Recepción: 03 Mayo 2017
Revisado: 19 Julio 2017
Aprobación: 14 Noviembre 2017
Resumen: Los laboratorios de química son espacios donde se desarrollan prácticas académicas con el empleo de sustancias que pueden resultar nocivas, en cuyo proceso se generan residuos peligrosos. La falta de información sobre este tema, conduce a que quienes los generan hagan un inadecuado manejo de las sustancias e incorrecta disposición de los residuos, generando problemas ambientales y afectación a la salud humana. Esta situación se encuentra en los laboratorios de la Universidad de Nariño ya que no cuentan con estrategias y procedimientos para dar solución a este inconveniente. Así, la investigación buscó incorporar un proceso de educación ambiental permanente en el manejo de residuos peligrosos que permita guiar, orientar y concientizar a la comunidad universitaria sobre dicha problemática. La metodología fue de tipo cuantitativo descriptivo, y comprendió las siguientes etapas: diagnóstico de la situación actual, educación ambiental en el manejo de residuos, caracterización de los residuos generados y elaboración de un protocolo guía. Se encontró, como resultado, que los laboratorios de química presentan deficiencia en la gestión de residuos peligrosos. Así mismo, se plantearon estrategias de educación ambiental a través del Protocolo para manipulación, segregación y almacenamiento de residuos químicos, al tener como principio fundamental, la minimización en la generación. Para validar la incidencia del proceso de educación ambiental, se aplicó encuestas a los estudiantes, encontrándose que un 85% identifica claramente los procedimientos para la gestión de residuos peligrosos; pudiéndose concluir que el proceso de educación ambiental tiene incidencia positiva en la protección de la salud y del medio ambiente.
Palabras clave: educación ambiental (Tesauros), almacenamiento, clasificación de residuos peligrosos, residuos, riesgo segregación (Palabras clave del autor).
Abstract: Chemistry laboratories are spaces where academic practices are developed by using substances that can be harmful because hazardous waste is generated. The lack of information on this topic results in an inadequate handling of the substances and incorrect disposal of waste by people responsible of this process. This generates environmental problems and affecting human health. This situation is seen in the laboratories of the University of Nariño since they do not have strategies and procedures to solve this problem. Thus, the research sought to incorporate a process of permanent environmental education in the management of hazardous waste to guide, orientate and raise awareness in the university community about this difficulty. The methodology was a descriptive quantitative type, and it comprised the following stages: diagnosis of the current situation, environmental education in waste management, characterization of the generated waste and elaboration of a guide protocol. As a result, it was found that chemistry laboratories have a deficiency in the management of hazardous waste. Likewise, environmental education strategies were proposed through the Protocol for handling, segregation and storage of chemical waste, having as a fundamental principle, the minimization of generation. Surveys were applied to the students to validate the incidence of the environmental education process. It was found that 85% of students clearly identify the procedures for the management of hazardous waste; being able to conclude that the process of environmental education has a positive impact on the health and the environment protection.
Keywords: Environmental education (Thesaurus), storage, classification of hazardous waste, waste, risk segregation (Keywords of the author).
Resumo: Os laboratórios de química são espaços onde se desenvolvem praticas acadêmicas com o emprego de substancias que podem resultar nocivas, em cujo processo se gera resíduos perigosos. A falta de informação sobre este tema, faz que os reesposáveis os geram realizem uma gestão inadequada das substancias e uma incorreta disposição dos resíduos provocando problemas ambientais e afectação à saúde humana. Esta situação se encontra nos laboratórios da Universidade de Nariño já que não conta com estratégias e procedimentos para dar solução a este inconveniente. Deste modo, a investigação procurou incorporar um processo de educação ambiental permanente na gestão de resíduos perigosos que permita guiar, orientar e conscientizar à população universitária sobre dita problemática. A metodologia foi de tipo quantitativo descritivo, e compreendeu as seguintes etapas: Diagnóstico da situação atual, educação ambiental na gestão de resíduos, caracterização dos resíduos gerados e elaboração de um protocolo guia Se encontrou, como resultado, que os laboratórios de química apresentam deficiência na gestão de resíduos perigosos. Do mesmo jeito, se propôs estratégias de educação ambiental através do Protocolo para manipulação, segregação e armazenamento de resíduos químicos, ao ter como princípio fundamental, a minimização na geração. Para validar a incidência do processo de educação ambiental, se aplicaram entrevistas aos estudantes, onde se encontrou que um 85% identifica claramente os procedimentos para a gestão de resíduos perigosos; concluindo-se que o processo de educação ambiental tem incidência positiva na proteção da saúde e do meio ambiente.
Palavras-chave: Educação ambiental (Tesauros), armazenamento, classificação de resíduos perigosos, resíduos, risco segregação (Palavras chave do autor).
INTRODUCCIÓN
El artículo 3 del Capítulo I del Decreto 4741 de 2005, define como desecho o residuo peligroso (RESPEL) a “aquel que por sus características infecciosas, explosivas, corrosivas, inflamables, tóxicas, volátiles, combustibles, radiactivas o reactivas pueda causar riesgo a la salud humana o deteriorar la calidad ambiental”. Para Benítez, Gómez, Rodríguez y Zarauza (2011), estos residuos están muchas veces asociados a desechos procedentes de industrias o laboratorios (incluidos los de las universidades), aunque en los hogares también pueden originarse algunos, tales como pinturas, disolventes o productos de limpieza. El manejo inadecuado de este tipo de residuos, ha generado grandes problemas ambientales en el país, como consecuencia del desconocimiento y la ausencia de una conciencia ambiental por parte de los generadores.
En este sentido, los problemas ambientales ocasionados por los residuos peligrosos generados en los laboratorios universitarios, requieren con urgencia la búsqueda de estrategias de educación ambiental para que de esta manera los generadores sean conscientes del riesgo al que están expuestos y promuevan soluciones a la inadecuada gestión de residuos peligrosos y al incumplimiento de algunos requerimientos de seguridad en los laboratorios al tener en cuenta la reglamentación y normativa que se exige para la gestión de este tipo de residuos (Andrade, Mera & Ortiz, 2007)
La educación ambiental conlleva a que las Instituciones de Educación Superior elaboren y mantengan programas y operaciones para que los usuarios que hacen uso de los laboratorios, se responsabilicen de un adecuado manejo a través del reciclado, tratamiento y disposición de los residuos, para lograr la disminución del volumen total de éstos, la toxicidad y los efectos sobre la salud de las personas, el aire, el agua y la tierra (Martínez & Mera, 2012).
Por su parte, Bertini y Cicerone (2009) evaluaron los planes de gestión de residuos peligrosos de distintos laboratorios de química de universidades de Estados Unidos, Europa y Latinoamérica. La mayoría de universidades de Estados Unidos presenta planes bien especificados y detallados; sin embargo, los procedimientos y metodologías de gestión para este tipo de residuos son los mismos que se utilizan para los residuos peligrosos industriales. De ahí que la Agencia de Protección Ambiental de Estados Unidos (USEPA) elaboró recientemente una norma que sirve como guía de gestión de residuos peligrosos en los laboratorios universitarios específicamente. En el caso de Europa, España cuenta con normas específicas para el tratamiento de residuos peligrosos en laboratorios universitarios y de investigación, dadas por el Instituto Nacional de Higiene y Seguridad del Trabajo del Ministerio de Trabajo y Asuntos Sociales (1999) en la Nota Técnica de Prevención (NTP 480). En Latinoamérica se presentan laboratorios de universidades que carecen de planes de gestión, y otros que lo están apenas implementando (Benavides, Mora & Piedra, 2013).
Por otro lado, algunas universidades colombianas como la Universidad de Antioquia, la Universidad Nacional de Colombia y la Universidad del Cauca han intentado implementar y desarrollar metodologías para la separación de residuos y su posterior envío a otras empresas para el respectivo tratamiento (Mera et al., 2007).
Por lo tanto, la educación ambiental debe constituirse en una herramienta activadora de la conciencia ambiental. No obstante, se percibe una falta de correspondencia entre las actitudes expresadas y las acciones realizadas, en ocasiones por dificultades en el conocimiento (deficiencias pedagógicas o de diseño) y la existencia de barreras para la acción (ausencia de herramientas para llevar a cabo la acción de mejora) (Benítez et al., 2011; Benavides et al., 2013).
En los laboratorios de química de la Universidad de Nariño, se ejecutan actividades de enseñanza por parte de docentes, estudiantes y administrativos. En el desarrollo de las prácticas académicas se manejan reactivos químicos y biológicos y se generan residuos peligrosos que han tenido una inadecuada disposición, ya sea porque no se almacenan adecuadamente, no se realiza una apropiada separación o no se toman las medidas necesarias para su reducción o producción. Es importante resaltar que en la Institución existe un Manual de Procedimientos para la Gestión Integral de Residuos Hospitalarios y Similares (MPGIRH), donde se establecen procedimientos, procesos y actividades que deben adoptarse y realizarse en la gestión interna y externa de los residuos generados en los laboratorios, la Unidad de Salud Estudiantil, Fondo de Seguridad Social en Salud, Clínica Veterinaria, Facultad de Medicina y las granjas (Universidad de Nariño, 2014). Sin embargo, los laboratorios de química no cuentan con la reglamentación que establezca las acciones necesarias para el manejo integral de residuos peligrosos, e, igualmente, se observa que los estudiantes no le dan importancia a las normas de seguridad en los laboratorios, lo que genera una alta probabilidad de riesgos -químicos, físicos y biológicos- que puedan afectar su integridad como también perjudicar el medio ambiente (Acosta, Cogollo, Henríquez & Mera, 2008).
Así, las razones anteriormente expuestas indican que es necesario aplicar procesos de educación ambiental que generen en los estudiantes, docentes y administrativos una conciencia por la protección del ambiente, donde ellos mismos promuevan la solución a la problemática de la inadecuada gestión de residuos peligrosos y el incumplimiento de algunos requerimientos de seguridad en los laboratorios. Para ello, en el artículo se presenta un modelo de protocolo de manejo integral de residuos
peligrosos, en donde se explica la adecuada manipulación, tratamiento, segregación, recolección (etiquetado), transporte y almacenamiento temporal, con el fin de disminuir el riesgo potencial para el ambiente y para la comunidad universitaria que está en contacto con ellos.
METODOLOGÍA
La metodología utilizada en la investigación fue de tipo cuantitativo descriptivo. La información se recolectó durante el semestre B de 2014. Comprendió las siguientes etapas:
Diagnóstico actual de la gestión de residuos peligrosos generados en los laboratorios de química
Para determinar el diagnóstico, se siguieron las siguientes etapas de acuerdo a lo planteado por Riascos & Tupaz (2015):
Recolección de la información. Se analizaron los procedimientos de desactivación y almacenamiento de residuos que los estudiantes utilizan durante el desarrollo de prácticas académicas de química general, química orgánica, química analítica, química inorgánica, bioquímica y fisicoquímica, en los cuatro laboratorios de química, así como también se verificó el tipo y capacidad de los recipientes contenedores para los residuos, el etiquetado, el transporte interno, almacenamiento y disposición final. De igual manera, estos requerimientos se evaluaron en el depósito de reactivos y sala de preparación de soluciones.
Revisión de las guías de laboratorios. Se revisaron las guías de laboratorio con el objetivo de identificar el tipo de reactivos utilizados en las prácticas, posibles residuos químicos generados y el manejo de los mismos.
Educación ambiental en la gestión de residuos peligrosos
Como primera estrategia, se ubicaron, en cada uno de los laboratorios de química, recipientes de vidrio ámbar con capacidad de 2,5L, 4L y 1L, para residuos líquidos, y recipientes plásticos con capacidad de 1L para residuos sólidos. Los recipientes se rotularon con etiquetas diseñadas según las recomendaciones del Sistema Globalmente Armonizado de Clasificación y Etiquetado de Productos Químicos (SGA) (Naciones Unidas, 2010), siguiendo la clasificación contemplada en la NTP 480: La gestión de los residuos peligrosos en los laboratorios universitarios y de investigación, emitida por el Ministerio de Trabajo y Asuntos sociales de España (1999) y el Decreto 4741 de 2005 del Ministerio de Medio Ambiente, Vivienda y Desarrollo territorial de Colombia.
Clasificación y cuantificación de los residuos peligrosos
Se evaluó el tipo de residuos y se cuantificaron los volúmenes generados en cada laboratorio. Para esto, se realizó un seguimiento diario durante todo el semestre, efectuando pesajes parciales hasta que los recipientes se llenaban en un 75% de su capacidad. Posteriormente, los recipientes se retiraron para ser trasvasados a recipientes de polipropileno de mayor capacidad. Los residuos generados se pesaron en una balanza marca OHAUS, Modelo EC300 de capacidad máxima de 30 Kg
Propuesta para el manejo integral de los residuos químicos
Para que la educación ambiental sea un proceso permanente, se elaboró el Protocolo para un manejo integral de los residuos químicos, generados en los laboratorios de docencia de química de la Universidad de Nariño,que contiene procedimientos para la minimización en la generación de residuos peligrosos, tratamiento, clasificación, rotulación de recipientes, segregación, normas de bioseguridad, transporte interno y almacenamiento temporal hasta su disposición final (Ardila & Mejía, 2012). Los anteriores aspectos se socializaron a estudiantes, docentes y técnicos que asistieron a las prácticas de laboratorio (109 prácticas para el semestre B de 2014).
Es importante resaltar, que antes de la socialización se realizó una encuesta a docentes, estudiantes y técnicos de laboratorio para determinar el nivel de conocimiento sobre la adecuada gestión de residuos químicos y el manejo de normas de bioseguridad. Para ello, se escogió una muestra representativa de 14 docentes, 7 técnicos de laboratorio y 254 estudiantes de los programas académicos de Química, Ingeniería en Producción Acuícola, Ingeniería Agronómica, Licenciatura en Educación, Biología, Ingeniería Agroindustrial, Zootecnia, Medicina e Ingeniería Agroforestal.
Finalmente, para verificar si el protocolo tuvo una incidencia positiva y logró concientizar a la comunidad universitaria sobre la protección de la salud humana y del ambiente, al finalizar el semestre se aplicó nuevamente la encuesta sobre gestión de residuos peligrosos y normas de bioseguridad a docentes, estudiantes y técnicos de laboratorio.
RESULTADOS Y DISCUSIÓN
Diagnóstico actual de los residuos químicos generados en los laboratorios de Química
La Universidad de Nariño tiene documentado el Manual de Residuos Hospitalarios y Similares (Universidad de Nariño, 2014) y el Manual de normas y procedimientos de bioseguridad para laboratorios, salidas de campo y colecciones biológicas (Universidad de Nariño, 2013), para cumplir parcialmente los requisitos exigidos en el Decreto 4741 del 30 de diciembre de 2005. Sin embargo, no existe ninguna reglamentación institucional que establezca las acciones necesarias para el manejo de RESPEL en los laboratorios de química.
En el depósito de reactivos, se observan reactivos vencidos que no se han utilizado por más de diez años, y también se evidencia la presencia de reactivos contaminados, lo cual se confirmó por la observación del cambio de sus características físicas y químicas. Así mismo, en la sala de preparación se identificaron residuos sin etiquetar. Estas situaciones conllevan a la generación de más residuos peligrosos como se detalla en la figura 1

Residuos peligrosos generados en el depósito de reactivos y sala de preparación
Fotografía de las autorasFigura1. Residuos peligrosos generados en el depósito de reactivos y sala de preparación.
Fuente: Fotografía de las autoras
Por otro lado, en los laboratorios de docencia en química, se encontraron recipientes rotulados para la disposición de los residuos químicos con las siguientes nomenclaturas: disolventes halogenados orgánicos e inorgánicos, disolventes no halogenados orgánicos e inorgánicos, compuestos orgánicos halogenados, compuestos orgánicos no halogenados, disoluciones acuosas sin metales pesados, disoluciones acuosas con metales pesados, sólidos orgánicos y sólidos inorgánicos y material contaminado, ácidos y bases. Sin embargo, se observó que el proceso de clasificación y segregación de los residuos no se ejecuta en su totalidad y tampoco se encuentra documentado.
En el desarrollo de las prácticas académicas no se evidenció procesos de desactivación de los residuos químicos generados antes de ser almacenados; así mismo, se observó el uso de grandes cantidades de reactivos sin procedimientos para su recuperación o reutilización, identificando baja conciencia ambiental por parte de los usuarios de los laboratorios. Después de la segregación en los laboratorios, los residuos eran transferidos a recipientes de polipropileno que no conservaban la rotulación inicial. De igual manera, se encontró un alto porcentaje de residuos no identificados, evidenciando un almacenamiento temporal inadecuado, lo cual dificulta la disposición final por parte de la empresa recolectora.
En la figura 2 se muestra el almacén temporal de residuos, en donde se encontró residuos peligrosos y de origen biológico sin identificar. Se puede observar que el lugar no cuenta con las condiciones técnicas adecuadas para el almacenamiento y se encuentra además ubicado cerca de un cilindro de gas propano, representando un peligro potencial; finalmente, los recipientes son apilados de manera indiscriminada, algunos no están bien etiquetados, completando el cuadro con la falta de vías de acceso adecuadas.

Almacén temporal de residuos químicos.
Fotografía de las autoras.Fuente. Fotografía de las autoras.
Revisión de Guías de laboratorio
En la tabla 1 se muestra el número de prácticas desarrolladas por cada área, encontrando un total de 109 prácticas académicas desarrolladas durante el semestre B de 2014.

De acuerdo a esta información, se encontró que ninguna de las guías describe las normas de bioseguridad para el manejo de reactivos químicos, no identifica el tipo de residuos generados, tampoco contemplan procedimientos de segregación, desactivación y almacenamiento temporal.
Educación ambiental en la gestión de residuos peligrosos
Inicialmente se clasificaron los residuos químicos de acuerdo a las guías de laboratorio y a las sugerencias hechas por los docentes y técnicos de laboratorio, así:
Grupo I: Disolventes halogenados
Grupo II: Disolventes no halogenados
Grupo III: Disoluciones acuosas
Grupo IV: Ácidos
Grupo V: Aceites
Grupo VI: Sólidos
Grupo VII: Especiales
Posteriormente, se elaboró la etiqueta para cada uno de los grupos de residuos generados en las prácticas de laboratorio, que contiene la identificación del grupo, la procedencia del residuo, fecha de inicio y finalización de la recolección de residuo y el responsable. Así mismo, se indican los pictogramas del Sistema Global Armonizado (SGA) (Naciones Unidas, 2010), para brindar información sobre los tipos de peligros que representa cada residuo tal y como se observa en la figura 3.
Figura 3. Etiqueta para residuos químicos
Fuente: Universidad de Nariño
En cada laboratorio de química se colocaron recipientes de vidrio color ámbar con capacidad de 2,5L, 4L y 1L para residuos líquidos, y recipientes plásticos con capacidad de 1L para residuos sólidos. Se rotularon con etiquetas, donde se relacionó el grupo de residuo correspondiente, I, II, III, IV, V, VI orgánicos, VI inorgánicos y VII especiales. De igual forma, se asignó un lugar adecuado, ventilado y de fácil acceso, el cual se señalizo con un aviso de seguridad. Se informó a los docentes y técnicos de laboratorio que los recipientes se deberían llenar hasta que se complete un volumen no mayor al 75 %, para evitar posibles derrames y facilitar su posterior transporte. En la figura 4 se muestra un laboratorio bajo estas condiciones.

En cada laboratorio de química se colocaron recipientes de vidrio color ámbar con capacidad de 2,5L, 4L y 1L para residuos líquidos, y recipientes plásticos con capacidad de 1L para residuos sólidos. Se rotularon con etiquetas, donde se relacionó el grupo de residuo correspondiente, I, II, III, IV, V, VI orgánicos, VI inorgánicos y VII especiales. De igual forma, se asignó un lugar adecuado, ventilado y de fácil acceso, el cual se señalizo con un aviso de seguridad. Se informó a los docentes y técnicos de laboratorio que los recipientes se deberían llenar hasta que se complete un volumen no mayor al 75 %, para evitar posibles derrames y facilitar su posterior transporte. En la figura 4 se muestra un laboratorio bajo estas condiciones.
Es importante resaltar que se determinó la cantidad de reactivos producidos en cada laboratorio durante el semestre B de 2014. Se encontró que se generaron un total de 173.449 g de residuos químicos peligrosos, de los cuales, los sólidos orgánicos e inorgánicos se producen en menor cantidad, con el 1%, seguido por disolventes no halogenados grupo II, ácidos grupo IV y especiales grupo VII con un porcentaje promedio del 14 %, y el grupo III disoluciones acuosas en mayor cantidad con un porcentaje de 48%. Los residuos fueron luego transferidos a recipientes de polipropileno de 20 L y 60 L, con la utilización de implementos de bioseguridad, como gafas y pantallas de protección facial, guantes nitrilo y máscara con filtro para vapores orgánicos y vapores ácidos.
Propuesta para el manejo integral de los residuos químicos
En el artículo 2 de la Ley 1252 de 2008, se establece que los generadores de RESPEL tienen la obligación de minimizar la generación de residuos peligrosos mediante la aplicación de tecnologías ambientalmente limpias, implementación de los planes integrales de residuos peligrosos y la aplicación de estrategias pedagógicas que busquen concientizar sobre el impacto que genera la manipulación inadecuada de tales residuos. Es ahí donde la educación ambiental, como un proceso de desarrollo educativo permanente e interdisciplinario, busca involucrar a la población en general, en la identificación y resolución de problemas a través de la adquisición de conocimientos, actitudes, habilidades y valores, la toma de decisiones y la participación activa y organizada. (Riascos et al.,2015).
Como estrategia pedagógica permanente, se elaboró un Protocolo para un manejo integral de los residuos químicos generados en los laboratorios de docencia de química de la Universidad de Nariño, el cual tiene como objetivo: “Proporcionar información clara y sencilla a estudiantes, técnicos y docentes sobre procedimientos para el manejo integral de los residuos químicos generados en los Laboratorios de docencia de la Química de la Universidad de Nariño, orientada a disminuir los riesgos sobre la salud y la degradación del medioambiente”. (Riascos et al., 2015, p. 54). Teniendo como principio fundamental la minimización en la generación (Vaca, 2102).
En este documento se contemplan los alcances y aplicaciones, los objetivos, el marco legal, definiciones, responsabilidades, características de peligrosidad de las sustancias químicas de acuerdo a las normas del Sistema Globalmente Armonizado (SGA), clasificación de los residuos químicos, etiquetado de recipientes, desactivación y segregación de reactivos químicos, recolección, transporte y almacenamiento temporal. También se propone un apartado en donde se describen los procesos para el manejo integral de los residuos peligrosos, teniendo como base el concepto de minimización en la generación, lo cual se lograría con la disminución del stockde reactivos, la transformación de los residuos en otros no peligrosos, sustitución de los reactivos por otros no contaminantes, modificación de técnicas, adopción de reciclado, reúso y reutilización tal como se muestra en la figura 5.

Figura 5. Procesos para el manejo integral de los residuos químicos
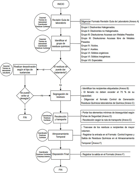
De igual manera, se propuso un procedimiento interno para el manejo de residuos químicos, que los docentes, estudiantes y técnicos de laboratorio deben tener en cuenta en el desarrollo de las prácticas de laboratorio ( vease figura 6).

Es importante resaltar que antes de la socialización de dicho protocolo, se aplicó una encuesta a 14 docentes, 7 técnicos de laboratorio y 234 estudiantes, en donde se les preguntó sobre el conocimiento de fichas de seguridad de los reactivos, la peligrosidad, el significado de lo que es un residuo químico, los tipos de residuos que se generan en los laboratorios, el proceso que ellos realizan para la segregación y desactivación, los implementos de bioseguridad, el conocimiento de un espacio destinado a ubicar los recipientes en los que deben eliminarse los residuos, quien debe realizar el transporte hasta el almacén y que condiciones debe tener éste para su almacenamiento. El resultado evidenció que el 52% de los estudiantes no identifica claramente que son y qué tipo de información contienen las fichas de seguridad, el 56,3% no conoce la peligrosidad de los reactivos utilizados en las prácticas de laboratorio, y el 68 % no identifica que es un residuo químico peligroso. Solamente un 50% de los estudiantes identifica algunos de los tipos de residuos químicos generados. Un 79% de los encuestados no ha recibido capacitación en el manejo y disposición adecuada de residuos químicos peligrosos.
Los elementos de seguridad más utilizados por los estudiantes son: la bata de laboratorio, tapabocas, guantes de nitrilo con valores mayores al 87%, las gafas de protección con un 50% y con un 12% encontramos las máscaras con filtro de vapores ácidos y vapores orgánicos.
Con respecto a la segregación de los residuos químicos, el 49% no identifica el tipo de recipientes, el 82,2 % desconoce procedimientos de desactivación, y el 98% desconoce el proceso para realizar el transporte de residuos y el lugar de almacenamiento temporal.
En cuanto a los docentes y técnicos de laboratorio, el 100% indican que conocen las fichas de seguridad de los reactivos. Por otro lado, tan sólo el 30% de los docentes ha recibido capacitación externa sobre el manejo de reactivos y residuos químicos; en cambio, los técnicos indican que han recibido charlas por la Aseguradora de Riesgos Laborales (ARL). Los resultados de la encuesta indican debilidades en el manejo de los residuos químicos, debido a la inexistencia de procedimientos reglamentados de acuerdo a la normativa vigente, lo cual potencializa los riesgos de la comunidad universitaria.
Finalmente, para conocer si el proceso de educación ambiental tuvo incidencia positiva en la protección de la salud y del medio ambiente, al finalizar el semestre se aplicó nuevamente la encuesta a 234 estudiantes que hacen uso de los laboratorios. Los resultados muestran que el 85% de los estudiantes identifica claramente los procedimientos para la gestión de residuos peligrosos; lográndose concluir que el proceso de educación ambiental tuvo incidencia positiva hacia la protección de la salud y del medio ambiente.
Los anteriores resultados demuestran que el proceso de educación ambiental fue eficiente, al lograr concientizar a los estudiantes de la problemática ambiental que se está generando en la universidad.
CONCLUSIONES
La Universidad de Nariño, a pesar de estar inscrita como generador de residuos peligrosos, no cuenta con políticas institucionales claras para el manejo de los mismos. De acuerdo a la legislación vigente colombiana, la Institución no establece claramente una Política ambiental, en donde se contemplen los compromisos y propósitos en relación al medio ambiente, así como el cumplimiento de los requisitos legales sobre prevención de la contaminación y mejora continua de los procedimientos en el manejo adecuado de los residuos químicos.
Los resultados de la encuesta evidencian que un alto porcentaje de los estudiantes no identifica claramente la información que contienen las fichas de seguridad, no conoce la peligrosidad de los reactivos utilizados en las prácticas de laboratorio y la mayoría de docentes, técnicos y estudiantes no ha recibido capacitación en el manejo y disposición adecuada de residuos químicos peligrosos.
La sensibilización y educación ambiental referente al manejo adecuado de los residuos químicos peligrosos y su repercusión sobre el medio ambiente y la salud de la comunidad universitaria, es débil en la Universidad de Nariño, por lo cual se considera necesaria la inclusión de esta temática de manera transversal en el currículo del Programa de Química. La inducción a todos los estudiantes que desarrollaran laboratorios, en donde se exponga la importancia del manejo integral de los reactivos y residuos químicos, se concluye como necesaria al inicio de cada semestre.
Como resultado relevante de la investigación está la estructuración del Protocolo para manipulación, segregación y almacenamiento de residuos químicos generados en los Laboratorios de química de la Universidad de Nariño.
La contaminación ambiental por causa de desechos químicos constituye un problema a nivel mundial, el desconocimiento de los protocolos y normativa al respecto en el trabajo académico en los Laboratorios de química de la Universidad de Nariño, está causando efectos negativos al medio ambiente y a la salud de la comunidad.
REFERENCIAS
Acosta, J., Cogollo, A., Henríquez, C., & Mera, A. (diciembre, 2008). Educación ambiental en residuos peligrosos dirigida a la comunidad académica de la Universidad del Magdalena. RETAKAN (Facultad de Ingeniería de la Universidad del Magdalena), 1 (1), 57-64.
Andrade, B., Mera., A., & Ortiz., M. (2007). Alternativa para la segregación de residuos químicos generados en el Laboratorio de Ingeniería Ambiental y Sanitaria de la Universidad del Cauca. Revista Producción + Limpia, 2(1), 54-66. Recuperada de http://repository.lasallista.edu.co/dspace/bitstream/10567/522/1/PL_V2_N1_p054-65_unicauca.pdf
Ardila, A., & Mejía, L. (enero-junio, 2012). Metodología para la segregación de residuos químicos generados en el laboratorio de bioquímica y nutrición animal del Politécnico Colombiano Jaime Isaza Cadavid. Producción + Limpia, 7(1), 68-79. Recuperado de http://repository.lasallista.edu.co:8080/ojs/index. php/pl/article/view/241/115
Benavides, D., Mora, J., & Piedra, G. (enero-junio, 2013). Gestión de reactivos químicos en laboratorios de la Universidad Nacional. Revista Uniciencia, 27(1), 266-283. Recuperado de http://www.redalyc.org/ pdf/4759/475947762015.pdf
Benítez, A., Gómez, N., Rodríguez, R., & Zarauza, P. (2011). Guías didácticas de educación ambiental: Educación ambiental, residuos y reciclaje.España: Consejería de Medio Ambiente y Ordenación del Territorio de la Junta de Andalucía. Recuperado de https://www.juntadeandalucia.es/medioambiente/ portal_web/web/temas_ambientales/educacion_ambiental_y_formacion_nuevo/ecocampus/recapacicla_universidades/recursos/guia_didactica_edu_amb.pdf
Bertini, L., & Cicerone, D. (2009). Gestión de residuos generados en laboratorios de enseñanza de química en entidades universitarias con participación activa del alumnado. En M. Llamas, M. Caeiro & J. Santos (eds.), Fomento e innovación con nuevas tecnologías en la enseñanza de la ingeniería(pp. 137-144). Recuperado de: http://www.academia.edu/20221441/Gesti%C3%B3n_de_residuos_generados_en_laboratorios_de_ense%C3%B1anza_de_qu%C3%ADmica_en_entidades_universitarias_
Congreso de la Republica de Colombia. (2008, 27 de noviembre). Ley 1252. Por la cual se dictan normas prohibitivas en materia ambiental, referentes a los residuos y desechos peligrosos y se dictan otras disposiciones. Recuperada de http://www.alcaldiabogota.gov.co/sisjur/normas/Norma1.jsp?i=33965
Martínez, T., & Mera, A. (enero-diciembre, 2012). Educación ambiental para la gestión de residuos peligrosos y la reducción del riesgo en laboratorios. Revista Praxis, 8(1), 39-48.
Ministerio de Medio Ambiente, Vivienda y Desarrollo Territorial. (2005, 30 de diciembre). Decreto 4741. Por el cual se reglamenta parcialmente la prevención y el manejo de los residuos o desechos peligrosos generados en el marco de la gestión integral. Recuperado de http://www.corpocaldas.gov.co/publicaciones/1524/02-28/Decreto4741de2005.pdf
Ministerio de Trabajo y Asuntos Sociales de España. (1999). Nota Técnica de Prevención -NTP 480. La gestión de los residuos peligrosos en los laboratorios universitarios y de investigación. Recuperada de http://www. insht.es/InshtWeb/Contenidos/Documentacion/FichasTecnicas/NTP/Ficheros/401a500/ntp_480.pdf
Naciones Unidas. (2010). Comprendiendo el Sistema Globalmente Armonizado de Clasificación y Etiquetado de Productos Químicos (SGA). Recuperado de http://www2.unitar.org/cwm/publications/cw/ ghs/GHS_Companion_Guide_final_June2010_SPA.pdf
Riascos, L., & Tupaz, M. (2015). Propuesta para el manejo de residuos químicos en los Laboratorios de Química de la Universidad de Nariño(Tesis Maestría). Recuperada de http://ridum.umanizales.edu.co:8080/ xmlui/bitstream/handle/6789/2385/Riascos_Lucila_Tupaz_Mabel.pdf?sequence=1
Universidad de Nariño. (2013). Manual de normas y procedimientos de bioseguridad para laboratorios, salidas de campo y colecciones biológicas. Manuscrito inédito. Recuperado de http://www2.udenar.edu.co/ recursos/wp-content/uploads/2017/03/MANUAL-DE-BIOSEGURIDAD-UDENAR.pdf
Universidad de Nariño. (2014). Plan de gestión de residuos hospitalarios y similares Universidad de Nariño.
Vaca, L. (2012).Elaboración del manual para el adecuado manejo de residuos químicos peligrosos en la Facultad de Ciencias Químicas. Recuperado de http://rapitest.epn.edu.ec/index.php?page=record&op=-view&path[]=85511
Notas de autor