Recepción: 27/07/2022
Aprobación: 09/08/2022
Resumen: Este artículo propone el diseño de un sistema mecánico capaz de ejecutar la morfosis entre un robot caminante tipo hexápodo y un robot esférico, basado en un modelo de 4 barras, permitiendo la exploración en diferentes terrenos y manufactura basada en tecnología de impresión 3D. El diseño de los elementos que integran este prototipo se desarrolló bajo la perspectiva técnica de la metodología Quality Funtion Design (QFD), obteniendo como resultado experimental un sistema Manivela-Balancín acoplado a cada extremidad, el cual permitió la locomoción típica de un robot artrópodo y al mismo tiempo, extender la capacidad de movilidad al generar una mórfosis con el propósito de realizar una locomoción esférica. Esta locomoción se desarrolló con el objetivo de aprovechar la ventaja dinámica en una superficie donde la cubierta del mecanismo permitiera un desplazamiento sin restricciones, específicamente, en un terreno regular plano, bioinspirada en el desplazamiento “flic-flac” de la araña del desierto (Cebrennus Villosus). El análisis cinemático para este modelo fue representado con el método analítico. La geometría y dimensiones de los elementos fueron desarrollados para su fabricación con tecnología de impresión 3D, con base en las propiedades mecánicas del material Poliácido-láctico (PLA), sin comprometer las capacidades de carga y torque de los servomotores del robot Bioloid®, el cual fue empleado como base del diseño. Para comprobar la capacidad del mecanismo se realizó un análisis general de elemento finito, con lo que es posible verificar que el material satisface las propiedades mecánicas necesarias para el uso operacional del mismo.
Palabras clave: robot metamórfico, mecanismo de 4 barras, robot artrópodo, QFD, tecnología de Impresión 3D.
Abstract: This article proposes the design of a mechanical system capable of executing morphosis between a hexapod-type walking robot and a spherical robot, based on a Four-bar model, allowing exploration in different terrains and manufacturing based on 3D printing technology. The design of elements that make up this prototype was developed under the technical perspective of Quality Function Design (QFD) methodology, obtaining an experimental result by Crank-Beam system coupled to each limb, which allowed typical locomotion of an arthropod robot, at the same time, extend the mobility capacity by generating a morphosis to perform a spherical locomotion. This locomotion was developed with aim of taking advantage of dynamic on a surface where the mechanism cover allowed unrestricted movement, specifically, on a regular flat terrain, bio-inspired by "flic-flac" movement of desert spider (CebrennusVillosus). The kinematic analysis was represented by analytical method. The geometry and dimensions of elements were developed for their manufacture with 3D printing technology, based on mechanical properties of Polylactic-Lactic Acid (PLA) material, without compromising the load and torque capacities of Bioloid® robot servomotors, which was used as base of design. To verify the capacity of mechanism, a general finite element analysis was carried out, with which it is possible to verify that material satisfies the mechanical properties necessary for its operational use.
Keywords: metamorphic robot, four bar mechanism, arthropod robot, 3D printing technology.
I. Estado del Arte
Uno de los principales objetivos de la robótica es el desarrollo de robots inteligentes, los cuales puedan realizar una gran cantidad de tareas utilizando solo una pequeña cantidad de recursos. El diseño de robots está enfocado principalmente a mejorar su desempeño, logrando optimizar su funcionamiento, siendo utilizados en diferentes sectores, tales como la industria, exploración, vigilancia e investigación científica.
Las líneas de investigaciones relacionadas al desarrollo de estos dispositivos son el biodiseño y la robótica aplicada a sistemas móviles, específicamente, a los robots caminantes, los cuales llevan varias décadas generando proyectos de mejora en su diseño, sin embargo, hasta el día de hoy no se ha logrado satisfacer la creación de forma segura y eficiente de estas máquinas.
La invención de robots metamórficos propone soluciones que involucran el cambio de fase o la reconfiguración, gracias a la ayuda de las herramientas de modelado en tercera dimensión se puede simular el comportamiento de estos proyectos, observando su desempeño en diferentes entornos, dando respuesta a casos de estudio en campos como el diseño mecánico, el análisis de materiales, modelado de sistemas dinámicos y la inteligencia artificial.
Los robots metamórficos, son máquinas reconfigurables, con la capacidad de generar diferentes tipos de locomoción mediante un cambio de forma de manera autónoma. Los principales modelos robóticos a nivel internacional en esta área consideran su diseño conceptual a partir de la bioinspiración, la implementación de sistemas mecánicos y el apoyo de herramientas de manufactura. Este es el caso del robot Pillbot [1], un prototipo con un exoesqueleto inspirado en el origami, presentado en la Fig. 1.1. La fase principal mantiene una estructura desplegable con 6 garras circulares con capacidad de generar un desplazamiento similar a un robot móvil con ruedas.

La segunda fase emplea una cubierta capaz de soportar impactos, manufacturada con silicona mediante una herramienta de mecanizado láser, que, al abrir o desplegarse genera un movimiento de pivoteo capaz de lograr una voltereta completa. Clasificado también bajo la terminología de los dispositivos biomiméticos por su estructura esférica tipo escarabajo, basada en el insecto Cochinilla de humedad (Armadillidium Vulgare).
En este contexto, el robot Morphex [2], [3], [4] muestra un diseño singular, basado en un robot esférico omnidireccional con capacidad de integrar 2 fases de locomoción en su sistema. Este dispositivo está constituido por 12 piernas y 31 servomotores, como se observa en la Fig. 1.2.

Su estructura interna está fabricada con aluminio, mientras que la cubierta fue manufacturada con fibra de carbono, proporcionando una óptima relación entre rigidez y peso, respetando la carga máxima que soporta el torque de los actuadores. Los servomotores localizados en el centro del robot generan un movimiento de contracción y/o expansión con la finalidad de evitar problemas de interferencias en la reconfiguración y el desplazamiento.
Estos modelos presentan características robustas para desarrollar una locomoción en entornos aleatorios, como son su particular diseño, el material de fabricación, hasta la cantidad de elementos que lo integran, así como el número de extremidades, por ello es importante identificar áreas de oportunidad en el diseño de modelos robóticos bajo esta clasificación.
II. Introducción
Los sistemas metamórficos proponen un diseño versátil capaz de resolver los principales desafíos de locomoción en el campo de los robots móviles. El mecanismo presentado en este documento desarrolla una mórfosis estructural autónoma, adaptable a cualquier robot artrópodo, con el objetivo de proponer una solución a la inestabilidad, locomoción ineficiente, peso excedente y alto costo de manufactura para los robots.
El desplazamiento de la araña Cebrennus Villosus sirve de inspiración en el diseño mecánico, debido al movimiento que desarrolla, conocido como “flic-flac” [3], [4], como se observa en la Fig. 2.1. Su traslación se desarrolla en una secuencia combinada de saltos en el aire antes de rodar por la superficie.

La secuencia realiza un giro de 360°, iniciando con un salto en movimiento al apoyar el segundo par de piernas sobre una superficie. Posteriormente el primer par impulsa el cuerpo de la araña generando una mayor propulsión por el aire; la inercia producida en este movimiento contribuye al ahorro de energía, logrando una velocidad de desplazamiento superior en comparación a la locomoción tipo artrópodo como se observa en la Tabla 1.1[3].

III. Fase conceptual
Se propone como base de diseño el robot Biolid®, un sistema modular de múltiple reconfiguración manual. La fase tipo hexápodo de este modelo emplea 18 servomotores Dynamixel AX-12A, como se muestra en la Fig. 3.1. El dispositivo mantiene un peso de 1.54 kg y 18 grados de libertad [4], [5]. Cada extremidad mantiene una posición recta con ángulo φ=90° respecto a la superficie; 3 servomotores son encargados de generar el movimiento en cada pierna; el primero de estos actuadores trabaja de manera horizontal, mientras que los últimos 2 se unen mediante un marco, creando una geometría perpendicular para los servomotores.

El desarrollo del modelo en software CAD permitió ubicar al robot en el interior de una cubierta esférica con un radio propuesto de dimensión 185 milímetros y un espesor en la capa de 0.5 milímetros. La ubicación del robot en el centro de la esfera permite generar un espacio de trabajo simétrico para cada extremidad y al dividir la cubierta de forma vertical se crea, para cada pierna, un gajo o parte proporcional de la esfera que no afecta la locomoción hexápoda del robot [4]. Aprovechando los beneficios del diseño CAD, se puedo visualizar el movimiento de zancada, definiendo para las piernas laterales con un ángulo φ de hasta 90° con origen en la unión del servomotor y el cuerpo del robot en un plano xz y para el caso de las extremidades frontales y traseras el espacio de trabajo un ángulo ϕ cuyo valor máximo está alrededor de los 45°, como se observa en la Fig. 3.2.

Las consideraciones previamente mencionadas, permite el movimiento de extremidades, evitando problemas de interferencia con elementos de otras piernas. El diseño del sistema para la mórfosis se constituye de 5 elementos: 1) Eslabón Principal, 2) Eslabón Superior, 3) Eslabón Inferior, 4) Collarín y 5) Cubierta. Este último elemento genera un movimiento similar a un eslabón de salida en un sistema Biela-Manivela mostrado en la Fig. 3.3 [4].
La implementación de un sistema mecánico de 4 barras se ajusta mediante la unión de la parte superior de la cubierta con el eslabón principal, y por la parte inferior con un eslabón acoplador, dando como resultado un mecanismo de cadena cerrada de 2 grados de libertad. La unión del eslabón superior y el eslabón inferior está limitada por una arista ubicada en la parte superior del eslabón inferior, la cual evita la posición de agarrotamiento en el sistema y permite un ángulo de transmisión ideal con el objetivo de realizar la apertura del mecanismo, así como de transmitir la fuerza suficiente en el cambio de fase.
El eslabón principal se une mediante dos pernos a un collarín; estos elementos son colocados en la parte superior del servomotor 3 con el objetivo de soportar el peso de la cubierta, así como de realizar la inclinación que genere el servomotor 2. El eslabón superior mantiene una geometría semicurva, que se adapta al cuerpo del robot por la parte inferior y genera un movimiento similar a un eslabón motriz, desplazando al eslabón inferior. Este desplazamiento se define como el inicio de la mórfosis en el mecanismo.

La ejecución de la mórfosis propone una posición inicial en fase esférica (1). El servomotor 3 genera un movimiento en el eslabón superior con un ángulo α =62.24° respecto a su posición inicial (2). Este movimiento produce un despliegue de la cubierta; posteriormente el servomotor 2 ejecuta una inclinación respecto a su eje, desplazando el eslabón principal con ángulo β =43.28°, finalmente el servomotor 3 realiza el despliegue completo de la cubierta con una apertura final α´=83.96° (3), logrando la transformación de la extremidad presentada en la Fig 3.4[4].

La posición que presenta el modelo CAD del mecanismo muestra la fase esférica, presentado en la Fig. 3.5[4]; la mórfosis general del robot se efectúa alternando la apertura de la cubierta en las extremidades; el despliegue de una pierna derecha debe continuar con la apertura de otra extremidad en el lado opuesto del robot, con el objetivo de evitar la inestabilidad en el modelo, comprometiendo el cambio de fase.

La Fig. 3.6 muestra la mórfosis completa en una fase hexápoda del robot Bioloid; se logra observar el espacio de trabajo asignado a cada extremidad. La cubierta presenta una subdivisión constituida de 4 elementos; esto se debe al espacio limitado de manufactura en una impresora 3D convencional. El interior de la esfera contiene un refuerzo diseñado para soportar el peso de todo el robot al efectuar el desplazamiento en fase esférica sin deformar la cubierta.

La locomoción en fase esférica se desarrollará al desplegar la cubierta contraria al sentido de dirección donde se dirige el robot. El ángulo de transmisión del sistema mecánico permitirá producir la fuerza necesaria para generar el movimiento o giro, imitando el movimiento de la araña Cebrennus Villosus, en el que la inercia obtenida produce un impulso en todo el modelo [2], [3], [4]. El diseño de está locomoción se realizó únicamente en una superficie plana regular con la intención de acotar las consideraciones físicas del modelo, ya que un terreno irregular podría afectar el desempeño del mecanismo. Es importante señalar que, al efectuar la locomoción en esta fase, las extremidades permitirán redireccionar el sentido de desplazamiento mediante la apertura de la cubierta, similar al comportamiento de un robot esférico omnidireccional, el cual puede observarse en la Fig. 3.7.

IV. Ingeniería a detalle
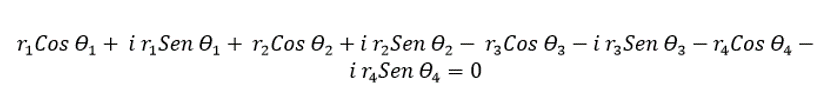
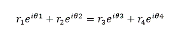
El análisis de posición del sistema mecánico implementado se desarrolla mediante de la ecuación de cierre del circuito dado por la ecuación (3.1) [4], [6].
[3.1]Desarrollando los equivalentes de Euler se obtiene la ecuación (3.2).
[3.2]De esta ecuación obtenemos 2 soluciones dadas por las ecuaciones (3.3) y (3.4) para el mecanismo de la Fig. 4.1.
[3.3 - 3.4]
[3.5]y
[3.6]

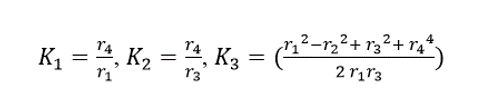
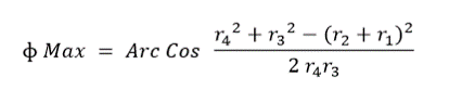
Al obtener el resultado del análisis de posición es importante considerar la ventaja mecánica basada en el teorema de ley de cosenos [6], observando el ángulo de transmisión mediante las ecuaciones (3.7) y (3.8), presentado en la Fig. 4.2. El ángulo generado entre el eslabón de salida y el acoplador para transmitir el movimiento necesario en la cubierta se define como ϕ= 45°, ángulos con un valor inferior a este no producirán la fuerza necesaria para desplegar el mecanismo.
El ángulo de transmisión del sistema permitirá la transformación estructural de manera autónoma con el apoyo del torque de los servomotores, pasando de fase esférica a fase hexápoda. Para esto, es necesario para que al menos una extremidad genere la apertura del mecanismo mediante el eslabón superior, iniciando el movimiento o giro en el robot en fase esférica, imitando el movimiento de la araña Cebrennus Villosus, en el que la inercia obtenida produce un impulso en todo el modelo.
[3.7]
[3.8]

Para detener la locomoción del robot en fase esférica es importante que el robot realice la apertura del mecanismo en 2 extremidades contiguas, esto con el objetivo de proporcionar estabilidad al modelo y evitar la desviación de su trayectoria, considerando que el movimiento que produzca el ángulo de transmisión debe ser igual al peso del robot por la fuerza ejercida debido a la inercia en el desplazamiento.
V. Metodología QFD
Es importante delimitar la aplicación de la metodología QFD basado en un proceso de diseño [7]. La solución debe satisfacer las necesidades de los requerimientos técnicos propuestos en la tabla 4.1.

La matriz de correlación de requerimientos asigna un valor con base en el tipo de iteración existente, siendo un valor de 5 para una relación fuerte, y valor 1 para vínculos débiles [9] presentado en la Tabla 4.2.

Al estimar la especificación de desempeño con mayor prioridad, el resultado proporcionara la secuencia en el desarrollo del diseño. La ecuación (4.1) proporciona la ponderación para cada categoría de desempeño, como se muestra en la Tabla 4.3[8].
[4.1]El análisis y síntesis proyecta una prioridad 1 en los resultados; esta especificación permite encontrar una respuesta en satisfacer un modelo capaz de modificar su estructura, proyectando la secuencia a continuar con el objetivo de complementar y encontrar un resultado técnico [7], [8], [9].

Para el caso de estudio, la metodología QFD considera aspectos como son los requerimientos del cliente (atributos) y las especificaciones del desempeño (elementos para la creación del modelo), donde el objetivo era el diseño de un mecanismo para generar una mórfosis en un robot móvil. La ventaja mecánica del sistema de 4 barras se basó en propuestas de diseños conceptuales, mediante el análisis y síntesis de mecanismos, que es parte de las especificaciones del desempeño, donde la idea principal era obtener un ángulo de transmisión con un rango de 45° a 90°, mediante la comprobación de cálculos analíticos [9].
Sin embargo, para trabajos futuros es posible aplicar la metodología QFD para desarrollar un ángulo de transmisión óptimo en un mecanismo con esta clasificación. La síntesis del mecanismo podría ser una alternativa de diseño, sin embargo, es necesaria la implementación de metodologías de diseño mecánico, para obtener un resultado congruente.
VI. Análisis del elemento finito
La manufactura con tecnología de impresión 3D permite crear figuras con el apoyo de software CAD. Para este modelo, el programa repetier.host permitió simular la impresión de elementos, mostrando parámetros de fabricación, como son el tiempo de manufactura, la cantidad de material necesario en el proceso de fabricación, el peso total del mecanismo, así como el seguimiento en tiempo real de extrusión [4].
La geometría de algunos elementos del mecanismo, específicamente la cubierta, proyectaban tiempos de manufactura prolongados, generando problemas como la impresión errónea, rebaba, calentamiento de la impresora y un consumo alto de energía. Además de un peso considerable, lo que comprometería el desempeño del robot Bioloid, como se puede observar en la Fig. 5.1.

El desarrollo de un mayado en la cubierta permitió producir diferentes propuestas, optimizando los tiempos de manufactura, como se observa en la Fig. 5.2. La geometría trazada en la cubierta genera un ahorro en el peso del sistema mecánico, conservando la rigidez suficiente para generar un desplazamiento esférico, la cual fue comprobada por los resultados obtenidos por la simulación de esfuerzos en el software CAD. Cabe mencionar que los tiempos de producción amplios, así como la impresión errónea mantienen una correlación, a mayor tiempo de manufactura existe una mayor probabilidad de errores en el proceso.

Dentro de las ventajas que proporcionará el mayado al sistema mecánico, será el correcto funcionamiento del mecanismo sin comprometer las capacidades de los servomotores, los cuales mantienen un torque máximo de 1.52 N.m. El diseño obtendrá un ahorro en el tiempo de manufactura, así como un ahorro de material y por consiguiente un óptimo peso para cada elemento como se muestra en la Fig. 5.3, respetando el toque de los servomotores [5].

Mediante la simulación de la locomoción esférica de robot y con base en el análisis de elemento finito, se comprobó que el material propuesto, Poliácido Láctico (PLA), mantiene la rigidez necesaria al aplicar una fuerza de 38.2N sobre la superficie de la cubierta, esta fuerza equivale al peso completo del robot Bioloid con el mecanismo acoplado en cada extremidad, como lo muestra la Fig. 5.4. Cabe mencionar que el Bioloid es un robot comercial educativo, como anteriormente se ha descrito, su estructura se tomó como base para el diseño del mecanismo, sin embargo, el robot no transportara elementos adicionales, sin embargo, su estructura únicamente soportara el peso del mecanismo. El análisis de elemento finito consideró el módulo de elasticidad del Poliácido Láctico de 3.5GPa, con el propósito de observa la deformación en la superficie externa de la cubierta [10].
El factor de seguridad 2 para un diseño de este tipo permite reducir el riesgo de fallas de algún componente, ya que las condiciones ambientales donde se observará el comportamiento no son severas, considerando que la locomoción de ambas fases se ejecutara en una superficie regular plana. Los resultados demostraron que habrá una deformación con un desplazamiento sobre la superficie de 1 milímetro [4], lo cual es aceptable para su uso operacional.

VII. Conclusiones
El diseño de sistemas mecánicos usando software CAD apoyado de una metodología de diseño permite producir resultados sólidos en el campo de los robots móviles del tipo metamórfico.
Para el desarrollo particular de este mecanismo, el modelo creado no empleo servomotores adicionales, lo que lo hace innovador, ya que podría adaptarse a cualquier robot apodo con n cantidad de extremidades sin la necesidad de incorporar nuevos actuadores que pudiesen comprometer tanto el funcionamiento como el gasto energético del mismo.
Por otra parte, también es posible observar como que el desarrollo de mecanismos en base a sistemas biológicos, en este caso el movimiento de la araña Cebrennus Villosus, permite explorar nuevas alternativas de locomoción para robots metamórficos en operaciones de expedición.
Agradecimientos
Al programa “Investigadora e Investigadores COMECyT EDOMÉX” por el apoyo a los beneficiarios que participan en este trabajo.
Al programa DGAPA-PAPIIT por el apoyo a través del proyecto IN118820.
Referencias
[1] C. Zhang, J. Zhou, L. Sun, G. Jin, “Pillbot: A soft origami robot inspired by pill bugs,” ACM Int. Conf. Proceeding Ser., pp. 673–678, 2019, doi: https://doi.org/10.1145/3366194.3366315
[2] K. Halvorsen, “‘Morphex MKII,’” Web Page, 2013. http://zentasrobots.com/ (accessed May 19, 2021).
[3] R. S. King, A Bilogically Inspired Robot with Walking And Rolling Locomotion, New York, USA: Springer, 2012.
[4] M. Cruz, “Diseño e Implementación de un Sistema Mecánico Aplicado a un Robot Metamórfico tipo Hexápodo”, tesis de maestría, ingeniería mecánica, Instituto Politécnico Nacional, Ciudad de México, México, 2016, available: http://tesis.ipn.mx/handle/123456789/22841
[5] Robotis, “Kit Biolid”, Robotis. www.robotis.com/xe/bioloid (accesed Jan, 2020).
[6] A. R. Rodríguez, “Análisis Cinemático de un Robot Metamórfico Tipo Hexápodo”, tesis de maestría, ingeniería mecánica, Instituto Politécnico Nacional, Ciudad de México, México, 2017, available: http://tesis.ipn.mx/handle/123456789/23045
[7] A. Zaidi, QFD: Despliegue de la Función de la Calidad, Madrid, España: Díaz de Santos, 1993.
[8] R. L. Norton, Diseño de Maquinaria – Síntesis y análisis de máquinas y mecanismos, 4ª ed., New York, USA: Mc GrawHill, 2009.
[9] M. R. Mireles, “Implementación del Despliegue de la Función de Calidad”, tesis de licenciatura, Universidad Autónoma del Estado de Hidalgo, 2007.
[10] S. Coyle, C. Majidi, P. LeDuc, K.J. Hsia, "Bio-inspired soft robotics: Material selection, actuation, and design", Extrem. Mech. Lett., no. 22, pp. 51-59, 2018.