Resumen: En este trabajo se analizan las alteraciones que pueden ocurrir en el proceso de metilación vía los ciclos de metionina y de folato, dando lugar a disfunciones que se manifiestan en problemas de salud mental, dentro de las cuales se incluye la esquizofrenia. Se discuten las alteraciones en los sistemas neurobiológicos observadas en el espectro esquizofrénico, en particular la transmetilación patológica, y se destacan las investigaciones que contribuyeron a demostrarla, incluyendo las de este grupo de investigación. Se abordan la disfunción mitocondrial, el estrés oxidativo, la proteómica y las regulaciones epigenéticas, como la metilación del ADN. Las disfunciones de la señalización de serotonina y del gen HTR2A participan en su desarrollo. Se han investigado las alteraciones neurometabólicas en cuadros psicóticos, fundamentalmente en indolalquilaminas. Se observó una correlación exhaustiva entre la actividad transmetilante, la hipoactividad de monoaminooxidasa (MAO), la alteración de las MAO intra y extracelulares y la presencia de indolalquilaminas metiladas en orina en varios fenotipos esquizofrénicos, con un 94,1% de actividad de transmetilación superior a la normal. Se demostró in vivo, en conejos, que la N,N-dimetiltriptamina permaneció en el cerebro hasta 7 días después de administrarla, a diferencia de la serotonina y la triptamina. Principalmente, los receptores sigma-1 y 5-HT2a-mGlu2 y los transportadores SERT y VMAT2 permitieron explicar el comportamiento.
Palabras clave: Metilación, Metabolismo del carbono-1, Metilación aberrante, Disfunción mitocondrial, Estrés oxidativo, Vía serotoninérgica, Indolalquilaminas, N,N-dimetiltriptamina.
Abstract: Alterations that may occur in the methylation process via folate and methionine cycles, resulting in dysfunctions evidenced in psychiatric disorders such as schizophrenia are analysed. The changes in neurobiological systems related to the pathogenesis of schizophrenia, in particular pathological transmethylation, are discussed highlighting research that contributed to prove it, including those of this research group. Mitochondrial dysfunction, oxidative stress, proteomics, and epigenetic regulations such as DNA methylation are discussed. Dysfunctions of serotonin signaling and HTR2A gene are involved in the development of schizophrenia. The neurometabolic alteration of schizophrenia was investigated, focusing on indolealkylamines. An exhaustive correlation between transmethylation activity, monoamine oxidase (MAO) hypoactivity, intra- and extracellular MAOs alteration, and the occurrence of methylated indolealkylamines in urine of several schizophrenic phenotypes, with 94.1% transmethylation activity above normal were observed. It was demonstrated in vivo in rabbits that N,N-dimethyltryptamine remained in the brain, even 7 days after administration, unlike serotonin and tryptamine. Mainly sigma-1 and 5-HT2A-mGlu2 receptors as well as SERT and VMAT2 transporters made it possible to explain this behaviour.
Keywords: Carbon-1 metabolism, Aberrant methylation, Mitochondrial dysfunction, Oxidative stress, Serotonergic pathway, N,N-dimethyltryptamine.
Resumo: As alterações que podem ocorrer no processo de metilação através de ciclos de folato e de metionina, resultando em disfunções reveladas em distúrbios psiquiátricos, tais como esquizofrenia, são analisadas. As alterações nos sistemas neurobiológicos relacionadas com a etiopatogenia da esquizofrenia, são discutidas, em particular a transmetilação patológica, destacando as pesquisas que contribuíram para demonstrá-la, incluido as deste grupo de investigação. A disfunção mitocondrial, estresse oxidativo, proteômica e regulação epigenética como metilação do DNA na esquizofrenia são discutidos. As disfunções da sinalização da serotonina e do gene HTR2A estão envolvidas na patogênese. Investigamos a alteração neurometabólica da esquizofrenia, com foco em indolalquilaminas. Houve uma correlação exaustiva entre a atividade transmetilante, a hipoatividade de MAO, a alteração das MAO intra e extracelular, e a presença na urina de indolalquilaminas metiladas em vários fenótipos esquizofrênicos, com 94,1% de atividade de transmetilação acima do normal. Demonstramos in vivo em coelhos como N,N-dimetiltriptamina permaneceu no cérebro 7 dias após administrá-la, ao contrário de serotonina e triptamina. Principalmente receptores sigma-1 e 5-HT2A-mGlu2 , e os transportadores SERT e VMAT2 permitiram explicar o comportamento.
Palavras-chave: Metabolismo do carbono-1, Esquizofrenia, Etiopatogenia, Transmetilação patológica, Disfunção mitocondrial, Estresse oxidativo, Via serotoninérgica, N,N-dimetiltriptamin.
BIOQUÍMICA CLÍNICA
Bases neuroquímicas de la transmetilación aberrante de neuroaminas y su relación con el metabolismo de la vitamina B12 y el ácido fólico
Neurochemical basis of the aberrant transmethylation of neuroamines and its relationship with the metabolism of vitamin B12 and folic acid
Bases neuroquímicas da transmetilação aberrante de neuroaminas e sua relação com o metabolismo da vitamina B12 e ácido fólico
Reconocimiento a la trayectoria del Prof. Dr. Juan Miguel Castagnino†
Recepción: 31 Mayo 2022
Aprobación: 01 Diciembre 2022
La metilación juega un papel importante en numerosos sistemas biológicos, como transducción de señales, biosíntesis, reparación de proteínas, silenciamiento de genes y regulación de la cromatina. La metilación se realiza mediante metiltransferasas que transfieren un grupo metilo de un donor a un aceptor; estas enzimas generalmente utilizan un grupo metilo reactivo unido a azufre como S-adenosil-L-metionina (SAMe, también conocida como AdoMet o SAM) (1) (2). Las diferentes metiltransferasas, dependientes de SAMe, que metilan una variedad de compuestos (3) en el metabolismo humano y de mamíferos en general han sido objeto de esta investigación (4). Se conocen ADN-metiltransferasas (5), ARN-metiltransferasas, metiltransferasas de lípidos, metiltransferasas de proteínas y metiltransferasas de moléculas pequeñas; en estas últimas se hizo especial énfasis (4).
La metionina es la principal fuente de grupos metilo (CH3 equivale a C1), pero éstos también se originan a partir de la conversión de serina en glicina mediante la enzima serina-hidroximetiltransferasa (SHMT) en el ciclo de folato. En realidad, estos procesos tienen lugar vía dos ciclos metabólicos: el de metionina y el de folato, que convergen en SAMe, donante omnipresente de grupos metilo para la transmetilación. El ciclo de metionina se refiere al ciclo de regeneración de L-metionina/ SAMe y permite la transferencia de un grupo metilo vía la regeneración de SAMe (6). SAMe se convierte en homocisteína (Hcy) por desmetilación. La homocisteína, cuando se acumula, puede producir daño neuronal y disfunción cognitiva; además, hay alta proporción de personas con esquizofrenia con hiperhomocisteinemia y el nivel de homocisteína se correlaciona con los síntomas negativos de la esquizofrenia (7). Recientemente se ha confirmado en pacientes con esquizofrenia la hiperhomocisteinemia causada por la deficiencia de folato y vitamina B12, por lo que la homocisteína puede considerarse un marcador de alteraciones del metabolismo vitamínico (7). El desequilibrio redox probablemente no esté directamente relacionado con la hiperhomocisteinemia y se deba a otros procesos patológicos o a un efecto indirecto de Hcy, por ejemplo, en el sistema de defensa antioxidante enzimático (actividad de catalasa: CAT) (7), que requiere una mayor investigación.
En este trabajo se analizarán los cambios que se producen en los ciclos de folato/metionina (metabolismo de C1) que dan lugar a disfunciones que se manifiestan como alteraciones de la percepción en varios cuadros psicóticos, dentro de los cuales se incluye la esquizofrenia.
Es importante ahondar en los procesos neurometabólicos que se alteran en la esquizofrenia para encontrar blancos terapéuticos para el desarrollo de fármacos que podrían, en un futuro, formar parte de los medicamentos elegidos para los tratamientos psicofarmacológicos.
La esquizofrenia, también denominada grupo de las esquizofrenias o espectro esquizofrénico, es un cuadro clínico complejo de etiología multifactorial, que puede llegar a producir graves alteraciones en la percepción, cognición, voluntad y afectividad, con consecuencias directas en la inclusión social. Las primeras manifestaciones de este trastorno suelen darse en la adolescencia o adultez temprana. Su prevalencia global es de aproximadamente 1% (8) (9).
La signosintomatología típica de este cuadro se divide en clusters positivos, negativos y cognitivos (10). Los síntomas positivos, incluidas las alucinaciones y los delirios, muestran la mayor respuesta al tratamiento farmacológico. Por otro lado, los síntomas cognitivos, como la desorganización ideativa, y los síntomas negativos, como la abulia, el aplanamiento afectivo y el retraimiento social, en gran medida no ofrecen buena respuesta a los psicofármacos actualmente disponibles.
De acuerdo con la literatura casi no hay sistema neurobiológico que no haya sido involucrado de alguna manera en la investigación y tratamiento de la esquizofrenia con mayor o menor éxito (11) (12). A manera de revisión se mencionan las alteraciones en los sistemas dopaminérgico (13) (14), serotoninérgico (15) (16) (17) (18) y glutamatérgico (19) (20) seguidas por las correspondientes en los sistemas GABAérgico (21), colinérgico (22) y adrenérgico (23), así como en los niveles de D-aminoácidos (glicina, D-serina y homocisteína), aminas biogénicas y acilcarnitinas (24) (25) (26), esteroides neuroactivos (27), neuropéptidos (somatostatina, oxitocina, vasopresina) (28) y oligopeptidasas (29), proteínas como la proteína de distribución nuclear tipo 1 Ndel1 (NudE-Like 1: del inglés Nuclear distribution protein nudE-like 1; gen: NDEL1) (30), neurotensina (31), colecistoquinina (32) (33) y neurohormonas (34). Además, hay disfunción en el eje hipotalámicohipófiso- adrenal (35), alteraciones en el sistema inmunológico (36) y en la señalización intracelular de iones calcio (Ca2+) (37) (38).
Se destaca la alteración del sistema dopaminérgico, evidenciada a partir de la observación de los síntomas extrapiramidales análogos a los de la enfermedad de Parkinson, que producían las primeras drogas antipsicóticas. Se dedujo, entonces, que eran bloqueantes de los receptores dopaminérgicos centrales; hipótesis reforzada ante la observación de que el tratamiento específico del Parkinson, L-dopa, acentuaba y reagudizaba los cuadros psicóticos en pacientes internados (39). En su momento, este efecto, llamado “neuroléptico”, se pensó indispensable para estabilizar a estos pacientes. Sin embargo, posteriormente se demostró que la actividad de L-dopa puede ser beneficiosa en algunos casos (40).
La “hipótesis dopaminérgica de la esquizofrenia” se basa en: a) La eficacia terapéutica de los neurolépticos (antagonistas dopaminérgicos) (41), b) una correlación positiva entre la concentración del ácido homovainillínico (erróneamente denominado ácido homovanílico; HVA) plasmático (metabolito de la dopamina) y la gravedad de los síntomas psicóticos (42), y c) una mayor densidad de receptores dopaminérgicos D2 revelada por tomografía de emisión de positrones (PET: del inglés positron emission tomography), en particular en el cuerpo estriado (43) (44). En los últimos años, se ha estudiado la modulación dopaminérgica de la transmisión sináptica en la corteza y en el cuerpo estriado (45).
Las deficiencias en el sistema de dopamina resultan de disfunciones de la dopamina en la substantia nigra, la región tegmental ventral, el cuerpo estriado, la corteza prefrontal y el hipocampo (46). La “hipótesis original de la dopamina” establece que la transmisión hiperactiva de dopamina produce síntomas positivos (47). El bloqueo de los receptores de dopamina mediante clorpromazina y haloperidol fue fundamental para el desarrollo de los primeros tratamientos farmacológicos de estos cuadros (48). Sin embargo, la asociación entre los síntomas psicóticos y la hiperactividad de la dopamina fue cuestionada (49). Los síntomas positivos de la esquizofrenia corresponden a alucinaciones y delirios como resultado de una mayor liberación subcortical de dopamina, que aumenta la activación de los receptores D2 y se cree que se debe a una vía cortical perturbada a través del núcleo accumbens. Los síntomas negativos de la esquizofrenia corresponden a una disminución o ausencia de conductas y funciones normales relacionadas con la motivación y el interés, o la expresión verbal/emocional, que resultan de la disminución de la activación de los receptores D1 en la corteza prefrontal y la disminución de la actividad del núcleo caudatus (50). Las alteraciones en los receptores D3 también podrían participar en los síntomas negativos de la esquizofrenia. El dominio de síntomas negativos consta de cinco construcciones clave: aplanamiento afectivo, alogia (reducción en cantidad de palabras habladas), abulia (actividad reducida dirigida a un objetivo debido a una motivación disminuida), asocialidad y anhedonia (experiencia reducida de placer) (50). Los síntomas negativos pueden ocurrir en cualquier momento del curso de la enfermedad. Hasta el 60% de los pacientes puede tener síntomas negativos clínicamente relevantes que requieren tratamiento. Los síntomas negativos pueden ser síntomas primarios, intrínsecos a los procesos neurometabólicos subyacentes a la esquizofrenia; o síntomas secundarios que están relacionados con comorbilidades psiquiátricas o médicas, efectos adversos del tratamiento o factores ambientales (50). Los síntomas negativos secundarios pueden aliviarse como consecuencia de los tratamientos para mejorar los síntomas en otros dominios (es decir, síntomas positivos, síntomas depresivos o síntomas extrapiramidales), así como a través de la reinserción social. En cambio, los síntomas negativos primarios no suelen ofrecer buena respuesta al tratamiento antipsicótico disponible actualmente con antagonistas dopaminérgicos D2 o agonistas parciales de D2. Además, se sabe que las desviaciones dopaminérgicas y serotoninérgicas contribuyen significativamente tanto a los síntomas positivos como a los negativos de la esquizofrenia (46).
La “hipótesis revisada de la dopamina” y evidencias actuales indican una transmisión dopaminérgica hiperactiva en las áreas mesolímbicas, el cuerpo estriado y el hipocampo, así como una transmisión dopaminérgica hipoactiva en la corteza prefrontal de pacientes con esquizofrenia (46) (51) (52). En consecuencia, este cuadro clínico suele asociarse con diversas alteraciones cognitivas y conductuales. Además, la desregulación de la dopamina también se observa en regiones del cerebro que son importantes para el procesamiento emocional, como la amígdala y la corteza prefrontal. Mediante estudios PET se identificaron las diferencias en el contenido de dopamina en la corteza prefrontal, la corteza cingulada y el hipocampo, en pacientes con esquizofrenia versus controles sin trastorno diagnosticado (53).
La dopamina y sus cinco receptores, que se agrupan en dos familias (tipo D1 y tipo D2), modulan funciones a nivel sistémico, tanto en el sistema nervioso central (SNC) como en el sistema periférico. El SNC y el sistema inmunológico son los principales sistemas adaptativos que garantizan la homeostasis, de una manera continua y funcional. Al unirse a sus cinco receptores dopaminérgicos, se ha demostrado recientemente que la dopamina actúa como corregulador del sistema inmunitario y contribuye así a la interacción del SNC y los eventos inflamatorios y como fuente de comunicación entre las diferentes células inmunitarias (54).
Se conocen datos que sugieren que las anomalías heredables de la función dopaminérgica prefrontal y su desregulación son características de las alteraciones neurometabólicas presentes en la esquizofrenia; parecen estar relacionadas con la enzima catecol-O-metiltransferasa (COMT; EC 2.1.1.6) en el procesamiento de la información prefrontal, mediado por dopamina y pueden explicar la memoria operativa patológica en el trastorno (55) (56). El gen COMT se encuentra ubicado en el brazo largo del cromosoma 22, más específicamente en el locus 22q11.2 del mapa genético (57) y consta de seis exones que cubren más de 27 kilobases (kb). En esta región genómica de 27 kb se han descubierto más de 900 variantes genéticas. Este gen COMT codifica a la enzima homónima, cuya función principal es regular los niveles de las catecolaminas, como dopamina, adrenalina y nordrenalina en el cerebro, particularmente en la corteza prefrontal. Esta enzima COMT es responsable del metabolismo de las catecolaminas, a las cuales O-metila mediante transferencia de un grupo metilo desde la S-adenosilmetionina (SAM) a un hidroxilo fenólico, en presencia de magnesio, y así las inactiva. En la corteza prefrontal se realiza más del 60% de la degradación metabólica de la dopamina (58).
Tres SNP (SNP: single nucleotide polymorphisms) de COMT, rs4633, rs4680 y rs4818, están ubicados dentro de la región de codificación central del gen y son responsables de las dos isoformas de la enzima COMT en seres humanos y otros mamíferos: una forma soluble (S-COMT), que se expresa altamente en tejidos periféricos como el hígado, riñones y tracto gastrointestinal, y una forma unida a membrana (MB-COMT: del inglés membrane-bound form) que se expresa en el SNC predominantemente y tiene su dominio catalítico orientado hacia el espacio intracelular en neuronas y células gliales (59). La isoforma soluble de COMT es 50 aminoácidos más corta que la unida a membrana. Pueden existir otras isoformas de COMT que podrían actuar extracelularmente.
El gen COMT contiene una mutación, reciente en términos evolutivos, en la que una guanina (G) es reemplazada por una adenina (A) y que por este SNP rs4680 en el exón 4 cambia la secuencia de aminoácidos en la proteína con la presencia de una metionina (Met) en vez de una valina (Val), en el codón 108 (forma soluble de COMT) o en el codón 158 (forma unida a la membrana de COMT); por eso, este SNP suele denominarse Val108/158Met, simplificado ahora a COMT Val158Met pues la isoforma de COMT unida a membrana es la del cerebro. El gen COMT tiene dos alelos polimórficos asociados con el grado de actividad enzimática de COMT: el alelo Val (valina) o G (guanina) asociado a alta actividad enzimática y el alelo Met (metionina) o A (adenina) asociado a baja actividad enzimática, lo cual da lugar a tres genotipos SNP: genotipo GG o Val/Val homocigota (actividad enzimática alta), genotipo GA o Val/Met heterocigota (actividad enzimática media) y genotipo AA o Met/Met homocigota (actividad enzimática baja). Los polimorfismos del gen COMT determinan la actividad de la enzima COMT y la capacidad de degradar o inactivar a catecolaminas como la dopamina. La enzima que contiene metionina es inestable a 37 °C y su actividad es 4 veces menor que la de la enzima que contiene valina. Los individuos heterocigotas tienen una actividad enzimática que es intermedia con respecto a los homocigotas. Las personas homocigotas Val/Val tienen la enzima COMT hiperactiva, que produce un mayor catabolismo de la dopamina y puede provocar su deficiencia; por el contrario, el genotipo Met/Met da como resultado una enzima hipoactiva que se relaciona con un menor catabolismo, lo cual provoca un exceso de dopamina en la hendidura sináptica que puede estar asociado con diferentes condiciones y rasgos cognitivos (58) (60). El alelo Val, de alta actividad enzimática y por lo tanto hipodopaminérgico, perjudica la cognición y la fisiología prefrontal y produce una activación cerebral ineficiente que se manifiesta por resonancia magnética funcional de imágenes (fMRI: functional magnetic resonance imaging) (61). Los factores genéticos que afecten a la función de COMT pueden también afectar a la función dopaminérgica, pues el gen COMT produce la enzima que cataboliza a la dopamina (55) (56) (58). Por esta razón se ha estudiado la regulación de COMT y los polimorfismos funcionales dentro de su secuencia con respecto a la función cerebral (62).
El gen COMT contiene varios polimorfismos y haplotipos funcionales que han sido identificados como biomarcadores de importancia clínica; los cuatro SNP importantes son: rs4680 (Val158Met), rs6269, rs4633 y rs4818, todos los cuales están relacionados con la actividad dopaminégica y definen haplotipos que influyen en la expresión y actividad de la enzima COMT, regulan la función cognitiva, el estado de ánimo y las vías de percepción del dolor, ya que producen tres haplotipos de alta, baja y moderada sensibilidad al dolor (63) (64). Otros, más inusuales, son rs737865 y rs165599, que se han asociado con diferentes rasgos de personalidad (65).
Se ha sugerido que el polimorfismo funcional Val158Met modula el funcionamiento cognitivo (66): el gen COMT regula los niveles de dopamina en la corteza prefrontal, la cual desempeña funciones de control cognitivo y está involucrada, aunque no exclusivamente, en la organización de la memoria operativa vía procesos ejecutivos centrales. La cognición es la capacidad para procesar y valorar la información obtenida a partir de la percepción, el conocimiento adquirido (experiencia) y las características subjetivas; incluye procesos como el aprendizaje, la comprensión, el razonamiento, los sentimientos, la atención, la memoria, la resolución de problemas, la toma de decisiones, monitorización y el control inhibitorio, la organización mental para alcanzar un objetivo, el control de impulsos, la creatividad y la perseverancia (60). La corteza prefrontal controla las emociones, tanto positivas (felicidad, gratitud, satisfacción) como negativas (ira, celos, dolor, tristeza). Las personas con daños en la corteza prefrontal enfrentan dificultades para controlar las emociones de ira y agresión. La dopamina en la corteza prefrontal regula el control cognitivo, pero dado que sus niveles están controlados por la presencia de los alelos Val y Met, finalmente es el polimorfismo funcional Val158Met (rs4680) el que modula la función cognitiva y se asocia a ciertos endofenotipos de la cognición y la memoria. En particular, los genotipos que tienen el alelo Val de COMT producen un aumento en el catabolismo de la dopamina prefrontal, por lo cual se altera la cognición y la fisiología prefrontal, y por este mecanismo aumenta la susceptibilidad a padecer las alteraciones neurometabólicas evidenciadas en la esquizofrenia (55) (56).
La importancia del polimorfismo funcional COMT Val158Met radica en su influencia en el sistema dopaminérgico, pero no como un factor genético único, sino en su interacción con otros neurogenes y estresores o factores ambientales (67), gen-gen y gen-ambiente, en diversas poblaciones mundiales, que incluyen las nativas (68). El fenotipo epigenético del dolor (interacción gen-ambiente) puede ser un determinante de algunos fenómenos epigenéticos o condiciones clínicas (69). Este polimorfismo funcional ha sido asociado a cambios del flujo sanguíneo cerebral relacionados con el retraso psicomotor en el trastorno depresivo mayor (70), rasgos de la personalidad y trastornos de ansiedad en pacientes con diagnóstico de dependencia a estimulantes como las anfetaminas (71). También se lo ha asociado a una respuesta farmacológica diferencial incluida a los antidepresivos (72) (73), a trastornos de Alzheimer, Huntington y Parkinson y su tratamiento (74), a síntomas afectivos (75) y otras patologías, como conducta agresiva, problemas de aprendizaje, estrés, psicosis, dolor posoperatorio y su tratamiento farmacológico mediante opioides (76), entre otras. A su vez, contribuye a la variabilidad interindividual en la dinámica de sincronización de las oscilaciones neuronales humanas que constituyen mecanismos fundamentales para la cognición mediante la regulación de la comunicación en las redes neuronales (77).
La prolina es un precursor del neurotransmisor glutamato y puede funcionar como un neuromodulador del SNC (78). La hiperprolinemia periférica, que refleja la elevación de prolina en el SNC se ha asociado con trastortrastornos psiquiátricos, entre ellos la esquizofrenia. El gen de la prolina deshidrogenasa (PRODH), que codifica la enzima que cataliza el catabolismo de la prolina, se mapea en el cromosoma humano 22q11.2, una región cuyas alteraciones podrían incrementar el riesgo de padecer esquizofrenia, donde también se encuentra otro gen 22q11.2: COMT. Se estudió la relación entre los niveles de prolina en plasma en ayunas y el genotipo COMT Val158Met sobre los síntomas (positivos, negativos y totales) en pacientes con diagnóstico de esquizofrenia. Se encontró una interacción significativa entre la prolina periférica y el genotipo COMT que influye en los síntomas negativos, así como también en el trastorno bipolar. En pacientes con COMT Val/Val, la prolina alta se asoció con puntajes bajos en la escala para la evaluación de síntomas negativos (SANS: scale for the assessment of negative symptoms), pero SANS altos en pacientes con un alelo Met. Además, las psicosis con síntomas positivos y los déficits en el procesamiento visual, se han asociado con niveles elevados de prolina plasmática en pacientes 22q11DS (22q11 deletion syndrome) que portan el alelo Met de baja actividad. El hecho que la prolina alta tenga efectos opuestos sobre los síntomas por genotipo COMT, puede tener implicaciones para las decisiones terapéuticas (66). El tratamiento con valproato aumenta los niveles de prolina periférica, por lo que se ensayó más exhaustivamente su efecto diferencial, según el genotipo COMT (66).
Como se ha visto, la esquizofrenia se ha asociado con un trastorno del sistema dopaminégico, que está subregulado por las proyecciones de la vía serotoninérgica. Los niveles de dopamina y serotonina están regulados por un sistema de transportadores y enzimas. Recientemente, se evaluó la frecuencia de varios polimorfismos, como el polimorfismo del transportador de dopamina (DAT-VNTR: del inglés dopamine transportervariable number of tandem repeats), el polimorfismo del transportador de serotonina (5-HTTLPR: del inglés serotonin-transporter-linked promoter region), la monoamino oxidasa A (MAOA-uVNTR: del inglés monoamine oxidase A upstream variable number tandem repeat) y la catecol-Ometil transferasa (COMT Val158Met), y su asociación en personas diagnosticadas con esquizofrenia (n=306) versus controles sin trastorno diagnosticado (n=314) (79). Se observó una asociación estadísticamente significativa del polimorfismo MAOA-uVNTR en el grupo de pacientes diagnosticados. Se encontró una diferencia en la distribución del genotipo para COMT Val158Met en mujeres y el polimorfismo DAT-VNTR en toda la muestra, que confirma la participación de los componentes del sistema dopaminérgico en las alteraciones neurometabólicas evidenciadas en la esquizofrenia (79).
Sin duda, en base a lo que se ha mencionado, la dopamina es un neurotransmisor inhibidor cuyo sistema suele alterarse en la patología de la esquizofrenia. Pero no debe ser considerada en forma aislada, sino en relación con los restantes sistemas en juego. Investigaciones recientes han indicado que, además, deben tenerse en cuenta las alteraciones de glutamato, GABA, acetilcolina y serotonina observadas en estos cuadros (46).
La evidencia acumulada de desregulación del sistema glutamatérgico en el cerebro de los pacientes con esquizofrenia ha llevado recientemente a apuntar a varios componentes de la señalización glutamatérgica como nuevos enfoques potenciales para su abordaje farmacológico (80). La hipótesis de la hipofunción de los receptores del ácido N-metil-D-aspártico de glutamato (NMDA: del inglés N-methyl-D-aspartic acid) (Fig. 1) en la esquizofrenia se destacó principalmente en base a los efectos clínicos de los antagonistas de estos receptores, así como por estados psicóticos inducidos por fenilciclidina (antagonista no competitivo del receptor NMDA que reproduce una psicosis similar a la esquizofrenia, con síntomas positivos, síntomas negativos y disfunción cognitiva) (81). Los fármacos dirigidos a aumentar la función de los receptores NMDA en el cerebro podrían mejorar los síntomas negativos y la disfunción cognitiva (82).
La capacidad de los receptores metabotrópicos de glutamato (mGlu) para modular la neurotransmisión glutamatérgica ha atraído la atención para el desarrollo de nuevos antipsicóticos, con resultados prometedores, tanto en estudios preclínicos como clínicos (83). Los receptores mGlu, que constan de ocho subtipos (mGlu1-8) clasificados en tres grupos (Fig. 1) según la homología de secuencia, la transducción de señales y la farmacología, proporcionan una variedad de sitios blanco para modular la función de los receptores NMDA, así como la liberación de glutamato (84).
Los receptores mGlu1-5 están acoplados a Gq/11 y todos los demás subtipos están acoplados a Gi/o. Recientemente se han desarrollado moduladores alostéricos de los receptores mGlu que permiten una selectividad marcada entre los subtipos, lo que facilita la investigación de los efectos de la modulación específica de cada subtipo. En modelos animales preclínicos, los moduladores alostéricos positivos (PAM: del inglés positive allosteric modulators) del receptor mGlu5 del grupo I tienen eficacia en los tres dominios de síntomas de la esquizofrenia (positivo, negativo y cognitivo) (83) (84). Los receptores mGlu5 se expresan ampliamente en el SNC y regulan la actividad de las células alteradas en las psicosis, como las interneuronas GABAérgicas corticales y las células microgliales. Los PAM del receptor mGlu5 tienen el potencial de actuar de manera análoga a los fármacos modificadores de las enfermedades autoinmunes, al restringir la neuroinflamación (85).
Los receptores mGlu5 son altamente funcionales en la vida posnatal temprana y regulan la plasticidad del desarrollo de las interneuronas positivas para parvalbúmina (PV+: del inglés parvalbumin-positive) en la corteza cerebral. Los cambios en las redes perineuronales que envuelven a las células PV+ se han asociado con trastornos del neurodesarrollo. Las redes perineuronales están bajo la regulación de los receptores mGlu5 en el desarrollo de la corteza somatosensorial, lo cual revela un nuevo mecanismo no descripto de regulación de redes perineuronales y llevan al estudio de los receptores mGlu5 y las redes perineuronales en trastornos del neurodesarrollo (86).

(A) Clasificación de los receptores glutamatérgicos en dos grandes categorías: ionotrópicos (iGluR) y metabotrópicos (mGluR). Los iGluR son canales iónicos activados por ligando. Los mGluR (ocho receptores acoplados a la proteína G) son blancos atractivos para el desarrollo de fármacos que modulen la acción y la respuesta del glutamato.
(B) Localización y vías de señalización de mGluR. mGluR1 ymGluR5 se encuentran en las neuronas glutamatérgicas postsinápticas y en las neuronas GABAérgicas; mGluR5 también en la glía. mGluR2se encuentra presinápticamente como homodímero y heterodímero con mGluR4; también mGluR7 y mGluR8. mGluR3 se encuentra en las neuronas glutamatérgicas, GABAérgicas y neuromoduladoras pre y postsinápticas y en la glía. mGluR6 no se muestra pues está restringido a la retina. Los mGluR5 modulan indirectamente la función del receptor NMDA en la neurona postsináptica; los mGluR5 están unidos estructuralmente a los NMDA mediante varias proteínas de andamiaje, como las proteínas Homer (H). La proteína quinasa C (PKC), que se activa por estimulación de mGluR5, induce la excitación neuronal pues fosforila a los NMDA para aumentar su conductancia catiónica. PKC también puede fosforilar a los mGluR5 para modular su función. Otros subtipos de iGluR como AMPA y KA no tienen este vínculo bioquímico y estructural con mGluR5. Vías de señalización corriente abajo de los mGluR: Los mGluR del grupo I se acoplan a la proteína Gq, que estimula a la fosfolipasa C (PLC) y la hidrólisis del fosfatidilinositol-4,5-bisfosfato (PIP2). La hidrólisis de PIP2 da lugar a 1,4,5-trifosfatode inositol (IP3) y diacilglicerol (DAG). IP3 se difunde libremente al retículo endoplásmico (RE) y activa los receptores de IP3 (IP3R) paraliberar Ca2+ al citosol. En cambio, los mGluR de los grupos II y III se acoplan a las proteínas Gi/o e inhiben a la adenilciclasa (AC), lo que afecta las vías de señalización corriente abajo a través de la liberación de las subunidades βγ de la proteína G (Gβγ: del inglés G protein βγsubunits). PKA: proteína quinasa A; cAMP (o AMPc): monofosfato de adenosina cíclico. A diferencia de otros receptores de glutamato, NMDArequiere dos ligandos, glutamato y glicina, para su activación; en reposo, NMDA tiene bloqueo dependiente de voltaje por Mg2+, que al removerse permite la conductancia catiónica. Presenta alta permeabilidad a los iones Ca2+, y menor hacia Na+ y K+. NMDA regula funciones neurológicas como la respiración, la locomoción, el aprendizaje, la formación de la memoria y la neuroplasticidad. En consecuencia, el deterioro estructural y funcional del receptor NMDA puede provocar trastornos neurodegenerativos y cognitivos, incluidos los trastornos psiquiátricos.
La potenciación selectiva del subtipo mGlu5 usando PAM tiene efectos sólidos de mejora de la cognición en modelos de roedores, que son relevantes para la esquizofrenia. Hasta hace poco, se pensaba que estos efectos se debían a la potenciación de la modulación inducida por mGlu5 de las corrientes de los receptores NMDA y la plasticidad sináptica dependiente de estos receptores. Sin embargo, los PAM “sesgados” de mGlu5 que no potencian los efectos de mGlu5 en las corrientes de los receptores NMDA muestran una eficacia similar a la de los PAM de los mGlu5 prototípicos, lo que sugiere que en estas acciones debe haber mecanismos independientes de los receptores NMDA. Ahora se informa que se requiere la activación sináptica de mGlu5 para una forma de depresión a largo plazo en la corteza prefrontal del ratón que es inducida por la activación de los receptores muscarínicos M1 de acetilcolina (mAChR: del inglés muscarinic acetylcholine receptor), que previamente se pensaba que era independiente de la activación de mGlu5 (87). Surge así un mecanismo novedoso mediante el cual los PAM de mGlu5 pueden revertir los déficits en la función y en la cognición de la corteza prefrontal que es independiente de la modulación de las corrientes de los receptores NMDA.
Es interesante que los PAM del receptor mGlu5 puro, sesgados, que no potencian el acoplamiento de los receptores mGlu5 a los receptores de NMDA, carecen de efectos neurotóxicos asociados con los PAM de mGlu5 que acentúan el acoplamiento a los receptores NMDA o tienen actividad agonista alostérica. Esto proporciona un mejor perfil terapéutico para tratar los síntomas similares a los de la esquizofrenia (80).
La evidencia reciente indica que la activación de los receptores mGlu1 modula la liberación de dopamina en el sistema meso-estriatal (85), lo que puede contribuir a sus efectos antipsicóticos (80). Por lo tanto, los PAM de los receptores mGlu1 son prometedores para el tratamiento de los síntomas positivos de la esquizofrenia. Además, los moduladores alostéricos negativos (NAM: del inglés negative allosteric modulators) de mGlu1 parecen eficaces en los modelos de síntomas positivos, pero aún están en las primeras etapas del desarrollo preclínico (84).
Además de los receptores mGlu del grupo I (mGlu1 y mGlu5), los agonistas selectivos de los receptores mGlu del grupo II (mGlu2/3) también inducen efectos antipsicóticos y procognitivos en roedores y pueden ser efectivos en el tratamiento de los síntomas de la esquizofrenia en un grupo selecto de pacientes (80), si bien en algunos ensayos clínicos no tuvieron éxito. Desde entonces, los estudios genéticos implicaron a mGlu2 en los efectos antipsicóticos de los agonistas del grupo II y los PAM de mGlu2 han entrado en ensayos clínicos (84). Los receptores mGlu2 han atraído un interés considerable porque modulan negativamente la señalización del receptor serotoninérgico 5-HT2A en la corteza cerebral. Tanto los PAM de los receptores mGlu2 como los agonistas ortostéricos de los receptores mGlu2/3 muestran actividad tipo antipsicótica en modelos animales, y estos últimos fármacos son inactivos en ratones que carecen de receptores mGlu2 (85). Además, la activación del receptor mGlu3 puede mejorar la cognición en roedores, puede conferir efectos neuroprotectores y, por lo tanto, el agonista del receptor mGlu3/PAM podría proporcionar un enfoque novedoso para el tratamiento de los déficits cognitivos en la esquizofrenia (80) (84). Además, la activación de los receptores mGlu3 aumenta la señalización del receptor mGlu5, respalda la supervivencia neuronal e impulsa a las células microgliales hacia un fenotipo antiinflamatorio (85).
Si bien los receptores de mGlu del grupo III (mGlu4/6/7/8) han atraído menos atención, los agonistas de mGlu4 y los PAM parecen tener eficacia en los tres dominios de síntomas en modelos preclínicos. Por estudios previos, los receptores mGlu4 podrían ser blancos de nuevos fármacos antipsicóticos, mientras que los estudios de los receptores mGlu7 y mGlu8 en modelos animales de psicosis están en sus inicios (85).
Además, los heterodímeros de los receptores mGlu2/4 modulan la neurotransmisión glutamatérgica en la corteza prefrontal en las sinapsis selectivas activadas en la esquizofrenia y, por lo tanto, tienen potencial como nuevos antipsicóticos (80).
Los medicamentos antipsicóticos actualmente disponibles no muestran una eficacia significativa para tratar los síntomas negativos y los déficits cognitivos en la esquizofrenia. Los recientes resultados preclínicos y clínicos sugieren que el blanco farmacológico de los receptores mGlu podría proporcionar un enfoque alternativo para diseñar terapias más seguras y eficaces (80).
La teoría glutamatérgica se ha visto reforzada por varios estudios que establecen que el tratamiento de personas con diagnóstico de esquizofrenia con glicina, D-serina o cicloserina causa mejoría sintomática, lo cual sugiere, en primer lugar, que los agonistas de NMDA son efectivos en el tratamiento de los síntomas negativos persistentes y, en segundo lugar, que los agonistas completos, como la glicina y la D-serina, pueden ser más efectivos que los agonistas parciales como la D-cicloserina (88). Se han propuesto terapias centradas en la glicina, como sarcosina, glicina misma, D-serina y bitopertina. La glicina es un aminoácido no esencial que juega un rol fundamental en la neurotransmisión, tanto inhibidora como excitatoria. En las áreas caudales del SNC, como la médula espinal y el tronco encefálico, la glicina actúa como un potente neurotransmisor inhibidor al unirse a su receptor, GlyR. Sin embargo, la glicina también funciona como coagonista de los receptores de NMDA en la neurotransmisión glutamatérgica excitatoria (89). La concentración de glicina en la hendidura sináptica está finamente regulada por los transportadores de glicina, GlyT1 y GlyT2, para la recaptación del neurotransmisor. GlyT1 es un blanco potencial para la terapia de la psicosis (89). En las últimas décadas, estudios en animales y ensayos preclínicos y clínicos han confirmado la hipótesis de la hipofunción de los receptores NMDA en la esquizofrenia y han sugerido algunos agentes terapéuticos prometedores como los moduladores directos e indirectos del sitio modulador de glicina de los receptores NMDA, glicina, D-cicloserina, D-serina, inhibidores del transportador de glicina 1 (GlyT1) e inhibidores de D-aminoácido oxidasa (DAO o DAAO) (90). Una hipótesis sobre el sustrato neurobiológico del déficit cognitivo en la esquizofrenia destaca el rol de las interneuronas inhibitorias corticales que utilizan ácido γ-aminobutírico (GABA) como su neurotransmisor principal (21) (91) (92) (93). Existe evidencia histopatológica consistente de anormalidades en las neuronas GABAérgicas y sus receptores postsinápticos en las cortezas prefrontal y cingulada anterior (94) (95). La captación y liberación de GABA, la densidad del transportador de GABA, el nivel de una enzima importante en la biosíntesis de GABA: ácido glutámico-descarboxilasa y su expresión de ARNm están disminuidos en el cerebro de personas diagnosticadas con esquizofrenia (46). Los neurocircuitos que responden a estímulos ambientales estresantes, como el eje hipotalámico-hipófisoadrenal y la amígdala, se encuentran desregulados en la esquizofrenia y muestran hipo e hiperactividad (96). Las disrupciones GABAérgicas debilitan las regiones corticales según las evidencias post mortem de la función GABA alterada en las interneuronas positivas para parvalbúmina, los modelos animales de estas anomalías y los datos de neuroimagen con desafío GABAérgico. En consecuencia, se ha planteado que las anomalías de las interneuronas positivas para parvalbúmina en la corteza prefrontal lateral y el hipocampo afectan la función cognitiva y los síntomas positivos respectivamente; en la corteza frontal medial (corteza cingulada anterior dorsal y corteza prefrontal medial dorsal), estas anomalías pueden provocar vulnerabilidad al estrés, aplanamiento afectivo y desregulación de los sistemas de respuesta al estrés (96).
Varios estudios han considerado la función de la colecistoquinina (CCK) en los trastornos neurometabólicos en la esquizofrenia. La CCK es un neuropéptido que está colocalizado con vesículas de dopamina y que actúa como antagonista endógeno; participa en la modulación fisiológica de la percepción del dolor y en la regulación de la actividad dopaminérgica. Las vías dopaminérgicas participan en la respuesta de tipo antidepresiva, desencadenada tanto por inhibidores del catabolismo de encefalina como por antagonistas de los receptores de colecistoquinina CCK-B (97).
Las neuronas GABAérgicas que expresan colecistoquinina (CCK-GABA) son células inhibitorias perisomáticas que regulan las emociones e intervienen en el proceso de cognición. Los efectos conductuales de la activación de las neuronas CCK-GABA sobre la emoción y la cognición se estudiaron en un nuevo modelo de ratón genético interseccional junto con un enfoque quimiogenético (98). Los resultados mostraron que la activación de las neuronas CCK-GABA mediada por clozapina-N-óxido, sólo afectó modestamente el comportamiento emocional, pero acentuó (mejoró) significativamente múltiples comportamientos cognitivos y de memoria, incluido el reconocimiento social, el condicionamiento del miedo contextual, la discriminación contextual, el reconocimiento de objetos y la resolución de problemas. Todo esto implica que las neuronas CCK-GABA podrían servir como un blanco terapéutico potencial para el tratamiento de trastornos cognitivos/ de la memoria (98).
Se han demostrado disminuciones significativas en la inmunorreactividad y sitios de unión de CCK en la corteza frontal y el hipocampo en la necropsia de personas con diagnóstico de esquizofrenia. Polimorfismos del gen del receptor CCK-A (CCK-AR) resultaron estar asociados con la presencia de alucinaciones auditivas, lo que sugiere una notable heterogeneidad de alelos (99). Sin embargo, esto es más complejo que lo presentado, ya que se han analizado recientemente estos fenómenos desde aspectos de genética y transcriptoma, neurofisiología (estudios neurometabólicos y de electroencefalograma) y neuroimagen (estudios de resonancia magnética estructural y funcional y estudio de asociación de transcriptoma-neuroimagen). Los principales hallazgos incluyen polimorfismos genéticos, cambios en los niveles de glutamato, alteraciones electroencefalográficas y anomalías de los fascículos de la sustancia blanca, la estructura cortical y las actividades cerebrales, especialmente en múltiples regiones, incluidas las redes auditivas y del lenguaje (100).
El nivel de glutamato aumenta o disminuye según la región del cerebro en la que se esté midiendo, para lo cual se usa espectroscopía de resonancia magnética y se obtienen glutamato y glutamina. Se suele observar menor nivel de glutamato en las áreas temporal y frontal de las personas diagnosticadas con esquizofrenia que en los controles (101) (102), mientras que ante alucinaciones auditivas se produce un aumento de los niveles de glutamato en el giro temporal superior izquierdo correlacionado con la gravedad de las mismas (101) (103) y con asociación negativa en la corteza cingulada anterior (103). Los pacientes que padecen esquizofrenia y que experimentan alucinaciones verbales auditivas presentan también una señalización glutamatérgica aberrante, manifestada como un mayor nivel de glutamato en la región prefrontal lateral izquierda que el cuadro sin este tipo de alucinaciones (102) (104).
Se propuso que el desequilibrio excitador-inhibidor de glutamato-GABA podría conducir al desarrollo de las alucinaciones auditivas (105) (106), si bien hay controversias al respecto (103). En consecuencia, el desequilibrio Glu-Glu es más plausible entre regiones (interregional), como la frontal y temporal, que dentro de las mismas (intrarregional) (103) (104), lo cual demuestra que los metabolitos glutamatérgicos actúan como mediadores en las alucinaciones auditivas. En concordancia con estos hallazgos, el gen DTNBP1 (dystrobrevin binding protein 1; dysbindin-1) de susceptibilidad a padecer procesos esquizofrénicos interviene en la regulación del nivel de glutamato y su expresión cerebral es menor en las regiones relacionadas con alucinaciones auditivas como el giro temporal superior, el hipocampo y la corteza prefrontal dorsolateral (107) (108) (109) (110). Justamente el lóbulo temporal procesa los recuerdos y los integra con las sensaciones del gusto, el oído, la vista y el tacto. En el giro temporal superior (primera circunvolución del lóbulo temporal; llamada T1) se encuentra el área 22 de Brodmann que contiene al área auditiva de asociación, que recibe información tanto del área auditiva primaria como del tálamo; su función principal es controlar la vista y el procesamiento del sonido, incluyendo el uso del lenguaje.
Las neuronas dopaminérgicas en el mesencéfalo liberan serotonina (46). Los antipsicóticos atípicos que involucran a los receptores de serotonina incluyen agonistas o antagonistas del receptor 5-HT1A, antagonistas del receptor 5-HT2A, agonistas parciales o inversos del receptor 5-HT2c o antagonistas neutrales, antagonistas del receptor 5-HT6 y antagonistas del receptor 5-HT7 (111).
Varias interacciones serotonina-dopamina, que incluyen mecanismos de retroalimentación tanto directos como indirectos, contribuyen a los trastornos neurometabólicos observados en la esquizofrenia. Los antipsicóticos que poseen propiedades agonistas de los receptores serotoninérgicos 5-HT1A, como clozapina y aripiprazol, inducen la neurogénesis del hipocampo y aumentan la dopamina en la corteza prefrontal (112) (113). Estudios recientes revelaron que la activación de los receptores 5-HT1A y de los receptores muscarínicos M1, M4 o M5 previene las alteraciones cognitivas inducidas en modelos animales (114). En consecuencia, la administración prolongada de un activador de 5-HT1A con ligandos de receptores muscarínicos podría ser relevante para el abordaje farmacológico de las alteraciones cognitivas relacionadas con la esquizofrenia; la corteza frontal desempeña un rol fundamental en esta interacción (114).
Los nuevos fármacos antipsicóticos, como la asenapina, aumentan los niveles de dopamina y glutamato en varias áreas subcorticales y corticales (115) (116). Por ejemplo, los receptores mGlu y los receptores NMDA son futuros blancos para nuevos fármacos (117). Una variedad de interacciones dopamina/serotonina, glutamato/ serotonina y acetilcolina/serotonina activan los receptores y las moléculas de señalización en respuesta a los fármacos antipsicóticos y se han observado en varias regiones del cerebro, incluidas las regiones de la corteza prefrontal y límbica (117). El desarrollo futuro de fármacos debe apuntar a moléculas de señalización involucradas en la neurotransmisión de dopamina, glutamato y serotonina, como Akt y glicógeno sintasa quinasa- 3 (GSK-3) (118), así como al control de la síntesis y liberación presináptica de dopamina.
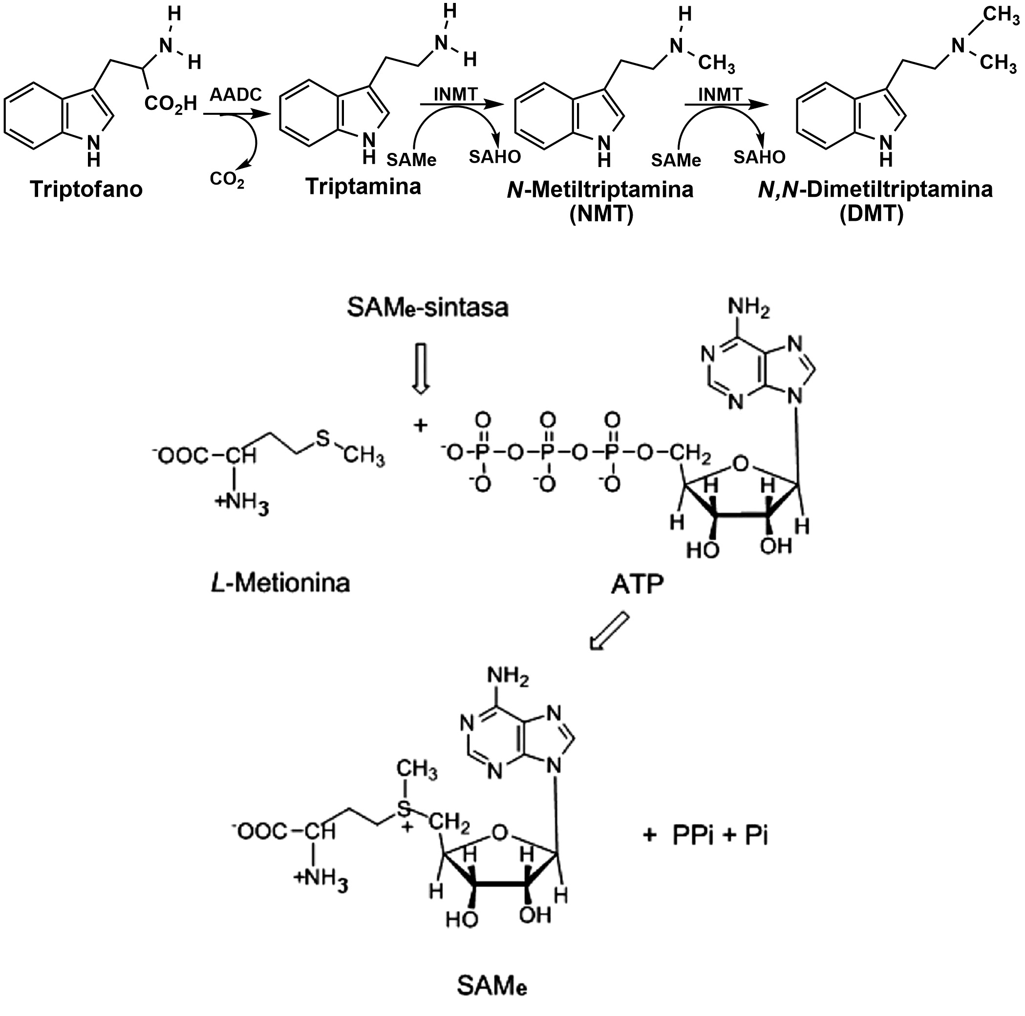
La teoría de la transmetilación patológica fue la primera que dio cuenta de los procesos bioquímicos que intervienen en la esquizofrenia. Fue explorada extensamente por Osmond y Smythies (119), Friedhoff y Van Winkle (120), Stam et al. (121), Fischer (122), Fischer y Spatz (123), Fischer et al. (124), Saavedra y Axelrod (125), Smythies (126) y Ciprian Ollivier et al. (127) (128), entre otros. Esta teoría se basa en la observación de la notable similitud entre las estructuras químicas de los compuestos alucinógenos como mescalina, psilocibina y la dietilamida del ácido lisérgico (LSD) con algunos neurotransmisores (129). Según esta hipótesis, un error congénito del metabolismo podría ser la causa de algunos tipos de esquizofrenia, donde las alteraciones de la percepción son síntomas princeps, debido a la producción y acumulación por trastornos enzimáticos (130) de indolalquilaminas N- y O-metiladas, como: 5-hidroxi-N,N-dimetiltriptamina (N,N-dimetilserotonina o bufotenina), 5-metoxi-N,N-dimetiltriptamina (O-metilbufotenina) y N,N-dimetiltriptamina (DMT) (Fig. 2) (120) (124) (127).
Además, este grupo de investigación ha informado previamente (127) (128) (131) acerca de la relación de estos compuestos con alteraciones de la percepción, no sólo alucinaciones veras, como las clásicas visuales, auditivas, olfativas, gustativas y táctiles, sino también alteraciones perceptuales más sutiles (delusiones) como se pueden observar en la clínica. Se han descripto alteraciones de la noción del paso del tiempo (discronognosia), alteraciones de la percepción del espacio (disestereognosia), alteraciones de la percepción de la gravedad (disgravignosia), alteraciones de la percepción del propio cuerpo (dispropiocepción), etc.

Indolalquilaminas sin metilar, N,N-dimetiladasy O-metil-N,N-dimetiladas.
La mayoría de estos compuestos han demostrado ser alucinógenos potentes en sujetos sanos y, como es simple de observar, se trata de la metilación de neurotransmisores indólicos muy importantes en el funcionamiento del sistema nervioso. Este fenómeno se produce a pesar de que se trata de sustratos preferenciales de la enzima monoaminooxidasa (MAO), tanto así que en voluntarios sanos en los cuales se inyectaron por vía endovenosa en una dosis única alta, a pesar de su alto turn-over, 30 minutos después se recupera sólo el 1% en muestras de sangre (125) (132) (133).
Por vía oral se debe acompañar por un inhibidor de MAO para lograr el efecto alucinógeno, como sucede con el consumo de la bebida chamánica ayahuasca [brebaje chamánico utilizado por tribus amazónicas, cuyo trance alucinogénico tiene interpretaciones religiosas y terapéuticas, constituído por una infusión concentrada de una combinación de una liana (Banisteriopsis caapi) rica en harminas, inhibidores naturales de MAO (IMAO) y Psychotria viridis cuyo alcaloide principal es DMT] (131) (134) (135).
Varios investigadores dentro del campo de la psiquiatría (136) (137) (138), incluido este grupo de investigación (127) (131) (134) (135) (139) registraron aumentos en la excreción urinaria de DMT en personas con esquizofrenia. Sobre estos resultados se ha ahondado posteriormente, en otras investigaciones, mostrando los efectos de la N-metilación aberrante observada, como se presenta en este trabajo.
Si bien los procesos neurometabólicos implicados en la esquizofrenia no se han determinado completamente, las investigaciones realizadas por diversos autores confirman que ocurre: metilación alterada del ADN (disfunción de la expresión génica), metilación alterada de las feniletilaminas (disfunción dopaminérgica), metilación alterada de las indolaminas (disfunción serotoninérgica), transmisión glutamatérgica anormal (disfunción glutamatérgica o en NMDA), función mitocondrial alterada (disfunción mitocondrial), deficiencia de folato (deterioro en el neurodesarrollo y en la neuroplasticidad) y altos niveles maternos de homocisteína. Estos factores, si bien han sido explorados por separado, implican disfunciones en los ciclos del folato y de la metionina, es decir, en el llamado metabolismo de C1 (Fig. 3) que es central en la regulación de la homeostasis de la energía celular y de la metilación, confirmando su rol en la integración de los factores genéticos y ambientales por influir en la regulación epigenética (6).
En base a la llamada “hipótesis de desarrollo” distintos autores han probado que algunas complicaciones perinatológicas, como las asociadas con hipoxia, estrés y/o infección materna durante el embarazo y bajo peso del recién nacido, se asocian con mayor riesgo de trastornos mentales, entre ellos esquizofrenia, en la descendencia (140) (141), si bien no queda claro su rol patogénico. Hay varios mecanismos por los cuales estas complicaciones podrían impactar sobre las regiones cerebrales genéticamente susceptibles, aumentando la vulnerabilidad constitutiva a los eventos de neuromaduración y estresores posteriores en la vida, que pueden a su vez, contribuir al proceso psicótico. Hallazgos repetidos han mostrado un alto grado de asociación de los factores de riesgo pre y perinatales con los trastornos mentales, lo que sugiere que el desarrollo fetal representa un período importante para comprender las secuelas del desarrollo neurológico (140) (142). Los primeros estudios de interacción gen-ambiente, tanto para esquizofrenia como para trastorno bipolar, involucraban genes candidatos y carecían de potencia. El actual uso de muestras más numerosas con datos de todo el genoma y puntajes de riesgo poligénico ofrece mejores perspectivas para revelar interacciones genéticas con exposiciones ambientales que contribuyen al riesgo de estos trastornos (143) (144). Los factores ambientales que se han asociado reiteradamente con la esquizofrenia son: las complicaciones perinatológicas ya mencionadas, infecciones, migración, vida urbana, adversidad infantil y consumo de Cannabis (143). El parto prematuro implica un estrés ambiental extremo asociado con un mayor riesgo de disfunción cognitiva posterior y problemas de salud mental (145). Por lo tanto, la susceptibilidad genética a la esquizofrenia podría conferir una mayor vulnerabilidad al cerebro en desarrollo, posiblemente a través de mecanismos epigenéticos.
La malnutrición durante la gestación está asociada a un doble aumento en la incidencia de esquizofrenia (146). Se ha observado que las deficiencias de folato (vitamina B9) y cobalamina (vitamina B12), así como niveles elevados de homocisteína durante el embarazo (147) en los períodos críticos del desarrollo cerebral (148) (149) confieren un mayor riesgo.
El metabolismo de la cobalamina y el del ácido fólico están fuertemente relacionados y son necesarios en varias vías del SNC humano. La vitamina B12 combinada con ácido fólico y vitamina B6 (piridoxina; grupo de compuestos similares que se interconvierten en sistemas biológicos) participa en varias funciones del organismo. Una deficiencia de vitamina B6 disminuye la absorción de vitamina B12. La vitamina B9 se encuentra en alimentos de origen vegetal y animal. La vitamina B12 se encuentra sólo en fuentes de origen animal. Las necesidades de vitamina B12 y de folato están perfectamente cubiertas con una alimentación variada y balanceada, lo cual es particulamente importante para las embarazadas. Los veganos tienen mayor riesgo de sufrir déficit de vitamina B12, hierro, folatos y vitamina B6 por no ingerir ningún alimento de origen animal y en ocasiones requieren suplementos vitamínicos y supervisión médica de su plan nutricional.
Las funciones del sistema nervioso, corazón y cerebro no se desarrollan correctamente si la cobalamina no se encuentra en los niveles adecuados. La vitamina B12 desempeña un rol clave como coenzima en la síntesis de ADN y en la maduración celular, así como en la síntesis de lípidos neuronales; interviene en la síntesis de ADN, ARN y proteínas, así como en la formación de glóbulos rojos. Mantiene la vaina de mielina de las neuronas y participa en la síntesis de neurotransmisores. Es, también, necesaria para la transformación de los ácidos grasos en energía. Además, interviene en el buen funcionamiento del sistema inmune y en el metabolismo del ácido fólico.
La deficiencia de vitamina B12 y de folatos produce anemia macrocítica (anemia megaloblástica), malformaciones congénitas, enfermedades cardiovasculares, así como neuropatías y manifestaciones psiquiátricas (confusión mental, problemas de memoria, lentitud cognitiva, trastorno del estado de ánimo, apatía, falta de motivación, comportamiento violento, fatiga, alucinaciones visuales y auditivas, delirio y psicosis paranoide) (150). En ausencia de folatos y vitamina B12 hay acumulación de desoxiuridintrifosfato (dUTP), que se incorpora erróneamente a la cadena de ADN en formación; dUTP sustituye al desoxitimidintrifosfato (dTTP). Este proceso causa escisiones, resíntesis y reparaciones. Hay enlentecimiento de la síntesis proteica y alteración del ADN.
Como se muestra en la Figura 3, los niveles de vitamina B12 y de folato están ligados a la vía de la metionina sintetasa, que es la única enzima que convierte 5-metiltetrahidrofolato (5-MTHF) en tetrahidrofolato (THF; forma metabólicamente activa del ácido fólico; coenzima de la timidilato sintetasa), necesario en el metabolismo de un átomo de carbono (ciclos de folato/metionina).
La vitamina B12 es cofactor de la metionina sintetasa que cataliza la remetilación de homocisteína en metionina, precursora de S-adenosilmetionina (SAMe) donante de grupos metilo para la metilación de fosfolípidos, neurotransmisores, aminas, ADN, ARN y proteínas básicas de mielina; si hay carencia de vitamina B12 se inactiva la metionina sintetasa, disminuyendo las reacciones de metilación y aumentando la homocisteína (Fig. 3). Además, se ha observado una asociación entre el riesgo incrementado de padecer esquizofrenia con la prevalencia de defectos congénitos del tubo neural, una consecuencia conocida de la deficiencia de folato que se puede prevenir con la administración periconcepcional de suplementos de ácido fólico (151). La deficiencia de folato también podría afectar el desarrollo del cerebro fetal a través de la acumulación de homocisteína en el suero materno.
La hiperhomocisteinemia ha sido encontrada en personas con diagnóstico de esquizofrenia (152) (153), incluso en pacientes jóvenes y al inicio de su cuadro clínico. La hiperhomocisteinemia materna durante el tercer trimestre del embarazo se ha asociado con un doble aumento en el riesgo de padecer esquizofrenia en la descendencia (154). La homocisteína perjudica la perfusión placentaria, lo que conduce indirectamente a la disminución del transporte de oxígeno al feto (155). Nótese que la hipoxia fetal es un factor de riesgo establecido para esquizofrenia (156). Los niveles elevados de homocisteína durante el embarazo también podrían impactar adversamente en el desarrollo del cerebro fetal a través de mecanismos epigenéticos (146). Apoyando este punto de vista, la restricción prenatal de proteínas o de folato en ratas fetales está asociada con cambios en la metilación y trastornos de conducta durante la vida adulta, que luego pueden ser transmitidos a la descendencia (157) (158).
Las personas hospitalizadas por períodos prolongados suelen acarrear múltiples consecuencias negativas para su estado de salud, incluyendo su estado nutricional. En un estudio sobre 644 personas hospitalizadas con diagnóstico de psicosis sin autonomía motora se pudo demostrar que el 78,3% presentaba deficiencia de vitamina B12 (159). También se demostró deficiencia de folato en otros grupos de personas diagnosticadas con esquizofrenia (160). Existe evidencia creciente que sugiere que la suplementación con vitaminas, en particular con ácido fólico, vitamina B12 y vitamina D, puede ser importante en el tratamiento dentro de ciertos subgrupos de pacientes (161). También, los pacientes que tomaron suplementación de vitaminas y minerales, en particular altas dosis de vitaminas B como B6, B8 y B12, además de sus medicamentos, disminuyeron significativamente los síntomas de la esquizofrenia, en comparación con aquellos que sólo tomaron medicamentos (162).

Disfunciones y deterioros generados en los ciclos del folato y de la metionina, relacionados con la esquizofrenia. Interacciones importantes en ambos ciclos del metabolismo de C1. Los compuestos que tienen efecto sobre el receptor de NMDA son: D-serina (D-Ser), glicina, homocisteína y glutatión; los compuestos de origen dietario son: tetrahidrofolato, vitamina B12 y vitamina B6; los compuestos que tienen una posible participación en esquizofrenia son: L-serina, las enzimas SR y MTHFR, glutatión, homocisteína, tetrahidrofolato y derivados metilados. Se marcan en azul las disfunciones y desequilibrios observados en la etiología de la esquizofrenia.
COMT: catecol-O-metiltransferasa; INMT: indoletilamina-N-metiltransferasa; MTHFR: 5-metiltetrahidrofolato reductasa; NMDA (N-methyl-D-aspartic acid): ácido N-metil-D-aspártico; PLP: potenciación a largo plazo; ROS (reactive oxygen species): especies reactivas de oxígeno; SAMe: Sadenosil-L-metionina; SHMT: serina-hidroximetiltransferasa; SR: serina racemasa.
Como se ha descripto (4), SAMe, la forma activa de la metionina, es el principal donante de metilo para la mayoría de las metiltransferasas que modifican ADN, ARN, histonas y otras proteínas, así como las de moléculas pequeñas. La relación entre folato, SAMe, metionina, homocisteína y otros componentes en estos circuitos de regulación metabólica se resume en la Figura 3.
La metilación del ADN juega un rol importante en varios procesos biológicos. En eucariotas superiores, la metilación del ADN está implicada en la regulación de varios procesos celulares, tales como la estabilidad de la cromatina, imprinting, inactivación del cromosoma X y carcinogénesis (163).
Las regulaciones epigenéticas, como la metilación del ADN, pueden mediar interacciones entre el gen y el ambiente en el nivel del genoma y pueden proporcionar un sustrato potencial para explicar la variabilidad en la severidad de los síntomas y la heredabilidad familiar. La epigenética se refiere a una amplia gama de mecanismos moleculares que incluyen la metilación del ADN, de residuos de citosina en dinucleótidos CpG (citosina-fosfato- guanina) y modificaciones postraduccionales de las histonas. Estos mecanismos alteran la forma en que los factores de transcripción se unen al ADN, modulando su expresión. Los factores ambientales pre y postnatales pueden afectar estos factores epigenéticos, que tienen responsabilidad en la transcripción de ADN a largo plazo y que influyen en el desarrollo de problemas de salud mental (164).
Se han encontrado mutaciones en regiones implicadas en el mecanismo epigenético entre las personas con esquizofrenia. Algunas alteraciones epigenéticas en regiones del ADN han sido previamente vinculadas con anomalías del desarrollo neurológico (163). En las psicosis, algunos autores han encontrado diferencias de metilación en el gen COMT, en el gen reelin (RELN) y en algunos genes implicados en las vías dopaminérgicas, serotoninérgicas, GABAérgicas y glutamatérgicas (165) (166) (167). Se han descripto modificaciones de las histonas, en particular, la metilación de la lisina (K) 4 de la histona 3 (H3K4) (168). El sistema nervioso de los mamíferos contiene dos isoformas principales de la enzima ácido glutámico-descarboxilasa (GAD) que metaboliza el glutamato a GABA y regula sus niveles y señalización, según los tamaños de proteína de 67 y 65 kDa (169) (170). Los transcriptos GAD67 y GAD65 están codificados por dos genes distintos, GAD1 y GAD2 respectivamente, ubicados en diferentes cromosomas en los seres humanos (171). El transcripto GAD67 parece ser el más abundante en la corteza prefrontal y en el hipocampo en las diferentes etapas de la vida. Es un hallazgo consistente la disminución de GAD67 en la corteza prefrontal en personas diagnosticadas con esquizofrenia. Recientemente se encontró que la expresión de GAD67 disminuía en pacientes con esquizofrenia tanto en la corteza prefrontal dorsolateral como en el hipocampo (171).
Los niveles de metilación de H3K4 en el gen GAD1 y otros promotores del gen GABAérgico se incrementan progresivamente durante la maduración de la corteza prefrontal humana desde la etapa prenatal hasta la edad adulta (21). GABA no sólo es importante en la modulación de la excitación en el cerebro adulto, sino que en el cerebro en desarrollo actúa como un factor neurotrófico que participa en la migración, proliferación y maduración celular (172).
Más aún, se han observado niveles disminuidos de la expresión de GAD1 y trimetilación de H3K4 en la corteza prefrontal de pacientes con esquizofrenia, predominantemente en mujeres y en conjunción con un haplotipo de riesgo rs3749034 que es un SNP rico en GC (contenido de guanina y citosina) en la región promotora del gen GAD1 (171). El SNP rs3749034 (sustitución C/T en la región 5’ no traducida del intrón 1) es uno de los pocos polimorfismos de GAD1 con consecuencias funcionales identificadas. El alelo C de este polimorfismo se asocia con una disminución del nivel de transcripción de la enzima, un riesgo genético de aparición de esquizofrenia en la infancia y una disminución del grosor cortical (173) (174) (175). Complementariamente, el alelo T se ha demostrado que está asociado con una menor anisotropía fraccional de la sustancia blanca, lo cual produce el desempeño deficiente de la memoria operativa y del funcionamiento ejecutivo frontal (176). Las variaciones alélicas que rodean al promotor proximal del gen GAD1 se han asociado tanto con la esquizofrenia, la pérdida acelerada de materia gris del lóbulo frontal y alteraciones de la metilación de histonas (177) como con la expresión de GAD67 (171) (173) (174) (178), ya que se observa una disminución en el ARNm de GAD1 de longitud completa (que codifica GAD67) en la corteza prefrontal y otras regiones cerebrales neocorticales (179) (180).
El sitio de inicio de la transcripción de GAD1 se encuentra dentro de una gran isla CpG que abarca una región que se extiende hasta el primer exón (181). El nivel de metilación del ADN en el promotor de GAD1 está regulado por una ADN metiltransferasa I (DNMT1) en las interneuronas GABAérgicas y, lo que es más importante, está inversamente asociado con una expresión disminuida del ARNm de GAD1 en la corteza prefrontal humana (171) (182). El genotipo de riesgo rs3749034 afecta a la corteza prefrontal y al hipocampo a través de diferentes sitios de metilación; está significativamente asociado con el estatus de metilación del sitio CpG cg13612847 en la corteza prefrontal humana y cg17587327 en el hipocampo humano, así como con la expresión de GAD67 y GAD25 en esas regiones cerebrales, sumada a la expresión de GAD25 y el cociente GAD25/GAD67 en la corteza prefrontal dorsolateral (171). Aquellos sujetos con el genotipo G/G asociado al riesgo presentan una mayor expresión de GAD25 y una relación GAD25/GAD67 mayor en comparación con los portadores de alelos menores (183). Ambos, cg13612847 y cg17587327, tienen distintas firmas de metilación en diferentes regiones del cerebro durante el desarrollo normal del cerebro humano. Esos dos sitios CpG están ubicados en las “costas” de la isla CpG cerca del promotor putativo de GAD1 (171).
Además, se han determinado cambios en la metilación de ADN en la corteza prefrontal dorsolateral de pacientes con esquizofrenia (177). Las modificaciones de las histonas y la metilación del ADN representan procesos dinámicos y reversibles centrales que regulan la expresión génica y contribuyen a fenotipos celulares. Las dos isoformas truncadas GAD44 y GAD25 se pueden expresar y funcionar durante el desarrollo temprano del cerebro, pero sólo GAD25 desempeña un rol durante la vida adulta en la función endocrina humana. Recientemente se describieron diez nuevos transcriptos de GAD1 en el cerebro humano derivados de nuevos exones y/o de la omisión de exones (171). Cuatro exones alternativos exclusivos (8A, 8B, I80 e I86) dieron como resultado cuatro transcriptos embrionarios que se expresaron mayormente durante el período fetal del segundo trimestre en el cerebro humano, que disminuyen rápidamente después del nacimiento, y rara vez se expresan en el cerebro adulto (171), en contraposición con la expresión de GAD67 que se expresa durante toda la vida. La mayoría de los eventos de corte y empalme (splicing) del gen GAD1 ocurren durante las etapas fetales del desarrollo del cerebro.
El SNP de GAD1, relacionado al riesgo, fue asociado con una disminución de GAD67, así como con un aumento de las relaciones GAD25/GAD67 y la relación entre el cotransportador de iones sodio, potasio y cloruro 1 (NKCC1: Na+-K+-Cl− co-transporter 1) y el cotransportador de los iones potasio y cloruro 2 (KCC2: K+-Cl− cotransporter 2) NKCC1/KCC2 (184) en el hipocampo de pacientes con esquizofrenia (183). Los datos de secuenciación de ARN indican que la expresión de NKCC1 y KCC2, especialmente KCC2, está muy positivamente correlacionada con la expresión de ARNm de GAD67 tanto en la corteza prefrontal dorsolateral como en el hipocampo. Estos hallazgos sugieren que los genes en la vía de señalización GABA están corregulados dinámicamente durante el desarrollo normal del cerebro. En la esquizofrenia parece haber una expresión persistente de los transcriptos que normalmente se expresan en niveles elevados sólo durante el desarrollo fetal (171).
Se investigó la asociación entre los polimorfismos de la actividad dopaminérgica (rs4680; COMT Val158Met ya mencionado) y GABAérgica (GAD1 rs3749034) en la corteza prefrontal, en diferentes fenotipos (185), entre ellos el desempeño antisacádico. La genotipificación reveló una proporción reducida de heterocigotas COMT Val/ Met y una frecuencia significativamente mayor del alelo GAD1 rs3749034 C en los pacientes diagnosticados con esquizofrenia en relación con los controles (186).
Una disfunción de la red GABAérgica/glutamatérgica en estructuras telencefálicas cerebrales puede estar implicada en los síntomas psicóticos tanto en personas con esquizofrenia como con trastorno bipolar. Esta disfunción puede estar mediada principalmente por una subregulación en la expresión de genes GABAérgicos, como por ej.: GAD67 (gen GAD1) y reelin (gen RELN), asociada con la hipermetilación de sus promotores, es decir, sobreexpresión de ADN-metiltransferasa (DNMT) en las neuronas GABAérgicas; se trata de un componente fenotípico característico de la neuropatología de estos trastornos (187).
Se conocen varios trabajos en roedores y en seres humanos (188) que sugieren que las modificaciones epigenéticas del ADN y de la cromatina inducidas por factores ambientales, como el estrés, pueden contribuir a complejos fenotipos de trastornos mentales. Los pacientes con psicosis expresan un aumento en las ADN-metiltransferasas cerebrales (DNMT1 y 3a) y un aumento de la hidroxilasa de translocación diez-once (TET1: del inglés ten-eleven translocation hydroxylase) (189). DNMT y TET son componentes importantes de la metilación/desmetilación dinámica del ADN que regula la expresión de compuestos clave que participan en la función cerebral (190).
El gen RELN es uno de los más estudiados (191). Existen evidencias que lo implicarían con la neuropatología de la enfermedad, en particular el rol crucial de la glicoproteína codificada en el neurodesarrollo y las anomalías en la metilación y expresión de RELN observadas en algunas poblaciones de pacientes (192). Recientemente se publicó un metanálisis para proporcionar un resultado más completo sobre si los polimorfismos del gen RELN (rs7341475 y rs262355) están asociados con la esquizofrenia. Los resultados mostraron que RELN rs7341475 está asociado con un menor riesgo de esquizofrenia en la población general y en la población caucásica, pero rs262355 está asociado con un mayor riesgo de esquizofrenia sólo en la población caucásica (193).
El aumento de TET participa en la regulación de la metilación/hidroximetilación dinámica del ADN de los genes que se han visto involucrados en una mayor susceptibilidad a padecer esquizofrenia (189).
En resumen, las personas con diagnóstico de esquizofrenia y trastorno bipolar pueden exhibir una subregulación de GAD1, RELN, BDNF y otros genes expresados en las neuronas telencefálicas GABAérgicas y glutamatérgicas. Esta subregulación se asocia con el enriquecimiento de 5-metilcitosina (5-mC) y de 5-hidroximetilcitosina (5-hmC) proximalmente en los dominios de regulación génica en los respectivos genes (194).
El metabolismo de la metionina no sólo puede influir en cientos de reacciones de metilación, sino también regulaciones específicas pueden superar un aumento potencial global de donantes de metilo en algunos tejidos. Más aún, los altos niveles de metionina tienen efectos tóxicos directos y éstos podrían inducir respuestas no específicas relacionadas con el daño neuronal (195).
Dentro de las metilaciones, interesó analizar la formación metabólica aberrante de DMT, que primeramente se identificara en la orina de un grupo de pacientes con diagnóstico de esquizofrenia, como ya se mencionara. Esto involucra la biosíntesis de DMT a partir del aminoácido triptofano (Fig. 4) en las vías serotoninérgicas, cuyas enzimas se conocen y se señalan en la figura. También interesó conocer la actividad de las enzimas monoaminooxidasas (MAO) en su función de desaminación oxidativa, es decir, ver el balance entre formación y descomposición de las indolaminas y, en la medida de lo posible, ver qué factores lo alteran.
Las MAO son flavoenzimas ubicuas altamente conservadas en eucariotas y situadas a nivel subcelular en la membrana mitocondrial externa, ya sea en las terminales nerviosas, en el hígado o en otros órganos (196).
Genéricamente, la enzima MAO [EC 1.4.3.4] (196) (197), como es sabido, cataliza la reacción de desaminación oxidativa de las monoaminas (adrenalina, noradrenalina, dopamina, serotonina, triptamina, tiramina), incluyendo varios neurotransmisores, aminas biogénicas, xenobióticas y dietarias, al aldehído correspondiente, amoníaco y peróxido de hidrógeno (Fig. 5), por lo que tiene una función esencial en la regulación de sus niveles especialmente a nivel de las vesículas sinápticas (sistema nervioso) (198).
Se conocen dos isoformas de las MAO, denominadas MAO-A y MAO-B, que han sido diferenciadas históricamente por la selectividad de ciertos inhibidores de bloquear una u otra de las dos formas; así por ejemplo, la clorgilina bloquea a la MAO-A y el L-deprenilo resulta específico para la MAO-B. También se observa una preferencia de sustrato: MAO-A metaboliza preferentemente a serotonina, mientras que MAO-B tiene preferencia por β-feniletilamina (pero también son sustratos: bencilamina, metilhistamina y la neurotoxina (MFTP) 1-metil-4-fenil-1,2,3,6-tetrahidropiridina). En cambio, tiramina, adrenalina, noradrenalina y dopamina son metabolizadas igualmente por las dos isoenzimas.
La localización tisular de MAO se ha estudiado principalmente en el SNC debido a su rol en el turn-over de las catecolaminas, de la dopamina y de la serotonina, cuya vida media puede verse afectada en muchas patologías neurodegenerativas, como en la enfermedad de Parkinson y en la enfermedad de Alzheimer. La ubicación de MAO dentro de las neuronas no necesariamente corresponde a aquella de su sustrato natural: la isoforma MAO-B se expresa abundantemente en astrocitos y neuronas serotoninérgicas, mientras que la isoforma MAO-A lo hace en las neuronas catecolaminérgicas (199) (200).
En el cerebro, MAO-A tiene un papel crítico en la regulación de la disponibilidad de los neurotransmisores monoaminérgicos para el secuestro vesicular y en su subsiguiente inactivación extrasináptica después de la liberación, tanto para serotonina como para catecolaminas. La desaminación de estos neurotransmisores por MAO inactiva sus funciones fisiológicas y controla eficazmente sus niveles en el cerebro. La MAO hepática tiene un papel defensivo crucial en la desactivación de las monoaminas circulantes o aquellas que, como la tiramina, se originan en el intestino y son absorbidas por la circulación portal. Es decir, cumplen una función fundamental en la homeostasis del sistema nervioso (196).
Los inhibidores selectivos de MAO-A han demostrado ser eficaces antidepresivos, mientras que algunos inhibidores de MAO-B resultaron además beneficiosos en el tratamiento de las enfermedades de Parkinson y Alzheimer. Por lo tanto, es relevante contar con procedimientos precisos para la determinación de las actividades de cada isoenzima MAO en tejidos que puedan contenerlas.
En las investigaciones de los autores del presente trabajo resultó importante determinar la actividad de MAO plaquetaria y MAO sérica. Dado que MAO-B se expresa predominantemente en las plaquetas y linfocitos periféricos, la evaluación de MAO plaquetaria corresponde en realidad a dosar MAO-B, ya que las plaquetas constituyen un modelo periférico de los sinaptosomas centrales serotoninérgicos, pues comparten procesos bioquímicos similares con las neuronas serotoninérgicas. Por lo tanto, MAO plaquetaria es un índice de la actividad serotoninérgica cerebral y ofrece una variedad de perspectivas bioquímicas en neuropsiquiatría (201). En particular, tanto la MAO plaquetaria como la excreción urinaria de indolalquilaminas metiladas son variables que podrían ser tenidas en cuenta a lo largo del seguimiento médico de personas con esquizofrenia.
En la investigación realizada se determinó también MAO sérica que corresponde a un conjunto de aminooxidasas solubles o MAO circulante denominada MAO plasmática o aminooxidasa sérica (AO sérica) o también llamada aminooxidasa sensible a la semicarbazida (SSAO, del inglés semicarbazide-sensitive amine oxidases) o proteína-1 de adhesión vascular (VAP-1, del inglés: vascular adhesion protein-1) (EC 1.4.3.21) (202) (203) que es una aminooxidasa primaria (PrAO, sigla del inglés: primary amine oxidase) (196) relacionada con la barrera hematoencefálica, además de ser la MAO más conocida que actúa intracelularmente. Tiene una distribución ubicua en la naturaleza; se encuentra en animales, plantas, hongos y bacterias. Corresponde a un grupo de enzimas que oxidan a las monoaminas primarias, pero tienen poca o ninguna actividad sobre las diaminas, como histamina, ni sobre aminas secundarias y terciarias. Son cobre (cúprico)-quinoproteínas (2,4,5-trihidroxifenilalanina-quinona) y, a diferencia de la monoaminooxidasa (MAO, EC 1.4.3.4), son sensibles a la inhibición por reactivos del grupo carbonilo, tales como semicarbazida; de ahí su nombre alternativo SSAO (196).
SSAO se encuentra en dos formas: una forma soluble que circula en sangre: SSAO o MAO sérica, que puede metabolizar las aminas extracelulares y una forma unida a membrana: SSAO tisular. Ambas formas catalizan la misma reacción general de desaminación oxidativa de aminas primarias alifáticas, de cadena larga y corta, para dar los correspondientes aldehídos, amoníaco y peróxido de hidrógeno (204).
Hasta hace varios años estas aminooxidasas solubles se mencionaban como MAO plasmática o bencilaminooxidasa, pero para evitar confusiones varios autores la denominan SSAO sérica, aminooxidasa (AO) sérica, o bien, MAO sérica, como se utiliza en este trabajo.
Se estudió el comportamiento de las enzimas MAO plaquetaria y sérica en un grupo de pacientes con esquizofrenia (n=34) frente a controles (205). Tanto la MAO intracelular como la circulante o extracelular metabolizan las aminas circulantes y mantienen así la homeostasis del sistema nervioso, incluyendo el cerebro; existen variaciones de las mismas en personas con cuadros psicóticos primarios. Se efectuó el dosaje de MAO plaquetaria y de aminooxidasa sérica (AO sérica, SSAO o MAO circulante), actividad transmetilante y dosaje de N,N-dimetilindolalquilaminas urinarias: bufotenina y N,N-dimetiltriptamina. También se midió la actividad transmetilante en el mismo grupo de pacientes y controles, ya que cumple un rol esencial en el metabolismo mencionado, a través de la modificación de sustratos, al cambiar su perfil de acción neuroquímica y su vulnerabilidad a MAO. Del interjuego de estos dos procesos depende la homeostasis de los circuitos neuronal y cerebral.
Dado que la actividad de la MAO plaquetaria se encuentra bajo la influencia del género, de la edad, de la etnia, del tabaquismo, del alcoholismo, de las enfermedades neurodegenerativas, de las sustancias psicotrópicas y psicodislépticas, de los medicamentos y del tratamiento con litio o haloperidol, al realizar esta investigación se controlaron estas características en los sujetos bajo estudio y en los controles. En cuanto al alcoholismo, se ha estudiado su influencia sobre la MAO plaquetaria y se demostró que es el tabaquismo y no el alcoholismo, lo que reduce la actividad de MAO-B en personas con consumo concomitante (205).
Se realizaron simultáneamente ensayos neuropsicológicos para evaluar los parámetros psicométricos en los mismos sujetos de estudio. Los niveles urinarios de DMT y bufotenina fueron evaluados por cromatografía gas-líquido-espectrometría de masa y por cromatografía líquida de alta resolución. Las enzimas fueron dosadas por métodos espectrofluorimétricos. Se establecieron relaciones entre los valores estadísticamente significativos de bufotenina urinaria y MAO plaquetaria, de DMT urinaria con MAO plaquetaria y con AO sérica.
Los valores de MAO plaquetaria y los de actividad de transmetilación fueron correlacionados estadísticamente y se logró así categorizar el 91,1% de los 34 sujetos participantes en cuatro fenotipos principales con diferencias significativas entre sí. La marcada disminución de la MAO plaquetaria mostró concordancia con el aumento de bufotenina y DMT, y con la alteración perceptual observada en los ensayos neuropsicológicos. La disminución de AO sérica fue moderada, pero acorde con la actividad transmetilante registrada. Los resultados muestran que las indolalquilaminas metiladas son potenciales marcadores de estado para estas presentaciones clínicas (205).
En el trabajo realizado se observó que un porcentaje significativamente alto de los pacientes en estudio, 73,5% (p<0,01) presentaba un marcado descenso de la MAO plaquetaria (MAO-B), lo cual está de acuerdo con observaciones previas de disminución en algunos desórdenes mentales y neurodegenerativos (206) (207) (208), pero muy particularmente en la esquizofrenia (200). Sin embargo, en un subgrupo de pacientes con diagnóstico de depresión (209) se registraron aumentos de la MAO plaquetaria.
La disminución de MAO-B en personas con esquizofrenia daría una explicación a la concentración de compuestos metilados, pues la MAO circulante que se menciona en el párrafo subsiguiente, no actúa sobre estos compuestos metilados por ser éstas aminas terciarias.
Se procedió entonces al dosaje de MAO sérica, que actúa extracelularmente, para determinar su posible rol dentro de las características de los trastornos psiquiátricos bajo estudio. Se ha observado que la actividad de la MAO sérica (SSAO circulante o plasmática) es estable en adultos sanos (210) y la variación interindividual es pequeña. Sin embargo, se ve alterada ante ciertas condiciones fisiopatológicas, como diabetes mellitus (tipos 1 y 2) (211), enfermedades renales (212) e inflamatorias del hígado, trastornos vasculares, enfermedad de Alzheimer y demencia vascular (213).
Si bien la relación entre la MAO sérica analizada en este estudio y la forma ligada a membrana no es aún totalmente clara (210), en la actualidad sólo es justificable examinar la MAO sérica, ya que el examen de la forma unida a membrana en seres humanos está restringido a técnicas muy invasivas de extracción de tejidos. Por lo tanto, el presente análisis de la actividad de MAO sérica refleja sólo una porción del sistema de SSAO implicada en las anomalías monoaminérgicas en pacientes con esquizofrenia. No obstante, los resultados obtenidos confirmaron el metabolismo monoaminérgico disfuncional en la patogénesis de los trastornos esquizofrénicos, si bien la asociación entre los diferentes trastornos y el metabolismo monoaminérgico requiere continuar investigando, especialmente en lo que respecta a la actividad de SSAO.
Como la MAO sérica actúa extracelularmente, puede considerarse complementaria a la actividad intracelular de la MAO (MAO plaquetaria). Adicionalmente, hay interacción fisiológica directa entre las actividades de ambas MAO, en concordancia con lo encontrado por otros autores (214), razón por la cual fue estudiada en nuestras investigaciones.
En este estudio in vivo se demostró además la presencia de DMT y N,N-dimetilserotonina (bufotenina) en orina de pacientes, como marcadores de la actividad transmetilante o presencia de N,N-dimetilación aberrante. Los resultados obtenidos mostraron que 5,9% de los casos presentaron actividad metilante normal, 38,2% actividad sospechosa (border) y 55,9% anormal, con lo cual en la muestra se encontró un 94,1% de actividad de metilación superior a la normal (metilación aberrante). La producción de compuestos indólicos N,N-dimetilados en el metabolismo serotoninérgico, como: bufotenina y N,N-dimetiltriptamina (DMT), se debe a un desequilibrio funcional de la enzima indoletilamina-N-metiltransferasa (INMT) [EC 2.1.1.49], que fuera detallado en un trabajo anterior (4).
La correlación significativa entre la actividad metilante anómala (N,N-dimetilación aberrante), la hipoactividad de MAO, la alteración de las MAO intra y extracelular y la presencia anormal de indolalquilaminas metiladas en orina indicaría una posible falla neurometabólica evidenciable en varios fenotipos esquizofrénicos (215).

Biosíntesis de DMT a partir del aminoácido triptofano:
1) La descarboxilasa de aminoácidos aromáticos (AADC: del inglésaromatic amino acid decarboxylase) cataliza la formación de triptamina a partir de triptofano;
2) la indoletilamina-N-metiltransferasa(INMT) transfiere un grupo metilo de SAMe (S-adenosilmetionina) a triptamina, dando N-metiltriptamina (NMT);
3) se repite la reacciónanterior con NMT como sustrato, INMT transfiere otro grupo metilo y produce DMT y dos equivalentes de SAHO (S-adenosilhomocisteína)en total.

Reacción catalizada por las enzimas monoaminooxidasas (MAO).
En función de los resultados obtenidos en la fase experimental en seres humanos, creció el interés en conocer el comportamiento in vivo de DMT en comparación con serotonina y triptamina. Para ello, se procedió a realizar la radiomarcación de DMT preparada en nuestros laboratorios, así como la radiomarcación de serotonina y triptamina con el emisor gamma iodo-131 para llevar a cabo estudios a largo plazo, ya que el I-131 se desintegra con una vida media de 8,05 días. Estos estudios cinéticos in vivo se llevaron a cabo en conejos con observación en cámara gamma y consistieron en determinar primeramente si las indolalquilaminas mencionadas pasan la barrera hematoencefálica (BHE) y en tal caso, analizar la captación en el cerebro, el tiempo de residencia y el clearance plasmático para cada uno de estos compuestos. Interesó efectuar la cinética de biodistribución a corto, mediano y largo plazo de indolalquilaminas sin N-metilar y N-metiladas, en conejos (216).
Se analizó la distribución de estos compuestos en diferentes órganos, como: cerebro, corazón, hígado, riñones y vejiga, en cámara gamma en base a la actividad en función del tiempo para los órganos mencionados. Se midió el clearance plasmático y se analizó la excreción de estos compuestos por vía renal y la posible formación de metabolitos mediante análisis cromatográfico, corroborado por espectrometría de masa. Se realizó, además, la determinación y cuantificación de la captación en las principales estructuras cerebrales. Todos los resultados fueron analizados estadísticamente (216).
Por comparación de la captación cerebral, tiempo de residencia y excreción, los tres compuestos (triptamina, serotonina y DMT) mostraron un comportamiento diferente. Serotonina y triptamina fueron rápidamente captadas en el cerebro y totalmente excretadas 10 minutos después de la inyección (DI).
En cambio, la DMT marcada entró en el cerebro 10 segundos DI, cruzó la BHE, se unió a los receptores, y fue parcialmente excretada por orina. Se detectó en la orina dentro de las 24 h DI, y permaneció en el cerebro, donde fue aún detectable 7 días DI (se detectó 0,1%, de la dosis inyectada, en el bulbo olfatorio, en estudios adicionales de disección que se realizaron determinando la radiomarcación en las diferentes subestructuras cerebrales). Así se demostró por primera vez la permanencia de DMT en el cerebro. Se registraron gráficos de actividad vs. tiempo de la captación en cerebro, corazón e hígado para la DMT marcada, así como la actividad de cada subestructura de cerebro de conejo (Fig. 6).
La serotonina marcada con 131-I mostró el mismo comportamiento que la marcada con tecnecio-99 metaestable (Tc-99m). La captación cerebral resultó ser 0,06% de la dosis inyectada de serotonina marcada, con lo cual se demostró de manera concluyente que la serotonina cruza la BHE y entra en el cerebro in vivo en conejos (216).
La DMT marcada que quedó en el cerebro de conejo se concentró en el bulbo olfatorio (BO), seguido por el pedúnculo olfatorio (PO) y por el tubérculo olfatorio (TO) (Fig. 6) (216). El bulbo olfatorio del conejo posee alta concentración de receptores serotoninérgicos especialmente, 5-HT2A. El sistema olfatorio es importante para la vida corriente de los conejos, para la alimentación y los contactos sociales (217). El BO es uno de los objetivos principales del cerebro anterior para la vía ascendente serotoninérgica (218) y se encuentra en el inicio de una cadena jerárquica de mecanismos de procesamiento sensorial (217) (219). Los receptores olfatorios en los mamíferos traducen sus señales a la señalización del monofosfato de adenosina cíclico intracelular (cAMP) (220). El desarrollo de la memoria del olor al entrenamiento del olor condicionado está asociado con la fosforilación de la proteína CREB (del inglés cAMP response element binding) en el BO (221). Este tipo de condicionamiento al olor también se ha vinculado a los receptores serotoninérgicos, β-adrenoceptores y a la modulación extrínseca noradrenérgica (217). La estimulación β-adrenérgica aumenta cAMP en las células mitrales, un efecto que requiere la movilización de Ca2+ inducida por serotonina. Los autorreceptores 5-HT1A desempeñan un papel clave en la regulación de las respuestas del cerebro emocional asociadas con la amígdala (222), que participa en las funciones sociales de los mamíferos. Hay una relación inversa significativa entre la densidad de los autorreceptores 5-HT1A y la reactividad de la amígdala a estímulos amenazantes, lo que refleja los efectos de 5-HT1A en el circuito de retroalimentación negativa (negative feedback loop) que controla la liberación de serotonina (219).
Cierto comportamiento de la DMT no implica al sistema serotoninérgico ni a otros sistemas monoaminérgicos y la producción de fosfatidilinositol acentuada por DMT no fue bloqueada por ketanserina que es antagonista del receptor 5-HT2A (223). Por lo tanto, los receptores serotoninérgicos no son los únicos mediadores de los efectos psicodislépticos de la DMT.

Actividad de cada estructura cerebral nuclear después de administrar DMT marcada. BO: Bulbo olfatorio; PO: pedúnculo olfatorio; TO: tubérculo olfatorio; CC: corteza cerebral; C: cerebelo; MO: medulla oblongata.
DMT, serotonina y triptamina se comportan como agonistas de los receptores serotoninérgicos 5-HT2A (agonismo total) y 5-HT2C (agonismo parcial), de los receptores asociados a las aminas en traza (TAAR: del inglés trace amine-associated receptors) y del receptor sigma-1 (σ1; farmacóforo para el grupo N,N-dimetilo) (Fig. 6).
La DMT es, en pequeñas concentraciones, un agonista de los TAAR, y activa así a la adenilciclasa causando la acumulación de cAMP (224). Los TAAR están involucrados en la detección de estímulos químicos volátiles, junto con, por lo menos, otras dos familias de receptores, por ejemplo: receptores de olor y del tipo vomeronasal (225). La participación de TAAR se ve además corroborada por el hecho que la DMT es un potente desencadenante de la acumulación de cAMP como triptamina o LSD (226). Sin embargo, no está claro si los TAAR están asociados con el efecto psicodisléptico y hay controversias respecto a la participación de los TAAR en la sintomatología esquizofrénica (227). No hay diferencia entre DMT y triptamina en este aspecto para explicar el comportamiento diferencial observado.
DMT también se une a los receptores σ-1 (σ-1Rs) a bajas concentraciones micromolares, inhibe a los canales iónicos de sodio activados por voltaje vía interacciones con σ-1R a concentraciones más altas e induce la hipermovilidad en ratones de tipo salvaje (228). Una importante actividad biológica de la activación de σR es la inhibición de los canales iónicos a través de interacciones proteína-proteína, sin la mediación de proteínas G y proteínquinasas (229) (230).
El farmacóforo de σ-1R incluye un core de alquilamina. Por lo tanto, los compuestos N,N-dimetilados, como DMT, se unen a σ-1RS muy fuertemente (KD = 14,75 µM) y mucho más fuertemente que la triptamina (KD = 431,55 µM). Más aún, DMT modula la actividad chaperónica de σ-1 y afecta a los canales iónicos en concentraciones micromolares (228).
La DMT es un ligando endógeno de sigma-1 (Fig. 7), por lo que esta unión puede explicar el diferente comportamiento de la DMT en el cerebro, frente a triptamina y serotonina. Si bien no está totalmente clara la respuesta intracelular completa iniciada por los receptores sigma, estas proteínas participan en la regulación de una variedad de funciones celulares, tales como: señalización de Ca2+, apertura de canales iónicos, translocación/ activación de proteínquinasas, estado redox celular y liberación de neurotransmisores, así como inflamación, diferenciación celular, supervivencia neuronal y sinaptogénesis (231) (232). Hace unos pocos años, se demostró que el receptor sigma también estaba implicado en el dolor, las reacciones inmunes, la protección del hígado y la proliferación del cáncer (233) (234). El receptor sigma-1 se ha implicado en muchos problemas de salud, que van desde el consumo problemático de alcohol o cocaína hasta la esclerosis lateral amiotrófica familiar juvenil o adulta (ALS: amyotrophic lateral sclerosis) (235).

Topología del receptor sigma-1. Se observan dos hélicesde transmembrana (TM1 y TM2), indicadas como I y II, y el dominio asociado a la membrana. Se indican los extremos N y C (N- y Cterminales) y las posiciones aproximadas de los residuos 112 y 223 (residuo C-terminal).
A diferencia de los receptores clásicos de neurotransmisores unidos a la membrana plasmática, el receptor sigma-1 se localiza principalmente en la interfase entre el retículo endoplasmático y la mitocondria, que se conoce como membrana del retículo endoplasmático asociada con las mitocondrias (MAM: mitochondria-associated endoplasmatic reticulum (ER) membrane) (233) e interactúa específicamente con la chaperona BiP (proteína unida a inmunoglobulina; del inglés binding immunglobulin protein) unida a Ca2+ (Fig. 8). En la MAM, se ha demostrado que los receptores sigma-1 regulan la formación de la espina dendrítica y la arborización de las dendritas (236).
Durante mucho tiempo, el receptor sigma-1 se consideró un receptor huérfano, es decir un receptor cuyo ligando endógeno aún no había sido identificado, hasta que hace unos pocos años, se demostró que la DMT es su ligando endógeno (228), aplicando unión a receptores, marcación por fotoafinidad y desplazamiento, electrofisiología y ensayos de comportamiento en animales knockout. Otros ligandos endógenos potenciales incluyen esteroides tales como: pregnenolona, progesterona y deshidroepiandrosterona (237). Además, los receptores sigma-1 regulan la función del receptor NMDA de glutamato y la liberación de neurotransmisores como la dopamina (238). Por ello, se propuso que participan en ciertas funciones cognitivas como el aprendizaje y la memoria, con frecuencia afectadas en problemas de salud mental (239).
Es muy probable que la DMT endógena se produzca localmente, regulando la actividad del receptor sigma-1. La actividad enzimática de la indoletilamina-N-metiltransferasa (INMT) (4) puede regular al receptor sigma-1 mediante la alteración de los niveles locales de DMT.
Si bien los receptores sigma-1 son proteínas que residen principalmente en el retículo endoplasmático, se pueden trasladar desde la MAM a la membrana plasmática o al área de la membrana subplasmática al ser estimulados por concentraciones más altas (por ejemplo, a aproximadamente 10 veces Ki) de sus ligandos o cuando los receptores sigma-1 están sobreexpresados en las células (229) (240). Esto puede explicar por qué concentraciones más altas de ligandos de estos receptores causan la inhibición de varios canales iónicos en la membrana plasmática y, en particular, por qué la concentración de DMT que inhibe canales, es casi 10 veces más alta que su concentración de afinidad (228), como ocurriría en caso de una superproducción endógena como se ha indicado. Mediante la activación de la translocación de los receptores sigma-1 desde la MAM a la membrana plasmática o membrana subplasmática, altas concentraciones de ligandos pueden permitir que los receptores sigma-1 interactúen directamente inhibiendo las proteínas de los canales (228) (229).
La función del receptor sigma-1 se ha relacionado con la modulación de la actividad de los canales iónicos y de los receptores acoplados a la proteína G. Niveles bajos del receptor sigma-1 se encuentran en todas las regiones del SNC, aunque es más abundante en las neuronas motoras del tronco cerebral y de la médula espinal (240) y posee una relación estrecha con la enzima transmetilante, indoletilamina-N-metiltransferasa (INMT) (EC 2.1.1.49) (4).
Según nuestros resultados, la DMT marcada permanece en el cerebro por mucho más tiempo que la triptamina y la serotonina marcadas. Dado que las tres indolalquilaminas se comportan como agonistas de los tres receptores mencionados, el hecho que la unión de DMT in vivo sea más fuerte que la de triptamina y la de serotonina, puede ser de alguna manera explicado por la unión a los receptores sigma-1 (Fig. 8), corroborado por los valores de constante de disociación (KD) registrados in vitro (228). Sin embargo, la persistencia en el cerebro requiere un mayor análisis.

El receptor chaperona sigma-1 tiene regulación operada por ligando y es sensible a Ca2+. Los agonistas de sigma-1 (como DMT) o la depleción de Ca2+ del retículo endoplasmático disocian sigma-1 de BiP, lo cual conduce a una prolongada señalización de Ca2+ en las mitocondrias a través de los receptores de trifosfato de inositol (IP3). La unión de DMT a los receptores sigma-1 permite explicar el diferente comportamiento que este compuesto presenta in vivo en el cerebro, en comparación con triptamina y serotonina. Además, sigma-1 está implicado en la neuroprotección, la carcinogénesis y la neuroplasticidad.
Experimentos bioquímicos, fisiológicos y de comportamiento demostraron que la DMT es el agonista endógeno en los receptores sigma-1 (228) y también se ha publicado el esquema hipotético de señalización desencadenada por esta unión (227). Al igual que otros agonistas de los receptores sigma-1 (241), la DMT, en concentraciones de afinidad (14 micromolar: 14 µM) (228), podría causar la disociación de los receptores sigma-1 del complejo receptor sigma-1/BiP (231) (241) (Fig. 8) y a concentraciones más altas (100 µM) (228) podría hacer que los receptores sigma-1 se transloquen desde la MAM a la membrana plasmática (240). Al hacerlo, la DMT podría primero desencadenar la actividad chaperona de la forma libre de los receptores sigma-1 en la MAM (241) y a continuación, hacer que los receptores se transloquen a la membrana plasmática para inhibir los canales iónicos dependientes del voltaje (228) (242) (243) (244). No se sabe si el desencadenamiento de la acción de chaperona visto en las concentraciones de afinidad de DMT o la acción inhibidora de los canales iónicos causada por altas concentraciones de DMT, se relacionan con el efecto psicodélico inducido por la DMT. Se necesitan más estudios, particularmente en seres humanos, para dar respuestas a estas cuestiones.
Como en el caso de otras aminas biogénicas, los efectos sinápticos de la serotonina se terminan en un 70% mediante su remoción de la hendidura sináptica por mecanismos de recaptación en las terminaciones nerviosas serotoninérgicas con transporte activo a través de las proteínas transportadoras de serotonina de la membrana plasmática (SERT o 5-HTT) (245). Varios polimorfismos del gen SERT se asocian con trastornos psiquiátricos, como: depresión, ansiedad, deterioro cognitivo, trastornos de la alimentación, consumo problemático de sustancias e insomnio primario (246).
Después de su recaptación en los elementos neuronales mediante SERT, la serotonina puede ser degradada mediante la MAO asociada con las membranas mitocondriales. Alternativamente, la serotonina es almacenada en vesículas por un transportador dependiente de iones hidrógeno (H+) llamado transportador vesicular monoaminérgico 2 (VMAT2: del inglés vesicular monoamine transporter 2) también presente en otras neuronas monoaminérgicas. Aún no se han dilucidado los factores que llevan a almacenar serotonina en lugar de degradarla dentro de las neuronas serotoninérgicas. Por lo tanto, se observó que la mitad de los subconjuntos neocorticales e hipocampales de los elementos neuronales serotoninérgicos que carecen de SERT, coexpresan VMAT2 y el transportador vesicular de glutamato VGLUT3 en las mismas vesículas. Se demostró además que la captación vesicular de glutamato vía VGLUT3 permite el llenado vesicular de serotonina mediante VMAT3, fomentando la liberación de serotonina a partir de las terminaciones tónicamente activas implicadas en la transmisión de volumen. VMAT2 es el blanco de varias drogas psicoactivas, como: anfetaminas, tetrabenazina y reserpina, las cuales finalmente facilitan la depleción de serotonina dentro de las neuronas mediante su liberación en el espacio extracelular (247). Haplotipos específicos en el gen VMAT2 están posiblemente asociados con síntomas de depresión (248).
El bloqueo de la recaptación de serotonina ha dado origen a toda una familia de antidepresivos (ISRS: inhibidores selectivos de la recaptación de serotonina; en inglés: selective serotonin re-uptake inhibitors: SSRI) (249) cuyo mecanismo de acción implica la presencia prolongada de serotonina en la hendidura sináptica. Por ejemplo: la fluoxetina (250) bloquea selectivamente la recaptación de serotonina y aumenta sus niveles en el cerebro; puede producir efectos benéficos en cuadros depresivos por el aumento de la transmisión a través de los receptores 5-HT1A. El sumatriptán (251) es un agonista del receptor 5-HT1D que ha resultado ser útil en el tratamiento de cefaleas por migraña; es un vasoconstrictor de las arterias intracraneales por mediación de los receptores 5-HT1D y 5-HT1B que se encuentran en el músculo liso y en las células endoteliales de estas arterias.
Los procesos activos de captación pueden lograr altas concentraciones de DMT en varias etapas, resultando en concentraciones micromolares en el cerebro. Uno de estos mecanismos se da probablemente a través de un proceso en dos pasos que incluye la captación a través de la membrana plasmática seguida por el secuestro en las vesículas sinápticas. Cozzi et al. (252) demostraron que varias triptaminas alucinogénicas, como DMT y compuestos relacionados, son sustratos de los transportadores, no bloqueantes de la captación, tanto para SERT (o 5-HTT; transportador de serotonina) de la membrana plasmática como para VMAT2 neuronal y dentro de estos transportadores hay sitios de unión separados para los sustratos y para los inhibidores. La DMT interactúa con ambos transportadores con más afinidad que la serotonina misma (252). Por lo tanto, la DMT es transportada dentro del citosol y dentro de las vesículas por SERT y VMAT2 respectivamente (252).
A concentraciones altas, la DMT es tomada por SERT y luego almacenada en vesículas por VMAT2 para ser liberada bajo diversos estímulos. Su permanencia aquí, demostrada en nuestras investigaciones, permitiría además su acumulación. Luego, la DMT puede llegar a los sitios de unión intracelular y almacenarse en las vesículas sinápticas para ser liberada como un genuino neurotransmisor en el espacio sináptico para interactuar con los receptores sigma-1 de la superficie celular, los receptores serotoninérgicos u otros blancos moleculares. Esto explicaría el fenómeno de flash-back del efecto psicodisléptico de los alucinógenos, como la DMT, que reaparece erráticamente pasado cierto tiempo luego del consumo.
Esta combinación de mecanismos puede explicar nuestros resultados sobre la persistencia de DMT a largo plazo en el cerebro, junto con el hecho que el almacenamiento en las vesículas evita la degradación de DMT por la MAO cerebral.
En resumen, esta investigación ofrece un modelo in vivo de lo que podría estar sucediendo en el cerebro con una alta dosis de DMT exógena.
A través de una variedad de maneras, los receptores sigma (sigma-1 y/o sigma-2) modulan fuertemente la concentración de Ca2+ intracelular en las células neuronales y no neuronales (253). La mayoría de estos efectos parecen estar mediados por vías indirectas.
Es de interés que, la localización de los receptores sigma-1 sea de naturaleza dinámica, ya que se translocan desde la MAM a otras áreas de la célula (233), donde pueden interactuar con una gran cantidad de blancos de membrana, como: canales iónicos dependientes del voltaje, receptores ionotrópicos de glutamato y GABA, receptor D1 de dopamina, receptores de acetilcolina muscarínicos y nicotínicos, receptor neurotrófico de tirosina quinasa tipo 2 (TrkB: del inglés tyrosine kinase receptor type 2) y blancos intracelulares como las quinasas (por ejemplo: Src quinasa) y los receptores de trifosfato de inositol (IP3) (233).
Los receptores de serotonina, abundantes en los cuerpos celulares y dendritas de las motoneuronas (254), también se pueden unir a la DMT con alta afinidad (255). La DMT es un ligando endógeno de los receptores sigma-1, donde también se almacena, actuando luego preferencialmente en los receptores serotoninérgicos 5-HT2A y 5-HT2C, conocidos también por ser blancos de compuestos potentemente alucinógenos.
En los presentes experimentos, después de la inyección de DMT se produjeron efectos fisiológicos y bioquímicos a causa de una acción, dependiente de la dosis, en los receptores 5HT2A principalmente, y con menos fuerza, en los receptores 5HT2C. Precisamente se ha analizado (256) el rol de los receptores 5-HT2A, 5-HT2C y receptores metabotrópicos de glutamato 2 (mGlu2: del inglés metabotropic glutamate receptors) en los efectos conductuales de los alucinógenos DMT y N,N-diisopropiltriptamina en ratas y ratones, llegando a la conclusión que el receptor 5-HT2A juega un rol importante en la mediación de los efectos de ambos compuestos, mientras que los receptores 5-HT2C y mGlu2 probablemente modulan, en cierto grado, los efectos de estímulo discriminativo de ambos compuestos.
Los receptores serotoninérgicos 5-HT2A y los de glutamato mGlu2 participan en las alteraciones neurometabólicas que se han observado en la esquizofrenia y otros trastornos psicóticos, así como en el mecanismo molecular de acción de drogas alucinógenas (257). Los receptores mGlu2 y 5-HT2A forman un complejo heterodimérico funcional específico en la corteza cerebral, a través del cual los ligandos de cada receptor modulan el patrón de acoplamiento de las proteínas G en las células vivas. Es necesario el segmento que contiene los dominios específicos de hélices de transmembrana TM4 y TM5 de mGlu2 para que este receptor se ensamble con 5-HT2A y forme el heterocomplejo (258) (259).
Este complejo 5-HT2A-mGlu2 desencadena respuestas celulares únicas cuando es blanco de compuestos alucinógenos y la activación del receptor mGlu2 suprime la señalización y las respuestas conductuales específicas del alucinógeno (260). En el cerebro humano post mortem de sujetos diagnosticados con esquizofrenia que no han recibido tratamiento farmacológico, el 5-HT2A está sobrerregulado y el receptor mGlu. está subregulado, un patrón que podría predisponer a la psicosis. Estos cambios en la regulación indican que el complejo 5-HT2A-mGlu2 puede estar involucrado en los procesos corticales que se suponen alterados en la esquizofrenia, y por lo tanto, es una vía de investigación posible para el desarrollo de drogas que puedan aliviar estos cuadros (258).
Así quedó validado el heterocomplejo 5-HT2A-mGlu2 como necesario para los efectos conductuales inducidos por compuestos alucinógenos y se puso en evidencia un rol potencial para este complejo heteromérico en las alteraciones de la cognición y la percepción observadas en personas con diagnóstico de esquizofrenia (259).
Por otra parte, los receptores 5-HT2A y mGlu2 están generalmente acoplados a las proteínas Gq/11 y Gi/o respectivamente. Se demostró que los agonistas alucinogénicos de 5-HT2A (como LSD, mescalina y psilocibina) activan a ambas proteínas Gq/11 y Gi/o sólo cuando este receptor forma el heterocomplejo con mGlu2 (258) (261); esto fue confirmado in vivo. La sacudida de cabeza es una respuesta conductual que es provocada por alucinógenos y está ausente en ratones 5-HT2A-KO (261). Además es abolida en ratones mGlu2-KO (262), lo que sugiere que el complejo 5-HT2A-mGlu2 es necesario para las respuestas conductuales inducidas por agonistas alucinogénicos de los receptores 5-HT2A, como la DMT (Fig. 9).
En nuestro trabajo (205) (215), los efectos “psicotomiméticos” de DMT se produjeron a través de la activación excesiva (una “sobrecarga”) de los receptores 5HT2A, actuando sin duda como complejo 5-HT2A- mGlu2, y por lo tanto con una sobrerregulación de 5-HT2A y una subregulación de mGlu2. Hubo activación de la corteza prefrontal y cambios superpuestos en las regiones cortical, estriatal y talámica del cerebro.
La diafonía funcional observada entre los componentes de los heterocomplejos de receptores acoplados a proteína G, como el complejo receptor 5-HT2A-mGlu. (258), proporciona un escenario único para el diseño racional de nuevos fármacos terapéuticos.
Cuando la DMT se une a los receptores 5-HT2A, inhibe la captación de serotonina y disminuye de ese modo la actividad inhibidora de esta última, lo cual resulta en un aumento del estado de alerta y de excitación. Otra teoría afirma que la importante actividad de la DMT tiene lugar en las dendritas proximales de las células piramidales de nivel V, ya que esta es la zona del cerebro con la mayor concentración de receptores 5-HT2A. Las consecuencias pueden ser muy importantes e inducir alteraciones en la migración de estas células.

Importancia del heterocomplejo funcional mGlu2-5-HT2A en la corteza cerebral (y en cultivos de tejidos). A través de este complejolos ligandos de serotonina y de glutamato modulan el patrón de acoplamiento de las proteínas G en las células vivas. Sacudida de cabezade ratones: respuesta conductual provocada por alucinógenos: A: Ausente en ratones 5-HT2A-KO y en ratones mGlu2-KO. B: Hay respuesta enpresencia del complejo mGlu2-5-HT2A. Se necesita el heterocomplejo para la alucinación (demostrado in vivo).
Abreviaturas: mGlu2: receptor metabotrópico de glutamato 2. HTR: del inglés head-twitch response: es una sacudida de cabeza que ocurre en ratones y ratas después que es activado el receptor de serotonina 5-HT2A.
La ocupación permanente por DMT del receptor en la neurona postsináptica puede conducir a cambios estructurales en estos receptores, tal que los procesos bioquímicos desencadenados a través de las señales intracelulares de los mensajeros, conducentes a cascadas bioquímicas, sean probablemente modificados.
De investigaciones de los autores del presente trabajo han surgido resultados como la estratificación de un conjunto de pacientes con diagnóstico de esquizofrenia en cuatro fenotipos principales en base al grado de N,N-dimetilación aberrante en las indolalquilaminas, la hipoactividad de la MAO plaquetaria, la alteración de las MAO intra y extracelular y la presencia anormal de las indolalquilaminas metiladas en orina. Se pueden así explicar las posibles alteraciones neurometabólicas en varios fenotipos esquizofrénicos usando estos parámetros como eventuales biomarcadores.
Además, la radiomarcación de DMT permitió determinar que este compuesto, junto con la serotonina y la triptamina, pasan la BHE, y sólo es la DMT la que permanece en el cerebro por al menos 7 días, lo que puede explicar las consecuencias de este comportamiento.
La tendencia actual de las investigaciones básicas es buscar marcadores genéticos y epigenéticos específicos de las alteraciones neurometabólicas de la esquizofrenia con la perspectiva de lograr una mejor precisión diagnóstica, estratificación de subtipos y evaluación de la respuesta al tratamiento, junto con el desarrollo de nuevas técnicas de laboratorio para hacer posible el uso clínico de esos biomarcadores (263).
Asimismo, se buscan perfiles epigenéticos periféricos para delinear subtipos independientemente de las manifestaciones fenoménicas, como se ha realizado recientemente en pacientes en base a la metilación de ADN obteniendo dos patrones distintos de perfiles de metilación (264). La identificación de estos subtipos diferentes de esquizofrenia con características moleculares, cerebrales y clínicas únicas permite considerarlos como un potencial punto de partida para el desarrollo de terapias farmacológicas individualizadas (264).
Si bien se han estudiado muchos biomarcadores potenciales, los más prometedores y clínicamente relevantes parecen ser los marcadores de inflamación, biomarcadores de neuroimagen, factor neurotrófico derivado del cerebro, proteína C reactiva (CRP: del inglés C-reactive protein), marcadores genéticos/epigenéticos y análisis del habla (265).
Otro aspecto que se está estudiando hace unos años es la disfunción mitocondrial observada en muestras de personas con esquizofrenia (266). La función mitocondrial normal es necesaria para que haya desarrollo y plasticidad neuronal adecuados, por lo que su anomalía podría dar lugar a la interrupción del desarrollo cerebral. La disfunción mitocondrial puede conducir a perturbaciones en el buffering de calcio y en la fosforilación oxidativa, aumento de la producción de especies reactivas de oxígeno y factores apoptóticos, que pueden, a su vez, afectar a los procesos neuronales, tales como la síntesis de neurotransmisores y la plasticidad sináptica (267). Los estudios de proteómica en el cerebro y los tejidos periféricos de pacientes con esquizofrenia han proporcionado evidencia considerable y se han identificado las “huellas dactilares” de los biomarcadores correspondientes a dichas vías (267).
Análisis ultraestructurales de neuronas y de células gliales en pacientes con diagnóstico de esquizofrenia han revelado signos de degeneración mitocondrial y disminución del número de estas organelas en la corteza límbica anterior, corteza prefrontal, putamen y núcleo caudado (268). Un análisis paralelo proteómico, metabonómico y transcriptómico en cerebros post mortem reveló anomalías relacionadas con el metabolismo mitocondrial y el estrés oxidativo (269).
Las investigaciones sugieren que una desregulación de los sistemas redox, neuroinmune y glutamatérgico (que forman un “eje central”) debida a factores de riesgo genéticos y ambientales a principios de la vida podría contribuir a las anomalías de las interneuronas de parvalbúmina y la materia blanca en la esquizofrenia, impactando eventualmente en la cognición, competencia social y comportamiento afectivo a través de la función anormal de los micro y macrocircuitos (270). El desequilibrio de los micronutrientes prenatales puede perturbar el metabolismo de C1 y aumentar el riesgo de trastornos mentales (271), como se ha mencionado en ítems anteriores. El exceso de metionina prenatal produce, en ratones, fenotipos de comportamiento homologables a algunos síntomas psicóticos. Sin embargo, se desconoce si la programación en el útero o el cuidado temprano en la vida median estos efectos. Recientemente se demostró que la metionina produce en los primeros años de vida cambios profundos en los componentes de la vía C1 del cerebro, así como en la transmisión de glutamato, la función mitocondrial y el metabolismo de los lípidos. El análisis bioinformático que integra datos de metabonómica y transcriptómica revela desregulaciones de la transmisión de glutamato y el metabolismo de los lípidos, e identifica vías perturbadas de metilación y reacciones redox. Asimismo, se identificaron metabolitos como potenciales biomarcadores tempranos para defectos del desarrollo neurológico (271).
Si bien la esquizofrenia presenta una heredabilidad de alrededor del 80%, lo que sugiere una influencia biológica significativa, existe un vasto conjunto de exposiciones ambientales y factores estresantes que se han implicado en el desarrollo de este cuadro clínico, como las infecciones perinatológicas, las complicaciones obstétricas, el trauma infantil, la vulnerabilidad sociocultural, los fenómenos migratorios y la exposición al Cannabis (272). Se postula que los factores epigenéticos, así como los ARN reguladores no codificantes, median los efectos de estos factores estresantes ambientales. Se han analizado las marcas epigenéticas más conocidas, incluida la metilación del ADN y la modificación de histonas, junto con los mediadores de ARN emergentes del estado epigenómico, incluidos los miARN y los lncARN (del inglés long noncoding RNAs; >200 nucleótidos), y su potencial colectivo para implicarse en los procesos alterados en este cuadro clínico, evidenciable a través del análisis post mortem del tejido cerebral (272). Dado que los tejidos periféricos, como la sangre, la saliva y el epitelio olfativo, tienen la misma composición genética y están expuestos a muchas de las mismas exposiciones ambientales, también se hicieron algunos estudios que respaldan la aplicación de tejidos periféricos para el descubrimiento de biomarcadores epigenómicos.
La evidencia acumulada sugiere que la regulación epigenética del genoma puede mediar en interacciones dinámicas gen-ambiente a nivel molecular al modular la expresión de distintos fenotipos clínicos a través de factores de transcripción. Muchos de los hallazgos revelaron asociaciones con modulaciones epigenéticas de genes que regulan la neurotransmisión, el neurodesarrollo y la función inmune, así como la expresión diferencial de miARN (por ejemplo: miR-34a, miR-7 y miR-181b sobrerregulados) (164).
Dado que la esquizofrenia es una compleja combinación de componentes genéticos, del neurodesarrollo y ambientales, como se ha visto, se trata de uno de los trastornos humanos más difíciles de descifrar, no sólo a nivel molecular. Carece de una etiología clara y posee una herencia poligénica sustentada por genes pleiotrópicos. Después del último siglo de investigación en esquizofrenia, ninguna de las hipótesis propuestas, como las teorías dopaminérgica, glutamatérgica, serotoninérgica y del neurodesarrollo, puede sostenerse por sí misma, sino cuando se combinan. Por lo tanto, parecería estar claro que “un solo biomarcador para la esquizofrenia” no es posible.
En estos años, los estudios de perfiles proteómicos también han demostrado que la disfunción de los oligodendrocitos juega un rol pivotal en la esquizofrenia como anteriormente se propuso (273) y consistente con los hallazgos transcriptómicos.
Desde comienzos del siglo XXI, el desarrollo de tecnologías genómicas ha permitido una comprensión más profunda de las bases genéticas de las enfermedades y se han informado varios hallazgos genéticos en los trastornos psiquiátricos (274), desentrañando genes candidatos a ser identificados como factores de riesgo predisponentes, como DISC1 (del inglés disrupted in schizophrenia 1: alterado en la esquizofrenia 1) (275), involucrado en el desarrollo neuronal y la formación de sinapsis. En un trabajo reciente, se indicó que los genes candidatos más estudiados eran GRIN1, GPM6A, SEPTIN4, TPH1, TPH2, CACNA1C, CACNB2 y BCL9 (276).
En el estado actual del conocimiento sobre este tema, debe reconocerse que los problemas de la psiquiatría para el diagnóstico y tratamiento de la esquizofrenia y los trastornos comórbidos están lejos de resolverse.
La metilación juega un papel importante en numerosos sistemas biológicos. Se realiza mediante metiltransferasas, algunas de las cuales utilizan como donante de metilo a S-adenosil-L-metionina (SAMe, AdoMet o SAM). Estos procesos tienen lugar a través de dos ciclos metabólicos: el de metionina y el de folato, que constituyen el llamado metabolismo del C1. En este trabajo se han analizado las alteraciones que pueden ocurrir en este metabolismo dando lugar a disfunciones evidenciables en algunos trastornos mentales, como la esquizofrenia.
Primeramente se analizaron los sistemas neurobiológicos alterados en la esquizofrenia: los sistemas dopaminérgico, serotoninérgico, glutamatérgico, GABAérgico, colinérgico y adrenérgico. Asimismo, se revisó la implicancia de aminoácidos (glicina, D-serina y homocisteína), esteroides neuroactivos, neuropéptidos, neurotensina, colecistoquinina y otros, incluyendo la disfunción en el eje hipotalámico-hipófiso-adrenal, alteraciones en el sistema inmune y en la señalización intracelular de Ca2+.
Las investigaciones de los autores del presente trabajo llevaron a demostrar que en varios fenotipos ocurre una N,N-dimetilación aberrante en las indolaminas de la vía seotoninérgica. Para poder comprender esta metilación aberrante se deben tener en cuenta las disfunciones que han sido observadas en personas con esquizofrenia, estudiadas por diversos autores, que implican el metabolismo de C1: metilación alterada del ADN, metilación alterada de feniletilaminas, metilación alterada de indoletilaminas, transmisión glutamatérgica anormal, función mitocondrial alterada, deficiencia de folato y altos niveles maternos de homocisteína.
La disfunción mitocondrial y el estrés oxidativo en la esquizofrenia también conducen a perturbaciones que afectan los procesos neuronales. Se conocen, además, polimorfismos de promotores génicos que contribuyen a las alteraciones neurometabólicas observadas en estos cuadros clínicos.
En los últimos años ha habido un resurgimiento de la influencia del sistema serotoninérgico para explicar los trastornos mentales como la esquizofrenia. Es por eso que en este trabajo se encaró la importancia de los receptores serotoninérgicos, en particular, el receptor 5-HT2A y los mecanismos epigenéticos de la señalización de serotonina, ya que existen evidencias que indican que las disfunciones de la señalización de serotonina y del gen del receptor 5-HT2A (HTR2A), así como también la hipoactividad del gen del transportador de serotonina (5-HTT), epigenéticamente definida, están involucradas en la producción de alteraciones neuroquímicas en la esquizofrenia.
Este grupo de investigación ha estudiado las indolalquilaminas que participan en las alteraciones de la percepción, en personas que han sido diagnosticadas con esquizofrenia frente a controles, y en animales de experimentación (conejos). Este estudio in vivo demostró fehacientemente la presencia de DMT y bufotenina en orina de pacientes como marcadores de la actividad de N,N-dimetilación (metilación aberrante). Los resultados obtenidos mostraron un 94,1% de actividad de metilación superior a la normal.
Los estudios en conejos mostraron la permanencia de DMT en el cerebro 7 días después de la inyección del compuesto marcado con el emisor gamma iodo-131 (vida media de 8,05 días). También se demostró que las tres indoletilaminas, serotonina, triptamina y DMT, atravesaron la BHE. El diferente comportamiento de la DMT en el cerebro, con respecto a la serotonina y a la triptamina, puede explicarse por el agonismo de DMT (ligando endógeno) con los receptores sigma-1 (farmacóforo para el grupo N,N-dimetilo). La actividad enzimática de la indoletilamina-N-metiltransferasa (INMT) puede regular al receptor sigma-1 mediante la alteración de los niveles locales de DMT.
En el trabajo de los autores del presente trabajo, los efectos ‘psicotomiméticos’ de DMT se produjeron a través de la activación excesiva (una “sobrecarga”) de los receptores 5HT2A, actuando sin duda como el complejo heteromérico 5-HT2A-mGlu2 y, por lo tanto, con una sobrerregulación de 5-HT2A y una subregulación de mGlu2. Hubo activación de la corteza prefrontal y cambios superpuestos en las regiones cortical, estriatal y talámica del cerebro.
La persistencia en el cerebro se puede explicar, además, por el hecho de que la DMT y otras N,N-alquiltriptaminas son sustratos de transportadores, tanto para el transportador de serotonina de membrana plasmática (SERT o 5-HTT) como del transportador 2 de monoaminas a vesículas (VMAT2). Además, el almacenamiento en vesículas impide que la DMT sea degradada por la MAO. Más aún, en altas concentraciones la DMT es captada por SERT y se almacena en vesículas por VMAT2 para ser liberada bajo estímulos apropiados.
Es importante destacar que la esquizofrenia es una entidad heterogéneamente definida, que afecta diferentes esferas de la vida. Para que la atención integral de las personas que la padecen sea eficaz se deben abordar las dimensiones afectiva, social y cultural, de manera conjunta entre diferentes disciplinas de la salud. Actualmente hay evidencia suficiente para sostener que la evolución en las personas con diagnóstico de esquizofrenia no es necesariamente defectual y es tanto más favorable cuanto más integrada sea la estrategia terapéutica desplegada, de la cual las intervenciones psicofarmacológicas son solamente una de sus aristas (277).
En este trabajo se ha tomado en cuenta específicamente la dimensión biológica, sin desconocer el resto de los aspectos que hacen al proceso salud-enfermedad. A la fecha de publicación de este artículo los fármacos disponibles han demostrado tanto una eficacia limitada como un perfil de efectos adversos problemático. Se espera, por lo tanto, que lo analizado aquí aporte perspectivas que permitan en el futuro el desarrollo de nuevas terapias farmacológicas, las cuales al integrarse a los tratamientos interdisciplinarios, contribuyan a mejorar las condiciones de vida de quienes atraviesan este padecimiento.
Conflictos de intereses: Los autores declaran no tener conflictos de intereses respecto del presente trabajo.
Los autores agradecen al Ministerio de Ciencia, Tecnología e Innovación (MINCYT, Argentina) por el acceso a la biblioteca virtual. ABP es Investigadora Superior de CONICET.
abpomilio@sinectis.com.ar

(A) Clasificación de los receptores glutamatérgicos en dos grandes categorías: ionotrópicos (iGluR) y metabotrópicos (mGluR). Los iGluR son canales iónicos activados por ligando. Los mGluR (ocho receptores acoplados a la proteína G) son blancos atractivos para el desarrollo de fármacos que modulen la acción y la respuesta del glutamato.
(B) Localización y vías de señalización de mGluR. mGluR1 ymGluR5 se encuentran en las neuronas glutamatérgicas postsinápticas y en las neuronas GABAérgicas; mGluR5 también en la glía. mGluR2se encuentra presinápticamente como homodímero y heterodímero con mGluR4; también mGluR7 y mGluR8. mGluR3 se encuentra en las neuronas glutamatérgicas, GABAérgicas y neuromoduladoras pre y postsinápticas y en la glía. mGluR6 no se muestra pues está restringido a la retina. Los mGluR5 modulan indirectamente la función del receptor NMDA en la neurona postsináptica; los mGluR5 están unidos estructuralmente a los NMDA mediante varias proteínas de andamiaje, como las proteínas Homer (H). La proteína quinasa C (PKC), que se activa por estimulación de mGluR5, induce la excitación neuronal pues fosforila a los NMDA para aumentar su conductancia catiónica. PKC también puede fosforilar a los mGluR5 para modular su función. Otros subtipos de iGluR como AMPA y KA no tienen este vínculo bioquímico y estructural con mGluR5. Vías de señalización corriente abajo de los mGluR: Los mGluR del grupo I se acoplan a la proteína Gq, que estimula a la fosfolipasa C (PLC) y la hidrólisis del fosfatidilinositol-4,5-bisfosfato (PIP2). La hidrólisis de PIP2 da lugar a 1,4,5-trifosfatode inositol (IP3) y diacilglicerol (DAG). IP3 se difunde libremente al retículo endoplásmico (RE) y activa los receptores de IP3 (IP3R) paraliberar Ca2+ al citosol. En cambio, los mGluR de los grupos II y III se acoplan a las proteínas Gi/o e inhiben a la adenilciclasa (AC), lo que afecta las vías de señalización corriente abajo a través de la liberación de las subunidades βγ de la proteína G (Gβγ: del inglés G protein βγsubunits). PKA: proteína quinasa A; cAMP (o AMPc): monofosfato de adenosina cíclico. A diferencia de otros receptores de glutamato, NMDArequiere dos ligandos, glutamato y glicina, para su activación; en reposo, NMDA tiene bloqueo dependiente de voltaje por Mg2+, que al removerse permite la conductancia catiónica. Presenta alta permeabilidad a los iones Ca2+, y menor hacia Na+ y K+. NMDA regula funciones neurológicas como la respiración, la locomoción, el aprendizaje, la formación de la memoria y la neuroplasticidad. En consecuencia, el deterioro estructural y funcional del receptor NMDA puede provocar trastornos neurodegenerativos y cognitivos, incluidos los trastornos psiquiátricos.

Indolalquilaminas sin metilar, N,N-dimetiladasy O-metil-N,N-dimetiladas.

Disfunciones y deterioros generados en los ciclos del folato y de la metionina, relacionados con la esquizofrenia. Interacciones importantes en ambos ciclos del metabolismo de C1. Los compuestos que tienen efecto sobre el receptor de NMDA son: D-serina (D-Ser), glicina, homocisteína y glutatión; los compuestos de origen dietario son: tetrahidrofolato, vitamina B12 y vitamina B6; los compuestos que tienen una posible participación en esquizofrenia son: L-serina, las enzimas SR y MTHFR, glutatión, homocisteína, tetrahidrofolato y derivados metilados. Se marcan en azul las disfunciones y desequilibrios observados en la etiología de la esquizofrenia.
COMT: catecol-O-metiltransferasa; INMT: indoletilamina-N-metiltransferasa; MTHFR: 5-metiltetrahidrofolato reductasa; NMDA (N-methyl-D-aspartic acid): ácido N-metil-D-aspártico; PLP: potenciación a largo plazo; ROS (reactive oxygen species): especies reactivas de oxígeno; SAMe: Sadenosil-L-metionina; SHMT: serina-hidroximetiltransferasa; SR: serina racemasa.

Biosíntesis de DMT a partir del aminoácido triptofano:
1) La descarboxilasa de aminoácidos aromáticos (AADC: del inglésaromatic amino acid decarboxylase) cataliza la formación de triptamina a partir de triptofano;
2) la indoletilamina-N-metiltransferasa(INMT) transfiere un grupo metilo de SAMe (S-adenosilmetionina) a triptamina, dando N-metiltriptamina (NMT);
3) se repite la reacciónanterior con NMT como sustrato, INMT transfiere otro grupo metilo y produce DMT y dos equivalentes de SAHO (S-adenosilhomocisteína)en total.

Reacción catalizada por las enzimas monoaminooxidasas (MAO).

Actividad de cada estructura cerebral nuclear después de administrar DMT marcada. BO: Bulbo olfatorio; PO: pedúnculo olfatorio; TO: tubérculo olfatorio; CC: corteza cerebral; C: cerebelo; MO: medulla oblongata.

Topología del receptor sigma-1. Se observan dos hélicesde transmembrana (TM1 y TM2), indicadas como I y II, y el dominio asociado a la membrana. Se indican los extremos N y C (N- y Cterminales) y las posiciones aproximadas de los residuos 112 y 223 (residuo C-terminal).

El receptor chaperona sigma-1 tiene regulación operada por ligando y es sensible a Ca2+. Los agonistas de sigma-1 (como DMT) o la depleción de Ca2+ del retículo endoplasmático disocian sigma-1 de BiP, lo cual conduce a una prolongada señalización de Ca2+ en las mitocondrias a través de los receptores de trifosfato de inositol (IP3). La unión de DMT a los receptores sigma-1 permite explicar el diferente comportamiento que este compuesto presenta in vivo en el cerebro, en comparación con triptamina y serotonina. Además, sigma-1 está implicado en la neuroprotección, la carcinogénesis y la neuroplasticidad.

Importancia del heterocomplejo funcional mGlu2-5-HT2A en la corteza cerebral (y en cultivos de tejidos). A través de este complejolos ligandos de serotonina y de glutamato modulan el patrón de acoplamiento de las proteínas G en las células vivas. Sacudida de cabezade ratones: respuesta conductual provocada por alucinógenos: A: Ausente en ratones 5-HT2A-KO y en ratones mGlu2-KO. B: Hay respuesta enpresencia del complejo mGlu2-5-HT2A. Se necesita el heterocomplejo para la alucinación (demostrado in vivo).
Abreviaturas: mGlu2: receptor metabotrópico de glutamato 2. HTR: del inglés head-twitch response: es una sacudida de cabeza que ocurre en ratones y ratas después que es activado el receptor de serotonina 5-HT2A.