delincuencia al hacer uso de tecnología actual como son las redes sociales y la web, ya que el 23 % de los encuestados usan aplicaciones como Facebook, Twitter y WhatsApp para recibir información acerca de la seguridad pública; el 38 % de las personas encuestadas lo hacen por medio de los vecinos y conocidos, el 16 % por medio de televisión, el 12 % por medio de radio y el 11 % por medio de periódico (Anexo B, figura 12). Esto refleja que el "voz a voz" sigue siendo más fuerte junto con los medios de información comunes (radio, televisión y periódicos) en una época tecnológica.
La parte C de la encuesta, por su parte, tenía como objetivo saber si la población tenía conocimiento del programa por cuadrantes. Tal como se esperaba con base en la parte B, el resultado fue que el 86 % de la población no tiene conocimiento de algún programa de seguridad pública (Anexo B, figura 13 y tabla 6). Esto explica también que las personas estén buscando protegerse por su propia cuenta, como ya se mostró con el asunto de los cambios de hábitos. Además, vale agregar que el 63 % no conocen de la existencia de herramientas tecnológicas como, por ejemplo, Mi Policía (Anexo B, figura 14 y tabla 7). Sumado a lo anterior, vale indicar que apenas una cuarta parte, el 24 % de la comunidad, conoce al policía encargado, mientras el 76 % no lo conoce (Anexo B, figura 15). Esto evidencia que hay una mala comunicación entre la policía y la comunidad, lo que está impidiendo realizar un trabajo conjunto. Además, solo el 7 % de la población encuestada ha sido contactada por la policía para recabar datos (Anexo B, figura 16) y solo un 15 % de la población tiene conocimiento de acciones realizadas por la policía para mejorar la seguridad (Anexo B, figura 17 y tabla 8).
Por último, la parte D de la encuesta está directamente enfocada a la actuación de las autoridades con la comunidad. De allí se obtuvo que para un 33 % de las personas encuestadas la relación con la policía ha sido regular, para un 25 % mala, el 16 % nula y el 15 % no sabe no responde y tan solo un 11 % ha indicado que es buena (Anexo B, figura 18). Lo que evidencia que el 74 % de la población tiene una inadecuada relación con la policía (mala, regular y nula). Entonces, además de que poco se conoce de las medidas tomadas por las autoridades policiales, la comunidad no se relaciona bien con estos, lo que representa un obstáculo mayor para lograr acciones conjuntas de mejoría. Un resultado similar se presenta frente a la evaluación de la función de la policía en la alcaldía, el 27 % de las personas encuestadas piensa que la función de la policía es mala, el 22 % que es regular, el 22 % piensa que es nula, el 2 % no sabe no responde y solamente el 27 % señala que es buena por lo que no tiene legitimidad en la mayoría de los encuestados (Anexo B, figura 19).
Basados en cifras de Inegi (2017) esto queda más claro, pues se señala que esta población solo tiene un 50 % de confianza en la autoridad policial y adicionalmente la ven como la segunda autoridad más corrupta del país. A lo anterior se le suman los tiempos de respuesta de la policía según los encuestados. Del 70 % de las personas que ha solicitado ayuda a la policía por alguna emergencia (Anexo B, figura 20 y tabla 9), en cuanto al tiempo de respuesta para llegar al lugar los resultados son los siguientes: solo el 5 % dice que llegó entre 1 y 3 minutos, un 10 % de 4 a 6 minutos, el 29 % de los casos fue de 7 a 9 minutos, un 24 % de 10 a 12 minutos, un 23 % de 13 minutos en adelante y el 9 % que dice que nunca llegó (Anexo B, figura 21). Esto muestra que en el 76 % de los casos el tiempo de respuesta de la policía no fue oportuno, ya que se gastó más de 6 minutos y solo en el 15 % de los casos fue oportuna con menos de 6 minutos.
La Secretaría de Seguridad Pública (2017) ha trabajado en el mejoramiento de los tiempos de respuesta ante las emergencias, teniendo dentro de sus objetivos pasar de 7 a 3 minutos 55 segundos el tiempo de respuesta. Por ahora, con base en la información recolectada, la meta se encuentra lejos de alcanzarse. Esta investigación permitió cumplir lo que recomiendan Cuéllar-Padilla & Calle-Collado (2011) y Tavella y Hjortsø (2012), que es la importancia y necesidad de obtener evidencia para los enfoques comunitarios participativos e interactivos, en función de abordar problemáticas complejas de una comunidad. En este caso, se obtuvo evidencia real de la percepción de la comunidad sobre el conocimiento del Programa por Cuadrante y de la seguridad pública, lo cual nos permitió identificar las diferentes brechas respecto al sistema Programa por Cuadrantes desde la perspectiva de la comunidad, ya que dicho programa se fundamenta como un proceso colaborativo (policía-comunidad) para la prevención de delitos que afecten la seguridad pública.
En esta parte se hace uso del MSV para observar y comprender de una forma sistémica el cumplimiento de procesos primarios del sistema Programa de Cuadrantes de la policía CDMX, ayudándonos a entender los límites actuales de las interacciones de la red (Espejo & Reyes, 2016). Su valor radica en proporcionar un lenguaje común para ayudar a los operadores del programa, a aclarar las estrategias utilizadas para manejar la complejidad de sus tareas. En consecuencia, la figura 4 presenta el arquetipo de actividades primarias débiles, los resultados de cumplimiento por parte de los operadores del modelo en su nivel de recursión cinco.
Este arquetipo resulta cuando las actividades primarias contenidas en el sistema no se cumplen para conformar alineamiento y autonomía, sino que por el contrario generan dependencia de una relación jerárquica. La tabla 2 resume la valoración de esta investigación, al terminar el proceso de diagnóstico sobre el cumplimiento de objetivos planteados en el Programa por Cuadrantes en CDMX.

En la tabla 2 se observa que falta enfocarse en lo prioritario para cumplir el propósito de fortalecer las labores de vigilancia y participación en las calles para disminuir los índices delictivos.

El diagnóstico realizado demuestra que las actividades primarias de la policía preventiva en el programa de cuadrantes no están siendo percibidas de manera positiva por parte de la población de la CDMX, debido a que solo el 24 % de los encuestados conoce al policía del cuadrante y solo el 7 % de los encuestados ha sido contactado por la policía para recabar datos. Esto evidencia que hay una mala comunicación entre la policía y la comunidad, lo que está impidiendo realizar el proceso colaborativo (policía-comunidad) para la prevención de delitos que afecten la seguridad pública. Los posibles causales se deben a problemas con la falta de espacios colectivos para la comunicación directa con la comunidad y a falencias en la pedagogía para que la comunidad conozca y participe en los planes implementados por parte de las autoridades, por tanto, se requiere diseñar mecanismos de comunicación nuevos y claros para la participación social, como piezas claves en el cumplimiento de la actividad principal que involucra la comunidad.
La metodología de autotransformación y MSV permitió identificar brechas recurrentes en el cumplimiento de objetivos por parte de los policías operadores en toda la ciudad. Esto permite organizar mejor procesos y estrategias para integrar la sociedad y aumentar la comunicación entre los diferentes actores involucrados en el sistema para ser efectivos y mejorar la seguridad.
Acerca del uso de metodologías sistémicas para apoyar el desarrollo comunitario, este artículo proporciona un ejemplo de intervención sistémica apoyado con diferentes metodologías para abordar una situación-problema con el fin de promover cambios para mejorar la policía en sus estructuras de gobernanza.
Esta investigación ha introducido un enfoque sistêmico al contexto de la seguridad, con base en el modelo de sistema viable y la metodología de autotransformación como tema de gestión de la complejidad y sostenibilidad para cimentar la autoorganización por parte de la comunidad y autogobernanza de la policía. No obstante, esto abre un camino para explorar a fondo la vinculación de la sociedad con los programas encaminados a una mejora en el ámbito de la seguridad. Este estudio de caso permite consolidar los puntos de vista de la comunidad frente a otros niveles de gobierno, con el fin de buscar estrategias para cumplir propósitos colectivamente acordados.
Anexo A. Cuestionario de diagnóstico
Cuestionario de diagnóstico sobre percepción de seguridad pública y conocimiento del Programa por Cuadrantes en la Ciudad de México
Este cuestionario se realiza con el fin de obtener información sobre percepción de seguridad pública y conocimiento del programa por cuadrantes implementado por la Secretaría de Seguridad Pública de la Ciudad de México. Le agradecemos su veracidad en las respuestas, los datos obtenidos son de investigación académica.
Instrucciones: Se aplicará solo a personas de 20 años y más, todas las preguntas tienen opciones de respuesta múltiple, marque con una X la respuesta correcta e indique en detalle cuando se requiera. El cuestionario consta de cuatro secciones:
A. Datos de identificación general: No se solicitarán datos personales sensibles.
B. Percepción sobre seguridad pública en los periodos 2016 y 2017: El término seguridad se interpreta como ausencia de riesgo, daños y peligros.
C. Conocimiento del programa de seguridad pública por cuadrantes: es un modelo de operación policial que consiste en acotar los espacios de responsabilidad de la Policía en la Ciudad de México.
D. Actuación de las autoridades: grado de compromiso de la Policía con la comunidad en relación al programa.

























Los autores agradecen al Conacyt por el apoyo económico; a la SEPI ESIME, Instituto Politécnico Nacional (IPN) por su compromiso con este proyecto; a la doctora Ángela Espinosa por sus enseñanzas y comentarios sobre MSV y autotransformación; a la doctora Claudia Hernández Aguilar por su apoyo y asistencia en este camino hacia la investigación científica.
CONTACTO: Carlos Augusto Paez Murillo cpaezm1501@alumno.ipn.mx






























