Artículos de investigación
Recepción: 24 Febrero 2022
Aprobación: 01 Junio 2022
DOI: https://doi.org/10.17533/udea.mut.v15n2a02
Resumen: Esta comunicación se inscribe en una investigación en co-labor sobre los roles de los traductores-intérpretes en lenguas indígenas en el ámbito jurídico-judicial de la provincia del Chaco, Argentina. Allí se desarrolló un dispositivo para garantizar la presencia de traductores-intérpretes en lenguas indígenas en el ámbito de la justicia, que incluye formación, cargos y una coordinación entre los pueblos indígenas y el Poder Judicial. Orientadas a permitir el acceso de cierto grupo de personas a determinados recursos, estas medidas constituyen políticas de discriminación positiva. Entendiendo que las identidades son categorizaciones flexibles e interaccionales, nos interesa describir quiénes son los beneficiarios de este dispositivo y de qué manera la categoría de “indígena” incide en la decisión de unirse al Registro Especial de Traductores e Intérpretes de Lenguas Indígenas y los reclamos (o no) por la remuneración. El corpus está constituido por el registro audiovisual de talleres de interpretación y terminología para peritos traductores-intérpretes y estudiantes de las tecnicaturas en Interpretación en Lengua Indígena entre 2016 y 2019, entrevistas a traductores-intérpretes y actores del ámbito judicial, así como textos normativos. Nuestro marco teórico toma elementos de la teoría social, como los conceptos de aboriginalidad, fronteras simbólicas y sociales y extranjeridad, haciendo énfasis en el carácter procesual y flexible de las fronteras, y el carácter interaccional de la categorización. Entendemos que este trabajo puede aportar a la comprensión de las políticas de traducción para las lenguas originarias en América Latina, desde una mirada interdisciplinaria.
Palabras clave: Acceso a la justicia, perspectiva étnica, provincia del Chaco, pueblos originarios, traducción e interpretación de lenguas originarias.
Abstract: This work is part of a collaborative investigation on the roles of translators-interpreters in indigenous languages in the legal and judicial field of the Province of Chaco, Argentina. There, a mechanism was developed to guarantee the presence of translators-interpreters in indigenous languages in Justice, which includes training, job positions and a coordination between the indigenous peoples and the Justice system. These measures, aimed at allowing a certain group of people access to certain resources, constitute positive discrimination policies. We understand that identities are flexible and interactive categorizations, and so we are interested in describing who the beneficiaries of this mechanism are and how the category “indigenous” influences the decision to join the Special registry of indigenous interpreters and the request (or not) for remuneration. The corpus is made up of the audio-visual recordings of interpretation and terminology workshops for indigenous translators-interpreters of the Judiciary and students of the Indigenous Language Interpretation Training College between 2016 and 2019, interviews with translators-interpreters and actors in the judicial field, as well as legislation. Our theoretical framework takes elements from Social Theory, such as the concepts of aboriginality, symbolic and social borders and foreignness, with special emphasis on the procedural and flexible character of the borders and the interactional nature of the categorization. We think that this work can contribute to the understanding of translation policies for native languages in Latin America, from an interdisciplinary perspective.
Keywords: Access to justice, ethnic perspective, province of Chaco, indigenous peoples, translation and interpretation of indigenous languages.
Résumé: Cette communication est encadrée dans une enquête collaborative sur les rôles des traducteurs-interprètes en langues indigènes dans le domaine juridico-judiciaire de la province du Chaco, en Argentine. Dans le but d’assurer la présence de traducteurs-interprètes en langues indigènes dans la Justice, la province a mis en place un dispositif qui comprend la formation, la création de postes et une coordination entre les Peuples Autochtones et le pouvoir judiciaire. Visant à permettre à un certain groupe de personnes d’accéder à certaines ressources, ces mesures constituent des politiques de discrimination positive. Concevant les identités comme des catégorisations souples et interactives, nous nous intéressons à déceler qui sont les bénéficiaires de ce dispositif et comment la catégorie « indigène » influence la décision de s’inscrire au Registre spécial d’interprètes indigènes et les demandes (ou non) de rémunération. Le corpus est constitué des registres audiovisuels des ateliers d’interprétation et de terminologie pour des traducteurs-interprètes experts et pour les étudiants de l’École d’Interprétation en Langues Indigènes offerts entre 2016 et 2019, d’entretiens avec des traducteurs-interprètes et des acteurs du domaine judiciaire, ainsi que de textes normatifs. Notre cadre théorique reprend des éléments de la théorie sociale, tels que les concepts d’aboriginalité, de frontières symboliques et sociales et d’étrangeté, et met l’accent sur le caractère procédural et flexible des frontières et le caractère interactionnel de la catégorisation. Nous croyons que ce travail pourrait contribuer à la compréhension des politiques de traduction pour les langues indigènes en Amérique Latine, depuis une perspective interdisciplinaire.
Mots-clés: Accès à la justice, perspective ethnique, province du Chaco, peuples autochtones, traduction et interprétation des langues indigènes.
1. Introducción
En América Latina, los procesos de conformación de los Estados nacionales, iniciados en el siglo XIX con una serie de independencias de las metrópolis europeas, supusieron la necesidad de construir una representación de nación uniforme, constituida por individuos que compartieran una historia, una lengua, una cultura. En la Argentina, esto implicó el acallamiento de una población diversa de españoles, criollos, inmigrantes de diversos orígenes y pueblos indígenas preexistentes a la conquista europea. En el plano lingüístico, esto supuso la construcción de un Estado monolingüe y de la representación de una nación hablante de español.
Avanzada la segunda mitad del siglo XX, la preeminencia del mercado en el marco de los procesos de globalización y transnacionalización condujo a un desplazamiento en los factores constructores de hegemonía y puso en jaque la homogeneidad del Estado nación (Martín-Barbero, 1998, p. 23), debido a la desterritorialización de la economía y la cultura, pero también a la erosión del imaginario de un ser nacional único. Así, en palabras de este autor, “el contradictorio movimiento de globalización y fragmentación de la cultura, lo es a la vez de mundialización y revitalización de lo local” (Martín-Barbero, 2002, p. 56). En el mismo sentido, Souza Santos (2002, pp. 74-75) señala el fenómeno de “globalización contrahegemónica”, donde el mismo proceso que implica el desarraigo territorial, la migración a áreas urbanas, el avance de las fronteras agrícolo-ganaderas en beneficios de monopolios y la flexibilización laboral, también fortalece los movimientos locales y abre la posibilidad de crear medios jurídicos que permitan definir derechos para estos colectivos.1
A nivel continental -y también nacional-, se plantea un escenario en el que los pueblos originarios reivindican sus derechos y reclaman el estatus de sujetos sociales y políticos. Este nuevo papel de interlocutores del sistema político incidió en la normativa internacional y las legislaciones nacionales del continente: entre otras, el Convenio 169 de la Organización Internacional del Trabajo (OIT) sobre Pueblos Indígenas y Tribales, la Declaración de las Naciones Unidas sobre los Derechos de los Pueblos Indígenas, y la inclusión de regulaciones relativas a los derechos de los pueblos originarios en las Constituciones de Nicaragua (1987), Brasil (1988), Colombia y México (1991), Perú (1993) y Venezuela (2000), por nombrar algunas.
En este marco, uno de los ejes de las reivindicaciones políticas de los pueblos indígenas se centra en las lenguas indígenas. La lengua emerge como catalizador de la diversidad étnica y cultural de los Estados, y da lugar a derechos fundamentalmente lingüísticos, como el derecho a usar la lengua, así como también constituye, en su función comunicativa, un medio para acceder a otros derechos (civiles, políticos y culturales).2
En el caso particular de la Argentina, esta aprobó el Convenio 169 en 1992 (Ley 24.071) y los derechos de los pueblos originarios se incorporaron a la Constitución en 1994 (art. 75, inc. 17). Por su parte, la provincia del Chaco dictó la Ley de las Comunidades Indígenas (Ley 3258) en 1987, que se perfiló como el primer mojón de una serie de regulaciones provinciales que buscan ampliar el acceso al derecho de los miembros de los pueblos Moqoit, Qom y Wichi.3
Estas regulaciones provinciales pueden pensarse como parte de un dispositivo desarrollado en la última década por la provincia para garantizar la presencia de traductores e intérpretes en lenguas moqoit, qom y wichi en el ámbito judicial y de salud. Este dispositivo incluye instancias de formación formal, cargos estatales u nombramientos oficiales de traductores e intérpretes, e incluso un espacio de coordinación entre los pueblos indígenas y el Poder Judicial.
Este proceso, multimotivado, tiene lugar en el marco de las perspectivas con enfoque en interculturalidad, que suponen que el fortalecimiento de identidades locales, que reivindican sus particularidades culturales y lingüísticas, así como su anclaje territorial, debe estar acompañado de reconocimiento jurídico y político. La formación y el registro de traductores e intérpretes en lenguas indígenas en la provincia constituyen entonces una política focalizada en un grupo poblacional específico, al que se identifica con una base étnica y que tiene el objetivo de distribuir el acceso a recursos como la salud, la justicia y la educación.
Entendiendo que las identidades son categorizaciones flexibles, interaccionales y que se modifican con el tiempo, en el presente trabajo nos interesa dar cuenta de quiénes son los beneficiarios de este dispositivo y de qué manera la categoría de “indígena”, con los sentidos que se le atribuyen, incide en la decisión de unirse al Registro Especial de intérpretes indígenas y los reclamos (o no) por la remuneración.
Para ello, comenzamos por definir el marco teórico y metodológico, para, luego, ofrecer un breve repaso de la situación sociolingüística de la provincia y de los instrumentos tendientes a asegurar la presencia de traductores e intérpretes en salud y justicia. Después, indagamos quiénes son “indígenas” desde la mirada estatal y cómo esa categorización fue mutando con los cambios sociohistóricos. Finalmente, explicamos de qué manera la categorización de base étnica, en vínculo con experiencias de discriminación y desigualdad, incide en los sentidos que se da a ser traductor o intérprete, y en el momento de reclamar un pago por los servicios.
2. Marco teórico y metodológico
Este trabajo se inscribe en una investigación acerca de los roles que se espera que cumplan los traductores-intérpretes en lenguas moqoit, qom y wichi en el ámbito jurídico-judicial chaqueño. Se trata de una investigación en colaboración (Rappaport, 2011) o co-labor (Ballena y Unamuno, 2017), que supone producir conocimiento socialmente válido mediante el diálogo entre los saberes y epistemes nativos y los del campo de la traducción-interpretación. Esto implica que parte del corpus son registros de talleres dictados por el equipo de investigación, uno a pedido de la Coordinación Integral de Actividades Judiciales de los Tres Pueblos Indígenas del Chaco del Superior Tribunal de Justicia, y los otros, por demanda de la rectora de las tecnicaturas en Interpretación en Lengua Indígena.
Nuestro corpus, entonces, está constituido por:
Para este análisis en particular, que busca entender el modo en que se define quién es indígena y de qué manera las experiencias de discriminación que se perciben compartidas por el grupo inciden en los sentidos que se le dan a la figura del traductor-intérprete, resulta relevante incorporar elementos de la teoría social, en particular los conceptos de aboriginalidad (Beckett, 1998; Briones, 2004), fronteras simbólicas y sociales (Lamont y Molnar, 2002) y extranjeridad (Elias, 2003; Unamuno y Codó, 2007), haciendo énfasis en el carácter procesual y flexible de las fronteras y el carácter interaccional de la categorización.
Desde la antropología, Beckett (1998) problematiza el concepto de aboriginalidad en el contexto australiano, porque entiende que no es inmutable ni dado, sino que es una construcción cultural, es decir, si bien se denominó en un primer momento como “aborigen” a las personas que vivían en Australia antes de la llegada de los conquistadores, esta categoría no tiene una correlación directa con la descendencia biológica, sino que lo que lo caracteriza va variando a través del tiempo. Ahora bien, el poder de esta categoría radica en la idea de que se trata de una categoría continua, es decir que, más allá de la variación, se sostiene a lo largo del tiempo. Para Beckett, la aboriginalidad hace referencia a un contingente que, en definitiva, es una comunidad imaginada en el sentido andersoniano (p. 2).
Por su parte, Briones (2004) retoma ese concepto en el contexto latinoamericano para explicar cómo el significado de “indio” o “indígena” se ha ido resignificando y negociando en relación con los otros internos (mestizos, criollos, etc.) y con la construcción de la nación. Briones señala el modo en que la “nación-como-estado” instrumenta
[…] una economía política de la diversidad que etniciza y/o racializa selectivamente distintos colectivos sociales, fijando así marcas y umbrales de uniformidad y alteridad que atribuyen en cada caso dispares consistencias, porosidades y fisuras a los contornos (auto) adscriPTIvos de contingentes clasificados -y naturalizados- como grupos/minorías étnicas y/o raciales (2004, p. 78).
La particularidad argentina estaría dada por el modo en que el sentido común de la “excepcionalidad” argentina contribuye a definir quién es y cómo se piensa a los indígenas. Esta excepcionalidad, dice Briones, se vincula con el hecho de que se
[…] ha ido fraguando en medio de una paradoja constitutiva: la de pensar al país como uno que, a diferencia de otros, no tiene “problemas raciales” ni racismo, promoviendo al mismo tiempo una matriz de diversidad fuertemente racializada y profundamente asimétrica (2004, p. 84).
Así, señala esta autora, quienes pueden borrar sus diferencias, logran inscribirse en la comunidad imaginada que constituye el ser nacional. Sin embargo, no todos tienen la misma capacidad de invisibilizarse; a algunos inmigrantes, como los de origen español o italiano, les resulta más fácil que a los de otras nacionalidades. Al mismo tiempo, este proceso es más sencillo para los inmigrantes que para los indígenas, ya que, en este contexto racializado, los inmigrantes ya son considerados blancos, pero los indígenas no. La diferencia con el contingente indígena, entonces, es una diferencia de esencia y, por eso, se plantea como irreversible (Briones, 2004, p. 84).
Ahora bien, Briones identifica de este modo la aboriginalidad como una construcción externa, una definición que proviene de afuera del grupo. Sin embargo, entendemos que las categorizaciones son producto de una co-construcción externa e interna, es decir, se construyen de manera intersubjetiva. Para pensar esta co-construcción, resulta particularmente rico el concepto de fronteras simbólicas, esto es, las distinciones conceptuales mediante las cuales los actores sociales categorizan, entre otras cosas, personas. Estas “separan a las personas en grupos y generan sentimientos de similaridad y pertenencia” (Lamont y Molnar, 2002, p. 168) y pueden participar de la construcción de fronteras sociales cuando se manifiestan en “un acceso desigual o una distribución desigual de los recursos (materiales o inmateriales)” (p. 168).
Estas perspectivas, que suponen que los límites que constituyen los grupos no están cristalizados, sino que son flexibles y porosos, nos permiten proponer una mirada compleja que excede el mero factor cultural y que implica incorporar las tensiones políticas y sociales al análisis. En el contexto latinoamericano, esto resulta particularmente importante, pues la respuesta a las luchas por la ampliación de derechos en la década de los noventa -primero en el marco de gobiernos neoliberales, de la mano de los discursos del multiculturalismo, y luego de los de la interculturalidad, en gobiernos de tinte progresista- no parece haber superado el plano simbólico, en tanto no ha habido respuestas concretas a los reclamos por el territorio o por el control de recursos (Grimson, 2008). En palabras de Grimson, “Buscaron dar con la cultura lo que quitaban con la economía” (2008, p. 80).
Coincidimos con Walsh (2010) en que, en líneas generales, la interculturalidad propuesta es compatible con la lógica del sistema neoliberal, puesto que no pone en discusión las reglas de juego, sino que, en ese marco, el respeto y el reconocimiento de la diversidad se convierten en una nueva estrategia de dominación. Se trata no tanto de establecer sociedades más igualitarias, como sí de regular la conflictividad étnica y social, para poder “impulsar los imperativos económicos del modelo (neoliberalizado) de acumulación capitalista” (Walsh, 2010).
3. Contextualización
En la provincia del Chaco, unas 41 000 personas (un 3,9 % de la población provincial) se reconocen como descendientes o pertenecientes a un pueblo indígena, según los datos del Censo nacional de población, hogares y viviendas 2010 (Instituto Nacional de Estadísticas y Censos, 2015). De ellas, 30 766 se reconocen pertenecientes al pueblo Toba (Qom), 4629 al pueblo Wichi y 3873 al pueblo Mocoví (Moqoit). La Encuesta complementaria de pueblos indígenas (2004-2005) brinda datos acerca de quiénes hablan moqoit, qom y wichi: más del 90 % de la población wichi que vive en Chaco, Formosa y Salta tiene como lengua materna el wichi y habla o entiende la lengua; el 65 % de la población qom de las provincias de Chaco, Formosa y Santa Fe tiene al qom como lengua materna, mientras que el 78 % la habla o entiende; y, finalmente, el 22 % de los moqoit de las provincias de Chaco y Santa Fe tiene como lengua materna al moqoit, mientras que el 34 % lo habla o entiende.
El 14 de julio de 2010, la Ley provincial 6604 oficializó estas lenguas, junto con el castellano. De esta manera, al reconocer varias lenguas como oficiales para la provincia, el Estado chaqueño reconoce “la identidad plurilingüe y pluricultural de [la] Provincia” (anexo del Decreto 257 que reglamenta la Ley 6604).
Una de las consecuencias jurídicas de la oficialización de una lengua es que el Estado debe garantizar la comunicación de los ciudadanos con los distintos poderes y la administración pública. La Ley 6604 otorga a los hablantes el derecho de “utilización de su lengua en los distintos ámbitos del Estado provincial” (art. 4) y, en vistas al ejercicio de ese derecho, prevé acciones de formación y “habilitación lingüística de los agentes públicos” (art. 6) y “acciones de formación y capacitación de interpretación pertinentes” (art. 4). La ley busca, así, que se establezcan medidas tendientes a lograr que los ciudadanos qom, wichi y moqoit puedan, en el corto plazo, utilizar su lengua para comunicarse con el Estado.
En esta línea, se tomaron varias acciones para incidir sobre la presencia de intérpretes y traductores en el ámbito de los servicios públicos (en las áreas de salud y justicia) o su formación. El 3 de diciembre de 2014 se sancionó la Ley provincial 7516, que autoriza la creación de la carrera de Traductor-Intérprete en Lenguas Indígenas (qom, wichi y moqoit), para desempeñar funciones en el ámbito judicial. Sin embargo, esta ley nunca fue reglamentada y a pesar de las gestiones diversas con la Universidad Nacional del Nordeste, no se avanzó hacia la creación de la carrera.
Por otra parte, en diciembre de ese mismo año, se creó la Coordinación Integral de Actividades Judiciales de los Tres Pueblos Indígenas del Chaco del Superior Tribunal de Justicia, que tiene entre sus funciones asegurar la presencia de PTI en las distintas instancias judiciales. En mayo de 2015, se sancionó la Ley provincial 7581, que declara obligatorio “el acompañamiento de un asistente bilingüe en los casos de emergencia, traslado y hospitalización de pacientes indígenas que no hablen el idioma español” (art. 1). La ley dispone que la formación de estos asistentes queda a cargo del Ministerio de Salud Pública, la Subsecretaría de Asuntos Interculturales y Plurilingüe del Ministerio de Educación, Cultura, Ciencia y Tecnología, y la Universidad del Chaco Austral.
Por su parte, el 13 de octubre de 2015, el STJ habilitó un Registro Especial de Traductores e Intérpretes de Lenguas Indígenas (Resolución 1859). Si bien existían registros con anterioridad, su alcance es mayor -provincial- y se facilitaron las condiciones de inscripción.
Finalmente, en 2018, se abrieron las tecnicaturas superiores en Interpretación en Lengua Indígena Moqoit, Qom y Wichi, dependientes del Instituto Lenguas Culturas Chaco, en la esfera del Ministerio de Educación provincial. Estas carreras, que tienen una duración de tres años, se dictan en El Pastoril, al sudeste de la provincia; en Pampa del Indio, al noreste; y en Misión Nueva Pompeya, al oeste, en el Impenetrable. En 2020 se incorporó una sede en la localidad de El Espinillo.
Antes de la sanción de la resolución que habilita el Registro Especial, los traductores e intérpretes podían inscribirse en una lista del ámbito de los Juzgados de Paz y Faltas: se trata de un servicio no remunerado y solo se exige el conocimiento de “la lengua perteneciente a la etnia para la cual se inscribe” (Ley 7341, art. 13, inc. M). La Resolución 1853 deja esta disposición como aplicable en casos de excepción.
Todos estos instrumentos normativos y dispositivos buscan asegurar el acceso de los indígenas chaqueños a la educación, la salud y la justicia. Al estar orientadas específicamente a permitir el acceso a ciertos recursos a un grupo de personas en particular, todas estas leyes se enmarcan en lo que se denomina “políticas de discriminación positiva” (Fernández Vavrik, 2015). Se trata de
[…] un tipo de políticas públicas que otorga un trato preferencial, en la distribución de recursos, a miembros de grupos o sectores sociales que sufrieron en el pasado algún tipo de postergación y/o de discriminación (Sabbagh, 2006, en Fernández Vavrik, 2015, p. 78).
En este caso, y como mostramos a continuación, la selección de los beneficiarios de estas políticas está basada en un componente étnico. Ahora bien, si entendemos que la identidad colectiva moviliza procesos de definición externa e interna (Lamont y Molnar, 2002, p. 170), queda preguntarnos quién es “indígena” para el Estado chaqueño y qué elementos que hacen al ser indígena movilizan los traductores e intérpretes en lenguas indígenas.
4. La aboriginalidad definida desde el Estado
Como mencionamos más arriba, la categoría de “indio” en Argentina está ligada a un ideario de nación “civilizada” y europeizante. Briones (2004, pp. 79-80) observa que, a fines del siglo XIX, se debate si los indígenas pueden o no ser incorporados a la nación: las respuestas oscilan entre la imposibilidad de esta tarea -debido a la inviabilidad racial de los indígenas- y la posibilidad, ya sea al perder los rasgos indígenas a través de la civilización o al desaparecer mediante el mestizaje, debido a la superioridad de la raza blanca. Quienes afirman que se puede incorporar al “indio” a la nación proponen el pasaje por el ejército, para “que sean útiles al país”, y -un perfil que nos interesa en este caso- la sedentarización y la adquisición de hábitos de trabajo, haciéndolos colonos. Esta opción se explica, sobre todo, en un contexto de desarrollo del modelo agroexportador, que “requiere habitantes impregnados de los valores burgueses de orden y progreso, no sólo bien entrenados en los hábitos de trabajo, sino ante todo sedentarios” (Briones, 2004, p. 79).
En la década de los treinta del siglo XX, los discursos hegemónicos seguían señalando a los indígenas como trabas al progreso; pero también como problemático el ingreso de refugiados, lo que, temían, generaría un país con minorías, dificultando la cristalización del ser nacional. El melting pot quedaba restringido a cierto tipo de inmigrantes: blancos, europeos, con un plan económico, que llegaban a la Argentina por decisión propia (Briones, 2004, p. 83).
¿Qué pasa en la provincia del Chaco? Ya en el momento de la provincialización de Chaco, en 1951, aparecía en los discursos estatales la categoría “indio”, “indígena” o “aborigen”, que se configuraba en función de una perspectiva étnica. Señala Almirón (2018, p. 4) que hasta 1955 se desarrolla una política que promueve la “reparación y reivindicación de las comunidades”, que se ve interrumpida por el golpe de Estado de 1955. No obstante, este cambio en las políticas no implica que se ponga en cuestión la categoría, como lo evidencia la creación de la Dirección del Aborigen en 1956, sino que simplemente se suspende la idea de “reivindicación” (Giordano, 2003) y se da lugar a una perspectiva integracionista, en diálogo con el Convenio 107 de la OIT (Almirón, 2018, p. 5).
Ante esto, se planteó, por parte de las comunidades, un rechazo a la actitud paternalista del Estado, que se cristalizó en la Primera Asamblea Indigenista Chaqueña, en 1958. Almirón (2018) reproduce un petitorio firmado por 37 indígenas y tomado del Diario Reivindicación. Órgano Indigenista Chaqueño, en el que se explicitan las categorías en oposición basadas en la etnicidad: “Solicitamos mensura para que termine la pelea con esos señores blancos intrusos que despojan a los indios de sus tierras”. Así, en las disputas por el territorio, “indios” se construye en oposición a “blancos”.
Por otra parte, se empieza a correr la frontera agropecuaria, con el fin de impulsar el desarrollo provincial basado en políticas de explotación y se intenta llevar al indígena hacia la producción agraria. Al mismo tiempo, se revalorizan, desde el Estado, las prácticas culturales ancestrales de las comunidades, lo que quizás contribuyó a hacer las fronteras menos permeables, al poner el foco en las tradiciones y los repertorios culturales propios de cada grupo indígena (Lamont y Molnar, 2002, p. 171).
Ya en los años setenta se crea la Federación Indigenista de Chaco, y en el regreso a la democracia, esta permite afianzar las demandas de las comunidades de convertirse en agentes con poder de decisión en las políticas públicas (Almirón, 2018, p. 16), en un contexto internacional propicio. Con ese objetivo, en 1986, se reunieron 180 dirigentes de los pueblos Moqoit, Qom y Wichi, en la Primera Asamblea de Comunidades Indígenas, en la ciudad de Roque Sáenz Peña. Se creó lo que se denominó la “Comisión de los Seis” (dos representantes Moqoit, dos Qom y dos Wichi), que entabló negociaciones que tuvieron como resultado la sanción de la Ley 3258, “De las comunidades indígenas”, en 1987.
Esta ley, pionera en el país en lo que atañe a los derechos indígenas, busca regular la adjudicación de tierras, así como la educación y la cultura, la salud, la vivienda, el registro de las personas, y la creación y la administración del Instituto del Aborigen Chaqueño. Dicha norma define como “indígena” a “todo ciudadano de las etnias aborígenes que sean nativos de la Provincia, sean de origen puro o mestizo con otro tipo de raza” (art. 3).
Si bien otros pueblos habitan la provincia, como los vilela, la ley solo reconoce a los pueblos Moqoit, Qom y Wichi (“Aborígenes tobas, matacos y mocobíes” [sic] (art. 14)), cuyos representantes se hicieron presentes en la negociación. Hay registros de que los vilela estaban asentados en una zona que incluía lo que hoy es el noroeste de Chaco en el siglo XVI (Domínguez et al., 2006), y se menciona que, en la reducción de Napalpí, lo que hoy es Colonia Aborigen, había miembros de los pueblos Qom, Moqoit y Vilela. Sin embargo, en la actualidad, no se considera a este último pueblo como propio de la provincia, ni en la legislación ni en los discursos.
Domínguez et al. (2006) avanzan una hipótesis que podría servir de explicación a esta situación: en los años sesenta y setenta, mientras los otros pueblos se fortalecían como grupo social y se instalaban como agentes capaces de dialogar con el Estado, los líderes políticos y espirituales vilela, ya ancianos, habrían dado la orden de abandonar “las prácticas culturales tradicionales y el uso de la lengua” (p. 208). Este ocultamiento estaría relacionado, por un lado, con la desaparición de referentes espirituales y, por otro, con los conflictos interétnicos (tanto con los qom, por su relación histórica conflictiva, como con la población blanca, de la que se refiere discriminación hacia toda la población indígena). Refieren, entonces, una suerte de borramiento del estigma, en términos de Goffman (1970): “El ocultamiento de la identidad vilela requería del abandono de cualquier manifestación social o diacrítico cultural que la evidenciara, lo cual llevó a un verdadero proceso de demarcación étnica” (Domínguez et al., 2006, p. 208). Habrían dejado de lado elementos que los identificaban como vilelas para intentar incorporarse al grupo de los “normales” (Goffman, 1970, p. 15), de los no indígenas.
Así, la Ley 6604, de oficialización de las lenguas indígenas, refiere exclusivamente a los “Pueblos preexistentes Qom, Moqoit y Wichi” (art. 1) y no hace mención del pueblo Vilela. De igual modo, la casi totalidad de las leyes dictadas a partir de ese momento y que regulan algún aspecto relacionado con la traducción o la interpretación de las lenguas, se limitan específicamente a estos tres pueblos.
A continuación, además de la Ley de las Comunidades Indígenas, analizamos las leyes que, desde entonces, buscan regular la presencia o formación de los traductores e intérpretes en lenguas indígenas en la provincia y relevamos los distintos modos de referir a sus beneficiarios, en tanto entendemos que la denominación da cuenta de una forma de categorización que es producto de las “configuraciones contextuales externas al desarrollo interaccional” (Unamuno y Codó, 2007, p. 117).
Como nos interesa trabajar particularmente con la configuración de las fronteras simbólicas y sociales, nos ocupamos no de las denominaciones que refieren a individuos, como “un indígena” -en el art. 140 del Código Procesal Penal-, sino solo de las que hacen referencia a grupos. Asimismo, tomamos, para este análisis, únicamente las normas y no así los textos que las reglamentan, bajo el supuesto de que la variación denominativa no será representativa.
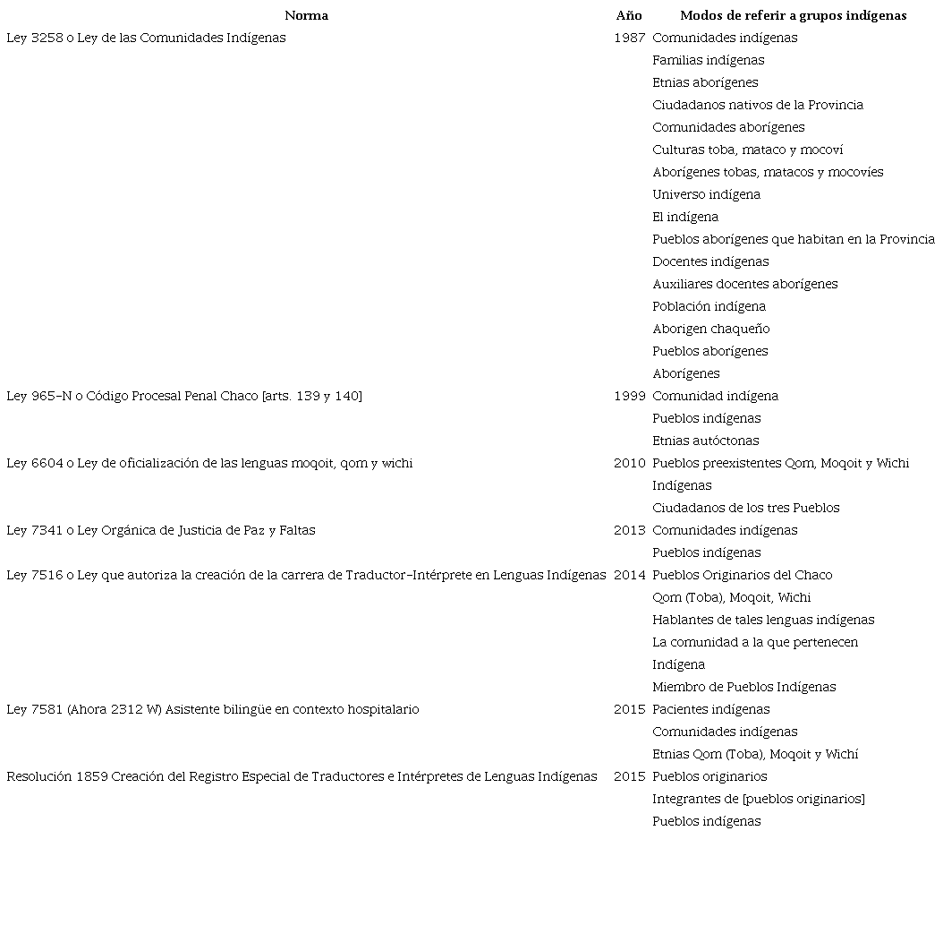
En la Tabla 1 se presenta la variación denominativa para referir a grupos indígenas en la normativa chaqueña que busca regular la presencia o formación de los traductores e intérpretes en lenguas indígenas desde 1987, así como en la Ley de las Comunidades Indígenas.

Estas normas se inscriben en un periodo de 28 años y dan cuenta, por un lado, de una progresiva precisión conceptual, que se evidencia en una reducción de la variación denominativa, pero también de una producción discursiva que acompañó las discusiones sobre las maneras políticamente correctas de nombrar a los pueblos originarios. Así, la Ley 3258 emplea catorce términos para referir a los pueblos indígenas en general, con núcleos conceptuales como “comunidades”, “etnias”, “población”, “pueblos”, “culturas”, y modificadores también múltiples: “indígenas”, “aborígenes”, “nativos”. Estos se reducen hacia 1999 a tres núcleos (“comunidad”, “pueblo”, “etnia”) y dos modificadores (“indígena” y “autóctona”). Con más de una década de distancia, se incluyen nuevas nominaciones, como “pueblos originarios” y “pueblos preexistentes”, en sintonía con las demandas indígenas de los últimos tiempos, y se mantiene “pueblos indígenas”, que a pesar de ser rechazado por estar asociado a prácticas discriminatorias, permite enmarcarse en un esquema de derechos internacional.
Si la variación denominativa sincrónica puede entenderse como elecciones de auto o heterocategorización en un momento dado (Unamuno y Codó, 2007), el análisis diacrónico pone en evidencia los cambios en la estructuración del mundo social, es decir, una modificación en el diferencial de poder entre los indígenas y los no indígenas, que se enmarca en un movimiento internacional de valoración de la diversidad y lucha de los pueblos indígenas por el respeto de sus derechos, pero que también se vincula con la posibilidad de que los miembros de los pueblos indígenas accedan a posiciones o recursos que antes les estaban vedados (empleo estatal, por ejemplo).
Más allá de la variación denominativa y los sentidos que cada una de ellas indexa, todas remiten al origen étnico, sea de modo general, mediante la partícula “indígena”, “aborigen”, “nativo”, “autóctona”, o de modo particular: “wichi”, “qom” o “moqoit”.
Como mencionamos más arriba, la denominación por pueblo aparece con la Ley de las Comunidades Indígenas y deja establecido qué pueblos se consideran nativos de la provincia. Cabe destacar que, en esa ley, la denominación empleada (“mataco”, “toba” y “mocobí”) surge del vocabulario criollo, mientras que ya a partir de 2010, se emplea, en las normas, la denominación propuesta por los propios pueblos, lo que da cuenta de cambios en la relación entre los grupos y las posibilidades de negociación que empiezan a verse como posibles.
La distribución desigual de recursos entre población blanca e indígenas podría rastrearse hasta la Conquista; sin embargo, a fines de este análisis, alcanza con remitirse a la “pacificación” del Chaco y la posterior creación de reducciones a partir de 1910, como las misiones franciscanas en Nueva Pompeya o la reducción de Napalpí, en 1911 (Musante, 2018).
Respecto de estos dispositivos, Musante (2018) recupera la categorización basada en el criterio étnico: “se practicaron diversos mecanismos de disciplinamiento sobre un grupo social determinado. Y el grupo social determinado que formó parte de esas reducciones se definió por una característica particular: su componente étnico”. Al pensar esta relación en términos de Elias (2003), los pueblos indígenas que habitaban la región antes de la llegada de los no indígenas son los “forasteros”, los “extranjeros”. Sin embargo, al mismo tiempo, son “nacionales”: el otro interno de la nación. Esto resultará ser productivo para el análisis más adelante. Es interesante destacar aquí el carácter procesual del vínculo y cómo se fue modificando el diferencial de poder entre indígenas y no indígenas.
Acerca de las normas que se enmarcan en políticas de acción afirmativa, el Código Procesal Penal (arts. 139 y 140), las leyes 6604, 7341, 7516, 2312 W y la Resolución 1859 tienen como objetivo garantizar el acceso a la justicia o a la salud, en cuanto recursos comunes, en condiciones de igualdad. En este sentido, la traducción y la interpretación (el traductor y el intérprete) se configuran como instrumentos que permiten distribuir de mejor manera esos recursos.
En el taller realizado en 2016, en el CEJ, la secretaria coordinadora de esta institución afirmaba:
[…] a partir de que en el Chaco se crea la Coordinación de los Pueblos Indígenas ante el Poder Judicial de Chaco, comienza todo un trabajo para facilitar el acceso a justicia de todos los pueblos indígenas. En este sentido, se decide reforzar el servicio de traductores, que antes era de manera ad honorem y voluntaria por parte de ciertos referentes indígenas, a los que tenían acceso los jueces de Paz y Faltas de las distintas localidades, para luego conformarse un Registro Especial de Traductores-Intérpretes de las tres etnias oficialmente reconocidas en el Chaco, que son la etnia toba, la etnia wichi y la etnia moqoit.
El criterio étnico (y no el socioeconómico) es el que permite circunscribir al grupo social con menor acceso a la justicia que el resto de la población, así como también colabora en la definición de los dispositivos que vienen a regular la distribución de recursos, como lo son la Coordinación de los Pueblos Indígenas ante el Poder Judicial y la conformación de un Registro Especial de Traductores-Intérpretes. Aquí, como en todos los casos, el recorte de los pueblos se limita a los moqoit, los qom y los wichi, quienes están “oficialmente” reconocidos. Se observa también que persisten las variaciones denominativas (“toba” convive con “moqoit”).
4. La indigenidad definida desde adentro
Existe entonces un grupo más amplio, etiquetado como “pueblos indígenas” (y sus variantes denominativas), que se concibe como heterogéneo, en tanto está conformado por grupos que tienen características distintas (como la lengua, por ejemplo), pero que comparten un núcleo común (cierta historicidad y sobre todo su conformación como grupo en función de otro grupo al que también se concibe como heterogéneo y que incluye, por ejemplo, a blancos y criollos) y otras categorías que parecerían conformar grupos que se representan como más homogéneos: los moqoit, los qom y los wichi. En la categorización de estos grupos, la lengua desempeña un papel central. Mientras que el castellano puede ser hablado por personas de cualquier origen, el moqoit es hablado por los moqoit, el qom por los qom y el wichi por los wichi. A tal punto está la lengua asociada al elemento étnico, que quienes no la hablan pueden referirse a esta como “lengua materna” o a “recuperar” la lengua, en referencia a que se trata de la lengua propia del pueblo (Romero Massobrio, 2016; Unamuno y Romero Massobrio, 2019).
Estas etiquetas se sostienen también desde adentro de los grupos. En septiembre de 2018, se dictaron unos talleres de trabajo de campo terminológico en la Tecnicatura en Interpretación en Lengua Indígena Wichi y el Instituto de Educación Superior de Misión Nueva Pompeya, y en la Tecnicatura en Interpretación en Lengua Indígena Moqoit y el Centro de Estudios Superior Bilingüe Intercultural Moqoit (en El Pastoril). La primera actividad consistió en que los estudiantes dibujaran, en un afiche, qué representaba para ellos estudiar para ser intérpretes o profesores. Por lo general, las explicaciones estaban vinculadas al grupo de pertenencia definido étnicamente y era frecuente el uso de la primera persona del plural para hacer referencia a la “comunidad”. Es particularmente ilustradora la presentación de un grupo de estudiantes de El Pastoril:
Hicimos una frase y también un dibujo [inaudible]. “Nos quisieron enterrar, pero no sabían que éramos semillas” [Leen texto en moqoit]. Así que la comparación de que nosotros somos como la semilla del algarrobo, el algarrobo que es nuestro alimento, es un árbol del bosque, que usamos mucho para [xxx]. En el dibujo hicimos un árbol, porque la frase misma lo dice [xxx] “nos quisieron enterrar”. Está la historia de la masacre de Napalpí que es muy conocida, pero hubo muchos sobrevivientes de los cuales estamos nosotros hoy en día y, bueno, el árbol representa a los moqoit. Los moqoit ahora, que quedaron y florecieron, de esa misma semilla estamos nosotros. El tronco del árbol, todo esto [señala el tronco en el dibujo], representaría a los moqoit, nosotros, y las ramas representarían a cada una de las comunidades con sus respectivos [palabra en moqoit] y también nosotros hablamos mucho que cada rama, cada hoja, representa uno de nosotros, que lucha por la vida; algunos ya son maestros, otros estamos estudiando para intérprete, hay policías, que le estamos [xxx] a nuestra sociedad.
Los estudiantes adscriben a la categoría étnica “moqoit”. Se trata de un grupo que, además, puede representarse gráficamente como un elemento concreto, en este caso, un árbol. Esto también puede verse en la presentación de otro grupo que representó a la comunidad con una vasija: “Nosotros elegimos la vasija de [xxx], porque ese material representa [xxx], a toda la comunidad moqoit”. Tanto el árbol como la vasija son contenedores, el árbol en su tronco y sus ramas, y la vasija, en su interior.
Se trata, además, de un grupo dentro del cual se nace; ellos son los descendientes de los sobrevivientes de la Masacre de Napalpí. Esto también implica que pertenecer a ese grupo es peligroso y difícil (“representa uno de nosotros, que lucha por la vida”) y que hay una historicidad compartida de sufrimiento y de lucha respecto de otro grupo (los blancos/criollos), que es el que define el acceso a los recursos que se brindan desde el Estado: educación, justicia y salud.
Las profesiones que mencionan en este fragmento están relacionadas con el acceso a estos recursos, que normalmente resulta problemático: la educación y la justicia. En presentaciones de otros estudiantes, estas profesiones se repiten y aparece también la de enfermero. En Nueva Pompeya, por ejemplo, un grupo decía:
Acá hicimos un policía y una enfermera […]. En el día de mañana, muchos de nuestros alumnos van a elegir otras carreras que serían en el hospital y después en… O en la comisaría, esas cosas. Porque, si nos ponemos a pensar, siempre hace falta alguien que nos traduzca o que para decir bien las cosas, porque mucha gente por ahí no quiere hacer denuncia, no quiere ir al hospital, y si va al hospital, por ahí le dan indicaciones para que tome distintos medicamentos y no entienden. O sea que esta carrera también es importante para toda la comunidad.
La presencia del traductor o del intérprete aparece como necesaria tanto para acercarse a una comisaría o un hospital, como para poder tener una atención adecuada. En este sentido, funcionaría como un representante, un mediador con acceso a ciertos espacios, que permitiría achicar la brecha en el acceso a los recursos, acceso que todavía cristaliza una situación de desigualdad estructural histórica sostenida y justificada por una mirada racial.
Entre quienes se identifican como indígenas, los estudiantes de las tecnicaturas y los profesorados no son los únicos que asocian las desigualdades estructurales y la discriminación con el componente étnico. Esto aparece una y otra vez tanto en las entrevistas que se realizaron a PTI en ejercicio entre los años 2016-2018 como en el taller que se llevó a cabo en el CEJ, del que participaron 19 PTI y que constituyó el espacio donde estos se reunieron por primera vez.
El taller se abrió en círculo, cada participante debía contar un poco de sí. En las presentaciones surgieron una serie de relatos, centrados en las experiencias de discriminación que sufrieron o sufren quienes se expresan, sus familiares y conocidos, o miembros de los pueblos Moqoit, Qom y Wichi en general. Estas experiencias se describen como dolorosas, se enuncian en un tono de lamento o se plantean como reclamo. Así, una de las intérpretes cuenta:
Me gustó muchísimo estar, ser parte de peritos traductores. La verdad que en mi caso fui muy discriminada, realmente. Me costó muchísimo, me dolió mucho todo lo que me pasó. Siempre me discriminaron por ser lo que soy, pero nunca, nunca bajé los brazos.
Veremos más adelante que el vínculo que se establece entre ser intérprete y las experiencias de discriminación aparece con regularidad en los discursos de los PTI.
Los PTI relatan situaciones de pobreza, trato discriminatorio en las instituciones como el banco o el hospital, causas armadas por la policía, la no convocatoria a intérpretes, comentarios racistas por parte de abogados, entre otras. En una entrevista realizada en abril de 2016, la coordinadora integral de Actividades Judiciales de los Tres Pueblos Indígenas reflexionaba acerca de los cambios que se habían dado desde la creación de la Coordinación y del camino que aún falta por recorrer:
Hay muchos factores que hay que tener en cuenta, desde los auxiliares de la justicia, que serían los policías, que serían los primeros que se presentan en los escenarios de estas situaciones y… y vemos que hay como un descuido cuando se trata de los pueblos indígenas. […] [El caso LNP] marca… Eso fue hace mucho tiempo, sin embargo, hoy todavía sufrimos. Y hoy me doy cuenta que muchas de las investigaciones que se están haciendo todavía por no decir… que casi casi seguimos el caso de LNP. […] Hay que desarmar, hay que desarmar. La estructura, digamos… esa estructura también monstruosa contra lo que es la idiosincrasia de los pueblos, en este caso de los pueblos indígenas.
El caso LNP reviste una importancia particular para la interpretación en el ámbito de la justicia, por las implicancias que tuvo a nivel internacional. Se trata del caso de una joven indígena violada por tres criollos, que llegó al Comité de Derechos Humanos de las Naciones Unidas, por las violaciones a varios artículos del Pacto Internacional de Derechos Civiles y Políticos, entre ellos, el derecho a “acceder a los tribunales en condiciones de igualdad” (art. 14, párrafo 1), ya que “según afirma la autora [LNP], el proceso tuvo lugar íntegramente en español y sin interpretación a pesar de que tanto ella como otros testigos tenían problemas de comunicación en dicho idioma” (Comité de Derechos Humanos de las Naciones Unidas, 2007, punto 15.3).
En su testimonio antes citado, la coordinadora expresaba su preocupación por los casos en los que las instituciones del Estado parecieran no proteger a las víctimas cuando son miembros de los pueblos originarios (“hay como un descuido cuando se trata de los pueblos indígenas”). Señala que a pesar del precedente que sentó el caso LNP, no ha habido cambios sustanciales en la manera en que se abordan los casos en los que hay un originario involucrado, en particular desde el primer acercamiento de los auxiliares de la justicia. La discriminación y el racismo estarían en la base de estas prácticas (“esa estructura también monstruosa contra lo que es la idiosincrasia de los pueblos […] indígenas”), que participan de la situación crítica de la relación de los pueblos indígenas con la justicia. Más adelante, en la entrevista, la coordinadora es más explícita: “hay todavía una ignorancia, hay una ignorancia digo, en varios lugares, en las comisarías, por ejemplo, ahí existe todavía muy latente el tema de la discriminación”.
La discriminación como tema no solo surge en los relatos de los moqoit, qom y wichi, sino también en el discurso del Poder Judicial. La entonces ministra del stj de Chaco, participó de la apertura del taller. Allí hizo referencia a la discriminación que sufren los pueblos originarios:
[…] muchas veces desde nuestro país y en relación con los extranjeros, no solo con relación a los pueblos indígenas argentinos, sino en relación a los extranjeros que deciden venir a nuestra patria siguiendo esa invitación que nos hace la Constitución, cometemos tantas marginaciones, discriminaciones e injusticias con los extranjeros y esto es algo que lo estamos viviendo en Argentina y que debemos revertir sin demora.
En su participación, la ministra equipara las prácticas de discriminación y las situaciones de marginación que viven los pueblos originarios con las que experimentan los extranjeros. Más aún, en la apertura del taller, menciona dos veces las injusticias hacia los extranjeros e introduce la discriminación hacia los pueblos indígenas con una restricción (“no solo con relación a los pueblos indígenas argentinos”), estableciéndola como algo dado. En su discurso, no cabe duda de que los pueblos originarios son discriminados, así como los serían los “forasteros” (Elias, 2003). Se entiende, entonces, que, aunque no correspondería que fueran tratados de manera distinta, ambos forasteros (extranjeros e indígenas) no reciben el mismo trato que los establecidos. Para la justicia, se trata de una situación que urge resolver (“y que debemos revertir sin demora”).
Finalmente, uno de los casos de discriminación más directamente relacionado con la presencia de un PTI que surge en los relatos es su ausencia. Son numerosas las historias acerca de personas enjuiciadas y encarceladas por crímenes que no cometieron, por no poder expresarse en castellano. Los casos relatados son tanto antiguos como actuales. Cuando una de las intérpretes contó, durante el taller, que, de chica, uno de sus familiares había estado encarcelado por no haber podido defenderse al no hablar castellano, el resto de los PTI no mostró signos de asombro: ese tipo de experiencias parecen ser conocidas. En el relato de esta intérprete y al igual que el en relato de Juana -recuperado por Virginia Unamuno y Lucía Romero Massobrio (2019), donde el padre de esta era quien sufría la pena-, el encarcelamiento de un familiar por no tener testigos que hablaran castellano y no poder defenderse resulta en una experiencia traumática que aparece como una causa de la no transmisión de la lengua.
Asimismo, en una entrevista realizada en 2016, una de las PTI cuenta la siguiente experiencia de interpretación:
Le habían tomado la testimonial sin que yo estaba presente; entonces, le habían tomado como que el señor dijo que él le sostenía, le agarraba, pero nosotros para nuestra lengua, por ejemplo, agarrar es diferente el significado. Entonces, eso le complica a él, como que él quedó como que él fue el que lo agarró al hombre para que lo maten; entonces, yo trataba de hacerle entender a la doctora que eso no es, que él se expresó mal en su momento y dijo esa palabra, y yo le decía al señor, le preguntaba una y otra vez, una y otra vez, y él me decía que no, que no, que él nunca dijo esa palabra. Entonces, fue algo que le complicó, algo que también como indígena duele porque, eh, nuestro hermano tenga que quedar imputado por una palabra que a lo mejor no pueden expresar, ¿no?
En este caso, la PTI relata una práctica que se describe con frecuencia en otros relatos: la no convocatoria a intérprete cuando el originario tiene conocimientos parciales del castellano. Así, habían entrevistado sin intérprete a un hombre que había quedado imputado porque su repertorio había llevado a que malinterpretaran su declaración. Nuevamente, la experiencia se describe como dolorosa y se asocia con una práctica que involucra a los miembros de los pueblos originarios (“algo que también como indígena duele porque, eh, nuestro hermano tenga que quedar imputado por una palabra que a lo mejor no pueden expresar, ¿no?”).
5. La solidaridad entre los miembros del grupo
Como se observa en el apartado anterior, los relatos acerca de la discriminación se organizan en torno a la pertenencia étnica, es decir, la discriminación se asocia con el hecho de ser indígena. En el caso de los intérpretes, la primera persona del plural “sufrimos” o adjetivos posesivos “nuestra gente” se constituyen en marcas de un colectivo indígena al que se adscribe pertenencia.
Esta adscripción étnica se acompaña de empatía y solidaridad hacia los otros miembros del mismo grupo, es decir, otros moqoit, qom y wichi. Por ejemplo, uno de los intérpretes afirma: “Es bueno estar de traductor, pero también triste porque... uno digamos, un hecho grave que un delito que comete los indígenas cae preso. Para mí es triste”. A pesar de considerar la interpretación como una práctica positiva, el PTI manifiesta su tristeza en los casos en que un indígena comete un delito y es encarcelado.
La etnia, entonces, permite conformar a un grupo identificable, víctima de la discriminación y también receptor de la empatía de sus miembros. En algunos de los testimonios de los PTI, incluso, la historia de discriminación hacia las comunidades se describe como causante de la timidez o desconfianza de los miembros de los pueblos indígenas ante las autoridades estatales.
La solidaridad empática que aparece en el relato anterior y que está vinculada con este sentimiento de pertenencia a un grupo, parece constituir una de las motivaciones de los PTI. Así, en una entrevista en 2016, una de las intérpretes a la que suelen convocar de la fiscalía de General San Martín explica cómo decidió inscribirse en el Registro Especial:
Porque a mí me dolía ver cómo trataban a la gente en los bancos, veía cómo la gente, por ser indígena, lo dejaban siempre lo último para atender, o en los hospitales… Y bueno, y en realidad nosotros somos indígenas y a veces estamos con un perfil bajo, no somos de levantar la voz y pedir y decir: “estoy yo primero” o [hacer] respetar el lugar de uno, ¿no? Entonces, se me ocurrió trabajar para mi gente, que es trabajar como intérprete; busqué la manera de inscribirme en el Superior Tribunal, para poder así entrar como perito traductora.
Aparecen en este relato cuatro temas centrales en este análisis: en primer lugar, las experiencias de discriminación (“la gente, por ser indígena, lo dejaban siempre lo último para atender”), la timidez con la que se describe a los indígenas (“no somos de levantar la voz y pedir y decir: ‘estoy yo primero’ o [hacer] respetar el lugar de uno”), la adscripción a un colectivo étnico (“nosotros somos indígenas”) y, finalmente, el rol del intérprete como beneficioso para la comunidad (“Entonces, se me ocurrió trabajar para mi gente, que es trabajar como intérprete”).
Se describe al indígena como parte de un colectivo de características similares e historia compartida, que necesita de ayuda para hacer frente a las injusticias, a las prácticas discriminatorias, ya que su idiosincrasia no le permite afrontarlas solo. El intérprete está en un lugar que le posibilita ayudar a su comunidad, al colectivo de pertenencia. Asimismo, este ayudar a la comunidad está valuado positivamente: “Y eso está bueno que los hermanos tengan esta conciencia de decir: ‘yo trabajo acá y sigo aportando y apoyando a las comunidades’” (coordinadora de Actividades Judiciales de los Tres Pueblos, abril de 2016).
Ahora bien, este “ayudar a la comunidad” aparece en numerosos relatos como justificación para ejercer como intérprete sin recibir los honorarios correspondientes. En la misma entrevista, esta PTI contaba:
PTI: […] creo que dos veces fue que no pude concurrir [a ejercer como intérprete] por el hecho de que estaba rindiendo exámenes en Pampa del Indio, pero siempre, cuando pude hacerlos, voy, estoy, no me interesa el horario, porque estoy ahí. A veces llego a mi casa 12:30, 12:45, y salgo corriendo a la escuela. Eh, es más, todo lo que sea perito traductor, hasta el día de hoy nosotros no tenemos ninguna paga.
Inv.: ¿Nunca cobraste?
PTI: Nunca cobré; por ese trabajo nunca cobré, así que es un trabajo que lo estoy haciendo porque lo que, porque me gusta hacerlo.
En este fragmento, la intérprete da cuenta de una situación que parece ser frecuente: algunos de los PTI son docentes y para poder asistir al juzgado o la fiscalía, pierden el día, ya que no se considera una licencia válida. Pierden el presentismo y el día de trabajo, pero tampoco cobran por la actividad de interpretación. A pesar de todo, decide sostener la actividad (“no me interesa el horario, porque estoy ahí”), ya que la considera positivamente (“porque me gusta hacerlo”). En el contexto de la entrevista, esta afirmación parece tener menos que ver con el placer de realizar la actividad en sí que con contribuir a que otros miembros de la comunidad accedan a la justicia.
En el mismo sentido, en el taller que se realizó en el CEJ, una mujer policía que trabajaba como intérprete en el servicio pediátrico de un hospital de Resistencia decía: “Yo doy mi tiempo”. El tiempo de uno de los individuos (“no me interesa el horario”), entonces, está disponible para el beneficio de otros miembros del grupo. También en el taller del CEJ, algunos PTI hacían referencia a la actividad como “vocación” de ayudar a la comunidad, sin cobrar. Así, reclamar por el cobro o negarse a ejercer podría percibirse como dar la espalda al grupo.
El pago de los honorarios es un tema conflictivo, ya que, hasta la Resolución 1859 de 2015, se trataba de una tarea ad honorem, e incluso hay casos en la actualidad que entran dentro de la esfera de la Ley Orgánica de Justicia de Paz y Faltas. Al momento del taller en el CEJ (fines de 2016), eran muy pocos los intérpretes que alguna vez habían cobrado por su actuación. Tras diversas gestiones de la Coordinación, ese mismo año, el stj había destinado una partida para los PTI. En ese mismo taller, el tema del pago se abordó en varias ocasiones.
Es interesante destacar que el momento en que los PTI se sintieron habilitados para reclamar por el cobro de sus servicios y las condiciones materiales de actuación fue cuando la coordinadora de Actividades Judiciales de los Tres Pueblos, la secretaria coordinadora del CEJ y la ministra del STJ insistieron en la importancia de que recibieran los honorarios que les correspondían.
6. Conclusiones
En la provincia de Chaco se han implementado una serie de dispositivos que buscan reducir la brecha entre indígenas y no indígenas en el acceso a recursos como la salud y la justicia: la creación de la Coordinación de Actividades Judiciales de los Tres Pueblos Indígenas y la del Registro Especial de Traductores e Intérpretes de Lenguas Indígenas, la normativa que regula la formación y actuación de los intérpretes indígenas, la creación de cargos de intérpretes en hospitales, entre otras. Estos dispositivos pueden entenderse como políticas de acción afirmativa de base étnica.
Los discursos estatales que fundamentan y acompañan la convocatoria a los intérpretes, así como su labor en el ámbito judicial, se centran en la discriminación étnica y describen a los pueblos como una población cuyos derechos han sido vulnerados históricamente.
Ahora bien, desde una perspectiva histórica, se observa que, para el Estado provincial, la categoría de “indígenas” no se ha mantenido estable y se ha modificado en cuanto a quienes incluye. Tampoco se han mantenido estables las etiquetas con la que se denomina a este grupo, las cuales forman parte de una negociación de sentidos que se intensifica con la agencia de los pueblos originarios en los últimos años, tanto en el plano internacional como en el local, así como también por la reducción de la brecha económica y de poder que implica el acceso de miembros del grupo al empleo y a puestos legislativos o de gestión estatal.
Para los intérpretes, la pertenencia a la comunidad se entiende como ser integrante de un grupo cerrado, lo que a la vez implica necesariamente quedar por fuera del acceso a ciertos recursos. Así, la figura del traductor-intérprete aparece en los discursos de los estudiantes y de los traductores como una manera de luchar contra las prácticas discriminatorias de las que son víctimas los miembros de los pueblos originarios, vivencias que no solo remiten a un tiempo pasado, sino también actual. Estas experiencias de sufrimiento compartidas como grupo se presentan como argumento para la decisión de trabajar como traductor-intérprete.
El ejercicio de esta profesión, entonces, se presenta como una función social, una ayuda para los miembros del grupo de pertenencia. Así, la solidaridad, que forma parte del lazo social que participa de la configuración del grupo, hace que sea difícil rechazar el trabajo, aunque no vaya a haber paga o incluso reclamar los honorarios, porque el trabajo se hace “para ayudar a la comunidad”. Ahora bien, la Coordinación Integral de Actividades Judiciales de los Tres Pueblos Indígenas del Chaco del Superior Tribunal de Justicia, en tanto mediadora entre el Estado y los pueblos indígenas, habilitaría la exigencia del pago que, en definitiva, constituye una redistribución en términos de recursos.
Referencias
Almirón, A. (2018). Política de tierra y colonización para las comunidades indígenas de la provincia del Chaco: proyectos, reclamos y regularización de la ocupación (1951-1987). Res Gesta, (54), 1-21. https://repositorio.uca.edu.ar/handle/123456789/5812
Argentina, Senado y Cámara de Diputados de la Nación Argentina. (1992). Ley 24.071. “Apruébase el Convenio 169 de la Organización Internacional del Trabajo sobre Pueblos Indígenas y Tribales en Países Independientes” (marzo 4).
Argentina. [2010 (1994)]. Constitución de la Nación Argentina. Publicación del Bicentenario. https://bibliotecadigital.csjn.gov.ar/Constitucion-de-la-Nacion-Argentina-Publicacion-del-Bicent.pdf
Ballena, C. y Unamuno, V. (2017). Challenge from the margins: New uses and meanings of written practices in Wichi. AILA Review, 30(1): 120-143. https://doi.org/10.1075/aila.00006.bal
Beckett, J. (Ed.). (1998). Past and present. The construction of aboriginality. Aboriginal Studies Press. https://books.google.com.ar/books?id=-yGEAwAAQBAJ
Briones, C. (2004). Construcciones de aboriginalidad en Argentina. Bulletin de la Societe Suisse des Americanistes, 68(12), 73-90. https://ri.conicet.gov.ar/handle/11336/82659
Comité de Derechos Humanos de las Naciones Unidas. (2007). Comunicación N.º 1610/2007, 102º periodo de sesiones. http://docstore.ohchr.org/SelfServices/FilesHandler.ashx?enc=6QkG1d%2FPPRiCAqhKb7yhspbttFNxTkgvXTPJWIZn3vmwV1yl7XWSmcGXq8WxXwU8MYjTFlMdhFfWhPM3sc4Un54LamwZNFwBVnuqPj5rjZdcQLjD5J2lkhffe8LDjWHIzSoROWBRlejQhX6vdzDisg%3D%3D
Domínguez, M., Golluscio, L. y Gutiérrez, A. (2006). Los vilelas del Chaco: desestructuración cultural, invisibilización y estrategias identitarias. Indiana, 23, 199-226. https://doi.org/10.18441/ind.v23i0.199-226
Elias, N. (2003). Ensayo acerca de las relaciones entre establecidos y forasteros. Reis, (104), 219-251. https://doi.org/10.2307/40184576
Fernández Vavrik, G. (2015). Realizar la pertenencia. Más allá de la identidad y sobre las fronteras. En A. Arpini (Ed.), El humanismo, los humanismos. Ideas y prácticas revisadas desde nuestra América. Ediunc.
Giordano, M. (2003). Construcciones de la alteridad. Miradas paralelas y contradictorias sobre el indígena chaqueño. Historia de América, (133), 45-81. https://www.jstor.org/stable/20140122
[Gobernador de la provincia del Chaco]. (2011). Decreto 257 de 2011 (marzo 2), pp. 3-5. https://www.chaco.gov.ar/uploads/boletin/boletin_9188.pdf
Goffman, E. (1970). Estigma e identidad social. En Estigma. La identidad deteriorada (pp. 11-55), Amorrortu.
Grimson, A. (2008). Diversidad y cultura. Reificación y situacionalidad. Tabula Rasa, (8), 45-67. https://doi.org/10.25058/20112742.321
Hamel, R. E. (1995). Derechos lingüísticos como derechos humanos: debates y perspectivas. Alteridades, 5(10), 11-23. https://www.redalyc.org/pdf/747/74711345002.pdf
Instituto Nacional de Estadísticas y Censos. (2005). Encuesta complementaria de pueblos indígenas (2004-2005). indec.
Instituto Nacional de Estadísticas y Censos. (2015). Censo nacional de población, hogares y viviendas 2010: Censo del Bicentenario. Pueblos originarios: región nordeste argentino. indec.
Lamont, M. y Molnar, V. (2002). The study of boundaries in the social sciences. Annual Review of Sociology, 28, 167-195. https://doi.org/10.1146/annurev.soc.28.110601.141107
Llanes Salazar, R. (2019). Cuando no hay intérprete. El caso de Ricardo Ucán: mediación y acceso de los mayas a la justicia en Yucatán en el siglo XXI. En C. Cunill y L. M. Glave Testino (Eds.), Las lenguas indígenas en los tribunales de América Latina: intérpretes, mediación y justicia (siglos XVI-XXI) (pp. 273-295). ICAH.
Martín-Barbero, J. (1998). Modernidades y destiempos latinoamericanos. Nómadas, (8), 20-34. http://nomadas.ucentral.edu.co/index.php/inicio/41-la-pregunta-por-la-modernidad-en-colombia-nomadas-8/632-modernidades-y-destiempos-latinoamericanos
Martín-Barbero, J. (2002). Reconfiguraciones comunicativas de la socialidad y reencantamiento de la comunicación identidad. En G. G. et al., Sommaire des actes du Premier colloque franco-mexicain des sciences de la communication (pp. 49-63). México, 8-10 avril. https://edutice.archives-ouvertes.fr/file/index/docid/1855/filename/actes.pdf
Musante, M. (2018). Reducir y controlar. Masacres, disciplinamiento y trabajo forzado en las reducciones estatales para indígenas de Chaco y Formosa durante el siglo XX. En W Delrio et al. (Dirs.), En el país de nomeacuerdo. Archivos y memorias del genocidio del Estado argentino sobre los pueblos originarios, 1870-1950 (pp. 241-280). Editorial UNRN. https://doi.org/10.4000/books.eunrn.1276
Organización Internacional del Trabajo. (1989). Convenio N.° 169 sobre pueblos indígenas y tribales en países independientes. https://www.ilo.org/wcmsp5/groups/public/---americas/---ro-lima/documents/publication/wcms_345065.pdf
Provincia del Chaco, Cámara de Diputados. (1987). Ley 3258 “De las comunidades indígenas” (mayo 13). http://webcache.googleusercon-tent.com/search?q=cache:34K6OwCXsJ4J:endepa.org.ar/contenido/Ley-3258.doc+&cd=2&hl=es&ct=clnk&gl=co
Provincia del Chaco, Cámara de Diputados. (2010). Ley 6604 “De la oficialidad de las lenguas de los Pueblos Preexistentes Qom, Moqoit y Wichi” (julio 14).
Provincia del Chaco, Cámara de Diputados. (2013). Ley 7341 [actual 2171-A] “Ley orgánica de Justicia de Paz y Faltas” (diciembre 11). http://observatoriovsp.chaco.gov.ar/bac-kend/carpeta/Ley%207341.pdf
Provincia del Chaco, Cámara de Diputados. (2015). Ley 7516 “De creación de la carrera de traductor-intérprete de lenguas indígenas”. https://chaco.gov.ar/uploads/boletin/boletin_9735.pdf
Provincia del Chaco, Cámara de Diputados. (2015). Ley 7581 [actual 2312 W]. Asistente bilingüe en contexto hospitalario (mayo 13). https://e-legis-ar.msal.gov.ar/htdocs/legisalud/migration/html/24986.html
Provincia del Chaco, Superior Tribunal de Justicia. (2015). Resolución 1859 (octubre 13). https://observatoriovsp.chaco.gov.ar/archivos/Registro%20de%20traductores%20Indigenas.pdf
Rappaport, J. (2011). Más allá de la observación participante: la etnografía colaborativa como innovación teórica. En X. Leyva, R. A. Hernández y J. Alonso (Eds.), Conocimiento y prácticas políticas: reflexiones desde nuestras prácticas de conocimiento situado (pp. 327-369). Ciesas-Programa Democratizacion y Transformación Global-Universidad de San Marcos.
Real Academia Española y Asociación de Academias de la Lengua Española. (2010). Ortografía de la lengua española. http://aplica.rae.es/orweb/cgi-bin/buscar.cgi
Romero Massobrio, L. (2016). Formación docente y “recuperación” de la lengua: el caso de los jóvenes Qom de Colonia Aborigen. Revista del Instituto de Investigaciones en Educación, año 7(9), 18-28. https://doi.org/10.30972/riie.092388
Santos, B. de S. (2002). Os processos da globalização. En B. de S. Santos (Ed.), A globalização e as ciências sociais (pp. 23-102). Cortez.
Sichra, I. (Ed.) (2009). Atlas sociolingüístico de Pueblos Indígenas en América Latina. FUNPROEIB Andes-UNICEF.
Skutnabb-Kangas, T., y Phillipson, R. (2010). Linguistic human rights, past and present. De Gruyter Mouton. https://doi.org/10.1515/9783110866391.71
Unamuno, V. y Romero Massobrio, L. (2019). Transmisión familiar y formal de las lenguas indígenas en el Chaco: notas desde contextos socilingüísticos cambiantes. En M. Barrieiras y C. Ferrerós (Eds.), Transmissions. Estudis sobre transmissions lingüístiques(pp.53-78). EUMO.
Unamuno, V., y Codó, E. (2007). Categorizar a través del habla: la construcción interactiva de la extranjeridad. Discurso & Sociedad, 1(1), 116-147. http://www.dissoc.org/ediciones/v01n01/DS1(1)Unamuno-Codo.html
Walsh, C. (2010). Interculturalidad crítica y educación intercultural. Aula Intercultural. https://aulaintercultural.org/2010/12/14/interculturalidad-critica-y-educacion-intercultural/
Notas