Recepción: 24/04/2022
Aprobación: 01 Julio 2022
Resumen:
El largo y complejo proceso de degradación de los polímeros sintéticos presenta grandes desafíos ecológicos en todo el planeta. Podemos ver impactos directos día a día en la acumulación excesiva de plásticos que muchas veces terminan en su incineración, lo que a su vez contribuye a la contaminación y deterioro del medio ambiente. Aunque varios gobiernos alrededor del mundo han venido desarrollando programas que promueven alternativas a la reducción de residuos a través del reciclaje, la realidad es que estos programas muchas veces no son efectivos ya que no son acordes a las necesidades y accesibilidad de los consumidores. Una alternativa que puede estar más al alcance de los individuos es la de reutilización de productos.
Es posible reutilizar una amplia variedad de productos hechos con materiales como vidrio, papel, plástico, y metales entre otros. Para promover la reutilización, este manuscrito presenta una tríada de ideas para reutilizar varios productos con el fin de abordar problemas simples reales tales como mitigar las altas temperaturas en interiores, iluminar estéticamente jardines y pasillos en una casa, o bien dar soporte físico a macetas o sillas.
Palabras clave: reutilización de productos, bajo costo.
Abstract:
The long and complex process of degradation of synthetic polymers presents important ecological challenges throughout the planet. We can see direct impacts in the excessive accumulation of plastics that often end up in their incineration, which in turn contributes to pollution and the deterioration of the environment. Although several governments worldwide have been developing programs that promote alternatives to waste reduction through recycling, the reality is that these programs are often ineffective since they are not consistent with the needs and accessibility of consumers. Product reutilization could be a more plausible alternative for individuals.
A wide variety of products made out of glass, paper, plastic, and metals can be used domestically. To promote reutilization, this manuscript presents a triad of ideas to give creative and functional use to reutilized products by using them to approach real problems like mitigating high indoor temperatures and providing aesthetic solutions for gardening and home decoration, among others.
Keywords: product reutilization, low-cost domestic reutilization.
I. Introducción
El uso de herramientas CAD/CAE (Computer Aided Design/Computer Aided Engineering) en la industria, ha sido un elemento clave para diseñar y desarrollar nuevos productos con el fin de competir en el mercado actual. La integración de estas herramientas en la industria busca adquirir un papel de integradoras entre la fase de diseño, la planificación y los procesos de fabricación [1], [2]. Una de las principales aplicaciones del CAE es la simulación, validación y la optimización de productos a través del FEM (Finite Element Analysis), que se adoptado ampliamente para identificar defectos potenciales en los procesos de fabricación de nuevos productos [3], [4]. El análisis de fallas junto con la predicción de la vida por fatiga en el procedimiento de diseño puede garantizar seguridad y confiabilidad en los componentes [5], [6], [7].
El presente trabajo se realizó en las instalación de una fábrica que manufactura mangueras hidráulicas, estas están compuestas de diferentes capas, que soportan las presiones propuestas en el diseño, las capas mencionadas son: tubo formado de algún polímero que tiene características específicas de materiales para contener los fluidos a los que someten, el refuerzo que está compuesto de alambre o textil en forma de trenza y cubierta que se compone de polímero con características que deberán soportar la exposición al medio ambiente [8], [9]. Cada uno de los materiales que compone a una manguera puede presentar complejidad para realizar un estudio numérico y conocer las deformaciones de cada uno, sin embargo, las herramientas CAD/CAE contienen paquetes o modelos que realizan amplios estudios de materiales. Actualmente existen una gran variedad de softwares que contienen paquetes para modelar y diseñar. Para este trabajo, se utilizó un software que permitió realizar simulaciones de elementos finitos bajo modelos de predicción de la hiperelasticidad de los materiales [10], [11],[12], [13].
El software contiene modelos constitutivos que permiten describir el comportamiento de los materiales hiperelásticos, estos modelos pueden ser fenomenológicos basados en la función de energía de deformación y lo segundos son modelos microestructurales. Cada uno de ellos ayuda a realizar análisis estáticos y dinámicos de donde se localizará concentración de esfuerzos. En el presente trabajo, se fundamentó en la metodología propuesta por Estrada [14] para el modelado de materiales hiperelásticos.
La empresa donde se desarrolló el proyecto desarrolla nuevos materiales para mangueras hidráulicas, por lo que se realizó un estudio de elementos finitos del material de la primera capa de la manguera. El tubo que está hecho de un elastómero con propiedades hiperelásticas, permite la aplicación de cargas para conocer sus propiedades mecánicas. Los elastómeros tienen la capacidad de absorber grandes deformaciones y regresar a su estado inicial, comportamiento que se buscó modelar atreves de una simulación en un software.
El desarrollo de un elastómero conlleva tiempos largos y altos costos de prueba para la industria, la funcionalidad del elastómero no se conoce hasta que se realizan pruebas de funcionamiento. El objetivo del presente trabajo es realizar una metodología que permita el desarrollo de un modelo numérico que prediga el comportamiento de un elastómero NBR (caucho a base de nitrilo), con el que se fabrica el tubo de la manguera hidráulica, utilizando un software de elementos finitos.
II. Desarrollo
La propuesta del proyecto fue desarrollada en una empresa que manufactura mangueras hidráulicas, esta empresa también se dedica a la creación o modificación de sus materias primas, tal es el caso del material que utilizan para realizar el tubo de las mangueras. Para los compuestos de nueva generación se debe realizar la caracterización mecánica y pruebas de funcionalidad en el proceso. Como se mencionó anteriormente, el objetivó del proyecto es la obtención del modelo constitutivo que se asemeje al comportamiento real del material, el trabajo se dividió en dos fases, en la primera fase se obtuvieron los resultados de tensión y elongación real del material con los equipos que se encuentran la empresa, y la segunda se analizaron los modelos constitutivos de hiperelasticidad para realizar una comparación con los datos experimentales y seleccionar el modelo adecuado para futuros estudios numéricos del material.
A. Estudio experimental de propiedades mecánicas del elastómero
En la empresa donde se manufacturan las mangueras, se realizan pruebas mecánicas a los elastómeros con base a la norma ASTMD-412. La norma menciona que es un método para evaluar las propiedades de tensión de elastómeros termoplásticos.
La empresa cuenta con un Tensiómetro de marca AlphaTechnogies modelo AT10 con el cual se obtuvieron datos de tensión, elongación y módulo de elasticidad. En la Fig. 1 se muestra el equipo con el que se trabajaron las muestras.

La metodología para realizar las pruebas físicas fue la siguiente: Se obtuvo una muestra del elastómero como materia prima y se preparó una probeta de tipo corbatín como se muestra en la Fig. 2.

Las dimensiones de la probeta se realizaron de acuerdo con la norma ASTM D-412, en pulgadas, como se observa en la Fig. 3.

Una vez que se obtuvo la probeta, se colocó en el tensiómetro y se corrió la prueba para la obtención de resultados, véase Fig. 4.

Para cada probeta ensayada, se obtuvieron valores de esfuerzos de tensión, deformación y módulo de elasticidad, véase Tabla 1, así como la curva de esfuerzo-deformación del material.
B. Modelo numérico del elastómero
1) Modelos constitutivos
Los modelos constitutivos, por su aplicación en la rama de ingeniería, serán enfocados para caracterizar el comportamiento elástico de los materiales como los elastómeros, la teoría de los modelos se basa en reacciones moleculares relacionados con las observaciones experimentales para conocer las características del material, además que, también proveen información relacionada en la mecánica del material en función de la densidad y de la energía de deformación [15], [16]. Como se mencionó anteriormente, para la realización del modelo numérico, se utilizó un software especializado en el análisis de elementos finitos que contiene los modelos constitutivos para obtener la mecánica del material. La paquetería que contiene el software para los modelos hiperelásticos puede ser isotrópicos y no lineales, estos son válidos para materiales que exhiben una respuesta elástica instantánea a grandes deformaciones y aplica para cualquier elastómero.
Los modelos constitutivos que se utilizaron para la comparación entre los modelos y los resultados experimentales son los siguientes:
Marlow: es uno de los modelos que describe la energía potencial de deformación como se muestra en la ecuación (1).
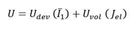
(1)Donde U es la energía de deformación expresada en la relación de volumen y la invariante de deformación.
Mooney-Rivilin: este modelo describe la deformación con base a la energía y las temperaturas dependientes del material, así como los estiramientos principales en relación con el volumen elástico como se puede observar en la ecuación (2).
(2)Ogden: es un modelo que utiliza la energía de deformación para verificar los estiramientos principales y los parámetros iniciales como se muestra en la ecuación (3).
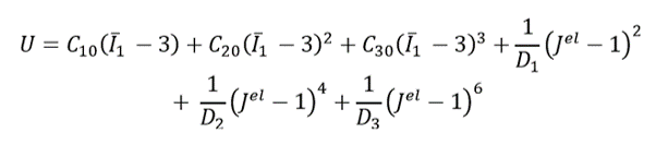
(3)Polinomial: este modelo utiliza el parámetro de la energía potencial de la energía de deformación, obteniendo la primera y la segunda invariante de deformación en conjunto de las temperaturas, la ecuación que describe el modelo es la ecuación (4).
(4)Yeoh: el modelo es equivalente al usar el parámetro Polinomio reducido, pero utiliza la primera y la segunda invariante de deformación en conjunto de las temperaturas dependientes del material, como se demuestra en la ecuación (5).
(5)Como se pueden observar en las ecuaciones, todos los modelos demuestran que el comportamiento hiperelasticidad se puede expresar en términos de la energía potencial de deformación, donde la cantidad de energía de deformación es almacenada por unidad de volumen [10].
2) Desarrollo del modelo numérico
De acuerdo con la paquetería del software, los modelos constitutivos con los que cuenta se adecuan para a un estudio de hiperelasticidad. Con los modelos definidos se puede comenzar a realizar el modelo numérico del material.
a) Creación del modelo numérico
El modelado de la pieza se realizó de la siguiente forma, se crea el modelo de la probeta en 3D de acuerdo con las dimensiones de la norma ASTM D-412 como se muestra en la Fig. 5. Una vez creado el modelo, se asignan las propiedades del material obtenidos en los ensayos a tensión.

El método de mallado tiene como objetivo primordial, la colocación de los nodos que serán obtenidos en figuras geométricas como triángulos y tetraedros. Otro elemento que se debe considerar en el mallado de la pieza es el tamaño de esta [17].
En el proyecto el estudio de malla se realizó con una convergencia para obtener resultados confiables, la geometría se definió de tipo cuadrática debido a que se adapta de manera uniforme a la geometría del modelo y permite la selección de puntos específicos dentro del cuerpo para el estudio de convergencia de malla y estudio de deformación como se observa en la Fig. 6.

El siguiente paso en la simulación fue colocar las condiciones de frontera de la probeta. De acuerdo con la norma ASTM D-412, un lado debe tener un empotre fijo y el otro será con movimiento, es decir tendrá una velocidad de desplazamiento como se muestra en la Fig. 7.

b) Convergencia de malla
Para el estudio de convergencia de malla, se asignaron diferentes tamaños de malla y se obtuvieron los resultados de esfuerzo de un punto fijo en el cuerpo de la probeta. El cual se nombró punto M, como se muestra en la Fig. 8.

Dentro del software se puede configurar el punto deseado por medio de herramientas en el apartado Set. Una vez seleccionado el punto dentro del cuerpo de estudio se corrió el programa y se obtuvieron los resultados.
c) Análisis de deformación
En el análisis de la deformación, se seleccionaron dos puntos dentro de la probeta los cuales se llamaron X1 y X2, como se observa en la Fig. 9. Los puntos seleccionados se encuentran a una distancia inicial dentro de la probeta que servirán como referencia para obtener el desplazamiento entre los puntos y obtener como resultado la deformación que existe dentro del cuerpo.
En el apartado de Set del software se pueden seleccionar ambos puntos y se corre el programa para obtener los resultados de la corrida.

d) Análisis de esfuerzos
Para validar los resultados del análisis de esfuerzos, se determinaron los valores de cargas internas aplicando las ecuaciones de equilibrio de la estática, véase Fig. 10, una vez determinado dicho valor se procedió a calcular los valores el esfuerzo normal en el área transversal localizada entre los puntos X1 y X2. Este procedimiento permitió verificar que los valores de esfuerzos obtenidos de forma numérica son congruentes con los obtenidos aplicando la mecánica de los materiales.

La metodología anterior fue aplicada para todos los modelos constitutivos analizados en el presente artículo, lo anterior permitió determinar los valores de esfuerzos y cargas internas en la probeta para el desarrollo de las curvas de esfuerzo-deformación correspondiente a cada uno de los modelos constitutivos. A continuación, se presentan los resultados experimentales y numéricos obtenidos durante el desarrollo del trabajo.
III. Resultados
Una vez implementada la metodología propuesta se obtuvieron los siguientes resultados:
A. Caracterización del material
Los resultados de las propiedades mecánicas del material se realizaron de acuerdo con la norma ASTM D-412. La metodología de la norma marca que las muestras se tienen que realizar de tipo corbatín y se ingresaron al tensiómetro para obtener las lecturas de elongación y módulo de elasticidad. Los resultados obtenidos se muestran en la Tabla 1.

Como se observa en la Tabla 1, se logró obtener los resultados requeridos de las propiedades mecánicas del elastómero. Uno de los resultados necesarios para realizar la simulación es el módulo Young, este como resultado de la tensión ejercida sobre el material y la deformación unitaria en relación con el cambio de longitud [18]. En la Tabla 1 se remarcó de negro este resultado para considerar en la simulación, este resultado es el promedio de cada una de las muestras, para realizar la simulación se obtuvieron los datos de tensión y elongación a través del tiempo. Una vez obtenidos los datos, se promediaron para generar la gráfica correspondiente al comportamiento del elastómero, véase Fig. 11, esta muestra la deformación y el esfuerzo nominales del material base. De acuerdo con el procedimiento, el modelo hiperelástico que se seleccione en el software deberá presentar una deformación nominal máxima de 0.7.

Antes de evaluar los modelos constitutivos, se realizó el análisis de convergencia de malla para definir el tamaño de malla adecuado que proporcione resultados precisos sin que la demanda de recursos de procesamiento sea excesiva. Para los resultados de convergencia de malla se tomó en cuenta un punto específico en el cuerpo de la probeta al cual se denominó M, en este punto se monitoreó el valor del esfuerzo normal para cada tamaño de malla analizado, como se menciona en la metodología. Los resultados obtenidos se muestran en la Tabla 2.

Como se observa en la Tabla 2, los resultados de esfuerzo en el punto M fueron definidos todos en un tiempo de prueba de 7.22 segundos para cada tamaño de malla. El rango de tamaño de malla fue de 0.17 hasta 0.04 pulgadas. Para observar la convergencia de la malla, estos resultados se graficaron como se muestran en la Fig. 12.

Como se observa en la Fig. 12, el esfuerzo en el punto M converge a partir del tamaño 0.09 in hasta el tamaño 0.14 in, donde se muestran tres puntos consecutivos rectos por lo tanto para la selección del tamaño de malla fue el más pequeño en esos tres puntos el cual fue 0.12 in. El tamaño seleccionado con respecto al menor valor tiene una diferencia de 20 psi y con respecto al mayor tiene una diferencia de 23 psi. Lo cual demostró que el rango seleccionado de la malla no tiene una variación elevada con respecto a los rangos seleccionados.
Una vez seleccionado el tamaño de malla y los datos del módulo de elasticidad, se procedió a realizar la simulación de los modelos hiperelástico para el elastómero de acuerdo con el procedimiento indicado por Estrada [14]. Los modelos que se eligieron para fines prácticos se mencionan a continuación junto con los resultados obtenidos.
B. Resultados del modelo numérico
A continuación, se presentan los resultados obtenidos en el proceso de modelado numérico del material.
1) Modelo Mooney Rivlin
Para realizar el ensayo del modelo Mooney Rivlin se utilizó el tiempo de prueba de 7.22 segundos, el tiempo se estableció a partir de que el material obtuvo deformación nominal del 0.7 con respecto a su tamaño original. Los resultados se muestran a continuación en la Fig. 13, se realizó la comparativa entre el resultado experimental y el modelo numérico.

Como se observa en la Fig. 13, con el modelo seleccionado no se logró llegar a una convergencia en el tiempo establecido, la prueba terminó en el segundo 5.15 de acuerdo con los resultados obtenidos en software. La comparación entre los resultados experimentales y los resultados del modelo Mooney Rivlin tienen una mínima similitud entre las líneas de tendencia, teniendo un valor de esfuerzo similares en la deformación nominal 0.23. De acuerdo con los resultados para una deformación nominal del 0.4 se tiene una diferencia del 17% con respecto al ensayo experimental, esto debido al comportamiento lineal del modelo Mooney Rivlin.
2) Modelo Yeoh
Para el modelo Yeoh se utilizaron los mismos parámetros de tiempo y malla, esto con el fin de obtener la similitud en los resultados. En la Fig. 14 se muestran los resultados con la comparativa de los resultados experimentales.

Como se observa en la Fig. 14 los resultados obtenidos entre el modelo y los resultados experimentales tienen una similitud, también se observa que el modelo numérico logra llegar una convergencia a un valor de deformación nominal del 0.68, sin embargo, se realizó la comparativa entre ambos modelos para una deformación nominal del 0.5 donde se obtiene una diferencia del 10% con respecto a los datos experimentales.
3) Modelo Marlow
El modelado se realizó bajo las mis condiciones de trabajo con respecto al modelo experimental los resultados obtenidos se muestran en la Fig. 15.

Como se muestra en la Fig. 15, las curvas de esfuerzo-deformación son similares entre ambos resultados, lo cual indica una adecuada predicción del proceso de deformación del material por parte del modelo. De acuerdo con los resultados, a un valor de deformación nominal de 0.5, el modelo Marlow vs el modelo experimental presentan una diferencia del 1%.
4) Modelo Ogden de orden 1.
Al igual que en los modelos anteriores se realizó la corrida bajo las mimas condiciones de trabajo. Los resultados se observan en la Fig. 16.

De acuerdo con los resultados obtenidos se observó que el modelo Ogden presentó un comportamiento aproximadamente lineal, lo que indica que el modelo no representa correctamente el proceso de deformación del material.
5) Modelo Polinomial de orden 2
Al igual que los modelos anteriores se utilizaron las variables iniciales de tiempo y tamaño de malla para obtener resultados similares, como se muestran en la Fig. 17.

Los resultados indican que el modelo polinomial tiene un comportamiento similar la curva experimental. Para una deformación nominal del 0.5 se observa que hay una diferencia mínima del 5% pero conforme se incremente el valor de deformación las curvas se desfasan.
En el presente apartado se compararon y analizaron cada uno de los modelos constitutivos mencionados en el desarrollo. Los modelos Marlow y Polinomial de orden 2, arrojaron una diferencia del 1% y 5% respectivamente con base a los valores experimentales, siendo estos los que se ajustaron más cualitativa y cuantitativamente al comportamiento real del material NBR estudiado.
IV. Conclusiones
Actualmente las herramientas que ofrecen los softwares permiten realizar análisis anticipados de los materiales o de las piezas que se manufacturan en las industrias. Con los resultados obtenidos a través de los softwares se consigue llegar a la mejora continua. En el presente proyecto se aplicaron herramientas tales como el análisis de elementos finitos, que proporcionaron resultados apropiados para el estudio de la hiperelasticidad en los materiales, y ensayos de tensión, que permitieron obtener las propiedades mecánicas del material. Las conclusiones del estudio realizado se enlistan a continuación:
· El software seleccionado para el desarrollo de la presente investigación se adecua a las necesidades del proceso de modelado requeridos en el presente proyecto.
· De acuerdo con los resultados numéricos, los modelos de Ogden, Yeoh y Mooney Rivlin no tienen una respuesta favorable comparados con los resultados experimentales para valores de deformación nominal del 0.5, teniendo una diferencia mayor al 10% con respecto a los valores experimentales.
· Para el modelo Polinomial de orden 2, se observó un comportamiento similar al experimental para valores de deformación nominal del 0.5 y se obtiene una diferencia del 5% con un modelo polinomial de segundo orden con respecto a los valores experimentales, pero conforme incrementa la deformación las curvas se desfasan incrementando la diferencia porcentual entre los valores de esfuerzos.
· El modelo que demostró un comportamiento similar y representa con exactitud los datos obtenidos en las pruebas experimentales es el modelo de Marlow, mostrando para un valor de deformación nominal del 0.5 una diferencia del 1% con respecto a los valores experimentales.
· Conforme a los resultados obtenidos, se concluye que el modelo Marlow deberá ser utilizado en el modelado del material NBR en las siguientes etapas del proyecto, específicamente en el estudio de la capa interna de las mangueras.
· La metodología propuesta por Estrada [14] es aplicable en el estudio del material NBR utilizada en la fabricación de tubos.
Dicho lo anterior, se recomienda hacer un estudio del material compuesto, tal como el de las mangueras, que están formadas por capas de materiales distintos (elastómero y metal) y evaluar el comportamiento en condiciones de carga estática y fatiga.
Referencias
[1] X. Leiceaga, "Desarrollo de una plataforma de diseño e ingeniería naval", Ingenieria y Ciencia , vol. 1, nº 1, pp. 29-43, 2005.
[2] D. Field , "Educaction and training for CAD in the industry", Computer-Aided Design, vol. 36, pp. 1431-1437, 2004, https://doi.org/10.1016/j.cad.2003.10.007
[3] L. Wang, "Meta-modeling if high-fidelity FEA Simulation for efficient product and process desing in additice manufacturing", Additive Manufacturing, vol. 35, pp. 1-2, 2020, https://doi.org/10.1016/j.addma.2020.101211
[4] M. Candal , "Plastic products design optimization using integration between CAD/CAE/CAM and PR: Study Case", Ciencia e Ingeniería, vol. 26, pp. 121-130, 2005.
[5] L. Wenbo, "Flexural fatigue life prediction of tooth V-belt of reinforced rubber", International Journal of Fatigue, pp. 1-29, 2018, https://doi.org/10.1016/j.ijfatigue.2018.02.025
[6] L. Quian, "Fatigue Life prediction of a ruber mount based o test of material properties and finite element analysis", International Journal of Fatigue, vol. 16, pp. 2304-2310, 2009, https://doi.org/10.1016/j.engfailanal.2009.03.008
[7] L. Shaohu, "Experimental and numerical simultaion study on fatigue life of tubing with typical defects", Journal of Petroleum Science and Engineering, pp. 212-218, 2020, https://doi.org/10.1016/j.petrol.2020.108212
[8] RMA, Hose HandBook, Washington: EPG publications , 2009, aviable: https://www.hosexpress.com/media/import/Hose_Handbook.pdf
[9] RUC, Manual del caucho, México, 2014, aviable: https://www.academia.edu/6831626/Manual_del_Caucho
[10] SIMULIA Dassault Systems, "Abaqus Therory Manual", SIMULIA, 2010, available: http://130.149.89.49:2080/v6.10ef/books/stm/default.htm. [Último acceso: 21 Enero 2022].
[11] H. Panadero, "Metodologia para el análisis de esfuerzos y fatiga de ejes y obtencion del factor de intencidad de tensiones mediante XFEM en ABAQUS", Universidad de España, Madrid, 2014.
[12] C. Azurmendi, "Modelización estructural de un neumático de competición por el metodo de elementos finitos", Universidad de Sebastion, San Sebastian, 2014.
[13] D. Barragán , "Simulacion numérica de un ensayo de fatiga de un nuevo concepto de suspención para camiones pesados con elementos no lineales", Universidad Autónoma de León, Nuevo León, 2017.
[14] Q. Estrada, "Procedimiento numérico para el modelado de los materiales hiperlásticos sometidos a tensión", Memorias del XIX Congreso Internacional Anual de la SOMIM, pp. 1079-1084, 2013.
[15] E. Ramirez, "Simulación y análisis del compotamiento de un componente elastomérico de un sistema técnico. usando el método de los elementos finitos", Universidad EAFIT, Medellin, 2008.
[16] J. Moraleda , "Micromecánica de elastómeros porosos y reforzados con fibras", Universidad Politécnica de Madrid , Madrid , 2009.
[17] A. Diaz, "Método de mallado y algoritmos adaptativos en dos y tres dimensiones", Universidad Politécnica de Valencia , Valencia , 2000.
[18] M. Espinosa , "Obtención del módulo de elasticidad y razón de poisson", Universidad Autónoma de Nuevo León, Nuevo León, 2000.