Artículos de Investigación
Recepción: Abril 24, 2020
Aprobación: Septiembre 08, 2020
DOI: https://doi.org/10.5514/rmac.v46.i2.77877
Financiamiento
Fuente: Conacyt
Nº de contrato: 251379
Beneficiario: Carlos Flores
Financiamiento
Fuente: Programa de Fortalecimiento a la Investigación
Beneficiario: Laboratorio de Procesos Conductuales y Modelos Animales (LAPCYMA)
Resumen: El trabajó evaluó los efectos de variar la frecuencia de reforzamiento bajo condiciones de reforzamiento demorado señalado y no señalado sobre el responder y la función de reforzador condicionado del estímulo agregado al intervalo de demora. Se conformaron cuatro grupos de ratas que se distinguieron por el intervalo entre reforzadores (16 vs. 64 s) y por la presencia o ausencia de un estímulo durante la demora, entre fases se alargó la demora de reforzamiento (0, 4, 8, y 12 s). Finalmente se realizó una prueba en la que el reforzador primario se sustituyó por el estímulo presentado durante la demora. No se encontraron diferencias en el decremento de la tasa de respuesta al alargar la demora de reforzamiento. Durante la prueba se observó que los sujetos con demora señalada y con menor frecuencia de reforzamiento (64 s) fueron los que mostraron la tasa de respuesta mas alta. Los resultados se discuten con base en los hallazgos consistentes e inconsistentes que se han reportado en el área y de acuerdo con la fuerza del estímulo como reforzador condicionado.
Palabras clave: reforzamiento demorado, frecuencia de reforzamiento, demora señalada y no señalada, reforzamiento condicionado, ratas.
Abstract: Conditioned reinforcement properties of a stimulus were compared under signaled and unsignaled delays, and different reinforcement frequencies. Four groups of rats, each with different inter-reinforcer interval (16 vs. 64 s), or signaled and unsignaled delays, were exposed to four delay values across phases (0, 4, 8, and 12 s). Similarly, conditioned reinforcement tests were performed under extinction conditions, wherein the primary reinforcer was replaced by the delay stimulus. For all groups, an orderly-decreasing response rate was observed as delay values increased. Differences were observed during the test, as the highest response rate was observed for the signaled-delay and the low reinforcement-frequency (64 s) subjects. Results are discussed by recognizing the consistent and inconsistent findings reported in the area, and according the conditioned reinforcement strength developed by the stimulus.
Keywords: delayed reinforcement, frequency of reinforcement, signaled and unsignaled delay, conditioned reinforcement, rats.
El estudio de la demora de reforzamiento ha sido relevante debido a que junto con otros parámetros (e.g., magnitud o frecuencia) es uno de los determinantes de la tasa de respuesta (Kimble, 1961; Lattal, 2010). De manera general, se han reconocido dos procedimientos para el estudio de los efectos de la demora, procedimientos de demora reiniciable (Gleeson & Lattal, 1987; van Haaren, 1992; Ávila & Bruner, 1998) y de demora no reiniciable (Ávila & Bruner, 1999; Lattal, 1984). Mientras que en los programas de demora reiniciable se impone una restricción que establece que la entrega del reforzador ocurrirá siempre y cuando no se emitan respuestas durante el intervalo de demora, en los no reiniciables es posible que ocurran respuestas durante dicho intervalo. En algunos estudios se presentan estímulos correlacionados al periodo de demora, dando lugar a una distinción entre procedimientos de demora señalada y procedimientos de demora no señalada (Chung, 1965; Ferster, 1953; Pierce et al., 1972; Sizemore & Lattal, 1978; Williams, 1976).
Se ha reportado que un estímulo agregado al intervalo de demora de reforzamiento favorece la adquisición y el mantenimiento de la ejecución, a diferencia de procedimientos con demoras no señaladas (Ferster, 1953; Pierce et al., 1972; Richards, 1981; Skinner, 1938). Por ejemplo, Azzi et al. (1965) reportaron que sujetos expuestos a condiciones de demora señalada mostraron un mantenimiento de la tasa de respuesta al alargar la demora, mientras que bajo condiciones de demora no señalada se observó un decremento en el responder.
Estos efectos de señalización de la demora de reforzamiento sobre la tasa de respuesta parecen ser relativos a otros parámetros. Por ejemplo, se ha reportado que la manipulación de la frecuencia de reforzamiento en conjunto con la presencia o ausencia del estímulo durante la demora tiene efectos diferenciales sobre la tasa de respuesta (e.g., Bruner et al., 1998; Ruiz et al., 2007; Schaal et al., 1992; Shahan & Lattal, 2005). Schaal et al. (1992) reportaron mayores tasas de respuesta bajo condiciones de baja frecuencia de reforzamiento y demora señalada, en comparación a condiciones de mayor frecuencia y demora no señalada.
Un estudio que ejemplifica estos hallazgos es el realizado por Ruiz et al. (2007), quienes manipularon de manera conjunta la frecuencia de reforzamiento, la duración de la demora y la probabilidad de señalar el intervalo de demora. Ruiz et al. reportaron que cuando la probabilidad de señalar la demora de reforzamiento fue igual a 0.0, la tasa de repuesta fue más alta con una baja frecuencia de reforzamiento que con una alta frecuencia de reforzamiento. Asimismo, reportaron que cuando la probabilidad de señalar la demora de reforzamiento fue igual a 1.0 la tasa de respuesta fue mayor con una baja frecuencia de reforzamiento que con una alta frecuencia.
Los efectos del estímulo agregado durante el intervalo de demora se han tratado de explicar atendiendo a que dicho estímulo desarrolla una función de reforzador condicionado (Fantino, 1977; Shahan, 2010; Tomanari, 2001; Williams, 1994). Por ejemplo, la hipótesis del apareamiento sostiene que, si un estímulo neutro es apareado con el reforzador primario, éste desarrollará propiedades de reforzador condicionado (Bersh, 1951; Spence, 1947). Otra hipótesis propuesta es la del estímulo discriminativo que establece que un estímulo discriminativo puede convertirse en reforzador condicionado, en tanto tiene control sobre la respuesta (Dinsmoor, 1950; Hendry, 1969).
Con base en los resultados reportados, se podría identificar que los efectos del estímulo durante la demora pueden ser modulados por el contexto temporal de reforzamiento (alta o baja frecuencia de reforzamiento). En este sentido, es posible reconocer un menor decremento de la tasa de respuesta cuando se introduce una demora de reforzamiento en condiciones de demora señalada y una baja frecuencia de reforzamiento en comparación a una situación de demora señalada y alta frecuencia de reforzamiento (e.g., Schaal et al., 1992; Shahan & Lattal, 2005). Adicionalmente, se ha reportado que la tasa de respuesta decrece menos bajo estas condiciones que cuando se utilizan demoras no señaladas y una baja frecuencia de reforzamiento (Bruner et al., 1998; Ruiz et al., 2007; Schaal et al., 1992; Shahan & Lattal, 2005).
Como se mencionó anteriormente, los efectos de la presencia o ausencia de un estímulo sobre la tasa de respuesta parecen estar modulados por la frecuencia de reforzamiento. En el condicionamiento pavloviano, el establecimiento de una respuesta condicionada no depende únicamente de la relación de contingencia entre el estímulo condicionado (EC) y el estímulo incondicionado (EI), ni del intervalo EC-EI, sino también de la duración del intervalo entre ensayos (IEE). Se ha reportado que la variación de los parámetros temporales es determinante para el establecimiento de una respuesta condicionada (e.g., Bueno & Álvarez, 2001; Gibbon et al., 1977; Gibbon & Balsam, 1981).
Los trabajos reportados por Bueno y Álvarez (2001), Gibbon et al. (1977) y Gibbon y Balsam (1981) han destacado que la contigüidad o relación temporal EC-EI, relativa a la duración del IEE determina el control ejercido por el EC y en consecuencia en el responder. En estos estudios el IEE podría ser equiparable al intervalo entre reforzadores o bien a la frecuencia de reforzamiento en los estudios con procedimientos operantes. En este sentido, la frecuencia de reforzamiento es un variable que podría modular el grado de control que desarrolla el estímulo agregado a la demora como reforzador condicionado.
Si bien se ha señalado que el estímulo agregado durante la demora pudiera desarrollar una función de reforzador condicionado, en esos trabajos no se ha reportado la realización de pruebas que permitan confirmar que el estímulo desarrolló dicha función. Una posibilidad para evaluar si el estímulo agregado durante la demora desarrolla una función de reforzador condicionado, consistiría en realizar una prueba de resistencia a la extinción (e.g., Bugelski, 1938; Skinner, 1938). Por ejemplo, Bugelski (1938) entrenó a dos grupos de ratas a presionar la palanca para obtener alimento, una vez concluida la fase de entrenamiento, expuso a ambos grupos a un procedimiento de extinción. Para un grupo de ratas la consecuencia por presionar la palanca fue el ruido del dispensador de alimento, mientras que para el otro grupo, presionar la palanca no tuvo consecuencia programada. El autor reportó que el número de respuestas durante la prueba fue considerablemente mayor en los sujetos del grupo al que se les presentó el sonido como consecuencia de presionar la palanca.
Es por lo anterior que el presente estudio se diseñó con el propósito de evaluar los efectos de agregar un estímulo durante el intervalo de demora y la frecuencia de reforzamiento sobre la tasa de respuesta, así como la función de reforzador condicionado desarrollado por el estímulo presentado durante la demora.
Método
Sujetos
Se utilizaron 16 ratas Wistar de tres meses de edad al inicio del estudio e ingenuas experimentalmente. Los animales se mantuvieron en un régimen de privación de agua por un periodo de 23.5 h diarias y con acceso libre al alimento (Purina Rodent chow 5001) en su caja habitación. Los sujetos se mantuvieron en un ciclo de luz: obscuridad de 12:12 horas iniciando el periodo de luz a las 7:00 am. El cuidado y mantenimiento de los sujetos se realizó con base en el protocolo establecido en las “Especificaciones técnicas para la producción, cuidado y uso de los animales de laboratorio” (NOM-062-ZOO-1999) y con base en las regulaciones institucionales establecidas por el comité de ética de la Universidad de Guadalajara.
Aparatos
Se utilizaron cuatro cámaras experimentales para ratas marca MED (ENV-008). Cada caja estuvo equipada con un dispensador de agua (ENV-202M) y una palanca de respuesta ubicada en el panel operativo. El bebedero se localizó en el centro del panel operativo, mientras que la palanca estuvo ubicada a 2.5 cm del piso y requería de una fuerza de 0.15 N para cerrar el micro interruptor. Arriba del bebedero se colocó una tecla traslucida de 2.5 cm de diámetro. La cámara experimental estuvo equipada con una bocina y una luz general localizada en la pared opuesta al panel operativo. Como reforzador se utilizó una gota de agua de 0.01 cc que se presentó por medio de la activación del dispensador de agua. Cada cámara experimental se colocó dentro de un cubículo de aislamiento acústico (ENV-022M) con un ventilador que servía como ruido blanco y facilitó la circulación del aire al interior de la cámara. La programación, registro y colección de eventos se realizó mediante un equipo de cómputo, una interfaz y el software MED-PC IV para ambiente Windows.
Procedimiento
Establecimiento de la respuesta
Para el establecimiento de la respuesta de aproximación al bebedero y de presión a la palanca todos los sujetos fueron expuestos a un programa de tiempo fijo (TF 30 s) y a un programa de reforzamiento continuo (RFC). Los sujetos fueron expuestos a estas condiciones hasta obtener 100 reforzadores como consecuencia de presionar la palanca. Posteriormente se eliminó el programa de TF y se expuso a los sujetos a dos sesiones con un programa de RFC que concluyó por el transcurso de una hora o por la obtención de 100 reforzadores, lo que ocurriera primero.
Línea base
Una vez establecida la respuesta se cambió el programa de RFC a un programa de intervalo al azar (IA) y se conformaron cuatro grupos de cuatro sujetos cada uno que se distinguieron por la duración del intervalo entre reforzadores (IER) y por la presencia vs. ausencia de un estímulo (S vs. NS, respectivamente) durante el intervalo de demora. Todos los sujetos fueron expuestos a sesiones diarias de 30 min a un IA 16 s hasta que la tasa de respuesta mostró estabilidad. El criterio de estabilidad consistió en no observar cambios o variaciones en la tasa de respuesta superiores o inferiores al 10% respecto de la media de tres sesiones previas durante tres sesiones consecutivas. Se seleccionaron al azar ocho sujetos que conformaron los grupos con IER 16 s (Grupos S-16 y NS-16); mientras que para los sujetos restantes se alargó la duración del IA hasta llegar a 64 s, estos sujetos conformaron los grupos con un IER 64 s (Grupos S-64 y NS-64). El tipo de programa y los valores del intervalo entre reforzadores se seleccionaron con base en otros trabajos en los que se han evaluado los efectos de la demora de reforzamiento (e.g., Ávila & Bruner, 1997; Bruner et al., 1994; Flores & Mateos, 2009; Mateos et al. 2012).
Demora
Una vez que se cumplió el criterio de estabilidad, se introdujeron diferentes valores de demora de reforzamiento mediante un programa de tiempo fijo (TF). Los cuatro grupos fueron expuestos a un programa IA t s-TF 0, 4, 8 y 12 s. El valor del IA fue el complemento del TF, de tal manera que la duración conjunta de ambos componentes fuese de 16 s para los Grupos S-16 y NS-16. En el caso de los grupos S-64 y NS-64, el valor del IA también fue el complemento del TF, de tal forma que la suma de la duración de los dos componentes fuese igual a 64 s. Para los sujetos del Grupo S-16 y S-64 el intervalo de demora estuvo señalado por una luz blanca que se proyectó arriba del bebedero durante todo el intervalo de demora. Mientras que para los sujetos del Grupo NS-16 y NS-64 el intervalo no estuvo señalado. Dado que en ningún caso la ocurrencia de alguna respuesta modificaba la duración del intervalo de demora se puede identificar al procedimiento empleado como uno de demora no reiniciable. Todos los sujetos fueron expuestos a cada valor de demora durante veinte sesiones. El número de sesiones se determinó con base en estudios en los que ha identificado que entre veinte y treinta sesiones se reportan efectos consistentes (Ávila & Bruner, 1997; Flores & Mateos, 2009; Madrigal et al., 2018; Ruiz et al., 2007).
Redeterminación
Concluida la exposición de los sujetos a los distintos valores de demora, éstos fueron expuestos a las mismas condiciones de línea base, es decir, a condiciones de reforzamiento inmediato durante diez sesiones.
Prueba
Se eliminó la entrega del reforzador primario y se realizó una sesión de prueba de resistencia a la extinción que consistió en exponer a los sujetos a las condiciones de línea base, es decir, a los programas IA 16 s para los Grupos S-16 y NS-16 y al programa IA 64 s para los Grupos S-64 y NS-64. La entrega del reforzador primario se sustituyó para todos los sujetos por la presentación durante 3 s del estímulo utilizad en la fase de demora para los sujetos de los grupos con demora de reforzamiento señalada. La duración del estímulo se determinó en 3 s como una manera de igualar la duración que estuvo activo el bebedero en cada ocasión que fue reforzada la respuesta.
Resultados
En la Figura 1 se presenta la tasa de respuesta promedio de las últimas cinco sesiones para cada grupo a lo largo de los diferentes valores de demora. La función con círculos negros y la función con círculos blancos corresponden a los sujetos de los grupos con el IER de 16 s, con demora no señalada (NS-16) y señalada (S-16), respectivamente; mientras que la función en cuadros negros y la función en cuadros blancos corresponde a los sujetos de los grupos con el IER de 64s, con demora no señalada (NS-64) y señalada (S-64), respectivamente. De manera general, se observa que la tasa de respuesta (respuestas por minuto) decrece para todos los grupos en función de alargar el intervalo de demora y que este decremento no parece ser diferenciado ni por la duración del IER (16 vs. 64) ni por la presencia o ausencia del estímulo durante la demora de reforzamiento.

Nota. Tasa de respuesta promedio para cada grupo en función de la demora de reforzamiento. NS= No señalado, S= Señalado, 16 y 64 corresponden a la duración del intervalo entre reforzadores. Las líneas verticales sobre cada punto corresponden al error estándar de la media.
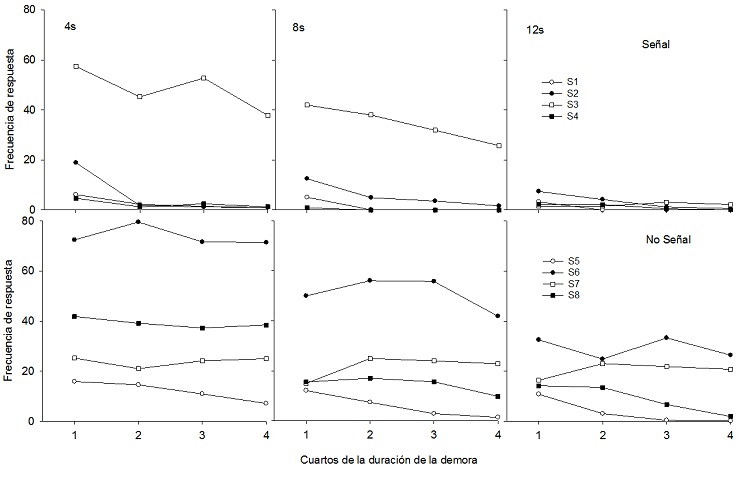
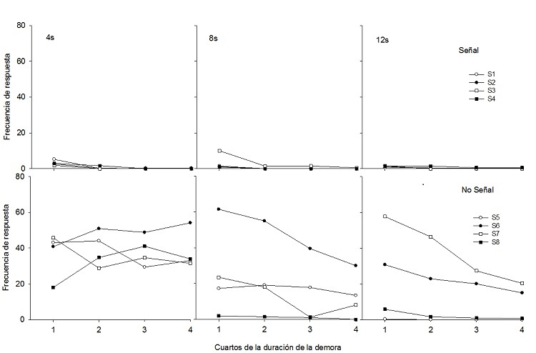
Un análisis detallado del responder al interior del intervalo de demora mostró una ejecución diferencial de los sujetos. En las Figuras 2 y 3 se presenta la distribución temporal del responder (promedio de las últimas cinco sesiones) durante el intervalo de demora (4, 8, y 12 s) de los grupos S-16 y NS-16 (Figura 2) y de los grupos S-64 y NS-64 (Figura 3). Con fines de comparación y de igualar la escala de la abscisa, se presentan los datos como frecuencias de respuesta para cada cuarto de la duración de la demora.
En el panel superior de la Figura 2 se muestran los datos individuales de los sujetos del Grupo S-16. De manera general se puede observar que la frecuencia de respuesta disminuye gradualmente desde el inicio de la demora. Asimismo, se observa una disminución gradual de la frecuencia de respuesta conforme se alargó la duración del intervalo de demora. En el panel inferior de la Figura 2 se muestra la distribución del responder de los sujetos del Grupo NS-16. De manera general se observa que la frecuencia de respuesta es más elevada que la observada en los sujetos del grupo S-16 y que el responder se mantiene de manera relativamente estable a lo largo del intervalo de demora.
En el panel superior de la Figura 3 se muestran los datos individuales de los sujetos del Grupo S-64. El responder para cada uno de los sujetos fue prácticamente nulo, identificando que la frecuencia de respuesta fue ligeramente más alta al inicio de la demora que en el resto del intervalo. En el panel inferior se presenta la distribución del responder de los sujetos del Grupo NS-64. De manera similar a los sujetos con un IER de 16 s, también se identifica que el responder fue más elevado para los sujetos no señalados y que el responder se mantiene a lo largo de la demora.

Nota. Distribución de la frecuencia promedio de respuesta durante la demora para cada uno de los sujetos. Cada punto corresponde a un cuarto de la duración de la demora.
Sujetos de los grupos con intervalo entre reforzadores de 16 s con señal en la demora, (panel superior) y de los sujetos sin señal (panel inferior) durante cada una de las condiciones de demora (4, 8, y 12 s).

Nota. Distribución de la frecuencia promedio de respuesta durante la demora para cada uno de los sujetos. Cada punto corresponde a un cuarto de la duración de la demora. Sujetos de los grupos con intervalo entre reforzadores de 64 s con señal en la demora, (panel superior) y de los sujetos sin señal (panel inferior) durante cada una de las condiciones de demora (4, 8, y 12 s).
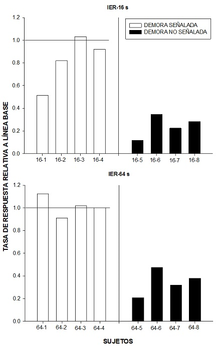
Para determinar en qué medida el estímulo desarrolló una posible función de reforzador condicionado se realizó una prueba de resistencia a la extinción. En la Figura 4 se presenta para cada uno de los sujetos, la tasa de respuesta durante la prueba, relativa a la tasa de respuesta durante la redeterminación. Valores cercanos a 1.0 (sobre la línea horizontal) indican que el responder durante la prueba fue similar al observado durante la fase de redeterminación; mientras que valores cercanos a 0.0 indican que el responder durante la prueba fue menor al observado durante la redeterminación.
A la izquierda del panel superior (barras blancas) se presenta la tasa de respuesta de los sujetos del grupo con el IER de 16 s con demora señalada (16-1, 16-2, 16-3 y 16-4), mientras que a la derecha del panel (barras negras) se representa la de los sujetos con demora no señalada (16-5, 16-6, 16-7 y 16-8). Se puede observar que para los sujetos con demora señalada, la tasa de respuesta se mantuvo prácticamente sin cambio en uno de los sujetos (16-3), un cambio moderado en dos sujetos (16-2 y 16-4) y un mayor cambio solo en un sujeto (16-1). En los sujetos con demora no señalada, la tasa de respuesta mostró un mayor cambio en todos los sujetos, es decir, bajas tasas de respuesta en relación a la tasa de respuesta durante la fase de redeterminación.
A la izquierda del panel inferior (barras blancas) se presenta la tasa de respuesta de los sujetos con el IER de 64 s con demora señalada (64-1, 64-2, 64-3 y 64-4), mientras que a la derecha del panel (barras negras) se representa la de los sujetos con demora no señalada (64-5, 64-6, 64-7 y 64-8). Para los sujetos con demora señalada, la tasa de respuesta se mantuvo prácticamente sin cambio en los cuatro sujetos; mientras que para los de demora no señalada, la tasa de respuesta mostró un mayor cambio en todos los sujetos, de manera similar a lo observado en los sujetos con demora no señalada con el IER 16s.

Nota. Tasa de respuesta durante la prueba relativa a la tasa de respuesta durante la redeterminación para cada uno de los sujetos. Las barras blancas corresponden a los sujetos de los grupos con señal, mientras que las barras negras a los sujetos sin señal, correspondientes al intervalo de 16 s (panel superior) e intervalo 64 s (panel inferior). La línea horizontal se presenta como referencia para identificar la magnitud del cambio.
Discusión
El presente trabajo tuvo como objetivo evaluar el efecto de la frecuencia de reforzamiento, de la duración de la demora bajo condiciones señaladas y no señaladas y de la función de reforzador condicionado desarrollado por un estímulo presentado durante el intervalo de demora.
Los hallazgos del presente trabajo son consistentes con diversos estudios en los cuales se ha reportado el decremento de la tasa de respuesta (i.e., gradiente de demora) como consecuencia de alargar el intervalo de demora (Lattal, 2010; Perin, 1943; Renner, 1964; Richards, 1981; Skinner, 1938; Tarpy & Sawabini, 1974). Sin embargo, no son consistentes con los hallazgos referentes a un decremento diferencial de la tasa de respuesta dependiente de la frecuencia de reforzamiento (intervalo entre reforzadores) y de la presencia vs. ausencia de un estímulo durante el intervalo de demora (e.g., Bruner et al., 1998; Schaal et al., 1992; Shahan & Lattal, 2005, Experimento 2).
Se ha reportado que agregar un estímulo durante el intervalo de demora favorece la adquisición y el mantenimiento del responder en comparación a condiciones de demora sin señal agregada (e. g., Azzi et al., 1965). Los resultados del presente estudio no son consistentes con estos hallazgos debido a que no se observó un efecto diferencial en la tasa de respuesta como consecuencia de la presencia vs. ausencia del estímulo (verFigura 1).
Si bien el estímulo no controló tasas de respuesta mas altas que en los sujetos de los grupos no señalados, si ganó control diferencial del responder al interior de la demora (verFigura 2 y Figura 3). Observar un mantenimiento del responder en los sujetos de los grupos no señalados y observar un decremento gradual en la distribución temporal de las respuestas para los sujetos de los grupos con demora señalada, es evidencia de ese control diferencial que desarrolló el estímulo.
Algunos estudios han reportado que el mantenimiento del responder bajo condiciones de demora señalada se debe al desarrollo de una función de reforzador condicionado (Royalty et al., 1987; Williams, 1994). Para evaluar si el estímulo desarrolló una función de reforzador condicionado, se expuso a todos los sujetos a una prueba de resistencia a la extinción teniendo como consecuencia de la respuesta la presentación del estímulo utilizado en los grupos con demora señalada.
Los resultados de la prueba de resistencia a la extinción sugieren que el estímulo presentado durante la demora desarrolló una función de reforzador condicionado. Estos resultados son consistentes con la hipótesis del estímulo discriminativo, la cual afirma que el estímulo puede desarrollar funciones de reforzador condicionado, en tanto tiene control diferencial sobre la respuesta reforzada (Skinner, 1938; Hendry, 1969; Dinsmoor, 1950). En este sentido, es posible suponer que el estímulo agregado a la demora fungió como estímulo discriminativo dado que controló una distribución de respuestas diferencial en comparación a cuando la demora no fue señalada.
Respecto a los efectos de la frecuencia de reforzamiento sobre la función del estímulo como reforzador condicionado, es posible identificar que el grupo S-64 mostró un menor cambio en la tasa de respuesta en contraste con los sujetos del Grupo S-16. Estas diferencias pueden explicarse atendiendo a la hipótesis de reducción de la demora (Fantino, 1969, 1977; Hartl & Fantino, 1996), la cual sugiere que el contexto de reforzamiento, es decir, la duración del IER y el tiempo transcurrido entre el encendido de la luz hasta la entrega del reforzador primario, en este acaso durante el intervalo de demora, son parámetros que determinan la fuerza de un estímulo como reforzador condicionado (RD = IER-demora / IER). El valor de reducción de la demora (RD) sería en este caso el resultado de la diferencia entre la duración del intervalo entre reforzadores (IEE) y de la duración de la demora de reforzamiento, dividida por la duración del IEE. En este sentido, la reducción de la demora para el Grupo S-64 fue de .93, .87 y .81, mientras que para el Grupo S-16 fueron .75, .5 y .25 durante las demoras de reforzamiento 4, 8 y 12 s, respectivamente.
Sin embargo, una posible limitante para interpretar los resultados en esta dirección es que no se realizaron pruebas de resistencia a la extinción después de cada fase de demora, sino hasta el final de la introducción de las tres duraciones de demora de reforzamiento. A pesar de ello se pudieron identificar diferencias entre los sujetos con demora señalada y los sujetos con demora no señalada, como entre los sujetos con mayor y menor frecuencia de reforzamiento. Otro aspecto que pudiera ser una limitación en la interpretación de resultados se refiere a la explicación del estímulo como estímulo discriminativo. Haber observado una baja frecuencia de respuesta durante el intervalo de demora en los sujetos con estímulo agregado durante la demora, podría sugerir el control de una respuesta topográficamente diferente a la respuesta procuradora del reforzador (presionar la palanca). En estudios posteriores sería pertinente considerar el registro de respuestas adicionales a la respuesta procuradora, tales como la entrada de respuesta al comedero y otras respuestas de alta probabilidad de ocurrencia
Agradecimientos
Los autores agradecen el apoyo financiero otorgado al proyecto Conacyt 251379 y al Programa de Fortalecimiento a la Investigación otorgado al Laboratorio de Procesos Conductuales y Modelos Animales (LAPCYMA), Universidad de Guadalajara. También agradecen las sugerencias realizas por los revisores cuyos comentarios contribuyeron a mejorar una versión preliminar del trabajo.
Referencias
Ávila, R., & Bruner, C. A. (1997). Efectos de historia en gradientes obtenidos alargando y acortando la demora de reforzamiento. Revista Mexicana de Análisis de la Conducta, 23, 85-96.
Ávila, R., & Bruner, C. A. (1998). Efectos del intervalo respuesta-reforzador y del ciclo de reforzamiento en un programa de demora variable. Revista Mexicana de Análisis de la Conducta, 15, 23-39.
Ávila, R., & Bruner, C. A. (1999). Adquisición del palanqueo en ratas con reforzamiento demorado en un procedimiento de ensayo discreto. Revista Latinoamericana de Psicología, 31, 49-64.
Azzi, R., Fix, D. S. R., Keller, F. S., & Roche e Silva, M. I. (1965). Exteroceptive control of response under delayed reinforcement. Journal of the Experimental Analysis of Behavior, 7, 159-162. https://doi.org/10.1901/jeab.1964.7-159
Bersh, P. J. (1951). The influence of two variables upon the establishment of a secondary reinforcer for operant responses. Journal of Experimental Psychology, 41, 62-73. https://doi.org/10.1037/h0059386
Bruner, C.A., Ávila, R., & Gallardo, L. (1994). La adquisición del palanqueo en ratas bajo un programa intermitente de reforzamiento demorado. Revista Mexicana de Análisis de la Conducta, 20, 119-129.
Bruner, C., Avila, R., Acuña, L., & Gallardo, L. (1998). Effects of reinforcement rate and delay on the acquisition of lever pressing by rats. Journal of the Experimental Analysis of Behavior, 69, 59-75. https://doi.org/10.1901/jeab.1998.69-59
Bueno, M., & Álvarez, R. (2001). El efecto de las duraciones de intervalos entre ensayos y entre estímulos en el condicionamiento pavloviano apetitivo en ratas. Psicológica, 22, 205-215.
Bugelski, R. (1938). Extinction with and without sub-goal reinforcement. Journal of Comparative Psychology, 26, 121-134. https://doi.org/10.1037/h0057091.
Chung, S. H. (1965). Effects of delayed reinforcement in a concurrent situation. Journal of the Experimental Analysis of Behavior, 8, 439-444. https://doi.org/10.1901/jeab.1965.8-439
Dinsmoor, J. A. (1950). A quantitative comparison of the discriminative and reinforcing functions of a stimulus. Journal of Experimental Psychology, 40, 458-472.
Fantino, E. (1969). Choice and Rate of Reinforcement. Journal of the Experimental Analysis of Behavior, 12, 723-730. https://doi.org/10.1901/jeab.1969.12-723
Fantino, E. (1977). Conditioned reinforcement: Choice and information. En W.K. Honig & J.E.R. Staddon (Eds.), Handbook of operant behavior (pp.313-339). Prentice Hall.
Ferster, C. B. (1953). Sustained behavior under delayed reinforcement. Journal of Experimental Psychology, 45, 218-224. https://doi.org/10.1037/h0062158
Flores, C., & Mateos, L. R. (2009). Adquisición del responder bajo condiciones de reforzamiento demorado en programas temporales señalados. Universitas Psychologica, 8, 237-246.
Gibbon, J., Baldock, M. D., Locurto, C., Gold, L., & Terrace, H. S. (1977). Trial and intertrial durations in autoshaping. Journal of Experimental Psychology: Animal Behavior Processes, 3, 264-284. https://doi.org/10.1037/0097-7403.3.3.264
Gibbon, J., & Balsam, P. (1981). Spreading association in time. En C. M. Locurto, H. S. Terrace, & J. Gibbon (Eds.), Autoshaping and conditioning theory (pp. 219-253). Academic Press.
Gleeson, S., & Lattal, K. A. (1987). Response-reinforcer relations and the maintenance of behavior. Journal of the Experimental Analysis of Behavior, 48, 383-393. https://doi.org/10.1901/jeab.1987.48-383
Hartl, J. A., & Fantino, E. (1996). Choice as a function of reinforcement ratios in delayed matching to sample. Journal of the Experimental Analysis of Behavior, 66, 11-27. https://doi.org/10.1901/jeab.1996.66-11
Hendry, D. P. (1969). Introduction. En D. P. Hendry (Ed.), Conditioned Reinforcement (pp. 1-34). The Dorsey Press.
Kimble, G. A. (1961). Hilgard and Marquis’ Conditioning and Learning. Appleton Century Crofts.
Lattal, K. A. (1984). Signal functions in delayed reinforcement. Journal of the Experimental Analysis of Behavior, 42, 239-253. https://doi.org/10.1901/jeab.1984.42-239
Lattal, K. A. (2010). Delayed reinforcement of operant behavior. Journal of the Experimental Analysis of Behavior, 93, 129–139. https://doi.org/10.1901/jeab.2010.93-129
Madrigal, K., Flores, C., & Hernández, C. M. (2018). The effects of unsignaled and signaled delays of reinforcement in rats: a between-procedures comparison. Revista Mexicana de Análisis de la Conducta, 44, 116-129. https://doi.org/10.5514/rmac.v44.i2.68537
Mateos, L.R., Cabrera, R., & Flores, C. (2012). Efectos de la demora de reforzamiento señalada vs. no señalada y el intervalo entre ensayos sobre la precisión en una tarea de discriminación condicional. Revista de Psicología y Educación, 6, 45-55
Perin, C. T. (1943). A quantitative investigation of the delay-of-reinforcement gradient. Journal of Experimental Psychology, 32, 37-51. https://doi.org/10.1037/h0056738
Pierce, C. H., Hanford, P. V., & Zimmerman, J. (1972). Effect of different delay of reinforcement procedures on variable-interval responding. Journal of the Experimental Analysis of Behavior, 18, 141–146. https://doi.org/10.1901/jeab.1972.18-141
Renner, K. E. (1964). Delay of reinforcement: A historical review. Psychological Bulletin, 61, 341-361. https://doi.org/10.1037/h0048335
Richards, R. W. (1981). A comparison of signaled and unsignaled delay of reinforcement. Journal of the Experimental Analysis of Behavior, 35, 145-152. https://doi.org/10.1901/jeab.1981.35-145
Royalty, P., Williams, B. A., & Fantino, E. (1987). Effects of delayed conditioned reinforcement in chain schedules. Journal of the Experimental Analysis of Behavior, 47, 41-56. https://doi.org/10.1901/jeab.1987.47-41
Ruiz, J. A., Bruner, C., & Balderrama, D. M. (2007). Efecto de tiempo relativo en demoras de reforzamiento señaladas y no señaladas. Revista Mexicana de Análisis de la Conducta, 33, 119-138.
Schaal, D. W., Schuh, K. J., & Branch, M. N. (1992). Key pecking of pigeons under variable interval schedules of briefly signaled delayed reinforcement: Effects of variable-interval value. Journal of the Experimental Analysis of Behavior, 58, 277- 286. https://doi.org/10.1901/jeab.1992.58-277
Shahan, T. A. (2010). Conditioned reinforcement and response strength. Journal of the Experimental Analysis of Behavior, 93, 269-289.
Shahan, T. A., & Lattal, K. A. (2005). Unsignaled delay of reinforcement, relative time, and resistance to change. Journal of the Experimental Analysis of Behavior, 83, 201- 219. https://doi.org/10.1901/jeab.2005.62-04
Sizemore, O. J., & Lattal, K. A. (1974). Unsignalled delay of reinforcement in a variable interval schedule. Journal of the Experimental Analysis of Behavior, 30, 169- 175.
Skinner, B. F. (1938). The behavior of organisms: An experimental analysis. Appleton-Century-Crofts.
Spence, K. W. (1947). The role of secondary reinforcement in delayed reward learning. Psychological Review, 54, 1-8.
Tarpy, R. M. & Sawabini, F. L. (1974). Reinforcement delay: A selective review of the last decade. Psychological Bulletin, 81, 984-997. https://doi.org/10.1037/h0037428
Tomanari, G. Y. (2001). Reforçamento condicionado. Revista Brasileira de Terapia Comportamental e Cognitiva, 2, 61-77.
van Haaren, F. (1992). Response acquisition with fixed and variable resetting delays of reinforcement in male and female wistar rats, Physiology and Behavior, 52, 767-772. https://doi.org/10.1016/0031-9384(92)90412-U
Williams, B. A. (1976). The effects of unsignalled delayed reinforcement. Journal of the Experimental Analysis of Behavior, 26, 441- 449.
Williams, B. A. (1994). Conditioned reinforcement: Neglected or outmoded explanatory construct? Psychonomic Bulletin & Review, 4, 457-475.
Notas de autor
rebeca.mateos@suv.udg.mx