Artículos de Investigación
Recepción: 20 Noviembre 2019
Recibido del documento revisado: 28 Abril 2021
Aprobación: 30 Mayo 2021
DOI: https://doi.org/10.14483/23448393.15582
Resumen
Contexto: Los programas de asistencia alimentaria (PAA) producen y distribuyen alimentos o complementos nutricionales para la reducción de la desnutrición en población vulnerable. En ellos, el sistema de distribución del PAA permite conectar la oferta de asistencia con la población objetivo. Esta investigación busca explorar las relaciones y la articulación entre los elementos del sistema de distribución y la eficacia de un PAA altamente ligado a la población infantil, denominado “Bienestarina Más®” en Colombia.
Método: La relación entre la eficacia del programa y el sistema de distribución se realiza triangulando datos reales de las entregas del PAA y estadísticas poblacionales oficiales. A su vez, las capacidades de los sistemas de información usados para la distribución son contrastadas con el alcance del sistema, usando fuentes oficiales y manuales de usuario.
Resultados: El análisis muestra potencial de mejora en la cobertura de la región suroccidental del país,brechas entre la oferta y la demanda, en especial ante el análisis desagregado de datos, flujos de carga poco coherentes y diferencias entre el alcance del PAA y el alcance de los sistemas de acceso al programa y trazabilidad de la carga.
Conclusiones: Este artículo muestra cómo fallas en la articulación entre los procedimientos de acceso,los perfiles sociales de la población, las asignaciones de los flujos de carga y las tecnologías de la información para el reconocimiento del usuario y el seguimiento de la carga pueden afectar la eficacia en la atención a la población infantil.
Agradecimientos: Los autores agradecen a Colciencias por la financiación del proyecto de investigación registrado bajo contrato 0340-2013 y a la Universidad Nacional de Colombia por las fuentes de fondos otorgadas bajo convocatoria conjunta Unal-UdeC, 2017.
Palabras clave: programas de asistencia alimentaria, sistema de distribución, coordinación.
Abstract
Context: Food Assistance Programs (FAP) produce and distribute food to fight malnutrition on vulnerable populations. FAP distribution system allows connecting the supply with the vulnerable population demand. This research explores the links and relations between the distribution system components and the FAP’s efficacy. The research is focused on a FAP called “Bienestarina Más®” in Colombia, highly associated with childhood welfare.
Method: The relations between the distribution system and program efficacy is analyzed comparing real FAP delivery data and official population statistics. The capabilities of the information systems are compared with the FAP scope using user manuals and official reports.
Results: The analysis shows improvement potential in the coverage of the Colombian South-West region,gaps between offer and demand, especially when the study evaluates disaggregated data. Also, the research found a lack of coherence in the freight flows and the difference between FAP’s scope and the information systems used for user register-recognition and freight traceability.
Conclusions: The research shows a lack of coordination between FAP access procedures, the population social profiles, the freight flows allocations and the scope of the information technologies. Thecoordination failures affect the efficacy of the program the childhood population attention.
Acknowledgements: COLCIENCIAS financed the research, grant number 0340-2013 and Universidad Nacional de Colombia - UDEC ( Joint Research Projects CALL - 2017).
Keywords: Food Assistance Program, Distribution System, Coordination.
Introducción
El estudio del problema de desnutrición infantil ha sido crucial por décadas. La evidencia indica un incremento de la inseguridad alimentaria a nivel global y un aumento de la vulnerabilidad de los países a sufrir crisis alimentarias [1]. Se estima que en el mundo hay más de 162 millones de niños por debajo de los 5 años que presentan bajo peso para su edad por causas de desnutrición [2].
Los efectos de la desnutrición son especialmente preocupantes en los casos de madres en estado de gestación, lactantes y niños a quienes puede causar muerte prematura y el deterioro irreversible del desarrollo físico y cerebral [3]. En América Latina y el Caribe el hambre afectó a 47,7 millones de personas en 2019, aumentando por quinto año consecutivo y poniendo en riesgo el cumplimiento del objetivo de hambre cero consignado en los Objetivos de Desarrollo Sostenible de las Naciones Unidas [4]. En la región podría haber más de 7 millones de niños y niñas con desnutrición crónica [5], causando prevalencia del retraso en el crecimiento de la población infantil, especialmente en los hogares más pobres, donde es aproximadamente tres veces mayor que en la población que vive en los hogares más ricos [6].
Diversos mecanismos se han diseñado para contribuir al incremento del consumo de alimentos en poblaciones vulnerable, especialmente en niños, algunos de ellos promovidos por la FAO (Food and Agriculture Organization) para la lucha contra la malnutrición [7], [8]. Entre estos mecanismos se encuentran los mecanismos de transferencia directa de efectivo y los mecanismos de incentivo indirecto [9]. La transferencia directa implica la entrega de dinero, de tal manera que se facilite la adquisición de alimentos, se incremente la variedad de alimentos consumidos y por consiguiente se mejore la seguridad alimentaria [2]. Los métodos indirectos se orientan hacia facilitar la adquisición de alimentos, por ejemplo, por medio de incentivos o subsidios a la producción agrícola,que a su vez hacen los productos más asequibles. Estos métodos pueden ser complementados con estrategias basadas en el abastecimiento continuo de complementos alimentarios [10].
Este enfoque ha sido aplicado tanto en países desarrollados como en países en desarrollo. Porejemplo en países como Estados Unidos, el proyecto federal The Emergency Food Assistance Program (TEFAP) busca entregar alimentos básicos de la canasta familiar estadounidense a familias de bajos recursos [11]. En Australia los Long Day Care Centers (LDCC) pueden proporcionar más de la mitad de la ingesta diaria de alimentos de los niños en centros escolares [12]. En México se distribuye y vende la leche fortificada Liconsa a bajo costo, con el fin de beneficiar a los sectores de escasos recursos [13]. En el caso de Chile, está el Programa Nacional de Alimentación Complementaria (PNAC), que cuenta con un conjunto de actividades de apoyo nutricional cuya población objetivo comprende principalmente niños menores de 6 años y madres lactantes [14]. Un rol similar juega el programa Vaso de Leche en Perú, que permite a niños y adolescentes en situación de vulnerabilidad disfrutar de una a dos comidas diarias distribuidas principalmente en los establecimientos escolares [15]. En Colombia se encuentran programas como Familias en Acción (FA), el Programa de Alimentación Escolar (PAE) y el programa nacional de Bienestarina. El programa de FA apoya a las familias mediante incentivos económicos para la salud y la educación [10]. El PAE brinda un complemento alimentario a los estudiantes de instituciones de educación públicas con el objetivo de contribuir con la permanencia en el sistema escolar [16]. El programa de Bienestarina, centro del análisis de este texto, es un programa estatal, gestionado por el Instituto Colombiano de Bienestar Familiar (ICBF), que se ocupa de la producción y distribución de complementos de alto valor nutricional, siendo la Bienestarina Más® su principal producto entregado.
La Bienestarina Más® consiste en una mezcla de féculas de cereales, harina de soya y leche entera en polvo, fortificada con vitaminas y minerales, sin conservantes ni colorantes [17] y se contempla como un refuerzo para atacar los problemas de desnutrición, especialmente en los niños y jóvenes en condiciones de pobreza [18]. El estado Colombiano financia la totalidad del programa,disponiendo una asignación presupuestal anual de alrededor de 40 millones de dólares paracubrir un cupo programado de seis millones de usuarios anuales [18]. Este presupuesto anual está diseñado para cubrir los costos involucrados en la producción y distribución, por lo que cualquier sobrecosto en este último rubro puede limitar la cantidad a producir, y por lo tanto afectar el grado de atención efectiva a la población vulnerable.
Por lo anterior, en el seguimiento del cumplimiento de las necesidades alimenticias de la población vulnerable, no es suficiente considerar el diseño adecuado de las propiedades nutricionales del complemento alimentario [3], sino también el conjunto de elementos y conexiones que hace posible la entrega efectiva del producto a la población, así como el seguimiento a la cobertura del sistema, el nivel de servicio, los costos de transporte y los tiempos de entrega. El diseño de la red de distribución permite vincular la manufactura con regiones geográficamente dispersas [19], mientras constituye el factor más importante para incrementar la capacidad de respuesta [20], mejorar los niveles de atención requeridos [21] y disminuir los costos totales [22], principalmente los costos de transporte e inventarios. De este modo, resulta pertinente analizar la estructura del sistema de distribución en programas de transferencias directas de alimentos y de esta manera hacer explícitas las relaciones que sus elementos tienen con la atención de la demanda en la población infantil vulnerable. Si bien se han realizado esfuerzos para medir el impacto de programas de asistencia nutricional e identificar el impacto que estos puedan tener sobre la seguridad alimentaria y la salud de la población beneficiaria, en dichos estudios no se han abordado explícitamente elementos del sistema de distribución y su relación con el cumplimiento de los objetivos de los diferentes programas. Por ejemplo, trabajos como los realizados por [23] han revisado diferentes métodos de medición de los efectos de diferentes tipos de programas para los Estados Unidos, los métodos revisados se enfocan en la salud del beneficiario y sus actividades diarias, pero no contemplan aspectos técnicos de la entrega de las ayudas. Otros estudios se han centrado en la revisión de diferentes escalas y métodos de medición de seguridad alimentaria en el mundo, los resultados muestran que los métodos se centran en las condiciones sociales, de ingesta de alimentos y de indicadores antropométricos en las poblaciones [24], pero no se contemplan los factores de los sistemas de distribución como los relacionados con el éxito de las políticas de seguridad alimentaria. En el contexto del aseguramiento de una adecuada nutrición en poblaciones urbanas, otros autores han contemplado factores referentes a la estructura del sistema de distribución y transporte. Por ejemplo, en [25] consideraron la capacidad de las vías o conexiones de transporte y el aseguramiento de la inocuidad de los alimentos mediante cadenas de frío en el transporte y la distribución, con el objetivo de mejorar la conectividad entre zonas urbanas y rurales. Por su parte, en [26] estudiaron el rol de los detallistas, quienes operan entre la interface de productores y consumidores. Adicionalmente, cumplen un rol crítico a la hora de aumentar la resiliencia de la producción y la oferta. Otros trabajos como los presentados en [27] hacen un llamado para un abordaje integrador entre disciplinas económico-adminsitrativas de la naturaleza y de la tecnología para abordar el problema de seguridad alimentaria desde la perspectiva de la cadena de valor. Siguiendo este enfoque el presente trabajo busca explorar las relaciones y la articulación entre los elementos del sistema de distribución y la eficacia del programa de Bienestarina Más® en Colombia, entendiendo eficacia como la capacidad de un programa humanitario para atender su demanda, reduciendo los faltantes y las entregas redundantes hacia la población beneficiaria [28], [29]. Para ello, en primer lugar se hace una síntesis de la metodología propuesta. Luego se presenta en detalle el caso de estudio, en donde se realiza una evaluación de: la cobertura geográfica de la infraestructura del programa, la coherencia entre la oferta y la demanda,la localización de instalaciones de almacenamiento y el plan de transporte. Finalmente, se realiza un diagnóstico con respecto al seguimiento de los usuarios y la trazabilidad de la carga.
Metodología
Estructura general de la metodología
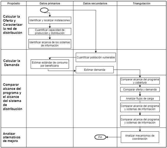
La investigación que aquí se presenta analiza la articulación entre los componentes del sistema de distribución y la eficacia del programa Bienestarina Más® en Colombia. Para ello, la investigación acude a dos fuentes principales de datos: primarias y secundarias. Las fuentes primarias se caracterizan por ofrecer datos públicos y oficiales alrededor del programa y las fuentes secundarias por permitir caracterizar la población y sus condiciones de vulnerabilidad alimentaria. Inicialmente, por medio de los datos oficiales declarados por el ICBF, se caracterizan los componentes del sistema de distribución y se cuantifica la oferta, calculando las cantidades entregadas a los beneficiarios a lo largo del país y los flujos de carga entre las instalaciones. Paralelamente, por medio de fuentes de datos secundarios (externas al ICBF), se calcula la demanda del complemento nutricional en función de la condición de vulnerabilidad de la población objetivo para posteriormente realizar comparaciones entre el alcance del programa de Bienestarina Más® y su demanda atendida. La comparación entre fuentes se realiza a través de un proceso de triangulación de datos, que posteriormente derivan en una propuesta para la articulación de los elementos del programa. El detalle de la metodología ejecutada puede verse en la Figura 1.

Recopilación de datos primarios y cálculo de la oferta
A través de los registros públicos de las entregas de Bienestarina Más® [30] se escogió 2015 como el año con mayor volumen de producción y entrega del periodo 2013-2018. El periodo escogido coincide con el aumento de la mortalidad infantil en población vulnerable perteneciente a grupos étnicos en uno de los departamentos de influencia del programa (La Guajira) [31] y se encuentra dentro de la ventana de operación del Plan Nacional de Seguridad Alimentaria y Nutricional lanzado en 2013 [32], [33]. Se recopilaron los datos de distribución que contienen información de la ubicación y la capacidad de las bodegas, así como los datos asociados de cada entrega realizada durante el periodo. Cada registro de entrega comprende la información de la sede regional, municipio y punto de entrega en el destino, planta de manufactura donde se origina el producto, bodega regional que distribuye, cantidad distribuida, tipo de programa por el cual se entrega el producto y cupos atendidos, entre otra información. Posteriormente esta información fue agregada, totalizando las cantidades enviadas en el año en plantas de manufactura, bodega, departamento y municipio.Estos datos corresponden a la oferta anual para el año 2015 de Bienestarina Más® a los cuales hacen referencia los posteriores análisis. Esta información fue procesada y visualizada en un entorno de sistemas de información geográfica, usando servicios como Google Maps®, Google Earth® y Arc-Gis 10.3®. La información detallada de la oferta permite describir la estructura y la actividad del sistema de distribución durante el periodo analizado; es decir, detallar los flujos de carga que conectan las plantas de producción con la población vulnerable.
Recopilación de datos secundarios y cálculo de la demanda
Con el fin de analizar la coherencia entre la estructura del sistema de distribución y las estadísticas nacionales de nutrición infantil en Colombia, se realizó una estimación de la población infantil en condiciones o en riesgo de vulnerabilidad nutricional. Para ello, se tomaron los porcentajes poblacionales por municipio y departamento con necesidades básicas insatisfechas [34] y posteriormente esas proporciones fueron usadas para el cálculo de la población infantil vulnerable acorde con losdatos poblacionales proyectados a 2015 y publicados por el Departamento Nacional de Estadística según censo del año 2005 (vigente durante el periodo analizado) [35]. Para este análisis se considera que la población infantil con necesidades básicas insatisfechas presenta un mayor riesgo de malnutrición, siguiendo las relaciones y evidencias previamente identificadas en [36], [37]. Posteriormente,el peso total demandado de Bienestarina Más® fue calculado usando la cantidad per cápita entregada más común según instructivos del ICBF (0,9 Kg/beneficiario* mes).
Análisis y triangulación de datos
Una vez calculada la oferta real de Bienestarina Más® y su demanda estimada, se procedió a analizar esos datos frente a los diferentes elementos de su sistema de distribución y la coherencia frente al alcance de cada uno de ellos. Se analizan elementos como la cobertura geográfica, la comparación entre oferta y demanda, los flujos de carga y transporte, y finalmente los sistemas de seguimiento y trazabilidad. La triangulación consiste en contrastar los datos obtenidos con otras fuentes de datos secundarios. El objetivo es obtener nuevas conclusiones sobre el comportamiento del sistema. Por ejemplo, para el análisis de la cobertura geográfica, los datos de oferta y demanda fueron contrastados con listados de municipios reportados por el DANE y triangulados con las estadísticas poblacionales en grupos étnicos, como pueblos indígenas. Así mismo, el análisis de los sistemas de trazabilidad y seguimiento contrastó la estructura y el alcance del sistema de distribución con las capacidades de los sistemas de información reportadas en fuentes oficiales del ICBF. Posteriormente se realizó el análisis de los flujos de carga, proyectando los datos primarios de la oferta de producto sobre la geocodificación del 100% de los puntos de entrega de Bienes tarina Más® en Colombia, y la coherencia de los flujos de transporte fue analizada por medio de la visualización en herramientas como Google Maps® y Arc-Gis 10.8®. Finalmente, se proponen alternativas para la coordinación entre el alcance del programa de asistencia alimentaria y los alcances de los componentes de su sistema de distribución.
El sistema de distribución de Bienestarina Más®
La estructura del sistema de distribución de Bienestarina cuenta con la participación de actores públicos y privados. Entre estos actores, interviene el Instituto Colombiano de Bienestar Familiar (ICBF), como ente público encargado de liderar el programa, empresas privadas funcionando como proveedores de suministros y un operador privado encargado de las plantas de producción y de distribuir el producto [18]. Las entregas totales de Bienestarina Más® para los años 2015, 2016, 2017 y 2018 fueron de 18.117, 15.993, 15.551 y 17.106 toneladas respectivamente. El número de beneficiarios atendido aproximado fue de 4,5 millones en 2015, 2,7 millones en 2016, 2,5 millones en 2017 y 2,22 en 2018 [38][40]. De dichos beneficiarios, para el año 2015 alrededor de un 60% menores de 5 años y un 20% menores de edad entre 6 y 18 años, siendo la Bienestarina Más® distribuida principalmente a los programas de Hogares Comunitarios de Bienestar, Desarrollo Infantil, Centros de Desarrollo Infantil y el Programa de Alimentación Escolar.
Con el fin de abastecer la demanda, el sistema de distribución se ha configurado con dos plantas de producción que envían la carga del complemento alimentario hacia 21 bodegas (Figura 2), desde las cuales se distribuye el producto a cerca de 5.000 puntos de entrega a nivel nacional (Figura 1). Los puntos de entrega a su vez se conectaron aproximadamente 112.000 unidades ejecutoras, las cuales a su vez suministran el producto para el consumo de los beneficiarios. También puede existir una conexión directa entre puntos de entrega y beneficiarios.

Como puede verse, la estructura del sistema de distribución abarca gran parte del territorio nacional,resultado del sostenimiento y la financiación del programa desde 1976. No obstante, la evidente evolución del programa y su alcance nacional, este tiene potencial para mejorar la coordinación entre los elementos de su sistema de distribución y, por lo tanto, el impacto sobre la población vulnerable.En los siguientes apartes se analizan diferentes factores que desde la estructura del sistema pueden limitar la mejora de este.
Cobertura geográfica de la infraestructura del programa
La cobertura geográfica de un conjunto de instalaciones es un problema común en el diseño de redes de distribución e investigación de operaciones. Los modelos asociados con este problema usualmente buscan escoger las instalaciones que permitan conectar la demanda con las fuentes de producto con un mínimo número de instalaciones [41]. La investigación en problemas de cobertura ha suscitado revisiones de literatura como las encontradas en [42] y específicamente en el campo humanitario en [41]. Sin embargo, en estas investigaciones no es común el uso de datos reales o realizar evaluaciones en problemas de impacto social como es el caso de la nutrición de la población infantil. Por su parte, el sistema de distribución de Bienestarina Más® ha sido construido por casi 40 años, sin evidencias de procesos de decisión que conllevase a una localización de sus instalaciones para atender la demanda a largo plazo. Al contrario, la cobertura geográfica actual del programa puede interpretarse como el resultado de procesos de decisión ad-hoc, en los que las instalaciones del sistema pueden variar de acuerdo con las necesidades del momento. En general,el sistema de distribución de Bienestarina muestra fuertes desafíos para poder combatir efectivamente la desnutrición. Por una parte existe una alta concentración de población en las ciudades y al mismo tiempo la población en zonas rurales es menos densa y geográficamente dispersa. En ambos casos existe población infantil en condiciones de desnutrición, pero las zonas rurales presentan adicionalmente restricciones de infraestructura, dificultades para el suministro de alimentos y acceso limitado a otros servicios como la salud.
Los resultados de cobertura implican un sistema con mayor concentración de puntos de entrega en sitios poblados como las ciudades y una menor cobertura en el norte y en el sudeste del país. El mapa en Figura 3(a) muestra la relación entre la densidad poblacional y la concentración de puntos de entrega, en donde claramente las zonas más pobladas cuentan con un mayor número de puntos de entrega. Este hecho es parcialmente coherente, pues denota prioridad a la entrega de asistencia alimentaria en zonas densamente pobladas, aunque esto no significa que las zonas de menor densidad poblacional posean una menor necesidad nutricional. Por ejemplo, la cantidad de puntos de entrega en el departamento de La Guajira, en el extremo norte del país, son menores que en el interior, lo cual no es coherente con los casos de muertes infantiles por desnutrición ampliamente discutidas en medios de comunicación [31], [43], [44]. De hecho, el departamento presenta una insuficiente infraestructura y la presencia de población indígena dispersa, lo que dificulta la distribución del alimento. Estas mismas características son encontradas en la región suroriental del país, la cual contiene 10 de los 32 departamentos de Colombia (Casanare, Meta, Caquetá, Vichada, Guainía, Arauca, Vaupés, Amazonas, Guaviare y Putumayo). Como puede verse en el Figura 3(b), los mencionados departamentos muestran deficiencias en la cobertura y, a su vez, una relación directa entre la localización de los puntos de entrega y las principales vías de conexión, lo cual consecuentemente muestra falta de cobertura en zonas con infraestructura de transporte deficiente.

En conclusión, la cobertura en este programa de asistencia nutricional para la población infantil está restringida por el acceso a la infraestructura y la dispersión de la población beneficiaria. Adicionalmente, alcanzar plena cobertura, reducir los tiempos de entrega y reducir los costos, mientras se asegura plena atención de la población vulnerable, no depende enteramente del programa.
La situación lleva a plantear las dificultades que puede llegar a tener un único sistema de distribución para atender efectivamente a la población afectada. Por esta razón, es recomendable diseñar estrategias “a la medida” para aquellas zonas con dificultades de acceso y población dispersa, de tal manera que no dependan de un suministro central y que se adapte a las condiciones de producción local de alimentos, capacidad de las tierras de cultivo, necesidades nutricionales y sobre todo a la cultura de la población vulnerable. Algunas iniciativas pueden incluir el diseño de zonas de autoabastecimiento alimentario o de producción prioritaria de alimentos, las cuales pueden además fomentar o fortalecer los canales internos de comercialización, generando así cadenas alternativas de suministro de alimentos, como las planteadas en [46]. Las zonas de autoabastecimiento alimentario permitirían no solo adaptar la producción de alimentos a la cultura local, sino también fomentar el desarrollo rural en las poblaciones vulnerables.
Coherencia entre oferta y demanda
Es recurrente en la literatura en ciencias de la gestión y en la gestión de cadenas de suministro encontrar referencias a la necesidad de incrementar la demanda, por ejemplo, a través de estrategias de mercadeo, y hacer coincidir dicha demanda con la oferta por medio de la gestión de los procesos de producción y abastecimiento. Sin embargo, en contextos humanitarios, incluyendo el de PAA,las condiciones de demanda son frecuentemente impredecibles en términos de temporalidad, localización,tipo o tamaño [47] y por lo tanto, lograr coherencia entre la oferta y la demanda puede ser una tarea retadora. Bajo esa perspectiva, los problemas de gestión de la demanda para la atención de las necesidades nutricionales en poblaciones vulnerables pasan por el entendimiento de la heterogeneidad de la población y la sincronización con los procedimientos de acceso al programa.
El entendimiento de la heterogeneidad de la población implica analizar las diferencias en la población beneficiaria, sobre todo si su alcance es nacional, las cuales pueden estar relacionadas con grupos de edades, la localización rural o urbana, la pertenencia a grupo étnicos, el estado de salud al ingreso del programa y el acceso a servicios, entre otros. En sí misma, la heterogeneidad de la población se convierte en un desafío para alcanzar los requerimientos nutricionales y diseñar los alimentos complementarios, de tal forma que se adapten a las preferencias culturales y además permitan reconocer los diferentes grupos en zonas con problemas de acceso. Este hecho puede generar un incremento en el número de referencias y número de productos o limitaciones para llegar a toda la población. De hecho, el reconocimiento de estas diferencias ha llevado al ICBF a incrementar la oferta de productos incluyendo nuevos sabores en la Bienestarina y diseñando Bienestarina líquida para los lugares con restricciones de acceso al agua potable [17].
Por otra parte, los procedimientos de acceso permiten al sistema incluir nuevos usuarios. En ese sentido, el sistema puede concentrar sus esfuerzos en localizar y suscribir potenciales beneficiarios o generar mecanismos para lograr la autosuscripción de los usuarios, que para el caso de la población menor de edad estaría en cabeza por sus padres o tutores legales. El primer caso puede ser costoso para el sistema, pues implica poder reconocer beneficiarios potenciales, lo que requeriría hacer su identificación y localización. El segundo caso requiere que el beneficiario potencial tenga conocimiento de la existencia del programa y adicionalmente las competencias básicas para poder suscribirse, por ejemplo, saber leer y escribir o acceder a internet. Para ambos casos, los procedimientos de accedo deben ser coherentes con el perfil social de la población objetivo y su densidad poblacional. En áreas urbanas con alta concentración de población y niveles de alfabetización adecuados,los procedimientos de autosubscripción pueden ser útiles, mientras que en zonas rurales o con condiciones sociales precarias y bajos niveles educativos es el sistema quién debe procurar los esfuerzos por localizar y suscribir a los usuarios.
Para el caso analizado y a la luz de lo expuesto en los párrafos previos, vale la pena resaltar los resultados de las comparaciones entre oferta y demanda. La oferta fue obtenida a partir de los reportes oficiales y la demanda calculada mediante el procedimiento descrito anteriormente. Los resultados obtenidos para el programa no siempre muestran una coincidencia entre demanda y oferta.Como puede verse en la Figura 4, el análisis de Pareto muestra que la oferta no se encuentra concentrada en un pequeño número de departamentos, no obstante al menos 9 de los 32 departamentos reciben entregas por encima del 100% de la demanda estimada, mientras que 12 de ellos reciben asistencia por debajo del 60% de los requerimientos. Como consecuencia, la distribución presenta falencias propias de los esfuerzos de respuesta humanitaria en situaciones de desastre, mostrando sobresuministro y escasez al mismo tiempo, es decir que unas zonas reciben asistencia por encimade los requerimientos, mientras otras zonas se encuentran en faltante [29], [48]. Desde el punto de vista de la eficacia del sistema, la presencia simultánea de sobre suministro y faltante muestra las dificultades del sistema para hacer coincidir la oferta y la demanda.

Un análisis desagregado por municipio sobre los dos departamentos que reciben proporciones más altas de suministro con respecto a su demanda estimada (Cesar y La Guajira) muestra que la existencia simultánea de sobresuministro y faltante se presenta también a nivel municipal. Algunos de sus municipios muestran escasez significativa, mientras otros tienen porcentaje de atención de hasta el 350% de su demanda estimada, como puede verse en la Figura 5.

Este comportamiento no es coherente, dado que muestra que a nivel nacional o departamental la demanda total puede satisfacerse, pero no lo es así a nivel desagregado, como puede ser el munici pal y aún más si la unidad de análisis se reduce a la comunidad. En particular es poco coherente en el caso del departamento de La Guajira, que como se mencionó anteriormente ha sido ampliamente nombrado en medios de comunicación por la crisis nutricional de su población infantil. En general,los resultados pueden ser parcialmente explicados, entre otras, por tres casusas técnicas: (i) la deficiente infraestructura de transporte en municipios alejados, (ii) la deficiencia en los procedimientos de acceso, y (iii) las capacidades de los procesos para el reconocimiento de usuario y seguimiento de la carga. La causa (i) es un factor común en las zonas rurales y apartadas de la geografía del país,no obstante, de acuerdo con lo consignado en la política nacional que rige la contratación de los operadores privados del programa de asistencia alimentaria [18], [49], se contempla y presupuesta la atención de estas zonas ampliando los tiempos entre entregas, realizando entregas aéreas o una combinación de ambas. En ese sentido el programa debe garantizar la atención de la demanda de los beneficiarios inscritos independiente de las condiciones de infraestructura, lo que concentra las potenciales causales sobre los procesos de reconocimiento de beneficiarios.
Sobre la causa (ii), actualmente los procesos de reconocimiento implican que, bien sea el usuario de manera autónoma o a través de una empresa administradora del servicio (EAS) o un operador del servicio (OS), reconozca la necesidad nutricional en la población y solicite al Estado a través del ICBF la asignación de cupos en el programa de Bienestarina. El beneficiario a través del EAS-OS debe oficializar su ingreso, sometiéndolo a una verificación de requisitos por medio de la entrega de un conjunto de documentos. Si bien estos procedimientos son públicos y consultables a través de internet, el ICBF actúa de una manera pasiva, asignando cupo por disponibilidad y dejando la gestión de los ingresos en manos de los beneficiarios y las EAS-OS. Adicionalmente, de forma tácita el programa impide el acceso de población sin conocimiento de la existencia de la asistencia nutricional, sin las competencias para acceder a la consulta, o en su forma más básica para poder leer los instructivos y seguirlos. Un análisis más profundo sobre los procesos de acceso y reconocimiento para el programa de Bienestarina puede verse en [50].
Regresando al análisis del Figura 4, se observaron 12 municipios con atención de la demanda por debajo del 60 %. De estos departamentos, 10 coinciden con alta presencia de población indígena y con las zonas de menor concentración de puntos de entrega vistos en la Figura 3. Con el fin de analizar las entregas en esos departamentos, la Tabla I. presenta la cobertura de la población indígena bajo el supuesto optimista de que el total de las entregas son asignadas a este grupopoblacional y luego son comparadas con el porcentaje de cobertura de las entregas por el programa de apoyo a familias de grupos étnicos (PAFET), el cual está diseñado para atender específicamente grupos poblacionales como las comunidades indígenas.

El análisis muestra bajas tasas de cobertura, incluso en el escenario optimista de envío de la totalidad del suministro a la población indígena y lo es aún más en análisis de las entregas reales por el programa de atención a grupos étnicos. Las bajas tasas de cobertura son evidencia de un sistema con dificultades para entregar la asistencia nutricional a la población infantil perteneciente a grupos étnicos, así como deficiencias para que los usuarios puedan suscribirse al programa, bien sea por procedimientos de autosubscripción o con intermediación de entidades privadas o estatales. Estas deficiencias pueden ser causadas por la falta de acceso a la información del programa, o las bajas tasas de alfabetización [51], lo cual puede explicar las capacidades limitadas de los beneficiarios para seguir procedimientos formales. Las mencionadas falencias en los procedimientos de acceso pueden explicar parcialmente las variaciones reportadas entre toneladas distribuidas y número de beneficiarios reportados por las cifras oficiales. Como se mostró previamente, el número de beneficiarios mostró un descenso según los informes oficiales, pasando de 4,5 millones en 2015 a 2,7 millones en 2016, 2,5 millones en 2017 y 2,22 en 2018 [38]- [40]. Estas cifras a nivel agregado no son coherentes con la cobertura de la demanda, la reducción de la desnutrición o la mejora en la calidad de vida del país.
La causa (iii) está asociada a la capacidad de los sistemas de información del programa para reconocer y registrar los beneficiarios actuales y potenciales, así como para hacer seguimiento a la entrega real de la asistencia alimentaria al beneficiario suscrito, lo cual será abordado más adelante en el apartado de seguimiento y trazabilidad.
En conclusión los PAA como Bienestarina deben alinear los procedimientos de acceso y las ca racterísticas de la población objetivo. En condiciones de población heterogénea los esfuerzos de cobertura del sistema deben procurar flexibilizar el acceso del usuario al sistema, adaptándose por ejemplo a sus condiciones sociales y perfiles de escolaridad. Las fallas en esta sincronización, sumadas a las dificultades para hacer seguimiento de las entregas y de los usuarios, pueden generar una falsa percepción de cobertura del sistema, donde a nivel agregado (nacional o departamental) las estadísticas de cobertura pueden mostrar un panorama completamente diferente que a nivel desagregado (municipal o comunitario). Esto es evidente en el sobresuministro y faltantes simultáneos mostrados a nivel municipal.
Flujos de carga y transporte
Los flujos de carga y transporte son producto de las capacidades, el diseño de la red de distribución y las decisiones de asignación que dentro de ella se tomen. El diseño de la red debe realizarse con un horizonte de planeación de largo plazo y su propósito es conectar los materiales producidos con los usuarios finales [19]. En los PAA el diseño de la red de distribución, como en cualquier programa con alcance humanitario, debe permitir conectar la producción con la población vulnerable rápidamente, pero al tener un presupuesto limitado, también debe procurar reducir los costos de transporte y distribución. Este último punto en el programa de Bienestarina Más® es muy importante, pues está diseñado para atender bajo un mismo presupuesto los costos de producción y distribución [18]. Esto hace que los incrementos de costo en transporte y distribución impacten negativamente el presupuesto disponible para producir y, por lo tanto, para atender a una mayor cantidad de población.
Desde una perspectiva de ingeniería, diferentes modelos se han diseñado para reducir los costos de distribución en contextos de negocios [52]. Desde el punto de vista humanitario, la reducción de la demanda insatisfecha, la reducción de los tiempos de entrega, la reducción de la distancia recorrida y la reducción del sufrimiento agregado han sido objetivos sociales comunes [28], [54]- [56].El sistema de distribución analizado combina los objetivos tanto de un sistema de distribución en un contexto de negocios como de un sistema de respuesta a desastres. Del primer contexto rescata la necesidad de reducir los costos de transporte como factor que permitiría el incremento de la cobertura ante disponibilidades limitadas de presupuesto para la producción y entrega de la asistencia alimentaria. En el segundo contexto es necesaria la reducción de la demanda insatisfecha, la garantía de tiempos de entrega reducidos y la reducción del sufrimiento poblacional agregado. De ambos contextos y de sus modelos asociados se puede extractar que, en términos generales, los costos de transporte se reducen en la medida que la cantidad de carga asignada entre dos puntos aumenta y cuando dichos puntos son cercanos, particularmente porque los costos de transporte son especialmente sensibles a las distancias recorridas. La reducción o el aumento de las distancias recorridas por la carga puede también impactar los tiempos de entrega y por lo tanto la eficacia del sistema.
Para el caso analizado se graficaron los flujos de carga para el año 2015. Los flujos se originan en las plantas de producción y se enrutan hacia las bodegas regionales. En la Figura 6 se pueden observar los flujos de carga como líneas, las cuales se hacen más oscuras cuando la cantidad de carga aumenta.
La figura resalta con círculos algunos flujos teóricamente inconsistentes. En dichos flujos se transporta mayor cantidad de carga desde las plantas más lejanas, hecho que no es lógico aún en situaciones de restricción de capacidad de las plantas de producción. De ser este el caso, debería transportarse mayor cantidad de flujo desde la planta cercana y ser completada la asignación con la planta más alejada pero como se puede ver en las secciones resaltadas del gráfico, sucede todo lo contrario. Este hecho muestra posibles ineficiencias en las asignaciones de carga en el sistema, lo que a su vez genera mayores costos de transporte. Un análisis detallado de las asignaciones usando técnicas de programación matemática presentado por Rueda et al. [56] mostró que las asignaciones actuales de los flujos de carga entre las instalaciones pueden ser mejoradas modificando la localización de las bodegas y por lo tanto modificando los flujos de asistencia entre las instalaciones del sistema de distribución. El estudio bajo objetivos de reducción de demanda insatisfecha y minimización de la distancia recorrida empleó modelos de programación matemática adaptados al contexto geográfico colombiano y contemplando recorridos no euclidianos entre plantas, bodegas y puntos de distribución.
Es así como se generan oportunidades de mejora a través de la centralización de los planes de transporte y el uso de herramientas como los modelos matemáticos de localización y asignación que permiten producir soluciones óptimas en contextos como el presentado. Por otra parte, desde la política estratégica de la nación se debe evaluar la pertinencia de la asignación en un mismo contrato de la producción y distribución de los alimentos de alto valor nutricional, o si debería incluir condiciones de asignación de carga o el uso de modelos de soporte a las decisiones como requisito para la asignación de dichos contratos.
Seguimiento y trazabilidad
Los procesos de seguimiento y trazabilidad se sustentan en las tecnologías de información y telecomunicaciones para permitir identificar a los usuarios del sistema y sus tutores legales, llevar registro detallado de los mismos, garantizar la entrega efectiva del producto y, en una visión másamplia, hacer evaluación a la efectividad del programa por medio del registro y análisis de la situación nutricional de los beneficiarios. De esta forma, a través del uso de herramientas intensivas de analítica de datos [57], un PAA podría retroalimentar sus resultados para mejorar el sistema y el impacto sobre los beneficiarios. La identificación de los usuarios debe permitir en una primera instancia reconocer a los usuarios actuales del sistema por medio de la articulación de los sistemas de información y los procedimientos de acceso. En segunda instancia debe permitir a los gestores de un PAA interactuar con otras entidades como hospitales y centros educativos, para capturar la información de usuarios potenciales y de esta manera mejorar los procesos de vinculación de beneficiarios.
En cuanto a la trazabilidad, esta ha sido definida como la habilidad de hacer seguimiento a la historia, la aplicación o la localización de una entidad por medio de sus datos registrados de identificación [58]. La trazabilidad entonces debe permitir relacionar la identificación de los beneficiarios con el flujo de carga entre fábricas, almacenes, puntos de entrega y beneficiarios, de tal manera que su entrega efectiva pueda ser asegurada. Este último punto es particularmente sensible en el PAA de Bienestarina, en el cual se han denunciado fallas en la destinación del producto, llegando inclusive a ser alimento de engorde para animales de granja [60]- [62]. El seguimiento y la trazabilidad en el PAA de Bienestarina se sustentan en dos sistemas de información denominados Cuéntame y SIM (Sistema de Información Misional). El primero permite registrar los beneficiarios y hacer seguimiento a su estado nutricional [62]. El segundo permite hacer seguimiento al flujo del producto hasta los puntos de entrega, facilitando el control de inventarios y la estimación de los tiempos de llegada, a través de la consolidación de los datos de los sistemas de información internos del operador encargado de la producción y distribución.
Si bien se cuenta con dichas plataformas de información, sus capacidades no tienen la misma cobertura que la entrega de la asistencia alimentaria. Actualmente el proceso de registro de beneficiarios en el sistema Cuéntame tiene alcance hasta las unidades de servicio, no siendo accesible por parte de los beneficiarios. Esto quiere decir que si bien es coherente con el actual procedimiento de acceso, no permite aún procesos de solicitud de cupos o autosuscripción, lo cual para las zonas urbanas podría ser de gran utilidad. Adicionalmente el sistema no tiene aún la capacidad de interconexión con otros programas de asistencia social, bases de datos o plataformas de informaciónde instituciones privadas o estatales, de tal manera que dicha interconexión le permitiese identificarnuevos beneficiarios potenciales y de esta manera pasar de un proceso de ingreso pasivo a uno activo. En cuanto al seguimiento del progreso del programa, actualmente Cuéntame permitehacer seguimiento del estado nutricional de los beneficiarios, sin embargo no tiene relación con la trazabilidad de la entrega efectiva del producto a los beneficiarios, lo que limita, en primer lugar, asegurar el uso apropiado de los recursos destinados al programa y, en segundo lugar, relacionar los consumos con la evolución de la población infantil vulnerable. Ampliando el proceso de trazabilidadde la carga, el sistema SIM, al igual que Cuéntame, tiene un alcance diferente al del sistema. Esto quiere decir que el sistema solo permite hacer seguimiento de la carga enviada desde las plantas de producción hasta los puntos de entrega; es decir, el sistema no tiene visibilidad entre los casi 5.000 puntos de entrega con los beneficiarios, que tal como se declaró anteriormente pueden variar entre 2 y 6 millones.
En principio esta ausencia de visibilidad en la entrega final del producto se debe a las responsabilidades contractuales del operador de producción y distribución con las cuales se diseñó el programa, en el que dicho operador es responsable de la distribución hasta los puntos de entrega [18]. Estas falencias de la trazabilidad y los puntos ciegos del sistema en la fase final de la entrega pueden explicar la facilidad para desviar el producto hacia destinos diferentes a los diseñados. La Figura 7 muestra el alcance de los sistemas de apoyo de trazabilidad y seguimiento, así como algunas de las funcionalidades de dichos sistemas.

Por lo anterior se considera fundamental la sincronización de la arquitectura tecnológica actual con el alcance y las necesidades del programa. Es necesario avanzar hacia la trazabilidad de la entrega del producto hasta el nivel del beneficiario, en donde tecnologías de reconocimiento biométrico, unidas a sistemas de identificación de producto como el código de barras pueden ser implementadas para garantizar entregas efectivas [63].
Adicionalmente se debe avanzar sobre la alineación de la contratación pública del programa con el alcance de este, procurando reducir los puntos ciegos en la visibilidad de usuarios y de la carga.
En el mismo sentido, se hace necesaria la coordinación y la interoperabilidad entre los sistemas de reconocimiento, ingreso y seguimiento del beneficiario con los sistemas de trazabilidad de la carga. Esta conexión habilita la opción de analizar y evaluar la efectividad agregada del programa mediante el uso de técnicas de análisis de datos. Algunas potencialidades pueden incluir el análisis de las mejoras o desmejoras nutricionales de la población infantil por zonas geográficas, su relación con las características del núcleo familiar o entorno social, entre otras. De igual manera, habilitar lainteroperabilidad con otros sistemas estatales y otros programas de asistencia social permitirá mejorar la calidad de la asistencia nutricional bajo un enfoque del beneficiario, reduciendo los esfuerzos duplicados y ampliando el efecto de los diferentes programas y sistemas, que hasta el momento actúan de forma independiente. Para ello la conexión con instituciones prestadoras de servicios de salud, programas estatales como Familias en Acción, instituciones educativas, e incluso servicios judiciales y de policía alrededor de la población infantil, podrían ser interconectados.
Alternativas de mejora: coherencia entre alcance del programa y sistema de distribución
El análisis del sistema de distribución permite observar que las potenciales mejoras sobre la eficacia del programa de asistencia alimentaria analizado dependen de la coordinación de sus diferentes componentes, de tal manera que el alcance del programa sea coherente con las acciones realizadaspara satisfacer la demanda. En ese sentido, dentro de su objetivo de otorgar a la población vulnerable un complemento de alto valor nutricional, su alcance comprende los flujos financieros, de producto y de información de proveedores y fabricantes hasta el beneficiario. Las alternativas se basan en hacer consistentes los elementos del sistema de distribución y el alcance del programa tomando como punto de partida los hallazgos descritos en los apartes anteriores. Las orientaciones para el mejoramiento se clasifican de acuerdo con los mecanismos de coordinación propuestos en [64]: contratos, tecnologías de información, gestión de la información y otras iniciativas paracoordinación. Los contratos tienen el propósito de mejorar la gestión de las relaciones entre proveedores y clientes de un producto o servicio, reduciendo el riesgo y permitiendo compartir riesgos o beneficios entre las partes involucradas [65]. Las tecnologías de información ayudan a mejorar el vínculo entre los orígenes del suministro (proveedores, fábricas) y los consumidores, mientras que la gestión de información permite, entre otras, acordar voluntades de información compartida y facilitar la adquisición de datos interoperables con las tecnologías de información [64]. Otras iniciativas de colaboración, como el uso de modelos matemáticos en el diseño u operación del sistema de distribución, crean marcos de entendimiento entre las partes para sustentar los contratos o la toma de decisiones. La Tabla II resume las iniciativas o alternativas propuestas.

Conclusiones
A través del estudio de los PAA se ha podido evidenciar que su efectividad sobre la situación nutricional en la población infantil excede el diseño de los complementos alimentarios. La interacción entre la estructura del sistema de producción y distribución contribuye significativamente con el desempeño del programa. Así mismo el estudio de los sistemas de distribución en PAA implica el estudio de un sistema de distribución de características únicas que a su vez hacen más complejas las labores de entrega. Algunas de estas características comprenden la coexistencia de zonas de alta y baja concentración poblacional, la cobertura nacional que implica dispersión geográfica, la estructura de financiación estatal y la heterogeneidad de la población.
De acuerdo con el análisis de los sistemas de distribución abordados en el PAA de Bienestarina Más® se puede evidenciar que la coordinación y la alineación de elementos y actores involucrados es un gran desafío para la mejora del estado nutricional de la población infantil. De esta manera, se hace necesario que los procedimientos y las modalidades de acceso se sincronicen con las características de una población heterogénea y de estos a su vez con la infraestructura tecnológica disponible. También se hace necesaria la coordinación entre planes de transporte y diseño del sistema de distribución con la localización de la población y los perfiles sociales, económicos y de formación académica de los habitantes, de tal manera que se mejore la ya ampliada cobertura geográfica del programa. Es así como se debe procurar garantizar el acceso a poblaciones como la indígena en donde sus condiciones sociales les impiden en muchas ocasiones seguir procedimientos de acceso rígidos o inclusive conocer de la existencia de programa.
En el mismo sentido, la coordinación entre los procesos de transporte y de trazabilidad de la carga con el registro y seguimiento de los beneficiarios genera oportunidades para el uso de técnicas de analítica de datos que a su vez permitiría analizar la efectividad del programa de una forma integral.Es así como la información del perfil del beneficiario, su consumo del producto, su ubicación geográfica y la evolución del estado nutricional permitiría identificar comportamientos atípicos en la entrega de los complementos nutricionales, así como regiones con mejor desempeño nutricional y, en general, ofrecer oportunidades de mejora a través de comportamientos no obvios identificados por el relacionamiento de los datos.
Es fundamental analizar detalladamente el comportamiento de los indicadores de cobertura, ya que aunque se evidencia sobreabastecimiento en departamentos como La Guajira, Cesar y Valle del Cauca, se siguen observando elevados índices de desnutrición en los mismos. Lo anterior se explica debido al envío de elevadas cantidades de Bienestarina a uno o unos pocos de sus municipios. De este modo, aunque el volumen despachado de Bienestarina presenta niveles aceptables, el producto no llega estrictamente a toda la población que lo necesita.
Así mismo, se observan falencias en la cobertura del programa en el suroriente del país, en donde aunque se tiene alta densidad de población en condición de desnutrición, se presentan debilidades en infraestructura de transporte que dificultan el acceso del bien a la población vulnerable.
Frente a este panorama, se pueden diseñar estrategias de fortalecimiento para atacar la desnutrición en zonas de acceso restringido, tales como la aplicación de métodos indirectos de acceso a alimentos como fomento a la producción agrícola diversificada en la zona. A través de este método,se pretende la identificación y el cultivo de una combinación adecuada de alimentos, cuyo valor nutricional contribuya a mejorar la seguridad alimentaria en la zona, junto con la disposición de recursos para garantizar la producción. Ofreciendo una solución con alta probabilidad de adopción,respaldada por autores como [66], quienes proponen explorar las prácticas locales e incluir a productores,procesadores y consumidores como actores en un enfoque combinado.
Finalmente, se hace un llamado hacia la centralización, la interconexión de datos y la interoperabilidad de los sistemas de información en los programas estatales de atención a la población infantil. A partir del estudio de la PAA de Bienestarina Más® es posible evidenciar que la nutrición es solo una arista del bienestar integral de la población infantil, en el cual los sistemas de salud, de educación,judicial y de orden público juegan un papel fundamental en el desarrollo del menor. De esta forma, la integración de la información del menor desde sus diferentes dimensiones fomentaría una visión integral de su desarrollo y generaría al Estado grandes oportunidades de mejorar sus condiciones sociales y calidad de vida.
Finalmente, este artículo establece las bases para el estudio de la efectividad de los PAA por medio del análisis de sus sistemas de distribución, haciendo explícitas sus relaciones y principales elementos, y de esta forma contribuyendo con el avance de la literatura científica en la temática encontrada hasta el momento.
References
S. Suweis, J. A. Carr, A. Maritan, A. Rinaldo, and P. D’Odorico, Resilience and reactivity of global food securityProc. Natl. Acad. Sci., vol. 112, no. 22, pp. 6902-6907, 2015. https://doi.org/10.1073/pnas1507366112
R. de Groot, T. Palermo, S. Handa, L. P. Ragno, and A. Peterman, “Cash transfers and child nutrition: Pathways and impacts”, Dev. Policy Rev., vol. 35, no. 5, pp. 621-643, 2017. https://doi.org/10.1111/dpr.12255
J. Fanzo, “Ethical issues for human nutrition in the context of global food security and sustainable development”,Glob. Food Sec., vol. 7, pp. 15-23, 2015. https://doi.org/10.1016/j.gfs.2015.11.001
FAO, “ONU: el hambre en América Latina y el Caribe podría afectar a casi 67 millones de personas en 2030”, FAO Noticias, 2020. [Online]. Available: http://www.fao.org/americas/noticias/ver/es/c/1297774
A. Palma, “Malnutrición en niños y niñas en América Latina y el Caribe”, Boletín Desafíos, no. 21, 2018. [Online]. Available: https://www.cepal.org/es/enfoques/malnutricion-ninos-ninas-america-latina-caribe
FAO, “The state of food security and nutrition in the world 2020”, FAO, IFAD, UNICEF, WFP and WHO, Roma,2020.
J. González-Feliu, C. Osorio-Ramírez, L. Palacios-Argüello, and C. Talamantes, “Local Production-Based Dietary Supplement Distribution in Emerging Countries in social improvement logistics: Bienestarina Distribution in Colombia”,in Establishing Food Security and Alternatives to International Trade in Emerging Economies, Hershey,PA: IGI Global, pp. 297-315, 2018.
Ialcsh, “Ialcsh - Iniciativa América Latina y Caribe Sin Hambre 2025”. [Online]. Available: http://www.ialcsh.org/
S. Tiwari et al., “Impact of cash transfer programs on food security and nutrition in sub- Saharan Africa: A crosscountry analysis”, Glob. Food Sec., vol. 11, pp. 72-83, 2016.
S. López-Arana, M. Avendaño, F. J. van Lenthe, and A. Burdorf, “The impact of a conditional cash transfer programme on consumption in Colombia”, Public Health Nutr., vol. 19, no. 14, pp. 2629-2642, 2016.
L. B. Davis, I. Sengul, J. S. Ivy, L. G. Brock III, and L. Miles, “Scheduling food bank collections and deliveries to ensure food safety and improve access”, Socioecon. Plann. Sci., vol. 48, no. 3, pp. 175-188, 2014. https://doi.org/10.1016/j.seps.2014.04.001
L. K. Bell, G. A. Hendrie, J. Hartley, and R. K. Golley, “Impact of a nutrition award scheme on the food and nutrient intakes of 2- to 4-year-olds attending long day care”, Public Health Nutr., vol. 18, no. 14, pp. 2634-2642,2015. https://doi.org/10.1017/S1368980014003127
C. Talamantes, “Análisis de los procesos de acopio, producción y distribución de leche Liconsa en México”, Ciudad Juárez, México, 2016.
Departamento de Alimentos y Nutrición - Ministerio de Salud de Chile, “Manual de Programas Alimentarios”,Santiago de Chile, 2011.
G. Gajate y M. Inurritegui, “El impacto del Vaso de Leche sobre el nivel de nutrición infantil”, Econ. y Soc., vol.50, no. 5, pp. 63-70, 2003.
Ministerio de Educación Nacional de Colombia, “Programa de alimentación escolar”, Programa de Alimentación Escolar (PAE), 2014. [En línea]. Disponible en: https://www.mineducacion.gov.co/1621/article-235135.html
ICBF, “Distribución, cuidado y uso de un alimento de alto valor nutricional. Bienestarina Más precocida” Bogotá: Instituto Colombiano de Bienestar Familiar, 2014.
DNP, “Conpes 3843. Importancia estratégica de los alimentos de alto valor nutricional que serán entregados por el ICBF en las vigencias 2016-2019” Bogotá: Departamento Nacional de Planeación, 2015. [En línea]. Disponible en: https://www.icbf.gov.co/cargues/avance/docs/conpes_dnp_3843_2015.htm
D. J. Bowersox, D. J. Closs, and M. B. Cooper, Supply Chain Logistics Management, 4th ed. McGraw-Hill Education, 2012.
S. Chopra, and P. Meindl, Supply Chain Management: Strategy, Planning, and Operation, 5th ed. New Jersey:Pearson, 2013.
R. Banomyong, and N. Supatn, “Developing a supply chain performance tool for SMEs in Thailand”, Supply Chain Manag. vol. 16, no. 1, pp. 20-31, 2011. https://doi.org/10.1108/13598541111103476
D. Simchi-Levi, P. Kaminsky, and E. Simchi-Levi, Managing the Supply Chain: The Definitive Guide for the Business Professional. Boston: McGraw-Hill Education, 2004.
C. D. Meyerhoefer, and M. Yang, “The relationship between food assistance and health: A review of the literature and empirical strategies for identifying program effects”, Appl. Econ. Perspect. Policy, vol. 33, no. 3, pp. 304-344,2011. https://doi.org/10.1093/aepp/ppr023
R. Pérez-Escamilla, and A. M. Segall-Corrêa, “Food insecurity measurement and indicators”, Rev. Nutr., vol. 21,no. suppl., pp. 15-26, 2008.
S. Bloem, and S. de Pee, “Developing approaches to achieve adequate nutrition among urban populations requires an understanding of urban development”, Glob. Food Sec., vol. 12, pp. 80-88, 2017. https://doi.org/10.1016/j.gfs.2016.09.001
S. Macfadyen et al., “The role of food retailers in improving resilience in global food supply”, Glob. Food Sec.,vol. 7, pp. 1-8, 2015.
J. F. Espinosa-Cristia, J. Feregrino, and P. Isla, “Emerging, and old, dilemmas for food security in Latin America”,J. Public Aff., vol. 19, no. 3, pp. 1-14, 2019. https://doi.org/10.1002/pa.1999
F. Regis-Hernández, J. Mora-Vargas, and A. Ruiz, “A multi-criteria vertical coordination framework for a reliable aid distribution”, J. Ind. Eng. Manag., vol. 10, no. 4, pp. 789-815, 2017. http://dx.doi.org/10.3926/jiem.2253
L.-M. Jensen, and S. Hertz, “The coordination roles of relief organisations in humanitarian logistics”, Int. J.Logist. Res. Appl., vol. 19, no. 5, pp. 465-485, 2016. https://doi.org/10.1080/13675567.2015.1124845
ICBF, “Distribución Bienestarina programas regulares”, Bienestarina Más y otros alimentos de alto valor nutricional,Instituto Colombiano de Bienestar Familiar, 2017. [En línea]. Disponible en: https://www.icbf.gov.co/bienestar/nutricion/bienestarina
D. Contreras, A. Voets, J. Junghardt, S. Bhamidipati, and S. Contreras, “The drivers of child mortality during the 2012-2016 drought in La Guajira, Colombia”, Int. J. Disaster Risk Sci., vol. 11,pp. 87-104, 2020. https://doi.org/10.1007/s13753-020-00255
Gobierno Nacional, “Plan Nacional de Seguridad Alimentaria y Nutricional”, Bogotá, 2013.
ICBF, “Política de Seguridad Alimentaria y Nutricional “, Plan Nacional de Seguridad Alimentaria y Nutricional,Bogotá: Instituto Colombiano de Bienestar Familiar, 2013. [En línea]. Disponible en: https://www.icbf.gov.co/bienestar/nutricion/politica-seguridad-alimentaria
DANE, “Necesidades básicas insatisfechas (NBI)”, Necesidades básicas insatisfechas (NBI), 2011.[En línea]. Disponible en: https://www.dane.gov.co/index.php/estadisticas-por-tema/pobreza-y-condiciones-de-vida/necesidades-basicas-insatisfechas-nbi
DANE, “Proyecciones de población”, Proyecciones de población, 2005. [En línea]. Disponible en: https://www.dane.gov.co/index.php/estadisticas-por-tema/demografia-y-poblacion/proyecciones-de-poblacion
M. Montilva, M. A. Ferrer, R. Nieto, Y. Ontiveros, L. Durán y M. A. Mendoza, “Uso del método: necesidades básicas insatisfechas en la detección de comunidades con riesgo de desnutrición”, An. Venez. Nutr., vol. 16, no. 1,pp. 16-22, 2003.
B. Navazo, S. L. Dahinten y E. E. Oyhenart, “Malnutrición y pobreza estructural: comparación de dos cohortes de escolares de Puerto Madryn, Argentina”, Rev. Salud Pública, vol. 20, no. 1, pp. 60-66, 2018. http://dx.doi.org/10.15446/rsap.v20n1.68576
ICBF, “Informe de gestión 2015”, Bogotá: Instituto Colombiano de Bienestar Familiar , 2016.
ICBF, “Informe de gestión 2016”, Bogotá: Instituto Colombiano de Bienestar Familiar , 2017.
ICBF, “Informe de gestión 2017”, Bogotá: Instituto Colombiano de Bienestar Familiar , 2018.
B. Balcik, and B. M. Beamon, “Facility location in humanitarian relief”, Int. J. Logist. Res. Appl., vol. 11, no. 2,pp. 101-121, 2008.https://doi.org/10.1080/13675560701561789
R. Z. Farahani, N. Asgari, N. Heidari, M. Hosseininia, and M. Goh, “Covering problems in facility location: A review”, Comput. Ind. Eng., vol. 62, no. 1, pp. 368-407, 2012. https://doi.org/10.1016/j.cie.2011.08.020
J. Bonet-Morón y L. W. Hahn-De-Castro, “La mortalidad y desnutrición infantil en la Guajira”, Documentos de Trabajo sobre Economía Regional, no. 255, Cartagena: Banco de la República, 2017.
El Heraldo, “Cinco causas de la crisis humanitaria en La Guajira”, El Heraldo, 28 de febrero,2016. [En línea]. Disponible en: https://www.elheraldo.co/la-guajira/cinco-causas-de-la-crisis-humanitaria-en-la-guajira-245843
DANE, “Servicio Web Geográfico (WMTS) que representa Densidad de población en resto, según municipio 2005”, Catálogo de Metadatos Geográficos, Departamento Administrativo Nacional de Estadística.[En línea]. Disponible en: https://geoportal.dane.gov.co/geonetwork/srv/spa/catalog.search;jsessionid=E8139CC9E5EFC9916B582D83B95C2E94#/metadata/ec2983a5-5956-4dd2-b3c5-df9309f665c3
J. Dixon, and C. Richards, “On food security and alternative food networks : Understanding and performing food security in the context of urban bias”, Agric. Human Values, vol. 33, pp. 191- 202, 2016. https://doi.org/10.1007/s10460-015-9630-y
G. Kovács, and K. Spens, “Identifying challenges in humanitarian logistics”, Int. J. Phys. Distrib. Logist. Manag.,vol. 39, no. 6, pp. 506-528, 2009. https://doi.org/10.1108/09600030910985848
B. Balcik, B. M. Beamon, C. C. Krejci, K. M. Muramatsu, and M. Ramirez, “Coordination in humanitarian relief chains: Practices, challenges and opportunities”, Int. J. Prod. Econ., vol. 126, no. 1, pp. 22-34, 2010. https://doi.org/10.1016/j.ijpe.2009.09.008
DNP, “Conpes 3443. Contratación del operador para la producción y distribución del componente nutricional (Bienestarina) en el Instituto Colombiano de Bienestar Familiar - ICBF” Bogotá: Departamento Nacional de Planeación 2006.
R. Saboyá, Caracterización de los procesos para el acceso y seguimiento de los usuarios de Bienestarina, (Trabajo de Grado), Universidad Distrital Francisco José de Caldas, 2018.
DANE; Universidad del Valle, “Análisis Regional de los prinicipales indicadores sociodemográficos de la comunidad afrocolombiana e indígena a partir de la infomación del Censo General 2005”, Bogotá: Departamento Administrativo Nacional de Estadística; Universidad del Valle, 2010.
J. Mula, D. Peidro, M. Díaz-Madroñero, and E. Vicens, “Mathematical programming models for supply chain production and transport planning”, Eur. J. Oper. Res., vol. 204, no. 3, pp. 377-390, 2010. https://doi.org/10.1016/j.ejor.2009.09.008
A. M. Caunhye, X. Nie, and S. Pokharel, “Optimization models in emergency logistics: A literature review”,Socioecon. Plann. Sci., vol. 46, no. 1, pp. 4-13, 2012. https://doi.org/10.1016/j.seps.2011.04.004
G. Galindo, and R. Batta, “Review of recent developments in OR/MS research in disaster operations management”,Eur. J. Oper. Res., vol. 230, no. 2, pp. 201-211, 2013. https://doi.org/10.1016/j.ejor.2013.01.039
J. Holguín-Veras, N. Pérez, M. Jaller, L. N. Van Wassenhove, and F. Aros-Vera, “On the appropriate objective function for post-disaster humanitarian logistics models”, J. Oper. Manag., vol. 31, no. 5, pp. 262-280, 2013.https://doi.org/10.1016/j.jom.2013.06.002
F. Rueda-Velasco, W. Adarme-Jaimes, A. Garzón-Luna, J. Marroquín-Ávila, and G. Parada-Caro “Evaluation of a facility location for a food assistance supply chain: The case of Bienestarina in Colombia”, Ing. e Investig., vol.39, no. 3, 2019. https://doi.org/10.15446/ing.investig.v39n3.77175
S. Fan, R. Lau, and J. L. Zhao, “Demystifying big data analytics for business intelligence through the lens of marketing mix”, Big Data Res., vol. 2, no. 1, pp. 28-32, 2015. https://doi.org/10.1016/j.bdr.2015.02.006
ISO, ISO 8402: 1994: Quality Management and Quality Assurance - Vocabulary. International Organization for Standardization, 1994. [Online]. Available: https://www.iso.org/standard/20115.html
El Tiempo, “Utilizan Bienestarina para engordar cerdos”, El Tiempo, 04 de abril, 2007. [En línea]. Disponible en: https://www.eltiempo.com/archivo/documento/MAM-2437390
N. Quevedo, “Los traficantes de Bienestarina”, El Espectador, 12 de octubre, 2009. [En línea]. Disponible en: https://www.elespectador.com/judicial/los-traficantes-de-bienestarina-article-166306
Canal 1, “Bienestarina para engordar marranos”, Noticias Uno, Canal 1, 2011. [En línea]. Disponible en: https://noticias.canal1.com.co/que-tal-esto/bienestarina-para-engordar-marranos
ICBF, “Cuéntame - Sistema de Información de Primera Infancia”, Primera Infancia, Bogotá: Instituto Colombiano de Bienestar Familiar . [En línea]. Disponible en: https://www.icbf.gov.co/programas-y-estrategias/primera-infancia/cuentame
F. J. Rueda-Velasco, A. Monsalve-Salamanca, and W. Adarme-Jaimes, “Methodology for the design of traceability system in food assistance supply chains”, in Handbook of Research on Urban and Humanitarian Logistics, IGI Global, pp. 179-200, 2019.
K. Arshinder, A. Kanda, and S. G. Deshmukh, “A review on supply chain coordination: Coordination mechanisms, managing uncertainty and research directions”, in Supply Chain Coordination under Uncertainty, Springer,pp. 39-82, 2011.
H. Krishnan, and R. A. Winter, “On the role of revenue-sharing contracts in supply chains”, Oper. Res. Lett., vol.39, no. 1, pp. 28-31, 2011. https://doi.org/10.1016/j.orl.2010.10.007
M. A. Slingerland, K. Traore, A. P. P. Kayodé, and C. E. S. Mitchikpe, “Fighting Fe deficiency malnutrition in West Africa: An interdisciplinary programme on a food chain approach”, NJAS - Wageningen J. Life Sci., vol. 53, no. 3-4, pp. 253-279, 2006. https://doi.org/10.1016/S1573-5214(06)80009-6
Notas
Notas de autor
*Correspondence email: fjruedav@udistrital.edu.co