Dossier
Recepción: 06 Julio 2020
Recibido del documento revisado: 10 Diciembre 2020
Aprobación: 27 Julio 2021
DOI: https://doi.org/10.24201/clecm.v8i0.235
Resumen: Este artículo analiza la fonología y morfología de los clíticos que marcan la persona gramatical en el triqui de Chicahuaxtla, una lengua otomangue hablada al noroeste del estado de Oaxaca, México. Su objetivo es determinar la forma subyacente de estas marcas y explicar las alternancias tonales que exhiben cuando se adjuntan a una base léxica. El análisis sigue los principios generales de la fonología autosegmental que establece que las unidades tonales se representan en una grada diferente a la segmental. Plantea que en esta lengua la Unidad Portadora de Tono es la mora y que, entre los clíticos que se revisan, algunos muestran asociación subyacente a una mora y otros son flotantes. El análisis se realiza en el dominio de la flexión de la persona gramatical y demuestra que en esta lengua el tono es morfológico.
Palabras clave: lenguas otomangues, lengua triqui, morfofonología, tono, alternancia tonal.
Abstract: This paper describes the phonology and morphology of tonal clitics in the Triqui of Chicahuaxtla, an Oto-Manguean language spoken in the state of Oaxaca, Mexico. It aims to determine the underlying representation of the clitics, as well as to explain the tonal alternations that motivate when attached to a lexical stem. This work adopts the general principles of Autosegmental Phonology in which tonal representation is on a separate tier from the segmental representation. The analysis is carried out in the domain of the inflection of the grammatical person, and shows that the tone is morphological in this language.
Keywords: Oto-Manguean, Triqui language, morphophonology, tone, tonal alternation.
1. INTRODUCCIÓN
Este artículo describe la fonología y morfología de los clíticos tonales en el triqui de Chicahuaxtla, una lengua otomangue hablada al noroeste del estado de Oaxaca, México. El análisis se realiza principalmente en el dominio de la flexión de la persona gramatical, donde la marcación se lleva a cabo mediante un grupo de enclíticos pronominales (véase Cuadro 1); en este trabajo se siguen los principios de la fonología autosegmental (Goldsmith 1976; Clements & Goldsmith 1984), la cual establece que la representación tonal se realiza en una grada separada de la representación segmental; se adopta el análisis de estudios previos que proponen que la mora es la Unidad Portadora de Tono (UPT) en esta lengua (DiCanio 2008; Hernández Mendoza 2017), por tanto, este estudio considera que la asociación tono-UPT y los procesos que motivan la alternancia tonal ocurren en la interacción entre el tono y la mora. Asimismo, el presente trabajo plantea que algunos clíticos están asociados inherentemente a una UPT mientras que otros no, por lo que son considerados unidades flotantes. De igual forma, aquí se propone que las alternancias tonales que se observan en la flexión de la persona gramatical se deben a que los enclíticos exhiben alomorfía.
Los clíticos que se analizan se muestran en el Cuadro 1. De acuerdo al examen que se sigue en este trabajo, la 3 S.ANF es expresada por un rasgo [+nasal] (representado con el diacrítico ~) junto con una mora (μ) con un tono /3/. La 1du por un tono /(4)/ más un suprasegmento laríngeo especificado como [+glotis constreñido] y representado como /(ʔ)/, ambos flotantes. La 2p por una mora (μ) llevando un tono /3/ como marca de número y por el segmento /=t/ como marca de persona.2 En todos los casos se observa alomorfía tonal supletiva y esto se describirá en las secciones subsecuentes.
Los datos que se analizan en este trabajo vienen de un corpus conformado por 300 verbos y 300 nombres analizados en paradigmas flexivos de persona gramatical y corresponden a un estudio más amplio de la lengua. Fueron obtenidos mediante trabajo de campo desde el año 2013 hasta el 2019; el trabajo también se nutre de la introspección del autor como hablante de la lengua. De esta manera, si bien el análisis se inscribe en el ámbito de la morfofonología, a lo largo del trabajo se hace referencia a la flexión de la persona gramatical.
Este artículo se organiza de la siguiente manera. En §1.1 se presenta el marco general del análisis tonal y las generalidades de la lengua. En §2 se explican las generalidades del tono en la lengua de estudio. En §3 se describe la flexión tonal. En §4 se discute sobre la asociación autosegmental de los clíticos y en §5 se presentan las conclusiones del trabajo.
1.1. Marco general del análisis
De acuerdo a los principios de la fonología autosegmental (Goldsmith 1976; Clements & Goldsmith 1984) la representación tonal ocurre en un plano diferente al segmental. Bajo este principio se ha establecido la existencia de una grada tonal que es independiente a la grada segmental, que si bien interactúan entre sí, los procesos que desencadenan no necesariamente inciden sobre uno u otro. Por ejemplo, la elisión de un tono no implica forzosamente la elisión de un segmento o, por el contrario, la elisión de un segmento no compromete la elisión de un tono. Se ha planteado también que existe una Unidad Portadora de Tono que, como su nombre lo dice, es la unidad a la que se asocia el tono. Tipológicamente hay al menos tres posibles UPTs: el segmento, la sílaba o la mora (Yip 2002: 72-73). En la relación tono-UPT se dan al menos cinco tipos de asociaciones, los cuales se ilustran en el Cuadro 2: a) un Tono (T) puede asociarse con una UPT(τ) y esto es llamado asociación uno a uno; b) un T puede asociarse con dos o más UPTs y es llamado asociación múltiple; c) dos o más tonos pueden asociarse a una UPT y la asociación es de varios a uno; d) una UPT puede no estar asociada a ningún T y se define como una unidad sin tono y d) un T puede no estar asociado a ninguna UPT y es llamado tono flotante. Los tonos flotantes se representan entre paréntesis en este trabajo.

La representación subyacente toma importancia en este análisis. En términos generales, la propuesta generativa concibe al componente fonológico como una serie de reglas que transforman una representación subyacente en una representación superficial. Siguiendo a Rolle (2018: 16) el tono subyacente es definido como el tonema o la estructura tonémica asociado inherentemente a un morfema en particular. Considerando las asociaciones del Cuadro 2 y basado en la propuesta de Rolle (2018: 16), los morfemas pueden tener diferentes valores subyacentes. Como se muestra en el Cuadro 3, existen al menos cuatro posibilidades: a) UPT y tono están asociados subyacentemente, ya sea en una relación uno a uno, uno a varios o múltiple; b) hay UPT pero no tono, por tanto, no hay una asociación subyacente (morfema sin tono); c) una combinación de los dos valores anteriores, algunas de las UPTs del morfema están asociados a un tono pero otros no; d) hay tono pero no UPT. Para este último caso hay tres posibles subtipos: en el primero, el morfema lo constituye plenamente un tono flotante; en el segundo un tono y una UPT pero sin asociación subyacente y; tercero, un tipo mixto entre un tono asociado a una UPT y un tono flotante.
Esta tipología es importante en el mapeo input-output. Siguiendo las Condiciones de Buena Formación (CBF) (Goldsmith 1976), en el output a) todos los tonos deben de asociarse con, por lo menos, una UPT; b) todas las UPTs deben asociarse con, por lo menos, un tono; y c) las líneas de asociación no deben cruzarse. Estas condiciones se cumplen desde la representación subyacente cuando hay asociación inherente entre tono y UPT, no así con los tipos no asociados, mixtos o flotantes, donde se deben establecer reglas que permitan el cumplimiento de las CBF en las representaciones de superficie.
A manera de ejemplificar, los clíticos del Cuadro 1 son morfemas con diferentes tipos de asociación subyacente. El tono de la 3 S.ANF y de la 2P están asociados subyacentemente a una UPT, en cambio, el clítico de la 1DU es flotante. Por otra parte, la raíz o base léxica siempre muestra una asociación entre UPT y tono. Considerando los datos de (1), la primera línea muestra la representación de superficie y la segunda la subyacente. A grandes rasgos, el clítico =(4ʔ) 1du se adjunta sobre la última sílaba disociando el tono /3/. De esta manera, el clítico cuyo tono es de tipo flotante sin una UPT subyacente, se asocia con una UPT en el mapeo input-output, como se muestra en la representación autosegmental de la Figura 1. En esta derivación ocurren diversos procesos morfofonológicos los cuales son diferentes de acuerdo al tono o patrón tonal subyacente del morfema clítico y del morfema base.
(1) a3.ˈwi4ʔ
awi3 =(4ʔ)
pos.cabeza=1DU
‘cabeza de nosotros dos’.

Por otra parte, en la literatura lingüística los morfemas donde el tono es el único exponente de una distinción morfológica son llamados morfemas tonales y su posición puede ser establecida en una cadena de morfemas segmentales (Hyman & Leben 2017: 193).3 Lo anterior justifica la denominación de clíticos tonales usado para tres de los cuatro clíticos presentados en el Cuadro 1. Este tipo de morfema también es llamado tono gramatical y es definido como una operación tonológica que no es general en la gramática fonológica de la lengua y está restringido a un contexto especifico de un morfema o construcción (Rolle 2018: 19). La descripción que se presenta en este trabajo sigue estos principios generales.
1.2. La lengua
La fonología del triqui de Chicahuaxtla ha sido previamente discutido en Longacre (1952), Hollenbach (1977), Elliott et al. (2016) y Hernández Mendoza (2017). Siguiendo el trabajo de Hernández Mendoza (2017), el Cuadro 4 presenta el inventario fonológico consonántico de esta lengua y el Cuadro 5 el inventario vocálico. Como se observa, hay una distinción entre consonantes fortis, lenis y los que son indiferentes a este contraste. En general, la distinción fortis-Lenis en esta lengua se manifiesta por la duración, las fortis son siempre más largas, además presentan casi nula variación fonética o alofonía. Las lenis, por el contrario, muestran alta variación en su modo de articulación y en su sonoridad, por ejemplo, la lenis /ɡ/ puede fricativizarse o ensorderse sin llegar a tener la duración de una fortis (véase Hernández Mendoza 2017). En cada grupo esta distinción muestra ciertas características, en las oclusivas las consonantes representadas como sordas son fortis y se oponen a las sonoras, las cuales son lenis. Entre las africadas y fricativas, las primeras se analizan como fortis y las segundas como su contraparte lenis. En el grupo de las resonantes hay un contraste tripartito entre fortis, lenis y glotalizadas. La distinción fortis-lenis ocurre exclusivamente en la sílaba final siendo un patrón observado en todas las variantes del triqui (Longacre 1952; Hollenbach 1977; DiCanio 2008; Hernández Mendoza 2017).


Por su parte, el repertorio fonológico vocálico consta de ocho elementos: cinco vocales orales y tres vocales nasales. El contraste oral vs. nasal ocurre solamente en la sílaba final.
El acento es fijo y sensible al peso silábico, cae siempre sobre la sílaba final de la palabra, la cual, en términos prosódicos se define como pesada (bimoraica). Su principal correlato fonético es la duración, las sílabas finales son más largas que las sílabas no finales.
El acento es obligatorio y culminativo (Hyman 2006), es decir, cada palabra prosódica lleva al menos, y como máximo, una sílaba con el mayor grado de prominencia. Si bien el acento no es contrastivo, juega un rol determinante en la fonología de la lengua, es sensible a diversos contrastes fonológicos como: consonantes fortis vs. consonantes lenis, vocal oral vs. vocal nasal, tonos de nivel vs. tonos de contorno y vocales modales vs. no modales. En cuanto a la estructura métrica, los pies son yámbicos. Los ejemplos de (2) ilustran estas características: en la representación fonológica no hay distinción entre sílabas largas y cortas, no así en la representación fonética, en donde las sílabas finales son largas.
(2) Peso silábico

La duración vocálica no es contrastiva, por tanto, toda sílaba se especifica como monomoraica en el plano subyacente, pero por requerimiento prosódico, las sílabas acentuadas que son las finales, se hacen bimoraicas en la derivación, como se ejemplifica en la Figura 2.

De esta manera, si bien el acento no es contrastivo, juega un rol importante en la fonología de la lengua.
2. EL TONO
En esta sección expongo las principales particularidades del tono en el triqui de Chicahuaxtla. Esta variante, al igual que las otras variantes (Longacre 1952; Hollenbach 1977; DiCanio 2008; Hernández Mendoza 2017), así como las lenguas otomangues en general (cf. DiCanio & Bennett 2020; Chavez Peón & Hernández en prensa), se caracteriza por un complejo inventario tonal. La UPT es la mora y la mayoría de los contrastes tonales ocurren en la sílaba final. Además, exhibe interacción con los rasgos laríngeos [+glotis constreñido] y [+glotis extendido]. En lo que sigue describo con mayor detalle cada uno de estos aspectos.
2.1. Inventario tonal y UPT
El Cuadro 6 presenta el inventario tonal que consta de 10 tonos, de los cuales cuatro son realizaciones de un solo tono y seis son realizaciones de una secuencia de dos tonos, también llamados tonos de contorno. En la anotación tonal, las alturas tonales se transcriben con números en superíndice: el 1 representa al tono extra bajo; el 2, al tono bajo; el 3, al tono medio; el 4, al tono alto y el 5, al tono extra alto. En la tonotáctica de la lengua, los contornos tonales se permiten solamente en la sílaba final.

En términos de rasgos binarios, los contrastes y las clases tonales se capturan como se especifica en el Cuadro 7. El rasgo [upper] indica el registro tonal, el cual se divide en alto [+upper] y bajo [-upper].4 Por su parte, el rasgo [alto] captura el contraste entre un tono alto y un tono bajo dentro de cada registro tonal.

La UPT es la mora (μ). El principal argumento para sostener lo anterior es el número y tipo de tonos que pueden aparecer en una determinada posición silábica. Los contornos tonales solo se permiten en las sílabas finales porque son bimoraicas, y las sílabas no finales admiten un tono porque son monomoraicas. Como veremos en las secciones subsecuentes, en los casos donde hay tres tonos también hay tres moras. Dicho lo anterior, se puede señalar que la asociación tono-mora se rige por la convención de (3) (DiCanio 2008; Hernández Mendoza 2017), siendo uno de los principios por los que no se permiten contornos tonales en sílabas no finales o monomoraicas.
(3) Especificación tonal moraica: una mora debe estar asociada con un solo tono.
A manera de ilustrar esta especificación considérense los ejemplos del Cuadro 8. Las tres palabras son bimoraicas y cumplen con la especificación de (3). Sin embargo, en el ejemplo de la primera columna un tono está asociado a dos moras. En la fonología tonal del triqui y para cumplir con las Condiciones de Buena Formación (CBF) (Goldsmith 1976), se ha establecido que todas las moras deben estar asociadas a un tono, por lo tanto, cuando el número de moras es superior al número de tonos, la asociación tonal se realiza mediante una propagación tonal regresiva. Este principio se formaliza mediante la convención de (4).

(4) Convención de asociación hacía la izquierda:
Asigne un tono o un tono de contorno de derecha a izquierda, comenzando en la mora más a la derecha de la palabra y luego asocie el tono más a la izquierda a todas las moras restantes.
Bajo esta convención, palabras como kã3 ‘calabaza’, natsĩ3 ‘jitomate’, doɡoʔo35 ‘cuesta’ se representan como en la Figura 3. En todos los casos la asociación comienza de derecha a izquierda en un mapeo de uno a uno; posteriormente, por propagación, el tono más a la izquierda se asocia con las moras restantes, lo cual se indica mediante las líneas discontinuas.

Considerando la tipología de asociación presentada en el Cuadro 2, el triqui de Chicahuaxtla permite asociaciones uno a uno y asociaciones múltiples, es decir, de un tono a una UPT y de un tono a varias UPTs, pero restringe asociaciones de varios tonos a uno.
2.2. Tono y rasgos laríngeos
Al igual que la mayoría de las lenguas otomangues, una de las principales características del triqui es que presenta complejidad laríngea, definida como el uso contrastivo tanto de la tonía como de la fonación (Silverman 1997). En el triqui de Chicahuaxtla, además de los tonos, existen dos gestos laríngeos especificados en términos de rasgos binarios como [+glotis constreñido] y [+glotis extendido] y transcriptos como [ʔ] y [h], respectivamente. Siguiendo a Hollenbach (1984) y Hernández Mendoza (2017), esos gestos son suprasegmentos, muestran propiedades autosegmentales y comparten grada con el tono. Al igual que los tonos se asocian a las moras de acuerdo a la representación de la Figura 4.

Estos suprasegmentos aparecen solamente en la sílaba final y presentan restricción en su distribución con el tono: /ʔ/ puede aparecer con tonos de nivel y /h/ con tonos de nivel y además con los contornos /13/ y /32/, como se muestra en el Cuadro 9.
La asociación moraica de los patrones /13h/ y /32h/ merece cierta explicación. Primero, como se observa, no es posible tener una asociación uno a uno debido a que hay tres elementos que ocupan mora y dos moras. En este caso, el planteamiento es que tanto el rasgo laríngeo como el tono más a la derecha se asocian con la última mora y el tono restante con la penúltima mora. Tomando a manera de ejemplo ka32h ‘viga’ podemos tener una asociación del siguiente tipo: kaμ3μ2h. Es importante señalar que en estos casos la implementación fonética de /h/ es [ɦ], es decir, hay sonoridad por lo que la tonía también logra manifestarse sobre la porción laringizada. Si bien aquí hay una asociación de varios a uno, se debe notar que se trata de un tono y un rasgo laríngeo a una mora y no de dos tonos a una mora.
2.3. El tono de borde en el dominio de la FN
Una característica del triqui de Chicahuaxtla es que en el dominio de la frase nominal distingue un tono de borde. Siguiendo a Hernández Mendoza (2017, 2021), este tono tiene la forma de una mora con un tono /μ3/ y se describe como un Marcador de Linde Final de Frase Nominal (MLFFN). Su dominio es un constituyente sintáctico y no uno fonológico. En su asociación a la grada segmental (grada CV) copia el timbre de la vocal precedente. Este tono, por su capacidad de acoplarse sobre diferentes clases léxicas, se describe como un morfema clítico y se representa como /=μ3/. Considerando la tipología presentada en el Cuadro 3, está asociado inherentemente a una mora.
El tono de borde motiva algunas alternancias tonales, cuando el morfema al que se adjunta termina con los tonos /32/, /31/, /35/ y /1/ y /2/ lo que se observa es una concatenación de tonos sobre la sílaba final y una reduplicación de la vocal. En estos casos todos los tonos y las UPTs del input se preservan sin cambios en el output, lo que da lugar a diferentes tipos de contorno tonal, algunos de los cuales se muestran en (5).

Sin embargo, cuando el tono de la sílaba final es /3/ o /4/, el tono de borde se elide. En (6), por ejemplo, se esperaría que ‘coa’ se realizara como *[ru3ˈneː3e3] y ‘huipil’ como *[ri3ˈʔnĩː4ĩ3], pero la realidad fonética es diferente.

Por su parte, cuando el tono de la sílaba final del morfema léxico es /43/, el tono clítico se acopla sobre la última sílaba y desplaza el tono /4/ a la siguiente sílaba, como se muestra en (7). Para el caso de los nominales, este tipo de patrón se presenta principalmente en préstamos del español, pero también es frecuente en verbos.

Cuando el tono de borde se adjunta sobre un morfema que termina con un suprasegmento laríngeo provoca una rearticulación vocálica.
Considérese los ejemplos de (8). La única excepción aparece con el tono /3h/, como se muestra en (8g), en donde el output no presenta rearticulación vocálica y por tanto se puede asumir que el tono de borde se elide, de manera similar a lo que ocurre con los tonos /3/ y /4/ ejemplificados en (6).

Todos los casos anteriores se resumen en tres principales distribuciones. Primero, si la base termina con un tono de registro bajo o con los tonos /35/ y /3ʔ/, el tono de borde se concatena con los tonos de la última sílaba y todos los elementos tonales de la palabra se preservan en el output. Segundo, si la base termina con /3/, /4/ o /3h/ el tono de borde se elide en el output. Tercero, si la base termina con tono /43/ el tono de borde se asocia con las dos últimas moras y desplaza regresivamente al tono /4/.
La importancia del tono de borde en este trabajo es que su adjunción a una base léxica es similar a la de los clíticos de 3 S.ANF y de 2P que se discuten más adelante. Por tanto, su asociación y representación se revisarán en conjunto con los clíticos antes mencionados en §4.
3. FLEXIÓN Y CAMBIO TONAL
3.1. Preliminares morfosintácticos
El número y la persona gramatical se expresan vía pronombres independientes y vía enclíticos. La categoría número distingue tres valores: singular, dual y plural, este último siempre en referencia a tres o más entidades. La categoría persona distingue primera, segunda y tercera. Ambas son expresadas mediante los pronombres del Cuadro 10, los cuales son formas independientes, o mediante los enclíticos presentados en el Cuadro 2.
Un ejemplo de un paradigma flexivo con pronombres independientes se presenta en el Cuadro 11 y con formas clíticas en el Cuadro 12. En este trabajo se analizan solamente las formas clíticas, que son las que exhiben alternancias tonales.


La lengua, particularmente la flexión de la persona gramatical, también presenta formas clíticas para la 1s y una tercera persona gramatical ya mencionada en el discurso diferente a la 3 S.ANF. En ambos se observa otro tipo de alternancia, por lo que se explican mediante un proceso diferente a los aquí tratados.7
3.2. Primera persona dual
La primera persona dual se marca de manera sistemática con el suprasegmento /ʔ/ más cambios tonales. Si la base termina con un tono de registro alto cambia a un tono /4/, si termina con un tono de registro bajo se eliden los elementos tonales y laríngeos más a la derecha de la base. El primer patrón se muestra en (9) y el segundo en (10). En el caso del segundo patrón las elisiones que se observan son las siguientes: a) si la base termina con tono /32/ se elide el tono /2/, b) si termina con /2h/, /1h/ o /1ʔ/ se elide el rasgo laríngeo y c) si termina con un tono /32h/ se elide la secuencia /2h/.8


A partir de esta distribución se plantea que la forma subyacente de la 1du es /=(4ʔ)/, es decir, se marca mediante un exponente tonal y uno laríngeo. Sin embargo, encontramos alternancia entre /=(4ʔ)/ y /=(ʔ)/: a) si la base termina con un tono o secuencia tonal de registro alto, ambos exponentes se asocian a la base; b) si termina con un tono de registro bajo, solo se asocia el exponente glotal. La hipótesis es que los tonos de registro bajo bloquean la asociación de tonos altos, hecho observado en la tonología general de la lengua y también reportado en el triqui de Itunyoso (DiCanio 2008).
3.3. Tercera persona singular anafórica
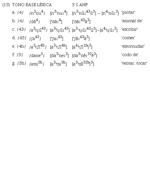
La tercera persona singular anafórica se marca mediante la nasalización y la reduplicación de la vocal final de la base. La nasalización es un proceso sistemático y no depende del perfil fonológico de la sílaba final ni de su patrón tonal. Cuando la vocal de la base es inherentemente [+nasal] como en los ejemplos de (11f-h), hay un traslape de rasgos (uno de índole léxico y otro morfológico) por lo que no hay una distinción oral-nasal entre la forma base y la forma flexionada.

Con respecto al tono, la vocal que se reduplica lleva siempre un tono /3/, que a diferencia del timbre vocálico, como se puede constatar en los datos de (11), no es una copia del tono de la base. Por otra parte, cuando la base termina con una sílaba abierta, se convierte en [cvːv], como se muestra en los ejemplos de (12 a-d), pero si termina con un rasgo laríngeo, se implementa una rearticulación vocálica como en (12 e-i) y la sílaba resultante es de tipo [cvʔv] o [cvhv].

La hipótesis es que la reduplicación es una realización de superficie, que subyacentemente se trata de una mora con tono /3/, es decir, tiene la forma de /µ3/. Esta mora, al acoplarse sobre una base, copia el timbre de la vocal final y se realiza como [v3]. De esta manera, el clítico de tercera persona tiene la forma de /=~µ3/ y al adjuntarse a una base léxica reduplica la vocal final y nasaliza toda la sílaba. De acuerdo con lo anterior, el input-output de ‘gente de ella/él’ es /si3-ɡwi1=~µ3/→ [si3ɡwĩː1ĩ3] POS-gente=3 S.ANF y de ‘ella/él mezcla’ /na3t∫e32h=~µ3/→ [na3’t∫ẽ32hẽ3] mezclar=3 S.ANF.
El análisis anterior aplica para bases con tono /1, 2, 32, 35, 2h, 1h, 32h, 1ʔ, 3ʔ/ cuyos ejemplos aparecen en (12). Sin embargo, cuando la base termina con los tonos /4/, /43/, /4h/, /3/ y /3h/ se observan cambios tonales adicionales. Primero, cuando ocurre la reduplicación también se inserta un tono entre la vocal que se copia y la vocal final de la base. Si la vocal final es CV4 resulta en CV43V3, como en (13 a, b); si es CV4h resulta en CV41hV3 si es monosilábica o en CV4.CV1hV3 si es bisilábica como en (13 e); si termina en CV3 o CV3h se inserta un tono /2/, como en (13 f, g). Segundo, las palabras con tono /43/ y /4/ pueden prescindir de la reduplicación si son polisilábicas y marcar la 3 S.ANF solamente mediante un aparente cambio tonal. En este caso la penúltima sílaba toma un tono /4/ y la última un tono /3/, como en los ejemplos de (13 a, c).

De acuerdo con los datos de (12) y (13), se observan dos principales patrones que dependen del perfil tonal de la base. En el primero, como se resume en (14), el tono /3/ se concatena con el borde derecho sin afectar el tono de la base, de modo que todos los tonos del input se preservan en el output. En el segundo, el tono /3/ también se concatena, pero a diferencia del primer patrón, en el output aparecen tonos que no están en el input, como es el caso de (15 b-e) o cierta modificación tonal como en (15 a, b).
(14) Flexión de 3 S.ANF sin cambio tonal en la base

(15) Flexión de 3 S.ANF con cambio tonal en la base

Estas alternancias pueden ser explicadas siguiendo dos posibles análisis, uno de tipo fonológico y otro de tipo morfológico. En cuanto al primero, se podría plantear que /=~µ3/ 3 S.ANF no presenta alomorfía, por tanto, la alternancia tonal sería tratada como un proceso fonológico, por ejemplo, que (15 d, e) son casos de polaridad tonal, donde un tono especificado como [+upper], [-alto], cambia a un tono de contorno descen den te [-upper], [+alto]. Sin embargo, el análisis fonológico no pa rece adecuado porque no es posible generalizar la alternancia, pero sobre todo, no se logra establecer reglas para predecir los cambios tonales.
Con respecto al segundo, el análisis morfológico, la hipótesis sería que se trata de alomorfía tonal supletiva del enclítico y se puede formu lar de la siguiente manera: la tercera persona singular anafórica es marcada por un grupo de cuatro alomorfos: a) el alomorfo /=~3µ3/ es seleccionado por bases con tono /4/; b) /=~1µ3/ por bases con tono /4h/; c) /=~2µ3/ por bases con tono /3/ y /3h/ y d) /=~µ3/ por el resto de las bases.
También existe la posibilidad de plantear que la alomorfía tonal es de la base y no del clítico, esto es, que una parte del léxico muestra alomorfía ante el clítico de 3 S.ANF. Sin embargo, un análisis de este tipo no parece adecuado debido a que implica proponer diferentes alomorfos para cada uno los patrones tonales que se muestran en (16).
(16) Alomorfía de la base

De esta manera, se plantea que las alternancias tonales se deben a una serie de alomorfos de la 3 S.ANF, los cuales se presentan en el Cuadro 13.9

3.4. Segunda persona singular
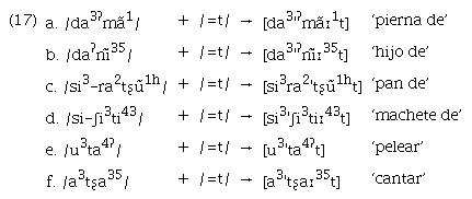
La 2S se marca mediante el clítico /=t/. Como se observa en los ejemplos de (17), todos los elementos, tanto tonales como segmentales de la palabra flexionada, se preservan en el output.

Sin embargo, existen tres casos donde el tono en el input es diferente en el output. Como se muestra en (18), (19) y (20), cuando la base léxica termina con los tonos /3/, /3ʔ/ y /3h/, estos cambian a [4] y [4ʔ] y [35], respectivamente.

Bajo este hecho y en concordancia con el análisis que sigo en este trabajo, propongo que estas alternancias se deben a cierta alomorfía tonal supletiva: a) /=(4)t/ es seleccionado por bases con tono /3/ y /3ʔ/, b) /=(35)t/ por bases con tono /3h/, y c) /=t/ en otros contextos.
3.5. Segunda persona plural
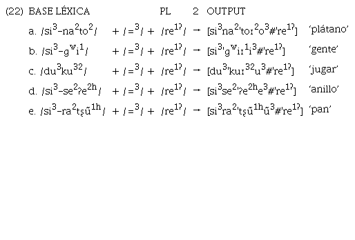
En la marcación de la 2P hay un clítico de número y un clítico de persona representados como /=µ3=t/. El número es expresado por la mora con el tono /3/ y la persona por el clítico segmental. Como se muestra en (21), la asociación del clítico de número es idéntica a la asociación del exponente mora-tono /µ3/ de la 3 S.ANF descrito en §3.3. De igual forma, el clítico de persona /=t/ sigue los criterios señalados en §3.4.

Es importante señalar que, en este caso, el clítico /=µ3/ es un exponente de número y es independiente del clítico de persona. Como se ilustra en los ejemplos de (22), la 2P también se puede marcar con el clítico de número más el pronombre /re1ʔ/ de segunda persona. En estos casos el clítico de número se mantiene sobre la base léxica sin cambio alguno.

Lo anterior conlleva a plantear que el comportamiento tonal del clítico de 2P es igual al del clítico de 3 S.ANF; por esta razón el análisis de (23) y (24) es similar al presentado en (14) y (15).
(23) Flexión de 2P sin cambio tonal

(24) Flexión de la 2P con cambio tonal

Así, la alomorfía de la 2P puede formularse de la siguiente manera: a) /=3µ3/ es seleccionado por bases con tono /4/; b) /=1µ3/ por bases con tono /4h/; c) /=2µ3/ por bases con tono /3/ y /3h/ y d) /=µ3/ por el resto de las bases.
3.6. Resumen
En esta sección se ha descrito la flexión de la 2S, 3 S.ANF, 1DU y 2P y demostrado que el tono tiene función morfológica en la lengua. Además, se ha planteado que existe alomorfía que modifica la forma tonal de la palabra flexionada. El inventario de los marcadores y alomorfos revisado en esta sección se presenta en el Cuadro 14. Como puede observarse, la 2 S.ANF y la 2P muestran similitud en sus alomorfos.

El acoplamiento y la representación autosegmental de estos clíticos a su anfitrión fonológico y a las UPTs se revisa en la siguiente sección.
4. REPRESENTACIÓN, ASOCIACIÓN Y MORFOFONOLOGÍA DE LOS CLÍTICOS
Esta sección discute la forma subyacente de los clíticos y su acoplamiento a una base léxica. En §4.1 se revisa la pertinencia de considerar que el tono /3/ de los clíticos de 3 S.ANF y 2P, así como también el tono del MLFFN, tienen una misma forma subyacente y se adjuntan bajo los mismos mecanismos a una base léxica. Luego, en §4.2 se revisa el acoplamiento del clítico de la 1DU y en §4.3 de la 2S.
4.1. Morfofonología del tono /3/ gramatical
En este trabajo se han descrito tres contextos donde el tono /3/ tiene función gramatical: como marcador de 3 S.ANF y 2P en los procesos de flexión de la persona gramatical y como MLFFN en el dominio de la FN. En estos tres contextos, la alomorfía que exhiben cada una de estas marcas son similares, por lo que es posible postular que independientemente de su función gramatical, su adjunción a una base léxica se realiza bajo los mismos mecanismos.
Para comenzar conviene recordar la alomorfía que exhiben cada uno de estos clíticos. En los tres casos se trata de un tono /µ3/ que aporta una mora. Aunque en la 3 S.ANF constituye un morfema junto con el rasgo [+nasal], en cuanto a su forma tonal se trata de un tono /3/. Siguiendo la tipología mostrada en el Cuadro 3, hay al menos dos posibilidades de análisis las cuales se muestran en el Cuadro 15: que se trate de un tono asociado inherentemente a una UPT o un tipo de tono flotante que aporta mora pero no asociado subyacentemente. Considero que, en este caso, se trata de un tono asociado inherentemente a una mora, es decir, su representación subyacente corresponde a la opción (a) del Cuadro 15.

De acuerdo con lo anterior, los clíticos con tono /µ3/ se adjuntan en el borde derecho de la base léxica y como resultado hay una concatenación de los elementos tonales (en la grada tonal). Dado que el tono clítico aporta mora, en la realización segmental se reduplica la vocal de la sílaba que recibe el clítico. Para ejemplificar este mecanismo consideremos la representación de la Figura 5. Como se observa, el recuadro de la izquierda representa a la estructura subyacente tanto de la base léxica como del morfema clítico y el de la derecha a la forma de superficie. En el mapeo input-output se observa cómo el tono clítico se asocia con la última sílaba de la palabra.

Bajo este mecanismo, cuando es seleccionado ya sea el clítico /=~µ3/ 3 S.ANF, el /=µ3=t/ 2P o el /=µ3/ MLFFN, todos los elementos tonales (y también segmentales) del input se preservan en el output. Siguiendo el modelo de la Figura 5, la Figura 6 es la representación de /duku32=~µ3/ → [du3.ˈkũː323] ‘ella/él juega’; muestra que todos los elementos del input aparecen en el output y en la representación de superficie se observa la reduplicación de la vocal final por la asociación de una mora más a la estructura CV.10

Sin embargo, cuando se trata de los alomorfos /2µ3/, /3µ3/ y /1µ3/, dado que cualquiera de ellos solo aporta una mora, lo que ocurre en su asociación a la base léxica es que el tono de la palabra flexionada se reescribe siguiendo la especificación tono-mora señalada en (3) y la convención de asociación hacía la izquierda presentada en (4). La Figura 7 es un ejemplo ilustrativo de este proceso. Como se observa, el tono del alomorfo /=~2µ3/ 3 S.ANF reescribe el tono de la palabra flexionada en el mapeo input-output.

Por su parte, como ya se mencionó en secciones anteriores, cuando la base léxica es bisilábica y termina con tono /43/ o /4/, puede realizarse como /433/ o /4.3/. En este caso, el alomorfo que se selecciona es /3µ3/, cuando se reduplica la vocal final el resultado es /433/ (CV43V3), pero cuando se disocia de su mora el resultado es /4.3/ (CV4.CV3). En el segundo caso el planteamiento es que el tono /3µ3/ se disocia de su mora y se reasocia con las moras de la base elidiendo el tono /3/ léxico, pero desplaza el tono /4/ a la siguiente mora, dando como resultado un patrón tonal /4.3/ en la palabra flexionada. Un ejemplo ilustrativo se presenta en la Figura 8.

Lo explicado hasta aquí presenta una excepción con el clítico /=µ3/ MLFFN, cuando se adjunta a una base que termina con tono /3/, /3h/ y /4/, no se observa asociación tonal alguna en la base y se puede asumir que el morfema clítico se elide en este contexto.
4.2. Morfofonología de la primera persona dual
En §3.2 se propuso que /=(4ʔ)/ es clítico de la 1DU. Se trata de un tono de registro alto y un rasgo laríngeo [+glotis constreñido]. De manera consistente se asocia con las moras de la base léxica, esto implica que no esta asociado inherentemente a una UPT por lo que es flotante. Este tono muestra alomorfía: si la base léxica termina con un tono de registro bajo se realiza como /=(ʔ)/; si termina con un tono de registro alto se realiza como /=(4ʔ)/, así mismo, se adjunta a la derecha de la base léxica y en el mapeo input-output reemplaza a los elementos de las UPTs con la que se asocia. De esta manera, las bases léxicas experimentan un proceso de reemplazo tonal.
La Figura 9 captura la representación general de este proceso. Como se observa, en el input el clítico no está asociado a una UPT; sin embargo, en el output se asocia con las últimas moras mediante un proceso de reemplazo tonal.

Las siguientes figuras ofrecen una representación de esta asociación. En la Figura 10 los dos exponentes del morfema dual se asocian con las últimas dos moras y reemplazan a los elementos léxicamente asociados a estas moras; sin embargo, debido a que el tono /3/ está asociado por propagación con la antepenúltima mora, no se elide como tal, sino que se preserva en dicha mora. En cambio, el rasgo /h/ es reemplazado y borrado en el output.

La siguiente figura muestra al alomorfo /=(ʔ)/ adjuntado a una base con tono de registro bajo. Como se ilustra, reemplaza al último tono y ocupa la mora. De esta manera, si el tono de la base es de contorno, en la clitización se observa una simplificación tonal porque se elide el último tono de la base.

Una marcación similar se presenta en el triqui de Itunyoso. De acuerdo al análisis de DiCanio (2016: 260), en esta variante la 1DU es marcada por el clítico /=ʔ/, considerado una forma segmental. Este clítico motiva una elevación de la altura tonal del tono /3/ de la base a un tono /4/, en el presente estudio este proceso es interpretado como un tono /(4)/ subyacente. La principal diferencia entre los dos análisis es que el triqui de Chicahuaxtla distingue un tono /35/, el cual no aparece en el inventario del triqui de Itunyoso. De acuerdo con los cognados, el tono /35/ guarda correspondencia con el tono /45h/ del triqui de Itunyoso. De esta manera, cuando /=ʔ/ se adjunta a una base con tono /45h/ reemplaza a los últimos dos elementos y se preserva el tono /4/. Aplicando este mismo principio en el triqui de Chicahuaxtla lo que se obtiene es el reemplazo del tono /5/ y la preservación del tono /3/, lo cual no corresponde a la realidad del output. Por tal razón, considero que en el triqui de Chicahuaxtla la 1DU es marcada por /=(4ʔ)/ y su adjunción a una base léxica se realiza mediante la distribución y la asociación presentada en párrafos anteriores.
4.3. Morfofonología de la segunda persona singular
Como se describió en §3.4, la marcación de la 2S se realiza mediante el enclítico /=t/. Se trata de un morfema segmental, pero motiva alternancia tonal de la base en tres casos: cuando la base termina con tono /3/, /3ʔ/ y /3h/ cambia a /4/, /4ʔ/ y /35/, respectivamente. El patrón general es que los tonos especificados como [+upper], [-alto] cambian a [+alto], por tal motivo se podría considerar que comparten cierta similitud con lo que se observa en la marcación de 1DU. Sin embargo, asumir que hay un tono /(4)/ flotante asociado subyacentemente al clítico no resuelve la alternancia /3h/ → [35]. Por lo tanto, como se planteó en §3.4, la 2S exhibe alomorfía: a) /=(4)t/ es seleccionado por bases con tono /3/ y /3ʔ/, b) /=(35)t/ por bases con tono /3h/ y /=t/ en los otros contextos.
Las siguientes figuras ilustran el acoplamiento de estos alomorfos. En la Figura 12 se observa el reemplazo del tono /3/ por el tono /4/; sin embargo, debido a que el tono /3/ está también asociado por propagación a la siguiente mora a la izquierda, su reemplazo es a nivel moraico porque se preserva en el morfema. Este hecho es recurrente en la morfofonología de la lengua. Cuando un tono se acopla sobre una mora asociado inherentemente con otro tono, siempre existe la posibilidad que se desplace regresivamente a la siguiente mora y se preserve en el output.

La Figura 13 ejemplifica el reemplazo del tono /3h/ por /35/. En este caso el tono /35/ reemplaza a toda la melodía tonal del morfema léxico y además se propaga a la mora más a la izquierda. No obstante, es importante notar que en la derivación la melodía tonal se mapea en el dominio de la palabra, por lo tanto, el proceso será distinto en cada palabra. Por ejemplo, en la Figura 14, la base léxica termina con un tono /3h/ por lo que es reemplazado por un tono /35/, pero dado que en este morfema las moras más a la izquierda tienen su propio tono, no hay desplazamiento tonal y /3h/ se elide en el output.


Finalmente, cabe señalar que este clítico solamente se presenta en el triqui de Chicahuaxtla. Sin embargo, en el triqui de Itunyoso se observa una alternancia tonal similar, pero ante el enclítico /=re1ʔ/ 2S (véase DiCanio 2016: 254).
5. CONCLUSIONES
En este trabajo se han descrito los clíticos de 2S, 3 S.ANF, 1DU y 2P y revisado su representación subyacente. Se ha planteado que los clíticos 3 S.ANF, 2P y el MLFFN están asociados subyacentemente a una mora y muestran procesos tonales similares cuando se adjuntan a una base léxica, además exhiben alomorfía tonal supletiva. Asimismo, se ha dicho que el clítico /=µ3/ MLFFN se elide ante bases que terminan con los tonos /3/, /4/ y /3h/. Por otra parte, en el caso del clítico de la 1DU /=(4ʔ)/, se ha planteado que se trata de un morfema flotante, es decir, que no está asociado inherentemente a una UPT, por tanto, se asocia a las moras más a la derecha de la base y provoca reemplazo y elisión tonal. También se describió el clítico de 2S, se mencionó que entre los otros clíticos, es el único que cuenta con un exponente segmental, pero que también exhibe alomorfía tonal, por lo que es analizado en conjunto con el resto de los clíticos.
De esta manera, en el triqui de Chicahuaxtla los clíticos tienen diferentes perfiles subyacentes, pueden ser elementos tonales asociados a una UPT o flotantes, pero también segmentales como el caso de 2S. Asimismo, por la naturaleza fónica de los elementos que los constituyen, se reconocen tres tipos: el primer tipo sería el clítico que es un morfema tonal por sí mismo, es decir, no involucra ningún otro tipo de suprasegmento o segmento, y es el caso de la marca de número en la 2P /=µ3/ y del tono de borde en la FN /=µ3/ MLFFN. El segundo tipo son los clíticos que combinan un tono con otro elemento autosegmental, que sería el caso de /=~µ3/ 3 S.ANF y de /=(4ʔ)/ 1DU, donde en el primero hay un rasgo [+nasal] flotante y en el segundo un suprasegmento laríngeo. El tercer tipo es el que combina segmento y tono, y es el caso de la segunda persona singular, donde algunos alomorfos son híbridos porque llevan tanto un elemento tonal como uno segmental.
Por otra parte, por su asociación y realización tonal en la superficie se observan dos patrones: a) por un lado están los clíticos que se adjuntan o se afijan al final de la palabra sin afectar los tonos de la base, es decir, en la grada tonal hay una concatenación de los elementos tonales, y este es el caso de los clíticos de 3 S.ANF y 2P; b) por otro lado están los clíticos que reescriben y reemplazan parcial o totalmente el tono de la base, que es el caso de los clíticos de 1DU y 2S. Estos dos tipos corresponden a una tipología observada en diferentes lenguas tonales (véase Yip 2002: 106). Asimismo, nótese que los clíticos o morfemas que se concatenan con la base sin afectar o modificar su tono son los que están asociados inherentemente a una mora. En cambio, los que carecen de una asociación subyacente, modifican el tono de la base.
Así pues, en este trabajo se ha argumentado a favor del tono como morfema tonal y descrito que las alternancias tonales son consecuencia de la alomorfía tonal supletiva. No obstante, el análisis presentado, si bien contiene abundantes datos, es una aproximación a la morfología y fonología de los clíticos tonales en el triqui de Chicahuaxtla. Queda pendiente la descripción del paradigma flexivo completo, así como su discusión formal para trabajos futuros. Sin embargo, se espera que la descripción y el análisis realizado sirvan para comprender los fenómenos tonales gramaticales en lenguas de este tipo.
ABREVIATURAS
1S= primera persona singular, 2S= segunda persona singular, 3S= tercera persona singular, 1P= primera persona plural, 2P= segunda persona plural, 1DU= primera persona dual, 3 S.ANF= tercera persona singular anafórica, MLFFN= marcador de linde final de frase nominal.
REFERENCIAS
Baerman, Matthew. 2011. Defectiveness and homophony avoidance. Journal of Linguistics 47(1). 1-29. https://doi.org/10.1017/S0022226710000022.
Clements, George N. & John, Goldsmith (eds.). 1984. Autosegmental studies in Bantu tone. (Publications in African Languages and Linguistics). Vol. 3. Berlín: De Gruyter Mouton. https://doi.org/10.1515/9783110864465.
Chávez Peón, Mario E. & Hernández, Fidel. En prensa. Las lenguas tonales en México. En Chávez-Peón, Mario E. & De León, María de Lourdes (eds.), Reconfiguraciones de las lenguas indoamericanas en el siglo XXI: Continuidades, retos y transformaciones. México: CIESAS.
DiCanio, Christian T. 2008. The phonetics and phonology of San Martín Itunyoso Trique. Berkeley: University of California. (Tesis doctoral).
DiCanio, Christian T. 2016. Abstract and concrete tonal classes in Itunyoso Triqui person morphology. En Palancar, Enrique & Léonard, Jean-Léo (eds.), Tone and inflection, 225-266. Berlín/Boston: Walter de Gruyter Mouton.
DiCanio, Christian; Martínez-Cruz, Benigno; Cruz-Martínez, Basileo & Martínez-Cruz, Wilberto. 2020. Glottal toggling in Itunyoso Triqui. Phonological data and analysis 2(4). 1-28. https://doi.org/10.3765/pda.v2art4.3.
DiCanio, Christian & Bennett, Ryan. 2020. Prosody in Mesoamerican languages. En Gussenhoven, Carlos & Chen, Aoju (eds.), The Oxford handbook of language prosody. Oxford: Oxford University Press. https://doi.org/10.1093/oxfordhb/9780198832232.013.25.
Dixon, Robert M. W. & Aikhenvald, Alexandra Y. 2002. Word: A typological framework. En Dixon, Robert M. W. & Aikhenvald, Alexandra Y. (eds.), Word: A Cross-linguistic typology, 1-41. Cambridge: Cambridge University Press.
Elliot, A. Raymond; Edmondson, Jerold A. & Sandoval Cruz, Fausto. 2016. Chicahuaxtla Triqui. Journal of the International de Phonetic Association 46(3). 351-365. https://doi.org/10.1017/S0025100315000389.
Goldsmith, John. 1976. Autosegmental phonology. Boston: Massachusetts Institute of Technology. (Tesis doctoral).
Gussenhoven, Carlos & Jacobs, Haike. 2017. Understanding phonology. (Understanding Language Series). Reino Unido: Routledge.
Haspelmath, Martin & Sims, Andrea D. 2010. Understanding morphology. (Understanding Language Series). Londres: Hodder Education. https://arkitecturadellenguaje.files.wordpress.com/2012/12/understanding-morphology-second-edition.pdf.
Hernández Mendoza, Fidel. 2017. Tono y fonología segmental en el triqui de Chicahuaxtla. México: Universidad Nacional Autónoma de México. (Tesis doctoral).
Hernández Mendoza, Fidel. 2021. La frase nominal simple en el triqui de Chicahuaxtla. En Arellanes, Francisco & Guerrero, Lilian (eds.), Volumen conmemorativo: Seminario de lenguas indígenas. Mexico: Instituto de Investigaciones Filológicas UNAM.
Hollenbach, Barbara E. 1977. Phonetic vs. phonemic correspondence in two Trique dialects. En Merrifield, William R. (ed.), Studies in Otomanguean phonology (Publications in Linguistics 54), 35-67. Dallas, TX: Summer Institute of Linguistics.
Hollenbach, Barbara E. 1984. The phonology and morphology of tone and laryngeals in Copala Trique. Arizona: University of Arizona. (Tesis doctoral).
Hyman, Larry. M. & Leben, William R. 2017. Word prosody II: Tone systems. UC Berkeley Phonetics and Phonology Lab Annual Report 13. 178-209. https://doi.org/10.5070/P7131040752.
Hyman, Larry M. 2006. Word-prosodic typology. Phonology 23. 225-257. https://doi.org/10.1017/S0952675706000893.
Leben, William R. 1973. Suprasegmental phonology. Boston: Massachusetts Institute of Technology. (Tesis doctoral).
Longacre, Robert E. 1952. Five phonemic pitch levels in Trique. Acta de Lingüística 7(1-2). 62-81.
Paster, Mary. 2010. The Role of homophony avoidance in morphology: A case study from Mixtec. En Santa Barbara papers in linguistics volume 21, 29-39. Santa Barbara: University of California.
Rolle, Nicholas. 2018. Grammatical tone: Typology and theory. Berkeley: University of California. (Tesis doctoral).
Silverman, D. 1997. Laryngeal complexity in Otomanguean vowels. Phonology 14(2). 235-261.
Spencer, Andrew. 1991. Morphological theory: An introduction to word structure in generative grammar. (Blackwell Textbooks in Linguistics). Reino Unido: Wiley Blackwell Publishers.
Yip, Moira. 2002. Tone. (Cambridge Textbooks in Linguistics). Cambridge: Cambridge University Press.
Notas