
Recepción: 21 Enero 2020
Aprobación: 18 Abril 2020
DOI: https://doi.org/10.17058/redes.v25i3.14724
Resumo: Assiste-se ao desenvolvimento em rede da economia em âmbito urbano-regional, e uma importante questão reside em como as cidades vêm enfrentando o esvaziamento e a desfuncionalidade econômica, fruto de processos de desindustrialização ou de uma nova localização industrial periurbana, e de como tais fenômenos são compreendidos pelo planejamento e enfrentados por planos e Projetos Urbanos. Sistemas em rede articulam atividades em âmbito urbano-regional, procurando a complementaridade da indústria tradicional e de novas formas de economia, economia criativa e atividades 4.0 (TIC), suprindo tanto as capitais como as áreas ou regiões metropolitanas. Ao mesmo tempo em que se busca uma compensação para a desconcentração industrial nos centros urbanos, e que periferias e bordas acolhem polígonos e tecidos industriais, pela proximidade aos principais eixos de escoamento e vantagens logísticas, desequilíbrios e desigualdades socioterritoriais são gerados em escala regional e local, na medida em que a economia encontra modos de reprodução e localização envolvendo populações e especificidades sociofuncionais. Discute-se a concepção de planos e Projetos Urbanos, sobretudo dos parques tecnológicos urbanos, a fim de alcançar novas expressões da economia e atração de empresas de TIC em centros urbanos com áreas em deterioração, a exemplo dos projetos para Zorrozaurre (Bilbao, Espanha) e Parque dos Patrícios (Buenos Aires, Argentina). Os resultados evidenciam as relações de planos e Projetos Urbanos com áreas periurbanas e regiões metropolitanas, o papel desses projetos para a economia urbano-regional em rede, seus principais ganhos e descompassos, e desafios à atividade planejadora para atender às carências socioterritoriais em áreas em transformação.
Palavras-chave: Economia urbano-metropolitana em rede, Planos e projetos urbanos, Parques tecnológicos urbanos, Zorrozaurre, Parque dos Patrícios.
Abstract: There is a networked development of the economy at the urban-regional level, and an important question is how cities are facing the emptiness and economic dysfunctionality, resulting from deindustrialization processes or a new periurban industrial location, and how such phenomena are understood by planning and faced by urban plans and projects. Networked systems articulate urban-regional activities, seeking the complementarity of traditional industry and new forms of economy, creative economy and 4.0 (ICT) activities, supplying both capitals and metropolitan areas or regions. At the same time that compensation is sought for industrial deconcentration in urban centers, and peripheries and borders welcome industrial polygons and fabrics, because of the proximity to the main outlets and logistical advantages, imbalances and socio-territorial inequalities are generated on a regional and local scale, as the economy finds modes of reproduction and localization involving populations and socio-functional specificities. We discuss the design of urban plans and projects, especially urban technology parks, in order to generate new expressions of the economy and attraction of ICT companies in deteriorating urban centers, such as projects for Zorrozaurre (Bilbao, Spain), and Parque dos Patricios (Buenos Aires, Argentina). The results highlight the relationship of urban plans and Urban Projects with periurban areas and metropolitan regions, the role of this kind of projects for the regional urban network economy, their main gains and imbalances, and challenges to the planning activity to address socio-territorial needs in changing areas.
Keywords: Urban-metropolitan Network economy, Urban plans and projects, Urban technology parks, Zorrozaurre, Parque dos Patricios.
Resumen: Hoy se verifica un desarrollo en red de la economía a nivel urbano-regional, y una pregunta importante es cómo las ciudades enfrentan el vacío y la disfuncionalidad económica, como resultado de los procesos de desindustrialización o una nueva ubicación industrial periurbana, y cómo Los fenómenos se entienden por planificación y se enfrentan a los planes y proyectos urbanos. Los sistemas en red articulan actividades urbano-regionales, buscando la complementariedad de la industria tradicional y las nuevas formas de economía, economía creativa y actividades 4.0 (TIC), abasteciendo tanto a las capitales como a las áreas o regiones metropolitanas. Al mismo tiempo que se busca compensación por la desconcentración industrial en los centros urbanos, y las periferias y fronteras acogen polígonos y tejidos industriales, la proximidad a los principales puntos de venta y las ventajas logísticas, los desequilibrios y las desigualdades socio-territoriales se generan a escala regional y local, a medida que la economía encuentra modos de reproducción y localización que involucran poblaciones y especificidades socio-funcionales. Discutimos la concepción de planes y proyectos urbanos, especialmente parques tecnológicos urbanos, con el fin de generar nuevas expresiones de la economía y la atracción de las empresas de TIC en los centros urbanos en deterioro, como los proyectos para Zorrozaurre (Bilbao, España), y Parque de los Patricios (Buenos Aires, Argentina). Los resultados destacan la relación de planes y Proyectos Urbanos con las áreas periurbanas y las regiones metropolitanas, el rol de esos proyectos para la economía de la red urbana regional, sus principales ventajas y desequilibrios, y los desafíos a la actividad de planificación para abordar las necesidades socioterritoriales en áreas cambiantes.
Palabras clave: Economía de red urbano-metropolitana, Planes y proyectos urbanos, Parques tecnológicos urbanos, Zorrozaurre, Parque de los Patricios.
1 Introdução
O desenvolvimento em rede da economia urbano-regional é uma condição estrutural da produção do espaço contemporânea, que induz a compreender o território produtivo como um sistema complementar e sinérgico de atividades desenvolvidas nas cidades polo e municípios das regiões ou áreas metropolitanas (espaços periurbanos). Uma importante reflexão reside em como as cidades vêm enfrentando o esvaziamento e a retração de atividades econômicas tradicionalmente primazes, como consequência da desindustrialização ou da localização industrial periurbana (desconcentração industrial), e de como tais processos são compreendidos pelo planejamento e enfrentados por planos e Projetos Urbanos.
Este artigo discute as formas de reestruturação do espaço urbano e de produção da cidade-região, e de como ações de desenvolvimento em rede dos centros urbanos e de suas extensões periurbanas são práticas capazes de amplificar os benefícios do planejamento, contribuindo para um desenvolvimento complementar de economia e sociedade. Para tanto, apresenta as experiências do Projeto Zorrozaurre (Ilha de Deusto), em Bilbao (Espanha), articulado ao Plano Bilbao Biscaia Next (Bilbao 45), e o Distrito Tecnológico Parque dos Patrícios (Buenos Aires, Argentina), como exemplos de reestruturação econômica e revitalização de áreas em transformação de usos, cujas mudanças são causadas pelo deslocamento do setor secundário as entorno periurbano.
A metodologia do artigo baseia-se, a partir do exposto, na confrontação de pressupostos teóricos que explicitam esse marco geral, e os respectivos contextos políticos, econômicos e sociais presentes nas duas capitais, aos dados empíricos obtidos em fontes secundárias e visitas aos respectivos projetos urbanos, apresentando os processos que levaram as duas cidades, Bilbao e Buenos Aires, a apostar em distritos econômicos (parques tecnológicos urbanos) como meio para enfrentar bairros degradados. Procura-se contextualizar suas especificidades, e abordar similitudes e diferenças processuais e de resultados urbanos.
Apresentam-se para ambos os casos processos que demonstram a dependência e complementariedade das economias urbana e periurbana (metropolitana), e as diferentes formas de espacialização por meio de projetos urbanos adotadas nessas diferentes realidades (e suas incompletudes), frente às atividades econômicas em jogo. Evidenciam-se as prioridades desses projetos no contexto das transformações urbano-metropolitanas, os quais articulam, mais ou menos intensamente, questões sociais às premências da economia. A discussão de resultados faz um balanço do peso conferido, nos processos de transformação urbana e implementação dos parques tecnológicos, às diversas escalas e suas demandas – local, regional e global, enfatizando o bônus e o ônus social desse tipo de intervenção urbana, e suas consequências, na fixação ou desmobilização de populações, e na valorização fundiária e imobiliária, favorecendo por vezes movimentos populacionais e substituição do perfil de renda nas áreas requalificadas.
O interesse pelo Distrito Tecnológico Parque dos Patrícios se deve a que, em vários aspectos, essa iniciativa se assemelha à experiência de concepção e implementação do Projeto Urbano de Zorrozaurre, em Bilbao. Ambos os projetos têm a intenção de promover uma nova economia urbana em distritos tecnológicos (e econômicos), desenvolvidos especialmente para revitalizar áreas em que se verifica um forte declínio do uso industrial, coincidindo com a perda de população e esvaziamento por mudança de função.
Os distritos tecnológicos se convertem em economias de aglomeração, e passam a abrigar atividades de serviços e terciário avançado, sendo alvo de projetos urbanos que buscam atrair empresas da indústria 4.0, fixar populações especializadas nesse setor às áreas em transformação, reequilibrando seu esvaziamento e degradação. Ambos os casos (Buenos Aires e Bilbao) se pautam por um planejamento orientado pelo Estado, que aposta nos parques tecnológicos urbanos desenvolvidos como bairros requalificados em cidades capitais, mais ou menos integrados a planos e políticas públicas que visam promover a indústria 4.0, com o objetivo de dotar as cidades centrais de novo vigor econômico, compensando a perda da primazia industrial.
Em ambas as cidades, a presença de instalações fabris e antigos galpões industriais vazios é uma imagem recorrente, e se prevê o abrigo de atividades de serviços e terciário avançado em muitas dessas antigas fábricas, com projetos urbanos que procuram atrair empresas da indústria 4.0 (setor de Tecnologias de Informação e Comunicação).
No entanto, para além das similitudes observadas, os casos se inserem em contextos politico-administrativos e socioeconômica e culturalmente distintos, primeiramente por um deles se localizar no continente europeu, e o outro, em um país latino-americano. Em cada uma dessas realidades, desenrolam-se relações singulares entre Estado e mercado, e o desenvolvimento contextualizado de políticas de Estado que procuram, cada uma em suas condições históricas de elaboração e aplicação, integrar ao tema do desenvolvimento local os fatores espaço, economia e sociedade.
O debate deste artigo gira em torno dos distintos pesos e prioridades conferidos às intervenções urbanísticas e aos Projetos Urbanos, e de como a produção do espaço urbano e metropolitano é influenciada por esses contextos técnicos e políticos. Tais singularidades são compreensíveis a partir de qual Estado se fala, e como este, assumindo diferentes orientações, conduz as políticas públicas e a transformação do espaço urbano-regional, visando interferir – para mais ou para menos – nos desequilíbrios causados às populações em torno de temas econômicos e propriamente urbanos, tais como empregos, a qualidade destes, a renda e o direito e acesso à cidade, relativamente à valorização da terra urbana gerada em áreas em processo de requalificação.
Bilbao e Buenos Aires: Estados e contextos distintos frente à ordem mundial e o desenvolvimento socioterritorial
Para compreender as aproximações e divergências dos processos de transformação urbana com efeitos metropolitanos em ambos os contextos, em Bilbao e Buenos Aires, é preciso diferenciar entre o Estado de corte neoliberal em evidência na Argentina, sobretudo a partir do Governo de Carlos Menem, à frente na década de 1990 (ROMERO, 2006) e o Estado desenvolvimentista que fundamenta as práticas de transformação urbano-regionais na Comunidade Autônoma do País Basco, e que embasa as instituições autonômicas contemporâneas do Governo Basco e suas relações com o governo central de Madrid, Espanha (BLANCO VALDÉS, 2006).
Antes de prosseguir, é preciso definir e distinguir tais expressões do Estado contemporâneo, e o alcance de ambas as modalidades, em relação às políticas públicas e a gestão do território. Como salientam Araújo e Bresser-Pereira (2018), o capitalismo não é um regime econômico-social homogêneo, comportando diversidade de expressões e concepções econômicas e políticas contrapostas, que conformam um espectro diferencial na forma de apropriação do excedente de riqueza, e das formas como o Estado o administra e repassa (ou não) aos vários grupos sociais. Enquanto o capitalismo neoliberal é uma face do liberalismo econômico globalizado, a versão desenvolvimentista se define como produtora de mais riqueza com mais estabilidade e melhor distribuição, em ambiente de liberdades, individuais e coletivas (id., ibid.).
Quando o neoliberalismo advém na década de 1980, o Estado é visto como o agente interventor cuja ação prejudicaria a eficiência da alocação de recursos pelo mercado, drenando recursos públicos e desestimulando o empreendedorismo. A desigualdade socioespacial é entendida então como um legado da “intervenção estatal” (AMIN, 2007). O estado desenvolvimentista, por seu turno, é sempre nacionalista (BRESSER-PEREIRA, 2016), porque o nacionalismo inclui o estado-nação e o desenvolvimentismo. Ambos são pilares do capitalismo, e solucionam necessidades contraditórias dos estados capitalistas, como a defesa da proteção do Estado para as atividades econômicas em várias escalas, e a liberdade de obtenção de expansionismo do lucro e dos mercados e a procura por combinar desenvolvimento econômico e redução das desigualdades (id., ibid.).
As relações entre o Estado e o mercado assumem diferentes faces em distintos contextos e locais, e dependem de um conjunto de fatores políticos, econômicos e históricos. A compreensão de uma política desenvolvimentista adotada pela Comunidade Autônoma do País Basco é chave para a comparação proposta neste artigo, bem como para diferenciar as condutas de política estatal em ambos os casos, Bilbao e Buenos Aires.
A Constituição espanhola de 1978 reconhece explicitamente as competências do Estado central e suas atribuições, regulamentando as diversas Comunidades Autônomas, tal como o País Basco, onde se localiza a cidade de Bilbao. As Autonomias foram uma solução na transição democrática pós-franquista para as reivindicações das diversas nacionalidades frente às relações do poder central com estas. O reconhecimento da Autonomia basca está totalmente imbricado com o nacionalismo dessa Comunidade, em defesa de sua condição de Nação, no âmbito da Espanha, e define as relações autonômicas e nacionais, nesse caso. Cidades e regiões são por assim dizer mais que simplesmente o nível ”local”, mas a espacialidade de ação em que a economia política se manifesta nessa Autonomia.
Esta estrutura contribui para um tratamento não uniformizado das diversas Autonomias pelo Governo Central de Madrid, pautado pelas relações históricas estabelecidas ao longo de séculos, e o reconhecimento autonômico devido a diferenças culturais próprias às Comunidades Autônomas2. Essa peculiaridade permite que, embora estabelecendo relações de integração com o comando do Governo Central, as Autonomias disponham de competências e estruturas político-administrativas próprias, a exemplo do Governo Basco (Provincial, representado pelo Parlamento Basco – a Diputacion Foral), que moldam as políticas públicas e os instrumentos de ordenação do território, nas escalas e em âmbito autonômicos, e urbano-regionais.
Tais especificidades orgânicas e históricas possibilitam ainda a algumas Autonomias relações diferenciadas com o Governo Central de Madrid, em termos de distribuição de competências e direitos que fundamentam regimes fiscais singulares, em consonância com o regime fiscal espanhol. Essa diferença de regime fiscal, no caso do País Basco, resulta no pagamento dos chamados Concertos Econômicos3 ao estado espanhol, possibilitando a retenção diferenciada de recursos públicos no âmbito do Governo provincial Basco, dotando essa Autonomia de condições que explicitam a relativa situação orçamentária favorável no cenário espanhol, lastreando com recursos públicos a prática do estado desenvolvimentista.
Na Argentina, a moldura geral da emergência do Estado neoliberal remete ao governo de Carlos Menem (Partido Justicialista), que assumiu a presidência da Nação entre 1989 e 1999, adotando como principais medidas para a economia uma orientação que abre o mercado e as finanças ao fluxo de capitais e investimentos em várias escalas, global, nacional e local, privatizando empresas estatais no intuito de reduzir a ação e o controle do Estado no cumprimento dos contratos, e na manutenção da estabilidade do mercado (ARAUJO; BRESSER-PEREIRA, 2018).
Nos anos 80, a experiência do governo Thatcher no Reino Unido e do governo Reagan nos Estados Unidos deu legitimidade à ideologia e às políticas neoliberais. Enquanto as políticas do Estado de Bem-Estar Social estavam sendo atacadas por todos os lados, os países latino-americanos, acossados pela dívida externa também foram instados a relaxar o controle estatal e suas formas de regulação, condenados como caros e ineficientes (ROMERO, 2006). Essa crise coincide com a pressão internacional exigindo a abertura das economias nacionais e sua inserção no comércio global, em uma nova ordem mundial na qual governariam as forças do livre mercado e fluxos financeiros não regulamentados.
No período de 1989 a 1999 o então Presidente Raúl Alfonsín delegou a Presidência da Nação a Carlos Saúl Menem, num momento crítico na história do país, marcado por uma aguda crise econômica e social com hiperinflação sem precedentes, na cifra de 200% quando Menem assume o cargo. A crise afeta salários, empregos e a circulação de moeda, comprometendo a confiança no Estado e em seu papel de liderança (id., ibid.).
Estas diferenças contextuais explicitam o quadro geral em que se inserem as condutas do planejamento e dos Projetos Urbanos, evidenciando-se que em ambos os casos, os novos distritos tecnológicos e bairros criados são fruto de decisões de Estado, que entendem o espaço urbano como uma potência para abrigar atividades econômicas cruciais e geradoras de empregos, mas em contextos políticos e sociais e econômicos diversos. Essa diversidade explica as diferentes formas e resultados dos projetos aplicados, e como procuram agir diante dos efeitos perversos da substituição de usos e de perfil de renda dos habitantes das áreas em transformação. Esclarece também as causas do deslocamento de populações às franjas periféricas das cidades centrais, em busca de terra mais acessível, moradia e empregos, indicando a premência de um planejamento regional complementar e inclusivo, diante destes processos.
Em ambos os casos abordados, Bilbao e Buenos Aires, apesar das especificidades e contextos, o meio técnico-científico-informacional (SANTOS, 2009) se encontra na base da produção, e do uso do espaço, constituindo seu “substrato” (id, ibid., p. 238). O capitalismo em sua realização multiescalar e global inclui não somente a produção, mas a circulação, distribuição e consumo da forma-mercadoria, crescendo os fluxos, inclusive financeiros. Santos (2009) pontua que nesse regime de aprofundamento da aceleração de fluxos, produzem-se cada vez mais valor de troca, e a especialização produtiva – em nosso caso, a economia de aglomeração representada pelos distritos tecnológicos e econômicos (Zorrozaurre e Parque dos Patrícios) produz fluxos em intensidade ascendente. O meio técnico e informacional permite a essas economias de aglomeração trocas em nível local, regional e global, promovendo uma imagem atrativa às cidades onde atuam.
A compreensão desse contexto não pode prescindir do conhecimento de processos que afetam cidades e regiões no âmbito das tensões relativas à dispersão de atividades e populações e o policentrismo, que caracterizam hoje a expansão metropolitana, distribuindo-se em diferentes porções do território, na forma de subcentros que abrigam atividades econômicas e empregos. Uma cidade-região se impõe como espaço social e econômico, definida como extensão a partir da qual se estabelecem relações entre cidades que exercem influências mútuas, potencializadas por sistemas de conexão policentrais (INDOVINA, 2004). A par da desconcentração diversificada de atividades laborais no extenso metropolitano, as cidades centrais e capitais seguem desempenhando um papel fundamental como facilitadoras de fluxos econômicos e para a geração de postos de trabalho, sobretudo os de maior qualificação, e que exigem maior grau de formação (USACH, GARRIDO-YSERTE, GALLO-RIVERA, 2017).
Uma integração urbano-regional equilibrada, com oferta de oportunidades laborais e de negócios, serviços, infraestrutura física e digital, e equipamentos, vê-se acompanhar de um sistema policêntrico de configurações espaciais. Um planejamento capaz da integração de múltiplas centralidades pode garantir um novo patamar das relações das cidades e de seu entorno regional, prevendo um necessário equilíbrio ao acesso à infraestrutura logística, de mobilidade e conhecimento, bem como incluindo a herança do ambiente natural e cultural de cidades e regiões metropolitanas (CONTI, 2007).
A regulação e planejamento do desenvolvimento urbano e regional e da competividade das empresas é um ponto de inflexão das políticas públicas, possibilitando deixar o patamar de uma competição direta a outra indireta, em recursos específicos disponíveis. Sua ampliação passa a ser gerida em regiões-alvo, tornando o território protagonista do desenvolvimento. Para lograr êxito, a competição indireta requer que se planejem estratégias compartilhadas de suporte às empresas, e exigem que vantagens competitivas sejam ofertadas a partir das próprias condições locais. Nesse sentido, Santos (2009, p. 268-9) assinala que “Numa situação em que as virtualidades de cada localização estão sempre mudando, ¨[...] Estes não apenas devem utilizar suas presentes vantagens, como criar novas, para atrair atividades promissoras”.
O policentrismo, meio para alcançar uma estrutura reticular de cidades e regiões, pode assumir três de formas de manifestação, como processo intrínseco à dinâmica urbano-metropolitana, modelo teórico, ou ainda, consistir em objetivo político e ação estratégica de governos locais e regionais (CONTI, 2007). Essa estruturação em rede se opõe à hierarquia dos lugares, deixando ao planejamento espaço para promover a integração e a interdependência de cidades e regiões. Em sua acepção política, o papel do policentrismo é induzir oportunidades e ofertas socioeconômicas.
As experiências mais bem-sucedidas de planejamento de cidades-regiões não trataram de implementar improváveis novas vocações ao território, mas investiram em revitalizar tecnologias sociais, cultural e historicamente presentes, valorizando o que se sabe fazer, contribuindo para ampliar as competências urbanas e regionais. Uma das estratégias fundamentais para alcançar esse cenário é a integração (aglomeração) de oportunidades, sistemas e processos produtivos, integrando-os em sistemas reticulares que se baseiam na co-localização de atividades complementares, para estimular a cooperação dos agentes econômicos e sociais, além de uma agenda compartilhada (id., ibid.), gerida por instituições sólidas com potencial intervencionista.
Os processos que descrevem a distribuição e a dependência em rede de atividades econômicas e fluxos laborais diversos, relacionando e tornando sinérgicas e complementares as regiões metropolitanas e cidades centrais, são complexos. Requerem a formulação de políticas públicas, planos e Projetos Urbanos capazes de atenuar efeitos negativos incidentes sobre populações afetadas, relativos à provisão de habitação, serviços, equipamentos e meios de mobilidade, procurando-se compensar por vezes uma desfuncionalidade causada pelo movimento de valorização da terra incidente nos centros urbanos, e a consequente dispersão populacional, na medida em que se consolidam novos subcentros e polos econômicos, residenciais e de emprego.
A complexidade desse processo evidencia a coexistência em âmbito urbano-metropolitano da conjunção de difusão e concentração espacial, articulando atividades produtivas e populações em formações espaciais tais como eixos, nós, centralidades e clusters (AGUILLAR, 2004), tais como os distritos ou parques tecnológicos urbanos. A expansão periurbana e suburbana não se explica exclusivamente pela difusão residencial de alta, média e baixa rendas às periferias (id., ibid.), facultada pelo crescimento rodoviário. Estruturas metropolitanas configuradas por polos diversos ou policentralidades, não servem tão somente a abrigar o tecido residencial, e não se confundem com sprawl e suburbanização, mas configuram centros multiescalares de produção e consumo, comércio, lazer e serviços à produção e à sociedade (CICCOLELLA, 2011). Configuram-se processos simultâneos e complementares de desconcentração e reconcentração, e de dispersão ou difusão da metrópole, que se estende no território (id., 2016).
O entendimento do funcionamento conjunto dos centros urbanos e das regiões metropolitanas assume uma dupla escala (CARLOS, 2001), da região propriamente, compreendida como o centro ou nó de uma rede de cidades interconectadas, e a escala da cidade central ou da aglomeração que concentra a maior densidade de funções de comando da economia urbana, ao abrigar sedes de empresas nacionais, regionais e globais.
Uma Cidade Corporativa (CICOLELLA, 2016), em que se destacam atividades dos setores terciário e terciário avançado, abriga as sedes das principais instituições bancárias e empresariais da indústria 4.0, situando os processos de fluxo de capitais produtivos e financeiros, e atuando como um nó de gestão econômica e de centralização de poder. Este fenômeno se aprofunda com as novas tecnologias de informação (TIC), as quais se tornam ao mesmo tempo um meio de produção como base estratégica para tomada de decisões e geração de emprego e renda, e o principal fator para a reconcentração de atividades econômicas, expressas em fragmentos tais como bairros, polígonos especiais, ou nos clusters ou distritos tecnológicos urbanos.
Ao mesmo tempo em que se transformam as atividades e áreas urbanas, reforça-se o papel das regiões metropolitanas, elo fundamental para a localização da indústria tradicional e nova, conectando seus fluxos produtivos e de distribuição e consumo aos mercados local, regional e internacional (DE MATTOS, 1998; SASSEN, 1998). Processos de especialização territorial da produção industrial e centros de consumo revelam a procura por localizações estratégicas, verificando-se o traslado de plantas industriais em busca de vantagens relativas ao preço do solo, custo operacional e vantagens logísticas para a distribuição da produção.
O deslocamento às coroas periféricas das indústrias acarreta que nas áreas centrais permaneçam também suas sedes, e a gestão de atividades que precedem ou que são posteriores à produção, tais como planejamento, pesquisa e desenvolvimento, design, controle de qualidade comercialização e pós-venda etc... (BRIANO; FRITZCHE; VIO, 2003). Apesar do declínio da função da indústria como um dos principais elementos de urbanização, a atividade permanece como motor de produção e de transformação espacial assumindo um crescimento periférico, e levando a enclaves e distribuições pericentrais. As transformações produtivas alteram a própria ideia de “fábrica”, deixando de significar tão somente um núcleo produtivo, estendem-se a variadas localizações, desmembrando-se em pequenas e médias unidades produtivas que integram redes, ou modificam sua tradicional localização para se instalarem em polígonos industriais, gerando assim economias de aglomeração (LANFRANCHI; GARAY; BIDART, 2017).
A partir dos anos de 1980, processos tais como a abertura de fronteiras, desregulação e livre mercado, desvalorização da moeda e incentivo ao crédito privado se impuseram como modelo para que países ingressassem na economia internacional, o que se fez acompanhar de mudanças no comportamento do Estado frente às ações de planejamento. A par das reconfigurações produtivas e espaciais, uma relativa retração do Estado e dificuldade para regular o desenvolvimento urbano e metropolitano de maneira ampla e integrada abrem o flanco ao protagonismo do mercado imobiliário, tornando-o agente hegemônico na configuração do espaço, muitas vezes atuando em articulação com atores públicos e financeiros, resultando na modelagem do espaço urbano pautada prioritariamente por interesses lucrativos.
O mercado imobiliário, no meio urbano neoliberal, transforma-se em importante fator de produção do espaço urbano, tendendo a localizar-se onde for mais vantajoso, e levando à formação de fragmentos ou localizações que atendem à sua lógica de reprodução. Em circunstâncias ou lugares onde a ação de planejar cede o passo ao circuito de reprodução do mercado imobiliário, ou onde o Estado local não tem suficiente hegemonia nos processos de transformação urbana e metropolitana, os resultados das novas dinâmicas e redes de localizações estratégicas e de oportunidades é o aprofundamento das desigualdades e iniquidades socioterritoriais.
Na tentativa de suprir o papel que o Estado nacional desempenhava no planejamento e regulação das atividades no território, governos locais se tornam protagonistas do desenvolvimento urbano, e mesmo sem os fartos recursos econômicos e financeiros de outras épocas, promovem reestruturações espaciais articulando-se a atores privados, que se apresentam sob outras formas de produção do espaço, envolvendo a dispersão de grandes equipamentos logísticos de distribuição (Centros de Distribuição – CD) e consumo, lazer, turismo, ao mesmo tempo em que a par da dispersão periurbana se dá a modernização das áreas de comando, com redesenho da rede de transportes metropolitana.
As razões desse protagonismo das cidades na produção do espaço urbano-regional residem em uma concepção de gestão pública fundamentada na adoção de princípios do Estado neoliberal (ARAUJO; BRESSER-PEREIRA, 2018). O modelo neoliberal ao longo de seu desenvolvimento potencializou a formação de uma tecnocracia especializada (managers), que paulatinamente se afastou da gestão direta da produção, assumindo o controle das mediações financeiras no regime capitalista, e hipertrofiando o papel do capital financeiro rentista (id., ibid.). Essa hipertrofia se revela na transformação da terra urbana em capital fictício, e a cidade tende a ser, cada vez mais, não apenas um negócio, mas um negócio líquido e rentável (QUEIROZ, 2020).
Os efeitos dessa abordagem e o legado às cidades e regiões do papel de produzirem seus próprios recursos de financiamento expressam-se nas metrópoles. Estas passam a deter a responsabilidade de otimizar recursos endógenos e novas formas de financiamento e coordenação federativa. Uma destas formas de obtenção de ganhos reside nas intervenções e projetos urbanos, os quais não se dissociam de suas estratégias de financiamento e de objetivos econômico-financeiros e rentistas. Recursos podem ser então obtidos com a comercialização da terra e/ou a aplicação de instrumentos urbanísticos geradores de contrapartidas onerosas ao Estado, caracterizando uma relação específica entre este e o mercado, em sua face imobiliária e fundiária, em que se negociam o direito de construir e a terra. Essa prática instaura uma modalidade de obtenção de taxas de retorno geradas pelos investimentos realizados pelos próprios municípios e regiões em seus territórios, na forma de ganhos tributários, ofertas de isenções a atores privados, como estímulos à fixação de empresas e obtenção de contrapartidas, no intuito da apropriação e reinvestimento pelo Estado desses benefícios, redistribuindo-os e reinvestindo-os no próprio circuito financeiro, e em várias escalas.
No entanto, sendo o Estado e sua expressão social e politica uma entidade que depende do território, todas as frações de classe que não são os capitalistas e investidores precisam de sua proteção, revelando-se então seu importante papel na definição de politicas publicas de natureza social. Dito isso, e possível compreender as tensões presentes no âmbito das transformações da cidade operadas por parcerias publico-privadas, como aquelas nos projetos de parques tecnológicos urbanos. Ao mesmo tempo em que a ênfase desses projetos é a fixação de empresas de uma nova indústria 4.0, e a geração de empregos de alto valor agregado nesse setor, mobilizando para isso o mercado imobiliário e sua lógica de reprodução, a substituição de usos promovida pela ênfase em empresas se reflete na carência de mobilização e atendimento às necessidades de populações e grupos sociais tradicionalmente arraigados. Para tanto, a ação do Estado não apenas como retaguarda da ação econômico-financeira, mas como protagonista de políticas públicas em condições paritárias com o mercado, é uma questão crucial para o debate, e para o planejamento de cidades e regiões. Ao invés do modelo neoliberal, um Estado desenvolvimentista (ARAUJO; BRESSER-PEREIRA, 2018), capaz de conduzir politicas econômicas estratégicas e, ao mesmo tempo, planejar os setores não competitivos da sociedade e da economia, parece apontar para outra saída.
Um novo tipo de circulação econômica e dinâmica de transformação do território assume então a escala urbano-metropolitana, evidenciando-se tanto em grandes centros globalizados como Nova York ou Londres, mas dando-se também em São Paulo, Santiago, Cidade do México ou Buenos Aires (CICOLELLA, 2016), impelindo camadas populares e a classe média a viverem nos anéis conurbados periféricos, contribuindo para esvaziar e degradar os centros das cidades e das capitais.
Oportunidades de transformação de áreas degradadas e esvaziadas presentes nos centros das capitais, por seu turno, resultantes da desindustrialização ou desconcentração industrial, convidam à realização de planos e projetos urbanos, que no caso dos distritos tecnológicos, se dispõem a atrair empresas e mercados de TIC, e promover empregos de alto valor agregado e qualificação. Um aspecto crítico dessa dinâmica de transformação e conjunção entre a intensidade da fixação de indústrias e populações na conurbação periférica e a transformação dos centros diz respeito à forma e às prioridades de tais planos e projetos, que se propõem eminentemente a transformar bairros em degradação e neles promover novos usos e fluxos econômicos. Em muitos casos, a retração do Estado e do poder local frente o planejamento dessas áreas, de modo a facilitar fundamentalmente a aliança com o circuito financeiro e imobiliário, reserva exclusivamente ao mercado tais áreas de oportunidades, tais como se verifica em alguns casos de desenvolvimento de distritos tecnológicos, ou clusters urbanos.
Estas áreas em transformação, objeto de planos e projetos de requalificação e atração de investimentos, empresas e negócios poderiam ser exploradas de modo a melhor contemplar as necessidades das populações afetadas por tais intervenções urbanas, desenvolvendo não apenas as escalas regional e global, mas a escala local.
2 Zorrozaurre, Bilbao (Ilha de Deusto): o parque tecnológico urbano no contexto da área metropolitana e o papel socioeconômico de sua requalificação
Bilbao, cidade ao norte da Espanha, iniciou na década de 1990 um amplo processo de regeneração mundialmente conhecido pelo papel de promotor cultural do Museu Guggenheim, que se estende até os dias atuais. A perspectiva de requalificação e intervenções urbanas é entendida como uma ação sinérgica ao desenvolvimento metropolitano, buscando-se um equilíbrio e uma ação planejada que envolve os diversos municípios que integram a área metropolitana (ESTEBAN, 1999).
Desde que o Museu Guggenheim foi inaugurado em 1997, iniciou-se um movimento crítico e reflexivo sobre as formas de transformação urbana induzidas, que contemplem o planejamento de atividades econômicas urbano-regionais e a especialização produtiva. O caso de Bilbao inaugurou uma forte polêmica em torno de projetos e operações urbanas de múltiplas escalas, integradas a um planejamento metropolitano e regional e fundamentados por uma reestruturação econômica. À diferença da recuperação urbana dos anos 2000, motivada por megaeventos esportivos, promoção da cultura e obras emblemáticas visando recuperar a imagem das cidades e as inserir prioritariamente em circuitos econômicos internacionais com ênfase no turismo, atualmente uma visão policêntrica procura desenvolver a especialização produtiva da capital sem perder a relação com municípios dela distantes até 45 minutos, pautada pelo plano Bilbao Biscaia Next (Bilbao 45).
Este visa planejar o território em rede, considerando a participação da capital no recorte regional assim definido, a partir do conhecimento de potencialidades, vantagens competitivas e fragilidades, estas por vezes caracterizadas pelo descenso populacional ou processos de esvaziamento de municípios outrora pujantes e hoje em declínio, mas ao mesmo tempo, reconhecendo as possibilidades de outros ainda muito produtivos, e que concentram indústrias e outras atividades significativas no contexto regional.
Bilbao Biscaia Next é um instrumento para planejar a circulação econômica considerando a produção industrial complementada por fluxos financeiros, de serviços e serviços avançados (ABASCAL; BILBAO, 2018). O Projeto Urbano de Zorrozaurre, na cidade de Bilbao, é entendido como um bairro de uso múltiplo convivendo com um parque tecnológico urbano, e como um meio para tornar esses circuitos econômicos indissociáveis, atuando sinergicamente. Embora a indústria ainda se mostre atuante e significativa em muitos municípios da área metropolitana, a capital sofreu com a obsolescência de atividades congêneres, experimentando a transferência das plantas industriais para outros municípios da área metropolitana, devido, entre outros fatores logísticos, ao alto custo da terra e facilidades de negócios, nas áreas de borda e fronteira com outros municípios.
O Plano busca compreender o âmbito urbano e regional como uma rede policêntrica de municípios cooperativos, procurando articular projetos ao desenvolvimento urbano, de maneira logística, social, econômica e territorial. Ao incluir Bilbao num conjunto de municípios que distam entre si, considerando a infraestrutura de mobilidade existentes, no máximo 45 minutos, Bilbao Biscaia Next, ou Bilbao 45 visa planejar uma cidade-região. Trata-se de uma política espacial multiescalar e policêntrica, uma nova estrutura física que busca a competitividade e sua contrapartida de solidariedade, promovendo o setor terciário avançado e quarto setor. Sua estratégia multiescalar se fundamenta no planejamento de transformações socioeconômicas induzindo a especialização inteligente, definida como atividades econômicas que podem desencadear vantagens competitivas, com base no reconhecimento de pontos fortes, oportunidades e desequilíbrios territoriais4.
A transformação econômica e social da capital se fez sentir em Bilbao na década de 1980, quando a atividade industrial siderúrgica sofreu grande descenso devido à competição com as exportações inglesas de aço, levando ao processo de regeneração urbana. Estabeleceu como alvo superar a condição de cidade industrial em declínio (ESTEBAN, 1999), transformar a capital e desenvolver sua região metropolitana como um tecido industrial diferenciado e de alto valor agregado, junto com o componente tecnológico. Essa ação foi posta em marcha, naquele momento, com o Parque Tecnológico de Zamudio, compreendido como localidade de inovação e com a renovação da Margem Esquerda do Rio Nervion, seriamente afetada pela desindustrialização. Em meados dos anos noventa, as transformações mais contundentes do setor industrial estavam concluídas, tendo início um período de recuperação com diversificação de atividades e das localizações produtivas, superando-se a primazia siderúrgica (id., ibid.).
Para enfrentar essas mudanças produtivas, a capital se aperfeiçoou como um centro de serviços à indústria, concentrando hoje nessa atividade 39,9% do PIB urbano (ALDEKOA, 2013). Essa especialização produtiva e diversificação econômica vêm gerando maior competividade, mas a retração de atividades e empregos em outros setores é um fato que tem no planejamento integrado com o entorno regional uma saída. Se aposta em um novo tecido econômico para a capital integrado ao âmbito regional, e em políticas urbanas visando atrair setores e atividades estratégicos ao território urbano-regional. Assim, “(...) la escala metropolitana (...) pasaría del tradicional Gran Bilbao a lo que se ha dado en llamar Bilbao-Next” (AYUNTAMIENTO DE BILBAO, 2018: p. 7), definido assim o recorte da “cidade-região”.

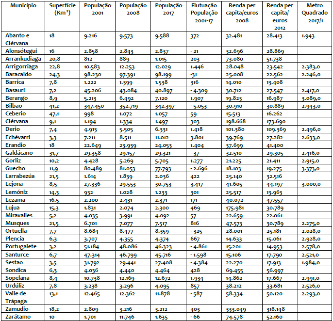
O Quadro 2, a seguir, evidencia flagrantes diferenças de renda per capita e flutuações de população entre os municípios da Área Metropolitana, comparativamente a capital bilbaina. Para conhecer os pontos fortes e fracos da economia urbana e regional, Orkestra (2014) realiza pesquisas de especialização produtiva, registrando-a conforme os indicadores manufaturas, serviços, serviços intensivos em conhecimento (serviços avançados a empresas).

O método se baseia no número de estabelecimentos, e número de empregos, tanto para a cidade de Bilbao como para o território de Bilbao 45. Os dados são obtidos em EUSTAT (Euskal Estatistika Erakundea - Instituto Basco de Estatística – Diretório de Atividades Econômicas), e EUROEUSTAT. A pesquisa tem como recorte geográfico a Comunidade Autônoma do País Basco, e incIui todos os municípios de Biscaia, e os da província de Alava, tais como Llodio, Amúrrio, Aiala, Arseniaga, e o município guipuscoano de Eibar. Castro Urdiales (na província de Cantábria) está também no escopo de Bilbao 45, embora se revelem dificuldades de obtenção de dados.
Bilbao 45 (ORKESTRA, 2014) revela índices de especialização maiores que Bilbao em manufaturas, sendo fornecimento de energia elétrica, gás, vapor e ar condicionado os setores significativos da cidade de Bilbao. Por sua vez, esta tem maior especialização em serviços avançados a empresas (atividades KIBS - Technological Knowledge Intensive Business Services), do que Bilbao 45. No que se refere às KIBS, Bilbao supera Bilbao 45 em tradução e intérpretes, radiodifusão, programação, emissão de televisão, atividades jurídicas, estudos de mercado e Design. Estas atividades vêm sendo potencializadas pelo Projeto Zorrozaurre, a exemplo do Centro Superior de Design, Kunsthal, localizado no Edifício Papelera. O Centro se valeu da reabilitação das naves do antigo edifício industrial, reconvertido sob a iniciativa do Governo Basco, mesclando atividades econômicas com usos educacionais e artísticos, um diferencial do projeto Zorrozaurre, configurando-o como local em que cultura e lazer têm posição destacada.
No âmbito da cidade, a requalificação da frente de água em Abandoibarra, a “joia da coroa” (ESTEBAN, 1999) onde se localiza o Guggenheim Bilbao, foi ponta de lança para que os demais municípios servidos pela Ria do Nervion vissem deflagradas suas próprias transformações, e sinalizou uma nova geração de planos estratégicos, pautados pelo desenvolvimento integrado e sustentável do território, articulados pelo diálogo de múltiplas escalas (ELORRIETA et al., 2016), e que pautava as práticas de planos e Projetos Urbanos. Abandoibarra deveria criar um espaço para o setor de serviços e serviços avançados, que deveriam se fixar naquela área em transformação. O descenso econômico industrial experimentado nas décadas de 1980 e 90 deveria ser contraposto pela criação de um cluster para abrigar atividades de inovação, o Parque Tecnológico de Zamudio (ABASCAL, 2004). Lá nasceram incubadoras de empresas que deveriam substituir (ou complementar) tradicionais atividades siderúrgicas do País Basco, em franco declínio e substituição.
Durante as décadas de 1990 e 2000, apostava-se que Abandoibarra poderia abrigar sedes de empresas locais e internacionais, e atividades corporativas que atraídas pelo ambiente urbano de negócios criado, poderiam se instalar em Bilbao e em sua Região Metropolitana (id., ibid.). Estudos realizados ao longo desses anos foram demonstrando que ocupar Abandoibarra com edifícios corporativos não atendia a demanda real, e o plano-projeto foi sendo modificado, apostando em uma transformação fundamentalmente pautada pela instalação do Museu Guggenheim em meio a um espaço público de grande qualidade, acompanhando a orla do rio. A ênfase no terciário avançado, no entanto, serviu como pressuposto para a regeneração da orla da Ria, tornando-a uma frente de água e um espaço público de qualidade, com um parque linear ao longo de seu curso.
A atividade econômica voltada aos serviços e serviços avançados ficou latente, à espera do último Projeto Urbano de Bilbao que viria a ocupar Zorrozaurre, ou Ilha de Deusto, continuidade natural da Ria, entendida como eixo estrutural do planejamento do município e da Região Metropolitana. Trata-se de fixar na nova ilha, diferentemente das atividades que se implantaram no circuito turístico e cultural da cidade, formado pelo Guggenheim, Museu de Belas Artes e o Palácio Euskalduna, outras atividades de negócios, gerando uma complementaridade da economia industrial e de serviços, promovendo o turismo de negócios e novas indústrias e empresas. Essas atividades no âmbito da capital bilbaina gerariam sinergias com outros municípios, e dariam oportunidade de trabalho e emprego a populações jovens, que poderiam ali exercer funções qualificadas.
O projeto urbano para Zorrozaurre é uma importante peça na constituição dessa rede regional de especializações produtivas, como epicentro de Bilbao Biscaia Next.
A fixação de população jovem produtiva na área de Zorrozaurre é vista como oportunidade de crescimento da cidade, especializando-se no que já e forte, e introduzindo empresas voltadas à tecnologia e comunicação. Possível graças à reversão da condição inundável da então península de Deusto e sua transformação em ilha, com a obra de abertura do canal de Deusto finalizada em 2018, o projeto é um meio para promover a especialização produtiva de Bilbao, a partir dos estudos de Bilbao Biscaia Next. Seu objetivo é um novo tecido econômico baseado na economia criativa, e em atividades de inovação e tecnologia.
Ao passo do avanço do projeto urbano, atividades culturais, artísticas e de lazer, e outras ligadas às TIC vêm se instalando na ilha (AYUNTAMIENTO DE BILBAO, 2018), a qual conta com uma população residente atual de apenas 500 pessoas. O “crescimento inteligente” se define como o desenvolvimento de uma economia do conhecimento, aumentando o rendimento a partir de atividades educacionais e de pesquisa e inovação, integradas aos instrumentos e possibilidades da sociedade digital (GOVERNO BASCO, PCTI EUSKADI, 2020).
No Master Plan de Zaha Hadid Architects (2012), o parque tecnológico urbano e multifuncional visa não apenas aprimorar a especialização produtiva atual mais evidente, a produção de softwares e serviços no setor terciário avançado, mas preservar atividades criativas e artísticas que já ocupavam antigas naves industriais, e que podem se valer dessas tecnologias (LANBIDE TEKANIKA, 2018). No entanto, seu objetivo social mais significativo é fixar população jovem e qualificada na cidade e na ilha, repovoando-a e evitando a evasão de talentos e titulados, muitos deles na área de Tecnologias da Informação e Comunicação, que não dispõem de fácil acesso à moradia em sua cidade e região natal. No País Basco hoje, um jovem assalariado, de 18 a 34 anos, destina em média 62,8 % de seu salário bruto mensal ao pagamento de hipoteca, ao adquirir uma unidade habitacional de livre mercado (ALDEKOA, 2013). A proposta de realizar na ilha de Deusto empreendimentos de habitação de proteção oficial e a preço taxado consiste em um dos princípios fundamentais do projeto para Zorrozaurre.
O Master Plan se alinha aos objetivos de Bilbao 45, e ao “último grande Projeto Urbano”, concebido tanto como parque tecnológico como um bairro multifuncional. As atividades econômicas previstas, de produção de softwares e terciário avançado, são compreendidas como dependentes da qualidade desse espaço (LANBIDE TEKANIKA, 2018). A equipe de Zaha Hadid concebeu o Projeto Urbano reafirmando a importância do planejamento conjunto das principais capitais provinciais (GARRIDO; ALCOCK, 2004), salientando o papel da nova ilha como uma importante peça de um puzzle, cuja responsabilidade é criar massa crítica de atividades produtivas ao longo do rio, funcionando como um importante nó de redes multiescalares (ABASCAL; BILBAO, 2018).
Os Seminários Bilbao Next Lab (parceria da Prefeitura de Bilbao e Universidade de Deusto) procuram subsidiar os planos e o Projeto Urbano em curso, avançar conceitualmente, rever a noção de smartcity (cidade inteligente) e fixar objetivos para Zorrozaurre. O projeto se nutre da valorização do plano elaborada nos Seminários, enfatizando a população jovem e sua fixação, preservando a população residente no local, bem como a transformação meio-ambiental do rio e de sua orla. A transferência do porto do meio intraurbano para o Abra Exterior, liberando 30 km de solos ao longo da orla, e um sistema de transporte público conector de alcance metropolitano ao longo de toda ilha, possibilitam aprimorar o espaço público e preservar o anel verde que circunda a cidade.
3 O distrito tecnológico de Parque dos Patrícios, Buenos Aires: desenvolvimento urbano-regional em rede no contexto da América Latina
Como foi comentado, a escolha do Distrito Tecnológico Parque dos Patrícios se deve às similaridades dessa iniciativa com a experiência de Bilbao e do Projeto Urbano de Zorrozaurre (Ilha de Deusto).
Buenos Aires conta com quatro distritos econômicos, Distrito Tecnológico, Distrito do Design, Distrito das Artes e Distrito Audiovisual. Criado pela Lei nº 2972, o Distrito Tecnológico abrange parte dos bairros de Boedo, Parque dos Patrícios e Pompeya, emulando projetos urbanos congêneres, como 22 @Barcelona (Espanha). À luz de experiências internacionais, casos similares visam fixar empresas voltadas à produção de valor e de tecnologias de informação e comunicação (TICs) (INTENDENCIA DE BUENOS AIRES, 2020). Localiza-se estrategicamente na Zona Sul de Buenos Aires, alinhando-se ao objetivo do GCBA5 de revitalizar e desenvolver a região, revertendo o esvaziamento populacional da Cidade de Buenos Aires, e abrangendo 328 hectares. O local apresenta vantagens como a proximidade ao microcentro da cidade, disponibilidade de terrenos com potencial para a construção, ocupados até então por edifícios ociosos, e uma excelente acessibilidade, devido à confluência de linhas de transporte coletivo (Metrobus Sur), da Linha H de metrô e ferrovia.
No Distrito Tecnológico Parque dos Patrícios, empresas de tecnologias de informação e comunicação estão instaladas em antigas naves industriais desativadas, mercados e edificações em desuso, e em edifícios construídos especialmente para seus atuais usos. A iniciativa consiste em concentrar (cluster), por contiguidade física e afinidade temática, indústrias criativas, definidas como atividades ligadas às ideias e ao conhecimento. O conceito de “indústria criativa” envolve a indústria cultural e a economia do conhecimento, com o objetivo de promover uma economia urbana de aglomeração empresarial e de capital humano (id., ibid.). A presença de um edifício âncora, em que se localiza a Prefeitura (projeto de Norman Foster, de 2014), indica a vontade estatal de requalificar a região, com serviços e edifícios institucionais de ponta.
Desde 2008 a cidade de Buenos Aires vem implantando distritos econômicos tendo o Estado como facilitador, e oferecendo benefícios aos investidores que se fixam nesses bairros, como isenções e incentivos fiscais. O poder público atua como intermediador da requalificação das áreas de interesse, e da participação do mercado imobiliário na revitalização urbana. Empresários e investidores da área de tecnologias de comunicação e informação, que produzam softwareou hardware, beneficiam-se da isenção do imposto sobre a compra de imóveis (Impuesto de Sellos). Outras isenções previstas em lei incidem sobre o exercício de atividades profissionais, comerciais e rendimento (Ingresos Brutos), assim como sobre taxas pagas por proprietários e locatários por serviços de limpeza de ruas (Impuesto Inmobiliario Alumbrado, Barrido y Limpieza) (THOMASZ, 2016).
Projetos dessa natureza têm por objetivo atrair o setor privado, tendo governos, instituições educativas e organizações não governamentais (ONGs) como parceiros e mediadores, procurando alcançar o desenvolvimento econômico no contexto da sociedade da informação. Em tese, o Distrito Tecnológico de Buenos Aires procura a inclusão social de segmentos da população, por meio da revitalização urbana. O distrito procura reverter a degradação e a perda de população da cidade central, e dos bairros ao sul de Buenos Aires, dos quais indústrias antes ativas se foram, em busca de melhores oportunidades de fixação, no tecido periurbano.
O relativo esvaziamento de Buenos Aires, frente ao aumento populacional experimentado ao longo de algumas décadas nos municípios da Grande Buenos Aires (GBA), que pela definição do INDEC - Instituto Nacional de Estadística Y Censos (2003), integra-se por 24 “partidos” ou municípios, cujos indicadores populacionais podem ser verificados no quadro a seguir:

Indústrias se revelam intensamente presentes nas coroas periurbanas de Buenos Aires, gerando atividades que acarretaram em aumento populacional, a par do descenso desse indicador em Buenos Aires. O ambiente urbano e periurbano deve compor redes de atividades conjuntamente com a implantação dos novos usos tecnológicos nos distritos da cidade central. Tal complementariedade reticular se dá em termos de presença e localização de diferentes composições industriais e de serviços, concentrando a nova indústria de atividades tecnológicas nos setores em transformação no interior dos distritos da zona sul, na Cidade Autônoma de Buenos Aires (CABA). Em outros termos, o desenvolvimento dos Distritos Tecnológicos procura reverter o esvaziamento e a transformação negativa de áreas das cidades centrais, e suprir atividades que os anéis periurbanos não contemplam. Visam assim gerar economias de aglomeração, com a concentração de indústrias criativas limpas, e incentivar a renovação urbana com consequente valorização fundiária, a partir da fixação da indústria 4.0.
O preço mais alto do solo na CABA se pratica em Porto Madero (ZONAPROP, 2020), US $ 5.715,00 (valores de novembro de 2019). O valor da terra em Porto Madero, por consistir em uma operação urbana de grande sucesso imobiliário é uma exceção, contra os valores da terra no microcentro (US$ 2.382,00), na zona norte (mais elevados), e na zona sul, bem menos altos. Enquanto na zona norte, esse valor atinge US$ 3.489,00 (em Palermo), na zona sul, no Parque dos Patrícios, verifica-se o maior valor de US$ 1.985,00, contra US$ 1.732,00 na Boca, US$ 1.714,00 em Constitucion, e US$ 1.214,00 na Vila Lugano.
É possível argumentar que Projetos Urbanos vinculados à geração de emprego e renda nas cidades centrais, se desconcertados de um planejamento integrado que procure soluções não apenas para as necessidades urbanas, mas também metropolitanas, tais como habitação e mobilidade, por exemplo, destituem essas redes de seu papel complementar, tornando-as causa de fortes desequilíbrios econômicos e sociais.
A par das similitudes, as diferenças entre os casos são expressivas para lançar luz a essa ponderação. Um processo de valorização fundiária e imobiliária vem atingindo essas novas áreas revitalizadas a Sul de Buenos Aires, com cifras superiores à média da cidade, sugerindo gentrificação. Tais Projetos Urbanos se veem desacompanhados de políticas públicas compensadoras da elevação do preço da terra, verificando-se em toda zona sul e no Distrito em foco um aumento de preços dos terrenos, e dos edifícios comerciais e de escritórios, a partir dessa política de requalificação urbana, que assiste à conjunção de novos usos econômicos e produção de bens imóveis que dinamizam o mercado da construção (RONGVAUX, 2019). Interpõe-se o debate de como, em contextos neoliberais e em uma economia urbana acompanhada de crises econômicas sistêmicas, os Projetos Urbanos geradores de economias de aglomeração, como clusters e distritos como Parque dos Patrícios, relacionam-se a outras expressões e atividades da economia, localizadas nas áreas periurbanas6.
Na Grande Buenos Aires coexistem segmentos sociais distintos, uns que habitam novos subúrbios, dependentes do veículo particular e de novas centralidades, e outros que vivem em antigas urbanizações carentes de infraestruturas, dispondo de habitações precárias, e tendo na ferrovia a principal forma de mobilidade (Direccion Provincial de Ordenamento Urbano y Territorial, 2013). Um claro movimento residencial periurbano afeta populações de padrão médio-alto e alto, dispostas em bairros fechados e countries, inseridos no espaço das coroas periféricas, ao lado de 1.271 bairros informais (OBSERVATORIO DEL CONURBANO, 2020).
As transformações socioespaciais da indústria de substituição de importações, ao não se encontrarem verdadeiramente articuladas aos novos tipos de desenvolvimento industrial, têm aprofundado a desindustrialização da CABA. A indústria tradicional, a par de abandonar estruturas e espaços na cidade central, e na primeira das três coroas metropolitanas, vê-se acompanhar do surgimento de uma nova indústria, realocada em clusters ou parques industriais, nas franjas periurbanas (id., ibid.).
Por seu turno, a indústria de manufaturas, no papel de suprir o mercado interno, e algumas indústrias transnacionais que inserem Buenos Aires em circuitos produtivos regionais e globais, nos setores automotriz, autopeças, alimentos e bebidas foram alvo de investimentos estrangeiros diretos - IED (RONGVAUX, 2019). Na década de 1990, a Grande Buenos Aires (GBA) alcançou uma condição primaz como o maior centro nacional de investimento industrial (BRIANO, FRITZSCH; VIO, 2003). Zonas e polígonos industriais planejados sob o estímulo de isenções, incubadoras de empresas e parques tecnológicos surgiram na Grande Buenos Aires. O quadro abaixo contribui para analisar esse processo por meio das atividades econômicas, sendo visível o descenso na CABA da indústria manufatureira, e de outros setores, e o aumento da construção e de serviços de administração pública, educação e saúde, serviços de transporte, armazenamento e comunicações.

A indústria deixou a área urbana central, mas prossegue um significativo setor de produção econômica e espacial expressa na expansão metropolitana e policêntrica. No entanto, parcela expressiva de desempregados e populações assentadas em condições precárias vive às margens da Cidade Autônoma de Buenos Aires, nas bordas e território metropolitanos, alimentando mutuamente as precariedades laboral e urbanística, conformando áreas sociais críticas, cujos desequilíbrios não vem sendo sequer incluído nas pautas do desenvolvimento social, econômico e imobiliário dos Distritos econômicos. As redes de complementariedade possíveis entre as localizações das atividades econômicas na CABA e seu entorno periurbano consistem assim em processos disjuntos e desiguais.

Um dos processos e eventos que levaram a essa disjunção foi a autonomia alcançada pela cidade de Buenos Aires, em 1996. Isso levou ao reconhecimento pelo Governo da Nação de que Buenos Aires estaria apta a regulamentar uma Constituição própria, eleger seu prefeito e assumir competências legais e tributárias. A Cidade Autônoma acarretou na desarticulação entre o planejamento e proposição de políticas territoriais de escopo mais amplo, assim como da política metropolitana, esforços que resultaram no ano 2000 no Plano Urbano Ambiental da CABA (GOICOCHEA, 2014).
Por outro lado, na Cidade Autônoma, o Distrito Tecnológico veio gerando mecanismos de produção de renda da terra urbana apropriada fundamentalmente pelos investidores imobiliários, sem se fazer acompanhar de políticas redistributivas, capazes de equilibrar processos de expulsão de populações residentes mais antigas. Esse desequilíbrio se faz sentir nos dados de aumento populacional das coroas periféricas, em detrimento do esvaziamento da CABA. A Lei de implantação do Distrito exime as empresas de TIC ali fixadas o pagamento de taxas e contribuições de melhoria, limpeza e manutenção, além de que alterações dos índices de edificabilidade e normas de zoneamento favorecem o mercado imobiliário. Políticas e financiamento admitem alterações das regulações urbanísticas, com vantagens ao investimento imobiliário, pautado pela melhoria da infraestrutura física e dos edifícios.
4 Considerações finais
Tanto a Ilha de Zorrozaurre quanto o Distrito tecnológico Parque dos Patrícios não são exclusivamente operações de requalificação do espaço urbano, ou ainda de marketing urbano, mas se pautam por uma transformação socioeconômica complexa, de teor produtivo, com a finalidade de fixar populações em áreas esvaziadas ou em declínio. Tratam de implementar atividades econômicas estratégicas, que atendem à economia informacional e de indústrias criativas, de serviços e serviços avançados.
Ambos os Projetos Urbanos apresentados se caracterizam por transformar áreas localizadas em capitais ou cidades centrais, inseridas em âmbitos regionais e metropolitanos, com os quais guardam estreitas e intensas relações sinérgicas de complementaridade econômica. É possível afirmar que se estabelece entre cidades centrais e região metropolitana uma rede de atividades econômicas e laborais, o que se verifica tanto para Bilbao e sua Área Metropolitana, como na CABA e seus distritos econômicos relativamente ao extenso Conurbano de Buenos Aires, no qual se localizam atividades industriais pujantes, distribuídas no entorno metropolitano das três coroas periurbanas.
Embora tais processos pareçam configurar aproximações e similaridades, dando-se a entender a presença de um fenômeno atual de reconfiguração territorial e produtiva, as diferenças contextuais de onde e como a revitalização urbana acontece, e como planos e Projetos Urbanos se articulam a políticas públicas capazes de compreender a cidade-região, e como é possível potencializar os benefícios dessas redes, consistem no centro das considerações criticas a esses processos.
À diferença de Bilbao que investe no desenvolvimento do distrito tecnológico de Zorrozaurre de maneira integrada às atividades complementares desenvolvidas na área metropolitana (Grande Bilbao), buscando otimizar a especialização produtiva em âmbito regional, em Buenos Aires parece não haver um plano ou uma estratégia urbana e regional articulada, revelando-se uma disjunção entre o desenvolvimento imobiliário e socioeconômico do Distrito Tecnológico de Parque dos Patrícios frente às atividades econômicas industriais e de serviços presentes no âmbito da Grande Buenos Aires. Parece ainda não existir uma verdadeira rede para potencializar as atividades produtivas e beneficiar as populações trabalhadoras e moradoras, tanto na CABA como na GBA. No âmbito da Cidade Autônoma e de seu distrito tecnológico, prevalece a lógica de fixação das empresas conforme seus interesses de se estabelecer em uma área valorizada, muito bem conectada, com benefícios facultados pela ação do Estado, como no âmbito da CABA. E prevalecem os interesses de desenvolvimento imobiliário, sem que um Projeto Urbano que pense de maneira integrada o novo e as populações residentes na Zona Sul de menor condição de renda seja efetivamente implementado.
Os indicadores de elevação da população no Conurbano bonaerense, a par da ampliação das atividades industriais no domínio periurbano, confirmam a ausência de uma política articulada, e reforçam a possível gentrificação ocorrendo na CABA. A contrapartida disto é o aumento do contingente populacional e de demandas habitacionais e de serviços básicos gerados no Conurbano, sobrecarregando os anéis em torno de Buenos Aires.
A comparação entre os processos de desenvolvimento e aplicação de Projetos Urbanos em Zorrozaurre e Buenos Aires é uma forma de compreender o fenômeno da revitalização urbana casada ao desenvolvimento regional, procurando explicitar estratégias distintas de valorização da escala local, pontos de partida e prioridades, formas de financiamento da revitalização urbana e de atendimento aos diferentes perfis socioeconômicos dessas localidades. Enquanto Bilbao procura uma rede complementar de atividades econômicas na cidade central e na região metropolitana, tendo o Rio Nervion como eixo estruturador, seu último Grande Projeto Urbano se enfrenta com uma realidade indiscutivelmente crucial, o esvaziamento da capital e a evasão de população jovem. Para compensar a valorização da terra nessa área renovada, o poder público investe em habitação de proteção oficial, para fixar população em idade produtiva na cidade. O alcance de sucesso da operação urbana de implantação do parque tecnológico urbano de Zorrozaurre é ainda um processo por acompanhar, em futuros trabalhos.
Buenos Aires, a despeito da aparente cisão entre a revitalização urbana levada no âmbito da CABA e seus distritos econômicos, tem o mérito de empreender com clareza e forte apoio público seus Projetos Urbanos. No entanto, a forma de valorização do boom imobiliário, na ausência de instrumentos e projetos articulados de habitação e equipamentos de interesse social nas áreas em renovação, leva também a investigar futuramente não só o sucesso econômico do Distrito tecnológico do Parque dos Patrícios, mas aprofundar os mecanismos urbanísticos de produção do espaço e fortalecimento da escala local, na capital portenha.
REFERÊNCIAS
ABASCAL, Eunice Helena S. A regeneração urbana de Bilbao como processo dinâmico e polifónico. 2004. Tese de doutorado (Programa de Pós-graduação da Faculdade de Arquitetura e Urbanismo) – Universidade de São Paulo, São Paulo, 2004.
ABASCAL, Eunice Helena S.; BILBAO, Carlos Abascal. Das intervenções setoriais à cidade-região: o Plano Bilbao Biscaia Next - processos, avanços e desafios. GOT, Porto, n. 14, p. 5-46, Sept. 2018. Doi: http://dx.doi.org/10.17127/got/2018.14.001.
ABASCAL, Eunice Helena S. Planos e Projetos Urbanos estratégicos. Teoria e prática do Projeto Urbano contemporâneo – 22@Barcelona e Bilbao Biscaia Next (Projeto Urbano de Zorrozaurre). Barcelona, Universidade Presbiteriana Mackenzie e UPC Universidade Politécnica da Catalunha, 2019. Relatório de pesquisa pós-doutoral.
AGUILLAR, Adrián Guillermo (coord.). Procesos metropolitanos y grandes ciudades. Dinámicas recientes en México y otros países. Ciudad de México, Ediciones UNAM, 2004.
ALDEKOA, Andoni. Bilbao Bizkaia Next. In: GARRIDO, Almudena; GÁNDARA, Guillermo. Nuestras ciudades del futuro. ¿Como hacer sostenibles los espacios urbanos¿ Universidad de Deusto e EGAP Escuela de Gobierno y Política Pública de Monterrey. Bilbao, Erasmus Emprender el presente, 2013.
AYUNTAMIENTO DE BILBAO. La transformación de Zorrotzaurre: combinando Fondos Europeos, el caso de Bilbao. Bilbao, 2018. Disponível em https://docplayer.es/96623590-La-transformacion-de-zorrotzaurre-combinando-fondos-europeos-el-caso-de-bilbao-bilboko-udala.html. Acesso em: 5 jan. 2020.
AMIN, Ash. Política regional em uma economia global. In: DINIZ, Clelio Campolina. Políticas de desenvolvimento regional: desafios e perspectivas à luz das experiências da União Europeia e do Brasil. Brasília, Editora da UnB, 2007.
BLANCO VALDÉS, Roberto L. La revolución territorial española: Estado y sociedad. In: FERRARO GARCÍA, Francisco José (ed.) Un balance del Estado de las Autonomías. Almería, Fundación Cajamar, 2006.
BRESSER-PEREIRA, Luiz Carlos. Modelos de Estado Desenvolvimentista. Texto para discussão. São Paulo: FGV, 2016. Disponível em: http://www.bresserpereira.org.br/Texto-Discuss%C3%A3o/350-Modelos-Estado-Desenvovimentista-TD412.pdf. Acesso em: 5 jan. 2020.
BRIANO, Luis Esteban; FRITZCHE, Federico Javier; VIO, Marcela Laura. El lugar de la industria. Los parques industriales en la reestructuración productiva y territorial de la Región Metropolitana de Buenos Aires. Eure, v. XXIX, n. 86, pp. 109.135. Santiago de Chile, 2003. Disponível em: https://scielo.conicyt.cl/scielo.php?script=sci_arttext&pid=S025071612003008600006. Acesso em: 2 jan. 2020.
CARLOS, Ana Fani Alexandre. A urbanização da sociedade: questões para o debate. In: OLIVEIRA, M. P.; COELHO, M. C. N.; CÔRREA, A. de M. (Org.). O Brasil, a América Latina e o Mundo: espacialidades contemporâneas. Rio de Janeiro: Lamparina, 2008. V. 2.
CICOLLELA, Pablo. Las Metrópolis Latinoamericanas en el contexto de la globalización: las mutaciones de las áreas centrales. Para Onde!?, 9 (1): 01-09 jan./jul. 2015. Disponível em: https://seer.ufrgs.br/paraonde/issue/download/3500/535. Acesso em: 2 jan. 2020.
CONTI, Sergio. Políticas espaciais europeias. in: DINIZ, Clelio Campolina (org). Políticas de desenvolvimento regional: desafios e perspectivas à luz das experiências da UE e Brasil. Brasilia, UnB, 2007.
DE MATTOS, Carlos. Reestructuración, crecimiento y expansión metropolitana en las economías emergentes latinoamericanas. Economía, sociedad y territorio, v. I, n. 4, 1998. Pp. 1-16. Disponível em: https://est.cmq.edu.mx/index.php/est/article/view/538/1042. Acesso em: 2 jan. 2020.
DIRECCION PROVINCIAL DE ORDENAMENTO URBANO Y TERRITORIAL. Lineamientos Estratégicos para la Región Metropolitana de Buenos Aires. Buenos Aires, Subsecretaria de Urbanismo y Vivienda, 2013. Disponível em: https://www.mininterior.gov.ar/planificacion/pdf/planes-reg/Lineamiento Estrategicos-para-la-Region-Metropolitana-de-Buenos-Aires.pdf. Acesso em: 10 jan. 2020.
ELORRIETA, B.; OLCINA, J.; SÁNCHEZ, D. La sostenibilidad en la planificación territorial de escala regional. Cuadernos Geográficos, 2016. v. 55, n. 1, pp. 149-175. Disponível em: http://www.scielo.br/pdf/cm/v18n37/2236-9996-cm-18-37-0743.pdf. Acesso em: 6 jan. 2020.
ESTEBAN, Marisol. Luces y sombras del titánio. El proceso de recuperación de Bilbao Metropolitano. Bilbao: Universidad del País Vasco, 2000.
ESTENSORO, Miren; LARREA, Miren. Hacia un nuevo modelo de desarrollo territorial: el reto de reaprender formas de trabajo. Papeles del Pacto Industrial de Barcelona, no. 2, dezembro de 2015. Disponível em: http://www.orkestra.deusto.es/es/investigacion/publicaciones/libros-informes/otras-colecciones/706-hacia-nuevo-modelo-desarrollo-territorial-reto-reaprender-formas-trabajo. Acesso em: 4 jan. 2020.
GARRIDO, Almudena; ALCOCK, Robert (eds.). Foro para um Zorrozaurre sostenible. Bilbao: Asociacion de Vecinos Euskaldunako Zubia, 2004.
GOICOCHEA, María Eugenia. La ciudad de Buenos Aires como ámbito y objeto de negocios. Reflexiones en torno a la gestión urbana del Distrito Tecnológico Parque Patricios. Quid 16, n° 4, pp. 161- 185. . Acesso em: 15 jan. 2020.
GOVERNO BASCO, Plan de Ciencia, Tecnología e Innovación Euskadi 2020 - PCTI EUSKADI 2020. Bilbao, Governo Basco, 2020. Disponível em: https://www.euskadi.eus/gobierno-vasco/pcti-2020/. Acesso em: 1 jan. 2020.
INDOVINA, Francesco. La ciudad difusa. In: RAMOS, A. R. (Ed). Lo urbano en 20 autores contemporáneos. Barcelona: Ediciones UPC, 2004.
INTENDENCIA DE BUENOS AIRES. (BA). Distrito Tecnológico. Disponível em: https://www.buenosaires.gob.ar/distritoseconomicos/distritotecnologico/distrito-tecnologico. Acesso em: 19 jan. 2020.
LANBIDE TEKANIKA. ZORROTZAURRE: una isla para vivir, trabajar y disfrutar. Disponível em: http://www.zorrotzaurre.com/. Acesso em 3 de janeiro de 2020.
LANFRANCHI, Gabriel; GARAY, Alfredo; BIDART, Mercedes. Revisión de los Lineamientos Estratégicos para la Región Metropolitana de Buenos Aires 2007-2017. Buenos Aires, 2017. Disponível em: https://www.cippec.org/publicacion/revision-de-los-lineamientos-estrategicos-para-la-region-metropolitana-de-buenos-aires-2007-2017/. Acesso em: 2 jan. 2020.
OBSERVATORIO DEL CONURBANO. Integración sociourbana en el Conurbano Bonaerense: entre las necesidades reales y las respuestas del Estado. Buenos Aires, UNGS Universidad Nacional de General Sarmiento, 2020. Disponível em: http://observatorioconurbano.ungs.edu.ar/?p=9295. Acesso em 10 de janeiro de 2020.
QUEIROZ, Luiz Cesar de. As Metrópoles e o Direito à Cidade na inflexão ultraliberal da ordem urbana brasileira. In: Rio de Janeiro/São Paulo, Observatório das Metrópoles, 2020. Disponível em: file:///C:/Users/Admin/Desktop/AULA_POS_2019/AULAS_2020_DIREITO_ARQ/TD-012-2020_Luiz-Cesar-Ribeiro_Final.pdf. Acesso em: 4 abr. 2020.
ROMERO, Luis Alberto. História contemporânea da Argentina. Rio, Jorge Zahar, 2006.
RONGVAUX, Larena. Diez años del Distrito Tecnológico: políticas de desarrollo urbano y valorización inmobiliaria en el sur de la Ciudad de Buenos Aires. In: Quid, 16 nº11, 2019, pp. 201-221. Disponível em: https://publicaciones.sociales.uba.ar/index.php/quid16/article/view/3133/pdf. Acesso em 8 de janeiro de 2020.
SASSEN, Saskia. Ciudades en la economía global: enfoques teóricos y metodológicos. In: Revista EURE - Revista de Estudios Urbano Regionales, no. 24 (71). Disponivel em: https://www.eure.cl/index.php/eure/article/view/1158. Acesso em: 4 jan. 2020.
SANTOS; Milton. A natureza do espaço. Técnica e Tempo. Razão e Emoção. Sao Paulo: EDUSP, 2009.
THOMASZ, L. Los nuevos distritos creativos de la Ciudad de Buenos Aires: la conversión del barrio de La Boca en el “Distrito de las Artes”. In: Eure, vol 42, no. 126, 2016, pp. 145-167. Disponível em: http://www.eure.cl/index.php/eure/article/view/1520/903. Acesso em: 8 jan. 2020.
USACH, Natalia; GARRIDO-YSERTE, Rubén; GALLO-RIVERA, María-Teresa. Organización territorial y funcional de la metrópoli de Buenos Aires. Eure, v. 43, n. 128, p. 55-80, 2017. Disponível em: https://scielo.conicyt.cl/pdf/eure/v43n128/art03.pdf. Acesso em: 1 jan. 2020.
ZONAPROP NOTÍCIAS. Enero: todos los números del mercado inmobiliário en GBA Oeste y Sur Anexo. Disponível em: https://www.zonaprop.com.ar/noticias/?__cf_chl_captcha_tk__=a8b36e7a4ce1dd367faf06171dbc1a1c27d16dcd-1581961160-0-AfCrz1H2V1Sq7j5X1lXW0NpufLyXbNCiiTDHENGuwZJvCI1Yx2-Qjl6EqqXw7e0gxiBxiG5OqmVeW. Acesso em: 1 jan. 2020.
Notas