Artículos de Investigación
Recepción: 25 Agosto 2020
Recibido del documento revisado: 25 Noviembre 2020
Aprobación: 15 Febrero 2021
DOI: https://doi.org/10.18601/01207555.N32.02
Resumen: En el desarrollo de la razón social de un hotel, el departamento de compras es una unidad de negocio muy importante, pues de este depende el satisfacer las demandas complementarias del hospedaje, en especial, las relacionadas con alimentos y bebidas, ya que estas son las más rentables. En este artículo se pretende aportar a la eficiencia operacional de los hoteles con la predicción de las ventas de alimentos y bebidas de cuatro hoteles con características similares al del caso de estudio. Mediante modelos econométricos, se estandariza una técnica estadística que permita ajustar el inventario perecedero según los resultados de la predicción, para así ser más eficientes en costos operativos y en la administración del Hotel Tequendama, por ser este hotel el caso de estudio de la presente investigación.
Palabras clave: Series de tiempo, predicción, modelos autorregresivos, administración hotelera, inventarios, alimentos y bebidas.
Abstract: In the development of the core business of a hotel, the buying department is a very important business unit, because it has to satisfy the complementary demand of the lodging, especially those related to food and beverages, these being the most profitable. The aim is to contribute to the operational efficiency of the hotels, by predicting the sales of food and beverages from 4 similar hotels, using econometric models, a statistical technique is standardized that allows the perishable inventory to be adjusted according to the prediction results and thus be more efficient in operating costs and the management of the Hotel Tequendama, being the case study of this investigation.
Keywords: Time series, prediction, autoregressive models, hotel administration, inventories, food and beverages.
1. Introducción
Esta investigación parte de una problemática muy común para el desarrollo del sector hotelero, especialmente para el departamento de compras, área que es muy importante, pues satisface las demandas complementarias al hospedaje por medio de la administración del inventario de alimentos y bebidas. Este inventario, por ser perecedero y de alta rotación, compromete aproximadamente en un 30 % el resultado de las ventas, además de los costes financieros que representa la inmovilización de los recursos y los costos adicionales referidos al mantenimiento y control de los stocks, costes de energía, pérdidas, etc. (Fernández, 2007).
A esto se le suma una de las características más importantes de la actividad hotelera: la variabilidad de su ciclo anual de operaciones, que se comporta por temporadas según las condiciones climatológicas, los eventos económicos y sociales, las estaciones del año, las ferias, los eventos internacionales de prestigio, etc. (Hernández, 2012). Esto provoca una inestabilidad en las ventas que no es conveniente para el manejo del inventario perecedero ni para el flujo de efectivo.
Como solución a esta problemática, se recurre a pronosticar la demanda -representada como las ventas de alimentos y bebidas- de cuatro hoteles con características similares -incluido el hotel objeto de estudio- para poder calcular un inventario para el futuro, hacer sus respectivas planeaciones y así evitar sobrecostos, además de comparar resultados y comprobar que el método es útil y replicable. Para los pronósticos, se utilizaron modelos econométricos estacionales y autorregresivos con media móvil de series temporales, los cuales proveen información suficiente para proyectar las compras y, de esta manera, poder realizar una mejor planeación logística y financiera, lo que supone una mejoría en cuanto a eficiencia de recursos operativos.
Esta investigación pretende no solo ofrecer el resultado y las conclusiones obtenidas para el estudio de caso del Hotel Tequendama, sino también servir de guía para que las empresas hoteleras también puedan enfrentarse a estas problemáticas comunes del sector mediante el cálculo de las ventas futuras y, por consecuencia, del inventario futuro de alimentos y bebidas de una forma confiable y basada en modelos econométricos y estadísticos.
2. Marco teórico y metodológico
Los servicios principales que ofrece la industria hotelera son hospedaje, eventos, restaurante y bar. Entre sus costos directos existen productos duraderos que pueden almacenarse por largos períodos de tiempo y mantenerse en grandes cantidades para asumir los picos en la demanda. Esto es diferente para el área de restaurante y bar, pues los productos que no se venden y la materia prima referente a alimentos y bebidas, en su mayoría, son perecederos de alta rotación (Hernández, 2012). Por tal razón, los costos de la industria hotelera se ven afectados principalmente por lo que el Departamento Administrativo de la Función Pública [DAFP] define como producto no conforme, el cual hace referencia a aquel que no cumple con los requisitos del cliente, de la ley, de la entidad ni con las normas de calidad NTCGP 1000:2009, ISO 9001:2008 y HACCP (DAFP, 2015). En el caso de esta investigación, los productos no conformes relacionados con productos vencidos, daños y deterioros son los causantes de los elevados costos en los inventarios.
Teniendo en cuenta lo anterior, la influencia que tienen los inventarios de restaurante y bar en los estados de resultados de cualquier industria hotelera es determinante. El coste de la materia prima comprada y almacenada es aproximadamente un 30 % de las ventas, además de los costes financieros que representa la inmovilización de los recursos y los costos adicionales referidos al mantenimiento y control de los stocks, costes de energía, pérdidas, etc. (Fernández, 2007). A esto se le suma una de las características más importantes de la actividad hotelera y es la variabilidad de su ciclo anual de operaciones que se comporta de forma estacional, por temporadas (Hernández, 2012). Esto provoca una inestabilidad en las ventas que no es conveniente para el manejo del inventario perecedero ni para el flujo de efectivo.
Como solución a esta problemática, se recurre a pronosticar la demanda, representada como las ventas de alimentos y bebidas, de 4 hoteles de características similares para poder calcular un inventario a futuro, hacer sus respectivas planeaciones y así evitar sobrecostos. Para esto se utilizaron métodos estadísticos avanzados, basados en herramientas econométricas, las cuales, necesariamente, se conceptualizan a continuación en este marco teórico para una mejor comprensión de la presente investigación.
2.1 Econometría
Existen muchas definiciones del concepto según su aplicación, pero, en general, la econometría es la ciencia y el arte de utilizar la teoría económica y las técnicas estadísticas para analizar información de problemas generalmente económicos. Esta ciencia se aplica a cualquier estudio de datos que se pueda representar de forma cuantitativa y que necesite ser observada con el fin de generar modelos estadísticos, tendencias, correlaciones, probabilidades, hacer comparaciones o, en este caso, hacer predicciones.
En econometría, los datos pueden ser, según su fuente, experimentales (que provienen de experimentos) y no experimentales (que proceden de encuestas). Además, los datos, independientemente de su fuente, pueden ser de tres tipos: transversales (aquellos recopilados por observación de varios individuos en un periodo de tiempo), de series temporales (serie de valores de un individuo en diferentes periodos de tiempo) y datos panel (aquellos recopilados por observación de varios individuos por distintos periodos de tiempo) (Stock & Watson, 2012). Para esta investigación, los datos utilizados son, según su fuente, experimentales, y de acuerdo con su tipo, series de tiempo.
2.2 Modelos econométricos con series de tiempo
En las investigaciones econométricas, al realizar la recolección de los datos, el investigador se encuentra con información clasificada u ordenada por intervalos de tiempo (meses, trimestres, años). Este conjunto de datos puede ser denominado una serie temporal. Cuando se presentan estos casos, se busca captar ciertas características esenciales (patrones de regularidad o estacionariedad), con la doble intención de describir los aspectos básicos del fenómeno en estudio y pronosticar de la forma más fiable la trayectoria que tomará la variable.
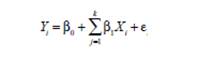
Un modelo econométrico lo componen una o varias ecuaciones en las que la variable explicada o endógena, generalmente representada con la letra Y en la ecuación, depende de otras variables explicativas o de su mismo pasado. Para poder dar solución a los modelos, la econometría utiliza matrices vectoriales por medio de las cuales se facilita la solución a varias ecuaciones. A su vez, las ecuaciones de estos modelos pueden ser lineales o no lineales. En los modelos lineales, se debe presentar linealidad en sus variables y en sus parámetros; luego se realiza una regresión, haciendo referencia a los datos pasados de sus variables, cuya ecuación proviene de la misma que describe una recta con su pendiente (Caridad y Ocerín, 2005).

En la ecuación 1, Yt es la recta y, en este caso, la i-ésima observación de la variable dependiente correspondiente al i-ésimo valor de la variable independiente X. para el modelo lineal. Su pendiente es representada como el parámetro poblacional 𝛽0, 𝛽1, etc. En la ecuación 1, 𝜀𝑖 son las perturbaciones aleatorias, los residuos o el ruido blanco incluidos en el modelo lineal y representan el efecto de las variables independientes no incluidas en el modelo (Leguizamón, 2017). Para los modelos no lineales, la regresión no lineal se expresa de la siguiente forma:

En la ecuación 2, (𝑋𝑡, 𝛽) es una función no lineal cuyos elementos de los vectores matriciales son 𝑋𝑡 y 𝛽. Para que el modelo sea no lineal, no debe existir linealidad en al menos una variable o parámetro (Garrido, 2015). Entre estos tipos de modelos se encuentran los modelos GARCH, la Regresión de Markov, el Contraste de Chow, entre otros tantos utilizados para hacer estimaciones de probabilidad, predicciones y otros cálculos estadísticos (Novales, 2015). En el contexto de esta investigación, los tipos de modelos que se utilizaron son lineales y estacionales de predicción, debido a las características de las ventas de una empresa del sector hotelero y a las necesidades planteadas en los objetivos.
Además, y para tener en cuenta, para este tipo de modelos, en los que se utilizan series de tiempo, es necesario transformar las variables involucradas y normalizarlas respecto a su media y varianza, es decir, volverlas estacionarias, de tal forma que pueda facilitarse el proceso del cálculo probabilístico para las predicciones. Para poder entender este tipo de transformaciones de series no estacionarias a estacionarias, se definen los conceptos a continuación:
- Estacionarias: Una serie es estacionaria cuando es estable, es decir, cuando la media y la variabilidad son constantes a lo largo del tiempo. Esto se refleja en que los valores de la serie tienden a oscilar alrededor de una media constante y la variabilidad con respecto a esa media también permanece constante en el tiempo. Es una serie básicamente estable a lo largo del tiempo. Matemáticamente se dice que una serie es estacionaria si la serie es una raíz unitaria.- No estacionarias: Son series en las cuales la media y varianza cambian en el tiempo. Los cambios en la media determinan una tendencia a crecer o decrecer a largo plazo, por lo que la serie no oscila alrededor de un valor constante. (Rey & Ramil, 2011).
Las anteriores definiciones son básicas para entender el correcto funcionamiento de los modelos econométricos de predicción con series temporales. De igual forma, es importante resaltar que hay varias formas de hacer esta transformación, pero todas tienen el mismo objetivo: normalizar su media y varianza. También es necesario aclarar que estacionariedad es diferente de estacionalidad por sus características mencionadas anteriormente.
2.3 Modelos de predicción
El pronóstico es un proceso de estimación cuantitativo que se utiliza para enfrentarse a una situación de incertidumbre. Los modelos de pronóstico más tradicionales han funcionado para la toma de decisiones en producción, finanzas, entre otros campos. Para lograr modelos de pronosticación que tengan la menor cantidad de dificultades es importante la utilización de grandes cantidades de datos, así como la combinación de datos cualitativos y cuantitativos. Para el desarrollo de esta investigación, se abordaron diferentes métodos de pronóstico que facilitasen el desarrollo de una metodología para la planeación y la optimización de los inventarios.
2.3.1 Modelos de regresión lineal
Las relaciones entre variables estadísticas pueden mostrar distintos niveles de intensidad y ser representadas mediante diferentes formas funcionales (lineal, parabólica, hiperbólica, entre otras funciones matemáticas). Las técnicas de regresión simple permiten construir modelos para representar la relación existente entre dos o más variables. Según Rigoberto Pérez et al. (2010) en su libro Introducción a la estadística económica, las técnicas de regresión simple:
Permiten construir modelos para representar la relación existente entre dos variables. Así, nos planteamos buscar la línea que mejor explique el comportamiento de una variable dependiente (Y) a partir de una variable explicativa (X) que suponemos causa de (Y). Esta línea, que denominaremos línea de regresión de Y sobre X (Y/X), corresponde a un concepto ideal, al que trataremos de aproximarnos con la información estadística disponible y sobre la base de algún criterio de optimalidad. (Pérez et al., 2010, p. 90).
En consecuencia, si el modelo es lineal en sus parámetros y en sus variables explicativas, responde a la ecuación 1 mencionada anteriormente. Si el modelo es lineal en sus parámetros, pero no en las variables explicativas, sería un modelo lineal de n-ésimo orden (cuadrático, cúbico, etc.), que puede incluir componentes de iteración y ser linealizado transformando sus variables explicativas (Draper & Smith, 1998), y cuya formulación es la siguiente:

Si el modelo no es lineal en los parámetros y/o en las variables explicativas, pueden adoptar múltiples formulaciones. No obstante, por poderse linealizar mediante las transformaciones adecuadas, suele ser tratado como modelo intrínsecamente lineal. Los modelos que no se ajustan a ninguna de las anteriores situaciones son no lineales (Draper & Smith, 1998).
2.3.2 Modelos de predicción con series temporales
Es así como el análisis de series temporales tiene el objetivo de facilitar la toma de decisiones con respecto a los posibles patrones de comportamiento de la variable estudiada, que en este caso es la demanda de alimentos y bebidas, un fiel indicador del comportamiento de los inventarios dentro del hotel. Con el objeto de desarrollar un modelo de pronosticación en las ventas de alimentos y bebidas para desarrollar una estrategia que permita optimizar el manejo de los inventarios, se propone el uso de las series de tiempo como metodología para el desarrollo de la investigación. Históricamente, se han utilizado tres tipos de modelos para analizar las series temporales; según José Hernández Alonso (2005), es posible encontrar los siguientes:
Los métodos de descomposición, o análisis clásico de series temporales, en el cual la serie temporal de una variable económica se subdivide en tendencia, ciclo, movimiento estacional y movimiento irregular. En este método se pretende aislar cada uno de los componentes para extrapolarlos hacia el futuro, obteniéndose así la evolución prevista de la variable. El análisis causal, o enfoque estructural, explica la evolución de la variable temporal objeto de estudio a través de una ecuación que relaciona esta con otras variables que inciden sobre ella. En este caso, conocidos los valores futuros de las variables causa, se determinan los valores futuros de la variable explicada. El último enfoque desarrollado, conocido como análisis moderno de series temporales o enfoque Box-Jenkins, explica la evolución de la variable temporal en función del propio comportamiento pasado de dicha variable. (Hernández, 2005).
El enfoque Box-Jenkins y el estructural o causal conforman el conjunto de conocimientos conocidos como econometría. Para el caso de esta investigación, el estudio se centra en el enfoque Box-Jenkins, ya que los procesos que se manejan con las series temporales de las ventas de los hoteles serán el único insumo en variables para el modelo de predicción, por lo tanto, las predicciones estarán en función de su propio pasado. Estos suelen llamarse modelos de Box-Jenkins.
2.3.3 Modelos de Box-Jenkins o modelos tipo ARMA
La metodología de los modelos ARMA fue formalizada por Box y Jenkins en 1970, por tal razón, este tipo de modelos suelen ser llamados con el nombre de estos matemáticos. Su formulación permite explicar el comportamiento de las series temporales a partir de las observaciones pasadas de la propia serie y de sus errores o ruido blanco aleatorio resultante del modelo (Jiménez Guerrero et al., 2006). A continuación, se explican brevemente los tipos de modelos Box-Jenkins.
a. Modelos autorregresivos de medias móviles ARMA (p, q)
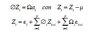
Estos procesos derivan de la combinación formada por dos procesos: autorregresivos (AR), es decir, aquellos en los que la variable está explicada por su mismo pasado en uno, dos o hasta doce periodos anteriores; y de medias móviles (MA), en los cuales la variable de salida depende, linealmente en promedio, del valor actual y de varios de los anteriores (Chávez, 1997) De este modo, el modelo es estacionario y se define de la siguiente forma:

En la ecuación 4, ∅ y Ω son polinomios para estimar con rezagos de orden p y q, respectivamente. La letra p corresponde al número de periodos anteriores del que depende el resultado futuro, y la letra q alude al número de periodos de un promedio más las variables aleatorias de cada periodo q. La variable 𝜀𝑡 es un proceso de ruido blanco, y 𝜇 es el nivel del proceso Zt. Es importante tener en cuenta que, para que los modelos Box-Jenkins sean considerados, se debe tener estabilidad en media y varianza, cumplir con la condición de que las raíces de la ecuación característica se encuentren fuera del círculo de radio unidad, es decir, que sean estacionarias (Chávez, 1997).
b. Modelos estacionales autorregresivos de media móvil SARMA (p, q) (P, Q) S
Las series de naturaleza económica y empresarial suelen tener una estructura que modifica ligeramente el planteamiento realizado hasta ahora, por consiguiente, en el objetivo de modelizar dicha serie, será necesario tenerlo en cuenta. Se hace referencia al carácter estacional de los fenómenos económicos y empresariales, aspecto que suele abordarse en cursos de estadística cuando se estudian series temporales, en concreto, cuando estas se han descompuesto en cuatro componentes: la tendencia, la componente ciclo, la estacional y la residual.
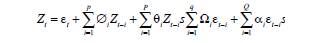
La componente estacional es aquella que recoge las oscilaciones que presenta una serie y que son debidas al mes o a la estación a la que hace referencia cada dato. Por ejemplo, en primer lugar, la variable ya no solo dependerá de los valores de la propia variable y de la perturbación en los instantes más próximos en el tiempo, sino que, además, lo que ha sucedido en los mismos períodos de tiempo, pero de los años anteriores, puede tener una gran importancia explicativa, incluso superior a la que se ha considerado hasta ahora. Es decir, el modelo va a tener dos partes: la primera es la que hasta ahora se ha estudiado y que es denominada como parte regular del modelo; la segunda parte se denomina parte estacional del modelo, y en ella se recoge la estructura estacional del proceso, que no es más que la relación que, por ejemplo, para datos de periodicidad mensual, existe enero de un año con los eneros de los años anteriores; febrero de este año con los febreros de los años previos (Stock & Watson, 2012).

En la ecuación 5, ∅, 𝜃, 𝛼 y Ω son polinomios para estimar con rezagos de orden p, P, q y Q, respectivamente. La letra p corresponde al número de períodos anteriores del que depende el resultado futuro, y la letra q corresponde al número de períodos de un promedio más las variables aleatorias de cada periodo q. Además, las letras P, Q y s corresponden a la parte estacional del modelo. La variable 𝜀𝑡 es un proceso de ruido blanco del proceso Zt.
c. Modelos autorregresivos integrados de medias móviles ARIMA (p, d, q):
Los modelos ARIMA son aquellos de una variable definidos por un componente temporal de las series, tal como sucede con las ventas en un hotel. La metodología fue creada con el fin de buscar patrones matemáticos y poder predecir los periodos siguientes en este tipo de series temporales, las cuales, en su mayoría, no son estacionarias, pues siguen tendencias de mercado y sus valores no se pueden representar en una distribución normal. En este caso, la serie temporal se convierte en estacionaria tras ser diferenciada d veces o integrada en orden d. Para este tipo de modelos es necesario tener cuidado con las diferenciaciones, pues más de dos pueden alterar el esquema y complicar el procedimiento (De la Fuente Fernández, 2016).
Los anteriores modelos son solo un conjunto de algunos de los posibles y múltiples modelos existentes utilizados para la predicción de series temporales. De estos se seleccionaron los tres últimos porque son los que más se ajustan a la calidad de los datos, al tamaño de la muestra y a la estacionalidad que es propia del sector hotelero. A partir de allí, se realizó el procedimiento basado en la metodología Box-Jenkins, que se explica a continuación, en el que se verifica, mediante un proceso matemático computarizado, cuál modelo es el más adecuado.
2.3.4 Metodología Box-Jenkins
Esta metodología es aplicable cuando no existe variable independiente en el modelo y las predicciones se explican a partir del pasado de la misma variable dependiente, por ser esta una serie temporal. El método Box-Jenkins permite, por medio de cuatro pasos, escoger entre una gran variedad de modelos de predicción basados en los modelos ARMA, en sus componentes y en sus derivados para realizar un control de calidad de las proyecciones y un ajuste en forma sencilla, pero completa (Stata, 2019). Las cuatro fases del método son identificación, estimación, chequeo y predicción, y se pueden representar en el siguiente algoritmo (figura 1).
La primera fase de la metodología consiste en verificar, mediante la prueba de Dickey Fuller, si la serie es estacionaria. Esta es una prueba estadística que permite calcular la probabilidad de que existan raíces unitarias, dado que esto es una fuerte evidencia de no estacionariedad en una serie temporal. Cuando una serie temporal no es estacionaria en media, se dice que presenta al menos una raíz unitaria. Cuando esto ocurre, es posible transformar la variable por medio de diferentes métodos, como el de Box-Cox y las diferencias de la variable transformada, con el objetivo de estabilizar la serie en cuanto a media y varianza se refiere y posteriormente volver a verificar mediante Dickey Fuller su estacionariedad (Novales, 2014).
El método de transformación de Box-Cox explora, entre diferentes transformaciones matemáticas que se le pueden dar a la variable, la que más se ajuste a la media por medio de la curtosis como indicador de normalidad. Por ser el resultado una serie temporal transformada y normalizada, puede poner a prueba la estacionariedad en media y varianza con la prueba de Dickey Fuller para saber si la transformación fue o no exitosa (Osborne, 2010). En la tabla 1 se presentan las transformaciones de Box Cox más utilizadas:
Una vez transformada y comprobada la suavización de la serie mediante Dickey Fuller, se procede a la estimación de los parámetros p, q, P y Q, según corresponda, para la identificación del modelo. Para esto existe una medida de calidad para un modelo estadístico llamado el criterio de información de Akaike. Su idea clave es la de iterar un conjunto de modelos candidatos para que así, por medio de una función de verosimilitud, pueda clasificar los procesos que eviten perder información en sus proyecciones. De esta forma, luego de realizar las iteraciones, se seleccionan los mejores modelos propuestos por el criterio de Akaike para proceder al siguiente paso del método Box-Jenkins, que es el chequeo (Martínez et al., 2009).
En el chequeo se verifica la significancia del modelo por medio de los coeficientes, que pueden ser aceptados generalmente en un 90 %, 95 % o 99 %; el porcentaje restante es el correspondiente al ruido blanco o al error estadístico, el cual no debe tener relación con la serie temporal por el hecho de ser aleatorio. Luego de verificar la significancia del modelo y los errores, las proyecciones están listas para ser utilizadas en sus diferentes aplicaciones.
3. Desarrollo del modelo
Para contextualizar, el ejercicio que se llevó a cabo en esta investigación corresponde a realizar una proyección de las ventas de alimentos y bebidas del hotel HT por medio de un modelo econométrico. Esta proyección es utilizada en el cálculo de un estimado confiable del inventario futuro de alimentos y bebidas, el cual requiere un manejo especial debido a la importancia que este representa en los estados financieros.
Para poder estandarizar este procedimiento y verificar que los cálculos estadísticos se apliquen a casi cualquier hotel de características similares, se construyeron cuatro series de tiempo que corresponden a las ventas, desde enero de 2017 hasta julio de 2020, de alimentos y bebidas de los hoteles SH, CH, SNH y el caso de estudio, HT. Ya con estos datos recolectados y debidamente ordenados se someten al algoritmo de Box-Jenkins para realizar una correcta y confiable generación de proyecciones, las cuales, en este caso, van desde agosto de 2020 hasta julio de 2021.
3.1 Box- Jenkins: identificación y transformación
El primer paso en el algoritmo de Box-Jenkins es la identificación de estacionariedad en los datos. En este caso, por tratarse de las ventas de una industria hotelera, cuyos datos presentan tendencias y eventos estacionales, se asume que la serie es no estacionaria y se procede a hacer la debida transformación o suavización de los datos de forma confiable por medio del método de Box-Cox.
Debido a que este método propone diferentes formas de transformar la serie de tiempo, es necesario escoger la mejor transformación, es decir, aquella que más se ajuste a la distribución normal, para así tener una serie más estacionaria y estable. Para poder saber cuál transformación se ajusta más a una distribución normal, se calculó la curtosis de las transformaciones de los cuatro hoteles, ya que, por definición, la curtosis de una normal tiende a cero. Por tal razón, como se muestra en la tabla 2, se seleccionó la transformación correspondiente a √𝑥, ya que la curtosis de sus transformaciones tiende a cero. También es conveniente que sea √𝑥, pues, para revertir la transformación, después de la proyección, basta simplemente con elevarla al cuadrado.

Ya para verificar que el procedimiento sea el correcto, se someten las transformaciones a la prueba de Dickey Fuller, mediante la cual se calcula la probabilidad de presentar raíz unitaria. Los resultados expuestos en la tabla 1 son cercanos a 0 % de probabilidad para √𝑥, ya que, de presentar raíz unitaria en sus datos, no sería estacionaria y no podría utilizarse en los modelos de Box-Jenkins.
3.2 Box-Jenkins: estimación
Una vez que se tienen transformadas las cuatro series de tiempo de los cuatro hoteles y verificadas mediante la prueba de raíces unitarias de Dickey Fuller, se procede al siguiente paso del algoritmo: realizar la estimación de los parámetros p, q, P y Q que más se ajusten a los modelos de Box-Jenkins. Esta estimación se hace por medio del criterio de información de Akaike, el cual lleva a cabo las iteraciones de los parámetros hasta encontrar la combinación que menos genera pérdida de información en el error estadístico. Para este caso, se usó el criterio de Akaike para cada hotel, y luego de 200 iteraciones se obtuvieron los resultados que se evidencian en la tabla 3.

De esta forma, los modelos anteriormente seleccionados mediante el criterio de Akaike fueron del orden AR (p), MA (q), SAR (P), SMA (Q), según la calificación del criterio que representa la verosimilitud de los rezagos. Una vez obtenidos estos valores, se procede a correr el modelo con sus respectivas proyecciones.
3.3 Box-Jenkins: predicción
Para el hotel SH, los componentes del proceso SARMA que conservaba la mayor cantidad de información, según el criterio de Akaike, fueron un SARMA (0)(0)(1)(0). En este proceso, la constante (C) tuvo una significancia superior al 98 %; el proceso SAR (1) también logró una significancia superior al 98 %, y los errores obtuvieron un nivel de ajuste también significativo, siendo este mayor al 98 %. El R cuadrado del modelo o coeficiente de ajuste no es alto, pero su resultado es subjetivo, puesto que en las series temporales tiene mayor relevancia mantener la mayor cantidad de información. Se puede concluir que, entre 200 posibles procesos SARMA en este hotel, para predecir el comportamiento de las ventas de A y B, este es el que tiene mayor ajuste y menos errores. Cabe destacar que el modelo que tenga mayor ajuste puede variar de acuerdo con los cambios que se puedan presentar en esta serie temporal. En la tabla 4 se resumen los resultados.

Para el hotel CH, los componentes del proceso SARMA que conservaba la mayor cantidad de información, según el criterio de Akaike, fueron un SARMA (0)(2)(1)(0). En este proceso, la constante (C) tuvo una significancia superior al 98 %; el proceso SAR (1) también obtuvo una significancia superior al 98 %; el proceso MA (2) fue estadísticamente no significativo y los errores lograron un nivel de ajuste también significativo por ser superior al 98 %. El R cuadrado del modelo o coeficiente de ajuste no es alto, pero su resultado es subjetivo, puesto que en las series temporales tiene mayor relevancia conservar la mayor cantidad de información. Se puede concluir que, entre 200 posibles procesos SARMA en este hotel, para predecir el comportamiento de las ventas de A y B, este es el que tiene mayor ajuste y menos errores. Cabe resaltar que el modelo que tenga mayor ajuste puede variar de acuerdo con los cambios que se puedan presentar en esta serie temporal. En la tabla 5 se resumen los resultados.

Para el hotel SNH, los componentes del proceso SARMA que conservaba la mayor cantidad de información, según el criterio de Akaike, fueron un SARMA (0)(0)(1)(0). En este proceso, la constante (C) tuvo una significancia superior al 98 %; el proceso SAR (1) también obtuvo una significancia superior al 98 %; y los errores tienen un nivel de ajuste también significativo, pues este es superior al 98 %. El R cuadrado del modelo o coeficiente de ajuste no es alto, pero su resultado es subjetivo, puesto que en las series temporales tiene mayor relevancia conservar la mayor cantidad de información. Se puede concluir que, entre 200 posibles procesos SARMA en este hotel, para predecir el comportamiento de las ventas de A y B, este es el que tiene mayor ajuste y menos errores. Cabe destacar que el modelo que tenga mayor ajuste puede variar de acuerdo con los cambios que se puedan presentar en esta serie temporal. En la tabla 6 se resumen los resultados.

Para el hotel HT, los componentes del proceso SARMA que conservaba la mayor cantidad de información, según el criterio de Akaike, fueron un SARMA (1)(2)(2)(0). En este proceso, la constante (C) tuvo una significancia superior al 98 %; los procesos AR (1), SAR (2) y MA (2) fueron estadísticamente no significativos; y los errores obtuvieron un nivel de ajuste no significativo. El R cuadrado del modelo o coeficiente de ajuste es alto, pero su resultado es subjetivo, puesto que en las series temporales tiene mayor relevancia conservar la mayor cantidad de información al generar el proceso estocástico. Se puede concluir que, entre 200 posibles procesos SARMA en este hotel, para predecir el comportamiento de las ventas de A y B, este es el que tiene mayor ajuste y menos errores. Cabe destacar que el modelo que tenga mayor ajuste puede variar de acuerdo con los cambios que se puedan presentar en esta serie temporal. En la siguiente tabla 7 se resumen los resultados.

Después de haber generado estos procesos de series temporales, se procedió a pronosticar 12 periodos, comprendidos entre julio de 2019 y julio de 2020, por ser estos resultados objeto de análisis para la optimización y planificación de las compras en A y B y otros posibles múltiples usos que se le pueden dar a estos resultados en la planificación financiera de los flujos de caja y otros procesos financieros.
4. Aplicación
Los anteriores modelos se ajustan perfectamente a las condiciones de operación que tiene el sector hotelero, pues toman en cuenta el componente estacional que se presenta en dicha industria. Gracias a los pasos explicados, el pronóstico realizado en las ventas de A y B está verificado y tiene múltiples usos. Se caracteriza por ser una variable dependiente de las compras y otros factores externos, de manera que las ventas se pueden modelar como se muestra en la ecuación 6.

Se puede observar la relevancia de la planificación de las compras, pues mantenerlas a un nivel ajustado al comportamiento de la serie temporal permitirá disminuir los desperdicios, evitar un stock superior al requerido y generar otros beneficios financieros, como aumentar la solvencia. Los costos de venta son un valor conocido históricamente en los hoteles analizados, ya que son datos registrados en su contabilidad. A pesar de que este valor fluctúa en el tiempo, se puede observar en la tabla 8 que el promedio de los últimos dos años no tiene una desviación alta, por lo cual un promedio aritmético funciona bien para generar un valor esperado.

El costo de la venta porcentual se entiende como se formula la ecuación 7:

Comprendiendo la información anterior, fue posible plantear la ecuación 8:

Según las anteriores ecuaciones, los pronósticos de ventas de los cuatro hoteles se utilizaron para poder calcular sus respectivos pronósticos de compras, tal como se explicó en la ecuación 8. En las figuras de la 2 a la 5 se puede observar cómo el pronóstico de las ventas de alimentos y bebidas de los cuatro hoteles difiere levemente con las ventas reales debido al error estadístico, pero sus picos y tendencias se mantienen en ambas series.
En las figuras de la 2 a la 5, además de graficar la serie de ventas reales de cada hotel y sus respectivas proyecciones, se puede observar en la línea gris el pronóstico de compras calculado en la ecuación 8, el cual varía según los pronósticos de ventas de A y B por hotel. Entendiendo dicho modelo se pueden estimar los niveles de inventario en dinero que cada hotel debería mantener en sus políticas, como se puede observar la figura 6, en la que se desarrolla el manejo de inventario de acuerdo con la ecuación 9.






En el anterior ejercicio se asume la política de mantener un inventario final constante, pero esta política puede cambiar según la conveniencia del hotel. La planificación de las políticas de compras e inventarios de base se puede ajustar de acuerdo con las prioridades de cada hotel. En el caso del ejemplo, es una política que busca mantener un nivel de inventario de $150 millones para el Hotel Tequendama por medio de la realización de compras equivalentes a los consumos. El pronóstico de la serie de consumo sirve para comprender cómo pueden oscilar las compras en el periodo siguiente, prepara el flujo de caja y facilita el cumplimiento de objetivos estratégicos trazados por el hotel.
5. Conclusiones y recomendaciones
En la búsqueda de aportar a la eficiencia operacional de los hoteles y teniendo en cuenta la problemática presente en el desarrollo del sector hotelero, específicamente en la administración del inventario de alimentos y bebidas -en el cual el inventario, por ser perecedero y de alta rotación compromete aproximadamente un 30 % el resultado de las ventas-, se encontró una manera para pronosticar las ventas y de esta forma conocer el nivel de compras óptimo del inventario. Para poder realizar estos cálculos, el estudio utilizó la metodología cuantitativa de series de tiempo Box-Jenkins.
Como se puede observar en esta investigación, el proceso de pronóstico mediante modelos econométricos de Box-Jenkins es bastante complejo y ha sido sometido a diferentes pruebas de calidad en cuanto a los datos y los cálculos que se realizan para que sus resultados sean lo más ajustados posible a los valores reales. Es por tal razón que se optó por este tipo de modelos y metodologías para realizar el ejercicio de proyectar las ventas de A y B de los cuatro hoteles seleccionados, de similares características.
El desarrollo de modelos SARMA(p, q)(P,Q) resulta especialmente adecuado en el desarrollo de series temporales en el sector hotelero, puesto que su componente estacional queda en evidencia en los cuatro ejercicios de pronóstico realizados con diferentes hoteles, con valores estacionales SAR (P) confirmados en todas las ecuaciones de pronóstico. Estos pronósticos de series temporales pueden tener diferentes aplicaciones en el sector, entre estas, financieras, como el pronóstico de ingresos, habitaciones, inventario, entre otras variables que puedan tener un uso de interés para la toma de decisiones estratégicas en el sector hotelero.
Después de generadas las predicciones de ingresos de A y B con modelos SARMA, por formar parte de los modelos Box-Jenkins, y teniendo en cuenta que el inventario de A y B varía según las ventas, se concluye que los costos de inventario se optimizan cuando se ajusta el nivel de compras a la proyección de las ventas de cada hotel con similares características. De esta forma, cuando ocurran variaciones en las ventas provocadas por la estacionalidad o por alguna otra causa de la propia naturaleza de sus datos, las compras serán acordes a este valor, con un nivel de confianza superior al 90 %. Esto significa que el inventario mantendrá justo lo necesario para la operación con un costo de mantenimiento menor por eficiencia.
Como recomendación para el correcto funcionamiento de este instrumento, es importante tener en cuenta que los errores generados por el modelo aumentan de forma proporcional a la cantidad de periodos estimados, es decir, los errores en pronósticos distantes suelen incrementar. Además, y por la misma razón anterior, este modelo debe ser monitoreado y actualizado o alimentado continuamente, puesto que sus componentes pueden variar de acuerdo con los resultados más recientes.
Referencias
Caridad y Ocerín, J. M. (2005). Econometría: modelos econométricos y series temporales. Editorial Reverté S. A.
Chávez, N. (1997). Modelos Arima. Revista Ciencia y Cultura, (1). https://bit.ly/3Dqn5X6
De la Fuente Fernández, S. (2016). Series temporales, modelo Arima: metodología de Box-Jenkins. Universidad Autónoma de Madrid. https://bit.ly/3QDMX4E
Departamento Administrativo de la Función Pública [DAFP]. (2015). Manual del Sistema de Gestión de Calidad y Operaciones (Versión 20). DAFP. https://bit.ly/3RJ7oP6
Draper, N. R. & Smith, H. (1998). Applied regression analysis (3.a ed.). Wiley. https://doi.org/10.1002/9781118625590
Fernández, S. (2007). Control de gestión y presupuestos en la industria hotelera. Servicio de Publicaciones y Difusión Científica de la Palma Gran Canaria.
Garrido, M. (2015). Estimación de modelos no lineales [Trabajo de grado, Universidad de Valladolid]. Repositorio Documental de la Universidad de Valladolid. https://bit.ly/3xoSDsu
Hernández, E. (2012). Contabilidad de un hotel de 4 estrellas [Tesina de grado, Universidad Veracruzana]. https://bit.ly/3Lf8Iqo
Hernández, J. A. (2005). Análisis de series temporales económicas II. ESIC.
Jiménez Guerrero, J., Sánchez Fernández, R., & Gázquez Abad, J. (2006). La capacidad predictiva en los métodos Box-Jenkins y Holt-Winters: una aplicación al sector turístico. Revista Europea de Dirección y Economía de la Empresa, 15(3), 185-198.
Leguizamón, M. (2017). Análisis de regresión y correlación. En Métodos y técnicas de la mediación en turismo (pp. 221-250). Universidad Externado de Colombia.
Martínez, D. R., Albín, J. L., Cabaleiro, J. C., Pena, T. F., Rivera, F. F., & Blanco, V. (2009). El criterio de información de Akaike en la obtención de modelos estadísticos de rendimiento. En R. Doallo, M. Arenaz, & P. González (Eds.), Actas de las XX Jornadas de Paralelismo (pp. 439-444). Servizo de Publicacións, Universidade da Coruña. https://bit.ly/3UaKd1H
Novales, A. (2014). Series temporales.Estacionariedad, raíces unitarias. https://www.ucm.es/data/cont/media/www/pag-41459/Series temporales.pdf
_______. (2015). Estimación de modelos no lineales.https://bit.ly/3Dq3TbO
Osborne, J. W. (2010). Improving your data transformations: Applying the Box-Cox transformation. PARE: Practical Assessment, Research and Evaluation, 15, art. 12. https://doi.org/10.7275/qbpc-gk17
Pérez, R., Covadonga, C., Río, M., & López, A. (2010). Introducción a la estadística económica. Universidad de Oviedo. https://bit.ly/3eN09Fm
Pérez, A. & Ruiz, E. (2002). Modelos de memoria larga para series económicas y financieras. Investigaciones Económicas, 26(3), 395-445. https://bit.ly/3BDypxI
Pulido, A. & Pérez, J. (2001). Modelos econométricos: guía para la elaboración de modelos econométricos con Eviews. Ediciones Pirámide.
Rey, C. & Ramil, M. (2011). Series temporales. En Introducción a la estadística descriptiva (pp. 85-105). Netbiblo.
Stata. (2019). STATA Time Series: Reference manual. Release 16. STATA.
Stock, J. & Watson, M. (2012). Introducción a la econometría (3.a ed). Pearson. https://bit.ly/2NSkeu7
Notas