Artículos

Recepción: 27 Diciembre 2019
Aprobación: 07 Agosto 2020
Publicación: 05 Noviembre 2020
DOI: https://doi.org/10.18273/revuin.v20n1-2021013
Abstract: In the gold beneficiation processes, the degree of particle size reduction is strongly influenced by the size and shape of the mineral species associated with the economically important metals. The capacity, energy consumption, and costs of the gold-bearing ore processing depend mainly on the operational parameters of the equipment of comminution and gravimetric concentration; therefore, it is essential to characterize the liberation degree of the minerals of interest as function of particle size. The small-scale mining beneficiation plants usually do not consider the liberation of sulfide particles as a requirement to define the grinding size reduction ratio, this is determined empirically, evaluating in which size a higher percentage of gold recovery is obtained. The methodology proposed in this paper constitutes a low cost analytical technique, using the free software IMAGE-J, to determine the appropriate liberation size for sulfide particles and associated gold particles, as well as the size distribution of gold ore particles. Additionally, the Molycop-Tools software was used to simulate the best grinding strategy based on the liberation results obtained. Through the methodology of automatic image analysis to determine the liberation degree of sulfides, the mineralogical characterization, and the recommendation of a metallurgical processing strategy for the gold-bearing ore based on steady-state simulations, it was possible to establish the appropriate parameters of ball mill grinding and gravimetric concentration of the Gualconda mine in the Department of Nariño, in order to improve the gold recovery and increase the plant capacity.
Keywords: gold ore, hydrometallurgy, steady state simulations, process mineralogy, small-scale mining.
Resumen: En los procesos de beneficio del oro, el grado de reducción del tamaño de partícula está fuertemente influenciado por el tamaño y la forma de las especies minerales asociadas con los metales de importancia económica. La capacidad, el consumo de energía y los costos del procesamiento del mineral aurífero dependen principalmente de los parámetros operativos de los equipos de conminución y concentración gravimétrica; por lo tanto, es esencial caracterizar el grado de liberación de los minerales de interés en función del tamaño de partícula. Las plantas de beneficio mineral en pequeña escala generalmente no consideran la liberación de las partículas de sulfuros como un requisito para definir la relación de reducción del tamaño de molienda, esto se determina empíricamente, evaluando en qué tamaño se obtiene un mayor porcentaje de recuperación de oro. La metodología propuesta en el presente artículo constituye una técnica analítica de bajo costo, utilizando el software libre IMAGE-J, para determinar el tamaño de liberación apropiado para las partículas de sulfuros y las partículas de oro asociadas, así como la distribución de tamaño de las partículas oro. Adicionalmente, fue utilizado el software Molycop-Tools para simular la mejor estrategia de molienda basada en los resultados de liberación obtenidos. A través de la metodología del análisis automático de imágenes para determinar el grado de liberación de sulfuros, la caracterización mineralógica y la recomendación de una estrategia de procesamiento metalúrgico para el mineral aurífero basado en simulaciones en estado estacionario, fue posible establecer los parámetros apropiados de la bola molienda y concentración gravimétrica de la mina Gualconda en el departamento de Nariño, para mejorar la recuperación de oro y aumentar la capacidad de la planta.
Palabras clave: mineral aurífero, hidrometalurgia, simulación en estado estacionario, mineralogía de proceso, minería en pequeña escala.
1. Introduction
The Artisanal and Small-scale Gold mining (AGM and SGM) in Colombia is characterized for a low technical level, low gold recoveries and high contamination of the environment [1], [2]. AGM and SGM represents the 87% of the Colombian gold annual production of 61.8 Au t/year [3]. In 2013 Colombia signed the UNEP Minamata Convention, announcing a commitment to reduce the use of mercury. The implementation of Law 1658 confirms the mercury prohibition in all gold mining operations by July 2018. In addition, the Strategic Plan to Eliminate the Use of Mercury in Colombia [4] introduces incentives for the formalization, new alternatives and technical improvements for the SGM.
According to this, since 2017 the Colombian Geological Survey (CGS), has been developing the project named “Methodological guides through the mineralogical characterization of the mining districts, applied to the production improvement of the gold beneficiation and the substitution of the mercury in the metallurgical process in the Small-scale Mining in Colombia” [5]. The main objective of the guides is giving to the SGM communities, valuable information about the deposits geology, mineral characterization, liberation degree of the valuable minerals, metallurgical strategies to improve the gold beneficiation process and an economic feasibility analysis of the project.
The present work describes the methodology of the mineral characterization and the metallurgical tests to improve the gold beneficiation process of the Gualconda gold mine from the district of Sotomayor- Los Andes, Nariño.
1.1. Gualconda gold mine
The Gualconda Mine is located in the municipality of Los Andes – Nariño (Figure 1). The gold mineralization is characterized by quartz seams rich in sulfides, mainly arsenopyrite and pyrrhotite, with minor amounts of sphalerite, chalcopyrite and galena. The Gualconda geometallurgical unit consists of seams with high pyrrhotine contents, embedded in igneous rocks, ores with high pyrrhotite content are considered medium to high refractoriness [5].

Figure 2 shows the flowsheet scheme of the Gualconda beneficiation circuit. The plant has a jaw crusher, primary ball mill with a classification trommel and manual recycling of coarse material; JIG, table and sluice concentrators, regrinding ball mill, cyanidation tank and Merrill Crowe tank.

The primary grinding is the most important step of the beneficiation process. Currently, the ball mill works around 8 h/day, the product P80 is around 150 µm for a throughput of 0.3 t/h. The concentration circuit produces around 216 kg/day of gold concentrates. The concentrates are regrinding and then go to the cyanidation process, which takes 24 hours and a cyanide consumption of 4.5 kg NaCN/t. The Run Of Mine ore has a gold grade of 16.1 g Au/t and the gold recovery of the circuit is 60% [5].
2. Methodology and materials
2.1. Sample preparation
A representative sample of the Run of Mine (ROM) was collected in the primary crusher chute of the Gualconda’s beneficiation plant. The sample was prepared using jaw and disc crushers to obtain a product under 1.18 mm sieve (Figure 3). The samples for the mineralogical analysis and the metallurgical test were obtained using a laboratory riffle splitter.

2.2. Mineralogical characterization
Four thin sections of the Gualconda’s gold ore were prepared to determine the occurrence of minerals and its grain size, as well as the association relationship in order to obtain the mineral composition, the liberation degree of the sulfides respect to gangue minerals according to the [6], methodology and the gold grains particle size distribution and association.
The sample were examined under a binocular petrographic microscope at 5X to 20X objective magnification using a Meiji MX 9300 microscope, couples with Infinity digital camera. Same conditions of illumination and exposition time were used to take around 25 microphotographs from the thin sections using the magnification that best suits the major proportion of particle sizes in the sample, and the images were properly scaled as well.
The polishing of the thin section sample is considered of extremely importance to take care of not overpass the average thickness of the grains, because in that case the surface measured will correspond to an apparent length.
2.3. Image analysis using IMAGE-J free-software
Particle size analysis and the mineral characterization were done simultaneously, using the IMAGE-J software. The IMAGE-J software works with grey scale images in which each pixel can have values between 0 or 255, and are sorted by cores. The images were manipulated with the command threshold allowing the user to select the pixels that best depict the cores according to the intensity value that corresponds with the interest minerals (higher values for bright minerals as sulfides). The Figure 4 (left) show how the threshold window selects the pixels that are over the intensity value, in this case arsenopyrite.
After using the command threshold, the count of particles was done. Set measurements is the option to choose which parameters are required to measure, for sulfide liberation were selected the Area and Feret diameter boxes.
The Figure 4 (right) shows a numerated draw of the perimeter border of all the cores measured, this is useful for the editor to correlate the measure obtained by the software with each mineral species observed in the microscope. The measurement results and the mineral grains identification data were processed in a specially designed spreadsheet.

Considering the equivalent sphere theory of Castro Viejo et al. [7], the master spreadsheet has the relationship to convert the measured area of each particle to its equivalent sphere volume. That transformation it is calculated in order to have the equivalent diameter that complemented with the standard density value of each mineral specie and the volume, yield the weight percentage that is the fact with minor influence of distortion due to abnormally large particles with little frequency, or tiny particles represented as plenty of disseminated spots throughout the sample.
2.4. Metallurgical tests
Samples A and B were grinding under 150 µm and 600 µm respectively using a laboratory ball mill. The particle size of the sample A, corresponds to the current Gualconda’s ball mill product, and the particle size of the sample B, corresponds to the sulfides grain size liberation determined by the mineralogical analysis. The particle size distribution was analyzed using a SAMPO √2 sieve series. Table 1 shows the ball mill operational conditions for the grinding of the samples A and B.

Samples A and B were concentrated using a laboratory table concentrator to obtain three products: concentrates, middlings and tails. The concentration products of the samples A and B were analyzed by fire assay to determine the gold grade, and X-ray fluorescence (XRF) to determine the SiO2 grade using a Thermo Scientific - Niton XL2 analyzer. For the fire assay and the XRF analysis the samples are reduced to a particle size < 75 µm using a ring mill.
Table 2 shows the table concentrator conditions for the concentration of samples A and B.

Additionally, the middlings and tails obtained from the table concentration were regrinding to a F80 = 75 µm to be reconcentrated by flotation using a laboratory system.
The concentrate obtained in the flotation process was lixiviated using a conventional cyanidation process. Table 3 and 4 shows the operational conditions of the flotation and cyanidation tests.
Additionally, the middlings and tails obtained from the table concentration were regrinding to a F80 = 75 µm to be reconcentrated by flotation using a laboratory system. The concentrate obtained in the flotation process was lixiviated using a conventional cyanidation process. Table 3 and 4 shows the operational conditions of the flotation and cyanidation tests.


2.5. Steady state simulations using Moly-Cop tools
Moly-Cop Tools© 3.0 is a set of 63 easy-to-use EXCEL spreadsheets designed to help process engineers characterize and evaluate the operating efficiency of any grinding circuit, using standardized methodologies and widely accepted evaluation criteria [8]. Gualconda’s primary ball mill grinding parameters were estimated using the laboratory grinding tests [9]. The current grinding circuit was simulated using the operational parameters of Table 5. In addition, an alternative grinding circuit was simulated based on the mineralogical analysis and the metallurgical test results.

3. Results and discussion
3.1. Mineralogical analysis and liberation of sulfide and gold grains
A total of 1493 sulfide particles and 110 gold grains from several microphotographs of the Gualconda’s ore were quantified and measured using the IMAGE-J software. Figure 5 (left) shows the liberation degree for the percent of sulfide as a function of the size, and Figure 5 (right) shows the result of the cumulative percent of sulfide grains.

The results show a high degree of liberated grains of gangue (42.58%) and the cumulative sulfide grain distribution stablish that 85% of the sulfide grains are liberated under 600 µm, this parameter determines the appropriate particle size for the primary ore grinding.
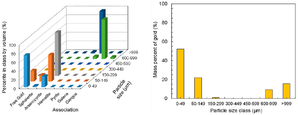
Figure 6 (left) shows the gold grain liberation degree as function of the mineral correlation and the particle size, and Figure 6 (right) shows the particle size distribution of the gold grains.

3.2. Metallurgical test of grinding and concentration
Based on the results of sulfide grain size liberation and the current primary ball mill product P80 of the Gualconda’s beneficiation circuit, the feed sample was grinding to produce two different product particle size distributions (Figure 7).
Figure 7 shows the experimental (symbols) and the fitting (lines) particle size distributions of the samples A and B. The batch ball mill parameters obtained for the Breakage function were: β0 = 0.6, β1 = 0.7 and β2= 1.0, and for the Selection function: α0 = 0.0027, α1 = 0.7, α2 = 0.2 and dcrit = 3243.

Tables 6, 7 and 8 shows the results of the laboratory test of table gravimetric concentration of the samples A and B, flotation of the table concentration middlings and tails, and the flotation concentrate cyanidation.



The results of the table concentration test for samples A and B, show a similar mass recovery of concentrates, middlings and tails, as well the SiO2 grade. Gold grade of the concentrates A and B is very similar, it means, that the primary ball mill coarse product (<600 µm) is not interfering in the coarse gold and sulfide recovery of the gravity concentration process.
Regrinding, flotation of the middling and tail products of the table concentration and cyanidation of the flotation concentrate result in a feasible strategy to recover the fine gold.
3.3. Primary Ball mill and cyclone simulations using Moly-Cop tools
Based on the results of the metallurgical test, an alternative beneficiation circuit for the Gualconda’s gold ore was design (Figure 8).
Figure 8 shows the primary ball mill simulations for the current circuit A and the alternative circuit B and Table 9 shows a comparison of the simulation results for the circuits A and B, considering a global circuit gold recovery of 60% and 75% respectively.


4. Conclusions
The methodology of the present work represents a low- cost alternative useful to perform mineral quantification of gold particles and its associated minerals through the analysis of microphotographs using the free software IMAGE-J to obtain accurate measurements for statistically evaluation, to stablish the liberation degree of sulfides and gold grains by particle size.
The sulfide liberation analysis for the Gualconda mine reported that grinding under 600 µm is sufficient to release the 90% of the sulfides grains. The gold grain liberation analysis show that 50% of the gold grains have an association with sulfides, mainly with arsenopyrite and pyrite. Additionally, the 42% of the gold is recoverable by gravimetric methods; gold particles under 100 µm are very difficult to recover by gravimetric methods.
The results of the laboratory metallurgical tests confirm the hypothesis that the coarse grinding (<600 µm) and the fine grinding (<150 µm) have similar sulfide and coarse gold recovery performance using gravimetric table concentration. Additionally, flotation of the middling and tail products of the table concentration and cyanidation of the flotation concentrate result in a feasible strategy to recover the fine gold.
Based on the metallurgical test, steady state simulations were performed using the software Moly-Cop tools. Simulations results show that the current ball mill primary grinding circuit can increase the throughput from 0.3 t/h to 0.9 t/h for the coarse ball mill product. Additionally, the circuit gold recovery can be improved using a cyclone classification and flotation before the cyanidation process.
Acknowledgments
The Colombian Geological Survey, Laboratory Direction Cali – Colombia, and the Gualconda’s gold mine Manager Mrs. Rolberto Álvarez.
References
[1] F. H. Pantoja Timarán, S. D. Pantoja Barrios, “Problemas Y Desafíos De La Minería De Oro Artesanal Y En Pequeña Escala En Colombia,” Rev. Fac. Ciencias Económicas Investig. y Reflexión, vol. 24, no. 2, pp. 147-160, 2016, doi: 10.18359/rfce.2217
[2] O. García, M. M. Veiga, P. Cordy, O. E. Suescún, J. M. Molina, M. Roeser, “Artisanal gold mining in Antioquia, Colombia: A successful case of mercury reduction,” J. Clean. Prod., vol. 90, pp. 244-252, 2015, doi: 10.1016/j.jclepro.2014.11.032
[3] M. M. Veiga et al., “An Affordable Solution for Micro-miners in Colombia to Process Gold Ores without Mercury,” J. Clean. Prod., 2018, doi: 10.1016/j.jclepro.2018.09.039
[4] Ministerio de Minas y Energía, “Plan Estratégico Sectorial para la eliminación del uso del mercurio: La ruta hacia un beneficio sostenible del oro,” Gobierno de Colombia, Bogotá, pp. 1-46, 2016.
[5] Servicio Geológico Colombiano, Guía metodológica para el mejoramiento productivo del beneficio de oro sin el uso de Mercurio: La Lanada y Sotomayor (Nariño). Cali, Colombia, 2018.
[6] W. Petruk, Applied Mineralogy in the Mining Industry, 1st ed., vol. 1. Amsterdam: Elsevier Science B.V., 2000.
[7] R. Castroviejo, E. Berrezueta, R. Lastra, “Microscopic digital image analysis of gold ores: a critical test of methodology, comparing reflected light and electron microscopy,” Miner. Metall. Process., vol. 19, no. 2, pp. 102-109, 2002
[8] J. E. Sepúlveda, “Methodologies for the evaluation of grinding media consumption rates at full plant scale,” Miner. Eng., vol. 17, no. 11-12, pp. 1269-1279, 2004, doi: 10.1016/j.mineng.2004.08.007
[9] J. Segura, L. M. Tavares, “Comparing comminution routes for a Brazilian iron ore using sustainability principles,” Impc 2014, pp. 1-13, 2014.
Información adicional
How to cite: E. K. Molina-Ramírez, S. N. Fuentes-Torres, F. A. Ramírez, J. Mojica, G. K. Pantoja-Barrios, J. I. Londoño-Escobar, “Geometallurgical methodology to improve the small-scale gold mining process of the Gualconda mine in Nariño – Colombia,” Rev. UIS Ing., vol. 20, no. 1, pp. 143-152, 2021, doi: 10.18273/revuin.v20n1-2021013