
Recepción: 11 Agosto 2018
Aprobación: 01 Febrero 2019
Resumen: La presente investigación se condujo con los objetivos de determinar la calidad del agua, categorizar las condiciones de salud y el perfil socioeconómico de los habitantes de Balsa en Medio, Julián y Severino de la microcuenca del río Carrizal. Las muestras se tomaron del agua almacenada, determinándose in situ: pH, temperatura, conductividad eléctrica y oxígeno disuelto; y en laboratorio sólidos totales, nitratos, fósforo, DBO y coliformes fecales, sus valores interpretados de acuerdo al Índice de Calidad Ambiental. Para la cuantificación de las variables relacionadas con las necesidades básicas insatisfechas, se aplicó una encuesta; por otro lado, para el diagnóstico socioeconómico como el sanitario, se obtuvo información a partir de Censos del Instituto Nacional de Estadísticas, Registros en Infocentros y Centros de Salud. De acuerdo al índice de calidad las aguas de Balsa en Medio y Julián son poco contaminadas”, mientras que las de Severino son “contaminadas”. En 28% de los casos las familias consumen agua hervida, sin cloración, mientras que el 72% la consumen directamente del rio. En 2016 se detectó disentería amebiana, shigelosis, diarreas generalizadas, infecciones por Campylobacter ssp, entre otras. Las comunidades, se ubican dentro de un nivel significativo de pobreza, lo cual dificulta acceder al agua potable.
Palabras clave: Aguas, calidad, tratamiento, necesidades básicas insatisfechas.
Abstract: ocioeconomic characteristics and health problems associated with water quality in the balsa communities in between, Julián and Severino del Ecuador The present investigation was conducted with the objectives of determining the quality of the water, categorizing the health conditions and the socioeconomic profile of the inhabitants of Balsa en Medio, Julián and Severino of the micro-basin of the Carrizal River. The samples were taken from the stored water, determining in situ: pH, temperature, electrical conductivity and dissolved oxygen; and in the laboratory total solids, nitrates, phosphorus, BOD and fecal coliforms, their values interpreted according to the Environmental Quality Index. For the quantification of the variables related to the unsatisfied basic needs, a survey was applied; on the other hand, for the socioeconomic diagnosis such as health, information was obtained from Censuses of the National Institute of Statistics, Registries in Infocenters and Health Centers. According to the quality index, the waters of Balsa en Medio and Julián are little polluted, whiles of Severino are contaminated. In 28% of cases, families consume boiled water, without chlorination, while 72% consume it directly from the river. In 2016 amoebic dysentery, shigellosis, generalized diarrhea, and Campylobacter ssp infections were detected, among others. The communities are located within a significant level of poverty, which makes it difficult to access drinking water.
Keywords: Water, quality, treatment, unsatisfied basic needs.
I. INTRODUCCIÓN
La pobreza extrema o penuria es el estado más grave de pobreza, cuando las personas no pueden satisfacer varias de sus necesidades básicas para vivir, como la disponibilidad de alimento, agua potable, techo, sanidad, educación o acceso a la información. Este estado de pobreza no depende exclusivamente del nivel de ingresos, sino que también se tiene en cuenta la disponibilidad y acceso a servicios básicos (FAO, 2015). En la actualidad se considera que 702 millones de personas viven en condición de extrema pobreza en el mundo, lo que representa el 9,6% de la población mundial, según el Reporte de Monitoreo Global, elaborado conjuntamente por el Banco Mundial y el Fondo Monetario Internacional (2016).
La cuantificación de necesidades básicas insatisfechas (NBI) es una medida que permite apreciar aspectos de la pobreza que no son captados adecuadamente por el método de los ingresos, el cual tiene limitaciones en áreas con poblaciones reducidas. Se enfoca en la búsqueda de la equidad en la prestación de servicios sociales básicos, se incluyen los requerimientos mínimos familiares para el consumo privado en alimentación, vivienda, equipamientos, dotaciones domésticas y los servicios esenciales de disposición de elementos como agua sana, saneamiento básico, salud, educación, cultura y transporte público (Giménez y Valente, 2016).
La pobreza entendida como privación de capacidades básicas comprende las situaciones donde se carece de las potencialidades específicas para la satisfacción de las necesidades básicas, en condiciones sociales, institucionales y culturales particulares (Sen, 2000; 2001).
Uno de los aspectos más importantes del acceso a los servicios públicos lo representa el servicio de agua potable. A nivel mundial, alrededor del 80% de las enfermedades infecciosas y parasitarias gastrointestinales y una tercera parte de las defunciones son causadas por el uso y consumo de agua insalubre (Díaz, 2010); por otro lado, el agua potable contaminada con materia fecal ha afectado a ciudades enteras (Morais et al., 2016). Además, de haber promovido epidemias ocasionales de enfermedades bacterianas y virales causadas por agentes infecciosos como el cólera, poliomielitis y otras enfermedades (Cohn et al., 2002). Por vía gastrointestinal, contacto con la piel, membranas y mucosas son transmitidas enfermedades desde el agua, entre ellas Campylobacter ssp., Escherichia coli, Salmonella ssp., Shigella ssp., Vibrio cholerae entre otros, así como también Yersinia spp., Adenovirus, Astrovirus, Enterovirus, respectivamente (Barrios et al., 2009; OMS, 2008).
En países en vías de desarrollo las enfermedades diarreicas agudas (EDA) son las más frecuentes, esto porque, los desechos humanos se evacuan en letrinas abiertas, canales y corrientes de agua, o se esparcen en las tierras de labranza (Díaz, 2010). Se estima que aproximadamente 502.000 muertes por EDA al año son causadas por la deficiente calidad del agua (Prüss et al., 2014). A principios de los años noventa, por ejemplo, las aguas residuales sin tratar, utilizadas para riego de hortalizas, ocasionaron brotes de cólera en Chile y Perú. La epidemia del cólera que se abatió sobre Perú en 1991 y se extendió a casi toda Latinoamérica, es un recordatorio de la velocidad con que se propagan las enfermedades transmitidas por el agua (Díaz, 2010).
Las características físicas, químicas y biológicas del agua permiten identificar rangos cuantitativos de cada una de ellas y por sus múltiples ventajas admiten establecer indicadores de calidad (Buss et al., 2015); además, de incorporar características como simplicidad metodológica y alta confiabilidad (Baque-Mite et al., 2016), lo cual permite determinar el indice de calidad del agua (ICA) como una herramienta para evaluar diferentes sistemas y comparar la calidad en diferentes cuerpos de aguas, particularmente como en ríos en diferentes estaciones de muestreo y/o lugares del país.
Como alternativa a la contaminación del agua surgieron los procesos de purificación, más conocidos como la potabilización, cuyo objetivo principal es remover, de la manera más eficiente posible, los materiales considerados como dañinos a la salud humana (Arboleda, 2000). En el aspecto legal, la potabilidad del agua se determina en función de fijar una serie de compuestos y sustancias de referencia y cumplir una cantidad establecida, considerada como aceptable (Casero, 2007). La respuesta al problema fue la potabilización del agua proveniente de una fuente en particular, que debe fundamentarse en estudios de calidad y pruebas de tratabilidad a nivel de laboratorio para asegurar su efectividad (NOM 127, 2011).
La región costera de Ecuador, presenta dificultades para la obtención de agua que cumplan con los criterios de calidad, cantidad, continuidad, cobertura, y costos razonables (Barahona y Tapia, 2010). Muchas comunidades dependen de extracciones insostenibles de los acuíferos para satisfacer las demandas del recurso hídrico para la agricultura y los usos domésticos, lo cual constituye una amenaza para la seguridad de este recurso en muchas regiones (Wada et al., 2010), a esto se agrega, que existen numerosos asentamientos poblacionales a lo largo del Río Carrizal, razón por la cual recepta efluentes sin tratamiento de aguas servidas, provenientes de grandes cantidades de basura, adicionalmente sus lixiviados y otros como los derivados del uso de agroquímicos (Barahona y Tapia, 2010).
En función de lo antes señalado la presente investigación se realizó con el objetivo de determinar la calidad del agua, categorizar las condiciones de salud y el perfil socioeconómico de los habitantes de las comunidades Balsa en Medio, Julián y Severino de la microcuenca del río Carrizal.
II. MATERIALES Y METODOS
Área de estudio
La investigación se realizó en la microcuenca hidrográfica del rio Carrizal comprendida entre las coordenadas LS 1 4’ 15” y LO 79 52’ 12’, la cual cubre un área de 1390 km2 aproximadamente. Se encuentra asentada en la provincia de Manabí y limita al norte con las cuencas del Río Briceño y Río Jama, al sur con las cuencas del Río Portoviejo y Río Guayas, al este con el Océano Pacífico, la cuenca del Estero Pajonal y al oeste con la cuenca del Río Guayas (Muñoz et al., 2009). En las comunidades de Balsa en Medio (E: 616279; N: 9892519), Julián (E: 605950; N: 9893975) y Severino (E: 606273; N: 9892511), ubicadas en la parroquia Quiroga; cantón Bolívar, provincia de Manabí. La zona cuenta con una precipitación anual de 1020 mm, temperatura promedio de 26º C y humedad relativa superior a 80% durante todo el año.
Cálculo del índice de calidad ambiental
En cada una de las localidades se tomaron cuatro muestras del agua albarrada en frascos de vidrio de 500 ml, previamente esterilizados, de acuerdo a las recomendaciones para la obtención y transporte de muestras de agua elaboradas por APHA, AWWA, WPCF. (2012), a partir de las cuales se determinaron las siguientes variables in situ: pH, temperatura, conductividad eléctrica y oxígeno disuelto utilizándose potenciómetro marca WTW, modelo 3110; mientras que las variables sólidos totales, nitratos, fósforo, DBO y coliformes fecales fueron determinadas en el Laboratorio de Evaluaciones Ambientales de la Escuela Superior Politécnica Agropecuaria de Manabí, ubicada en Calceta, Provincia de Manabí (Ecuador).
Para la interpretación de los datos se utilizó el Índice de Calidad Ambiental (ICA) desarrollado por la Fundación Nacional de Saneamiento – NSF (2004), el cual se fundamenta en la siguiente ecuación:
Donde, SI = subíndice de la variable i, y Wi = peso ponderado del subíndice i. Se utilizaron las curvas desarrolladas por NSF (2004) y por Fernández y Solano (2005) para la determinación de los valores de los subíndices SIi.
Tratamientos de purificación del agua
En función de la población estar constituida por 85 familias, en cada uno de los hogares muestreados se identificó la metodología de manejo del agua para el consumo humano. Para la determinación de la calidad de agua posterior al tratamiento, se realizó un muestreo estratificado, con cuatro repeticiones, en 20 familias (9, 5 y 6 hogares pertenecientes a las comunidades de Severino, Julián y Balsa en Medio, respectivamente) de acuerdo a los criterios de Mandeville (2010), considerando una probabilidad de ocurrencia del 95% y un nivel de confianza del 5% mediante la siguiente ecuación:
Dónde:
n = Tamaño de la muestra
PQ = Probabilidad de ocurrencia por la de no ocurrencia
N = tamaño de la población;
α =intervalo o nivel de confianza
K = constante de corrección del error
Diagnóstico socioeconómico y sanitario
e recolectó información documental acerca de la población de cada una de las comunid
Se recolectó información documental acerca de la población de cada una de las comunidades, a partir de Censos del Instituto Nacional de Estadísticas, Registros en Infocentros y en Centros Asistenciales de Salud del año 2016.
Para la determinación de las variables relacionadas con las Necesidades Básicas Insatisfechas, se utilizó la observación directa y paralelamente, se aplicó una encuesta formal, previamente validada, para conocer los capitales humano, cultural social, físico y financiero referente a los indicadores: número de miembros de la familia, escolaridad, salud, servicios básicos, actividad económica productiva principal, ingresos mensuales y determinar las limitantes para la implementación de sistemas de tratamiento de agua en las comunidades en estudio. La encuesta fue realizada a 85 jefes/as de familias de las comunidades Julián, Severino y Balsa en Medio.
Una vez recolectada la información, los datos fueron tabulados y graficados a través del programa Microsoft Excel®. Se procedió a la caracterización a través del resumen de estadísticos descriptivos y se realizaron inferencias con respecto a las comunidades evaluadas.
III. RESULTADOS Y DISCUSIÓN
Calidad del agua
La Tabla 1 muestra la ponderación de las variables y el Índice de Calidad del Agua de las localidades Balsa en Medio, Julián y Severino. Según los criterios establecidos por NFS (2004), quienes califican aguas de calidad óptima con una ponderación de 100 (adimensional), las aguas de Balsa en Medio y Julián están clasificadas como “aguas poco contaminadas”, con un índice entre 50 y 55; mientras que las aguas de la comunidad de Severino se clasifican como “aguas contaminadas”, con un índice de 44.
Se determinó que las variables que tuvieron mayor impacto en la reducción de la calidad del agua fueron el oxígeno disuelto y temperatura, que alcanzaron una baja ponderación a través del subíndice SI en todas las localidades, mientras que los bajos niveles de nitratos no tienen ningún impacto sobre la calidad del agua.

Además de las variables mencionadas, en todas las comunidades la presencia de coliformes fecales influyó negativamente sobre la calidad del agua; en la comunidad de Severino, las variables: DBO, fosfatos, sólidos totales y turbidez también tuvieron impacto negativo, mientras que en la localidad de Balsa en Medio influyó negativamente el potencial de hidrógeno.
Diversos estudios que han aplicado la metodología del Índice de Calidad de Ambiental (NFS, 2004) han demostrado la utilidad en la clasificación del agua con diferentes criterios. Baque-Mite et al (2016) encontraron que el agua del cantón Quevedo de Ecuador está levemente contaminada y requiere tratamiento de potabilización previo a su consumo. Pauta et al. (2017) hallaron que el río Tabacay presentó una calidad “aceptable” en su cabecera, “poco contaminado” a partir de la estación Rubíes, donde se realiza una explotación minera sin control y “contaminado” en la estación Puente Sucre asociado a efluentes industriales.
Quiroz et al. (2017) evaluaron la calidad de agua del río Portoviejo (Ecuador) y señalan que sólo los niveles de coliformes fecales superaron los límites de tolerancia establecidos por la autoridad ambiental reguladora, pero afirman que la calidad del agua va disminuyendo a medida que avanza su cauce debido a vertimientos de aguas residuales que disminuyen en su capacidad de asimilar la carga contaminante y en la restitución de su calidad de forma natural.
En concordancia con estos resultados, Gamarra et al. (2018) estudiaron la cuenca del río Utcubamba (Región de Amazonas, Perú) y encontraron que todos los parámetros fisicoquímicos evaluados se situaron por debajo de los límites marcados por los Estándares de Calidad Ambiental (ECA) para agua de ríos de la sierra, e indicaron que las principales fuentes de contaminación derivan de la escorrentía agrícola, resultante del uso de fertilizantes y plaguicidas, de las descargas domésticas de efluentes orgánicos sin tratamiento previo directamente al agua del río, de la implantación de canteras de extracción de materiales, de la eliminación de residuos sólidos en vertederos ubicados cerca de la red fluvial, así como de la presencia de granjas de aves y cerdos, y de la deforestación ribereña.
Por su parte, Rubio et al. (2017) concluyeron que el agua del río Conchos en Chihuahua, México, es apropiada para el florecimiento de la vida acuática y del ecosistema en su conjunto; mientras que, Bustíos et al. (2013) afirman que en Perú los principales problemas de calidad de agua provienen de vertimientos de aguas residuales no tratadas adecuadamente, provenientes del uso doméstico o de actividades productivas.
Diagnóstico socioeconómico y sanitario
En las tres comunidades objeto de la investigación se contó con 102 familias, para un total de 503 personas, de las cuales 65% están comprendidas entre 19 y 65 años (INEC - Infocentro Quiroga Manabí, 2016). Para la determinación de las necesidades básicas insatisfechas, se definieron aspectos relacionados con el nivel de escolaridad, nivel de ingreso familiar, niveles de hacinamiento y acceso a servicios públicos.
La Figura 1 muestra las condiciones prevalentes en cada una de las comunidades bajo estudio. Se determinó que la mayoría de los habitantes únicamente ha concluido la educación general básica, aproximadamente un 87% en Julián, en Severino el 90% y en Balsa en Medio el 89%; al mismo tiempo un porcentaje mínimo, ha concluido el bachillerato (13% en Julián, 10% en Severino y en Balsa en Medio el 8,9%) y ninguno ha completado el post bachillerato y mucho menos la educación superior. Esto se debe principalmente a las grandes distancias entre estos lugares y las instituciones educativas.
La mayoría de las familias (aproximadamente el 42%) subsisten con ingresos mensuales entre 100 y 150 USD, alrededor de un tercio de las familias de cada comunidad tiene ingresos mensuales entre 50 y 100 USD (en Julián el 38%, Severino el 33% y en Balsa en Medio el 32%), mientras que las condiciones extremas se obtuvo los menores porcentajes: cerca del 14% de las familias tienen ingresos superiores a 150 USD y sólo el 6% sobreviven con menos de 50 USD.
De la totalidad de los hogares en estas comunidades, se estableció que en 44% de las viviendas habitan menos de 5 personas y en el 56% habitan más de 5, lo cual es indicativo del predominio de condiciones de hacinamiento.
En cuanto a la disponibilidad de servicios, las tres comunidades cuentan con energía eléctrica como su principal servicio, ya que el 85% en Julián, el 92% en Severino y el 98% en Balsa en Medio dispone de este servicio. La telefonía celular también está presente, aunque en menor porcentaje con el 20% en Julián, 25% en Severino y el 30% en Balsa en medio, mientras que la telefonía fija en cambio está disponible en muy pocos hogares.

Cabe destacar que solo 85 familias poseen suministro directo de agua hasta sus casas a través de mangueras tendidas desde tanques elevados con agua albarrada proveniente de tomas directas de las vertientes del Río Carrizal, distribuidas aprovechando la fuerza gravitatoria sin ningún tratamiento previo.
La Tabla 2 resume los niveles de pobreza de las comunidades Balsa en Medio, Julián y Severino en función de las Necesidades Básicas Insatisfechas, destacándose las condiciones de hacinamiento y la baja capacidad económica con 93 y 95% respectivamente, como las mayores negatividades, y en menor proporción el acceso a la vivienda (84%), acceso a servicios básicos (80%) y acceso a la educación (73%)

Estudios realizados por Tarqui-Mamani et al. (2016) en Perú, señalan que existe una marcada desigualdad en la calidad bacteriológica del agua en la zona rural y en los hogares con extrema pobreza o pobre, asociada a la carencia de políticas que permitan mejorar la calidad del agua para el consumo de la población orientadas a incrementar el cuidado de las fuentes de abastecimiento de agua potable.
Guzmán et al. (2015) encontraron alto porcentaje de municipios de Colombia en los que el valor de potabilidad del agua no se ajustaba a lo establecido por la norma vigente; se identificaron los problemas relacionados con la presencia de E. coli, coliformes totales y la ausencia de cloro residual libre, los cuales fueron más agudos en la zona rural. La calidad del agua demostró tener un impacto importante en la mortalidad infantil y está altamente correlacionada con varias enfermedades comunes y con los niveles de pobreza predominantes en poblaciones rurales.
Tratamientos aplicados al agua a nivel local
Como se ha mencionado, el agua del río es almacenada en tres albarradas (una en cada comunidad) y luego distribuida a los hogares. El consumo se realiza previa cloración o ebullición en algunos casos, determinándose que solo 29 familias hierven el agua de los grifos y no realizan el tratamiento con cloro, a pesar de su dotación y el resto (73 familias) consume el agua que proviene directamente del cuerpo de agua.
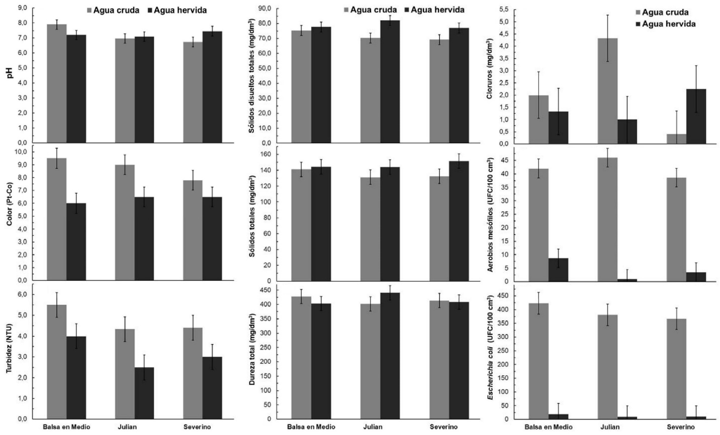
El análisis del impacto de este tratamiento sobre la calidad del agua se muestra en la Figura 2, donde se comparan los cambios en las propiedades del agua cruda y hervida, y se demuestra que el color, la turbidez, la dureza total, el cloro libre residual y la presencia de E. coli, fueron significativamente superiores al máximo admitido y no satisface las características de calidad para consumo establecidas en las normativas vigentes. Es pertinente señalar que aunque las autoridades recomienden el tratamiento del agua de consumo humano con cloro y se le distribuye gratuitamente a la familias, dicha actividad no se realiza. Tal situación y de acuerdo a los resultados obtenidos en esta investigación sugieren que la aplicación del cloro constituye un tratamiento necesario para mejorar la calidad del agua.
Se evidencia que el tratamiento de hervir el agua tiene muy poco impacto sobre el pH, los sólidos totales o disueltos, la dureza y los tenores de cloruros; mientras que las variables color y turbidez muestran una ligera tendencia hacia su reducción. El mayor impacto al hervir el agua se produce sobre las variables microbiológicas, al reducir significativamente el número de unidades formadoras de colonias de los microorganismos aerobios mesófilos y de la bacteria E. coli.
Estos resultados indican la necesidad de tratamientos adicionales al agua albarrada para conducirlas dentro de los estándares de calidad del agua de consumo humano, lo cual implica la utilización de sistemas de filtración y cloración.

Soto-Córdova et al. (2016) señalan grandes limitaciones para mejorar la calidad del agua en las zonas rurales, debido a las condiciones del terreno, la distancia entre las casas y la baja rentabilidad de los servicios de agua potable, aguas servidas y recolección de residuos sólidos, que eventualmente son descargados en los cauces de agua. La diversificación de las actividades productivas, el impacto del cambio en los patrones del clima sobre la variación de los regímenes de lluvia y los usos inadecuados del suelo, incrementan los riesgos por contaminación y deterioro de los recursos acuáticos afectan directamente la disponibilidad y la distribución del agua potable en las zonas rurales.
Problemas sanitarios asociados a la calidad del agua
En total se atendieron 353 consultas médicas para las tres comunidades, durante el año 2016, en su mayoría relacionadas con el uso de agua contaminada, tanto para beber como usos varios. En los centros de salud de las localidades estudiadas (Tabla 3) se pudo verificar que gran parte de las enfermedades humanas están correlacionadas con la ingesta de agua no apta para consumo, en su mayoría son de naturaleza digestivas, de la piel y respiratorias. Para las tres comunidades, en el año 2016, se detectaron 48 casos de disentería amebiana, 44 de shigelosis, 78 de diarreas generalizadas por otras causas relacionadas con el agua de beber contaminada, 9 casos de infecciones por Campylobacter ssp., 43 casos de enfermedades varias que pueden relacionarse con el agua contaminada, 41 casos de dermatosis por contacto con agua contaminada y, 39 respiratorias que, según los especialistas que las atendieron podrían estar vinculadas a la mala calidad del agua consumida.
Según la OMS cada año fallecen cerca de 1,87 millones de niños por causas asociadas a la enfermedad diarreica y cerca del 88% de estas muertes están asociadas con el abastecimiento de agua insalubre y el saneamiento e higiene deficientes (Boschi-Pinto et al., 2008).
Adicionalmente, González et al. (2017) afirman que las localidades ubicadas en la zona rural del Cantón Paquisha (Ecuador) se encuentran dentro de las áreas de alto riesgo para enfermedades relacionadas con helmintos, las cuales están consideradas dentro del grupo de enfermedades desatendidas, debido a su baja mortalidad, pero que tienen alta relación con la ausencia de infraestructura sanitaria, como alcantarillado, agua potable y sistemas de disposición de excretas. Bajo las condiciones de esta investigación no se cuantificaron estos aspectos, pero se presume una incidencia alta dadas las bajas condiciones de salubridad de las comunidades Severino, Julián y Balsa en Medio.

En Colombia, los registros de las principales enfermedades de origen hídrico indican que no ha habido disminución importante en su prevalencia en los últimos años, con excepción del caso de Hepatitis A. Para el caso de EDA, aunque hubo disminución de la tasa hasta el año 2011, a partir del año 2012 se aprecia incremento sostenido en la tasa de mortalidad. Con respecto a los casos de ETA, se observan picos altos en 2009 y 2011, la tendencia muestra aumento de 14,8% de los casos entre 2008 y 2014 (Rodríguez et al., 2016)
Gonzaga et al. (2017) afirman que la población rural desconoce la relación existente entre la calidad del agua de consumo y la salud de los seres humanos y de los animales; en consecuencia, al no poseer un servicio de agua potable y no disponer de un ordenamiento adecuado para el manejo de los desechos domiciliarios y agrícolas, ambas condiciones promueven de forma significativa la contaminación del agua y del suelo. De manera similar, en Cuba, los resultados de la valoración sobre conocimientos y actitudes de la población en cuanto al saneamiento básico ambiental y su relación con la salud, demuestran insuficiencia en la educación sanitaria que incide en la actitud de los habitantes para participar de forma activa en la solución de las deficiencias en los servicios de saneamiento (Del Puerto et al., 2000).
Las relaciones entre la calidad microbiológica del agua y los problemas sanitarios han sido documentadas en diferentes partes del mundo. Díaz-Martínez y Granada-Torres (2018) encontraron que las variables microbiológicas del río Bogotá (Colombia) presentaron valores altos y por encima del nivel máximo permitido, siendo la presencia de E. coli motivo de preocupación debido a que el agua del río es utilizada para el riego de los cultivos de papa y hortalizas, y es la segunda causa de la enfermedad diarreica aguda (EDA) en niños menores de 5 años en el municipio Villapinzón. Resultados similares fueron reportados por Musálem-Castillejos et al., (2018) en una sección del río Grijalva y en algunos de sus afluentes en la frontera entre los estados de Chiapas y Tabasco, indicando que las concentraciones de coliformes totales y E. coli superaron los valores permisibles en todos los puntos de muestreo.
La presencia de coliformes también constituye una alerta de la posible contaminación con microorganismos patogénicos como Salmonella, Vibrio cholerae y especies de Shigella que son transmitidos por el agua (Baccaro et al., 2006).
En los resultados de esta investigación se detectaron gastos superiores a 50 USD anuales relacionados con la atención y tratamiento médico en la mayoría de las familias de las tres comunidades, los cuales repercuten de forma significativa en los ingresos de sus habitantes. También se constató en las consultas médicas problemas de salud vinculados a enfermedades gastrointestinales por mala calidad del agua en frecuencia elevada, tales indicadores relatan la estrecha relación entre la búsqueda de salud de la población, al comprar medicamentos y/o gastos en honorarios médicos, para paliar los problemas resultantes. Se requiere la inmediata intervención de autoridades sanitarias en un programa de concienciación a la población objeto, sobre educación referida a la calidad del agua ingerida; así como también, sobre las consecuencias a su salud y de forma conjunta la inmediata acción gubernamental o propia de las tres comunidades para aplicar una metodología de disponer de agua de calidad para el consumo humano realizando de manera correcta el tratamiento recomendado.
La constatación de necesidades básicas insatisfechas (NBI) particularmente referidas al acceso de agua potable de calidad, o dicho de otra manera, la búsqueda de la equidad en la prestación de servicios sociales básicos, relacionados con agua sana, saneamiento básico y salud, así como también en educación, detectadas entre las variables cuantificadas en este estudio en las comunidades de Severino, Julián y Balsa en Medio indican la pertinencia de incluirlas en las políticas prioritarias del estado Ecuatoriano para revertir las necesidades básicas insatisfechas como señalado por Sen (2000; 2001).
IV. CONCLUSIONES
D
De acuerdo al índice de calidad del agua, según los criterios establecidos por NFS, las aguas de Balsa en Medio y Julián están clasificadas como “aguas poco contaminadas”, con un índice de calidad superior a 50; mientras que las aguas de Severino se clasifican como “aguas contaminadas”.
2. El consumo del agua se realiza previa ebullición en 28% de los casos, donde se reducen significativamente los microorganismos aerobios mesófilos y de E. coli, pero no se realiza la cloración, mientras que el 72% consume el agua directamente del rio.
3. Para el 2016 en las tres comunidades, tanto por contacto como por ingesta de agua contaminada, se detectaron 48 casos de disentería amebiana, 44 de shigelosis, 78 de diarreas generalizadas, 9 casos de infecciones por Campylobacter ssp., 43 casos de enfermedades vinculadas al agua, 41 casos de dermatosis y 39 casos de enfermedades respiratorias.
4. El conjunto de necesidades básicas insatisfechas, evaluadas en las tres comunidades, colocan la población dentro de un nivel de pobreza significativamente apreciable, siendo determinantes el acceso a la educación y el acceso al servicio de agua potable.
Referencias
APHA, AWWA, WPCF. (2012). Standard Methods for the Examination of Water and Waste Water. 22th ed. New York, U.S.A: Ed. McGraw Hill.
Arboleda, J.,( 2000). Teoría y práctica de la purificación del agua. Tercera ed. Santa Fe de Bogotá: McGraw-Hill Interamericana.
Baccaro, K., Degorgue, M., Lucca, M., Picone, L, Zamuner, E., & Andreoli, Y. (2006). Calidad del agua para consumo humano y riego en muestras del cinturón hortícola de Mar del Plata. RIA: Revista de Investigaciones Agropecuarias, 35 (3), 95-110.
Baque-Mite R.; Simba-Ochoa L.; González-Ozorio B.; Suatunce P.; Diaz-Ocampo E. y L. Cadme-Arevalo. (2016). Calidad del agua destinada al consumo humano en un cantón de Ecuador. Revista Ciencia UNEMI, Vol. 9 (20): 109 – 117.
Barahona, M. & Tapia, R. (2010). Calidad y tratabilidad de aguas provenientes de ríos de llanura y embalses eutrofizados, caso de estudio: Carrizal – Chone La Esperanza. Tesis tercer nivel, Sangolquí: Escuela Politécnica del Ejército. Ecuador.
Barrios, C., Torres, R., Lampoglia, T. & Agüero, R. (2009). Guía de Orientación en Saneamiento Básico para Alcaldías de Municipios Rurales y Pequeñas Comunidades. Lima. OPS/CEPIS.
Boschi-Pinto C, Velebit L, Shibuya K. (2008). Estimating child mortality due to diarrhoea in developing countries. Bull World Health Organ.;86(9):710-717.
Buss, D. F., Carlisle, D. M., Chon, T. S., Culp, J., Harding, J. S., Keizer-Vlek, H. E. y Hughes, R. (2015). Stream biomonitoring using macroinvertebrates around the globe: a comparison of large-scale programs. Environmental monitoring and assessment, 187(1), 4132.
Bustíos, C., Martina, M., & Arroyo, R. (2013). Deterioro de la calidad ambiental y la salud en el Perú actual. Revista Peruana de Epidemiología, 17(1): 1-9
Casero, D. (2007). Procesos e instalaciones de tratamiento de aguas. España: Escuela de negocios.
Cohn, D., Cox, M. & Beger, P.(2002). Aspectos de la calidad del agua, salud y estetica. Madrid, España: Mc Graw-Hill.
Del Puerto Quintana, C., Concepción Rojas, M., Puerto Rodríguez, A. D., & Prieto Díaz, V. (2000). Conocimientos y actitud de la población en relación con el saneamiento básico ambiental. Revista Cubana de Higiene y Epidemiología, 38(2), 137-144.
Díaz, C. (2010). Riesgo de enfermedades transmitidas por el agua en zonas rurales. En: Agua potable para comunidades rurales, reuso y tratamientos avanzados de aguas residuales domésticas. Perú. Red Iberoamericana de Potabilización y Depuración del Agua, pp. 155-167.
Díaz-Martínez, J. A., & Granada-Torres, C. A. (2018). Efecto de las actividades antrópicas sobre las características fisicoquímicas y microbiológicas del río Bogotá a lo largo del municipio de Villapinzón, Colombia. Revista de la Facultad de Medicina, 66(1), 45-52.
FAO. 2015. La FAO y los 17 Objetivos de Desarrollo Sostenible. Organización de las Naciones Unidas para la Alimentación y la Agricultura. Roma. 8 pp.
Fernández, N. & Solano, F. (2005). Índices de calidad y de contaminación del agua. Universidad de Pamplona, 43-53.
Fondo Moterario Internacional y el Banco Mundial.(2016). Reporte de Monitoreo Global.
NSF International Consumer 2004. Recuperado de:
Gamarra Torres, O. A., Gurbillón, B., Angel, M., Barboza Castillo, E., Rascón Barrios, J., Corroto, F., y Taramona Ruiz, L. A. (2018). Fuentes de contaminación estacionales en la cuenca del río Utcubamba, región Amazonas, Perú. Arnaldoa, 25(1), 179-194.
Giménez Mercado, C., y Valente Adarme, X. (2016). Una aproximación a la pobreza desde el enfoque de capacidades de Amartya Sen. Provincia, (35).
Gonzaga Añazco, S. J., Castro Perdomo, N. A., & López Calvajar, G. A. (2017). El abasto de agua potable y la salud comunitaria. Machala, Ecuador. Estudio de Caso. Universidad y Sociedad, 9 (1): 218-223.
González M., M. V. , Flores, S. A. B., Erazo, C. C., y Murillo, D. E. S. (2017). Prevalencia de Geohelmintos y factores socioambientales en zonas urbanas y rurales, cantón Paquisha, Ecuador. CEDAMAZ, 4(1).
Guzmán, B.L., Nava, G y Díaz. (2015). La calidad del agua para consumo humano y su asociación con la morbimortalidad en Colombia, 2008-2012. Biomédica 35(Supl.2):177-190.
INEC. Instituto Nacional de Estadísticas. 2016. Infocentro Quiroga, Manabi. Ecuador em Cifras.
Mandeville, P. (2010). Tema 22: Muestreo multietápico. Ciencia UANL, XIII(1), pp. 102-105.
Morais, P., Resende, B., Palau, P. & Tiago, G. (2016). Estudo da qualidade da água por meio de bioindicadores bentônicos em córregos da área rural e urbana. Tabauté, 11(1), pp. 33-52.
Muñoz, A., Macías, S., y García, M. (2009). Caracterización hidrológica del Ecuador. Proyecto INAMHI-MAE-SCN-PRAA-PACC. Quito-Ecuador.
Musálem-Castillejos, K., Laino-Guanes, R., Bello-Mendoza, R., González-Espinosa, M., & Ramírez-Marcial, N. (2018). Calidad de agua del río Grijalva en la frontera de Chiapas y Tabasco. Ecosistemas y Recursos Agropecuarios, 5(13), 55-64.
NOM 127. (2011). Lineamientos contemplados en las normas oficiales mexicanas en materia ambiental para la potabilización del agua. Mexico: s.n.
NSF International Consumer 2004. Recuperado de:
OMS. (2008). Guías para la calidad del agua potable, s.l.: Organización Mundial de la Salud.
Pauta, G., Urgilés, P., y Vázquez, G. (2017). Control de calidad del agua e hidrogeoquímica en la microcuenca del río Tabacay. Actas de Ingeniería, Vol.3: 277-291.
Prüss, A., Bartram, J., Clasen, T., Colford Jr, J. M., Cumming, O., Curtis, V., y Freeman, M. C. (2014). Burden of disease from inadequate water, sanitation and hygiene in low‐and middle‐income settings: a retrospective analysis of data from 145 countries. Tropical Medicine & International Health, 19(8): 894-905.
Quiroz Fernández, L. S., Izquierdo Kulich, E., & Menéndez Gutiérrez, C. (2017). Aplicación del índice de calidad de agua en el río Portoviejo, Ecuador. Ingeniería Hidráulica y Ambiental, 38(3), 41-51.
Rodríguez Miranda, J. P., García-Ubaque, C. A., y García-Ubaque, J. C. (2016). Enfermedades transmitidas por el agua y saneamiento básico en Colombia. Revista de Salud Pública, 18, 738-745.
Rubio Arias, H., Ochoa Rivero, J. M., Ortiz Delgado, R. C., Quintana, R. M., Saucedo Terán, R. A., y Villalba, M. D. L. (2017). Calidad de agua en términos físico-químico-metales en tres sitios contrastantes del río Conchos en Chihuahua, México. Investigación y Ciencia, 25(70).
Sen, A. (2000). El desarrollo como libertad. Gaceta Ecológica, (55).
Sen, A. (2001). El nivel de vida. Editorial Complutense.
Soto-Córdoba, S; Gaviria-Montoya, L y Pino-Gómez, M. (2016). Situación de la gestión del agua potable en las zonas rurales de la provincia de Cartago, Costa Rica. Tecnología en Marcha. Encuentro de Investigación y Extensión 2016. Pág 67-76.
Tarqui-Mamani, C. B.; Alvarez-Dongo, D.; Gómez-Guizado, G.; Valenzuela-Vargas, R.; Fernandez-Tinco, I. y Espinoza-Oriundo, P. (2016). Calidad bacteriológica del agua para consumo en tres regiones del Perú. Revista de Salud Pública, 18(6), 904-912.
Wada, Y., van Beek, L. P., van Kempen, C. M., Reckman, J. W., Vasak, S., & Bierkens, M. F. (2010). Global depletion of groundwater resources. Geophysical research letters, 37(20).
Notas de autor
a.lore.carreno@gmail.com