Resumen: Los cambios por el manejo forestal, cuyo objetivo es el crecimiento rápido, tienen un efecto en los almacenes y en la tasa regional de secuestro de carbono al incorporar el bióxido de carbono en la biomasa de las plantas; por ello, es primordial conocer su condición y respuesta a diferentes estrategias de manejo para una adecuada gestión. El objetivo de esta investigación fue evaluar el efecto de dos manejos silvícolas, después de 21 años de reforestación, sobre los almacenes de carbono en el suelo a 10 cm, 20 cm y 30 cm de profundidad, así como en mantillo, madera muerta, raíces y biomasa aérea en la Sierra Norte de Oaxaca. Se realizó un muestreo en dos sitios manejados con: (1) método de desarrollo silvícola (MDS) (alta intensidad) y (2) método mexicano de ordenación de bosques irregulares (MMOBI) (baja intensidad) y en tres bosques no manejados de pino (BP), encino (BE) y pino-encino (BPE). La biomasa arbórea aérea, madera muerta y raíces fueron estimadas mediante ecuaciones alométricas, a partir de ello, se calculó el C. El carbono del mantillo y del suelo se determinaron en un analizador automático. El método MMOBI presentó un mayor contenido de carbono en el suelo y hojarasca (127.89 Mg C ha-1), pero el mayor reservorio de C se encontró en la biomasa arbórea del bosque de pino-encino (383.9 Mg C ha-1 ). El manejo MMOBI puede ser una alternativa de manejo que favorezca los almacenes de carbono en el suelo, mientras que el bosque de pino-encino demuestra un potencial como almacén de carbono arbóreo a una edad mayor de 40 años.
Palabras clave: bosques de encino, bosques de pino, bosques de pino-encino, MDS, MMOBI.
Abstract: Changes for fast-growing forest management have an immediate effect on carbon stocks and the regional carbon sequestration rate, by incorporating carbon dioxide into biomass plant, therefore it is essential to know their condition and response to management, for proper management. The aim of this research was to evaluate the effect of two silvicultural management methods after 21 years of reforestation, on the carbon stocks in the soil at 10 cm, 20 cm, and 30 cm deep: as well as mulch, dead wood, roots, and aerial biomass, in the Sierra Norte de Oaxaca. Sampling was carried out in two sites with management: (1) silvicultural development method (MDS) and (2) Mexican irregular forest method (MMOBI) (low intensity) and in three natural forests of pine, oak, and pine -oak. Aerial tree biomass, dead wood and roots were estimated by allometric equations and carbon was calculated. Mulch and soil were measured on an automatic analyzer. The MMOBI method presented a higher C content in soil and litter (127.89 Mg C ha-1), but the largest carbon reservoir was found in the tree biomass of the pine-oak forest (383.9 Mg C ha-1). The MMOBI can be a management alternative that favors carbon stocks in the soil, while the pine-oak forest demonstrates a potential as a tree carbon stocks at an age over 40 years old.
Keywords: oak forests, pine forests, pine-oak forests, MDS, MMOBI.
Artículos científicos
Almacenamiento de carbono en bosques con manejo forestal comunitario
Carbon storage in forests with community forest management
Recepción: 11 Noviembre 2019
Aprobación: 04 Marzo 2021
Publicación: 26 Octubre 2021
El manejo de áreas forestales es crucial para las funciones del ecosistema como un regulador en el mantenimiento del clima, del agua, del suelo y de los recursos forestales. Lo anterior permite afrontar los retos de las necesidades humanas básicas e inmediatas (alimento, comida y sustento) hacia un desarrollo sustentable (De Fries, Foley y Asner 2004). En el mundo, los bosques templados constituyen un importante almacén de C dentro de los ecosistemas terrestres; ocupan 1 × 107 km2, representando 25% del área forestal, y se ha estimado que almacenan en promedio 175 Pg en la biomasa aérea y 262 Pg en el suelo (Pan et al., 2011). La mayor cantidad de C en los bosques no siempre se encuentra en la biomasa aérea, pues se estima que el suelo almacena 1500 Pg C en el primer metro de profundidad, lo cual supone más C que el contenido en la atmósfera (aproximadamente 800 Pg C) y la vegetación terrestre (500 Pg C) combinados (Food and Agriculture Organization [FAO] & Intergovernmental Technical Panel on Soils [ITPS], (2015). Los suelos constituyen un reservorio que depende del equilibrio entre las tasas de entrada y salida de C, aunado al metabolismo microbiano ligado a las emisiones de CO2 (Docampo, 2010); es así como este recurso permite la conservación y producción de bienes y servicios (Torres-Rojo, Moreno-Sánchez y Mendoza-Briseño, 2016). La biomasa subterránea representa entre 30% y 40% de la productividad primaria neta al contener hasta un 22% de la biomasa total del bosque (Saugier, Roy y Mooney, 2001).
Los bosques templados se consideran ecosistemas con mayor acumulación de C por unidad de superficie, incluyendo la biomasa aérea y el suelo (Rodríguez-Laguna, Jiménez-Pérez, Aguirre-Calderón y Treviño-Garza, 2006). Este último también tiene un importante rol en el ciclo de los nutrientes que depende de la descomposición de los residuos vegetales (Vesterdal, Ritter y Gundersen, 2002). En un bosque con explotación forestal la acumulación de C y la disponibilidad de nutrientes dependerán del tipo de manejo que se realice, y la afectación de este sobre los flujos de C aunado al tipo de suelo que también determina la estabilización del C orgánico del suelo (COS). Sin embargo, un manejo forestal adecuado puede no tener un impacto negativo en el C del ecosistema y puede mejorar su secuestro (García-Oliva et al., 2014).
Los bosques de zonas templadas representan un baluarte social y económico para las comunidades que viven en ellos y que los aprovechan, y además, son un ecosistema con alta capacidad de almacenar C. En México, 70% de los bosques (45 361 400 ha) son propiedad de comunidades rurales, Oaxaca alberga el mayor número de comunidades rurales e indígenas a nivel nacional, con una vocación forestal de 82% en terrenos de propiedad comunal (Duran, Robson, Briones-Salas, Bray, y Berkes, 2012), y, además, presenta la mayor biodiversidad del país (García-Mendoza, Ordóñez-Díaz y Briones-Salas, 2004). La Sierra Norte de Oaxaca es reconocida por el manejo forestal comunitario donde coinciden en un mismo territorio la conservación de los bosques, el aprovechamiento y el cuidado de la biodiversidad (Bray, 2016). El manejo por parte de comunidades indígenas en la Sierra Norte de Oaxaca se retomó en la década de los años 80 después de enfrentar la explotación de los bosques por empresas paraestatales (Unión de Comunidades Productoras Forestales Zapotecas-Chinantecas [Uzachi], 2003). A partir de 1989 las comunidades adoptaron dos esquemas de manejo silvícola, uno de baja intensidad, el Método Mexicano de Ordenación de Bosques Irregulares (MMOBI), que se centra en la producción y conservación, y otro de alta intensidad, el Método de Desarrollo Silvícola (MDS) que se ajusta a un modelo comercial y a las políticas gubernamentales.
El manejo silvícola conlleva modificaciones en la cubierta vegetal, lo que supone cambios en el sistema edáfico donde el suelo puede funcionar como sumidero o fuente de C, dependiendo de los factores que afecten los diferentes procesos, uno de ellos puede ser el tipo de manejo forestal (Martínez, Fuentes y Acevedo, 2008). En este sentido, existen pocos estudios en México y Oaxaca sobre reservorios de C en suelos con manejo forestal (Etchevers, Acosta, Monreal, Qednow y Jiménez, 2001; Acosta-Mireles, Vargas-Hernández, Velázquez Martínez y Etchevers-Barra, 2002). Por lo anterior, es importante evaluar el impacto de los diferentes esquemas de manejo silvícola sobre la dinámica del C y sobre el suelo, en relación con el tipo de estrato arbóreo y en comparación con bosques no manejados.
Evaluar el efecto del manejo forestal de alta intensidad (MDS) y baja intensidad (MMOBI), de una reforestación de 21 años sobre los almacenes de C del suelo, hojarasca, capa de fermentación, raíces, madera muerta y biomasa aérea en bosques manejados en la Sierra Norte de Oaxaca, en comparación con bosques no manejados de pino, encino y pino-encino.
El estudio se realizó en los núcleos agrarios de Santiago Xiacuí y la Trinidad, Ixtlán, en la Sierra Norte de Oaxaca (Fig. 1) que cuenta con una superficie total de 2660.32 ha (Registro Agrario Nacional [RAN] 2005) de las cuales, 2376 ha están destinadas al manejo forestal, divididas a su vez en producción (1847.94 ha) y protección (423 ha). La vegetación predominante en el área de estudio es pino-encino y encino-pino (P. patula, P pseudostrobus, Q. laurina, Q. crassifolia) (Uzachi, 2014). El suelo dominante en la zona es Cambisol (Instituto Nacional de Estadística y Geografía [Inegi] 2013) y el clima es subhúmedo con lluvias en verano C (w1)(w)b(i’). La precipitación media anual varía entre 900 mm y 1700 mm, la temperatura media anual es de 18 °C (Clark-Tapia, Suárez-Mota, Matías-Nolasco y Velasco-Hipólito, 2016).

En la década de los años 50 del siglo pasado los bosques de Santiago Xiacuí y la Trinidad fueron concesionados durante 25 años a la empresa Fábricas de Papel Tuxtepec (Fapatux) para el aprovechamiento de madera del género Pinus. El bosque fue manejado mediante el Método Mexicano de Ordenación de Montes (MMOM) (Hernández-Díaz, Corral-Rivas, Quiñones-Chávez, Bacon-Sobbe y Vargas-Larreta, 2008). En 1982 la fábrica perdió la concesión y los bosques quedaron en manos de las comunidades de la Sierra Juárez y a partir de ese año no hubo manejo forestal.
En 1994 se realizaron mediciones (utilizadas como referencia para este estudio) para establecer nuevos programas de manejo forestal (Uzachi, 1994), y en 1998 se implantaron dos tipos de manejo forestal: MMOBI y MDS, los cuales fueron adoptados por las comunidades como parte del plan nacional forestal y como parte de los planes internos comunitarios.
Manejos forestales considerados para el estudio Las áreas de manejo forestal elegidas para este estudio fueron dos: una de alta intensidad, según las directrices de la Secretaría de Medio Ambiente Recursos Naturales y Pesca (Semarnap) en 1998, y otra basada en la decisión de las comunidades. El primer modelo consiste en una silvicultura de manejo de bosques de pino mayormente comercial que promueve la venta de madera en rollo sin dejar atrás técnicas silvícolas de conservación. El segundo tipo de manejo, el de baja intensidad, se basa en la decisión de las comunidades y está inspirado en una silvicultura de manejo de bosques de pino mayormente orientada a la conservación de estos. Los dos tipos de manejo forestal fueron comparados con tres bosques sin manejo ubicados en la misma zona.
Consiste en una reforestación con alta intensidad de manejo, esto es, aplicación de cortas de regeneración de árboles padre, con tratamientos intermedios de limpieza, podas y un aclareo. Durante estos procesos, las especies de encino y latifoliadas fueron retiradas. Se utilizó un marco de plantación en tresbolillo que consiste en formar un triángulo equilátero con los árboles con una separación de 2.5 m entre plantas. La superficie experimental fue de 1 ha, que antes de convertirse en área forestal fue zona agrícola por aproximadamente 10 años con policultivos de maíz, calabaza, papa y frijol (milpa). Esta área se localiza a 17°16’23.60’’N y 96°22’48.25’’O, a 2623 m s.n.m. de elevación, con una pendiente de 35°. Se reforestó en 1998 para restaurar la vegetación con predominancia de P. patula.
Consiste en una reforestación con un manejo de baja intensidad; esto es, con corta de regeneración de selección en grupos, con reforestación y regeneración natural por árboles aledaños y con uso de técnicas para la conservación de suelos (barreras de material residual de la corta, sobre curvas de nivel) y sin tratamientos silvícolas intermedios (limpieza, podas y aclareos). Se utilizó un sistema de plantación a tresbolillo con una separación de 2.5 m entre planta, en una superficie de 0.5 ha. Esta área se localiza a 17°16’23.60’’N y 96°22’48.25’’O, con una altitud de 2365 m y pendiente de 30°. Se reforestó de igual forma en 1998 para promover una vegetación con predominancia de P. patula.
Bosque natural de pino y encino con especies predominantes de P. pseudostrobus, Q. laurina y otras latifoliadas localizado a 17°17’09.56’’N y 96° 21’ 20.42’’O, a una altitud de 2645 m y pendiente de 30°.
Bosque natural de pino con especies predominantes de P. pseudostrobus. Esta área se localiza a 17°17’ 18.16’’N y 96°21’17.26’’O, a una altitud de 2499 m y pendiente de 5°, con un registro de incendio hace 50 años.
Bosque natural de encino con especies predominantes de Q. laurina y otras latifoliadas. Esta área se localiza a 17°17’ 13.27’’N y 96°21’17.83’’O, en una altitud de 2568 m y pendiente de 30°.
Para la toma de datos se realizó una modificación a la metodología propuesta por el Inventario Forestal y de Suelos (Comisión Nacional Forestal [Conafor] 2011), debido a que las parcelas de estudio fueron más pequeñas que las sugeridas en dicha metodología. En cada sistema de manejo forestal se escogió un sitio de 1000 m2 con forma circular y radio de 17.84 m, los sitios fueron únicos, debido a que no se encontraron más condiciones similares, el área de muestreo abarcó la totalidad del sitio de estudio. Existen estudios sobre almacenes de C y flujos de CO2 en los que también se establecieron sitios únicos de 400 m2 y 0.6 ha respectivamente (García-Oliva et al., 2014; O’Dell et al., 2015).
En cada sitio de muestreo se cuantificó el arbolado vivo y muerto con diámetro normal igual o mayor a 7.5 cm. Las especies identificadas fueron: P. patula, P. pseudostrobus P. ayacahuite, Q. laurina, Q. crassifolia y un grupo denominado “otras latifoliadas” (entre las que destacaron: Ternstroemia lineata, Saurauia pringlei, Cleyera integrifolia, Clethra conzattiana, Persea liebmannii, Alnus acunimata), para este grupo no se encontraron fórmulas alométricas para la determinación del volumen descritas en el Sistema Biométrico Forestal (SiBiFor) (Vargas-Larreta et al., 2017). Se determinó el material leñoso sobre el suelo en cuatro transectos de 15 m, según Conafor (2011). Sobre el sitio de 17.84 m se establecieron dos sitios de muestreo para recolectar muestras compuestas (ocho submuestras) de suelo (0 cm - 10 cm, 10 cm - 20 cm y 20 cm - 30 cm) y mantillo (Fig. 2). La densidad aparente se determinó cercana a los sitios de colecta mediante los anillos de Kopecky o anillos de muestreo de suelos.

A las muestras de suelo recolectadas les fueron eliminadas las raíces gruesas y finas visibles, así como elementos gruesos (> 2mm), se tamizaron a través de una malla #100 y se tomaron entre 100 mg y 300 mg para la determinación de C en un analizador automático Shimadzu TOC 5000®, sometiéndolo a un proceso de combustión seca a 900 °C de 3 min a 4 min, en donde el CO2 se detecta por medio de infrarrojo y se cuantifica como C total empleando como referencia sacarosa de alta pureza.
El C orgánico del suelo (COS) se determinó utilizando la ecuación 1 (Intergovernmental Panel on Climate Change [IPCC] 2003; Poeplau y Don, 2017).
donde:
COS = carbono orgánico del suelo, Mg C ha-1 DA = densidad aparente del suelo, Mg m-3
P = incremento de profundidad del suelo, cm
FG =porcentaje de la masa de fragmentos gruesos (> 2 mm)
COSp = concentración de carbono (%) de la fracción ≤ 2 mm del suelo
El mantillo se consideró como la capa de hojarasca más la capa de fermentación. Este material se secó al aire y previamente se le retiraron los restos de troncos y piedras. El material fue homogeneizado, molido y tamizado empleando una malla #100; de allí se tomaron 400 mg para determinar C en un analizador automático Shimadzu TOC 5000® mediante combustión seca. El contenido de C en mantillo se determinó mediante la ecuación de la Red Mexicana de Sitios de Monitoreo Intensivo del C (Red Mex-SMIC, 2016).
Donde:
COH= carbono de la hijarasca, Mg Cha-1
% CO = concentración de carbono
P= peso seco de la muestra (g)
M = densidad aparente (Mg m-3)
Se consideró como madera muerta a los tocones y a los árboles muertos en pie, para los tocones se midió el diámetro (se consideran tocones a la porción del árbol muerto que midieron 1.3 m o menos) y la altura de cada individuo (IPCC, 2003). El volumen de árboles muertos se determinó mediante ecuaciones del SiBiFor (Vargas-Larreta et al., 2017) para fuste limpio de cada especie. El volumen de los tocones se determinó mediante la fórmula de Ugalde (1981) (ecuación 3).
donde:
V = volumen del tocón, m3
L = longitud de la pieza, m
A = área de la parte media del tocón, m2
El volumen fue convertido a biomasa con la densidad de madera muerta según Martiarena-Orce (2007).
Los datos de volumen fueron convertidos a biomasa mediante la densidad para cada estadio de descomposición (I: 0.541 g cm-3, II: 0.348 g cm-3, III: 0.251 g cm-3, IV: 0.176 g cm-3, V: 0.147 g cm-3) (Martiarena-Orce, 2007).
Se determinó el material leñoso sobre el suelo en cuatro transectos de 15 m, donde se midieron ramillas y troncos que intersectaban los transectos. Se utilizaron las fórmulas de Sánchez y Zerecero (1983) para la determinación de la biomasa en las que el factor utilizado fue 0.47 (IPCC, 2006).
Donde
fa = factor de estimación de volumen por tamaño de material leñoso
f = frecuencia de intercepciones
NI =longitud total de la línea
c = factor de corrección por pendiente
Para el cálculo de la biomasa y C almacenado en la parte aérea de los árboles se consideraron datos de 1994 en primer orden, lo que hace suponer que no había manejo comunitario previo, luego de que en 1982 se retiró la concesión de explotación. Los datos provinieron de 10 parcelas de bosque de monitoreo permanente, de 1000 m2 cada uno, realizados por la Unión de Comunidades Productoras Forestales Zapotecas-Chinantecas [Uzachi], 1994.
Después de 21 años de manejo comunitario (desde 1998), se determinó la biomasa y el C aéreo en cinco parcelas de 1000 m2, para comparar los sistemas de manejo MMOBI y MDS, y estos con los bosques sin manejo descritos (BP, BPE y BE) que se emplearon como referencia. La biomasa se calculó mediante la ecuación (5) que consiste en multiplicar el volumen maderable de cada árbol por la densidad específica de la madera de cada especie (Nájera-Luna y García-Ramírez, 2009; Conafor, 2013; Ordóñez et al., 2015), aplicando un factor de expansión de biomasa de 1.3 sugerido por Brown y Lugo (1984). Para determinar el volumen individual de ambos años, se utilizaron las ecuaciones del SiBiFor (Vargas-Larreta et al., 2017) y las ecuaciones del inventario forestal de Oaxaca (Secretaría de Agricultura y Recursos Hidráulicos [SARH], 1985), utilizando los datos de diámetro normal y altura para cada especie.
donde:
BAA = biomasa en Mg ha-1VM = volumen maderable en m3
∂= densidad de la madera por especie en Mg m-3FEB = factor de expansión de biomasa de 1.30
El contenido de C se estimó utilizando la ecuación sugerida por Goslee, Brown y Casarim (2014) (ecuación 6).
donde:
CA = C almacenado en madera, Mg ha-1
BAA = biomasa total arbórea aérea
Fc = fracción de C contenida en la biomasa 0.47 (IPCC, 2006).
La biomasa de raíces (Mg ha-1) se estimó a partir de la biomasa arbórea mediante los modelos desarrollados por MacDicken (1997) para madera suave y madera dura (ecuaciones 7 y 8, respectivamente), ya que su modelo se ajusta a las relaciones alométricas y a las proporciones de crecimiento de raíces en diferentes ambientes que varía de 10% - 30% (Andrade e Ibrahim, 2003).
donde:
BR1 = madera suave
BR2 = madera dura, Mg ha-1
BA = biomasa arbórea aérea, Mg ha-1
Se utilizó un análisis de varianza para comparar los contenidos de C de los almacenes de mantillo (hojarasca y capa de fermentación) y suelo en los incrementos de profundidad de 0 cm - 10 cm, 10 cm - 20 cm y 20 cm - 30 cm. Cuando existieron diferencias significativas se realizó la comparación de medias, utilizando la prueba de Tukey (p > 0.05). Así mismo, se realizó un análisis de agrupación jerárquica clúster para determinar la similitud o divergencia entre los diferentes sistemas forestales en cuanto a almacenes de C. Los análisis se realizaron utilizando el paquete R Core Team, (2019).
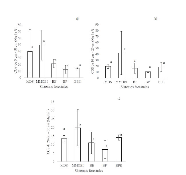
Después de 21 años de manejo silvícola con alta (MDS) y baja intensidad (MMOBI), se encontró que el contenido de C en el suelo en la capa 0 cm - 30 cm, fue similar (p > 0.05) en comparación con bosques no manejados de BPE, BP y BE, aun cuando los primeros tienen manejo forestal (Tabla 1). Tampoco hubo diferencias estadísticas significativas (p < 0.05) entre los diferentes incrementos de profundidad (0 cm-10 cm, 10 cm-20 cm y 20 cm-30 cm) (Fig. 3). Sin embargo, el resultado del análisis clúster mostró que había tanto similitudes como divergencias entre los manejos (Fig. 4). En el estrato 0 cm - 10 cm de profundidad del suelo, se identificaron dos grupos divergentes acordes con la línea de corte. En uno se agrupan los tratamientos MMOBI y MDS con los contenidos más altos de C con respecto al otro grupo, donde se encuentran los tratamientos BPE, BE y BP. Sin embargo, dentro de este último se observaron divergencias, pues el BP mostró menor contenido de C respecto a BPE y BE (Fig. 4). Es así como el bosque manejado con MMOBI con mayor contenido de C en el suelo presentó 3.8 veces más que el suelo del BP con el menor contenido de C. Según los resultados del análisis clúster, en los incrementos de profundidad del suelo 10 cm-20 cm y 20 cm-30 cm los manejos forestales, acorde con los contenidos de C en el suelo, se agruparon de manera similar, conformándose dos grupos disímiles, uno representado por el tratamiento MMOBI, el cual tuvo los mayores contenidos de C (4 veces más respecto al mínimo valor del BP), y otro con el resto de los tratamientos (Fig. 4). Al igual que de 0 cm-10 cm, el bosque de pino se disoció dentro del grupo y fue el que presentó el menor contenido de C en el suelo (Fig. 4). Considerando la tendencia de MMOBI en las tres profundidades de muestreo, se podría suponer un mayor potencial de almacenamiento de C en el suelo con respecto al manejo MDS y a los bosques no manejados.



Los contenidos de C en el mantillo de los bosque manejados y no manejados, que incluye la capa de fermentación y hojarasca, fueron estadísticamente diferentes (p < 0.05). Los bosques sin manejo (BPE, BE y BP) presentaron mayores contenidos respecto a los manejados (Tabla 1). El BPE presentó los contenidos más altos (38.6 Mg C ha-1) y de los bosques manejados, el MMOBI (16.5 Mg C ha-1). Esto se debe a que el material residual de la corta de regeneración se deja íntegro en la superficie del suelo en función de la estrategia que las comunidades aplican para protegerlo. La diferencia del contenido de C en el mantillo radica principalmente en la capa de fermentación, ya que en hojarasca no hubo diferencias significativas entre sistemas (Fig. 5), sin embargo, la tendencia que se observó por medio del análisis clúster es que el BP fue divergente del resto con mayor contenido de C en hojarasca (Fig. 4).

El bosque que presentó mayor contenido de C en madera muerta fue el BP (7.8 Mg C ha-1), seguido del manejado con MMOBI (4.7 Mg C ha-1) (Tabla 1), mientras que el BE exhibió los mínimos contenidos (2.9 Mg C ha-1). El sistema MMOBI acumuló 1.76 Mg C ha-1 de material leñoso sobre el suelo y el MDS 1.43 Mg C ha-1. En los sistemas no manejados la mayor cantidad de material leñoso sobre el suelo se encontró en el BP con 1.78 Mg C ha-1 siendo similar al sistema MMOBI; los bosques de BPE y BE fueron menores (1.59 Mg C ha-1).
Los bosques no manejados presentaron los mayores contenidos de C en biomasa área, BPE > BP > BE que los bosques manejados, siendo el bosque manejado con MMOBI el que mostró el mayor contenido de C (Tabla 1). Este resultado no parece estar relacionado con la densidad arbórea, ya que la mayor densidad entre todos los sistemas forestales de estudio se presentó en el bosque manejado con MMOB; tampoco parece estar relacionado con la altura y el diámetro de los árboles cuyos mayores valores se registraron en el bosque de pino (Tabla 2).

El almacén de C arbóreo promedio de las 10 parcelas medidas en 1994 fue de 139 Mg C ha-1, lo que representa la condición inicial del manejo de las comunidades. Comparativamente, respecto al año 2019, los bosques BPE, BP y BE aumentaron los contenidos de C: 2.7, 1.7 y 1.4 veces, respectivamente, mientras que, con manejo MMOBI, solo aumentó 1.1 veces, sin embargo, con MDS perdió C (0.8 veces) respecto a 1994.
Los contenidos similares de C en el suelo a diferentes incrementos de profundidad (0 cm-10 cm, 10 cm-20 cm y 20 cm-30 cm), hace suponer que los manejos silvícolas y tipos de bosque no han generado cambios significativos en los almacenes de C en el suelo. La ausencia de una diferencia estadística significativa podría estar asociada a los bajos contenidos de C en los suelos analizados (menor de 100 Mg C ha-1 excepto el bosque manejado con MMOBI) (Fig. 3) en comparación con ambientes similares como bosques de P. patula (102 Mg C ha-1), P. pseudostrobus (110 Mg C ha-1), Pinus spp. con manejo (71 Mg C ha-1) (Cruz-Flores y Etchevers-Barra, 2011), bosque templado (110 Mg C ha-1 y 150 Mg C ha-1) (Peña-Ramírez, Vázquez-Selem y Siebe, 2009) y menores a suelos cercanos a la zona de estudio (116 Mg C ha-1) (Saynes, Etchevers, Galicia, Hidalgo y Campo, 2012). Así mismo, el bajo contenido de C en el suelo podría estar asociado con la poca profundidad (30 cm-75 cm) que limita el almacenamiento de C. Otra peculiaridad de los bosques que consideramos en este estudio como no manejados, es que en los años 50 sí tuvieron un manejo forestal denominado Método Mexicano de Ordenación de Montes (MMOM) que disminuyó el almacén de C; datos similares fueron señalados por Saynes et al., (2012) en comunidades cercanas. A partir de la implementación del manejo forestal comunitario, que considera el uso de técnicas de conservación del suelo, se favoreció la acumulación del material residual de cosecha en la superficie, por ello se observó un incremento en el manejo MMOBI. Es importante mencionar que metodológicamente no hubo suficientes repeticiones de los tratamientos, el muestreo se realizó en parcelas únicas, por las reducidas dimensiones del área de los sistemas de estudio, lo cual estadísticamente solo provee un grado de libertad. Esto generó una base de datos poco robusta, y consecuentemente una alta desviación estándar, lo que dio como resultado la ausencia de diferencia estadística a pesar de la homogeneidad de los datos. Un caso similar presentó el estudio de García-Oliva et al., (2014) quienes estudiaron fragmentos forestales que representaban pequeñas áreas, por lo cual solo establecieron un sitio y a partir de los resultados se hizo una interpretación de la tendencia.
En el presente estudio presentamos un análisis clúster que mostró disimilitud entre sistemas forestales (Fig. 4), lo que hace suponer, si se considera el estrato 0 cm-30 cm de profundidad del perfil, que el manejo MMOBI presenta tendencia a acumular mayor contenido de C en el suelo que los otros sistemas evaluados. En el caso de los sistemas manejados, cuando existe tala de árboles y se deja el material residual en el terreno, se provoca una aceleración de la tasa de retorno del C al suelo (Saynes et al., 2012). En el sistema MMOBI se generaron 1.76 Mg C ha-1 de material leñoso esparcido de forma homogénea sobre el suelo, en este sistema las prácticas silvícolas como chapeo, podas y aclareo utilizadas son con intensidad mínima o incluso algunas no se utilizan, lo cual favorece la acumulación de material residual sobre el suelo, y, por ende, el aumento del almacén de C en el mantillo (Fig. 3 y Fig. 5). En contraste con el sistema MMOBI, el sistema MDS contiene 1.43 Mg C ha-1 de material leñoso sobre el suelo acomodado en forma de montículos y curvas de nivel con prácticas de quema para el material excedente, lo cual genera mayor apertura del dosel, que favorecería el desarrollo de organismos descomponedores que fomentan la mineralización en el suelo (Vesterdal et al., 2002). Se ha demostrado que, cuando se aplican manejos en los que se mantiene la cubierta forestal simulando un compor-tamiento natural, existe mayor almacenamiento de COS (Thornley y Cannell, 2000; Hoover, 2011).
El horizonte de fermentación del BPE presentó el mayor contenido de C de los sistemas analizados (Fig. 5), superior al observado en bosques vecinos de PE sin manejo (10.6 Mg C ha-1 y 17 Mg C ha-1) (Galicia, Saynes y Campo, 2015) o con manejo forestal (23.4 Mg C ha-1 y 29.6 Mg C ha-1 (Acosta-Mireles, Carrillo-Anzures y Díaz-Lavariega, 2009). Esto último se asocia al ser un bosque sucesionalmente más desarrollado, con edades de 40 años-100 años, lo que favorece la producción de biomasa viva y la caída de hojas (Berg y McClaugherty, 2008), al incrementarse la acumulación de mantillo (hojarasca y horizonte de fermentación). El BPE se estructura con especies de Pinus, Quercus y otras latifoliadas, la mayoría de las especies son caducifolias, lo que favorece el almacenamiento del mantillo, con un espesor de 5 cm-7.5 cm. Aunado a esto está también la prevalencia de especies de Quercus y Pinus que aportan compuestos recalcitrantes, como la lignina (Hector, Beale, Minns, Otway y Lawton, 2000), que inhiben la actividad microbiana por compuestos secundarios como taninos o fenoles (Hättenschwiler y Vitousek, 2000), por lo cual la relación C:N (29.4) se asocia a una degradación lenta (Duchaufour, 1984). El MDS, fue el sistema con el menor contenido de C en la capa de fermentación, asociado al menor espesor de la capa (3.5-6.5) atribuido a lo joven del bosque (21 años) en comparación al BPE.
La capa de hojarasca del BP poseyó la mayor acumulación de C (ver Fig. 5), lo cual se asocia con el material estructural de las acículas del BP, altamente recalcitrantes por su elevada concentración de lignina y compuestos aromáticos (Howard, Howard y Lowe, 1998), con respecto a las especies del BPE como Quercus y otras latifoliadas con componentes más lábiles (Brown, 2002).
La acumulación de C en el mantillo (hojarasca más fermentación) en los bosques manejados con el sistema MMOBI fue similar a la de los bosques no manejados BP y BE (entre 10 Mg C ha-1 y 20 Mg C ha-1) (Fig. 5), pero mayor a lo hallado para BP con manejo forestal (6.5 Mg C ha-1, 5.3 Mg C ha-1 y 5.1 Mg C ha-1) (Rocha-Loredo y Ramírez-Marcial, 2009). En el caso de MDS, dado que se retira el mantillo por razones de manejo, los contenidos de C son menores (10.6 Mg C ha-1). En el caso del MMOBI, todo el material residual de la corta de regeneración quedó en la superficie del suelo, las prácticas de chapeo, podas y aclareos fueron mínimos o casi nulos. El material residual, en conjunto con la madera muerta sobre la superficie del suelo, crea condiciones de humedad y descomposición de hojarasca y aumento de la diversidad arbórea, lo que después de 21 años lo hace parecido a la situación de un bosque con las especies dominantes de este tipo de bosque, pero sin manejo alguno (Thornley y Cannell, 2000).
El bosque BP sin manejo presentó los mayores contenidos de C en madera muerta (Tabla 1), lo que se asocia a una competencia por luz y espacio entre los individuos de la misma especie, situación que provoca la muerte de individuos e incremento de la madera muerta. Las condiciones de madera muerta en este sistema fueron grado de putrefacción 1 y 2, lo cual se refiere a corteza intacta, acículas ausentes, ramas presentes y reducidas con integridad estructural dura, pero con comienzo de pudrición; con una densidad de madera muerta para los grados 1 y 2 de 0.541 g cm-3 y 0.348 g cm-3, respectivamente (Martiarena-Orce, 2007). A pesar de tener escasos manejos silvícolas, el sistema subsecuente en cuanto a contenido de C en la madera muerta fue MMOBI, pues presentó grados de descomposición de la madera 3 y 4, lo cual se refiere a la presencia de ramas separadas que se remueven fácilmente, acículas y corteza ausentes; el material se presentó mayormente podrido, que corresponde a una densidad de madera muerta para los grados 3 y 4 de 0.251 g cm-3 y 0.176 g cm-3 respectivamente (Martiarena-Orce, 2007). Este almacén resulta importante por la retención y absorción de humedad que a su vez retarda la evaporación y favorece las condiciones para el crecimiento de microorganismos que propician la mineralización de la materia orgánica (Dajoz, 2000). Este efecto se reflejó en el mayor contenido de C en el incremento de profundidad 0 cm - 30 cm del suelo, en comparación con el resto de los sistemas evaluados (Tabla 1). A pesar del número de estudios de madera muerta, aun existe un conocimiento limitado de la dinámica de las transformaciones de C liberado.
El contenido de C en la biomasa arbórea fue el mayor almacén respecto a los demás estudiados. El bosque BPE sin manejo presenta una edad sucesional de 40 años a 100 años y gran diversidad de especies (dominancia del grupo denominado como otras latifoliadas), lo que se asocia a un mayor contenido de C aéreo a pesar de no presentar la mayor densidad arbórea (Tabla 2). Los contenidos de C del BPE fueron mayores a los de bosques similares templados de BPE estudiados en la Sierra Norte de Oaxaca (200 Mg C ha-1 y 327 Mg C ha-1) (Monreal et al., 2005). Una de las razones es que las especies de Quercus y otras latifoliadas tienen mayores densidades de madera, lo cual aumenta la biomasa aérea y el contenido de C, pese a no tener la mayor densidad arbórea (950 árboles ha-1) (Tabla 1). El sistema MMOBI presentó un contenido medio de C, en comparación con el resto de los sistemas, aun cuando la densidad arbórea fue la mayor, sin embargo, las tallas de los árboles fueron menores que el BPE (Tabla 2). Esto se explicaría por la edad de la plantación (21 años) y por el hecho de no haber tenido aclareos, lo cual ha generado una mayor competencia entre los individuos de la plantación. En el otro sistema manejado (MDS) se encontraron los menores contenidos de C en biomasa aérea que se explican por la baja densidad arbórea, debido al manejo silvícola que tiende a reducir la diversidad (López-Arzola, 2007; Merino-Pérez, 2004), lo cual cambia la estructura arbórea como resultado del manejo forestal con la consecuente reducción de los almacenes de C (Monárrez-González, Pérez-Verdín, López-González, Márquez-Linares y González-Elizondo, 2018).
El bosque de PE sin manejo (bosque de referencia) fue el que presentó el mayor contenido de C al considerar la sumatoria de todos los almacenes (Tabla 1); su estrato arbóreo (incluyendo raíces) fue el que tuvo mayor contenido de C, seguido del mantillo. En el BPE, las especies principales fueron P. patula, P. pseudostrobus, Q. laurina y otras latifoliadas con diámetros promedio de 24.7 cm, y altura total promedio de 23 m, lo cual resultó en un mayor contenido de C respecto a los demás sistemas, esto, pese a no tener la mayor densidad arbórea (950 árboles por hectárea) debido a que las especies de Quercus y otras latifoliadas tienen mayores densidades de madera, lo cual aumenta la biomasa aérea y por ende el contenido de C. Si comparamos los bosques no manejados del presente estudio con otros bosques del país pareciera que no tienen un gran potencial de almacenamiento de C. Por ejemplo, bosques de liquidámbar en la región mazateca de Oaxaca (255 Mg C ha-1) (Acosta-Mireles et al., 2002), y bosques montanos de Oaxaca (348 Mg C ha-1) (Álvarez-Arteaga, García-Calderón, Krasilnikov y García-Oliva) presentan mayores contenidos.
Destaca que el sistema MMOBI, a pesar de que sea manejado, presentó contenidos de C mayores al BE y similares al del BP, resaltando su mayor capacidad de almacenamiento. En contraste, el bosque manejado con MDS presentó los menores contenidos de C total debido probablemente a la menor densidad de árboles (Tabla 2) que redituó en menor biomasa aérea y raíces. En dicho sistema sobresalen las especies comerciales P. patula y P. pseudostrobus, con densidades de madera menores a Quercus y otras latifoliadas. El incremento de estas especies, como parte del manejo forestal de alta intensidad ha generado cambios en la estructura de la vegetación y, en consecuencia, en los almacenes de C (Ríos-Altamirano et al., 2016).
Se estudiaron dos sistemas forestales manejados MMOBI y MDS y se compararon con sistemas forestales no manejados BP, BE, BPE. El mayor depósito de C se encontró en la biomasa arbórea del bosque de PE sin manejo alguno, lo cual se atribuyó a una mayor densidad arbórea y a las dimensiones de los individuos, asociado a la edad del bosque. En contraste, el manejo de alta intensidad (MDS) presentó el menor contenido de C acumulado, toda vez que este sistema está diseñado para favorecer el aprovechamiento, esto es, la extracción de especies comerciales de pino.
No hubo diferencia estadística en los depósitos de C del suelo entre los sistemas, lo cual se relaciona a un bajo impacto de los manejos sobre los almacenes del suelo, sin embargo, el sistema MMOBI fue diferente al resto de los sistemas, ya que mostró una tendencia a incrementar el C acumulado, lo que se relacionó al manejo comunitario que favorece la permanencia de los residuos del manejo silvícola en el terreno y fomenta la conservación de los suelos. Ello implica que el manejo MMOBI es una alternativa ecológicamente viable para la Sierra de Oaxaca y para ecosistemas similares, desde el punto de vista de su capacidad para almacenar C. Para una planeación forestal racional la alternativa es favorecer el crecimiento de especies de Quercus y otras latifoliadas en las plantaciones, porque tienen un mayor potencial de almacenamiento de C en la parte aérea del sistema.
*Autor de correspondencia mfponce@correo.xoc.uam.mx






