Artículos
Recepción: 14 Junio 2022
Recibido del documento revisado: 11 Julio 2022
Aprobación: 25 Octubre 2022
Publicación: 30 Diciembre 2022
DOI: https://doi.org/10.19053/22160159.v13.n35.2022.14460
Resumen: Diversas investigaciones confirman la relevancia de considerar los estilos de aprendizaje de los estudiantes y el dominio de habilidades metacognitivas para el logro de aprendizajes profundos y significativos en la formación de estudiantes de educación superior. Aun cuando las competencias para la formación de técnicos y universitarios son distintas, las investigaciones sobre estilos de aprendizaje y metacognición en estudiantes de educación superior se han enfocado en carreras profesionales universitarias. Este artículo presenta un estudio que pretendió determinar si existe una relación entre los estilos de aprendizaje, los niveles de metacognición y el logro de las competencias planeadas para la Práctica Profesional (PP) de estudiantes chilenas del Técnico Universitario en Educación Parvularia. Los resultados evidencian correlaciones positivas significativas entre los estilos teórico y reflexivo y el rendimiento en la PP, y entre los niveles de conocimiento metacognitivo y el rendimiento en la PP. Después de discutir estos hallazgos a la luz de investigaciones previas, se concluye que estos resultados aportan a una mejor comprensión de los procesos de aprendizaje de estudiantes de carreras técnicas e incentivan una planificación didáctica más focalizada.
Palabras clave: Aprendizaje, proceso de aprendizaje, habilidad, rendimiento académico, formación profesional.
Abstract: Several investigations confirm the relevance of considering students' learning styles and the command of metacognitive skills for the achievement of deep and meaningful learning in the training of higher education students. Although the competencies for the training of university technicians and professional careers students are different, research on learning styles and metacognition in higher education students has focused on university professional careers. This article presents a study aimed at determining whether there is a connection among learning styles, metacognition levels, and the achievement of the competencies planned for the Professional Practice (PP) of Chilean students of University Technical Degree in Early Childhood Education. The results show significant positive correlations between theoretical and reflective styles and performance in the PP, and between levels of metacognitive knowledge and performance in the PP. After discussing these findings based on previous research, it is concluded that these results contribute to a better understanding of the learning processes of students in technical careers and encourage a more focused didactic planning.
Keywords: Learning, learning process, ability, academic performance, professional training.
Resumo: Diversas investigações confirmam a relevância de considerar os estilos de aprendizagem dos estudantes e o domínio de habilidades metacognitivas para a obtenção de aprendizagens profundas e significativas na formação dos estudantes do ensino superior. Embora as competências para o treinamento de estudantes técnicos universitários e de carreiras profissionais sejam diferentes, as pesquisas sobre estilos de aprendizagem e metacognição em estudantes do ensino superior têm se concentrado nas carreiras profissionais universitárias. Este artigo apresenta um estudo que visa a determinar se existe uma relação entre estilos de aprendizagem, níveis de metacognição e o alcance das competências planejadas para a Prática Profissional (PP) das estudantes chilenas do Técnico em Educação da Primeira Infância. Os resultados mostram correlações positivas significativas entre estilos teóricos e reflexivos e o desempenho na PP, e entre níveis de conhecimento metacognitivo e o desempenho na PP. Após discutir estas descobertas com base em pesquisas anteriores, conclui-se que estes resultados contribuem para uma melhor compreensão dos processos de aprendizagem de estudantes de carreiras técnicas e incentivam um planejamento didático mais focado.
Palavras-chave: Aprendizagem, processo de aprendizagem, habilidade, desempenho acadêmico, formação profissional.
El sistema de educación superior chileno está formado por tres tipos de instituciones: universidades, facultadas para otorgar títulos profesionales y grados académicos; institutos profesionales, que pueden entregar títulos técnicos de nivel superior (TNS); y centros de formación técnica, que solo pueden entregar títulos técnicos. En 2021, la matrícula en carreras TNS alcanzó el 56,6 % del total de matriculados en pregrado (CNED, 2021), superando a la matrícula universitaria.
Ahora bien, aun cuando el total de matrículas en carreras del área de educación ha disminuido un 68 % durante la última década (SIES, 2021a), la matrícula en el Técnico Universitario en Educación Parvularia (TUEP) ha aumentado en un 235 % en el mismo período (CNED, 2021; SIES, 2021a). No obstante, las instituciones que imparten TUEP comparten con el resto de carreras TNS el problema de la deserción estudiantil. Así, la tasa de retención de primer año, cohorte 2020, fue de un 68,8 % para carreras TNS, frente a un 85 % para carreras profesionales universitarias (SIES, 2021b).
En consecuencia, desde la investigación educativa es pertinente indagar en los distintos componentes de los procesos de enseñanza-aprendizaje en la formación de TNS del área de educación. Es particularmente relevante el estudio de los factores y procesos cognitivos involucrados en los aprendizajes, dada la cantidad de evidencia que muestra que las habilidades cognitivas son un fuerte predictor del éxito académico (Farsides & Woodfield, 2003; Magdalena, 2015) . Este conocimiento es fundamental para la implementación de estrategias docentes que promuevan aprendizajes profundos y significativos en todos los estudiantes (Bruning et al., 2012; Fischer et al., 2018; Matienzo, 2020).
Estudios actuales han mostrado la influencia de los estilos de aprendizaje en cómo las personas toman decisiones, interactúan con los demás y desarrollan estrategias de aprendizaje (Marcos et al., 2021; Rosero, 2019; Trelles et al., 2018). Por otro lado, hoy se entiende que el desarrollo de la metacognición es una de las bases para generar habilidades de pensamiento, autorregular los aprendizajes y lograr aprendizajes profundos y significativos (Cheng & Chan, 2021; Gutiérrez & Montoya, 2022; Schunk & Greene, 2018; Seli & Dembo, 2020; Velzen, 2016) . En virtud de esta influencia, las habilidades metacognitivas -en especial, su rol en el desarrollo de la capacidad de aprender a aprender- son consideradas actualmente habilidades transversales en los currículos nacionales de todos los niveles educativos (Fadel et al., 2016). Por estas razones, el estudio de la relación entre los estilos de aprendizaje, las habilidades metacognitivas y el aprendizaje ha adquirido relevancia en la línea de investigación del aprendizaje en la formación profesional.
Aun cuando las competencias para carreras TNS y universitarias son distintas, el estudio del rol que tienen los estilos de aprendizaje y la metacognición en el logro de las competencias profesionales en Chile se ha enfocado en estudiantes de carreras universitarias (Acevedo & Rocha, 2011; Bitrán et al., 2003; Caballero et al., 2015; Cea et al., 2018; Montero et al., 2011; Ossa & Lagos, 2013; Rodríguez et al., 2017; Rojas et al., 2006; Solar et al., 2010; Solari et al., 2019). En consecuencia, existe escasa información sobre las preferencias de estilos de aprendizaje de estudiantes de carreras TNS, sobre cómo intervienen en el logro de las competencias y sobre el papel que cumple el dominio de habilidades metacognitivas en el aprendizaje y desempeño académico de estos estudiantes. Por ello, dadas las tasas actuales de matrícula y el aporte de los TNS a las diversas áreas productivas, es necesario investigar estas habilidades y su relación con distintas áreas de desarrollo.
En este artículo se presentan los resultados de un estudio empírico cuyo objetivo es determinar si existe una relación entre las preferencias de estilo de aprendizaje, los niveles de metacognición y el logro de las competencias planeadas para la práctica profesional de estudiantes chilenas de TUEP. Para ello, se exponen, primero, los fundamentos teóricos de la investigación. Luego, se describe la metodología que sigue el estudio y se presentan los resultados obtenidos. Finalmente, después de una discusión de los hallazgos, se plantean las conclusiones y algunas proyecciones.
Los estilos de aprendizaje
El término estilo de aprendizaje se refiere a las diferencias en el comportamiento cognitivo, afectivo y psicológico entre las personas. Medirlas sirve como un indicador relativamente estable de cómo los aprendices perciben, interactúan y responden al entorno de aprendizaje (Alonso et al., 1999; Sims & Sims, 1995). Si bien los estilos son estables, algunos patrones de conducta pueden variar según la situación y tarea, de modo que las personas no poseen un solo estilo de aprendizaje, sino que manifiestan preferencias flexibles por variados estilos a lo largo de la vida. Dado que estas preferencias son medibles empíricamente, es posible trazar perfiles de aprendizaje según las tendencias de personas y grupos (Guild & Garger, 1998; Lozano, 2000).
Los modelos de estilos de aprendizaje orientados al procesamiento de la información son particularmente útiles en contextos académicos, ya que explican los procesos por los que los aprendices obtienen, clasifican, almacenan y utilizan la información, lo que permite optimizar el proceso de aprendizaje (Curry, 1983; O'Connor, 1997). Entre ellos, destaca el propuesto por Kolb (1984), quien entiende los estilos de aprendizaje no como rasgos psicológicos, sino como estados dinámicos que resultan de transacciones sinérgicas entre la persona y el entorno, lo que hace que su teoría y los inventarios de estilos basados en ella sean muy útiles en el ámbito educativo.
El modelo de Kolb (1984) se basa en la teoría del aprendizaje experiencial, que concibe el aprendizaje como el resultado de un ciclo de cuatro etapas que el aprendiz debe recorrer completo para lograr el aprendizaje efectivo:
se tiene una experiencia concreta.
se reflexiona sobre esa experiencia.
se forman conceptos abstractos y generalizaciones, que luego
se utilizan para probar hipótesis en futuras situaciones, que resultan en nuevas experiencias.
Este modelo se ha usado para el diseño de instrumentos de identificación de estilos de aprendizaje en ámbitos profesionales y educativos. Honey y Mumford (1986) lo aplicaron a la formación de directivos del Reino Unido y diseñaron un cuestionario de ochenta ítems que permite identificar los tipos de conducta que reducen la capacidad de aprender de los sujetos.
Después, Alonso et al. (1999) adaptaron este cuestionario a una población de universitarios españoles y diseñaron el Cuestionario Honey-Alonso de Estilos de Aprendizaje (CHAEA), que distingue las cuatro fases del ciclo de Kolb y las asocia a las formas en que los individuos desarrollan un estilo:
estilo activo (EA): se integran a nuevas experiencias. Son abiertos al cambio, dinámicos y prefieren actuar para aprender.
estilo reflexivo (ER): están enfocados en análisis y reflexión. Adoptan diversas perspectivas de un hecho y prefieren tener un buen respaldo antes de concluir una idea.
estilo teórico (ET): construyen teorías lógicas a partir de sus observaciones y la información que reciben. Son analíticos y sistemáticos.
estilo pragmático (EP): prefieren la aplicación real de lo aprendido a los conceptos teóricos abstractos.
La relevancia de considerar los estilos de aprendizaje de los estudiantes en la planificación docente es reconocida por muchos investigadores, dado que contribuye a elevar los niveles de rendimiento educativo, de aspectos emocionales y de satisfacción frente al estudio y al desarrollo de la capacidad de "aprender a aprender" (Alonso et al., 1999; Amir & Jelas, 2010; Garcés et al., 2018; Gutiérrez, 2018). De esta manera, la apropiación definitiva y significativa del conocimiento requiere la planificación de tareas que integren experiencia concreta, observación reflexiva, conceptualización abstracta y experimentación activa. Para ello, "es imprescindible la reorientación del proceso de enseñanza en función de un diagnóstico certero realizado por docentes según las características de la masa estudiantil, sus preferencias y la didáctica específica de las ciencias a emplear" (Trelles et al., 2018, p. 14).

En los procesos de formación es importante tener en cuenta que los estilos de aprendizaje de los estudiantes pueden cambiar con la diversidad de experiencias educativas (Van der Berg, 2015) y son influenciados por los estilos de enseñanza de los docentes (Chetty et al., 2019; Díaz et al., 2022). Así, considerar la heterogeneidad de los estudiantes y adaptar la enseñanza a sus particularidades pueden mejorar sustantivamente tanto el rendimiento académico de los estudiantes como la calidad de los docentes (Renés, 2018).
Investigaciones recientes han usado el CHAEA para estudiar la relación entre estilos de aprendizaje y rendimiento académico en poblaciones de estudiantes universitarios en países hispanoamericanos, incluido Chile. En la tabla 1 se sintetizan los resultados obtenidos en estos estudios.
Las habilidades metacognitivas
El término metacognición fue acuñado por Flavell (1976), quien lo definió como el conocimiento que uno tiene sobre sus propios procesos y productos cognitivos o cualquier cosa relacionada con ellos. Se distinguen, generalmente, dos componentes involucrados en la metacognición: el conocimiento y la regulación de la cognición (Baker, 1991; Brown, 1987; Schraw, 1998). El conocimiento metacognitivo es aquel que tiene un sujeto sobre sus propios procesos cognitivos e involucra tres tipos de conocimiento (Flavell, 1976, 1979; Gagné, 1991; Paris et al., 1983):
declarativo: incluye información sobre el tipo de tarea, los objetivos y las estrategias.
procedimental: contiene información sobre la ejecución de variados tipos de acciones y permite encadenarlas eficazmente para realizar una tarea.
condicional: especifica las condiciones de uso, de acuerdo con las demandas y objetivos de la tarea. Ayuda a organizar y adecuar los conocimientos declarativo y procedimental a contextos y tareas particulares, lo que hace que una determinada acción sea una estrategia propiamente dicha.
El control metacognitivo, en tanto, es la capacidad de un sujeto de controlar sus procesos cognitivos cuando los está ejecutando. Incluye el uso de estrategias y regulación metacognitivas (Brown, 1987) y la supervisión del cumplimiento de una meta. Se distinguen los siguientes procesos (Peña-Ayala, 2015; Schraw & Dennison, 1994):
planificación: anticipar actividades y prever posibles resultados para elaborar las estrategias posibles antes de la resolución de la tarea.
monitoreo: verificar y rectificar la estrategia empleada para resolver una tarea durante su ejecución.
evaluación: valorar la eficacia de una estrategia para resolver una tarea y cumplir los objetivos.
organización: usar estrategias para organizar las tareas de manera más eficiente.
depuración: usar estrategias para corregir los errores de comprensión y ejecución.
En definitiva, la metacognición es un concepto de naturaleza multidimensional, que incluye conciencia sobre el contenido del propio pensamiento, monitoreo activo y esfuerzo por regular los propios procesos cognitivos y la aplicación de un conjunto de heurísticos para organizar los métodos de resolución de problemas (Hennessey, 1999). Últimamente, ha alcanzado gran relevancia en psicología educativa, ya que se ha probado que es la variable individual que mejor predice el aprendizaje (De Boer et al., 2018; Dent & Koenka, 2016; Wang et al., 1990).
Hoy, los especialistas reconocen explícitamente la importancia de la metacognición en la educación (Beach et al., 2020; Devers et al., 2018; Morales, 2019) y su relevancia como componente fundamental en los procesos de aprendizaje (Hurtado, 2017; Martínez & Valencia, 2021; Ohtani & Hisasaka, 2018; Olsen et al., 2019). Su desarrollo facilita al estudiante el logro de la autoconciencia, la autorregulación y la autonomía en los aprendizajes (Hainguerlot et al., 2018; Kaya & Keçik, 2021), suficientes para el desarrollo del aprender a aprender (Burón, 2012; Cheng & Chan, 2021; Ruiz, 2020).
Diversas investigaciones en poblaciones de estudiantes de educación superior de países latinoamericanos han estudiado empíricamente la relación entre el desarrollo de la metacognición y el rendimiento académico. Entre las más recientes, si bien la mayoría ha hallado correlaciones positivas significativas, los resultados son disímiles. Por un lado, se han hallado correlaciones positivas altas entre los niveles de metacognición y el rendimiento académico en poblaciones de estudiantes de Derecho (Rodas, 2018), Contabilidad (Tapia, 2018) e Ingeniería (Morales, 2019). Otros estudios han obtenido correlaciones positivas moderadas entre estas variables en estudiantes de Ingeniería (Martínez & Valencia, 2021) y correlaciones más débiles en estudiantes de Psicología (Campo et al., 2016) y de Pedagogía (Puma, 2020). Finalmente, otros estudios no han hallado correlaciones positivas entre el uso de estrategias metacognitivas y el rendimiento académico (Fernández, 2019; Paredes-Ayrac, 2019). Por último, se resalta que no existen datos suficientes sobre esta relación en poblaciones de estudiantes de carreras técnicas.
La Práctica Profesional (PP) del programa de TUEP de la Universidad de Los Lagos
La Universidad de Los Lagos pertenece al Consejo de Rectores de las Universidades Chilenas, se ubica en la zona sur del país y ofrece la carrera de TUEP en sus sedes de Castro, Ancud, Osorno y Puerto Montt. En el quinto semestre -último del plan de estudios-, las estudiantes deben realizar una PP de tres meses de duración en un centro de educación preescolar de la región. Durante este período, tanto profesoras supervisoras de la carrera como la educadora patrocinante de la PP realizan un monitoreo a las estudiantes, cuyo objetivo es evaluar el cumplimento de las competencias planificadas para esta actividad (tabla 2). Junto con esto, cada estudiante realiza un portafolio reflexivo sobre su experiencia.

Metodología
Se presenta un estudio cuantitativo, no experimental, transversal y de alcance correlacional (Privitera & Ahlgrim-Delzell, 2019; Roni et al., 2020). La población de estudio corresponde a las estudiantes de quinto semestre de la carrera de TUEP de la Universidad de Los Lagos, sede Castro -promoción 2019-. La muestra es de 25 estudiantes, todas mujeres entre 20 y 24 años de edad y habitantes de la Región de Los Lagos, Chile. El 100 % de estas estudiantes es de ascendencia mapuche-huilliche y 73,7 % de ellas están certificadas por la Corporación Nacional de Desarrollo Indígena. Las variables de estudio son:
las preferencias de estilo de aprendizaje, que corresponden a cuatro puntuaciones -EA, ER, ET y ER- entre 0 y 20.
el nivel de habilidades metacognitivas, correspondiente a un valor entre 52 y 260.
el rendimiento en la PP, que corresponde a la nota final obtenida, en una escala de 1 a 7.
La recolección de datos consistió, en primer lugar, en la recuperación de las notas obtenidas en la PP desde las actas de notas de la carrera. Las puntuaciones en estilos de aprendizaje y habilidades metacognitivas se recolectaron con dos instrumentos en línea por medio de la plataforma Google Forms. El primero es el CHAEA (Alonso et al., 1999), que consta de ochenta ítems -veinte para cada estilo- a los que se responde de manera dicotómica -1 o 0-, según si se está de acuerdo o no con la afirmación. A partir de los puntajes obtenidos, se elaboró un baremo para categorizar las preferencias por cada estilo -muy alto, alto, moderado, bajo y muy bajo- y trazar un perfil de aprendizaje para el total del grupo.
El segundo instrumento es el Metacognitive Awareness Inventory (MAI) (Huertas et al., 2014; Schraw & Dennison, 1994), cuestionario de autorreporte de 52 ítems con opciones de respuesta en escala Likert de cinco puntos. Están representados los dos componentes de la metacognición: el conocimiento de la cognición (CC) -que incluye tres categorías: conocimiento declarativo, procedimental y condicional- y la regulación de la cognición (RC) -distribuida en cinco categorías: planificación, organización, monitoreo, depuración y evaluación-.
El procesamiento de los datos consiste en: (1) estadística descriptiva para cada variable, pruebas de normalidad y de diferencias significativas entre medias y (2) diagramas de dispersión de los datos y pruebas de correlación bivariadas. Se utilizó el software SPSS Statistics versión 21.
Resultados
El análisis de los resultados del CHAEA (tabla 3) mostró que el ER obtuvo la media más alta (15,76), seguido por el ET (13,88) y el EP (13,44), mientras que el EA obtuvo el menor valor (13,04).

Al aplicar la prueba t de Student (tabla 4), se obtuvo que las diferencias entre la media del ER y los demás estilos eran todas estadísticamente significativas (p < ,05).

Al considerar la media de cada estilo dentro del 40 % de los sujetos que puntuaron en preferencia moderada (Alonso et al., 1999; Honey & Mumford, 1986), se elaboró el baremo de la tabla 5 para clasificar los puntajes en un rango, dado que la interpretación de las puntuaciones estaba en función de los resultados de todos los sujetos (Alonso et al., 1999).

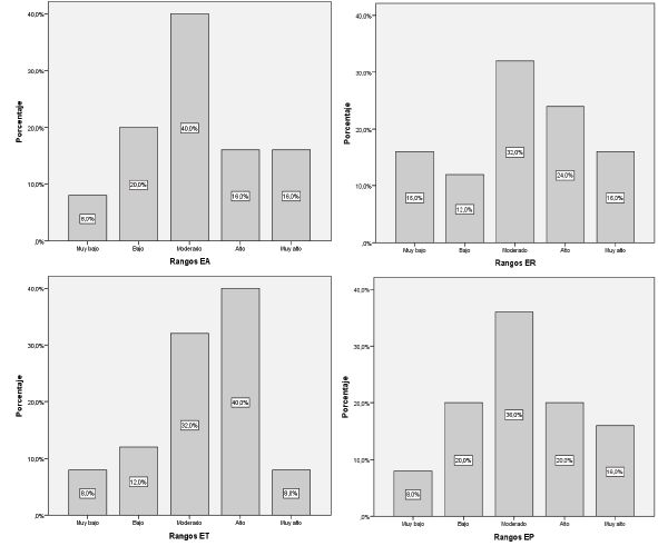
Del análisis de los resultados del inventario MAI (tabla 6) y siguiendo el baremo de Huertas et al. (2014), se obtuvo que el grupo se ubica en un nivel alto de habilidades metacognitivas (M= 200,88). En la figura 2 se observa que el 76 % de las estudiantes se ubica en un nivel alto y un 24 % en un nivel medio. No hay estudiantes en nivel bajo.

Al seguir este baremo, se obtuvo que el 48 % de las estudiantes mostró una preferencia alta o muy alta por el ET, mientras que el 40 % lo hizo por el ER. Las preferencias dominantes por el EA y el EP se ubicaron en el rango moderado (figura 1).


En la tabla 7 se muestra la estadística descriptiva de las notas obtenidas por las estudiantes en la PP. Los resultados de la prueba Shapiro-Wilk indicaron que los datos en todas las variables se ajustaban a la normalidad (p > ,05). Por lo tanto, se aplicó la prueba paramétrica r de Pearson para analizar las correlaciones entre las variables en estudio.

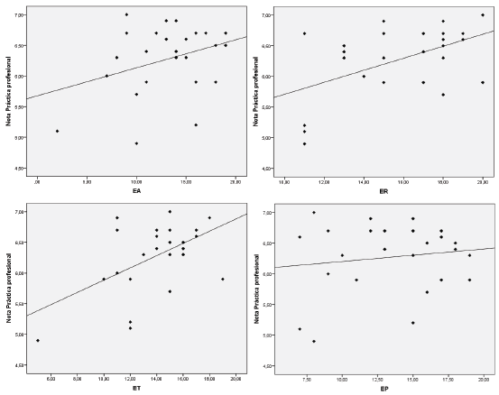
Los resultados de la prueba de correlación entre estilo de aprendizaje y rendimiento en la PP (tabla 8) muestran que existen correlaciones positivas y estadísticamente significativas entre el ET y el rendimiento en la PP (r = ,521; p < ,01) y el ER y el rendimiento en la PP (r = ,509; p < ,01). Las correlaciones entre EA y EP y el rendimiento en la PP, aunque son positivas, no son estadísticamente significativas (p > ,05). En la figura 3 se muestran los gráficos de dispersión entre los estilos de aprendizaje y las notas en la PP.


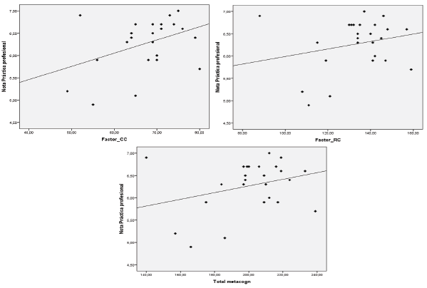
Los resultados de las pruebas de correlación entre habilidades metacognitivas y rendimiento en la PP (tabla 9) muestran que, si bien se observa una correlación positiva entre el total de habilidades metacognitivas y el rendimiento en la PP, esta no es estadísticamente significativa (p > ,05). Sin embargo, entre el total en el factor CC y el rendimiento en la PP se evidencia una correlación positiva (r = ,405) y estadísticamente significativa (p < ,05). Dentro de este factor, la correlación más alta ocurre entre el conocimiento procedimental y el rendimiento en PP (r = ,442; p < ,05). La correlación entre el conocimiento declarativo y el rendimiento en PP es también positiva y estadísticamente significativa (r = ,417; p < ,05), mientras que entre el conocimiento condicional y el rendimiento en PP, aunque existe una correlación positiva, no es estadísticamente significativa (p > ,05). En la figura 4 se muestran los gráficos de dispersión entre los puntajes en habilidades metacognitivas y las notas en PP.


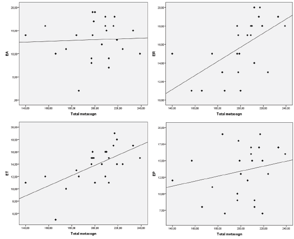
Finalmente, los resultados de las pruebas de correlación entre habilidades metacognitivas y estilos de aprendizaje (tabla 10) muestran que existe una correlación positiva y estadísticamente significativa entre el total de habilidades metacognitivas y el ET (r = ,639; p < ,01) y el ER (r = ,592; p < ,01). En la figura 5 se muestran los gráficos de dispersión entre el total en metacognición y el estilo de aprendizaje.


Conclusiones y proyecciones
Los resultados del estudio muestran que existe una correlación positiva significativa entre las preferencias por el ET y el ER y el rendimiento en la PP de las estudiantes de quinto semestre -promoción 2019- de TUEP de la Universidad de Los Lagos. Además, existe una correlación positiva significativa entre el factor conocimiento de las habilidades metacognitivas y el rendimiento en la PP de estas estudiantes. Finalmente, muestran una correlación positiva significativa entre las preferencias por el EA y el ER y el nivel de desarrollo total de habilidades metacognitivas de las estudiantes.
El análisis evidenció que el grupo de estudiantes muestra una tendencia por el ER y que se ubica en un nivel alto del total de habilidades metacognitivas. Este perfil de estilos de aprendizaje es muy similar al que han obtenido estudios en poblaciones de estudiantes de carreras universitarias del área de la educación y las humanidades en países hispanoamericanos (Alducin & Vázquez, 2017; Caballero et al., 2015; Ossa & Lagos, 2013; Torres et al., 2021; Trelles et al., 2018; Vega & Ruiz, 2018), pero difiere del perfil de aprendizaje obtenido entre estudiantes de carreras del área de la ingeniería, donde se observa, además, una predominancia por los EA y EP (Acevedo & Rocha, 2011; Torres et al., 2021; Trelles et al., 2018). Esto podría estar evidenciando una tendencia a la homogeneidad en el tipo de experiencias de enseñanza-aprendizaje que se brindan a los estudiantes durante el cursado de carreras del área de la educación y las humanidades.
En cuanto a la correlación entre estilos de aprendizaje y rendimiento en la PP, estudios en poblaciones de estudiantes de carreras universitarias de una diversidad de áreas, como educación, salud, tecnología e ingeniería en países hispanoamericanos han mostrado también correlaciones positivas entre los ET y ER y el rendimiento académico (Acevedo & Rocha, 2011; Alducin & Vázquez, 2017; Montero et al., 2011; Ossa & Lagos, 2013; Vega & Ruiz, 2018). Este resultado también confirma hallazgos de estudios que han obtenido correlaciones positivas entre los EA y EP y el rendimiento académico solo en carreras del área de la ingeniería (Acevedo & Rocha, 2011; Alducin & Vázquez, 2017; Torres et al., 2021).
Si bien la mayoría de los descriptores del logro de las competencias planeadas para la PP (tabla 2) se corresponde con los ER y ET, también se incluyen descriptores que se corresponden con el EP. Por lo tanto, sorprende el hecho de que no se haya observado una correlación positiva entre el EP y el rendimiento en la PP. Esta ausencia podría revelar que entre las estrategias de enseñanza no se incluye un repertorio suficiente de actividades que permita a las estudiantes recorrer el ciclo completo de aprendizaje que propone la teoría del aprendizaje experiencial (Kolb, 1984). Otra posibilidad es que en la evaluación de estas competencias se sigan criterios que no contemplen descriptores asociados a un estilo más pragmático.
En cuanto a los resultados obtenidos en las pruebas de correlación entre habilidades metacognitivas y rendimiento, estos son similares a lo hallado en estudios previos en poblaciones de estudiantes de una diversidad de carreras universitarias en Latinoamérica (Acevedo & Rocha, 2011; Campo et al., 2016; Martínez & Valencia, 2021; Morales, 2019; Puma, 2020; Rodas, 2018; Tapia, 2018). Confirman, por lo tanto, el importante papel que tiene el dominio de las habilidades metacognitivas en el aprendizaje y el rendimiento académico.
Finalmente, la correlación positiva alta y significativa entre el total de habilidades metacognitivas y los ET y ER es contrastable con la teoría sobre estilos de aprendizaje y metacognición. Por un lado, las estrategias metacognitivas -planificación, monitoreo, etc. (Peña-Ayala, 2015; Schraw & Dennison, 1994) - necesitan no solo de reflexión y adopción de diversas perspectivas sobre las estrategias más adecuadas para resolver una tarea - características del ER-, sino además, elaborar explicaciones y teorías acerca de los errores en la comprensión o ejecución de las tareas -características del ET (Alonso, et al., 1999; Rodríguez, 2018)-.
En virtud de estas consideraciones, en el futuro sería relevante estudiar los estilos de enseñanza de los profesores de la carrera de TUEP y las maneras de evaluar las competencias, con el objeto de comprender mejor los resultados de estudios de este tipo. En cualquier caso, la identificación de los estilos de aprendizaje predominantes, los niveles de metacognición y las relaciones con el rendimiento en la PP de estas estudiantes es un punto de partida y un incentivo para un trabajo pedagógico más focalizado y diverso con estudiantes de carreras TNS en Chile.
Referencias
Acevedo, C., & Rocha, F. (2011). Estilos de aprendizaje, género y rendimiento académico. Estilos de Aprendizaje, 4(8), 1-16. https://doi.org/10.55777/rea.v4i8.937
Alducin, J., & Vázquez, A. (2017). Learning styles, socio-demographic variables and academic performance of Building Engineering students. Revista Electrónica Educare, 21(1), 1-31. https://doi.org/10.15359/ree.21-1.18
Alonso, C., Gallego, D., & Honey, P. (1999). Los estilos de aprendizaje: procedimientos de diagnóstico y mejora. Mensajero.
Amir, R., & Jelas, Z. (2010). Teaching and learning styles in higher education institutions: Do they match? Procedia. Social and Behavioral Sciences, 7(C), 680-684. https://doi.org/10.1016/j.sbspro.2010.10.092
Baker, L. (1991). Metacognition, reading, and science education. En C. Santa & D. Alvermann (Eds.), Science learning: Processes and applications (pp. 22-46). IRA.
Beach, P., Anderson, R., Jacovidis, J., & Chadwick, K. (2020). Making the abstract explicit: The role of metacognition in teaching and learning. https://www.inflexion.org/making-the-abstract-explicit-the-role-of-metacognition-in-teaching-and-learning/
Bitrán, M., Zúñiga, D., Lafuente, M., Viviani, P., & Mena, B. (2003). Tipos psicológicos y estilos de aprendizaje de los estudiantes que ingresan a Medicina en la Pontificia Universidad Católica de Chile. Revista Médica de Cwhile, 131(9), 1067-1078. http://dx.doi.org/10.4067/S0034-98872003000900015
Brown, A. (1987). Metacognition, executive control, self-regulation, and other more mysterious mechanisms. En F. Weinert & R. Kluwe (Eds.), Metacognition, motivation, and understanding (pp. 65-116). Erlbaum.
Bruning, R., Schraw, G., & Norby, M. (2012). Psicología cognitiva y de la instrucción. Pearson.
Burón. J. (2012). Enseñar a aprender: introducción a la metacognición. Mensajero.
Caballero, M., Norambuena, I., Gálvez, J., & Salamé, A. (2015). Estilos de aprendizaje y rendimiento académico en estudiantes de Trabajo Social: un análisis entre México y Chile. Cuadernos de Trabajo Social, 14, 79-100. http://www.tscuadernosdetrabajosocial.cl/index.php/TS/article/view/89
Campo, K., Escorcia, D., Moreno, M., & Palacio, J. (2016). Metacognición, escritura y rendimiento académico en universitarios de Colombia y Francia. Avances en Psicología Latinoamericana, 34(2), 233-252. https://doi.org/10.12804/apl34.2.2016.03
Carrasco, F., & González, M. (2018). Estilos de aprendizaje y rendimiento académico en estudiantes universitarios de Psicología en Talca. UCMaule, 54, 107-132. https://doi.org/10.29035/ucmaule.54.107
Cea, J., Sanhueza, H., & Filgueira, E. (2018). Tipos psicológicos y estilos de aprendizaje de estudiantes de una facultad de ciencias económicas y administrativas en Chile. Revista Academia & Negocios, 4(1), 65-80. https://revistas.udec.cl/index.php/ran/article/view/2888
Cheng, E., & Chan, J. (2021). Developing metacognitive teaching strategies through lesson study. Springer.
Chetty, N., Handayani, L., Sahabudin, N., Ali, Z., Hamzah, N., Rahman, N., & Kasim, S. (2019). Learning styles and teaching styles determine students' academic performances. International Journal of Evaluation and Research in Education, 8(3), 610-615.
CNED. (2021). Índices de Educación Superior. https://www.cned.cl/indices/matricula-sistema-de-educacion-superior
Curry, L. (1983, abril 11-15). An organization of learning styles theory and constructs. En 67thAnnual Meeting of theAmerican Educational Research Association [Ponencia]. Montreal, Canadá.
De Boer, H., Donker, A., Kostons, D., & Van der Werf, G. (2018). Long-term effects of metacognitive strategy instruction on student academic performance: A meta-analysis. Educational Research Review, 24, 98-115. https://doi.org/10.1016/j.edurev.2018.03.002
Dent, A., & Koenka, A. (2016). The relation between self-regulated learning and academic achievement across childhood and adolescence: A meta-analysis. Educational Psychology Review, 28(3), 425-474. https://doi.org/10.1007/s10648-015-9320-8
Devers, C., Devers, E., & Oke, L. (2018). Encouraging metacognition in digital learning environments. En D. Ifenthaler (Ed.), Digital workplace learning: Bridging formal and informal learning with digital technologies (pp. 9-22). Springer.
Díaz, J., Alfageme, M., & Cutanda, M. (2022). Interacción del rendimiento académico con los estilos de aprendizaje y de enseñanza. Revista Electrónica Interuniversitaria de Formación del Profesorado, 25(1), 145-160. https://doi.org/10.6018/reifop.486081
Fadel, C., Bialik, M., & Trilling, B. (2016). Educación en cuatro dimensiones: las competencias que los estudiantes necesitan para su realización. Centro de Innovación en Educación de Fundación Chile.
Farsides, T., & Woodfield, R. (2003). Individual differences and undergraduate academic success: The roles of personality, intelligence, and application. Personality and Individual Differences, 34(7), 1225-1243. https://doi.org/10.1016/S0191-8869(02)00111-3
Fernández, R. (2019). Evaluación de la metacognición sobre el estudio en estudiantes de Psicología. Psicoespacios, 13(22), 62-76. https://doi.org/10.25057/21452776.1198
Fischer, F., Hmelo-Silver, C., Goldman, S., & Reimann, P. (Eds.). (2018). International handbook of the learning sciences. Routledge.
Flavell, J. (1976). Metacognitive aspects of problem solving. En L. Resnick (Ed.), The nature of intelligence (pp. 231-236). Erlbaum.
Flavell, J. (1979). Metacognition and cognitive monitoring: A new area of cognitive-developmental inquiry. American Psychologist, 34(10), 906-911. https://doi.org/10.1037/0003-066X.34.10.906
Gagné, E. (1991). La psicología cognitiva del aprendizaje escolar. Visor.
Garcés, L., Montaluisa, Á., & Salas, E. (2018). El aprendizaje significativo y su relación con los estilos de aprendizaje. Anales de la Universidad Central del Ecuador, 1(376), 231-248. https://doi.org/10.29166/anales.v1i376.1871
Guild, P., & Garger, S. (1998). Marching to different drummers. Association for Supervision and Curriculum Development.
Gutiérrez, A., & Montoya, D. (2022). Explorando la relación entre las funciones ejecutivas (FEs) y la metacognición: ¿predicen la metacognición las FEs? Praxis & Saber, 13(33), e12500. https://doi.org/10.19053/22160159.v13.n33.2022.12500
Gutiérrez, M. (2018). Estilos de aprendizaje, estrategias para enseñar: su relación con el desarrollo emocional y "aprender a aprender". Tendencias Pedagógicas, 31, 83-96. https://doi.org/10.15366/tp2018.31.004
Hainguerlot, M., Vergnaud, J., & Gardelle de, V. (2018). Metacognitive ability predicts learning cue-stimulus associations in the absence of external feedback. Scientific Reports, 8(1), 1-8. https://doi.org/10.1038/s41598-018-23936-9
Hennessey, M. (1999, marzo). Probing the dimensions of metacognition: Implications for conceptual change teaching-learning. Annual Meeting of the National Association for Research in Science Teaching [Conference paper]. Boston, MA.
Honey, P., & Mumford, A. (1986). The manual of learning styles. Peter Honey.
Huertas, A., Vesga, G., & Galindo, M. (2014). Validación del instrumento 'Inventario de habilidades metacognitivas (MAI)' con estudiantes colombianos. Praxis & Saber, 5(10), 56-74. https://doi.org/10.19053/22160159.3022
Hurtado, A. (2017). Los procesos cognitivos: metacognición como proceso de aprendizaje. Educación, 23, 19-24. https://doi.org/10.33539/educacion.2017.n23.1165
Kaya, S., & Keçik, I. (2021). Practical ideas on developing learner autonomy for young learners. Studies in Self-Access Learning Journal, 12(3), 266-280. https://doi.org/10.37237/120306
Kolb, D. (1984). Experiential learning: Experience as the source of learning and development. Prentice Hall.
Lozano, A. (2000). Estilos de aprendizaje y enseñanza: un panorama de la estilística educativa. Trillas.
Magdalena, S. (2015). The relationship of learning styles, learning behaviour and learning outcomes at the Romanian students. Procedia. Social and Behavioral Sciences, 180, 1667-1672. https://doi.org/10.1016/j.sbspro.2015.05.062
Marcos, B., Alarcón, V., Serrano, N., Cuetos, M., & Manzanal, A. (2021). Aplicación de los estilos de aprendizaje según el modelo de Felder y Silverman para el desarrollo de competencias clave en la práctica docente. Tendencias Pedagógicas, 37, 104-120. https://doi.org/10.15366/tp2021.37.009
Martínez, J., & Valencia, E. (2021). Estrategias metacognitivas y rendimiento académico en estudiantes universitarios de Ciencias Químicas. Uniandes Episteme, 8(2), 277-290. https://dialnet.unirioja.es/descarga/articulo/8298205.pdf
Matienzo, R. (2020). Evolución de la teoría del aprendizaje significativo y su aplicación en la educación superior. Dialektika, 2(3), 17-26. https://journal.dialektika.org/ojs/index.php/logos/article/view/15
Montero, E., Sepúlveda, M., & Contreras, E. (2011). Estudio transversal de los estilos de aprendizaje y rendimiento académico en alumnos de 1er. año de la carrera de Medicina Veterinaria. Estilos de Aprendizaje, 4(7), 151-159. https://doi.org/10.55777/rea.v4i7.927
Morales, L. (2019). Relación entre las estrategias metacognitivas y la motivación académica con el rendimiento académico en los estudiantes de una escuela de Ingeniería Industrial [Tesis de maestría, Universidad Privada Antenor Orrego]. Repositorio Digital de la Universidad Privada Antenor Orrego. https://repositorio.upao.edu.pe/handle/20.500.12759/5068
O'Connor, T. (1997). Using learning styles to adapt technology for higher education. Indiana State University.
Ohtani, K., & Hisasaka, T. (2018). Beyond intelligence: A meta-analytic review of the relationship among metacognition, intelligence, and academic performance. Metacognition and Learning, 13(2), 179-212. https://doi.org/10.1007/s11409-018-9183-8
Olsen, K., Roepstorff, A., & Bang, D. (2019). Knowing whom to learn from: Individual differences in metacognition and weighting of social information [Preprint]. PsyArXiv. https://doi.org/10.31234/osf.io/jqheu
Ossa, C., & Lagos, N. (2013). Estilos de aprendizaje y rendimiento académico en estudiantes de Pedagogía de Educación General Básica (primaria) de una universidad pública en Chile. Estilos de Aprendizaje, 6(11), 178-189. https://doi.org/10.55777/rea.v6i11.979
Paredes-Ayrac, D. (2019). Estrategias cognitivas, metacognitivas y rendimiento académico de estudiantes de ingeniería de la Universidad Nacional Santiago Antúnez de Mayolo, Perú. SCIÉNDO, 22(4), 307-314. https://doi.org/10.17268/sciendo.2019.038
Paris, S., Lipson, M, & Wixson, K. (1983). Becoming a strategic reader. Contemporary Educational Psychology, 8, 293-316. https://doi.org/10.1016/0361-476X(83)90018-8
Peña-Ayala, A. (Ed.). (2015). Metacognition: Fundaments, applications, and trends. A profile of the current state-of-the-art. Springer.
Privitera, G., & Ahlgrim-Delzell, L. (2019). Research methods for Education. Sage.
Puma, M. (2020). Relación de estrategias metacognitivas y el desarrollo del rendimiento académico en estudiantes de la Escuela Profesional de Educación de la Universidad Nacional Amazónica de Madre de Dios, 2017 [Tesis doctoral, Universidad Nacional Mayor de San Marcos]. Cybertesis. https://cybertesis.unmsm.edu.pe/handle/20.500.12672/14694
Renés, P. (2018). Planteamiento de los estilos de enseñanza desde un enfoque cognitivo-constructivista. Tendencias Pedagógicas, 31, 47-68. http://dx.doi.org/10.15366/tp2018.31.002
Rodas, J. (2018). Metacognición en relación con rendimiento académico en estudiantes de derecho administrativo - IV Ciclo EP de Derecho y CCPP-UNS: 2017 [Tesis doctoral, Universidad César Vallejo]. Repositorio de la Universidad César Vallejo. https://repositorio.ucv.edu.pe/handle/20.500.12692/15373
Rodríguez, H., Pirul, J., Robles, J., Pérez, L., Vásquez, E., Galaz, I., Cuellar, C., Días, H., & Arriaza, C. (2017). Análisis de los estilos de aprendizaje en alumnos de Medicina de la Universidad de Chile. Educación Médica, 19(1), 1-8. https://doi.org/10.1016/j.edumed.2016.11.004
Rodríguez, R. (2018). Los modelos de aprendizaje de Kolb, Honey y Mumford: implicaciones para la educación en ciencias. Sophia, 14(1), 51-64. https://doi.org/10.18634/sophiaj.14v.1i.698
Rojas, G., Salas, R., & Jimenez, C. (2006). Estilos de aprendizaje y estilos de pensamiento entre estudiantes universitarios. Estudios Pedagógicos, 32(1), 49-75. https://doi.org/10.4067/S0718-07052006000100004
Roni, S., Merga, M., & Morris, J. (2020). Conducting quantitative research in Education. Springer.
Rosero, M. (2019). Estilos de aprendizaje y desempeño académico en estudiantes de Ciencias Naturales del quinto grado de la Institución Educativa Luis Delfín Insuasty Rodríguez - INEM - Pasto [Tesis de magíster, Universidad Norbert Wiener]. http://repositorio.uwiener.edu.pe/xmlui/handle/123456789/2861
Ruiz, H. (2020). ¿Cómo aprendemos?: una aproximación científica al aprendizaje y la enseñanza. Graó.
Schraw, G. (1998). Promoting general metacognitive awareness. Instructional Science, 26, 113-125. https://doi.org/10.1023/A:1003044231033
Schraw, G., & Dennison, R. (1994). Assessing metacognitive awareness. Contemporary Educational Psychology, 19(4), 460-475. https://doi.org/10.1006/ceps.1994.1033
Schunk, D., & Greene, J. (Eds.). (2018). Handbook of self-regulation of learning and performance. Routledge.
Seli, H., & Dembo, M. (2020). Motivation and learning strategies for college success: A focus on self-regulated learning. Routledge.
SIES (2021a). Informe 2021: matrícula en educación superior. Junio 2021. SIES/Ministerio de Educación. https://educacionsuperior.mineduc.cl/2021/06/08/matricula-de-educacion-superior-aumenta-en-2021-total-supera-1-200-000-estudiantes/
SIES (2021b). Informe 2021: retención de 1er. año de pregrado. Cohortes 2016-2020. Agosto 2021. SIES/ Ministerio de Educación. https://bibliotecadigital.mineduc.cl/handle/20.500.12365/4623
Sims, R., & Sims, S. (Eds.). (1995). The importance of learning styles: Understanding the implications for learning, course design, and education. Greenwood Press.
Solar, M., Domínguez, L., & Sánchez, J. (2010). Incidencia de los estilos de aprendizaje, estrategias de aprendizaje y la autoestima, en el logro académico de estudiantes universitarios de alta vulnerabilidad: estudio de caso en la Universidad de Concepción-Chile. Revista Perspectiva Educacional, 49(1), 114-137. http://www.perspectivaeducacional.cl/index.php/peducacional/article/view/5
Solari, G., Rivera, M., Álvarez, M., & Velasco, A. (2019). Estilos de aprendizaje en Fonoaudiología y Terapia Ocupacional en la Universidad de Antofagasta, Chile. Revista Cubana de Educación Médica Superior, 33(2), 1-16. https://ems.sld.cu/index.php/ems/article/view/1721
Tapia, E. (2018). Habilidades metacognitivas y rendimiento académico en estudiantes de Contabilidad de la Universidad Católica Los Ángeles de Chimbote del Distrito de Juliaca, Provincia de San Román Región Puno, año 2018 [Tesis de maestría, Universidad Católica Los Ángeles Chimbote]. Repositorio Institucional ULADECH. https://repositorio.uladech.edu.pe/handle/20.500.13032/7531
Torres, O., Granda, M., Sierra, C., & Yancha, M. (2021). Curso de emprendimiento en los estudiantes de la carrera de ingeniería de sistemas de Uniandes Ecuador: estilos de aprendizaje y rendimiento académico. Revista Universidad y Sociedad, 13(4), 161-169. https://rus.ucf.edu.cu/index.php/rus/article/view/2188
Trelles, H., Alvarado, H., & Montánchez, M. (2018). Estrategias y estilos de aprendizaje y su relación con el rendimiento académico en estudiantes universitarios de Psicología Educativa. Killkana Sociales, 2(2), 9-16. https://dialnet.unirioja.es/descarga/articulo/6538366.pdf
Van den Berg, H. (2015). Changes in learning styles induced by practical training. Learning and Individual Differences, 40, 84-89. https://doi.org/10.1016/jMindif.2015.04.013
Vega, E., & Ruiz, V. (2018). Estilos de aprendizaje y su relación con el rendimiento académico de estudiantes de segundo año de educación general básica. Revista de Estilos de Aprendizaje, 11 (22), 166-177. https://doi.org/10.55777/rea.v11i22.1084
Velzen van, J. (2016). Metacognitive learning: Advancing learning by developing general knowledge of the learning process. Springer.
Wang, M., Haertel, G., & Walberg, H. (1990). What influences learning? A content analysis of review literature. The Journal of Educational Research, 84(1), 30-43. https://doi.org/10.1080/00220671.1990.10885988
Notas