
Recepción: 12 Enero 2018
Aprobación: 29 Agosto 2018
Resumen: El presente trabajo, realiza una breve introducción a las medidas QND (Quantum nondemolition measurement) y sus características. Además, se describe teóricamente un qubit acoplado a un oscilador armónico cuántico forzado como ejemplo de una medición QND en un qubit. El formalismo desarrollado para este tipo de sistemas cuánticos acoplados se desenvuelve dentro de la teoría cuántica de la computación. Como parte del estudio de las mediciones QND, se introducen los qubits de flujo que hacen uso de los interferómetros superconductores cuánticos (SQUIDs). El análisis de este esquema informático intenta introducir al lector en los conceptos de computación cuántica como el quibit que es el componente base que permite procesar información de forma cuántica. El objetivo de este trabajo es caracterizar si las medidas elaboradas sobre el qubit acoplado son o no QND. En este sentido, la aplicación del formalismo expuesto permitirá vislumbrar los alcances y limitaciones de los qubits acoplados en el desarrollo y aplicación de los sistemas cuánticos de la computación hasta el día de hoy. Adicionalmente, la aplicación de esta teoría se puede emplear a mediciones QND sobre qubits superconductores articulados a un oscilador armónico cuántico. Todo este proceso es sujeto al análisis y metodología que nos proporciona la historia de la ciencia y la tecnología.
Palabras clave: computación cuántica, lógica cuántica, qubit, QND, squid.
Abstract: The present work makes a brief introduction to QND (Quantum non demolition measurement) measurements and its characteristics. In addition, a qubit coupled to a forced quantum harmonic oscillator which is described theoretically as an example of a QND measurement in a qubit. The formalism developed for this type of coupled quantum systems is developed within the quantum theory of computation. As part of the study of QND measurements, the flow qubits making use of quantum superconducting interferometers (SQUIDs) are introduced. The analysis of this computer schema attempts to introduce the reader to the concepts of quantum computing such as qubit, which is the basic component that allows information to be processed quantumly. The objective of this work is to characterize whether the elaborated measures on the coupled qubit are QND or not. In this sense, the application of the exposed formalism will allow us to glimpse the scope and limitations of coupled qubits in the development and application of quantum computing systems to this day. Additionally, the application of this theory can be applied to QND measurements on superconducting qubits coupled to a quantum harmonic oscillator. All this process is subject to the analysis and methodology provided by the history of science and technology.
Keywords: qubit, quantum computing, QND, squid, quantum logic.
I. INTRODUCCIÓN
El presente artículo se desarrolla a través del análisis histórico de la ciencia y la tecnología el cual, apela a los contenidos y a la metodología de las diferentes subdivisiones de la historia, tanto temáticas (historia de las ideas, historia cultural, historia social, historia económica) como temporales y espaciales; en esta oportunidad, el presente análisis va enfocado a la evolución de la informática moderna con elementos de la física.
La computación e información cuántica se definen como el estudio del procesamiento de información usando sistemas cuánticos (Nielsen & Chuang, 2000) . Aunque esta definición suene obvia, la comunidad científica tardó en evidenciar la posibilidad de usar sistemas cuánticos para procesar información cerca de medio siglo. Este paradigma, tal vez se deba a que, para tener un marco concreto de la computación cuántica se necesitó el aporte de cuatro ramas de la ciencia, estas son: mecánica cuántica, la teoría de la información, ciencias de la computación y la criptografía (Nielsen & Chuang, 2000) .
Con el nacimiento de la mecánica cuántica, el avance de la computación y la teoría de la información, algunos científicos se dieron cuenta de que se podría pensar en computación de manera «física». Ejemplo de este tipo de iniciativa fue planteado por: Zeilinger, Nielsen, Bennet, Preskill, entre otros, quienes examinaron la obtención de velocidades de transmisión de información más rápidas que la velocidad de la luz, usando fenómenos cuánticos (Zeilinger, 1999) (Nielsen & Chuang, 2012) (Preskill, 1998) (Bennett & DiVincenzo, 2000) . Esta noción fue desmentida años más tarde, no solo por estar en contraposición con la teoría de la relatividad, sino también con el teorema «no-cloning» (Nielsen & Chuang, 2000) . Este principio fue aplicado para evitar reproducciones no autorizadas por su autor y fue descubierto a principios de la década de 1980, el cual establece que, a pesar de lo fácil que resulta hacer una copia de información clásica, resulta que en mecánica cuántica no se puede construir una copia exacta de algún estado cuántico. Si la copia de un estado cuántico fuera posible, entonces se podría transmitir información más rápido que la velocidad de la luz en el vacío.
Con la información cuántica, surge la necesidad de tener sistemas físicos con los que se pueda hacer computación cuántica. Esta teoría se nutrió de los avances de la física de los años 1970, ciencia que obtuvo el control completo sobre sistemas cuánticos simples (Sasura & Buzek, 2002) (Bloch, Dalibard, & Zwerger, 2008) (Kok, Munro, Nemoto, & Ralph, 2007) . Un ejemplo de estos avances es el desarrollo de métodos para atrapar un solo electrón, cuyos procedimientos aíslan ese elemento del mundo exterior y consecutivamente, se puede probar los aspectos de su comportamiento con una precisión increíble.
Desde el punto de vista de la computación cuántica, se creó el concepto de «Qubit», el cual es el análogo al bit de la computación clásica. Para el estudio de la computación cuántica, el qubit es considerado como un objeto matemático, el cual es ensayado desde diversas perspectivas teóricas; por ende, constituye una ventaja en el proceso de experimentación; sin embargo, no hay que ignorar que la noción del qubit es un objeto físico real (Barreiro, Müller, & Schindler, 2011) .
La ventaja que supone tratar al qubit como un ente matemático abstracto yace en dar libertad para construir una teoría general de la computación e información cuántica que no depende de un sistema específico para su realización (James, Kwiat, Munro, & White, 2005) .
II. DESARROLLO
Este artículo pretende hacer un estado de la cuestión de los conceptos básicos de computación cuántica y tratar teóricamente un modelo de QND que puede servir para obtener qubits cuánticos realizables. Para hacer posible este precepto, se desarrolla un modelo teórico de mediciones QND sobre un qubit acoplado a un oscilador armónico usando el formalismo de la mecánica cuántica.
La motivación del estudio se debe al creciente desarrollo de la computación cuántica como el siguiente paso de la informática, ya que, como se discutirá en el documento, la computación clásica tiene límites que la computación cuántica puede superar. En este contexto, el desarrollo de qubits es de gran importancia gracias a la necesidad de lectura y escritura rápida y eficiente de información donde juega un papel importante la corrección de errores (Nielsen & Chuang, 2000) . La posibilidad de realizar mediciones cuánticas repetidas en un sistema con la menor perturbación posible nos da la posibilidad de obtener esta corrección de errores necesaria para la computación cuántica. Uno de los esquemas más esperanzadores para lograr esto son las mediciones QND.
Nosotros nos centramos en tratar de caracterizar teóricamente si sobre el sistema de un qubit acoplado a un oscilador armónico se pueden realizar o no mediciones QND.
1. Orígenes
Para hablar de computación cuántica es necesario hablar de computación en general y la teoría de la información. Desde esta perspectiva, se realizará un brevísimo acercamiento histórico que nos ayudará a entender las ventajas de la computación cuántica y el papel de los qubits en esta versión de la computación.
El descubrimiento de tablas con escritura cuneiforme que datan del 1750 a.C., indican que los babilonios ya desarrollaron ideas de algoritmos bastante sofisticadas; sin embargo, nos limitaremos a hablar de la historia de la ciencia de la computación desde los estudios realizados por Alan Turing en 1936, a raíz de la publicación de su artículo intitulado «ON COMPUTABLE NUMBERS, WITH AN APPLICATION TO THE ENTSCHEIDUNGSPRO- BLEM», el cual es considerado por científicos que tratan el tema como la simiente de las ciencias de la computación moderna (Turing A. , 1938) .
Alan Turing, desarrolló en detalle la primera noción abstracta de una computadora programable y en su honor fue nombrada la máquina de Turing (Copeland, 2004) . No mucho después de esto, Jhon von Neumann desarrolló un modelo simple de cómo ensamblar todos los componentes necesarios de una computadora de manera práctica siguiendo el esquema de la máquina de Turing (Turing & Hodges, 1985) . Posteriormente, los especialistas en física, investigadores de los laboratorios Bell: John Bardeen, Walter Brattian y Will Shockley desarrollaron el primer transistor en 1965 (Hoddeson & Daitch, 2002) .
Si pretendemos entender la importancia de la computación cuántica debemos desarrollar los conceptos de algoritmos eficientes e ineficientes. Un algoritmo eficiente es aquel que se ejecuta en un tiempo polinómico de acuerdo al tamaño del problema a resolver. En contraste, un algoritmo ineficiente requiere de un tiempo generalmente exponencial para ser resuelto (Nielsen & Chuang, 2000) .
Para la década de 1960, se creía que la máquina de Turing era lo suficientemente poderosa como cualquier otro modelo de computación en el sentido de eficiencia. Al mismo tiempo, los científicos notaron que algunos tipos de computadores analógicos podrían resolver eficazmente problemas que no tenían una solución en la máquina de Turing; sin embargo, cuando se consideraron detalles reales, respecto al ruido de estos computadores analógicos, todo su poder de resolver problemas de manera competente se desvanecía. Con esta lección asimilada, se desarrolló una teoría de «corrección cuántica de errores» (Turing A. , 1938) . Así, los científicos, garantizaron el poder de la computación cuántica con una tolerancia a una cantidad finita de ruido (Sicard & Velez, 2001) (Jian, Silveri, & Kumar, 2013) .
En los años 70’s, Robert Solovay y Volker Strassen demostraron que es posible probar si un entero es primo o compuesto usando un algoritmo aleatorio. Este algoritmo no determinaba si el entero era o no primo con total certeza; en contraste a esa iniciativa, se determinaba con alguna probabilidad si el número era primo o compuesto (Solovay & Strassen, 1977) .
La prueba propuesta por Solovay y Strassen fue posteriormente repetida y determinó con certeza si el número es primo o no. El análisis realizado por aquellos investigadores creó gran interés en la comunidad científica, pues este concluyó que no existe manera eficiente de resolver el problema de la determinación si un entero es o no primo en una máquina de Turing determinista (Sicard & Velez, 2001) .
El siguiente gran paso lo dio Peter Shor en 1994, quien demostró que el problema de encontrar los factores primos de un entero y el llamado problema del algoritmo discreto podía solucionarse eficientemente en una computadora cuántica. Esta coyuntura constituyó un gran paso hacia la computación en vista que se cree hasta el día de hoy que estos dos problemas no tienen una solución en computación clásica (Berry, 1998) .
Por otro lado, entre 1982 y 1995, Lov Grover y Richard Freiman, perfeccionaron el modelo de la computadora cuántica. Lov Grover demostró que el problema de conducir una búsqueda en un espacio no estructurado también podría mejorarse en una computadora cuántica (Grover, 1998) . En 1982, Richard Feynman sugirió que existían dificultades esenciales que no permitían simular sistemas cuánticos en una computadora clásica y que la construcción de una computadora basada en principios de la mecánica cuántica solucionaría estas dificultades (Steane, 1998) . Estos descubrimientos sugieren que el poder de la computación cuántica excede el poder de la computación clásica (Steane, 1998) .
Así, desde la década de 1990, los investigadores empezaron a desarrollar computadoras cuánticas los cuales en realidad, demuestran que es posible construir un método de computación basado en los principios de la mecánica cuántica y que este tipo de computación es capaz de simular eficientemente sistemas que no tienen simulaciones competentes en computación clásica (Trabesinger, 2017) . Es muy probable que en el futuro, las aplicaciones más actualizadas para una computadora cuántica sean las simulaciones de sistemas cuánticos, los cuales son muy difíciles de simular en computadoras clásicas y en la actualidad, es un problema con profundas implicaciones científicas y tecnológicas.
2. Mediciones cuánticas
En mecánica cuántica, el proceso de medición y extracción de información de un sistema físico, conlleva siempre una interacción con el sistema a medir. A diferencia del caso clásico esta interacción con el sistema no puede ser despreciada, en vista de que esta interacción siempre causa perturbación en el sistema y por lo tanto, una pérdida de información del estado original antes de ser medido.
El principio de incertidumbre de Heisenberg señala que, mientras más precisa sea la medición sobre algún observable físico, más fuerte es la perturbación sobre el sistema. El problema de medición a nivel cuántico ha sido muy discutido y se han creado diferentes interpretaciones; sin embargo, en las últimas décadas se viabilizó el proceso de: aislar, controlar y medir objetos cuánticos individuales, situación que ha llevado a nuevas ideas acerca de cómo se podría lograr mediciones sobre estos sistemas cada vez más precisos y rozando el límite de la indeterminación que la teoría cuántica impone (Hume, Rosenband, & Wineland, 2007) . La aplicación de dichas mediciones a la información cuántica ha estimulado un gran interés, en particular, en el campo de la computación cuántica donde es necesaria una lectura rápida y eficiente, para lo cual, la corrección de errores juega un papel importante (Chirolli & Burkard, 2009) (Kelly, Barends, & Fowler, 2015) .
En un estudio reciente, los físicos han demostrado una nueva forma de hacer una de las mediciones ideales (mediciones QND) que permite a los físicos detectar partículas individuales repetidamente sin destruirlas. Los científicos han demostrado cómo medir el número de fotones dentro de una cavidad de microondas de una manera que preserve el estado de los fotones el 90% del tiempo; en otras palabras, el método es 90% QND. Los físicos explican que, a diferencia de los métodos de QND informados anteriormente, la nueva técnica es muy selectiva para los estados numéricos de fotones elegidos, lo que podría ser útil para aplicaciones tales como el monitoreo del estado de una memoria basada en fotones en una computadora cuántica (Bahrami, 2014) .
En este contexto, este principio plantea la entrada de mediciones cuánticas no destructivas (QND por sus siglas en ingles). Una medición cuántica no destructiva es un tipo especial de medición de un sistema cuántico en que la incertidumbre de la medida observable no aumenta desde su valor medido durante la evolución normal posterior del sistema. Una medida QND se logra usando un sistema particular que es un detector que interactúa con el sistema y la vez preserva los estados propios de algún operador de un observable físico (Chirolli & Burkard, 2009) .
Las aplicaciones de las mediciones QND surgieron para aplicaciones de relatividad general y sobretodo, para la detección experimental de ondas gravitatorias. Con el tiempo, muchas ramas de la física se han percatado de la utilidad de este tipo de mediciones como la óptica o la computación cuántica (Braginsky & Khalili, 1996) .
En óptica cuántica, el efecto Kerr óptico proporciona un patio de recreo temprano para estudiar mediciones QND (Bachor, Levenson, & Walls, 1988) , que se extendieron al marco de la electrodinámica cuántica de la cavidad y osciladores mecánicos mesoscópicos (Dotsenko, Mirrahimi, & Brune, 2009) .
Los esquemas para la medición QBN en qubits se han propuesto teóricamente y se han realizado experimentalmente con un qubit superconductor acoplado a osciladores armónicos, representados por un circuito LC externo de tanque (Katz, Ansmann, & Radoslaw C., 2006) , o por un resonador superconductor que se comporta como un solo modo de oscilador armónico cuántico en el circuito-QED (Boissonneault, Gambetta, & Blais, 2009) . Se ha adoptado un esquema de medición basado en el amplificador de bifurcación Josephson (JBA) con el objetivo de realizar mediciones QND de superconductores qubit (Boulant, Ithier, & Meeson, 2007) . En estos experimentos, se ha encontrado una desviación de ~ 10% del comportamiento QND perfecto.
En este documento nos centraremos en la aplicación en computación cuántica y más específicamente en qubits, sistemas reales de dos estados en los que se ha logrado hacer mediciones QND en el laboratorio como pueden ser dos cavidades de microondas conectadas por un semiconductor o sistemas de átomos acoplados a un oscilador armónico.
3. Mediciones QND
2) La medición no debe alterar el observable que se quiere medir;
3) Las mediciones repetidas deben dar el mismo resultado.
Uno de los procedimientos de medida más implementados para QND es acoplar el sistema que va a medir a un segundo sistema auxiliar. La evolución global entrelaza al sistema auxiliar y al sistema principal una medida de un observable B (con circunflejo) del sistema auxiliar para así proveer información del sistema objeto de medición (Chirolli & Burkard, 2009) . En general, una medida proyectiva fuerte en el sistema auxiliar se traduce en una medida débil no proyectiva en el sistema principal (Chirolli & Burkard, 2009) . Esto se debe a que, los estados propios del sistema acoplado difieren en gran medida del producto de los estados propios del observable medido en el sistema principal y los del sistema auxiliar. Los tres criterios antes mencionados se pueden enunciar de forma más corta: el observable medido  debe ser una integral de movimiento para el sistema acoplado auxiliar y el sistema principal. Rigurosamente, esto significa que el observable  que se desea medir, debe conmutar con el hamiltoniano H que describe el sistema que esta interactuando y el sistema auxiliar (Chirolli & Burkard, 2009) .

Este requerimiento representa una condición suficiente para que el estado propio del observable  que se determina por la medición no cambie bajo la evolución global del sistema acoplado y el sistema auxiliar. Como consecuencia, una medición seguida de la primera del observable  dará el mismo resultado que la primera medición con certeza.
Finalmente, para obtener información del observable  del sistema principal por medio de la medición del observable B (con circunflejo) es necesario que el hamiltoniano de interacción no conmute con B^;

donde Hint describe la interacción entre el sistema auxiliar y el sistema

En conjunto, estos criterios proporcionan una manera inmediata para determinar si un protocolo de medición determinado puede dar lugar a una medición QND. En este contexto, los observables  y B (con circunflejo) y el hamiltoniano H no pertenecen a ningún sistema en particular.
4. Juntura Josephson
Una unión Josephson se hace intercalando una capa delgada de un material no superconductor entre dos capas de material superconductor. Los dispositivos llevan el nombre de Brian Josephson, quien predijo en 1962 que pares de electrones superconductores podría pasar a través de la barrera no superconductora de un superconductor a otro por efecto túnel. Adicionalmente, aquel físico predijo la forma exacta de las relaciones de intensidad y tensión de la unión (Josephson, 1962)
Si se enfrían muchos metales y aleaciones a temperaturas muy bajas (a 20 grados o menos del cero absoluto) se produce una transición de fase. En esta "temperatura crítica" el metal cumple la fase conocida como el estado normal, el cual tiene una resistencia eléctrica hacia el estado superconductor donde no hay esencialmente resistencia al flujo de la corriente eléctrica directa. Lo que ocurre con este formulismo es que los electrones en el metal se emparejan por encima de la temperatura crítica, en consecuencia, esta interacción neta entre dos electrones es repulsiva. Por debajo de la temperatura crítica, la interacción global entre dos electrones se convierte muy ligeramente en atractiva lo que da como resultado la interacción de los electrones con la red iónica del metal.
Aquella atracción del metal es muy leve y permite caer en un estado de energía más bajo creando una brecha de energía. Debido a la diferencia de energía y el estado de energía más bajo, los electrones pueden moverse (y por lo tanto la corriente puede fluir) sin ser dispersados por los iones de la estructura. Cuando los iones dispersan electrones causa la resistencia eléctrica en los metales; por lo tanto, no hay resistencia eléctrica en un superconductor y no hay pérdida de energía. Sin embargo, en este principio hay una súper corriente máxima que puede fluir llamada la corriente crítica la cual funciona con material normal. Hay otra propiedad muy importante: cuando un metal entra en el estado superconductor expulsa todos los campos magnéticos, siempre que los campos magnéticos no son demasiado grandes (Josephson, 1962)
En una unión de Josephson, la barrera no superconductora que separa los dos superconductores debe ser muy delgada. Si la barrera es un aislante tiene que ser del orden de 30 angstroms de espesor o menos. Si la barrera es otro metal (no superconductor) puede ser tanto como varias micras de espesor hasta alcanzar el nivel de la corriente crítica; una supercorriente que puede fluir a través de la barrera, pares de electrones pueden crear un túnel a través de la barrera sin ninguna resistencia; sin embargo, cuando excede la corriente crítica, otra tensión aparece a través de la unión. Ese voltaje depende del tiempo es decir, que es una tensión alterna. La dinámica antes mencionada, a su vez, provoca una disminución de la corriente crítica de la unión y causa que la corriente fluya de una manera más normal y que aparezca un voltaje de CA de mayor tamaño (Makhlin, Schön, & Shnirman, 2001) . Por lo tanto, siempre y cuando la corriente a través de la unión es menor que la corriente crítica, la tensión es cero. Tan pronto como la corriente supera la corriente crítica la tensión no es cero pero oscila en el tiempo. Detectar y medir el cambio de un estado a otro se encuentra en el corazón de las muchas aplicaciones de uniones Josephson. Los circuitos electrónicos se pueden construir a partir de uniones Josephson, especialmente de circuitos lógicos digitales. Muchos investigadores están trabajando en la construcción de ordenadores ultrarrápidos utilizando la lógica Josephson. Uniones Josephson también se pueden formar en los circuitos denominados SQUID un acrónimo de dispositivo superconductor de interferencia cuántica. Estos dispositivos son extremadamente sensibles y muy útiles en la construcción de magnetómetros extremadamente sensibles y voltímetros. Un ejemplo de este tipo de aplicaciones es que se puede hacer un voltímetro que puede medir pico volts. Un SQUID consiste en un bucle con dos uniones Josephson que interrumpen el bucle. Un SQUID es extremadamente sensible a la cantidad total de campo magnético que penetra en el área de la espira (Fagaly, 2006) . El voltaje que se mide a través del dispositivo está muy fuertemente correlacionado con el campo magnético total alrededor del bucle (Fagaly, 2006) .
5. Qubits
Según Wootters un qubit como un bit clásico que tiene dos valores de verdad 1 o 0, los cuales tienen dos posibles estados 0 y 1; estos son estados de un sistema cuántico (Wootters, 1998) . La principal diferencia entre un bit y un qubit es que el qubit, que a diferencia de su análogo clásico, puede estar en los dos posibles estados al mismo tiempo. De hecho, el qubit puede tener un estado que sea la superposición de estos estados fundamentales como una combinación lineal de ellos:

Los estados especiales 0 y 1 son conocidos como estados de la base computacional y forman una base corto normal para el espacio vectorial donde se encuentran los qubits. Cualquier sistema cuántico de dos niveles es un potencial candidato para ser un qubit; este principio ayuda pensar al qubit como una partícula con espín 1 (Barenco, Bennett, & Cleve, 1995) . Entonces, 0 y 1 corresponderán respectivamente al espín arriba y abajo a lo largo de un eje arbitrario usualmente dado por un campo magnético externo (Berry, 1998) .
Todas las propiedades de un sistema cuántico se trasladan a un sistema de qubits como son la superposición de estados, esto significa que las formas de obtener información del estado cuántico son resueltas con una medida concreta en un tiempo específico. También, los problemas de medición que se presentan en los sistemas cuánticos se trasladan a los qubits como la incertidumbre |y el colapso de la función de onda en el momento de la medida.
Una forma muy usual de representar a un qubit es la siguiente representación geométrica, ya que |α 2| + |β |2 = 1, la ecuación (4) se puede escribir como:

Donde θ, ϕ y γ son números reales, ya que el factor eiγ no tiene efectos al medir el estado del qubit por simetría, se puede escribir

Los números θ y ϕ definen un punto en la esfera unidad tridimensional de Bloch, aunque no hay una generalización de la para sistemas de múltiples qubits. Aunque un qubit puede ser preparado en una infinidad de estados cuánticos diferentes no podemos usar un qubit para transportar más que un solo bit de información (Bloch, Dalibard, & Zwerger, 2008) . Esto se debe a que ningún proceso de detección puede diferenciar de forma fiable entre los estados no ortogonales del qubit, esto se demostrará con la ayuda de las puertas lógicas cuánticas más adelante.
De hecho, resulta que como la mecánica cuántica prevé, solo con una infinidad de medidas de qubits preparados idénticamente se puede determinar α y β para un qubit en el estado de la ecuación (Makhlin, Schön, & Shnirman, 2001) . En este punto, podemos hacer una muy interesante pregunta, ¿cuánta información representa un qubit mientras no lo midamos? Se podría pensar que esta pregunta es un tanto tramposa ya que ¿cómo se puede cuantificar información si no la podemos medir? A pesar de esto, en la naturaleza cuántica de un qubit reside un concepto muy poderoso, cuando un sistema cuántico cerrado evoluciona a través del tiempo sin hacer ninguna medida sobre este sistema. La naturaleza, al parecer, hace un seguimiento de todas las variables continuas que describen el estado como α y β. Se puede decir que la naturaleza tiene una gran cantidad de «información oculta» dentro del estado de un qubit (Steane, 1998) . El corazón del poder de la computación cuántica se encuentra en la forma de entender esta información oculta la cual es «extra» y crece exponencialmente con el número de qubits.
5.1. Múltiples qubits
Luego de analizar las funciones generales de los qubits, ahora imaginémonos que tenemos dos qubits. Si fueran dos bits clásicos, entonces tendríamos cuatro posibles configuraciones, 00, 01, 10, 00. Correspondientemente con dos qubits tendremos 4 estados computacionales base que los denotaremos como: │00>, │01>, │10>, │11>. Siguiendo los axiomas de la mecánica cuántica el sistema de dos qubits puede estar en un estado de la forma:

Al trabajar con la base computacional, todos los estados siempre están normalizados.
Para un sistema de dos qubits, podemos medir solo un sub conjunto de qubits; por ejemplo, si medimos solo el primer qubit y resulta una medición de un estado 0 con probabilidad α00 2 + α01 2, así dejamos el estado después de la medición como:

Un estado cuántico de dos qubits importante es el llamado estado Bell o EPR para lo cual es representado de la siguiente manera:

El estado de Bell tiene la propiedad de que al medir el primer qubit, tenemos dos posibles resultados: medir 0 con probabilidad 1 dejando al sistema en el estado |ϕj) = |00) o medir 1 con probabilidad 1, dejando al sistema en el estado ϕj = 11. Como resultado de esta operación, el estado del segundo qubit siempre dará el mismo resultado que la medida del primer qubit, es decir, las mediciones están correlacionadas una con la otra. En este sentido, se puede realizar otro tipo de medidas en un estado Bell, aplicando inicialmente algunas operaciones al primero o segundo qubit y estas correlaciones todavía existirán entre el primer y segundo qubit (Steane, 1998) .
Las correlaciones del estado Bell han sido de mucho interés desde que fueron propuestas por Einsten, Podolsky, Rosen y John Bell. Este último científico sostiene que las correlaciones en las mediciones del estado de Bell son más fuertes que cualquier relación que pudiera existir entre sistemas clásicos (Fu-Guo , Xi-Han, Chun-Yan, & Ping , 2005) . Estos resultados nos dan una pista de que la computación cuántica nos permite procesar información muy por encima de las capacidades conocidas con sistemas clásicos, aunque el estado de Bell parece simple y trivial, sin embargo, es responsable de muchas sorpresas en la computación e información cuántica como la tele transportación cuántica y códigos super densos (Nielsen & Chuang, 2012) .
Ahora consideremos un caso más general de n qubits. La base computacional de este sistema sería de la forma x1, x2.x3...x3 y un estado cuántico del sistema estaría definido con 2n coeficientes complejos. Imaginémonos ahora si n=500 el número de coeficientes sería más que el número de átomos estimados en todo el universo; simplemente, para un sistema de computación clásico es imposible tratar con cifras tan grandes. De esta manera, nos podemos dar cuenta que para un sistema de unos pocos cientos de átomos, la naturaleza puede manejar una cantidad de información casi inimaginable es como si la naturaleza tuviera 2500 piezas escondidas en donde hace los cálculos, mientras el sistema evoluciona; tener acceso a este gran poder de cálculo sería algo muy deseable.
5.2. Puertas lógicas para un qubit
Así como las computadoras clásicas están formadas de circuitos eléctricos que contienen cables y puertas lógicas, una computadora cuántica también está formada por circuitos cuánticos que tienen cables y puertas lógicas cuánticas que llevan, transportan y manipulan la información cuántica. Consideremos primero, una puerta lógica clásica, la puerta NOT; la función de esta puerta es obviamente la negación del estado del bit donde los estados 0 y 1 son intercambiados, 0→ 1 y 1 → 0. ¿Se puede definir una puerta cuántica análoga NOT?, si tenemos algún proceso que tome el estado │0> al estado │1> y viceversa, sería una buena opción para el análogo de una puerta NOT cuántica (Steane, 1998) .
Cuando especificamos la acción de la puerta en los estados │0> y │1> no nos dice nada de lo que pasa a la superposición de estados, lo que está en acuerdo con la teoría cuántica. En este sentido, la puerta NOT cuántica actúa linealmente, esto es:

al estado correspondiente en el cual el rol de │0> y │1> son intercambiados,

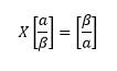
La representación matricial de esta puerta lógica se define como:

Así, si escribimos el estado α |1> + α |0> como vector

con la entrada de arriba correspondiente a la amplitud para |0> y la de abajo para |1>, entonces, el resultado de operar una puerta NOT con un estado es

Así pues, podemos representar puertas lógicas cuánticas de un qubit con matrices cuadradas de dimensión 2, la única restricción para que una matriz pueda ser una puerta lógica cuántica es que sea unitaria (Steane, 1998) . Lo interesante de este planteamiento es que al contrario del caso clásico, existe más de una sola puerta lógica cuántica no trivial. Dos de estas puertas lógicas importantes son la Z

la cual deja el estado 0 sin cambiar y cambia el estado 1 a 0 . La puerta de Hadamard también es otra puerta importante

Esta puerta es generalmente considerada como una raíz cuadrada de la puerta NOT, ya que cambia en (|0> + |1>)/ √2, que se puede interpretar como «medio camino» entre |0) y |1>, y cambia |1> en (|0>-|1>)/√2, que también está a «medio camino» entre |0> y |1>.
Como la puerta de Haddamard es la más útil, vale la pena tratar de visualizar su acción mediante la esfera de Bloch. En las figuras 2 y 3, se ilustra la acción de ésta puerta una rotación de la esfera alrededor del eje yˆ de 90◦ y una reflexión en el plano xˆ − yˆ.
5.3.Puertas lógicas para múltiples qubits
la formulación de una analogía con las puertas lógicas clásicas como AND, OR, XOR, NAND y OR son las más notables para trabajar con bits. Para esta clase de puertas lógicas se conoce un importante resultado teórico. Cualquier función en bits puede ser realizado por una composición de puertas NAND solas por lo cual, se conoce como una puerta lógica universal (Steane, 1998) . El prototipo de puerta lógica para múltiples qubits es la puerta control led NOT o CNOT. Esta puerta necesita dos qubits de entrada conocidos como el qubit de control y el qubit objetivo. En la figura 1 se representa la puerta CNOT en que la línea de arriba es el qubit de control y la línea de abajo el qubit objetivo (Nielsen & Chuang, 2012)

La acción de la puerta se puede describir como sigue: si el qubit de control es 0, entonces el qubit objeto no sufre ningún cambio, pero si el qubit de control es 1 el qubit objetivo es dado la vuelta. En ecuaciones se puede escribir así:

De la forma matricial, la puerta CNOT se escribe así:

Para las matrices de puertas lógicas de un solo qubit, el requerimiento para que las matrices de múltiples qubits sean válidas es que sean unitarias, así, se conserva la normalización de los estados cuánticos (Nielsen & Chuang, 2012) .
Además de esta puerta lógica, existen otras, pero en cierto sentido, la puerta CNOT y las puertas lógicas de un solo qubit son prototipos de todas las demás puertas, esto se puede enunciar como un resultado de universalidad: «Cualquier puerta lógica de múltiples qubits puede ser descompuesta en una puerta CNOT y puertas de un solo qubit» (Steane, 1998) .
La puerta CNOT se puede usar para demostrar el teorema de no copia de estados cuánticos. En el caso clásico, para copiar un bit se usa la puerta CNOT, la cual recibe un bit para copiar y un bit en «blanco» inicializado en cero. La salida de la puerta son dos bits con el estado del bit que se recibió para copiar. Ahora, si tratamos de usar la puerta CNOT cuántica para copiar un estado de un qubit │ψ = α 0> + β 1> el estado de entrada de dos qubits para la compuerta CNOT se podría escribir de la siguiente manera:

Como la función de CNOT es negar el segundo qubit cuando el primero es 1, entonces la salida de esta operación sería α│00> + β│ 11>. ¿Se puede decir que hemos copiado│ψ?, o de otra manera ¿creamos el qubit en el estado │ψ>│ψ>? Esto es solo cierto si │ψ>= │0> o │ψ>=│1>. En otras palabras, se puede copiar información clásica codificada como |0> o |1>. No obstante, el efecto de esa formulación es un caso general de un estado |ψ>|ψ> |ψ> = α2 |00>+ αβ |01> + αβ |10> + β2|11>
20)
Comparando este resultado con α│00> + β│11>, se observa que a menos que αβ = 0 el proceso de la compuerta CNOT no hace una copia del qubit. De hecho, resulta imposible hacer una copia de un estado cuántico no conocido, pues a esto se conoce como el teorema de «no cloning», el cual consiste en que los qubits no pueden ser copiados y es una de las grandes diferencias entre la información cuántica y clásica.
5.4.Mediciones QND en qubits
Las detecciones confiables de estados cuánticos juegan un rol central en metrología cuántica y en el procesamiento de información cuántica; en este caso, este principio permite lograr probabilidades con un bajo error durante la detección de estados en computación cuántica son requeridas para que los sistemas sean eficientes. En la práctica, la fidelidad de las detecciones se ve limitada por perturbaciones de los estados y ruido de los procesos de medición.
Como se anotó en líneas anteriores, un método de mitigar estos efectos es conectando el sistema a medir con un sistema auxiliar; una muestra de este principio es un qubit superconductor acoplado a un oscilador armónico, representado por un circuito externo LC. En los párrafos siguientes, se expondrá un esquema específico de medición QND en qubits.
6. Acoplamiento cuadrático
Si se acopla un qubit a un oscilador armónico cuántico forzado, se tiene un esquema QND; el qubit que esta acoplado al oscilador afecta las mediciones de este y la información acerca del qubit se puede extraer mediante mediciones proyectivas en el oscilador. Para este fin, se hace un modelo de acoplamiento cuadrático con el oscilador en función de las mediciones proyectivas.
Una de las posibles implementaciones del sistema en consideración es el qubit de juntura cuádruple de corriente persistente (qubit de flujo). Este qubit consiste en un lazo superconductor con cuatro junturas de Josepshon a baja temperatura para confinar su dinámica a los dos estados de energía más bajos. Para un flujo magnético externo cercano al medio de un múltiplo entero de Φ0 = h/2e, el cuanto de flujo superconductor, los dos niveles propios de energía más bajos son combinaciones de estados de corrientes horarias y anti-horarias. Estos dos estados representan el qubit. El instrumento de medida consiste en un interferómetro superconductor cuántico (SQUID) compuesto por dos junturas de Josephson, acoplado inductivamente al lazo del qubit (Hume, Rosenband, & Wineland, 2007) .
El circuito SQUID se comporta como una inductancia no lineal el cual, junto con un capacitor en paralelo, se forma un oscilador no lineal LC que es externamente forzado. Los dos estados del qubit producen flujo magnético opuesto que se traduce en la inductancia del SQUID que depende del qubit (Devoret & Schoelkopf, 2013) .
Para tratar al problema de una forma adecuada en el sentido cuántico, se linealiza la ecuación del SQUID para que el acoplamiento entre el oscilador LC y el qubit sea cuadrático. El hamiltoniano del qubit escrito en términos de las matrices de Pauli σ en la base de los estados de corriente {│0>, │1>} es:

Donde (Φext - Φ0/2) representa la diferencia de energía entre los estados del qubit y ∆ el término de la normalización el hamiltoniano se puede escribir efecto túnel entre estos estados.
La caracterización de la medida QND del qubit es estudiado mediante mediciones repetitivas. Una medida QND perfecta garantiza resultados consecutivos idénticos. Para caracterizar completamente las propiedades de la medición, se inicializa al qubit en el estado │0>, luego rotar al qubit aplicando un pulso de duración τ1 antes de la primera medición y un segundo pulso de duración τ2 entre la primera y segunda medición. La probabilidad condicional de detectar al qubit en el estado s y s’ se espera que sea independiente del primer pulso y debe mostrar oscilaciones sinusoidales con amplitud 1 en τ2. Desviaciones de este comportamiento habla de una desviación de una medida QND ideal (Devoret & Schoelkopf, 2013) .
El hamiltoniano que describe el SQUID y la interacción con el qubit puede escribirse como:

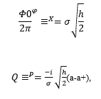
Donde es la diferencia de las fases de las dos junturas de Josephson que interrumpen el lazo del SQUID, Lj es la diferencia de cargas que se acumulan en las capacitancias en paralelo de las junturas. Solo por factor constante, ^ son variables canónicas conjugadas que satisfacen = 2ei. Si se divide el flujo externo en un término constante y otro que depende del qubit, tal que ≡ + (λ0 + λ1σZ) con Iq la corriente en el lazo del qubit y M la inductancia mutua entre el qubit y el lazo del SQUID [6]. Expandiendo el potencial hasta términos de segundo orden en ^ .

Con λ0 = 0 y λ1= (2πΦext/Φ0) sin ( . Si introducimos la fluctuación de la amplitud de punto cero λ0C , la frecuencia de oscilación (Lj/λ0c) ¼ y las componentes de fase y cuadratura del campo

con a y a† los operadores de creación y aniquilación del oscilador armónico que satisfacen a, a†=1. Aparte de la normalización, el hamiltoniano se puede escribir

con g = λ /2λ= tan(2πΦext/Φ0) tan(2πM Iq/Φ0)/2. Ahora el hamiltoniano se puede escribir de la forma de la ecuación <3> más un término de la fuerza externa.

También se puede escribir el hamiltoniano de oscilador (SQUID) y haciendo h=1

El hamiltoniano que describe el acople del qubit y el oscilador, despreciando términos como y está dado como

con , y la fuerza externa del oscilador

Suponiendo una fuerza . Despreciando términos de oscilación rápida , después de moverse en el sistema de rotación con frecuencia ωd, se tiene que el hamiltoniano no depende del tiempo,

con y la frecuencia que depende del qubit dada por .
El observable del qubit que se quiere medir es A σZ y gracias a la presencia del termino ∆σX/2, no representa una integral del movimiento para el qubit, [Hs, σZ] = 0. Por este motivo, la medida no satisface la ecuación (1) y no es una medición QND; sin embargo, para ∆ << s la variación en el tiempo de σZ es lenta en la escala del tiempo determinada por 1/s y se espera solo pequeñas desviaciones de una medición QND ideal. La presencia del termino σX que no es QND en Hs inhibe la solución exacta y un enfoque de perturbaciones se puede realizar en el pequeño parámetro ∆/s << 1 (Hume, Rosenband, & Wineland, 2007) .
III. CONCLUSIONES
Con lo expuesto en el documento, se observa como las mediciones QND se pueden hacer en el laboratorio y aplicarlas a qubits, logrando computación cuántica a escalas necesarias para su uso práctico. Hemos analizado el carácter QND de una medición de qubit basada en el acoplamiento a un oscilador armónico que funciona como un puntero a los estados qubit. El hamiltoniano que describe la interacción entre el qubit y el oscilador no conmuta con el qubit hamiltoniano. En principio, esto inhibiría una medición QND del qubit. El término en el hamiltoniano qubit que da lugar al conmutador distinto de cero es pequeño en comparación con la brecha de energía del qubit y en la dinámica del qubit a corto plazo se puede ver como una pequeña perturbación.
La elaboración de este trabajó dejó en claro que las mediciones QND son mediciones de un tipo que no violan ninguna regla de la teoría cuántica y solo exploran nuevas formas de medición. Se expuso un formalismo especifico de cómo tratar la medición QND con un qubit acoplado a un oscilador armónico forzado, el formalismo hamiltoniano describe la interacción entre el qubit y el oscilador no conmuta con el hamiltoniano del qubit, lo que deja en claro que una medición QND perfecta es solo ideal. Al mismo tiempo, se logró mostrar la utilidad de las junturas Josephson para construir qubits de flujo. Una forma de mejorar la eficiencia de QND sería simplemente desconectar el túnel. En el caso del flujo qubit superconductor, una posibilidad de menor ∆ podría ser arrinconar las islas superconductoras entre las uniones del bucle de qubits. Como esquema operacional, se podría pensar en trabajar en ∆ finito para operaciones lógicas y luego en ∆ = 0 para la medición. Investigaciones de este tipo buscan explorar las características y posibles realizaciones de mediciones QND para mejorarlas en el futuro; una aplicación de dicho esquema de gran interés está en el campo de la computación cuántica, donde se necesita una lectura rápida y eficiente y la corrección de errores juega un papel importante.
Señalamos que nuestro análisis es válido solo cuando el término no QND ∆σX puede ser visto como una perturbación, esto es para un tiempo corto ∆t<<1 y cuando la dinámica del qubit está dominada por el termino εσZ, para ∆/ε<<1. Nuestro análisis no es válido para el caso ε= 0. En el presente estudio, hemos descuidado el carácter no lineal del SQUID, que no es relevante para el problema fundamental descrito aquí.
Es necesario entender la importancia del desarrollo eficaz de una computación cuántica para resolver problemas fundamentales expuestos en párrafos anteriores, los cuales no tienen una solución en computación clásica, en este caso, resolver sistemas cuánticos de partículas en el orden del número de Avogadro serían muy útiles para la compresión de la biología molecular, aunque existen muchas más aplicaciones para la computación cuántica como la criptografía que salen del alcance de este trabajo. Se nota que el campo de la información cuántica está en pleno desarrollo y tiene lugar para cualquier tipo de interés ya sea teórico o tecnológico, ya que la computación clásica está llegando a su límite y varios ensayos de computadores cuánticos ya han sido construidos. La computación cuántica es una rama de la ciencia que mezcla tal vez, los campos que más desarrollo han tenido durante el siglo XX e inicios del XXI como son la computación y la teórica cuántica; el gran potencial de mezclar estas dos ideas puede abrirnos puertas inimaginables para entender el mundo que todavía la naturaleza nos oculta.
Referencias
Bachor, H., Levenson, M., & Walls, D. (1988). Quantum nondemolition measurements in an optical-fiber ring resonator. Physical Review A., 38(1), 180-190. doi:10.1103/PhysRevA.38.180
Bahrami, A. (2014). Quantum Nondemolition Measurements. Retrieved from http://www.ifsc.usp.br/~strontium/Teaching/Material2014-1%20SFI5774%20Mecanicaquantica/Seminario%20-%20Abasalt%20-%20Medida%20quantica%20de%20nao-demolicao.pdf
Barenco, A., Bennett, C., & Cleve, R. (1995). Elementary gates for quantum computation. Physical Review A., 52(5), 3457-3467. doi:10.1103/PhysRevA.52.3457
Barreiro, J., Müller, M., & Schindler, P. (2011). An Open-System Quantum Simulator with Trapped Ions. Nature, 486-491. doi:10.1038/543S1a
Bennett , C., & DiVincenzo, D. (2000). Quantum information and computation. 404, 247–255.
Berry, M. V. (1998). Foreword (Introduction to quantum computation). In L. Hoi Kwong , S. Popescu, & T. Spiller, Introduction to quantum computation. United Kingdom: World Scientific Publishing.
Bloch, I., Dalibard, J., & Zwerger, W. (2008). Many-body physics with ultracold gases. Reviews of Modern Physics, 80(3), 885-964. doi:10.1103/RevModPhys.80.885
Boissonneault, M., Gambetta, J., & Blais, A. (2009). Dispersive regime of circuit QED: Photon-dependent qubit dephasing and relaxation rates. Physical Review A., 79(1), 013819. doi:10.1103/PhysRevA.79.013819
Boulant, N., Ithier, G., & Meeson, P. (2007). Quantum nondemolition readout using a Josephson bifurcation amplifier. Physical Review B., 76(1), 014525. doi:10.1103/PhysRevB.76.014525
Braginsky, V., & Khalili, F. (1996). Quantum nondemolition measurements: the route from toys to tools. Rev. Mod. Phys., 68(1), 1-11. doi:10.1103/RevModPhys.68.1
Chirolli, L., & Burkard, G. (2009). Quantum nondemolition measurements of a qubit coupled to a harmonic oscillator. Phys. Rev. B, 80(18), 184509. doi:10.1103/PhysRevB.80.184509
Copeland, J. (2004). The Essential Turing. The ideas that gave birth to the computer age. New York, United States: Oxford.
Devoret, M., & Schoelkopf, R. (2013). Superconducting Circuits for Quantum Information: An Outlook. Science, 339(6124), 1169-1174. doi:DOI: 10.1126/science.1231930
Dotsenko, I., Mirrahimi, M., & Brune, M. (2009). Quantum feedback by discrete quantum nondemolition measurements: Towards on-demand generation of photon-number states. Physical Review A., 80(1), 013805. doi:10.1103/PhysRevA.80.013805
Fagaly, R. L. (2006). Superconducting quantum interference device instruments and applications. Review of Scientific Instruments, 77(10). doi:https://doi.org/10.1063/1.2354545
Fu-Guo , D., Xi-Han, L., Chun-Yan, L., & Ping , Z. (2005). Multiparty quantum-state sharing of an arbitrary two-particle state with Einstein-Podolsky-Rosen pairs. Phys. Rev. A, 72(4), 044301. doi:10.1103/PhysRevA.72.044301
Grover, L. (1998). Quantum Computers Can Search Rapidly by Using Almost Any Transformation. (A. P. Society, Ed.) Phys. Rev. Lett, 80(19), 4329--4332. doi:10.1103/PhysRevLett.80.4329
Haeffner, H., Becher, C., Riebe, M., & Roos, C. (2013). Realization of the Cirac-Zoller controlled-NOT quantum gate. Nature, 408-411. doi:10.1038/nature01494
Hoddeson, L., & Daitch, V. (2002). True Genius: The Life and Science of John Bardeen, the Only Winner of Two Nobel Prizes in Physics. Washington, DC., United States: Joseph Henry Press.
Hume, D., Rosenband, T., & Wineland, D. (2007). High-Fidelity Adaptive Qubit Detection through Repetitive Quantum Nondemolition Measurements. Phys. Rev. Lett., 99(12), 120502. doi:10.1103/PhysRevLett.99.120502
James, D., Kwiat, P., Munro, W., & White, A. (2005). On the Measurement of Qubits. In M. Hayashi, Asymptotic Theory of Quantum Statistical Inference. Selected papers (pp. 509-538). Tokio: World Scientific.
Jian, L., Silveri, M., & Kumar, K. (2013). Motional averaging in a superconducting qubit. Nature Communications. doi:DOI: 10.1038/ncomms2383
Josephson, B. (1962). Possible new effects in superconductive tunnelling. (Elsevier, Ed.) Physics Letters, 1(7), 251-253. doi:https://doi.org/10.1016/0031-9163(62)91369-0
Katz, N., Ansmann, M., & Radoslaw C., B. (2006). Coherent State Evolution in a Superconducting Qubit from Partial-Collapse Measurement. Science, 312(5779), 1498-1500. doi:10.1126/science.1126475
Kelly, J., Barends, R., & Fowler, A. (2015). State preservation by repetitive error detection in a superconducting quantum circuit. Nature(519), 66-69.
Kok, P., Munro, W., Nemoto, K., & Ralph, T. (2007). Linear optical quantum computing with photonic qubits. Reviews of Modern Physics, 79(135). doi:10.1103/RevModPhys.79.135
Makhlin, Y., Schön, G., & Shnirman, A. (2001). Quantum-state engineering with Josephson-junction devices. Rev. Mod. Phys., 73(2). doi:10.1103/RevModPhys.73.357
Nielsen , M., & Chuang, I. (2000). Quantum Computation and Quantum Information. Melbourne: Cambridge.
Nielsen, M., & Chuang, I. (2012). Quantum Computation and Quantum Information. Cambridge: Cambridge University Press. doi:https://doi.org/10.1017/CBO9780511976667
Preskill, J. (1998). Lecture Notes for Physics 229: Quantum Information and. California Institute of Technology.
Sasura, M., & Buzek, V. (2002). Cold trapped ions as quantum information processors. Journal of Modern Optics , 49(10). doi:https://doi.org/10.1080/09500340110115497
Sicard, A., & Velez, M. (2001). Hipercomputación: la próxima generación de la computación teórica. Revista Universidad EAFIT, 37(143), 47-51.
Solovay, R., & Strassen, V. (1977). A Fast Monte-Carlo Test for Primality. Society for Industrial and Applied Mathematics, 6(1), 84-85. doi:https://doi.org/10.1137/0206006
Steane, A. (1998). Quantum Error Correction. In L. Hoi Kwong, A. Steane, S. Popescu, & T. Spiller, Introduction to quantum computation and information (pp. 184-212). Singapur: World Scientific Publishing.
Trabesinger, A. (2017). Quantum computing: towards reality. Nature, S1. doi:10.1038/543S1a
Turing, A. (1938). On Computable Numbers, with an Application to the Entscheidungsproblem. A Correction. London Mathematical Society (LMS), s2-43(1), 544-546. doi:https://doi.org/10.1112/plms/s2-43.6.544
Turing, A., & Hodges, A. (1985). The enigma of intelligence. New York: HarperCollins Publishers.
Wootters, W. K. (1998). Entanglement of Formation of an Arbitrary State of Two Qubits. Phys. Rev. Lett, 80(10), 2245--2248. doi:10.1103/PhysRevLett.80.2245
Zeilinger, A. (1999). Experiment and the Foundations of Quantum Physics. In B. Bederson, More Things in Heaven and Earth. A Celebration of Physics at the Millennium (pp. 482-498). New York: Springer. doi:https://doi.org/10.1007/978-1-4612-1512-7_30
Notas de autor
cristian.espinel@epn.edu.ec (Error 8: El correo no tiene un formato correcto)