
Recepción: 13 Agosto 2017
Aprobación: 18 Marzo 2018
DOI: https://doi.org/10.22335/rlct.v10i2.569
Resumen: La investigación tiene por objeto geometrizar indicadores del espacio público. A partir de una metodología de diseño geométrica se generaron teselas que respondieran a la lógica matemática, y conservara un carácter artístico asociado a la cultura de la región de frontera, al encargarse de estudiar la cualidades y propiedades de las formas que se pueden encontrar en el espacio habitable o en ejercicios teóricos matemáticos. Resultados presentan una composición geométrica definida como teselado utilizada para recubrir distintos planos. Conclusión: La exploración de formas y figuras presenta como resultado un teselado apropiado a la cultura de la ciudad de Cúcuta, el cual comprende dos piezas articuladas para formar un mosaico que responde a la lógica de diseño inspirada en M. C. Escher.
Palabras clave: mosaico, teselado, composición geométrica.
Abstract: The Geometry, in charge of studying the qualities and properties of the forms that can be found in the habitable space or in mathematical theoretical exercises, can be used as a tool to generate mosaics or tessellations that respond to a mathematical logic, at the same time maintaining an artistic kind. Its usefulness can be manifested for various contexts for which a geometric composition defined as tessellation that can be used to cover different planes is presented in this article. After the exploration of shapes and figures using a geometric design methodology, a tessellation is presented as a result of two pieces that are articulated to form a mosaic responding to a design logic inspired by M. C. Escher.
Keywords: mosaic, tessellation, geometric composition.
Resumo: A geometria, encarregada de estudar as qualidades e propriedades das formas que podem ser encontradas no espaço vivo ou em exercícios teóricos matemáticos, pode ser usada como ferramenta para gerar mosaicos ou telhas que respondem a uma lógica matemática, mantendo ao mesmo tempo uma personagem artístico. Sua utilidade pode ser manifestada para vários contextos para os quais uma composição geométrica definida como tesselagem que pode ser usada para cobrir diferentes planos é apresentada neste artigo. Após a exploração de formas e figuras usando uma metodologia de design geométrico, é apresentada uma tesselação como resultado por duas peças articuladas para formar um mosaico que responde a uma lógica de design inspirada por M. C. Escher.
Palavras-chave: pensamento crítico, violência no namoro adolescente, estudo de caso.
Introducción
Los mosaicos y teselados han servido como un juego de patrones con tendencias artísticas que suelen ser utilizados en distintos contextos como azulejos para pisos, baldosas o murales, cuadros y en algoritmos matemáticos o diseños arquitectónicos.
Los teselados se pueden presentar como arte gráfico el cual mantiene relaciones matemáticas intrínsecas en las que podemos encontrar formas básicas como teselaciones en triángulos, cuadrados o hexágonos que se van modulando en un plano, hasta figuras más complejas como animales, rostros o expresiones abstractas geometrizadas. Las teselaciones pueden presentar una infinidad de posibilidades en su configuración, en las que se pueden catalogar como: teselaciones regulares (en el que todos son iguales), teselaciones irregulares (caracterizadas por la utilización de dos o más polígonos regulares) teselaciones periódicas (que recubre un plano de manera periódica) y teselaciones aperiódicas (recubren un plano, pero no de manera periódica).
El artículo tiene por objetivo diseñar un mosaico a partir de técnicas geométricas para generar una composición por medio de patrones y expresiones matemáticas, para ello se identificaron estrategias de diseño para generar mosaicos o teselas, se estableció un proceso de diseño para un mosaico, se mostró un nuevo diseño de una tesela para generar un mosaico artístico geométrico, a partir de ello se presenta un diseño generado a través de una teselación periódica, combinó la exactitud geométrica con lo dinámico de las formas orgánicas, inspiradas en los dibujos de M. C. Escher, se muestra como resultado un mosaico que comprende dos teselas o módulos, que se articulan de manera irregular, pero con tendencia periódica, con un carácter paramétrico para poder replicar en distintas propuestas de desarrollo de recubrimientos.
Antecedentes presentan teselados a través de la historia en distintas culturas para generar arte o recubrir espacios como vías, o incluso en sistemas constructivos en los que se pueden encontrar como referentes los sumerios, romanos, estudios de Arquímedes en el siglo III a.c. o en obras teóricas como “Harmonice mundi” de Johannes Kepler en 1619 (Mariño, 1938), o incluso un ejemplo del siglo XX fueron los trabajos del artista holandés M. C. Escher (1898 – 1972), en los cuales las técnicas de su aplicación son diversas pero cada manifiesta por transeúntes y habitantes es interesante visualmente, y su correspondencia geométrica ha sido muy útil a la hora de estudiar las distintas propiedades de una figura geométrica.
Metodología
La construcción y diseño siguió enfoque de una metodología de diseño geométrica basada en las técnicas de dibujo de teselas empleada por el artista M. C. Escher (figura 1).

Así una región con N cuadrados tiene T teselaciones, y grados de libertad por cuadrado.
Se generan bocetos de diseño (a) en Figura 2, los cuales expresaron de manera empírica las figuras que pueden aparecer a medida que el trazado se generó b (Figura 2) a través del contraste entre las tonalidades de claro y oscuro, y a partir de los supuestos de Thurston (1990) para toda región R sin agujeros, toda teselación con dominós de R puede lograrse a partir de cualquier otra por medio de una sucesión de giros. No obstante, la región de regularidad no se aproxima a la frontera de un círculo tangente a los cuatro lados fronterizos.

Se mantiene entonces con la simplicidad de trabajar con figuras sencillas y complejizarlas a medida que se superponen planos semilla 1 y 2 b,c,d en (Figuras 2) se trabaja la forma resultante (Figura 3). Se busca a partir de este patrón generar una simetría inmersa en grupos cristalográficos planos, sin embargo, aún, la región de regularidad no se aproxima a la frontera de un círculo tangente, por lo cual se recurrió a teselaciones no simétricas o teselaciones de Penrose las cuales tienen propiedades notables; como el contener una cantidad infinita de copias de cualquier región finita que uno pueda formar usando las figuras.

el plano al utilizar las figuras con la condición que solo se pueden unir en vértices que tengan el mismo ángulo hace imposible cubrir el plano repitiendo un patrón pequeño en forma regular, como se hizo en las teselaciones anteriores. Sin embargo, existen infinitas teselaciones del plano usando flechas y cometas.
La rotación en 60º de un patrón triangular modificado, generó un patrón basado en un hexágono regular. La construcción del patrón consistió en construir una línea mn y rotarla en 60º. En éste caso, el arco rs, se rota en 60º alrededor de s. Luego se construye el punto medio (M) de rr’, se construyó una línea que una r y M; y finalmente se aplica simetría central de dicha línea respecto a M. Como consecuencia, las líneas construidas, determinan un patrón que permite teselar con rotaciones en 60º. Los puntos r, s y r’, determinan un triángulo equilátero. Alrededor del punto O se ha girado sucesivamente el patrón en 60º, de manera que los triángulos equiláteros determinan un hexágono regular (d) en (Figura 2.).
De otra parte, acorde a la teoría Walkup [26] mostró que un rectángulo de r x s puede ser perfectamente mosaico por T-tetrominoes si y solo si r = s = 0 (mod 4). Se puede comprobar que tales rectángulos tienen Tiques tetrominios firmados si y solo si rs - 0 (mod 8). Por lo tanto, esto problema tampoco puede ser resuelto por un argumento colorante o de ángulos generalizado. El argumento de Walkup es especial para el T-tetromino; su relación con el enfoque de la teoría de grupos combinatoria de este documento no es obvio. Los invariantes de límites definidos pueden, en principio, ser definidos para mosaicos en subregiones finitas de cualquier mosaico periódico de w2 o de hiperbólico espacio W " (Walkup, 1965).
El punto d en Figura 2 es considerado un snub de {3,6} uniforme con símbolo [0](12)(34).(3,6,3,3,3) que codifica un grafo
(Godman y Slone, 2018; Blatov, Shevchenko & Proserpio, 2014)
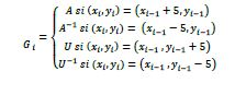
Se aplicó traslación a extremos de un cuadrado (todo lo que se quita en un extremo se traslada al otro). como un principio de conservación deformando un objeto a partir de cuatro movimientos y se traslada en 5 unidades hacia arriba (a) en (Figura 3).
Se aplica e interpreta la técnica de Escher, para dar lugar a una figura controlada fácil de entender (Figura 4, 5).


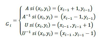
El diseño tiene en cuenta postulados de Conway y Lagarias (1990), quienes afirman que al camino P = {(xi , yi): 0≤𝑖≤𝑛) se asigna un W = W (P)=Gn, Gn-1, …,G1 en F dado por,

Donde A representa el conjunto de todas las traslaciones a través de presentes en un mosaico en una región R y un conjunto de∑tipos de mosaicos. R puede ser cubierto por dos patrones si existe un conjunto en Z que cubre cada céda en C de R exactamente una vez. U el conjunto de traslaciones hacia arriba. En el mapeo en la dirección inversa se asigna a cada W en F la trayectoria dirigida P(W) a partir de la base fija en el cuadrante en (0, 0) en Z. obtenido al observar la figura en W de derecha a izquierda, y se tiene W(P (W))=W. Dado un límite orientado de una región R simplemente conectada, 
permutaciones cíclicas entre sí, conjugadas en F para las regiones en la figura 3h y subregión de filas en figura 5,

es decir,
[R] = {W R (e) W-1: WE F}.
El grupo: (W1, W2, .. ..) denota un subgrupo G de F, G∁N(G) subgrupo más pequeño en F, [G: G] denota el subgrupo generado por los conmutadores W1W2W1-1W2-1,para todo W1,W2, ∈G. (Harpe, 2000). El grupo de ciclo C es el subgrupo libre de F que consiste en todas las palabras asociadas a rutas dirigidas cerradas en la cuadrícula cuadrada. límite combinatorio de cualquier región simplemente conectada está contenido en C=[F:F´].
Los argumentos de coloración o ponderación corresponden a invariantes aditivos asignados a las celdas de la cuadrícula cuadrada. El siguiente teorema mostró que un grupo natural que codifica tales invariantes es el máximo grupo cociente abeliano A. = C / [C: C], o célula de grupo.
Teorema: El ciclo grupo C consiste en todas las W tales que P(W) es cerrado en Z *, es decir, C = [F: F]. El grupo [C: C] consiste en todas las W tales que P (W) es una trayectoria directa cerrada en Z2 con 0 alrededor de cada celda en Z2. En consecuencia, [C: C] es un subgrupo normal de F. El grupo A0 =C/[C:C] es una suma directa de un número contable de copias de Z,las cuales tienen correspondencia uno a uno con las celdas cii de Z2. 𝜋𝑖,𝑗:𝐶→𝑍 sobre la cijth Z-sumando de A0 está dado por w(P(W);cij) (Conway y Lagarias, 1990)
El diseño toma referentes de Teorema “un triángulo equilátero con huecos puede ser teselado con rombos si y sólo si cada triángulo de lado k contiene a lo más k huecos (Ardila, Billey, 2005) para producir matroides a partir de emparejamientos en las teselas y la reflexión del patron semilla final. Estas teselaciones son las subdivisiones mixtas de triángulos definidas en el contexto de politopos y variedades teóricas, y están relacionadas con problemas de optimización y geometría tropical. De igual manera b y c en figura 4 y Figura 5 se generan a partir de de d banderas.
Una vez se determinó la forma de diseño se generó un nuevo módulo (Figura 4), el cual se diseñó a partir de iteraciones de movimientos de extremos que le otorgaron complejidad, al mantener la lógica de la sustracción de un lado del polígono y la suma a otra parte del mismo polígono con bordes encajables en puntos límite. c en (Figura 4, figura 5).
La iteración del diseño a partir de traslación de puntos generó un mosaico en el plano (Figura 6, Figura 7), por lo que se procedió a generar una cuadrícula ligada a un diseño inicial de forma orgánica como representación artística enfocada al dibujo.


A fin de obtener una figura geométrica asociada a la cultura de la región a partir del patrón diseñado, se procedió a cambiar la escena del dibujo y al mismo tiempo a moldear la figura geométrica para representar el mismo concepto de orgánico en la ensena de animales de granja en dos contextos basados en contrastes de color. Del diseño se presentaron dos piezas irregulares, pero complementarias en el plano, de tal manera que se intersectan en los puntos frontera. Las dos presentan escenas distintas, la primera inspirada en un amanecer, y la segunda en un anochecer, generando así dos teselas para presentar el mosaico final.
Se demuestran en la tesela final argumentos de interpretación natural en términos de invariantes de límites y donde los argumentos más fuertes son equivalentes a la detección la existencia de mosaicos firmados. Considerada la cuadrícula cuadrada con su grupo libre asociado F = (A, U) y un ciclo grupo C = [F: F]. Los argumentos de coloración claro oscuro corresponden a invariantes aditivos asignados a las celdas de la cuadrícula cuadrada. Parte de teorema muestra que un grupo natural que codifica tales invariantes es el máximo grupo cociente abeliano A, = C / [C: C], célula grupo. (Conway y Lagarias, 1990)
Teorema (i) El ciclo grupo C consiste en todas las W tales que P (W) es un camino dirigido cerrado en Z *, es decir, C = [F: F]. (ii) El grupo [C: C] consiste en todas las palabras W tales que P (W) es una trayectoria directa cerrada en Z2 con el número de cuerda 0 alrededor de cada celda en Z2. En consecuencia, [C: C] es un subgrupo normal de F (Conway & Lagarias, 1990).
Resultados
De acuerdo al proceso de diseño se logran concretar dos módulos (uno de mayor proporción que el otro) los cuales se presentan como teselado irregular de tipo periódico, con imágenes orgánicas, generan así una nueva propuesta de mosaico del cual se realizan la modelación en 3D, a escala real en material de cartón, para poder ver los atributos de la figura y su factibilidad a la hora de teselarse. con

La tesela en mosaico en plano R, sigue secuencia de 3.6 estuvo dada por a(0)=1, a(1)=5, a(2)=9, a(3)=15, a (4)=19, a(5)?24 a(n)=a(n)+24. La recurrencia se puede escribir como a (5k + r) = 24k + a (r) para k ≥ 0, 0 ≤ r ≤ 16 a partir de snub {6,3} con grupo de simetría 632.
Los resultados se presentan por medio de un dibujo a base de carboncillo, en el que se logra apreciar la composición completa del diseño en el que se recuperan los conceptos de Escher de poder visualizar dos escenas, pero no al mismo tiempo, pues el reflejo de una es gracias al contraste de la otra (figura 7).
El resultado final es un mosaico orgánico (Figura 8) con una escena nocturna y una de día en la que el principal protagonista es un ave, generándose una interesante composición que une el arte y la geometría

Discusión y conclusiones
De acuerdo al trabajo realizado, se puede afirmar que las estrategias de diseño de un mosaico permiten infinidad de teselas o figuras al seguir parámetros de diseño y lineamientos de traslaciones, rotaciones, reflexiones, grupos de Lie, donde la geometría no se limita a permitir generar líneas rectas o teselas regulares, planteadas por figuras básicas, sino patrones irregulares complejos generadores de obras de arte y de igual manera, permite apreciar la destrezas, habilidades, competencias frente a la técnica del autor similar a resultados de Souza, & Marafioti (2013) y de Herrera, et.al. (2010) partir de otras experiencias en aula. Así mismo, al igual que Hernández y Rojas (2016) es posible generar modelos y analizar estructuras topológicas.
Se logran determinar frente al estudio investigativo distintas estrategias de diseño, en las que se logran determinar unas teselas regulares, irregulares, periódicas, y aperiódicas, que esto no limita para generar combinaciones entre estas técnicas, e involucrar formas orgánicas en la obra.
Se generó a partir de dieciséis movimientos en el plano el patrón irregular de la tesela, un resultado tangible que permite visualizar que las teselas pueden presentarse en azulejos aplicados a distintos contextos culturales en terminaciones arquitectónicas, obras de arte o pintura.
Referencias
Bailey, D. Cairo Tiling, recuperado de http://www.tess-elation.co.uk/cairo-tiling.
Blatov, A., Shevchenko, P. & D. M. Proserpio, (2014). Applied topological analysis of crystal structures with the program package ToposPro, Cryst. Growth Des., 14, 3576-3586.
Conway, J.H. & Lagarias, J.C. (1990). Tiling whit polyminoes and combinatorial group theory. Journal of combinatorial theory. 53. 183-208
de Souza, L. A., & Marafioti Garnica, A. V. (2013). The modern math movement(s): An essay on how elementary school teachers in brazil gave meaning to it. [As matemáticas modernas: Um ensaio sobre os modos de produção de significado ao(s) movimento(s) no ensino primário Brasileiro] Revista Latinoamericana De Investigacion En Matematica Educativa, 16(3), 369-393. doi:10.12802/relime.13.1634
Escher M.C, (2008). Estampas y dibujos. Introducción y comentarios de M.C. Escher. Ed. Taschen.
Gómez-Jáuregui V., Otero C., Arias R. and Manchado C. (2011). Generation and Nomenclature of Tessellations and Double-layer Grids.
Goodman-Strauss, C. & Sloane, N.J.A.. (2018). A coloring book approach to finding coordination sequences. Arxiv. 1. New York: Cornell University Library.
Harpe, P. (2000). Topics in Geometric Group Theory. Chicago: Univ. Chicago Press.
Hernández, M. M. V., & Rojas, E. M. (2016). Determinants of academic performance in mathematics in the context of a technological university: Application of structural equations model. [Factores que determinan el rendimiento académico en matemáticas en el contexto de una universidad tecnológica: Aplicación de un modelo de ecuaciones estructurales] Universitas Psychologica, 15(4), 1-11. doi:10.11144/Javeriana.upsy15-4.fdra
Herrera V., Montes, Y., Cruz C., Vargas A. (2010) Teselaciones: Una Propuesta para la Enseñanza y el Aprendizaje de la Geometría a Través del Arte. Bogotá: Universidad Distrital Francisco José de Caldas.
Mariño, S. (1938). Geometría en el arte y el diseño. Bogotá: Universidad Nacional.
Walkup, D. (1965). Covering a rectangle with T-tetrominoes, Amer. Math. Month!v . 72. 986-988.
Notas
Correo electrónico: miguel_cadena25@hotmail.com. Orcid ID: https://orcid.org/0000-0002-3616-3077
Correo electrónico: julioalfredo@ufps.edu.co Orcid ID: https://orcid.org/0000-0001-6944-832X
Correo electrónico: mawency@ufps.edu.co. Orcid ID: https://orcid.org/0000-0001-8285-2968