Artículos
Recepción: 27 Febrero 2018
Aprobación: 30 Diciembre 2018
Publicación: 20 Mayo 2019
DOI: https://doi.org/10.18273/revuin.v18n3-2019018
Resumen: La nueva norma de etiquetado en Colombia (RETIQ) requiere que los motores de inducción especifiquen su eficiencia en condiciones nominales. La Comisión Internacional de Electrotecnia (CIE) indica tres formas de calcular la eficiencia de motores de inducción. Una de estas formas considera en detalle cada una de las pérdidas de potencia en el motor. Es claro que, desde el punto de vista del fabricante, sería muy ventajoso conocer en detalle cada una de las pérdidas de potencia, con el fin de mejorar la eficiencia del motor. Adicionalmente, las mediciones hechas para el cálculo de las pérdidas de potencia proveen suficiente información para estimar los parámetros eléctricos de los motores de inducción, usando algoritmos de optimización. En este trabajo se explora la estimación de los parámetros del motor de inducción a partir de las medidas indicadas por la CIE para estimar las pérdidas de potencia en motores de inducción. En particular, los algoritmos de optimización global: búsqueda de armonía y el algoritmo genético híbrido arrojan estimados consistentes de los parámetros de inducción del motor. Una vez hallados los parámetros eléctricos del motor de inducción, se puede modelar su funcionamiento a cualquier condición de carga, incluyendo estados transitorios.
Palabras clave: eficiencia, pérdidas de potencia, motor de inducción, optimización.
Abstract: The new labeling rule in Colombia RETIQ Art. 12 three-phase induction motors type squirrel cage for 60 Hz requires induction motors to specify their efficiency under nominal conditions. The International Electrotechnical Commission (IEC) indicates three ways to compute induction motor efficiency. One of these ways considers in detail each of the power losses in the motor. It is clear that from the standpoint of manufacturers it would be advantageous to know the power losses detailed to improve motor efficiency. Furthermore, the measurements made to compute power losses provide enough information to estimate the electrical parameters of induction motors, using optimization algorithms. This work explores parameter estimation of induction motors using the measurements indicated by the IEC to estimate power losses in induction motors. In particular, the algorithms of global optimization, harmony and hybrid genetic algorithms, produce consistent estimates of the electrical parameters of the induction motor. Once the electrical parameters of the induction motor are found, its performance can be modeled for any load condition, including transient states.
Keywords: efficiency, power losses, induction motor, optimization.
1. Introducción
La gestión eficiente de la energía es uno de los principales retos de los gobiernos del mundo para enfrentar el cambio climático, y el etiquetado se ha convertido en una valiosa herramienta para lograrlo. Actualmente, 60 países lo aplican, o se encuentran desarrollando normas para aplicarlo. Las experiencias alrededor de la creación o implementación de normas y ejercicios de etiquetado de eficiencia energética se remontan a la década del 60, y Francia es el país pionero en el tema, al tomar en 1966 la iniciativa. Una década después se sumarían Estados Unidos, Alemania, Rusia y Canadá. En el 2001 se promulgó la Ley sobre el Uso Racional de la Energía, que abre el campo para desarrollar herramientas como el etiquetado de eficiencia energética, y para concientizar a los ciudadanos sobre la necesidad de ahorrar energía. A partir de ese momento la UPME (Unidad de Planeación Minero Energética) y el Icontec (Instituto Colombiano de Normas Técnicas y Certificación) desarrollaron las Normas Técnicas Colombianas, y se dio comienzo al Programa Conoce, que promovía el etiquetado voluntario, de manera inicial. Actualmente el Reglamento Técnico de Etiquetado (RETIQ), elaborado por el Ministerio de Minas y Energía, sigue el trámite legal para su aprobación, que generará el inicio del etiquetado obligatorio en el país. El cual requiere que diversos equipos eléctricos, entre ellos los motores de inducción, deban indicar su eficiencia nominal en la etiqueta.
Las normas de la Comisión Internacional de Electrotecnia (CIE) indican tres mecanismos por los cuales se puede estimar la eficiencia de los motores de inducción. Uno de estos mecanismos permite estimar cada una de las pérdidas del motor: pérdidas por efecto Joule en el estator y en el rotor, pérdidas en el hierro, pérdidas por fricción y pérdidas adicionales.
Para los fabricantes de motores de inducción sería muy ventajoso conocer en detalle estas pérdidas, ya que les permitiría mejorar la eficiencia de los motores, enfocándose en reducir las pérdidas con mayor peso sobre la eficiencia del motor. De este modo, las mediciones indicadas por la CIE permitirían no solo cumplir con la norma de etiquetado RETIQ, sino además proveerían información detallada al fabricante para mejorar la eficiencia del motor y ser más competitivos comercialmente.
Adicionalmente, como se muestra en este artículo, las medidas indicadas por la CIE permitirían estimar los parámetros eléctricos de los motores de inducción usando algoritmos de optimización avanzados. Los parámetros eléctricos estimados proveerían información adicional a los fabricantes de motores de inducción que les permitiría mejorar el funcionamiento de estos, ya que se podrían simular transitorios, así como también las pérdidas de potencia a cualquier condición de carga.
En la sección III se detalla el cálculo de las pérdidas de un motor de inducción. La sección IV explica cómo se calculan los parámetros eléctricos del motor de inducción usando algoritmos de optimización global. La sección V explica cómo se modela en Matlab el motor de inducción con los parámetros eléctricos hallados. La sección VI presenta las conclusiones de este trabajo.
2. Calculo de las pérdidas
La universidad Antonio Nariño, sede Cúcuta, cuenta con una estación de pruebas LabVolt que incluye un motor trifásico de inducción de 4 polos, 350 W, 220 V y 1.2 A (fig. 1). La estación de prueba también cuenta con una interface a un computador y software especializado que permite medir y visualizar información acerca del voltaje aplicado por fase al motor, la corriente por fase, el factor de potencia por fase, y el par de salida del motor en Nm (ver figura 1). El software también permite controlar el par aplicado al motor. Usando esta estación de pruebas se tomaron medidas para el cálculo de las pérdidas del motor, siguiendo la norma CIE 60034-2-1 [1].

La norma CIE considera varios métodos y procedimientos para la determinación del rendimiento de motores de inducción. El método seleccionado en este trabajo es la suma de pérdidas de potencia con medida del par, dado que la estación de prueba permite medir el par aplicado al motor. Es importante destacar aquí que el propósito de este trabajo no es el de proveer una estación de prueba de la eficiencia del motor según la norma CIE, la cual requiere equipos de medida con una precisión del 0.2 %, sino el de mostrar que en base a las medidas indicadas por la norma es posible estimar también los parámetros eléctricos de los motores de inducción.
Las primeras pérdidas que se estiman, según la norma CIE, son las debidas al rozamiento y ventilación. Para ello se grafican las pérdidas constantes del motor en vacío, en función del voltaje aplicado al cuadrado, tomando por lo menos 7 valores de voltaje, incluyendo el nominal. Las perdidas constantes corresponden a las pérdidas en vacío menos las perdidas en el cobre. Las pérdidas en el cobre se determinan a partir de la corriente por fase y la resistencia medida del estator (12.2Ω usando un ohmímetro). Las pérdidas por rozamiento y ventilación corresponden a las pérdidas de potencia que existirían a una tensión de 0 V. La figura 2 muestra las pérdidas constantes, así como la curva de regresión. Las pérdidas por rozamiento y ventilación estimadas son de 11.4 W.

Las pérdidas en el hierro se obtienen restando las pérdidas por rozamiento y ventilación a las pérdidas constantes en vacío. La figura 3 muestra las pérdidas en el hierro en función de la tensión al cuadrado. Para las pruebas bajo carga, se emplean al menos 6 valores diferentes del par, incluyendo el par nominal. Las pérdidas bajo carga en el cobre del estator se obtienen de la resistencia por fase medida y la corriente por fase medida. Las pérdidas bajo carga en el cobre del rotor se obtienen restando a la potencia absorbida las pérdidas en el cobre del estator más las pérdidas en el hierro; esta potencia se refiere al rotor multiplicando por el factor de deslizamiento, bajo carga.

Finalmente, las pérdidas residuales corresponden a la potencia absorbida por el motor menos la potencia útil del motor (par en Nm por velocidad en rad/s) menos las pérdidas en el cobre tanto del estator como del rotor, menos las pérdidas en el hierro, menos las pérdidas por rozamiento y ventilación. Las pérdidas residuales se grafican en función del par al cuadrado para obtener la pendiente indicada en la figura 4. Las pérdidas adicionales se calculan multiplicando la pendiente hallada por regresión por el par al cuadrado.

La figura 5 indica la distribución de las pérdidas de potencia a la tensión nominal. A partir de la suma de pérdidas se calcula la eficiencia del motor a la tensión nominal. En este caso, la eficiencia η se calcula como:


donde Pab es la potencia absorbida; Pcu1 , las pérdidas en el cobre del estator; Pcu2 , las pérdidas en el cobre del rotor; PH, las pérdidas en el hierro; Pf, las pérdidas por fricción, y Pa, las pérdidas adicionales. La eficiencia del motor calculada por este método fue de 0.71. Este valor es bastante cercano al calculado mediante el método directo, donde se mide la potencia absorbida y la útil, en cuyo caso η=Putil/Pab, correspondiente a una eficiencia de
Estos resultados indican que se puede obtener una medida precisa de la eficiencia del motor usando el método de la suma de pérdidas con medida de par, con la gran ventaja de obtener adicionalmente información detallada de cada una de las pérdidas de potencia en el motor. En este caso, como se observa en la figura 5, más del 50 % de las pérdidas del motor corresponden a las pérdidas en el cobre del estator. Para aumentar la eficiencia de este motor sería aconsejable reducir las pérdidas en el cobre del estator mediante el uso de un calibre mayor.
3. Estimación de los parámetros del motor
El problema inverso de estimar los parámetros del motor de inducción a partir de medidas de voltaje, corriente, factor de potencia, par y/o velocidad, ha sido objeto de intenso estudio en el pasado. En particular, se ha encontrado que los algoritmos de búsqueda global, basados en poblaciones, proveen resultados muy superiores a los algoritmos de búsqueda local [2]. Más aún, los algoritmos más complejos sobrepasan en desempeño a los algoritmos más simples [2], lo que justifica el uso de algoritmos avanzados para la estimación de los parámetros eléctricos de los motores de inducción.
En la categoría de algoritmos avanzados de búsqueda global usados para la estimación de los parámetros del motor de inducción están los algoritmos genéticos (genetic algorithms)[2]-[10], la optimización por nube de partículas (particle swarm optimization)[2] [7], el algoritmo de optimización cucú (cuckoo optimization algorithm)[4], algoritmo de optimización del enjambre de abejas (guided artificial bee colony algorithm)[4], algoritmo de búsqueda de armonía (harmony search algorithm)[11], algoritmos evolutivos (evolutionary algorithms)[2], redes neuronales (neural networks)[12], evolución diferencial (differential evolution)[13], algoritmo de forraje bacterial (bacterial foraging algorithm)[14], y algoritmo inmune (inmune algorithm)[15].
No se consiguió implementación alguna del algoritmo de optimización del enjambre de abejas ni el de forraje bacterial. Los demás algoritmos se encontraron en la web, implementados en Matlab. El algoritmo de optimización Cucú presenta un error de código y por tanto no fue usado en este trabajo. Se probó el algoritmo de optimización por nube de partículas acotado, pero arrojó resultados muy pobres y con mucha variabilidad, así que no es referenciado en este trabajo. Igualmente el algoritmo inmune no acepta restricciones en los parámetros, por lo cual produce valores no físicos (negativos) de los parámetros del motor. Los demás algoritmos si aceptan restricciones en el algoritmo de búsqueda y produjeron estimados razonables de los parámetros del motor. Además de los algoritmos anteriores se utilizaron también el algoritmo de recocido simulado (simulated annealing) y el de umbral de aceptación (threshold acceptance), dado que están disponibles en la librería de optimización de Matlab.
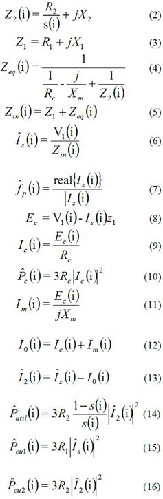
La figura 6 indica los parámetros eléctricos del motor, referidos al estator, por fase. Como se indicó anteriormente, R1 se mide directamente (12.2 Ω), por tanto, los parámetros a estimar son la inductancia del estator X1, la inductancia del rotor X2, la resistencia del rotor R2, la resistencia equivalente del hierro Rc y la reactancia del hierro Xm. Todos los algoritmos de optimización utilizados aquí buscan minimizar una función de costo que incluye estos parámetros eléctricos y las medidas realizadas para determinar las pérdidas del motor.

Basado en los parámetros del motor de inducción (figura 6) y en las medidas tomadas, es posible estimar la corriente en el estator (Îs), el factor de potencia
las pérdidas en el hierro
la potencia útil
y las pérdidas en el cobre del estator
y del rotor
usando las siguientes ecuaciones:

Donde i es un índice correspondiente a cada una de las mediciones efectuadas para el cálculo de las pérdidas del motor. La función de costo que utiliza los datos tomados para calcular las pérdidas del motor y los parámetros del motor está dada por las siguientes ecuaciones:

donde E1 corresponde al error relativo al cuadrado para las pruebas de vacío (7) y carga (6), mientras que E2 corresponde al error relativo al cuadrado para las pruebas bajo carga (6). E corresponde al error total que se va a minimizar usando los algoritmos de optimización indicados anteriormente.
La tabla 1muestra los parámetros estimados usando 5 algoritmos de optimización diferentes. En particular, el algoritmo genético híbrido (combinando el algoritmo genético con un algoritmo de búsqueda local) arrojó buenos resultados, igualmente el algoritmo de búsqueda de armonía. Es importante destacar que aun cuando el algoritmo de evolución diferencial obtiene el menor valor para la función de costo E, predice un valor de cero para X2, lo cual no tiene sentido físico. Los mejores resultados se obtuvieron cuando se restringió (constrained minimization) el rango de valores que cada parámetro puede tomar a (Ohms): 0≤X1≤100, 200≤Rc≤5000, 1≤Xm≤1000, 1≤R2≤100, 0≤X2≤100. Rangos aproximados de valores para estos parámetros se pueden obtener del ensayo en vacío considerando la caída en R1 y X1 despreciable. Los demás rangos son razonables y se pueden obtener de los resultados de los algoritmos de optimización, ya que, cuando el rango tomado es incorrecto, los parámetros estimados toman el valor de uno de los límites, lo que indica que el rango no es apropiado.

4. Modelamiento del motor de inducción
La figura 7 muestra el circuito equivalente del motor de inducción modelado en Matlab usando la librería SimPowerSystems, con los parámetros indicados en la tabla 1 para el algoritmo de búsqueda de armonía. El interruptor se agrega para simular el transitorio de la corriente del estator cuando se arranca el motor bajo condiciones nominales. La figura 8 muestra la simulación del transitorio en la corriente del estator bajo condiciones nominales.


Matlab ofrece un modelo del motor de inducción trifásico en la librería SimPowerSystems. La figura 9 muestra el modelo del motor trifásico alimentado con los parámetros hallados usando el algoritmo de búsqueda de armonía. Se observa en esta figura que se le aplicó el par nominal (1.455 Nm). El modelo arroja 21 variables medidas del motor de inducción. En la figura 9 se muestra un bus selector que selecciona 4 de las 21 variables: corriente en el rotor, corriente en el estator, velocidad del rotor y par electromagnético. La figura 10 muestra el transitorio en la corriente del rotor.


5. Conclusiones
La nueva norma de etiquetado en Colombia requiere que los fabricantes tomen conciencia de la eficiencia energética que sus equipos ofrecen. En particular, se ha demostrado aquí que usando el método de la suma de pérdidas con medida de par de la norma CIE para motores de inducción, es posible no solo identificar dónde están las mayores pérdidas de potencia en el motor, sino también identificar los parámetros eléctricos del motor usando algoritmos robustos de búsqueda global. La identificación de los parámetros eléctricos del motor de inducción permite simular transitorios, así como también simular el comportamiento del motor a cualquier condición de carga.
Referencias
[1] IEC Rotating electrical machines, Part 2-1: Standard methods for determining losses and efficiency from tests, IEC 60034-2-1, 2007.
[2] R. K. Ursem y P. Vadstrup, "Parameter identification of induction motors using stochastic optimization algorithms," Applied Soft Computing, vol. 4, no. 1, pp. 49-64, 2004. doi: 10.1016/j.asoc.2003.08.002.
[3] M. S. Aspalli, S. B. Shetagar and S. F. Kodad, "Estimation of induction motor field efficiency for energy audit and management using genetic algorithm," 20083rdInternational Conference on Sensing Technology, Tainan, 2008, pp. 440-445. doi: 10.1109/ICSENST.2008.4757144.
[4] H. Babei y H. Zayandehroodi, "Estimation of induction motor efficiency value by nature based optimization algorithm," Int. J. Rev. Life. Sci., vol. 5, no. 8, pp. 473-481, Nov. 2015.
[5] A. Charette, J. Xu, A. Ba-Razzouk, P. Pillay and V. Rajagopalan, "The use of the genetic algorithm for in-situ efficiency measurement of an induction motor," 2000IEEE Power Engineering Society Winter Meeting. Conference Proceedings (Cat. No.00CH37077), Singapore, 2000, pp. 392-397 vol.1. doi: 10.1109/PESW.2000.849996.
[6] I. Kostov, V. Spasov y V. Rangelova, "Application of genetic algorithms for determining the parameters of induction motors," Technical Gazette, vol. 16, no. 2, pp. 49-53, 2009.
[7] H. R. Mohammadi y A. Akhavan, "Parameter Estimation of Three-Phase Induction Motor Using Hybrid of Genetic Algorithm and Particle Swarm Optimization," Hindawi Publishing Corporation Journal of Engineering, vol. 2014, 2014. doi: 10.1155/2014/148204.
[8] T. Phumiphak and C. Chat-uthai, "Estimation of induction motor parameters based on field test coupled with genetic algorithm," Proceedings. International Conference on Power System Technology, Kunming, China, 2002, pp. 1199-1203 vol.2. doi: 10.1109/ICPST.2002.1047592.
[9] V. Spasov et al., "An efficient approach for determining induction motors parameters," Acta Tehnica Corviniensis - Bulletin of Engineering, vol. 7, no. 2, pp. 117-122, 2014.
[10] Y. Tai, Z. Liu, H. Yu and J. Liu, "Efficiency optimization of induction motors using genetic algorithm and Hybrid Genetic Algorithm," 2011International Conference on Electrical Machines and Systems, Beijing, 2011, pp. 1-4. doi: 10.1109/ICEMS.2011.6073854.
[11] J. R. Marques, I. F. Machado and J. R. Cardoso, "Induction motor parameter determination using the harmony search algorithm to power, torque and speed estimation," IECON2012 - 38thAnnual Conference on IEEE Industrial Electronics Society, Montreal, QC, 2012, pp. 1835 - 1840. doi: 10.1109/IECON.2012.6388922.
[12] Dongjin Bae, Dowan Kim, Hyun-kyo Jung, Songyop Hahn and Chang Seop Koh, "Determination of induction motor parameters by using neural network based on FEM results," inIEEE Transactions on Magnetics, vol. 33, no. 2, pp. 1924-1927, 1997. doi: 10.1109/20.582668.
[13] R. K. Ursem and P. Vadstrup , "Parameter identification of induction motors using differential evolution," The2003Congress on Evolutionary Computation, 2003. CEC '03., Canberra, ACT, Australia, 2003, pp 790-796 Vol. 2. doi: 10.1109/CEC.2003.1299748.
[14] V. P. Sakthivel, R. Bhuvaneswari y S. Subramanian, "An accurate and economical approach for induction motor field efficiency estimation using bacterial foraging algorithm," Measurement, vol. 44, no. 4, pp. 674-684, 2011. doi: 10.1016/j.measurement.2010.12.008.
[15] V. P. Sakthivel , R. Bhuvaneswari y S. Subramanian , "Artificial immune system for parameter estimation of induction motor," Expert Systems with Applications, vol. 37, no. 8, pp. 6109-6115, 2010. doi: 10.1016/j.eswa.2010.02.034.
Notas