
Recepción: 30 Mayo 2016
Aprobación: 31 Marzo 2017
Resumen: Integrar la ergonomía como parte fundamental en los procesos de las empresas de manufactura y servicio, es primordial en la actualidad, no solamente para evitar lesiones músculo- esqueléticas, sino que tiene una relación directa con el desempeño en el puesto de trabajo, por lo tanto al mejorar en estos aspectos, se tiene una alta probabilidad de aumentar la productividad. En este contexto esta investigación presenta la evaluación de las posturas de trabajo del personal del área de montaje de una empresa de calzado. La evaluación inicia con el estudio y descripción de cada una de las actividades del proceso de producción en el área de montaje, con ello se relaciona la postura de trabajo adoptada por la persona y el tiempo dedicado a las actividades diarias. Como resultado de la aplicación de los métodos de Ovako Working Analysis System, OWAS, se determina que el 16,92% de las posturas evaluadas a los trabajadores podría causar daño al sistema músculo- esquelético; mientras que con el método Rapid Upper Limb Assessment, RULA, se determina que el 22% de las posturas evaluadas, requieren el rediseño del puesto de trabajo para evitar dichas posturas forzadas.
Palabras clave: ergonomía, industria de calzado, Ovako Working Analysis System, OWAS, Rapid Upper Limb Assessment, RULA.
Abstract: Integrate the ergonomics is fundamental in the process the manufacturing and services enterprises, nowadays is primordial, not only for avoid musculoskeletal injuries because it has a direct relationship with the performance in the workstation, therefore to get improvements in this aspects, it would have a direct possibility to increase the productivity. In this context this work presents the evaluation of working postures from the staff who works in the assembly area of a footwear company. The evaluation start with the study and description of each activity of the production process in the assembly area, with that relates the working posture adopted for the person and the time dedicated to the daily activities. As a result to apply the methods Ovako Working Analysis System, OWAS, it was determined that 16,92% of evaluated postures in nineteen workers could have the possibility of cause damage to musculoskeletal system, while with the method Rapid Upper Limb Assessment, RULA was established that of 22% of evaluated postures needs the redesign of workstation to avoid awkward postures.
Keywords: ergonomics, footwear industry, Ovako Working Analysis System, OWAS, Rapid Upper Limb Assessment, RULA.
I. INTRODUCCIÓN
Existe una tendencia hace varios años del aumento de los desórdenes musculo-esqueléticos, las estadísticas internacionales muestran un crecimiento en la incidencia y prevalencia de los desórdenes Músculo-Esqueléticos, lo que implica la importancia de identificar y cuantificar su magnitud, y así evaluar acciones que permitan determinar el impacto de las intervenciones realizadas a nivel de puesto de trabajo (Schneider & Irastorza, 2010).
Numerosos son los métodos que se han generado para determinar el riesgo de desórdenes musculo-esqueléticos, pero gran parte de ellos necesitan el uso de conocimientos, entrenamiento y experiencia por parte del personal (David, 2005), (Li & Buckle, 1999), (Takala et al, 2010).
La ergonomía es considerada una disciplina científica que aporta elementos para evaluar los riesgos ergonómicos. Consiste en crear un equilibrio apropiado entre las actividades laborales y la capacidad del trabajador (García et al, 2015), (Real-Pérez et al, 2012), (Ardila Jaimes & Rodríguez, 2013), (Agila-Palacios et al, 2014), (Hu, Liu, & Tu, 2016), El deterioro en la salud del trabajador se debe principalmente a la carga física de trabajo, lo que provocan las lesiones músculo-esqueléticas, las que surgen por la acumulación de pequeños traumatismos de la actividad laboral, originando enfermedades profesionales músculo-esqueléticas y accidentes de trabajo por esfuerzos físicos (Villanueva, 2005).
Se considera que los trastornos musculo esqueléticos son la primera causa de baja relacionada con las condiciones de trabajo, aunque no siempre se reconozca su origen laboral (Benavides et al, 2008).La incidencia de lesiones osteo musculares de origen laboral es consecuencia de una compleja interacción entre condiciones físicas y de organización del trabajo, factores fisiológicos y psicológicos de los trabajadores y contexto social (Marras, 2004), (Buckle, 2005).
La Organización Internacional del Trabajo (OIT) define la ergonomía como los conocimientos y experiencias de las capacidades del trabajador, apuntando al uso óptimo del recurso "trabajo humano". También indica que la ergonomía examina no sólo la situación pasiva del ambiente, sino también las ventajas para el operador humano y las aportaciones que pueda hacer, con miras a permitir y fomentar el mejor uso de sus habilidades (Vedder & Laurig, 2010).
La ergonomía debe actuar en forma distinta frente a cada situación específica, evaluando la efectividad de las intervenciones y adaptándose a los cambios en los factores determinantes con el ensayo de nuevas acciones, para garantizar la comodidad del trabajador en el campo físico, psicológico, social y la eficiencia en el sistema productivo. (García et al, 2009), (Real-Pérez et al, 2012).
El principio básico de la ergonomía consiste en crear un equilibrio apropiado entre las actividades laborales y la capacidad del trabajador (Luttmann, Jager, & Griefahn, 2004). Desde el punto de vista ergonómico todo oficio, en mayor o menor medida, presenta algún tipo de riesgo. Si bien es cierto en la literatura se encuentran manuales o listas de chequeo para profesiones en particular en términos de riesgo ergonómico, es probable que existan particularidades más detalladas para el oficio de tabaco y joyería artesanal dentro del rubro empresas familiares (OIT, 2010)(Putz-Anderson, Bernard & Burt, 1997)
El personal es una fuente de recursos que debe ser nutrido, desarrollado, protegido y ubicado debidamente, ya que la utilización del recurso humano permite alcanzar los objetivos organizacionales (Almendáriz, Castillo y Cuestas, 2013).
En la actualidad todo lo que se refiere a la prevención de riesgos es una de las prioridades en el lugar de trabajo, cuya finalidad es disminuir los accidentes y lesiones de los trabajadores, por medio de mejoraras en las condiciones de trabajo. La integración de la ergonomía es fundamental en este campo por lo que es necesario desarrollar evaluaciones ergonómicas antes de realizar algún cambio (López Torres et al, 2014).
Las condiciones de trabajo generan trastornos músculo esqueléticos que pueden dañar los tendones, membrana sinovial, los músculos, los nervios, la fascia y ligamentos, con o sin degeneración del tejido, que afectan principalmente a las extremidades superiores, región hombro, cuello y columna lumbar. Los factores de riesgos para el desarrollo de trastornos músculo-esqueléticos pueden ser variados, como una estación de trabajo no adecuada a las características físicas de los trabajadores, procedimientos incorrectos de trabajo, así como uso inadecuado de herramientas. Se estima que a nivel mundial del 30% al 50% de los trabajadores están expuestos a riesgos ocupacionales que les pueden generar lesiones músculo-esqueléticas, esto tiene un enorme y creciente impacto a nivel mundial, desde la perspectiva de productividad y economía de la industria (Rojo, Alonso, Piñol, & Quintana, 2000), (Rodríguez & Heredia, 2013), (López Torres et al., 2014), (Lourinho et al, 2011), (Luque-Acuña & Moreno, 2014).
Sin embargo, al ser un trabajo manual, el trabajador requiere de agilidad para su elaboración poniendo en riesgo su salud, exponiéndose constantemente a molestias como dolores musculares, principalmente en cuello, miembro superior y espalda debido a sus movimientos repetitivos y posiciones viciosas. (Benavides & Castejón, 2005)
Este trabajo presenta la valoración ergonómica de los puestos de trabajo del área de montaje en la fabricación de calzado, para lo cual se consideró como caso de estudio la Empresa de Calzado Calzafer. La investigación inicia con la identificación del proceso de producción mediante un Cursograma Sinóptico para determinar los puestos de trabajos del área de montaje; mientras que la evaluación de los puestos de trabajo se realizó por medio de dos métodos: OWAS que identifica 252 posiciones diferentes mediante la combinación de: la espalda con cuatro posiciones, brazos con tres posiciones, piernas con siete posiciones y carga - levantada con tres intervalos; en cambio la segunda metodología, RULA, consiste en la observación de la actividad del trabajador durante la jornada de trabajo para seleccionar las tareas y posturas más significativas, ya sea por su duración, a priori, o una mayor carga postural. Finalmente se obtiene los resultados de las evaluaciones identificando la problemática de la empresa.
II. DESARROLLO
1. Metodología
Para el desarrollo de esta investigación fue necesario utilizar varias herramientas que permitieran recolectar suficiente información acerca del proceso de montaje del calzado y las actividades que realizan los trabajadores. El levantamiento de la información se realiza en dieciocho puestos de trabajo, que son la totalidad de puestos en la empresa del estudio de caso.
En el área de montaje de calzado para determinar los factores riegos, las actividades establecidas para el proceso son: pegado de contrafuertes, aplicación de punteras, empastado, pegado de plantillas de armado, armado de puntas, armado de talones y lados, asentado, rayado, cardado, empastado de zapatos, plantado, limpieza de zapatos, retirado de hormas, remoción de pegamento seco, inspección y colocación de plantillas, acabado, etiquetado y embalaje, empastado de plantas, como se muestra en la Figura 1.
La evaluación de los puestos de trabajos que muestra la Figura 1 inicia con la observación de las actividades realizadas en varias jornadas de trabajo, se toma fotografías y videos de cada uno ellos, por medio de los cuales se identifica al detalle la forma de cómo se desarrolla una tarea. Después de identificar cada una de las actividades se procede a determinar los métodos, estrategias y el equipo necesario para la evaluación ergonómica.

Nota: La figura contiene el cronograma sinóptico muestra el área de montaje de calzado
Existe una gran variedad de métodos pero ninguno de ellos se considera como valoración perfecta, cada uno de los métodos que existen en la actualidad aporta diferentes aspectos positivos y cada uno se orienta a diferentes partes anatómicas o un aspecto concreto que puede adolecer una persona. Los métodos de evaluación ergonómica son los que por medio de valorar los factores de riesgo que se encuentran presentes en el área de trabajo permiten plantear opciones de rediseño que reduzcan dicho riesgo y sitúen a estos en nivel
es aceptables de exposición para los trabajadores (Correa et al, 2013). La selección del método de evaluación conlleva criterios de sencillez de aplicación, así como criterios que son más difundidos y utilizados entre investigadores y ergónomos. Los métodos que más se utilizan en la actualidad son: ecuación de National Institute for Occupational Safety and Health, NIOSH,73.4%para la evaluación manual de cargas, RULA, 51,6% para el análisis postural, seguido de delJob Strain Index, JSI, 39,3% para la evaluación de movimientos repetitivos y OWAS, 21,4% para el análisis postural (Asensio-Cuesta, Ceca, & Más, 2012).
Los métodos de evaluación de posturas que se basan en la observación de las actividades de los trabajadores son los que permiten obtener conclusiones sobre la existencia y/o nivel de riesgo, por lo que son los más acordes para las posturas mantenidas y movimientos repetitivos. Este tipo de métodos tienen la ventaja de ser económicos ya que al utilizarlos no se requiere de conocimiento a profundidad y también pueden ser manejados en diferentes ambientes de trabajo sin que exista la interrupción normal de las actividades en el trabajo (Castellano, M., Alcalde, V. & Bascuas, n.d.). Para esta investigación se seleccionaron dos métodos para evaluación de manera rápida y óptima, sin interrumpir a los trabajadores en el proceso productivo, los métodos escogidos son OWAS y RULA, los que son descritos brevemente a continuación.
RULA: El método Rula fue desarrollado por los doctores McAtamney y Corlett de la Universidad de Nottingham en 1993 (Institute for Occupational Ergonomics) para evaluarla exposición de los trabajadores a factores de riesgo que pueden ocasionar trastornos en los miembros superiores del cuerpo: posturas, repetitividad de movimientos, fuerzas aplicadas, actividad estática del sistema músculo-esquelético (Mcatamney & Corlett, 1993)
OWAS: El método OWAS (Ovako Working Analysis System), fue propuesto por los autores finlandeses Osmo Karhu, Pekka Kansi y Likka Kuorinka en 1977 bajo el título "Correcting working postures in industry: A practical method for analysis. Está destinado al análisis ergonómico de la carga postural. En la actualidad, un gran número de estudios avalan los resultados proporcionados por el método (Karhu, Kansi & Kuorinka, 1977).
1.1. Método OWAS
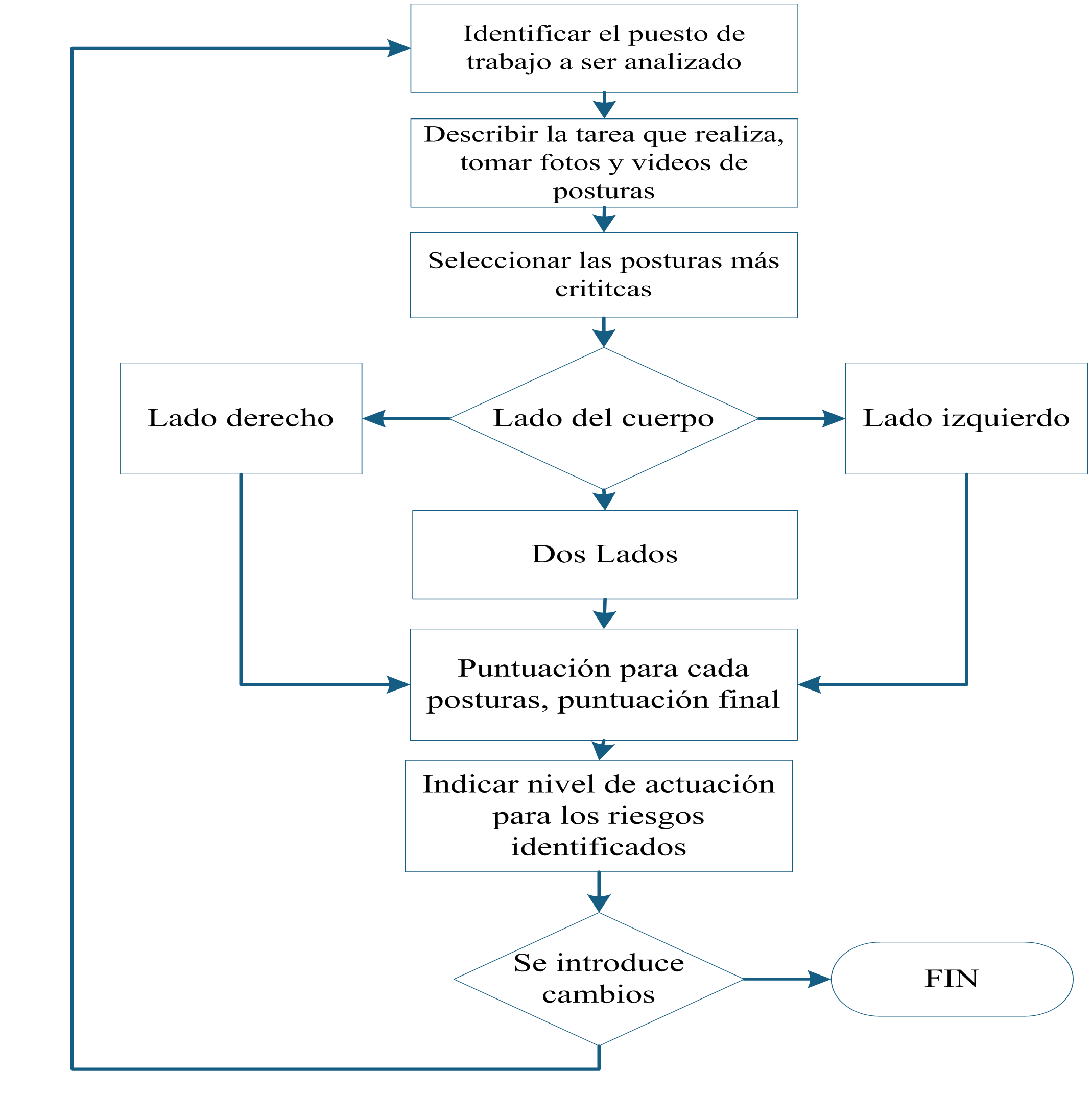
Un gran número de estudios avalan los resultados proporcionados por el método. El método consiste en la observación de las diferentes posturas que adopta el trabajador en la realización de una tarea, permite identificar 252 posiciones diferentes dando como resultado de la combinación de la espalda cuatro posiciones, brazos tres posiciones, piernas siete posiciones y carga levantada tres intervalos, donde se describe en la Figura 2. En la primera parte del método se adquiere datos o registro de posiciones, y puede ser realizada mediante la observación in situ del trabajador, el análisis de fotografías o por medio de la visualización de videos tomados con anterioridad (Castellano, Alcalde & Bascuas, n.d.)
El procedimiento para aplicar el método OWAS puede resumirse en los siguientes pasos:
a. Determinar si la tarea debe ser dividida en varias fases.
b. Establecer el tiempo total de observación de la tarea dependiendo del número y frecuencia de las posturas adoptadas.
c. Determinar la frecuencia de observación o muestreo.
d. Observación y registro de posturas.
e. Codificación de las posturas observadas.
f. Calculo de la Categoría de riesgo de cada postura.
g. Cálculo del porcentaje de repeticiones o frecuencia relativa de cada posición de cada miembro
h. Determinar el porcentaje de cada posición de cada miembro (espalda, brazos y piernas) respecto al total de posturas adoptadas.
i. Cálculo de la Categoría de riesgo para cada miembro en función de la frecuencia relativa.
j. Determinar, en función de los resultados obtenidos, las acciones correctivas y de rediseño necesarias
k. En caso de haber introducido cambios, evaluar de nuevo la tarea con el método Owas para comprobar la efectividad de la mejora (Villar Fernández, 2001).
La Figura 3 muestra como diagrama de flujo los pasos de la metodología OWAS.

Nota: Descripción del método consiste en la observación de las diferentes posturas que adopta el trabajador en la realización de una tarea, permite identificar 252 posiciones diferentes.
Fuente: Ovako Working Analysis System

Nota: Descripción por medio de un diagrama de flujo del procedimiento de evaluación OWAS
1.2. Método RULA
El método consiste con la observación de la actividad del trabajador durante la jornada de trabajo. A partir de esta observación se debe seleccionar las tareas y posturas más significativas, ya sea por su duración, a priori, o una mayor carga postural.
En el RULA, se observan y puntean las posiciones de los segmentos corporales, incrementándose la puntuación a medida que las posturas están más desviadas de la posición natural. Las puntuaciones son primero calculadas por separado para el brazo, antebrazo y muñecas (grupo A); y el tronco, cuello y piernas (grupo B). Éstas son combinadas para obtener la puntuación final de la postura. (Labib, Williams, & O’Connor, 1998)(Mcatamney & Corlett, 1993)
Pesos adicionales son otorgados a las posturas de acuerdo a las fuerzas o cargas manipuladas y a la ocurrencia de actividad muscular estática o repetitiva. Posteriormente estas puntuaciones son combinadas en tablas para expresar el riesgo en cuatro niveles con sus correspondientes acciones recomendadas.
La evaluación se inicia con la observación del operador durante varios ciclos de trabajo para seleccionar las actividades y posturas que serán evaluadas. Puede seleccionarse la postura de mayor duración dentro del tiempo del ciclo o bien la que demande al trabajador mayor esfuerzo (Mcatamney & Corlett, 1993).
El proceso completo de evaluación se describe en la Figura 4.

Nota: El procedimiento RULA se observa la actividad del trabajador durante la jornada de trabajo
Las mediciones se pueden realizar directamente sobre el trabajador mediante transportadores de ángulos, entre otros, sin embargo se puede emplear fotografías del trabajador adoptando la postura estudiada y medir los ángulos sobre estas como se observa en la Figura 5. Es importante recalcar que los ángulos a medir a través del procesamiento de imagen aparecen en verdadera magnitud (Asensio-Cuesta et al., 2012). Para la calificación de la postura del trabador se considera las ponderaciones establecidas por el método y se califica como se muestra en la Figura 6.

Nota: Fotografía del trabajador adoptando la postura estudiada y medición de los ángulos

Nota: Calificación de la postura del trabador considerando las ponderaciones establecidas por el método.
2. Resultados y Discusión
En el método OWAS se considera las fuerzas o cargas que son sometidas a tres partes principales del cuerpo que son espalda, brazos y piernas, como se observa en la Figura 7. De la Figura 7, se puede destacar que las posturas con posibilidad de causar daño al sistema músculo-esquelético a la espalda es un 18%; mientras que las posturas de los brazos en un 100% son posturas normales sin efectos dañinos en el sistema músculo-esquelético, a diferencia de las piernas que el 12% de las posturas tienen con posibilidad de causar daño al sistema músculo-esquelético, mientras que la fuerza y carga que manejan en un 100% son permisibles

Nota: Fuerzas o cargas de las tres partes principales del cuerpo que son espalda, brazos y piernas
Se evaluaron dieciocho puestos de trabajo donde se identificaron un total de sesenta y cinco posturas forzadas e incómodas para los operadores del área de montaje. Encontrándose que el 83,08% de las posturas de los trabajadores en el área de montaje es una postura normal y no requiere ninguna acción; y 16,92% son posturas con posibilidad de causar daños al sistema músculo-esquelético y requieren acciones en un futuro cercano.
En la Tabla 1, se muestra cinco tipos de combinaciones de posturas, las tres primeras combinaciones se encuentran en el nivel uno de riesgo, este se considera como normal y natural, las dos combinaciones siguientes que se encuentran en el nivel de riesgo dos se consideran como posibilidad de causar daño al sistema músculo-esquelético. La combinación cinco de la Tabla 1, es la que representa el mayor nivel de riesgo cuando adoptan posturas de espalda inclinada hacia delante, evidenciándose que los operadores estiran y doblan la espalda debido al inadecuado diseño del puesto de trabajo. De los puntos evaluados: brazos, espalda, piernas y carga los que afectaron mayormente son la espalda y las piernas con posturas que les podrán causar daño y generar trastornos músculo-esqueléticos, las cuales se detectarán a futuro como una enfermedad profesional.

El método RULA evalúan posiciones concretas, que supongan una carga postural más elevada. Divide las partes del cuerpo en dos grupos, el primero es el grupo A compuesto por los brazos, antebrazo, muñeca y giro de muñeca; mientras que el grupo B comprendido por el cuello, tronco y piernas. De la Figura 8 se observa, el brazo y la muñeca están sobre el 50% de posturas que son inadecuadas y que pueden requerir cambios en la tarea, del mismo modo el antebrazo con un 47,69% también requerirá correcciones, a diferencia del giro de la muñeca que el 100% es una postura aceptable, o que no generará daños al sistema músculo-esquelético inmediatamente.

Nota: se observa, el brazo y la muñeca están sobre el 50% de posturas que son inadecuadas, el antebrazo con un 47,69%, el giro de la muñeca es aceptable.
En el grupo B, el cuello tiene un 84,62% de posturas que pueden requerir cambios en la tarea, esto se debe a la actividad misma que se realiza de pie ya que requiere flexionar el cuello en exceso lo que podrá causar dolores y molestias, así mismo el tronco tiene un 35,39% de posturas inadecuadas, a diferencia de las piernas con un 12,13% debido a la manera en que se desarrollan las actividades diarias de pie, afectando al sistema músculo-esquelético.
A partir de los niveles de actuación, las posturas que requieren cambios en las tareas son un 78% y el 22% de las posturas que requiere el rediseño de la tarea.
Teniendo en cuenta la literatura científica, los resultados de la investigación en cuanto a riesgos ergonómicos, no difiere mucho de lo que ocurre en actividades similares, donde se evidencian la carencia de ingeniería en el diseño de los puestos de trabajo.
Con estos resultados se debe realizar un estudio del puesto de trabajo y proponer rediseños, además se debe implementar un programa de pausas activas donde ayudará a reducir en gran medida la aparición de estas afectaciones musculo-esqueléticas en el personal que labora en el área de montaje de calzado.
III. CONCLUSIONES
De los resultados obtenidos se puede concluir, que las condiciones ergonómicas a las que se exponen los trabajadores del área de montaje de la Empresa Calzafer Cia. Ltd., pueden generar trastornos músculo-esqueléticos; debido a esto y considerando que la salud y comodidad de la gente, inciden directamente en el desempeño diario de sus actividades, así como en la calidad y productividad de la empresa, se sugiere realizar las correcciones del caso mediante estudios detallados de métodos de trabajo para cada uno de los puestos.
Este estudio permite por medio de los dos métodos de evaluación antes mencionados enriquecer el análisis y contribuir a la obtención de resultados más consistentes. Los resultados obtenidos por medio del método OWAS, solo un 17% se considera problemático y que puede causar daño al sistema músculo-esquelético, a diferencia del método RULA donde el 100% de las posturas se considera que se debe realizar al menos cambios en las tareas.
Esta investigación es de gran importancia para las pequeñas y medianas empresas del sector productivo de calzado en la provincia de Tungurahua y el país, ya que sirve de referencia para fábricas de similares características. Sin embargo, es necesario continuar con este tipo de investigaciones para ampliar el número de casos investigados y lograr una mejor validación de los resultados generales.
Referencias
Agila-Palacios, E.; Delgado-García, D.; Colunga-Rodríguez, C.; González-Muñoz, E. (2014). Síntomas Músculo-Esqueléticos en Trabajadores Operativos del Área de Mantenimiento de una Empresa Petrolera Ecuatoriana Musculoskeletal symptoms in the area of operational maintenance of an oil company workers, 198–205.
Almendáriz, N. V., Castillo, S. A, y Cuestas, J. A. (2013). Análisis de las Herramientas de Gestión que Utilizan las Unidades Productivas Comunitarias en la Parroquia Salinas de la Provincia de Bolívar. Revista Politécnica, 32(1), 118–126.
Ardila Jaimes, C. P. & Rodríguez, R. M. (2013). Riesgo ergonómico en empresas artesanales del sector de la manufactura, Santander. Colombia. Med Segur Trab (Internet), 59(230), 102–111. doi.org/10.4321/s0465-546x2013000100007
Asensio-Cuesta, S., Ceca, M. J. B., & Más, J. A. D. (2012). EVALUACI{Ó}N ERGONÓMICA DE PUESTOS DE TRABAJO. Ediciones Paraninfo. S.A. Recuperado de https://books.google.com.ec/books?id=v5kFfWOUh5oC
Benavides, F., & Castejón, J. (2005). Certification of occupational diseases as common diseases in a primary health care setting. American Journal of Industrial Medicine, 47(2), 176–180. doi.org/10.1002/ajim.20128
Buckle, P. (2005). Ergonomics and musculoskeletal disorders: Overview. Occupational Medicine, 55(3), 164–167. https://doi.org/10.1093/occmed/kqi081
Castellano, M., Alcalde, V. & Bascuas, J. (n.d.). La Aplicación Practica de la ergonomía en el Entorno laboral y su percepción individual. La Mutua, 17, 165–188.
David, G. C. (2005). Ergonomic methods for assessing exposure to risk factors for work-related musculoskeletal disorders. Occupational Medicine (Oxford, England), 55(3), 190–199. doi.org/10.1093/occmed/kqi082
García, A. M., Gadea, R., Sevilla, Genís, S. y Ronda, E. (2009). España Más información del artículo Sistema de Información Científica Red de Revistas Científicas de América Latina , el Caribe , España y Portugal ERGONOMÍA PARTICIPATIVA : EMPODERAMIENTO DE LOS TRABAJADORES Participatory Ergonomics : Revista Española de Salud Pública, 2, 4–11.
Garcia, M. V., Perez, F., Calvo, I., & Moran, G. (2015). Developing CPPS within IEC-61499 based on low cost devices. IEEE International Workshop on Factory Communication Systems - Proceedings, WFCS, 2015–July. doi.org/10.1109/WFCS.2015.7160574
Hu, W. . b, Liu, G. ., & Tu, Y. . (2016). Wastewater treatment evaluation for enterprises based on fuzzy-AHP comprehensive evaluation: a case study in industrial park in Taihu Basin, China. SpringerPlus, 5(1), 1–15. doi.org/10.1186/s40064-016-2523-8
Karhu, O., Kansi, P., & Kuorinka, I. (1977). Correcting working postures in industry: A practical method for analysis. Applied Ergonomics, 8(4), 199–201. doi.org/10.1016/0003-6870(77)90164-8
Labib, a W., Williams, G. B., & O’Connor, R. F. (1998). An intelligent maintenance model (system): an application of the analytic hierarchy process and a fuzzy logic rule-based controller. Journal of the Operational Research Society, 49(7), 745–757. https://doi.org/10.1057/palgrave.jors.2600542
Li, G., & Buckle, P. (1999). Current techniques for assessing physical exposure to work- related musculoskeletal risks , with em phasis on posture-based. Ergonomics, 42(5), 674–695. https://doi.org/10.1080/001401399185388
López Torres, B. P., González Muñoz, E. L., Colunga Rodríguez, C., & Oliva López, E. (2014). Evaluación de Sobrecarga Postural en Trabajadores: Revisión de la Literatura. Ciencia & Trabajo, 16(50), 111–115. https://doi.org/10.4067/S0718-24492014000200009
Lourinho, M. G., Negreiros, G. R., Almeida, L. B. De, Vieira, E. R., & Quemelo, P. R. V. (2011). Riscos de lesão musculoesquelética em diferentes setores de uma empresa calçadista. Fisioterapia E Pesquisa, 18(3), 252–257. https://doi.org/10.1590/S1809-29502011000300009
Luque-acuña, I. A., Carmen, D., & Moreno, R. (2014). Identificación y evaluación de los factores de riesgo asociados a trastornos músculo esqueléticos : ¿ Qué método elegir ?, (5).
Luttmann, A., Jager, M., & Griefahn, B. (2004). Prevención de trastornos musculoesqueléticos en el lugar de trabajo. Serie Proteccion de La Salud de Los Trabajadores, (5), 1–30. Retrieved from http://www.who.int/occupational_health/publications/muscdisorders/es/
Marras, W. S. (2004). State-of-the-art research perspectives on musculoskeletal disorder causation and control: The need for an intergraded understanding of risk. Journal of Electromyography and Kinesiology, 14(1), 1–5. https://doi.org/10.1016/j.jelekin.2003.09.005
Mcatamney, L., & Corlett, E. N. (1993). RULA: a survey method for the investigation of world-related upper limb disorders. Applied Ergonomics, 24(2), 91–99. https://doi.org/10.1016/0003-6870(93)90080-S
OIT, O. I. L. (2010). Ergonomic Checkpoints: Practical and Easy-to-implement Solutions for Improving Safety, Health and Working Conditions (Second edi). Geneva: International Labour Office. Retrieved from https://books.google.com.ec/books?id=6DAIQgAACAAJ
Putz-Anderson, V., Bernard, B., & Burt, S. (1997). Musculoskeletal disorders and workplace factors. … -Related Musculoskeletal …, 97–141(July 1997), 1-1-7–11. Retrieved from http://scholar.google.com/scholar?hl=en&btnG=Search&q=intitle:Musculoskeletal+disorders+and+workplace+factors#1%5Cnhttp://www.cdc.gov/niosh/docs/97-141/pdfs/97-141.pdf
Real-Pérez, G. L., García-Dihigo, J. A., & Piloto-Fleitas, N. (2012). El uso del índice de evaluación ergonómico para evaluar el trabajo de las camareras en la hotelería. Ingeniería Industrial, XXXIII(1), 2–12.
Rodríguez, Y. & Heredia, J. (2013). INDIVIDUAL RISK ASSESSMENT METHOD. Hacia La Promoción de La Salud, 18(June), 41–56.
Rojo, M. J. F., Alonso, A. C., Piñol, P. F., & Quintana, J. M. F. (2000). MANUAL BÁSICO DE PREVENCIÓN DE RIESGOS LABORALES: Higiene industrial, Seguridad y Ergonomía. Fundación Médicos Asturias.
Schneider, Elke; Irastorza, X. (2010). Work-related musculoskeletal disorders in the EU — Facts and figures. https://doi.org/10.2802/10952
Takala, E. P., Pehkonen, I., Forsman, M., Hansson, G. ??ke, Mathiassen, S. E., Neumann, W. P., … Winkel, J. (2010). Systematic evaluation of observational methods assessing biomechanical exposures at work. Scandinavian Journal of Work, Environment and Health, 36(1), 3–24. https://doi.org/10.5271/sjweh.2876
Vedder, J., & Laurig, W. (2010). Ergonomía: Herramientas Y Enfoques. Enciclopedia de Salud Y Seguridad En El Trabajo, 29.2-29.102.
Villanueva, R. V. & M. A. (2005). Seguimiento de daños para la salud por trastornos musculo - esqueleticos. Instituto de Seguridad Y Salud Laboral de La Region de Murcia, 50.
Villar Fernández, M. F. (2001). Posturas de trabajo: evaluación del riesgo, 1–57. Recuperado de http://www.insht.es/MusculoEsqueleticos/Contenidos/Formacion divulgacion/material didactico/Posturas trabajo.pdf